Germacrane Sesquiterpene Dilactones from Mikania micrantha and Their Antibacterial and Cytotoxic Activity
Abstract
1. Introduction
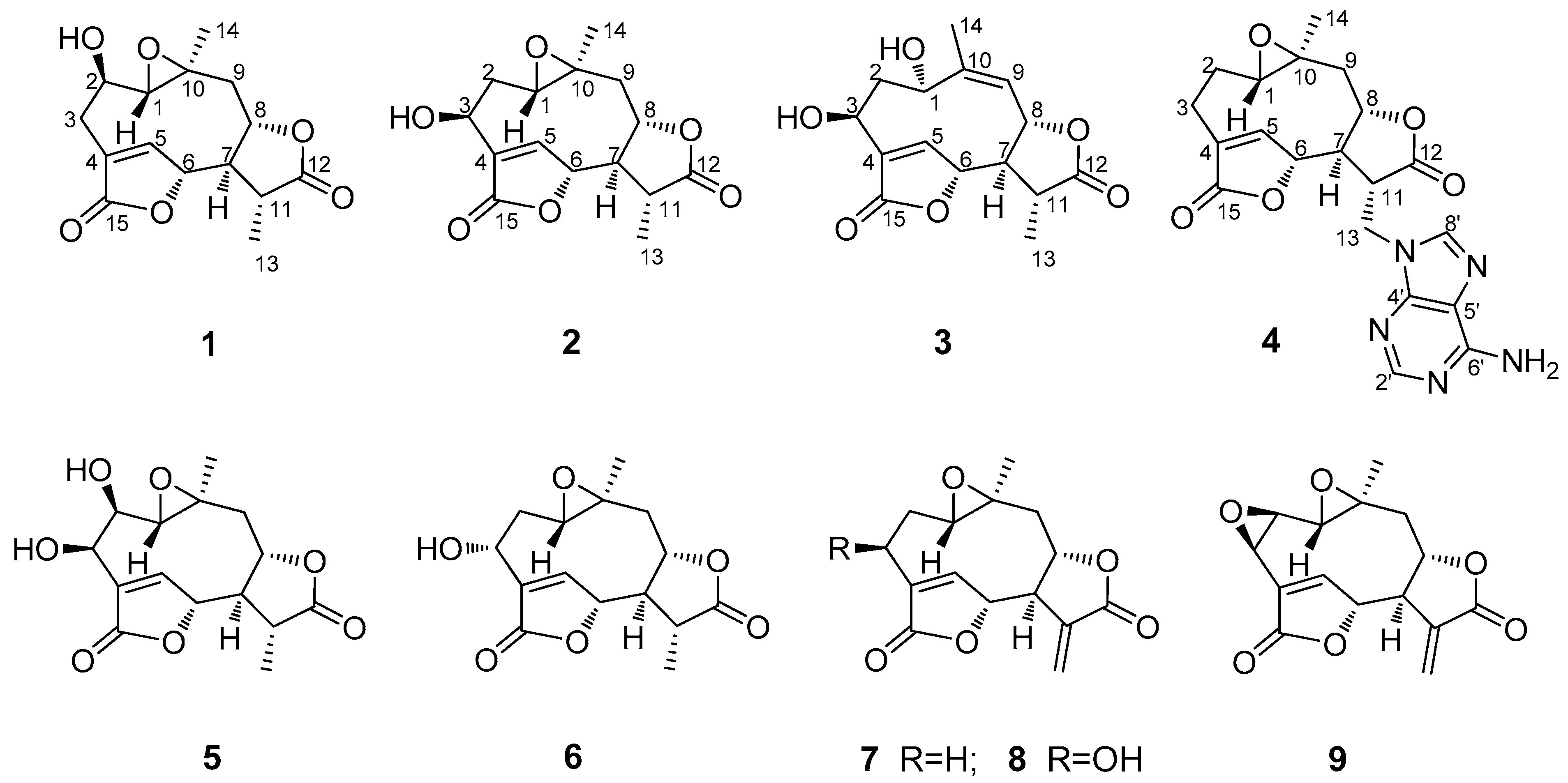
2. Results and Discussion
3. Materials and Methods
3.1. General Experimental Procedures
3.2. Plant Material
3.3. Extraction and Isolation
3.4. Spectroscopic Data of Compounds 1–4
3.5. Antibacterial Assay
3.6. Cytotoxic Assay
4. Conclusions
Supplementary Materials
Author Contributions
Funding
Institutional Review Board Statement
Informed Consent Statement
Data Availability Statement
Conflicts of Interest
Sample Availability
References
- Zhang, L.Y.; Ye, W.H.; Cao, H.L.; Feng, H.L. Mikania micrantha H.B.K. in China—An overview. Weed Res. 2004, 44, 42–49. [Google Scholar] [CrossRef]
- Lowe, S.; Browne, M.; Boudjelas, S. 100 of the World’s Worst Invasive Alien Species, a Selection from the Global Invasive Species Database; IUCN/SSC Invasive Species Specialist Group (ISSG): Auckland, New Zealand, 2001. [Google Scholar]
- Feng, H.L.; Cao, H.L.; Liang, X.D.; Zhou, X.; Ye, W.H. The distribution and harmful effect of Mikania micrantha in Guangdong. J. Trop. Subtrop. Bot. 2002, 10, 263–270. [Google Scholar]
- Rufatto, L.C.; Gower, A.; Schwambach, J.; Moura, S. Genus Mikania: Chemical composition and phytotherapeutical activity. Braz. J. Pharmacogn. 2012, 22, 1384–1403. [Google Scholar] [CrossRef]
- Facey, P.C.; Pascoe, K.O.; Porter, R.B.; Jones, A. Investigation of plants used in Jamaican folk medicine for anti-bacterial activity. J. Pharm. Pharmacol. 1999, 51, 1455–1460. [Google Scholar] [CrossRef]
- Ahmed, M.; Rahman, M.T.; Alimuzzaman, M. Analgesic sesquiterpene dilactone from Mikania cordata. Fitoterapia 2001, 72, 919–921. [Google Scholar] [CrossRef] [PubMed]
- Dou, X.; Zhang, Y.; Sun, N.; Wu, Y.; Li, L. The anti-tumor activity of Mikania micrantha aqueous extract in vitro and in vivo. Cytotechnology 2014, 66, 107–117. [Google Scholar] [CrossRef]
- Ghosh, A.; Das, B.K.; Roy, A.; Mandal, B.; Chandra, G. Antibacterial activity of some medicinal plant extracts. J. Nat. Med. 2008, 62, 259–262. [Google Scholar] [CrossRef]
- Laurella, L.C.; Frank, F.M.; Sarquiz, A.; Alonso, M.R.; Giberti, G.; Cavallaro, L.; Catalan, C.A.; Cazorla, S.I.; Malchiodi, E.; Martino, V.S.; et al. In vitro evaluation of antiprotozoal and antiviral activities of extracts from Argentinean Mikania species. Sci. World J. 2012, 12, 121–133. [Google Scholar]
- Zhang, L.L.; Wen, D.Z.; Fu, S.L. Responses of photosynthetic parameters of Mikania micrantha and Chromolaena odorata to contrasting irradiance and soil moisture. Biol. Plant. 2009, 53, 517–522. [Google Scholar] [CrossRef]
- Ríos, E.; León, A.; Chávez, M.I.; Torres, Y.; Ramírez-Apan, M.T.; Toscano, R.A.; Bravo-Monzón, Á.E.; Espinosa-García, F.J.; Delgado, G. Sesquiterpene lactones from Mikania micrantha and Mikania cordifolia and their cytotoxic and anti-inflammatory evaluation. Fitoterapia 2014, 94, 155–163. [Google Scholar] [CrossRef] [PubMed]
- Zhuang, S.H.; Hao, C.Q.; Feng, J.T.; Zhang, X. Active antifungal components of Mikania micrantha H. B. K. J. Zhejiang Univ. 2010, 36, 293–298. [Google Scholar]
- Yan, Y.B.; Huang, Y.L.; Fang, X.T.; Lu, L.; Zhou, R.C.; Ge, X.J.; Shi, S.H. Development and characterization of EST-SSRs in an invasive weed Mikania micrantha. Am. J. Bot. 2011, 98, e1–e3. [Google Scholar] [CrossRef] [PubMed]
- Li, Y.; Shen, B.B.; Li, J.; Li, Y.; Wang, X.X.; Cao, A.C. Antimicrobial potential and chemical constituent of Mikania micrantha H. B. K. Afr. J. Microbiol. Res. 2013, 7, 2409–2415. [Google Scholar]
- Boeker, R.; Jakupovic, J.; Bohlmann, F.; Schmeda-Hirschmann, G. Germacra-1,10Z,4E-dien-12,8α-olides from Mikania micrantha. Planta Med. 1987, 53, 105–106. [Google Scholar] [CrossRef]
- But, P.P.H.; He, Z.D.; Ma, S.C.; Chan, Y.M.; Shaw, P.C.; Ye, W.C.; Jiang, R.W. Antiviral constituents against respiratory viruses from Mikania micrantha. J. Nat. Prod. 2009, 72, 925–928. [Google Scholar] [CrossRef] [PubMed]
- Cuenca, M.D.R.; Bardon, A.; Catalan, C.A.N. Sesquiterpene lactones from Mikania micrantha. J. Nat. Prod. 1988, 51, 625–626. [Google Scholar] [CrossRef]
- Herz, W.; Srinivasan, A.; Kalyanaraman, P.S. Mikanokryptin, a new guianolide from Mikania. Phytochemistry 1975, 14, 233–237. [Google Scholar] [CrossRef]
- Huang, H.J.; Ye, W.H.; Wu, P.; Lin, L.D.; Wei, X.Y. New sesquiterpene lactones from Mikania micrantha. J. Nat. Prod. 2004, 67, 734–736. [Google Scholar] [CrossRef]
- Nicollier, G.; Thompson, A.C. Allelopathic potential of sesquiterpene lactones and phenolic constituents from Mikania micrantha H. B. K. Phytochemistry 1981, 20, 2587–2588. [Google Scholar] [CrossRef]
- Wei, X.Y.; Huang, H.J.; Wu, P.; Cao, H.L.; Ye, W.H. Phenolic constituents from Mikania micrantha. Biochem. Syst. Ecol. 2004, 32, 1091–1096. [Google Scholar] [CrossRef]
- Xu, Q.L.; Xie, H.H.; Xiao, H.L.; Lin, L.D.; Wei, X.Y. Two new ent-kaurene diterpene glucosides from the roots of Mikania micrantha. Phytochem. Lett. 2013, 6, 425–428. [Google Scholar] [CrossRef]
- Xu, Q.L.; Xie, H.H.; Xiao, H.L.; Wei, X.Y. Phenolic constituents from the roots of Mikania micrantha and their allelopathic effects. J. Agric. Food Chem. 2013, 61, 7309–7314. [Google Scholar] [CrossRef] [PubMed]
- Ma, Q.; Li, J.Y.; Wu, X.M.; Wang, Z.G.; Yang, X.; Pan, W.D.; Su, S.; Li, Y. New Germacrane-sesquiterpenoids from the leaves of Mikania micrantha Kunth. Phytochem. Lett. 2020, 40, 49–52. [Google Scholar] [CrossRef]
- Dong, L.-M.; Jia, X.-C.; Luo, Q.-W.; Zhang, Q.; Luo, B.; Liu, W.-B.; Zhang, X.; Xu, Q.-L.; Tan, J.-W. Phenolics from Mikania micrantha and their antioxidant activity. Molecules 2017, 22, 1140. [Google Scholar] [CrossRef] [PubMed]
- Dong, L.-M.; Jia, X.-C.; Luo, Q.-W.; Peng, Y.-M.; Zhang, Q.; Luo, B.; Tan, J.-W. Four new ent-kaurene diterpene glucosides from Mikania micrantha. Phytochem. Lett. 2017, 20, 155–159. [Google Scholar] [CrossRef]
- Cai, W.; Zhang, J.; Liu, Y.; Lu, J. Two new sesquiterpene lactones from Ixeris sonchifolia. Chem. Nat. Compd. 2019, 55, 674–676. [Google Scholar] [CrossRef]
- Aguinaldo, A.M.; ABE, F.; Yamauchi, T.; Padolina, W.G. Germacranolides of Mikania cordata. Phytochemistry 1995, 38, 1441–1443. [Google Scholar] [CrossRef]
- Liu, S.-B.; Zeng, L.; Xu, Q.-L.; Chen, Y.-L.; Lou, T.; Zhang, S.-X.; Tan, J.-W. Polycyclic phenol derivatives from the leaves of Spermacoce latifolia and their antibacterial and α-glucosidase inhibitory activity. Molecules 2022, 27, 3334. [Google Scholar] [CrossRef]
- Brown, E.D.; Wright, G.D. Antibacterial drug discovery in the resistance era. Nature 2016, 529, 336–343. [Google Scholar] [CrossRef]
- Piasecki, B.; Biernasiuk, A.; Skiba, A.; Skalicka-Wo’zniak, K.; Ludwiczuk, A. Composition, Anti-MRSA Activity and Toxicity of Essential Oils from Cymbopogon Species. Molecules 2021, 26, 7542. [Google Scholar] [CrossRef]
- Zhang, M.; Ouyang, J.-K.; Xu, Q.-L.; Liu, S.-B.; Qian, T.; Dong, L.-M.; Tan, J.-W. Thymol derivatives with antibacterial and cytotoxic activity from the aerial parts of Ageratina adenophora. RSC Adv. 2021, 11, 5755–5761. [Google Scholar] [CrossRef] [PubMed]
- Scotti, M.T.; Fernandes, M.B.; Ferreira, M.J.P.; Emerenciano, V.P. Quantitative structure–activity relationship of sesquiterpene lactones with cytotoxic activity. Bioorgan. Med. Chem. 2007, 15, 2927–2934. [Google Scholar] [CrossRef] [PubMed]
- Dong, L.-M.; Huang, L.-L.; Dai, H.; Xu, Q.-L.; Ouyang, J.-K.; Jia, X.-C.; Gu, W.-X.; Tan, J.-W. Anti-MRSA sesquiterpenes from the semi-mangrove Plant Myoporum Bontioides A. Gray. Marine Drugs 2018, 16, 438. [Google Scholar] [CrossRef] [PubMed]

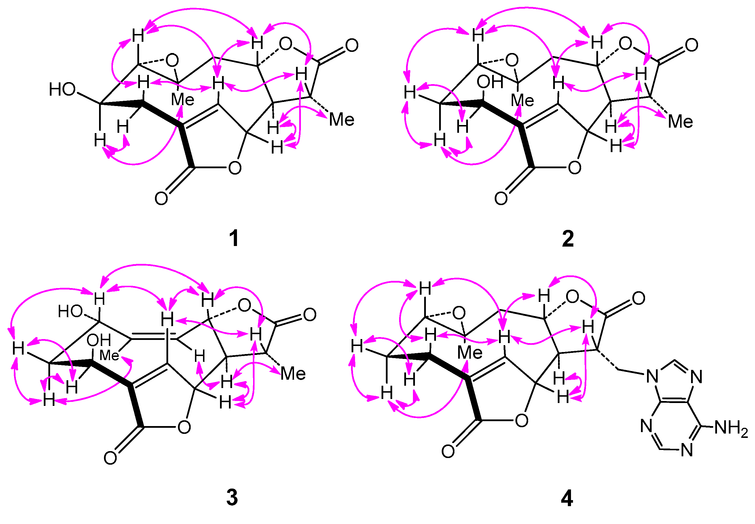
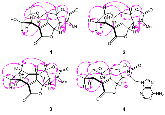
) and selected HMBC (
) correlations of 1–4.
) correlations of compounds 1–4.
| No | 1 a | 2 a | 3 b | 4 c |
|---|---|---|---|---|
| 1 | 2.85, d (11.7) | 3.07, dd (11.5, 2.0) | 5.43, d (9.3) | 2.77, br.d (11.1) |
| 2 | 3.73, ddd (11.7, 9.7, 4.2) | α 1.75, ddd (14.2, 11.5, 4.0) | α 3.13, ddd (14.5, 9.3, 3.3) | α 1.22, m |
| β 2.17, ddd (14.2, 2.2, 2.0) | β 2.57, dd (14.5, 3.1) | β 1.96, m | ||
| 3 | α 2.96, dd (12.6, 4.2) | 4.88, dd (4.0, 2.2) | 5.26, dd (3.3, 3.1) | α 2.42, dd (12.9, 5.3) |
| β 2.58, dd (12.6, 9.7) | β 2.52, ddd (12.9, 10.2, 4.1) | |||
| 5 | 7.79, br s | 7.81, t (1.6) | 8.12, d (1.2) | 7.70, br.s |
| 6 | 5.27, br s | 5.33, br s | 5.47, d (1.2) | 4.93, br s |
| 7 | 2.62, (13.9, 11.1) | 2.61, dd (13.9, 10.0) | 2.62, overlapped | 2.81, m |
| 8 | 4.64, ddd (11.1, 10.8, 4.6) | 4.57, ddd (10.7, 10.0, 4.6) | 5.51, dd (10.6, 10.2) | 4.60, overlapped |
| 9 | α 2.06, dd (14.2, 10.8) | α 2.05, dd (14.3, 10.7) | 5.29, d (10.6) | α 1.93, overlapped |
| β 2.12, dd (14.2, 4.6) | β 2.10, dd (14.3, 4.6) | β 1.81, dd (13.8, 4.3) | ||
| 11 | 2.90, dq (13.9, 7.0) | 2.93, dq (13.9, 7.0) | 2.97, dq (13.2, 6.9) | 3.68, dt (12.1, 6.0) |
| 13 | 1.40, d (7.0) | 1.40, d (7.0) | 1.38, d (6.9) | 4.64, overlapped |
| 4.50, dd (14.5, 6.0) | ||||
| 14 | 1.25, s | 1.19, s | 2.09, s | 0.98, s |
| 2′ | 8.14, s | |||
| 8′ | 8.06, s | |||
| -NH2 | 7.23, s |
| No | 1 a | 2 a | 3 b | 4 c |
|---|---|---|---|---|
| 1 | 66.9, CH | 60.2, CH | 64.4, CH | 60.9, CH |
| 2 | 67.1, CH | 32.8, CH2 | 41.2, CH2 | 22.3, CH2 |
| 3 | 32.2, CH2 | 65.8, CH | 65.7, CH | 21.2, CH |
| 4 | 131.1, C | 138.0, C | 138.6, C | 131.1, C |
| 5 | 151.4, CH | 147.8, CH | 145.6, CH | 149.4, CH |
| 6 | 81.5, CH | 81.8, CH | 79.3, CH | 79.9, CH |
| 7 | 55.2, CH | 55.3, CH | 51.8, CH | 49.1, CH |
| 8 | 79.2, CH | 79.5, CH | 75.6, CH | 77.5, CH |
| 9 | 44.4, CH2 | 43.8, CH2 | 121.8, CH | 42.7, CH2 |
| 10 | 58.8, C | 58.5, C | 148.2, C | 56.6, C |
| 11 | 41.4, CH | 41.2, CH | 38.7, CH | 45.0, CH |
| 12 | 178.0, C | 178.1, C | 177.5, C | 173.8, C |
| 13 | 13.5, CH3 | 13.5, CH3 | 13.2, CH3 | 41.8, CH2 |
| 14 | 21.5, CH3 | 20.6, CH3 | 18.1, CH3 | 19.7, CH3 |
| 15 | 174.3, C | 172.6, C | 171.8, C | 171.9, C |
| 2′ | 152.6, CH | |||
| 4′ | 149.7, C | |||
| 5′ | 118.6, C | |||
| 6′ | 156.0, C | |||
| 8′ | 141.1, CH |
| Compounds | SA | MRSA | BC | CF | EC | ST | PS |
|---|---|---|---|---|---|---|---|
| 1 | >100 | >100 | >100 | >100 | >100 | >100 | >100 |
| 2 | >100 | >100 | >100 | >100 | >100 | >100 | >100 |
| 3 | >100 | >100 | >100 | >100 | >100 | >100 | >100 |
| 4 | 6.25 | 6.25 | 3.125 | 1.56 | 6.25 | 6.25 | 6.25 |
| 5 | >100 | >100 | >100 | >100 | >100 | >100 | >100 |
| 6 | >100 | >100 | >100 | >100 | >100 | >100 | >100 |
| 7 | 6.25 | 12.5 | 6.25 | 3.125 | 6.25 | 6.25 | 3.125 |
| 8 | 6.25 | 12.5 | 6.25 | 3.125 | 6.25 | 6.25 | 3.125 |
| 9 | 6.25 | 6.25 | 3.125 | 3.125 | 6.25 | 3.125 | 3.125 |
| K | 1.56 | 50 | 0.78 | 1.56 | 1.56 | 0.78 | 1.56 |
| V | 1.56 | 3.125 | 1.56 | 3.125 | 1.56 | 0.78 | 1.56 |
| No | A549 | HepG2 | MCF-7 | HeLa |
|---|---|---|---|---|
| 1 | >100 | >100 | >100 | >100 |
| 2 | >100 | >100 | >100 | >100 |
| 3 | >100 | >100 | >100 | >100 |
| 4 | 17.97 ± 0.89 | 15.62 ± 1.02 | 25.81 ± 1.22 | 27.39 ± 2.46 |
| 5 | >100 | >100 | >100 | >100 |
| 6 | >100 | >100 | >100 | >100 |
| 7 | >100 | >100 | >100 | >100 |
| 8 | 14.28 ± 0.71 | 16.36 ± 1.66 | 9.85 ± 0.64 | 13.92 ± 0.97 |
| 9 | 16.48 ± 1.35 | 18.06 ± 1.13 | 10.24 ± 0.95 | 11.79 ± 1.05 |
| 10 | 12.26 ± 1.32 | 15.84 ± 1.16 | 8.97 ± 0.93 | 10.75 ± 0.81 |
| Adriamycin | 0.68 ± 0.07 | 1.12 ± 0.16 | 0.86 ± 0.09 | 0.92 ± 0.11 |
Disclaimer/Publisher’s Note: The statements, opinions and data contained in all publications are solely those of the individual author(s) and contributor(s) and not of MDPI and/or the editor(s). MDPI and/or the editor(s) disclaim responsibility for any injury to people or property resulting from any ideas, methods, instructions or products referred to in the content. |
© 2023 by the authors. Licensee MDPI, Basel, Switzerland. This article is an open access article distributed under the terms and conditions of the Creative Commons Attribution (CC BY) license (https://creativecommons.org/licenses/by/4.0/).
Share and Cite
Dong, L.-M.; Xu, Q.-L.; Liu, S.-B.; Zhang, S.-X.; Liu, M.-F.; Duan, J.-L.; Ouyang, J.-K.; Hu, J.-T.; Fu, F.-Y.; Tan, J.-W. Germacrane Sesquiterpene Dilactones from Mikania micrantha and Their Antibacterial and Cytotoxic Activity. Molecules 2023, 28, 2119. https://doi.org/10.3390/molecules28052119
Dong L-M, Xu Q-L, Liu S-B, Zhang S-X, Liu M-F, Duan J-L, Ouyang J-K, Hu J-T, Fu F-Y, Tan J-W. Germacrane Sesquiterpene Dilactones from Mikania micrantha and Their Antibacterial and Cytotoxic Activity. Molecules. 2023; 28(5):2119. https://doi.org/10.3390/molecules28052119
Chicago/Turabian StyleDong, Li-Mei, Qiao-Lin Xu, Shao-Bo Liu, Shan-Xuan Zhang, Meng-Fei Liu, Jin-Long Duan, Jin-Kui Ouyang, Jia-Tao Hu, Fen-Yu Fu, and Jian-Wen Tan. 2023. "Germacrane Sesquiterpene Dilactones from Mikania micrantha and Their Antibacterial and Cytotoxic Activity" Molecules 28, no. 5: 2119. https://doi.org/10.3390/molecules28052119
APA StyleDong, L.-M., Xu, Q.-L., Liu, S.-B., Zhang, S.-X., Liu, M.-F., Duan, J.-L., Ouyang, J.-K., Hu, J.-T., Fu, F.-Y., & Tan, J.-W. (2023). Germacrane Sesquiterpene Dilactones from Mikania micrantha and Their Antibacterial and Cytotoxic Activity. Molecules, 28(5), 2119. https://doi.org/10.3390/molecules28052119

