Abstract
Upregulated CXCR2 signalling is found in numerous inflammatory, autoimmune and neurodegenerative diseases, as well as in cancer. Consequently, CXCR2 antagonism is a promising therapeutic strategy for treatment of these disorders. We previously identified, via scaffold hopping, a pyrido[3,4-d]pyrimidine analogue as a promising CXCR2 antagonist with an IC50 value of 0.11 µM in a kinetic fluorescence-based calcium mobilization assay. This study aims at exploring the structure–activity relationship (SAR) and improving the CXCR2 antagonistic potency of this pyrido[3,4-d]pyrimidine via systematic structural modifications of the substitution pattern. Almost all new analogues completely lacked the CXCR2 antagonism, the exception being a 6-furanyl-pyrido[3,4-d]pyrimidine analogue (compound 17b) that is endowed with similar antagonistic potency as the original hit.
1. Introduction
Upon detection of a pathogen or in response to trauma an acute inflammatory response is mounted by tissue-resident immune cells, such as macrophages, dendritic cells and mast cells. It involves the release of a number of pro-inflammatory chemokines such as CXCL1, CXCL2 and CXCL8, resulting in the chemo-attraction of circulating immune cells [1,2,3]. Neutrophils are among the first to be recruited to the site of inflammation, in order to clear the infection, to release cytotoxic agents and other effector proteins that attract a variety of immune cells [4]. Neutrophils are primarily recruited to the injury site via the CXCL8 and human chemokine receptor CXCR2 axis [5]. Hence, it is clear that both CXCL8 and CXCR2 are essential mediators of the immune defense. For example, it has been demonstrated that CXCL8 or CXCR2 knockout in zebrafish hinders wound healing and reduces neutrophil recruitment [6]. CXCR2 deletion in mice resulted in failure to clear bacteria from the bladder and kidneys due to reduced neutrophil infiltration [7].
CXCR2 upregulation has been linked to a myriad of inflammatory disorders (such as asthma, chronic obstructive pulmonary disease, cystic fibrosis), autoimmune diseases (e.g., rheumatoid arthritis and psoriasis), and even neurodegenerative diseases (such as multiple sclerosis and Alzheimer’s disease) [8]. Hence, CXCR2 antagonism is a promising therapeutic strategy for treating these inflammatory illnesses.
Furthermore, elevated expression and signaling of CXCR2 is correlated with aggressive cancer phenotypes and a poor prognosis in various cancers, such as lung cancer, colorectal cancer, pancreatic cancer, prostate cancer, breast cancer, gastric cancer and squamous cell carcinoma [9]. In addition, the glutamate-leucine-arginine positive (ELR+) CXC chemokines, which all interact with CXCR2, directly function as growth factors for tumor cells and stimulate metastases. For example, in melanoma cells, CXCL1 and CXCL8 promote cell growth and metastases, and CXCR2 inhibition has been shown to counteract these processes [9,10,11,12]. A crucial step in tumor development that enables exponential cell growth is the onset of angiogenesis or the angiogenic switch, preventing the tumor cells from becoming necrotic [13]. CXCR2 is responsible for this angiogenic switch by stimulating the migration, survival and proliferation of microvascular endothelial cells, via its interaction with ELR+ CXC chemokines, which have shown to be potent angiogenic factors [14].
CXCR2 recruits myeloid derived suppressor cells (MDSCs) to the tumor microenvironment [15]. High MDSCs numbers are associated with an increased resistance of the tumor to therapy, including both chemotherapy and immunotherapy [16]. It has been shown that malignant cells surviving chemo- or radiotherapy had greater expression of CXCR2 ligands, and knockdown of CXCR2 improved the response to treatment with paclitaxel and doxorubicin in a mammary tumor model. Additionally, this knockdown inhibited spontaneous lung metastases [16]. Moreover, it has been demonstrated in multiple preclinical studies that combination treatments of a CXCR2 antagonist with an immune checkpoint inhibitor inhibited tumor growth, resulting in improved survival [17,18]. Overall, there are many reports showing that upregulation of CXCR2 signaling in different cancers contributes to tumor immunity and development, angiogenesis, metastasis and drug resistance. Consequently, CXCR2 antagonists are a promising class of drugs in (immuno)oncology.
Because of the crucial role of CXCR2 in inflammation and oncology, various small molecule CXCR2 antagonists have been developed [19]. Several of these are currently being evaluated in clinical trials. The first class of CXCR2 antagonists to be discovered were the diarylurea CXCR1/2 antagonist [20,21]. Two urea compounds entered clinical trials, namely elubrixin [22] and danirixin (Figure 1) [23]. However, both compounds failed to show a therapeutic effect in ulcerative colitis, cystic fibrosis, chronic obstructive pulmonary disease (COPD), treatment of influenza and their effect on neutrophil extracellular traps. Considering the multiple developability issues that urea compounds often suffer from, such as a limited aqueous solubility, poor membrane permeability and poor metabolic and chemical stability [24], several bioisosteric replacement of the urea core have been explored. These include diarylguanines and analogues thereof [25,26,27,28], and diarylsquaramides [29,30,31,32]. Squaramide navarixin has been explored in numerous clinical trials (Figure 1) [30]. It failed in trials against asthma, psoriasis and COPD due to reduced neutrophil counts. Additionally, it was evaluated as a combination therapy with the immune checkpoint inhibitor pembrolizumab in patients with stage III or stage IV castration resistant prostate cancer, positive refractory non-small cell lung cancer and colorectal cancer.
Figure 1.
CXCR2 antagonists evaluated in clinical trials.
Besides the urea and urea isosteres class, several derivatives with an aromatic ring core have been explored, such as SX-682 [33], AZD-8309 [34], AZD-5069 [35], reparixin and ladarixin [36], which all went into clinical trials (Figure 1). Phase II clinical trials for a combination of SX-682 with nivolumab for the treatment of metastatic colorectal cancer, and a combination of SX-682 with pembrolizumab for metastatic melanoma are ongoing. AZD-8309 was evaluated in a phase I trial for rheumatoid arthritis, COPD and pancreatitis. AZD-8309 was the starting point for the discovery of AZD-5069 via a ring opening strategy [35], which has gone into several clinical trials for COPD, asthma and bronchiectasis treatment, which were all terminated. Additionally, different combination therapies including AZD-5069 have been explored. The combination with MEDI4736 was evaluated for treatment of metastatic pancreatic ductal adenocarcinoma, and with enzalutamide with metastatic castration resistant prostate cancer. Reparixin was evaluated in several phase III clinical trials for preventing graft rejection after organ transplantation, in a phase I trial for treating metastatic breast cancer, and a phase II trial for the combination of reparixin and paclitaxel in treatment of metastatic breast cancer. A phase III trial for ladarixin in the treatment of recent onset type 1 diabetes is ongoing.
Based on the thiazolo[4,5-d]pyrimidine core of the known CXCR2 antagonist AZD-8309 [34,37,38], we previously reported on a scaffold hopping study in which the central core was replaced by various other pyrimidine fused bicyclic heterocycles, with the aim of identifying CXCR2 antagonists based on underexplored chemotypes (Figure 2) [39]. The pyrido[3,4-d]pyrimidine analogue 2 emerged as a promising hit, displaying an IC50 value of 0.11 µM as CXCR2 antagonist, as measured in a kinetic fluorescence-based calcium mobilization assay [39]. Although pyrido[3,4-d]pyrimidines with CXCR2 antagonistic properties are not known, this scaffold has been associated with various other bioactivities. Pyrido[3,4-d]pyrimidin-4-ones were shown to be potent and selective matrix metalloproteinase-13 inhibitors [40]. 8-Substituted pyrido[3,4-d]pyrimidin-4(3H)-ones were potent inhibitors of histone lysine demethylase [41], whereas 2,8-disubstituted pyrido[3,4-d]pyrimidines displayed potent inhibition of monopolar spindle kinase 1 [42].
Figure 2.
Previous scaffold hopping study leading to pyrido[3,4-d]pyrimidine 2.
In this study, a systematic exploration of the substitution pattern of the pyrido[3,4-d]pyrimidine scaffold is pursued in an effort to explore the structure–activity relationship (SAR) of pyrido[3,4-d]pyrimidine 2 and to improve its CXCR2 antagonistic potency.
2. Results and Discussion
2.1. Chemistry
2.1.1. Synthesis of 5-Substituted Pyrido[3,4-d]pyrimidines
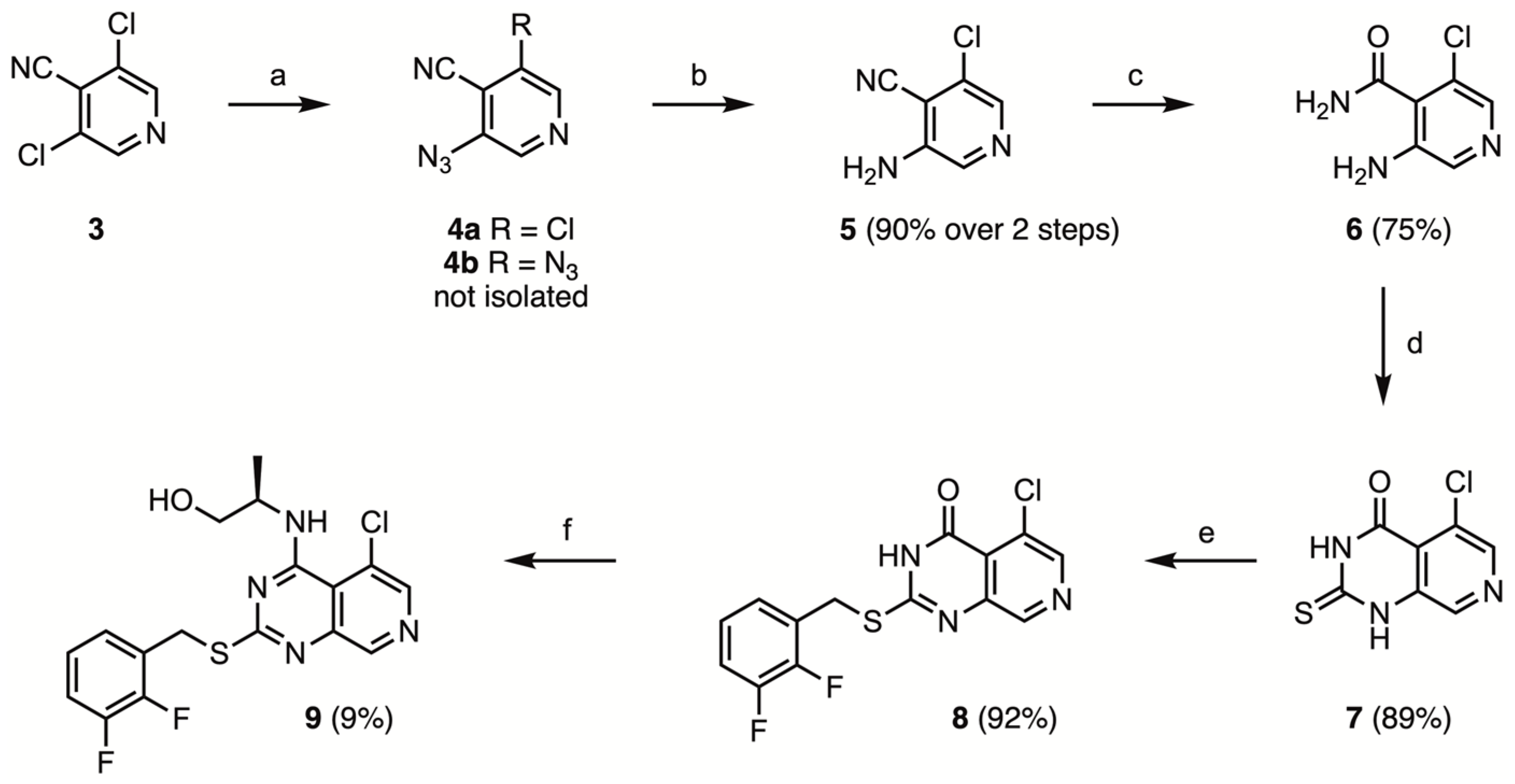
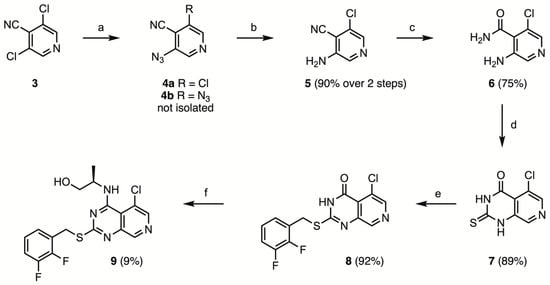
The 5-chloropyrido[3,4-d]pyrimidine was synthesized starting from commercially available 3,5-dichloropyridine-4-carbonitrile 3 (Scheme 1). A nucleophilic aromatic substitution of 3 with sodium azide gave a mixture of the desired azide analogue 4a, along with the disubstituted derivative 4b, in a 9:1 ratio [43]. The reduction of azide 4a towards aminopyridine 5, under Staudinger reaction conditions using triphenylphosphine, was unsuccessful since an intractable mixture of products was obtained with the iminophosphorane functionality still intact. Likely, this is the consequence of the chloropyridine being more susceptible to hydrolysis than the iminophosphorane. In a second attempt, the azide 4a and diazide 4b were not separated and the mixture was directly reduced using iron trichloride/sodium iodide as reductant in acetonitrile,[44] from which the desired compound 5 was isolated in high yield by flash chromatography. Hydrolysis of nitrile 5 using catalytic cesium hydroxide in aqueous ammonia gave amide 6 in good yield, isolated via simple filtration.[45] The 1,8-diazabicyclo(5.4.0)undec-7-ene (DBU)-mediated cyclocondensation of 6 with carbonyl disulfide afforded the 2-thioxopyrido[3,4-d]pyrimidine 7.[46] Benzylation of compound 7 proceeded in moderate yield affording intermediate 8. Chlorination with phosphorus oxychloride, followed by nucleophilic aromatic substitution with (R)-alaninol gave compound 9 in low yield, because of its low solubility resulting in product losses during purification.
Scheme 1.
Synthesis of a 5-chloro-pyrido[3,4-d]pyrimidine analogue. Reagents and conditions. (a) NaN3, DMF, 80 °C; (b) FeCl3, NaI, ACN, RT; (c) CsOH (cat.), aqueous ammonia, 100 °C; (d) CS2, DBU, DMF, 60 °C; (e) 2,3-difluorobenzyl bromide, Et3N, DMF, RT; (f) (i) POCl3, 120 °C, (ii) (R)-alaninol, Et3N, DMF, RT.
The Suzuki-coupling of 5-chloropyrido[3,4-d]pyrimidine 9 with phenylboronic acid gave no conversion when standard reaction conditions were applied, i.e., tetrakis(triphenylphosphine)palladium(0) as catalyst and using potassium carbonate as a base in a mixture of water and dioxane. When transitioning to a more catalytically active system [47], using tris(dibenzylideneacetone)dipalladium(0) (Pd2dba3), dicyclohexyl-(2′,4′,6′-triisopropylbiphenyl)phosphine (XPhos) and K2CO3 in nBuOH, exclusively hydrolysis of the (R)-alaninol moiety was observed, yielding the 4-oxo-pyrido[3,4-d]pyrimidine derivative 8. The poor outcome of these Suzuki reactions can be ascribed to different factors. Lewis-basic heterocycles or compounds having coordinating groups are known to behave poorly in palladium-catalyzed cross-coupling reactions [47]. Compound 9 has a Lewis-basic aminopyridine core and an (R)-alaninol coordinating group. In addition, since the coupling partner is a heteroaryl chloride, the rate of oxidative addition is low. Moreover, steric hindrance of the chlorine at position 6 of the pyrido[3,4-d]pyrimidine scaffold prevents an efficient Suzuki reaction.
2.1.2. Synthesis of 6-Substituted Pyrido[3,4-d]pyrimidines
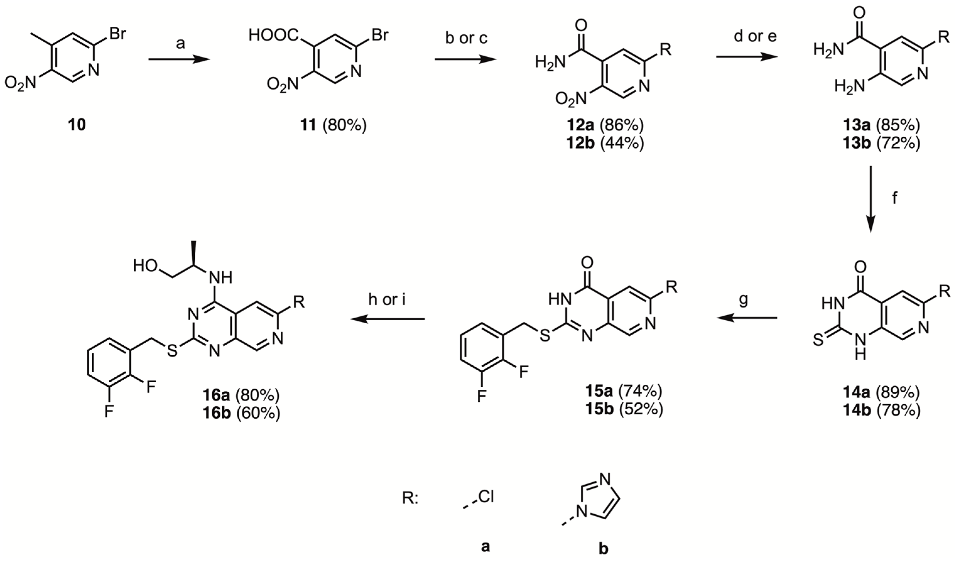
The 6-chloropyrido[3,4-d]pyrimidine analogue was prepared from commercially available 5-bromo-4-methyl-3-nitropyridine 10 (Scheme 2). The Jones oxidation of the 4-methyl substituent gave carboxylic acid 11 in good yield. Carboxamide 12a was prepared via treatment of 11 with oxalyl chloride, followed by a Schotten–Bauman reaction with aqueous ammonia. This resulted in a concomitant transhalogenation of the 6-bromo group, yielding the 6-chloropyridine analogue 12a. Reduction of the nitro group using iron powder under acidic conditions with ultrasonication (Béchamp reaction circumstances) [48], gave the aniline 13a, which was cyclocondensed with carbon disulfide in the presence of DBU to afford the 6-chloro-2-thioxopyrido[3,4-d]pyrimidine-4-one 14a [46]. Subsequent benzylation gave compound 15a. Chlorination of the lactam moiety with thionyl chloride and a catalytic amount of DMF yielded the 4-chloro intermediate, which was not isolated, but directly subjected to an amination reaction, furnishing compound 16a in good yield.
Scheme 2.
Synthesis of 6-substituted pyrido[3,4-d]pyrimidines. Reagents and conditions. (a) K2Cr2O7, H2SO4, 0 °C—RT; (b) (i) (COCl)2, DMF (cat.), DCM, (ii) aqueous ammonia; (c) (i) CDI, THF, RT, (ii) aqueous ammonia, RT; (d) Fe, AcOH, EtOH, H2O, RT; (e) H2, Pd/C, THF, RT; (f) CS2, DBU, DMF, 60 °C; (g) 2,3-difluorobenzyl bromide, Et3N, DMF, RT; (h) (i) SOCl2, DMF (cat.), 80 °C, (ii) (R)-alaninol, Et3N, DMF, RT; (i) (i) BOP, DBU, DMF, RT, (ii) (R)-alaninol, DMF, RT—60 °C.
For derivatization at position 6 of the pyrido[3,4-d]pyrimidine scaffold via palladium-catalyzed cross-coupling reactions, the 6-bromo analogue is preferred. Therefore, several attempts to prevent this transhalogenation were made. Performing the Béchamp reduction of the nitro group of compound 11 prior to oxalyl chlorination should greatly reduce the chance of transhalogenation, since the aminopyridine is far less electrophilic than the corresponding nitropyridine [49]. However, purification of the 5-bromo-3-aminopyridine-carboxamide proved unsuccessful because of its low solubility. Attempts to prepare the bromo-analogue of 12a via an intermediate acid bromide using phosphorus tribromide, followed by the dropwise addition of an aqueous ammonia solution while cooling to −78 °C, afforded only trace amounts of the desired primary amide. Alternatively, the carbonyl 1,1-carbonyldiimidazole (CDI) mediated coupling with ammonia (alleviating the need of a chlorine source) resulted in concomitant nucleophilic aromatic substitution of the bromide by imidazole [50], giving the 5-imidazolyl-2-nitropyridine-4-carboxamide 12b in low yield. Catalytic hydrogenation of the nitro group of compound 12b furnished aminopyridine 13b. Cyclocondensation with carbon disulfide towards 6-imidazolyl-2-thioxopyrido[3,4-d]pyrimidin-4-one 14b was followed by benzylation yielding compound 15b. Next, the one-pot benzotriazol-1-yloxytris(dimethylamino)phosphonium hexafluorophosphate (BOP)-mediated amination with (R)-alaninol gave the 4-amino-6-imidazolyl-pyrido[3,4-d]pyrimidine 16b in good yield [51]. In a final attempt to prepare the 6-bromo analogue, a BOP-mediated amidation of the carboxylic acid 11 with ammonia was applied. Unfortunately, this gave a highly complex mixture, from which the desired compound could not be isolated.
Since various attempts to synthesize the 6-bromopyrido[3,4-d]pyrimidine analogue were unsuccessful, the derivatization of the 6-chloropyrido[3,4-d]pyrimidine 16a via palladium-catalyzed cross-coupling was considered (Scheme 3). The Suzuki coupling with phenylboronic acid, 2-furanylboronic acid and 5-methylfuran-2-boronic acid under the standard conditions gave the desired compounds 17a–c in low to moderate yields. The low yields can partly be explained by challenging purification, since the reactions did not proceed to full conversion. However, for the reaction with 5-methylfuran-2-boronic acid, the low yield resulted from hydrolysis of the (R)-alaninol group towards 15a. For the Suzuki coupling with 2-thienylboronic acid, the more active catalyst system, Pd2dba3/Xphos [47], was used, giving the desired 6-thienylpyrido[3,4-d]pyrimidine 17d in fair yield.
Scheme 3.
Suzuki couplings of 6-chloropyrido[3,4-d]pyrimidine. Reagents and conditions. (a) Pd(PPh3)4, K2CO3, 1,4-dioxane/water, 120 °C; (b) Pd2(dba)3, XPhos, nBuOH, 120 °C.
Finally, the formal introduction of ammonia at position 6 of the pyrido[3,4-d]pyrimidine scaffold was performed using benzophenone imine as ammonia surrogate (Scheme 4) [52]. The pyrimidin-4-one 15a was protected with p-methoxybenzyl chloride which proceeded quantitatively to compound 18.[53] Buchwald–Hartwig amination with benzophenone imine gave the secondary imine 19 in fair yield. Both the benzophenone and p-methoxybenzyl protecting moieties were simultaneously cleaved off by heating in neat trifluoroacetic acid (TFA), giving 6-aminopyrido[3,4-d]pyrimidine-4-one 20 which was isolated by simple filtration. Finally, compound 21 was obtained via a BOP-mediated amination with (R)-alaninol.
Scheme 4.
Synthesis of a 6-amino-pyrido[3,4-d]pyrimidine analogue. Reagents and conditions. (a) p-methoxybenzyl chloride, K2CO3, DMF, RT—60 °C; (b) benzophenone imine, Pd(OAc)2, (±)-BINAP, Cs2CO3, 1,4-dioxane, 120 °C; (c) TFA, 75 °C; (d) (i) BOP, DBU, DMF, RT, (ii) (R)-alaninol, DMF, RT—60 °C.
2.1.3. Synthesis of 2,4-Disubstituted Pyrido[3,4-d]pyrimidines
For the introduction of structural modifications at positions 2 and 4 of the pyrido[3,4-d]pyrimidine scaffold, 2,4-dichloropyrido[3,4-d]pyrimidine 22, prepared according to a literature procedure [54], was selected as key intermediate (Scheme 5). As nucleophilic aromatic substitution on compound 22 is selective for the 4-position, this position was varied first while keeping the 2,3-difluorobenzylthio group fixed. Insertion of selected amines in the presence of triethylamine in DMF proceeded smoothly to give compounds derived from (R)-2-aminobutan-1-ol (compound 23a), 2-amino-2-methylpropan-1-ol (compound 23b), 3-aminopropan-1,2-diol (compound 23c) and aminoethanol (compound 23d) in good yields. For introduction of ethylene glycol, the sodium salt of ethylene glycol, prepared by treating dry ethylene glycol with NaH, was added dropwise to a solution of compound 22 at 0 °C. Despite this controlled addition, the yield of 2-[(2-chloro-pyrido[3,4-d]pyrimidine-4-yl)oxy]ethanol 23e was only moderate. Finally, introduction of the 2,3-difluorobenzylthio moiety on 2-chloropyrido[3,4-d]pyrimidines 23a–e proceeded in high yields affording target compounds 24a–e.
Scheme 5.
Synthesis of 2,4-disubstituted pyrido[3,4-d]pyrimidines. Reagents and conditions. (a) amine, Et3N, ACN, 0 °C—RT; (b) HO(CH2)2OH, NaH, ACN, 0 °C—RT; (c) 2,3-difluorobenzyl thiol, NaH, 1,4-dioxane, RT—60 °C; (d) (R)-alaninol, Et3N, ACN, 0 °C—RT; (e) 2,3-difluorobenzylamine, 1,4-dioxane, 100 °C; (f) 2,3-difluorobenzylalcohol, K2CO3, 1,4-dioxane, 120 °C; (g) thiol, NaH, 1,4-dioxane, RT—60 °C.
In another series, the 2-position substituent was varied while retaining the (R)-alaninol group at position 4. The introduction of the (R)-alaninol substituent on intermediate 22 gave the key intermediate 25. This was aminated with a stoichiometric amount of 2,3-difluorobenzylamine, giving the 2,4-diaminopyrido[3,4-d]pyrimidine 26a in good yield. Introduction of 2,3-difluorobenzylalcohol required using the alcohol nucleophile as cosolvent and a long reaction time. Even then, the reaction did not proceed to full conversion, resulting in tedious purification and a low yield of compound 26b. For the thiol nucleophiles (thiophenol (compound 26c), phenylethanethiol (compound 26d), and hexanethiol (compound 26e)), the nucleophilic aromatic substitution proceeded smoothly and the target compounds 26c–e were isolated in high yields.
2.2. Biological Evaluation
All pyrido[3,4-d]pyrimidines were evaluated as potential CXCR2 antagonists in an in vitro cell-based calcium mobilization assay. Stimulating human glioblastoma U87 cells overexpressing CXCR2 with CXCL8 results in increased intracellular calcium levels, allowing for the determination of functional CXCR2 antagonism. Navarixin, a well-known CXCR2 antagonist, was included as positive control, giving an IC50 value of 0.0049 µM, in agreement with literature values [55]. Since the original pyrido[3,4-d]pyrimidine lead compound 2 was derived from a thiazolo[4,5-d]pyrimidine scaffold, the 2-amino-thiazolo[4,5-d]pyrimidine analogue, endowed with an IC50 value of 0.079 µM, was also included for comparison purposes.
In a first round of SAR, the substitution pattern of the pyridine moiety of the pyrido[3,4-d]pyrimidine scaffold was explored (Table 1). The rationale of selecting halogens was driven by the fact that they can function as handle for subsequent introduction of structural diversity by palladium-catalyzed cross couplings or nucleophilic aromatic substitutions. The 5-chloro compound 9 was one hundred fold less potent as CXCR2 antagonist (IC50 = 11 µM) when compared to the original hit 2. Synthesis problems (vide supra) prevented us from further elaboration of this particular position. The 6-chloro analogue 16a was completely devoid of CXCR2 antagonism. Further elaboration at the 6-position by the synthesis of a 6-N-imidazolyl, 6-phenyl- and 6-thienyl-pyrido[3,4-d]pyrimidine analogue (compounds 16b, 17a and 17d) did not have any beneficial effect on CXCR2 antagonism. Remarkably, the 6-furanyl congener 17b (IC50 = 0.54 µM) showed comparable activity to its unsubstituted congener 2 (IC50 = 0.11 µM). However, introduction of a methyl group on the furanyl group (compound 17c) led again to complete loss of activity. It is well known that an amino group on the thiazolo moiety of thiazolo[4,5-d]pyrimidine yields potent CXCR2 antagonists.[37] In contrast, within the pyrido[3,4-d]pyrimidine series, the presence of an amino group at position 6 (compound 21) led to a complete loss of CXCR2 antagonistic activity. This suggests that the structure–activity relationship (SAR) in the thiazolo[4,5-d]pyrimidines and pyrido[3,4-d]pyrimidines is different and does not run in parallel. Although compounds 2 and 17b are the most potent CXCR2 antagonists within this series, they are still clearly much less active than navarixin and the reference thiazolo[4,5-d]pyrimidine analogue.
Table 1.
CXCR2 antagonism of 5- and 6-substituted pyrido[3,4-d]pyrimidines.
Since the 5- and 6-substituted derivatives displayed strongly reduced activity compared to the unsubstituted pyrido[3,4-d]pyrimidine 2, structural modifications of the substituents at positions 2 and 4 were explored. Subtle structural variations of the (R)-alaninol group of hit compound 2 (Table 2), such as elongation of the methyl to an ethyl group (compound 24a), insertion of an additional methyl group yielding the gem-dimethyl analogue 24b, introducing a hydroxyl functionality (compound 24c) or removal of the methyl group (compound 24d), afforded pyrido[4,3-d]pyrimidines that were completely devoid of CXCR2 antagonism, as evidenced by IC50 values exceeding 30 µM. Similarly, an ethyleneglycol linker at position 4 gave compound 24e also lacking CXCR2 antagonism. This situation is different from the thiazolo[4,5-d]pyrimidine series, since for this latter scaffold, CXCR2 antagonism tolerates structural variation at this position [37].
Table 2.
CXCR2 antagonism of 4-substituted pyrido[3,4-d]pyrimidines.
To probe the importance of the sulfur linker for CXCR2 antagonism, the corresponding amino and oxygen linkers were prepared, yielding compounds 26a and 26b, respectively, that were both devoid of CXCR2 antagonistic activity. Since a sulfur was found to be important for imparting CXCR2 antagonism, a limited number of thiols was appended to position 2 of the pyrido[3,4-d]pyrimidine scaffold. Shortening (compound 26c) or elongation (compound 26d) of the linker between the sulfur and the phenyl moiety furnished analogues that were inactive as CXCR2 antagonists. Since it has been shown before that in the thiazolo[4,5-d]pyrimidine series, an aliphatic side chain is tolerated for CXCR2 antagonism, an n-hexyl linker was installed (compound 26e), which was inactive as CXCR2 antagonist, with an IC50 value exceeding 30 µM (Table 3).
Table 3.
CXCR2 antagonism of 2-substituted pyrido[3,4-d]pyrimidines.
3. Materials and Methods
3.1. Materials
3.1.1. Chemistry
All chemicals were purchased from Acros Organics (Geel, Belgium), Merck (Darmstadt, Germany), Alfa Aesar (Kandel, Germany), Fluorochem (Hadfield, UK) and TCI Europe (Zwijndrecht, Belgium) and used as received. Moisture sensitive reactions were carried out under nitrogen or argon-atmosphere, using flame dried glassware. Reactions were stirred magnetically. Reaction conversion was monitored via TLC analysis using MilliporeSigma™ Silica Gel 60 F254 Coated Aluminum-Backed TLC Sheets or Macherey-Nagel SILPre-coated ALUGRAM® Xtra SIL G/UV254 TLC sheets. Compounds were visualized via UV irradiation (254 nm), iodine coated silica or KMnO4-staining. Column chromatography was performed via standard column chromatography or using an MPLC apparatus. For column chromatography, 70–230 mesh silica 60 (Acros, Geel, Belgium) was used as the stationary phase. MPLC was performed using a CombiFlash EZ prep apparatus with BGB Scorpius Silica 60Å Irregular—50 µm cartridges. 1H NMR spectra were recorded on a Bruker Avance 300 (300 MHz working frequency) or Bruker Avance 400 (400 MHz working frequency). Proton-decoupled 13C NMR spectra were recorded on a Bruker Avance 400 (101 MHz working frequency). 19F NMR spectra were recorded on a Bruker Avance 400 (377 MHz working frequency). Samples were dissolved in d6-DMSO or CDCl3, and chemical shifts (δ) were reported in parts per million (ppm) referenced to tetramethylsilane (1H), or the internal (NMR) solvent signal (1H and 13C) as internal standards [56]. All NMR spectra are presented in Supplementary Materials. High-resolution mass spectra were acquired on a quadrupole orthogonal acceleration time-of-flight mass spectrometer (Synapt G2 HDMS, Waters, Milford, MA, USA). Samples were infused at 3 μL/min and spectra were obtained in positive ionization mode with a resolution of 15,000 (FWHM—full width at half maximum) using leucine enkephalin as a lock mass. Melting points were determined using a Reichert Thermovar apparatus and are uncorrected.
3.1.2. Biology
Recombinant human CXCL8 was obtained from Peprotech (Rocky Hill, NJ, USA).
3.2. Methods
3.2.1. Synthesis
3-Amino-5-chloropyridine-4-carbonitrile (5)
A mixture of 3,5-dichloropyridine-4-carbonitrile 3 (13.76 g, 80.0 mmol, 1.00 eq.) and NaN3 (5.72 g, 8.80 mmol, 1.10 eq.) in DMF (100 mL) was heated to 80 °C for 19 h. After cooling to room temperature, the reaction mixture was transferred to a separatory funnel together with H2O (200 mL) and EtOAc (200 mL). After phase separation the aqueous phase was extracted with EtOAc (2 × 200 mL). The combined organic phases were washed with water (2 × 200 mL) and brine (2 × 200 mL), dried over Na2SO4 and coated on Celite. Filtration over silica using 30% EtOAc/PE gave the crude intermediated product 4a, which was used without further purification in the next step. The obtained solid was dissolved ACN (600 mL) and NaI (107 g, 720 mmol, 9.00 eq.) was added. The suspension was cooled in an ice bath and FeCl3 (19.4 g, 120 mmol, 1.50 eq.) was added. After stirring for 10 min at 0 °C, the mixture was stirred for 30 min at room temperature, when full conversion was observed by TLC. The reaction mixture was transferred to a separatory funnel along with EtOAc (200 mL) and water (100 mL) and quenched with Na2S2O3. After phase separation, the aqueous phase was extracted with EtOAc (2 × 200 mL). The combined organic phases were washed with H2O (2 × 100 mL) and brine (2 × 100 mL), dried over Na2SO4 and filtered over silica. The obtained brown solid was recrystallized twice from methanol to afford the title compound (11.041 g, 71.89 mmol, 90%) as an off-white solid. mp 170—172 °C.
1H NMR (400 MHz, d6-DMSO): δ (ppm) 8.14 (s, 1H), 7.85 (s, 1H), 6.85 (s, 2H); 13C NMR (101 MHz, d6-DMSO): δ (ppm) 147.9, 137.5, 133.8, 130.8, 113.5, 98.7.
3-Amino-5-chloropyridine-4-carboxamide (6)
3-Amino-5-chloropyridine-4-carbonitrile (9.55 g, 62.2 mmol, 1.00 eq.), which had been finely ground with a pestle and mortar, was added to solution of 50% aqueous CsOH (1.4 mL, 7.8 mmol, 13 mol%) in 20% aqueous ammonia (80 mL) in a 100 mL screw-capped reaction tube equipped with a stir bar. After heating to 100 °C for 1 h, all material had dissolved, and the mixture was cooled to 0 °C in an ice bath. The resulting white crystalline precipitate was filtered and washed with ice water and dried under vacuum (40 °C) to afford the title compound as a white solid (7.957 g, 46.37 mmol, 75%).
1H NMR (400 MHz, d6-DMSO): δ (ppm) 7.99 (s, 1H), 7.82 (br. s, 2H), 7.77 (s, 1H), 5.50 (br. s, 2H); 13C NMR (101 MHz, d6-DMSO): δ (ppm) 165.5, 142.3, 136.2, 135.3, 127.1, 126.7.
2-Thioxo-5-chloropyrido[3,4-d]pyrimidine-4-one (7)
DBU (5.0 mL, 33.5 mmol, 2.3 eq.) was added dropwise to a suspension of 2-chloro-5-aminopyridine-4-carboxamide (2.50 g, 14.6 mmol, 1.00 eq.) in dry DMF (25 mL) and CS2 (5.0 mL, 83 mmol, 5.7 eq.), under N2-atmosphere, while cooling in an ice bath. Following complete addition, the reaction mixture was heated to 60 °C for 3 h and then cooled in an ice bath, and poured over 100 mL ice. Next, the reaction mixture was acidified (pH = 2–3) with 1M HCl under continuous stirring. The obtained precipitate was washed with H2O, MeOH, and EtOAc, and dried under vacuum to afford the title compound (2.783 g, 13.0 mmol, 89%) as a green solid that was used without further purification. mp > 300 °C.
2-(2,3-Difluorobenzylmercapto)-5-chloropyrido[3,4-d]pyrimidine-4-one (8)
2-Thioxo-5-chloropyrido[3,4-d]pyrimidine-4-one (427 mg, 2.00 mmol, 1.00 eq.) and dry DMF (20 mL) were added to a flame dried, N2-flushed 100 mL round-bottom flask under N2-atmosphere. The suspension was sonicated for 15 min, after which triethylamine (0.3 mL, 2.2 mmol, 1.1 eq.) was added, resulting in dissolution of the starting material. Next, a solution of 2,3-difluorobenzyl bromide (414 mg, 2.00 mmol, 1.00 eq.) in dry DMF (5 mL) was added dropwise. The reaction mixture was stirred at room temperature for 1 h, concentrated in vacuo and 20 mL H2O was added. The formed precipitate was filtered, washed with water, MeOH and Et2O, and dried under vacuum to afford the title compound (621 mg, 1.83 mmol, 92%) as a beige solid. mp > 300 °C.
1H NMR (400 MHz, d6-DMSO): δ (ppm) 13.04 (br. s, 1H), 8.85 (s, 1H), 8.50 (s, 1H), 7.51–7.42 (app. t, J = 7.0 Hz, 1H), 7.39–7.28 (m, 1H), 7.22–7.11 (m, 1H), 4.55 (s, 2H); HRMS (ESI-Q-TOF): m/z [M+H]+ calcd. for C14H8Cl1F2N3O1S1: 340.01173; found: 340.0114.
(2R)-2-[(5-Chloro-2-(2,3-difluorobenzylmercapto)-pyrido[3,4-d]pyrimidine-4-yl)amino]propanol (9)
In a flame dried, N2-flushed screw capped reaction tube 2-(2,3-difluorobenzylmercapto)-5-chloropyrido[3,4-d]pyrimidine-4-one (600 mg, 1.76 mmoL, 1.00 eq.) and POCl3 (10 mL) were added. After heating to 120 °C for 2 h, the mixture was cooled down to room temperature, and concentrated to dryness in vacuo. The obtained material was resuspended in ethyl acetate, poured over ice and neutralized with saturated aqueous NaHCO3. The obtained aqueous solution was extracted with ethyl acetate, and the combined organic phases were dried over MgSO4 and concentrated in vacuo. The crude intermediate was then dissolved in dry DMF (6 mL), and Et3N (0.50 mL, 3.6 mmol, 2.0 eq.) and (R)-alaninol (0.50 mL, 6.40 mmol, 3.6 eq.) were added dropwise while cooling in an ice bath. After stirring overnight at room temperature, the reaction mixture was concentrated in vacuo. Water (20 mL) and EtOAc (20 mL) were added. Following phase separation, the aqueous phase was extracted with EtOAc (2 × 20 mL). The combined organic phases were washed with water (2 × 20 mL) and brine (2 × 20 mL), dried over Na2SO4 and coated on Celite. Filtration over silica using 1:1 EtOAc/Et2O followed by column chromatography using 40–100% Et2O/PE afforded the title compound (61 mg, 0.15 mmol, 9%) as a white solid. mp 146–148 °C.
1H NMR (400 MHz, d6-DMSO): δ (ppm) 8.83 (s, 1H), 8.43 (s, 1H), 8.04 (d, J = 7.4 Hz, 1H), 7.45–7.37 (app t., J = 7.1 Hz, 1H), 7.34–7.23 (m, 1H), 7.19–7.09 (m, 1H), 5.15 (t, J = 4.5 Hz, 1H), 4.47 (s, 2H), 4.37–4.24 (m, 1H), 3.64–3.48 (m, 2H), 1.21 (d, J = 6.6 Hz, 3H); 13C NMR (101 MHz, d6-DMSO): δ (ppm) 168.0, 156.2, 149.6 (dd, J = 12.6, 245.4 Hz), 149.5, 148.1 (12.9, 246.8 Hz), 146.3, 142.9, 127.9 (d, J = 11.1 Hz), 126.2 (t, J = 2.6 Hz), 124 (t, J = 2.6 Hz), 124.6 (d, J = 4.7, 7.0 Hz), 124.5, 116.2 (d, J = 11.1 Hz), 114.3, 63.0, 48.9, 27.3, 16.3; 19F NMR (377 MHz, d6-DMSO): δ (ppm) −139.30 (m, 1F), −142.74 (m, 1F); HRMS (ESI-Q-TOF): m/z [M+H]+ calcd. for C17H15Cl1F2N4O1S1: 397.06958; found: 397.0697.
2-Bromo-5-nitropyridine-4-carboxylic acid (11)
2-Bromo-4-methyl-5-nitropyridine 10 (25.0 g, 115 mmol, 1.00 eq.) was dissolved in concentrated H2SO4 (100 mL). The mixture was cooled in an ice bath, and K2Cr2O7 (50.83 g, 173 mmol, 1.5 eq.) was added portion-wise. Following complete addition, the mixture was stirred in an ice bath for 1 h and at room temperature for 24 h. The resulting green solution was slowly poured onto 1L of ice. The obtained precipitate was filtered, washed with water until the eluent was no longer green, and dried under vacuum to afford the title compound as white solid (22.780 g, 92.23 mmol, 80%).
1H NMR (400 MHz, d6-DMSO): δ (ppm) 13.03 (br. s, 1H), 9.11 (s, 1H), 8.14 (s, 1H); 13C NMR (101 MHz, d6-DMSO): δ (ppm) 163.7, 146.39, 146.31, 142.2, 138.5, 127.1;
2-Chloro-5-nitropyridine-4-carboxamide (12a)
Oxalyl chloride (20 mL) was added to an ice-cold solution of 2-bromo-5-nitropyridine-4-carboxylic acid 11 (10.00 g, 40.49 mmol) in dry DCM (200 mL) at 0 °C and under N2-atmosphere. After stirring for 5 min, dry DMF (0.2 mL) was added. The reaction mixture was stirred at 0 °C for 1 h and at room temperature overnight. The resulting solution was concentrated in vacuo. The obtained residue was dissolved in dry DCM (50 mL) and added dropwise to a heavily stirred, ice cold 25% aqueous ammonia solution (300 mL). After stirring for 15 min, the formed precipitate was filtered, washed with saturated aqueous NaHCO3 and water, and dried under vacuum overnight to afford the title compound (7.498 g, 34.71 mmol, 86%) as a white solid that was used without further purification.
2-Imidazolyl-5-nitropyridine-4-carboxamide (12b)
In a flame dried N2-flushed round-bottom 100 mL two-necked flask, equipped with a N2-balloon, septum and stir bar, 2-chloro-5-nitropyridine-4-carboxylic acid 11 (1 g, 4.049 mmol, 1.00 eq.), 1,1-carbonyldiimidazole (985 mg, 6.07 mmol, 1.50 eq.) and dry THF (20 mL) were combined. The reaction mixture was stirred at room temperature for 30 min, then aqueous ammonia (3.0 mL, 40 mmol, 10 eq.) was added in one portion. The mixture was stirred overnight at room temperature, and then was transferred to a separatory funnel along with EtOAc (50 mL) and water (20 mL). Following phase separation, the aqueous phase was extracted with EtOAc (1 × 20 mL). The combined organic phases were washed with water and brine, dried over Na2SO4 and concentrated to dryness in vacuo. The obtained solid was triturated with ethanol, filtered and washed with ice cold ethanol to afford the title compound as a white solid (416 mg, 1.78 mmol, 44%). mp 259–261 °C.
1H NMR (400 MHz, d6-DMSO): δ (ppm) 9.20 (s, 1H), 8.72 (s, 1H), 8.31 (br. s, 1H), 8.16 (br. s, 1H), 8.11 (s, 1H), 8.13–8.05 (m, 2H), 7.20 (s, 1H); 13C NMR (101 MHz, d6-DMSO): δ (ppm) 164.9, 151.3, 145.9, 144.0, 140.1, 136.0, 131.1, 117.0, 111.4; HRMS (ESI-Q-TOF): m/z [M+H]+ calcd. for C9H7N5O3: 234.06216; found: 234.0625.
2-Chloro-5-aminopyridine-4-carboxamide (13a)
Activated iron powder (8.31g, 149 mol, 5 eq.) was added to a mixture of 2-chloro-5-nitropyridine-4-carboxamide 12a (6.00 g, 29.8 mmol, 1.00 eq.) in water (15 mL), EtOH (30 mL) and AcOH (30 mL). The resulting suspension was sonicated for 1 h and then filtered over 1:1 Celite/MgSO4, which was washed with EtOAc (500 mL). The filtrate was transferred to a separatory funnel along with water (100 mL). After phase separation, the aqueous phase was extracted with EtOAc (2 × 100 mL). The combined organic phases were washed with saturated aqueous NaHCO3 (3 × 100 mL), water (3 × 100 mL) and brine (2 × 100 mL), dried over Na2SO4 and coated on Celite. Flash chromatography using 50–100% EtOAc/PE afforded the title compound (4.340 g, 25.29 mmol, 85%) as an off-white solid.
1H NMR (400 MHz, d6-DMSO): δ (ppm) 8.12 (br. s, 1H), 7.93 (s, 1H), 7.57 (br. s, 1H), 7.54 (s, 1H), 6.65 (s, 2H); 13C NMR (101 MHz, d6-DMSO): δ (ppm) 168.4, 144.5, 139.3, 135.0, 121.7, 121.5.
5-Amino-2-imidazolyl-pyridine-4-carboxamide (13b)
In a round-bottom 100 mL two-necked flask, equipped with a hydrogen-balloon, septum and stir bar, 2-imidazolyl-5-nitropyridine-4-carboxamide 12b (300 mg, 1.287 mmol, 1.00 eq.) and Pd/C (15 mg, 5 w%) were combined in THF (20 mL). The reaction mixture was stirred for 24 h at room temperature and filtered over Celite. The Celite was thoroughly washed with EtOAc. The solution was coated on Celite. Flash chromatography using 0–20% MeOH/EtOAc afforded the title compound (188 mg, 0.925 mmol, 72%) as an off-white solid. mp 248–251 °C.
1H NMR (400 MHz, d6-DMSO): δ (ppm) 8.28 (s, 1H), 8.14 (br. s, 1H), 8.05 (s, 1H), 7.79 (s, 1H), 7.75 (s, 1H), 7.67 (br. s, 1H), 7.08 (s, 1H), 6.67 (br. s, 2H); 13C NMR (101 MHz, d6-DMSO): δ (ppm) 168.9, 144.1, 138.2, 137.9, 134.3, 129.4, 120.8, 116.6, 111.1; HRMS (ESI-Q-TOF): m/z [M+H]+ calcd. for C9H9N5O1: 204.08798; found: 204.0871.
2-Thioxo-5-chloropyrido[3,4-d]pyrimidine-4-one (14a)
DBU (5.0 mL, 33.5 mmol, 2.3 eq.) was added dropwise to a suspension of 2-chloro-5-aminopyridine-4-carboxamide 13a (2.50 g, 14.6 mmol, 1.00 eq.) in dry DMF (25 mL) and CS2 (5.0 mL, 83 mmol, 5.7 eq.), under N2-atmosphere, while cooling in an ice bath. Following complete addition, the reaction mixture was heated to 60 °C for 3 h, and then cooled in an ice bath and poured over 100 mL ice. While stirring, the reaction mixture was acidified (pH = 2–3) with 1M HCl. The obtained precipitate was washed with H2O, MeOH, and EtOAc and dried under vacuum to afford the title compound (2.783 g, 13.0 mmol, 89%) as a green solid that was used without further purification.
6-Chloro-2-thioxopyrido[3,4-d]pyrimidine-4-one (14b)
A suspension of 5-amino-2-imidazolyl-pyridine-4-carboxamide 13b (150 mg, 0.738 mmol, 1.00 eq.) in dry DMF (1.2 mL), in a flame dried, N2-flushed reaction tube sealed with a septum screw cap, was cooled to 0 °C in an ice bath. Carbon disulfide (0.22 mL, 3.7 mmol, 5 eq.) was added in one portion and DBU (0.22 mL, 1.5 mmol, 1.5 eq.) was added dropwise. After heating to 60 °C for 3 h, the reaction mixture was cooled in an ice bath and poured onto 10 mL ice. The mixture was acidified with 1M HCl (pH 3–4) and filtered. The obtained solid was washed with water, methanol and EtOAc and dried under vacuum to afford the title compound as a yellow solid (142 mg, 0.579 mmol, 78%), which was used without further purification.
2-(2,3-Difluorobenzylmercapto)-6-chloropyrido[3,4-d]pyrimidine-4-one (15a)
2-Thioxo-6-chloropyrido[3,4-d]pyrimidine-4-one 14a (4.180 g, 19.57 mmol, 1.00 eq.) and dry DMF (40 mL) were added to a flame dried, N2-flushed 250 mL round-bottom flask under N2-atmosphere. The suspension was sonicated for 15 min, after which triethylamine (3.0 mL, 22 mmol, 1.1 eq.) was added, resulting in dissolution of the starting material. Next, a solution of 2,3-difluorobenzyl bromide (4.324 g, 20.88 mmol, 1.05 eq.) in dry DMF (20 mL) was added dropwise. The reaction mixture was stirred at room temperature for 2 h, concentrated in vacuo and 50 mL H2O was added. The formed precipitate was filtered, washed with water (2 × 10 mL), MeOH (10 mL) and Et2O (10 mL) and dried under vacuum to afford the title compound (4.996 g, 14.705 mmol, 74%) as a beige solid. mp 235–237 °C
1H NMR (400 MHz, d6-DMSO): δ (ppm) 13.11 (br. s, 1H), 8.82 (s, 1H), 7.88 (s, 1H), 7.51–7.43 (m, 1H), 7.41–7.29 (m, 1H), 7.21–7.12 (m, 1H), 4.56 (s, 2H); 19F NMR (377 MHz, d6-DMSO): δ (ppm) −139.17 (m, 1F), −142.14 (m, 1F) HRMS (ESI-Q-TOF): m/z [M+H]+ calcd. for C14H9Cl1F2N3O1S1: 340.0117; found: 340.0119.
2-(2,3-Difluorobenzylthio)-6-imidazolyl-pyrido[3,4-d]pyrimidine-4-one (15b)
To a flame dried, N2-flushed reaction tube equipped with a stirring bar and a septum screw cap, 6-chloro-2-thioxopyrido[3,4-d]pyrimidine-4-one 14b (123 mg, 0.50 mmol, 1.00 eq.), and dry DMF (2.0 mL) and Et3N (76 μL, 0.55 mmol, 1.1 eq.) were added. A solution of 2,3-difluorobenzyl bromide (109 mg, 0.525 mmol, 1.05 eq.) in dry DMF (1 mL) was added dropwise. After stirring at room temperature for 1 h, the reaction mixture was concentrated to dryness in vacuo, and coated on Celite. Flash chromatography using 0–10% MeOH/EtOAc afforded the title compound (95 mg, 0.26 mmol, 52%).
1H NMR (400 MHz, d6-DMSO): δ (ppm) 13.06 (br. s, 1H), 8.91 (s, 1H), 8.64 (s, 1H), 8.21 (s, 1H), 8.08 (s, 1H), 7.64–7.26 (m, 2H), 7.25–6.93 (m, 2H), 4.49 (s, 2H); 19F NMR (377 MHz, d6-DMSO): δ (ppm) −139.17 (m, 1F), −142.15 (m, 1F); HRMS (ESI-Q-TOF): m/z [M+H]+ calcd. for C17H11F2N5O1S1: 372.07250; found: 372.0727.
(2R)-2-[(6-Chloro-2-(2,3-difluorobenzylmercapto)-pyrido[3,4-d]pyrimidine-4-yl)amino]propanol (16a)
In a flame dried, N2-flushed screw capped reaction tube 2-(2,3-difluorobenzylmercapto)-6-chloropyrido[3,4-d]pyrimidine-4-one 15a (960 mg, 2.83 mmol, 1.00 eq.) and SOCl2 (10 mL) and 1 drop of DMF were added. After heating to 80 °C for 4 h, the mixture was cooled down to room temperature, and concentrated to dryness in vacuo to afford the crude intermediate as a yellow solid. The intermediate was then dissolved in dry DMF (10 mL), and Et3N (1.00 mL, 7.2 mmol, 2.5 eq.) and (R)-alaninol (0.50 mL, 6.4 mmol, 2.3 eq.) were added dropwise while cooling in an ice bath. After stirring for 1 h at room temperature, the reaction mixture was concentrated to dryness in vacuo, transferred to a separatory funnel along with water (10 mL) and EtOAc (20 mL). After extracting with EtOAc (3 × 20 mL), the combined organic phases were washed with water (3 × 20 mL) and brine (2 × 20 mL), dried over Na2SO4 and coated on Celite. Flash chromatography using 50% PE/Et2O–1% MeOH/Et2O, followed by trituration with 50% pentane/Et2O afforded the title compound (902 mg, 2.27 mmol, 80%) as a white solid. m.p. 211–213 °C.
1H NMR (400 MHz, d6-DMSO): δ (ppm) 8.79 (s, 1H), 8.39 (d, J = 7.9 Hz, 1H), 8.37 (s, 1H), 7.46–7.37 (app. t, J = 7.1 Hz, 1H), 7.34–7.23 (m, 1H), 7.17–7.07 (m, 1H), 4.81 (t, J = 5.8 Hz, 1H), 4.47 (s, 2H), 4.42–4.31 (m, 1H), 3.57–3.41 (m, 2H), 1.19 (d, J = 6.7 Hz, 3H); 13C NMR (101 MHz, d6-DMSO): δ (ppm) 168.0, 156.9, 150.2, 149.6 (dd, J = 12.5, 245.5 Hz), 148.1 (dd, J = 12.9, 246.8 Hz), 143.7, 143.0, 128.1 (d, J = 11.2 Hz), 126.3 (t, J = 2.7 Hz), 124.5 (dd, J = 4.7, 6.9 Hz), 119.9, 116.3, 116.2, 116.1, 63.5, 48.8, 27.3, 16.4; 19F NMR (377 MHz, d6-DMSO): δ (ppm) −139.30 (m, 1F), −142.77 (m, 1F); HRMS (ESI-Q-TOF): m/z [M+H]+ calcd. for C17H15Cl1F2N4O1S1: 397.06958; found: 397.0693.
(2R)-2-[(6-Imidazolyl-2-(2,3-difluorobenzylmercapto)-pyrido[3,4-d]pyrimidine-4-yl)amino]propanol (16b)
DBU (0.05 mL, 0.3 mmol, 1.3 eq.) was added dropwise to a solution of 6-chloro-2-(2,3-difluorobenzylthio)-pyrido[3,4-d]pyrimidine-4-one 15b (75 mg, 0.20 mol, 1.00 eq.) and BOP-reagent (116 mg, 0.26 mmol, 1.30 eq.) in dry DMF (1 mL) under N2-atmosphere. Following complete addition, the reaction mixture was stirred for 10 min, after which (R)-alaninol (0.05 mL, 0.6 mmol, 3 eq.) was added dropwise. The reaction mixture was stirred at room temperature overnight, and then heated to 60 °C for 2–3 h. Next, the reaction mixture was concentrated in vacuo and redissolved in 20 mL EtOAc and NH4Cl (10 mL) was added. The aqueous phase was extracted with EtOAc (2 × 20 mL). The combined organic phases were washed with saturated NH4Cl (3 × 10 mL), with water (2 × 10 mL) and brine (2 × 10 mL), and dried over Na2SO4. After coating on Celite, flash chromatography using 0–5% MeOH/DCM afforded the title compound (51 mg, 0.12 mmol, 60%) as a white-yellow solid. mp 245–247 °C.
1H NMR (400 MHz, d6-DMSO): δ (ppm) 8.89 (s, 1H), 8.53 (s, 1H), 8.48 (s, 1H), 8.32 (d, J = 7.2 Hz, 1H), 7.90 (s, 1H), 7.49–7.38 (m, 1H), 7.37–7.25 (m, 1H), 7.24–7.06 (m, 2H), 4.91 (s, 1H), 4.50 (s, 2H), 4.35–4.34 (m, 1H), 3.62–3.45 (m, 2H), 1.23 (d, J = 6.4 Hz, 3H); 13C NMR (101 MHz, d6-DMSO): δ (ppm) 167.1, 157.5, 149.6 (dd, J = 12.5, 245.3 Hz), 149.4, 148.1 (dd, J = 12.7, 246.7 Hz), 143.5, 143.4, 130.2, 128.2 (d, J = 11.1 Hz), 127.3, 126.4 (t, J = 2.7 Hz), 124.6 (dd, J = 4.5, 7.1 Hz), 119.6, 116.2 (d, J = 16.8 Hz), 109.6, 104.1, 63.5, 48.8, 27.3, 16.5; 19F NMR (377 MHz, d6-DMSO): δ (ppm) −139.33 (m, 1F), −142.79 (m, 1F); HRMS (ESI-Q-TOF): m/z [M+H]+ calcd. for C20H18F2N6O1S1: 429.13035; found: 429.1311.
(2R)-2-[(2-(2,3-Difluorobenzylmercapto)-6-phenyl-pyrido[3,4-d]pyrimidine-4-yl)amino]propanol (17a)
To a flame dried, N2-flushed 8 mL reaction tube equipped with a stir bar and a septum screw cap, (2R)-2-[(6-chloro-2-(2,3-difluorobenzylmercapto)-pyrido[3,4-d]pyrimidine-4-yl)amino]propanol 16a (100 mg, 0.250 mmol, 1.00 eq.) K2CO3 (104 mg, 0.75 mmol, 3.00 eq.), 2-phenylboronic acid (56 mg, 0.50 mmol, 2.0 eq.) and Pd(PPh3)4 (30 mg, 0.025 mmol, 10 mol%) were added. Following three cycles of backfilling with nitrogen, 1,4-dioxane (3.0 mL) and water (1.0 mL) were added. After heating to 120 °C for 48 h, the reaction mixture was transferred to a separatory funnel and water (10 mL) was added. The aqueous phase was extracted with EtOAc (3 × 20 mL). The combined organic phases were washed with saturated aqueous NaHCO3, water and brine, dried over Na2SO4 and coated on Celite. Flash chromatography using 20–500% EtOAc/isohexane gave a mixture of starting material and title compound (70 mg, in a 1:9 ratio). This crude product was recrystallized by dissolving in EtOAc and layering with pentane. The obtained crystals were filtered and washed with 1:1 Et2O/pentane to afford the title compound (42 mg, 0.096 mmol, 38%) as an off-white/light-yellow solid. mp 202–204 °C.
1H NMR (400 MHz, d6-DMSO): δ (ppm) 9.02 (s, 1H), 8.75 (s, 1H), 8.47 (d, J = 7.8 Hz, 1H), 8.24–8.16 (m, 2H), 7.54 (t, J = 7.6 Hz, 2H), 7.49–7.41 (m, 2H), 7.38–7.27 (m, 1H), 7.20–7.10 (m, 1H), 4.87 (t, J = 5.7 Hz, 1H), 4.52 (s, 2H), 4.48–4.38 (m, 1H), 3.60–3.46 (m, 2H), 1.24 (d, J = 6.7 Hz, 3H); 13C NMR (101 MHz, d6-DMSO): δ (ppm) 167.2, 157.9, 149.9, 149.6 (dd, J = 12.3, 245.1 Hz), 148.2 (dd, J = 12.9, 246.6 Hz), 143.6, 138.2, 128.7, 128.3 (d, J = 11.0 Hz), 126.3, 124.6 (dd, J = 4.9, 6.7 Hz), 119.1, 116.1 (d, J = 16.8 Hz), 111.6, 63.6, 48.7, 27.2, 16.6;
19F NMR (377 MHz, d6-DMSO): δ (ppm) −139.35 (m, 1F), −142.82 (m, 1F); HRMS (ESI-Q-TOF): m/z [M+H]+ calcd. for C23H20F2N4O1S1: 439.13985; found: 439.1395.
(2R)-2-[(2-(2,3-Difluorobenzylmercapto)-6-(2-furanyl)-pyrido[3,4-d]pyrimidine-4-yl)amino]propanol (17b)
To a flame dried, N2-flushed 8 mL reaction tube equipped with a stir bar and a septum screw cap, (2R)-2-[(6-chloro-2-(2,3-difluorobenzylmercapto)-pyrido[3,4-d]pyrimidine-4-yl)amino]propanol 16a (100 mg, 0.250 mmol, 1.00 eq.) K2CO3 (104 mg, 0.75 mmol, 3.00 eq.), 2-furanyl boronic acid (56 mg, 0.50 mmol, 2.0 eq.) and Pd(PPh3)4 (30 mg, 0.025 mmol, 10 mol%) were added. Following three cycles of backfilling with nitrogen, 1,4-dioxane (3.0 mL) and water (1.0 mL) were added. After heating to 120 °C for 48 h, the reaction mixture was transferred to a separatory funnel, and water (10 mL) was added. The aqueous phase was extracted with EtOAc (3 × 20 mL). The combined organic phases were washed with saturated aqueous NaHCO3, water and brine, and dried over Na2SO4. After coating on Celite, flash chromatography using 70–100% Et2O/PE to 1–2 MeOH/Et2O afforded the title compound (43 mg, 0.10 mmol, 40%) as a light brown solid. mp 163–165 °C.
1H NMR (400 MHz, d6-DMSO): δ (ppm) 8.91 (s, 1H), 8.54 (d, J = 7.9 Hz, 1H), 8.50 (s, 1H), 7.86 (d, J = 1.0 Hz, 1H), 7.47–7.38 (m, 1H), 7.34–7. 23 (m, 1H), 7.17–7.09 (m, 1H), 7.06 (d, J = 3.2 Hz, 1H), 6.68 (d, J = 1.8 Hz, 1H), 6.68 (dd, J = 1.8, 3.3 Hz, 1H), 4.84 (t, J = 5.7 Hz, 1H), 4.49 (s, 2H), 4.45–4.36 (m, 1H), 3.63–3.53 (m, 1H), 3.53–3.44 (m, 1H), 1.21 (d, J = 6.7 Hz, 3H); 13C NMR (101 MHz, d6-DMSO): δ (ppm) 167.1, 157.7, 153.3, 150.2, 149.6 (dd, J = 12.5, 245.3 Hz), 148.2 (dd, J = 12.9, 246.8 Hz), 143.8, 143.5, 142.7, 128.3 (d, J = 11.4 Hz), 126.3 (t, J =2.7 Hz), 124.6 (dd, J = 4.7, 6.9 Hz), 117.9, 116.1 (d, J = 16.8 Hz), 112.5, 109.6, 108.4, 63.7, 48.7, 27.2, 16.5; 19F NMR (377 MHz, d6-DMSO): δ (ppm) −139.32 (m, 1F), −142.80 (m, 1F);
HRMS (ESI-Q-TOF): m/z [M+H]+ calcd. for C21H18F2N4O2S1: 429.1191; found: 429.1195.
(2R)-2-[(2-(2,3-Difluorobenzylmercapto)-6-(5-methylfuran-2-yl)-pyrido[3,4-d]pyrimidine-4-yl)amino]propanol (17c)
To a flame dried, N2-flushed 8 mL reaction tube equipped with a stir bar and a septum screw cap, (2R)-2-[(6-chloro-2-(2,3-difluorobenzylmercapto)-pyrido[3,4-d]pyrimidine-4-yl)amino]propanol 16a (100 mg, 0.250 mmol, 1.00 eq.) K2CO3 (104 mg, 0.75 mmol, 3.00 eq.), 2-furanyl boronic acid (56 mg, 0.50 mmol, 2.0 eq.) and Pd(PPh3)4 (30 mg, 0.025 mmol, 10 mol%) were added. Following three cycles of backfilling with nitrogen, 1,4-dioxane (3.0 mL) and water (1.0 mL) were added. After heating to 120 °C for 10 h, the reaction mixture was transferred to a separatory funnel, and water (10 mL) was added. The aqueous phase was extracted with EtOAc (3 × 20 mL). The combined organic phases were washed with saturated aqueous NaHCO3, water and brine, and dried over Na2SO4. After coating on Celite, flash chromatography using EtOAc/DCM afforded the title compound (17 mg, 0.038 mmol, 15%) as an off-white solid. mp 162–164 °C.
1H NMR (400 MHz, d6-DMSO): δ (ppm) 8.89 (s, 1H), 8.50 (d, J = 7.9 Hz, 1H), 8.37 (s, 1H), 7.48–7.38 (m, 1H), 7.36–7.25 (m, 1H), 7.19–7.09 (m, 1H), 6.96 (d, J = 3.1 Hz, 1H), 6.30 (dd, J = 0.8, 3.1 Hz, 1H), 4.83 (t, J = 5.7 Hz, 1H), 4.50 (s, 2H), 4.47–4.35 (m, 1H), 3.61–3.52 (m, 1H), 3.51–3.44 (m, 1H), 2.42 (s, 3H), 1.21 (d, J = 6.8 Hz, 3H); 13C NMR (101 MHz, d6-DMSO): δ (ppm) 166.7, 157.7, 153.0, 151.8, 150.2, 149.6 (dd, J = 12.5, 245.1 Hz), 148.2 (dd, J = 12.6, 246.8 Hz), 143.2, 142.9, 128.3 (d, J = 11.2 Hz), 126.3 (t, J = 2.8 Hz), 124.6 (dd, J = 4.5, 7.2 Hz), 118.0, 116.1 (d, J = 16.8 Hz), 109.5, 108.7 (d, J = 15.1 Hz), 63.6, 48.7, 27.2, 16.5, 13.7;
19F NMR (377 MHz, d6-DMSO): δ (ppm) −139.36 (m, 1F), −142.83 (m, 1F); HRMS (ESI-Q-TOF): m/z [M+H]+ calcd. for C22H20F2N4O2S1: 443.13476; found: 443.1345.
(2R)-2-[(2-(2,3-Difluorobenzylmercapto)-6-(2-thienyl)-pyrido[3,4-d]pyrimidine-4-yl)amino]propanol (17d)
To a flame dried, N2-flushed 8 mL reaction tube equipped with a stir bar and a screw cap septum, Pd2(dba)3 (6 mg, 7 μmol, 3 mol%), XPhos (24 mg, 0.05 mmol, 20 mol%) (2R)-2-[(6-chloro-2-(2,3-difluorobenzylmercapto)-pyrido[3,4-d]pyrimidine-4-yl)amino]propanol 16a (100 mg, 0.250 mmol, 1.00 eq.), 2-thienyl boronic acid (65 mg, 0.50 mmol, 2.0 eq.), and K3PO4 (107 mg, 0.50 mmol, 2.00 eq.) were added. Following three cycles of backfilling with nitrogen, degassed nBuOH (2.0 mL) was added. After heating to 120 °C for 20 h, the mixture was concentrated in vacuo, and transferred to a separatory funnel along with saturated NH4Cl (8 mL), H2O (2 mL) and EtOAc (20 mL). Following phase separation, the mixture was extracted with EtOAc (1 × 20 mL). The combined organic phases were washed with water (10 mL) and brine (10 mL), and dried over Na2SO4. After coating on Celite. Flash chromatography using 5–40% EtOAc/isohexane afforded the title compound (49 mg, 0.11 mmol, 44%) as an off-white solid. mp 176–178 °C.
1H NMR (400 MHz, d6-DMSO): δ (ppm) 8.89 (s, 1H), 8.65 (s, 1H), 8.35 (d, J = 7.8 Hz, 1H), 7.77 (dd, J = 0.7, 3.5 Hz, 1H), 7.63 (dd, J = 0.7, 5.0 Hz, 1H), 7.47–7.40 (m, 1H), 7.36–7.26 (m, 1H), 7.22 (d, J = 3.7, 5.0 Hz, 1H), 7.18–7.09 (m, 1H), 4.89 (t, J = 5.6 Hz, 1H), 4.50 (s, 2H), 4.46–4.35 (m, 1H), 3.62.–3.45 (m, 2H), 1.24 (d, J = 6.7 Hz, 3H); 13C NMR (101 MHz, d6-DMSO): δ (ppm) 166.9, 157.7, 149.8, 149.6 (dd, J = 12.6, 245.3 Hz), 148.2 (dd, J = 12.8, 246.6 Hz), 146.0, 144.3, 143.4, 128.4, 128.2 (d, J = 11.2 Hz), 127.9, 126.3 (t, J= 2.7 Hz), 124.6 (d, J = 4.6, 7.0 Hz), 124.4, 118.1, 116.2 (d, J = 16.8 Hz), 109.9, 63.6, 48.7, 27.3, 16.5; 19F NMR (377 MHz, d6-DMSO): δ (ppm) −139.32 (m, 1F), −142.80 (m, 1F); HRMS (ESI-Q-TOF): m/z [M+H]+ calcd. for C21H18F2N4O1S2: 445.09627; found: 445.0955.
6-Chloro-2-(2,3-difluorobenzylmercapto)-4-(4-methoxybenzyl)-pyrido[3,4-d]pyrimidine (18)
To a flame dried N2-flushed reaction tube equipped with a screw-cap septum and a stirring bar, 2-(2,3-difluorobenzylmercapto)-6-chloropyrido[3,4-d]pyrimidin-4-one 15a (1.359 g, 4.00 mmol, 1.00 eq.), K2CO3 (0.829 g, 6.00 mmol, 1.5 eq.) and dry DMF (10 mL) were added, resulting in the formation of a clear orange solution. 4-Methoxybenzyl chloride (0.65 mL, 4.8 mmol, 1.2 eq.) was added dropwise while stirring at room temperature. The mixture was stirred at room temperature for 1 h. After a few minutes, a white precipitate started to form. After stirring at 60 °C for 22 h, the mixture was cooled to room temperature; 20 mL ice water was added. The resulting precipitate was filtered, and washed with water, methanol and diethyl ether. After drying in vacuo, the obtained solid was purified via flash chromatography using 40% EtOAc/PE to afford the title compound as a white solid (1.826, 3.970 mmol, 99%). mp 137–139 °C.
1H NMR (400 MHz, d6-DMSO): δ (ppm) 8.89 (s, 1H), 7.97 (s, 1H), 7.51–7.42 (app. t, J = 7.1 Hz, 1H), 7.40–7.29 (m, 1H), 7.21 (d, J = 8.6 Hz, 2H), 7.19–7.10 (m, 1H), 6.89 (d, J = 8.7 Hz, 2H), 5.21 (s, 2H), 4.61 (s, 2H), 3.71 (s, 3H); 13C NMR (101 MHz, d6-DMSO): δ (ppm) 159.2, 158.9, 158.7, 149.6, 145.2, 140.8, 128.5, 127.0, 126.7, 126.6, 126.2 (d, J = 9.9 Hz), 124.7, 119.0, 116.8 (d, J = 16.6 Hz), 113.9, 55.1, 48.9, 29.1; 19F NMR (377 MHz, d6-DMSO): δ (ppm) −139.15 (m, 1F), −141.77 (m, 1F); HRMS (ESI-Q-TOF): m/z [M+H]+ calcd. for C22H16Cl1F2N3O2S1: 460.0693; found: 460.0690.
2-(2,3-Difluorobenzylmercapto)-4-(4-methoxybenzyl)-(N-diphenylmethylene)-pyrido[3,4-d]pyrimidine-6-amine (19)
To a flame dried, N2-flushed 8 mL reaction tube equipped with a stir bar and a septum screw cap, Pd(OAc)2 (23 mg, 0.10 mmol, 10 mol%), (±)-BINAP (93 mg, mg, 0.15 mmol, 15 mol%), 6-chloro-2-(2,3-difluorobenzylmercapto)-4-(4-methoxybenzyl)-pyrido[3,4-d]pyrimidine 18 (460 mg, 1.00 mmol, 1.00 eq.) and Cs2CO3 (456 mg, 1.40 mmol, 1.40 eq.) were added. Following three cycles of backfilling with N2, dry 1,4-dioxane (6.0 mL) and benzophenone imine (370 mg, 2.04 mmol, 2.04 eq.) were added. The mixture was heated to 120 °C for 24 h, then cooled to room temperature, and transferred to a separatory funnel. Water (20 mL) was added, and the aqueous phase was extracted with EtOAc (3 × 20 mL). The combined organic phases were washed with water and brine, dried over Na2SO4 and coated on Celite. Flash chromatography using 0–40% EtOAc/isohexane afforded the title compound (392 mg, 0.648 mmol, 65%) as an orange solid. mp 188–191 °C.
1H NMR (400 MHz, d6-DMSO): δ (ppm) 8.73 (d, J = 0.8 Hz, 1H), 7.72 (d, J = 7.4 Hz, 2H), 7.63–7.55 (m, 1H), 7.55–7.47 (m, 2H), 7.46–7.40 (m, 1H), 7.39–7.27 (m, 4H), 7.25–7.09 (m, 6H), 6.90–6.83 (m, 2H), 5.14 (s, 2H), 4.56 (s, 2H), 3.71 (s, 3H); 1H NMR (400 MHz, CDCl3): δ (ppm) 8.80 (s, 1H), 7.85 (d, J = 7.2 Hz, 2H), 7.57–7.41 (m, 3H), 7.39–7.17 (m, 9H), 7.15–6.99 (m, 2H), 6.89–6.81 (m, 2H), 5.22 (s, 2H), 4.56 (s, 2H), 3.79 (s, 3H); 13C NMR (101 MHz, d6-DMSO): δ (ppm) 171.3, 160.9, 160.5, 159.4, 155.8, 150.6 (dd, J = 12.6, 248.6 Hz), 149.3 (dd, J = 13.0, 249.8 Hz), 148.6, 138.8, 138.2, 136.0, 132.5, 131.5, 130.1, 129.9, 129.6, 129.4, 129.1, 128.3, 128.2, 127.0, 126.15 (t, J = 3.2 Hz), 126.05 (d, J = 10.6 Hz), 124.08 (dd, J = 4.8, 6.7 Hz), 116.8 (d, J = 17.0 Hz), 114.0, 109.6, 55.3, 47.3, 29.7; 19F NMR (377 MHz, d6-DMSO): δ (ppm) −137.73 (m, 1F), −141.08 (m, 1F); HRMS (ESI-Q-TOF): m/z [M+H-Benzophenone]+ calcd. for C22H16Cl1F2N3O2S1: 441.1191; found: 441.1142.
4-Amino-2-(2,3-difluorobenzylmercapto)-pyrido[3,4-d]pyrimidine-4-one (20)
In a screw-capped reaction tube equipped with a stir bar, 2-(2,3-difluorobenzylmercapto)-4-(4-methoxybenzyl)-(N-diphenylmethylene)-pyrido[3,4-d]pyrimidine-6-amine 19 (324 mg, 0.536 mmol) and TFA (6.0 mL) were combined and heated to 75 °C for 1 h. Next, the reaction mixture was concentrated in vacuo. Ethyl acetate and saturated aqueous NaHCO3 were added; the mixture was stirred and filtered. The obtained solid was washed with water and methanol, and dried under vacuum to afford impure 6-amino-2-(2,3-difluorobenzylmercapto)-pyrido[3,4-d]pyrimidine-4-one (112 mg, 0.350 mmol, 65%), which was used without further purification. mp > 300 °C.
(2R)-2-[(6-Amino-2-(2,3-difluorobenzylmercapto)-pyrido[3,4-d]pyrimidine-4-yl)amino]propanol (21)
The crude 6-amino-2-(2,3-difluorobenzylmercapto)-pyrido[3,4-d]pyrimidine-4-one 20 (100 mg, 0.312 mmol, 1.00 eq.), BOP (180 mg, 0.406 mmol, 1.30 eq.) and dry DMF (2.0 mL) were combined. DBU (0.07 mL, 0.5 mmol, 1.5 eq.) was added dropwise, and the reaction mixture was stirred for 10 min at room temperature. Next, (R)-alaninol (0.05 mL, 0.6 mmol, 2 eq.) was added dropwise. The reaction mixture was stirred for 23 h at room temperature and for 2 h at 60 °C. After concentrating in vacuo, EtOAc (40 mL) and saturated NH4Cl (10 mL) were added and the mixture was transferred to a separatory funnel. After phase separation, the aqueous phase was extracted with EtOAc (3 × 20 mL). The combined organic phases were washed with saturated NH4Cl (3 × 10 mL), water (2 × 10 mL) and brine (2 × 10 mL), dried over Na2SO4 and coated on Celite. Flash chromatography using 0–10% MeOH/DCM afforded the title compound (62 mg, 0.16 mmol, 53%) as an off-white solid. mp 174–176 °C.
1H NMR (400 MHz, d6-DMSO): δ (ppm) 8.47 (s, 1H), 7.84 (d, J = 7.9 Hz, 1H), 7.46–7.37 (m, 1H), 7.35–7.24 (m, 1H), 7.19–7.08 (m, 1H), 6.94 (s, 1H), 5.98 (s, 2H), 4.76 (t, J = 5.7 Hz, 1H), 4.42 (s, 2H), 4.37–4.27 (m, 1H), 3.56–3.47 (m, 1H), 3.46–3.37 (m, 1H), 1.16 (d, J = 6.7 Hz, 3H); 13C NMR (101 MHz, d6-DMSO): δ (ppm) 160.8, 156.9, 156.4, 149.6 (dd, J = 12.1, 245.7 Hz), 148.4, 148.1 (dd, J = 12.8, 246.5 Hz), 137.2, 128.7 (d, J = 11.1 Hz), 126.3 (t, J = 2.8 Hz), 124.5 (dd, J = 4.6, 6.9 Hz), 120.5, 116.0 (d, J = 16.9 Hz), 94.6, 63.7, 48.3, 27.0, 16.6; HRMS (ESI-Q-TOF): m/z [M+H]+ calcd. for C17H17F2N5O1S1: 378.11945; found: 378.1200.
2,4-Dichloro-pyrido[3,4-d]pyrimidine (22)
This compound was prepared following a reported procedure [54].
A mixture of 3-aminoisonicotinic acid (10.00 g, 72.4 mmol, 1.00 eq.) and urea (21.74 g, 181.0 mmol) in a screw-capped sealed 80 mL reaction tube was heated to 210 °C for 1 h. After cooling to room temperature, a solution of NaOH (14.2 g, 360 mmol) in 60 mL water was added and the mixture was heated to 100 °C for 1 h. Next, the reaction mixture was cooled down to room temperature, the solid was filtered and washed with water. The obtained crude product was suspended in AcOH (60 mL) and heated to 100 °C for 1 h. After cooling to room temperature, the reaction mixture was filtered and the obtained solid was washed with a large amount of water, and a small amount of methanol and diethyl ether. After drying in vacuo (40 °C) pyrido[3,4-d]pyrimidine-2,4-dione (9.948 g, 61.0 mmol, 84%) was obtained as a white solid.
Pyrido[3,4-d]pyrimidine-2,4-dione was first finely ground with a pestle and mortar. To a flame dried two-necked 500 mL round bottom flask, equipped with an Ar-balloon, septum and stir bar, pyrido[3,4-d]pyrimidine-2,4-dione (9.800 g, 60.07 mmol, 1.00 eq.), dry toluene (100 mL) and POCl3 (55 mL, 92 mmol, 10 eq.) were added. While cooling to 0 °C in an ice bath, DIPEA (21.5 mL, 15.9 mmol, 123.1 eq.) was added dropwise. After stirring at 0 °C for 30 min, the reaction mixture was stirred at room temperature for 24 h and concentrated in vacuo. To the obtained oil, diethyl ether and ice water were added. The mixture was neutralized with saturated aqueous NaHCO3 (pH = 7) while cooling in an ice bath. Due to extensive tar formation, phase separation of the aqueous and organic layers did not occur. This was solved by pouring the mixture into a large beaker (2L) and adding a lot of paper towel to adsorb the tar. This mixture was extracted 5 times with 300 mL diethyl ether, by manually stirring the contents of the beaker with a large spatula and decanting off the organic phase. The combined organic phases were washed with water (2 × 50 mL) and brine (2 × 50 mL), decolorized with activated charcoal and dried over Na2SO4. After concentrating to dryness in vacuo, while keeping the heating bath at room temperature, and drying in vacuo (30 °C), the title compound (6.544 g, 32.72 mmol, 55%) was obtained as a beige-brown solid which was used without further purification.
General procedure A: Nucleophilic aromatic substitution of 2,4-dichloro-pyrido[3,4-d]pyrimidine with amines
To a flame dried, N2-flushed 8 mL reaction tube equipped with a stirring bar 2,4-dichloro-pyrido[3,4-d]pyrimidine 22 (200 mg, 1.00 mmol, 1.00 eq.) and dry ACN (4.0 mL) were added. While cooling to 0 °C in an ice bath, Et3N (0.21 mL, 1.5 mmol, 1.5 eq.) and an amine nucleophile (1.5 mmol, 1.5 eq.) were added dropwise. After stirring for 10 min at 0 °C, the reaction mixture was stirred at room temperature for the specified time. During and after the addition of Et3N and nucleophile, generally, the formation of a yellow precipitate occurred. Next, the reaction mixture was transferred to a 100 mL round bottom flask with methanol; the entire sample was dissolved under gentle heating, and coated on Celite. Flash chromatography using 0–20% MeOH/DCM afforded the title compounds as white or beige solids.
General procedure B: Nucleophilic aromatic substitution of 2,4-dichloro-pyrido[3,4-d]pyrimidine with alcohols
NaH (60% dispersion) was added to a solution of alcohol nucleophile (1.1 eq.) in dry acetonitrile (2.0 mL), in a flame dried N2-flushed 8 mL screw capped reaction tube, and the mixture was sonicated for 30 min. In a separate flame dried, N2-flushed 8 mL reaction tube equipped with a stir bar, 2,4-dichloro-pyrido[3,4-d]pyrimidine 22 (200 mg, 1.00 mmol, 1.00 eq.) and dry ACN (3.0 mL) were added. While cooling to 0 °C in an ice bath, the solution of alcohol sodium salt was added dropwise to the 2,4-dichloro-pyrido[3,4-d]pyrimidine solution. After stirring for 10 min at 0 °C, the reaction mixture was stirred at room temperature for the specified time. Next, the reaction mixture was transferred to a 100 mL round bottom flask with methanol; the entire sample was dissolved under gentle heating, and coated on Celite. Flash chromatography using 0–100% EtOAc/DCM, followed by trituration with pentane and drying under vacuum (40 °C), afforded the title compounds as white or beige solids.
General procedure C: Nucleophilic aromatic substitution of 2-chloropyrido[3,4-d]pyrimidines with thiols
To a flame dried, N2-flused 8 mL reaction tube equipped with a stir bar, the appropriate 2-chloropyrido[3,4-d]pyrimidine (0.25 mmol, 1.00 eq.), thiol nucleophile (0.50 mmol, 2.00 eq.) and dry 1,4-dioxane (1 mL) were combined. NaH 60% dispersion in mineral oil (20 mg, 0.50 mmol, 0.50 eq.) was added in one portion. After stirring at room temperature overnight, methanol (1.0 mL) was added and the mixture was heated to 60 °C for 30 min. After cooling to room temperature, the reaction mixture was transferred to a 100 mL round bottom flask with methanol; the entire sample was dissolved under gentle heating, and coated on Celite. Flash chromatography using 0–20 MeOH/DCM, followed by trituration with pentane and drying under vacuum (40 °C), afforded the title compounds as white solids.
The following compounds were made according to these procedures:
(2R)-2-[(6-Chloro-2-pyrido[3,4-d]pyrimidine-4-yl)amino]butanol (23a)
This compound was prepared following general procedure A. (R)-2-Aminobutan-1-ol (0.14 mL, 1.5 mmol, 1.5 eq.) was reacted for 3h at room temperature. Flash chromatography was performed using 0–20% MeOH/DCM to afford the title compound (206 mg, 0.815 mmol, 82%) as an off-white solid. mp> 300 °C.
1H NMR (400 MHz, d6-DMSO): δ (ppm) 8.98 (s, 1H), 8.72–8.55 (m, 2H), 8.29 (d, J = 5.4 Hz, 1H), 4.82 (t, J = 5.2 Hz, 1H), 4.35–4.19 (m, 1H), 3.65–3.50 (m, 2H), 1.83–1.68 (m, 1H), 1.67–1.51 (m, 1H), 0.90 (t, J = 7.3 Hz, 3H); 13C NMR (400 MHz, d6-DMSO): δ (ppm) 160.8, 158.3, 150.5, 145.1, 144.2, 118.0, 115.9, 62.1, 54.9, 23.2, 10.6; HRMS (ESI-Q-TOF): m/z [M+H]+ calcd. for C11H13Cl1N4O1: 253.0851; found: 253.0848.
2-[(2-Chloro-pyrido[3,4-d]pyrimidine-4-yl)amino]-2-methyl-propan-1-ol (23b)
This compound was prepared following general procedure A. 2-Amino-2-methylpropan-1-ol (0.14 mL, 1.5 mmol, 1.5 eq.) was reacted for 4h at room temperature. Flash chromatography was performed using 0–20% MeOH/DCM, followed by a second column using 0–10 MeOH/Et2O to afford the title compound (165 mg, 0.653 mmol, 65%) as an off-white solid. mp > 300 °C.
1H NMR (400 MHz, d6-DMSO): δ (ppm) 8.96 (s, 1H), 8.59 (d, J = 5.6 Hz, 1H), 8.41 (d, J = 5.6 Hz, 1H), 5.16 (br. s, 1H), 3.70 (s, 2H), 1.44 (s, 6H); 13C NMR (101 MHz, d6-DMSO): δ (ppm) 160.0, 157.2, 150.5, 144.9, 144.1, 118.5, 116.3, 65.8, 57.5, 23.1; HRMS (ESI-Q-TOF): m/z [M+H]+ calcd. for C11H13Cl1N4O1: 253.08505; found: 253.0854.
3-[(2-Chloro-pyrido[3,4-d]pyrimidine-4-yl)amino]propan-1,2-diol (23c)
This compound was prepared following general procedure A. 3-Aminopropan-1,2-diol (0.12 mL, 1.5 mmol, 1.5 eq.) was reacted for 1h30 at room temperature. Flash chromatography was performed using 0–20% MeOH/DCM to afford the title compound (214 mg, 0.840 mmol, 84%) as a beige solid. mp > 300 °C.
1H NMR (400 MHz, d6-DMSO): δ (ppm) 9.06 (t, J = 5.0 Hz, 1H), 8.98 (s, 1H), 8.61 (d, J = 5.5 Hz, 1H), 8.19 (d, J = 5.5 Hz, 1H), 4.96 (d, J = 4.9 Hz, 1H), 4.68 (t, J = 5.5 Hz, 1H), 3.90–3.75 (m, 1H), 3.65 (dt, J = 4.9, 13.2 Hz, 1H), 3.51–3.38 (m, 3H); 13C NMR (101 MHz, d6-DMSO): δ (ppm) 160.7, 158.2, 150.5, 144.9, 144.3, 118.1, 115.8, 69.1, 64.0, 44.8; HRMS (ESI-Q-TOF): m/z [M+H]+ calcd. for C10H11Cl1N4O2: 255.06432; found: 255.0643.
2-[(2-Chloro-pyrido[3,4-d]pyrimidine-4-yl)amino]ethanol (23d)
This compound was prepared following general procedure A. Aminoethanol (0.1 mL, 1.7 mmol, 1.7 eq.) was reacted for 2h at room temperature. Flash chromatography was performed using 0–20% MeOH/DCM followed by a second manual column using 0–10% MeOH/Et2O to afford the title compound (131 mg, 0.583 mmol, 58%) as an off-white solid. mp > 300 °C.
1H NMR (400 MHz, d6-DMSO): δ(ppm) 9.14 (s, 1H), 8.99 (d, J = 0.5 Hz, 1H), 8.63 (d, J = 5.6 Hz, 1H), 8.17 (dd, J = 0.7, 5.6 Hz, 1H), 4.87 (t, J = 5.4 Hz, 1H), 3.69–3.55 (m, 2H); 13C NMR (400 MHz, d6-DMSO): δ(ppm) 160.6, 158.2, 150.5, 144.9, 118.1, 115.7, 58.5, 43.8; HRMS (ESI-Q-TOF): m/z [M+H]+ calcd. for C9H9Cl1N4O1: 225.05376; found: 225.0539.
3-[(2-(2,3-Difluorobenzylmercapto)-pyrido[3,4-d]pyrimidine-4-yl)oxy]ethanol (23e)
This compound was prepared following general procedure B. 3-[(2-Chloro-pyrido[3,4-d]pyrimidine-4-yl)amino]ethanol (56 mg, 0.25 mmol, 1.00 eq.) and 2,3-difluorobenzylthiol (80 mg mL, 0.50 mmol, 2.00 eq.) were used and reacted at 60 °C for 30 min. Flash chromatography was performed using 0–10% MeOH/DCM to afford the title compound (77 mg, 0.22 mmol, 88%) as a beige-brown solid. mp 181–183 °C.
1H NMR (400 MHz, DMSO): δ(ppm) 8.94 (s, 1H), 8.76 (t, J = 4.9 Hz, 1H), 8.50 (d, J = 5.5 Hz, 1H), 8.07 (d, J = 5.2 Hz, 1H), 7.47–7.38 (m, 1H), 7.35–7.23 (m, 1H), 7.18–7.08 (m, 1H), 4.83 (t, J = 5.3 Hz, 1H), 4.49 (s, 2H), 3.66–3.52 (m, 2H); 13C NMR (101 MHz, DMSO): δ(ppm) 163.4, 158.2, 150.1, 149.6 (dd, J = 12.6, 245.3 Hz), 148.2 (dd, J = 12.8, 246.8 Hz), 144.3, 143.0, 128.3 (d, J = 11.4 Hz), 126.3 (t, J = 11.4 Hz), 126.3 (t, J = 2.8 Hz), 124.6 (dd, J = 4.7, 6.9 Hz), 117.3, 116.3 (d, J = 16.9 Hz), 115.6, 58.7, 43.5, 27.2; 19F NMR (377 MHz, DMSO): δ(ppm) −139.35 (m, 1F), −148.50 (m, 1F) HRMS (ESI-Q-TOF): m/z [M+H]+ calcd. for C16H14F2N4O1S1: 349.09290; found: 349.0922.
(2R)-2-[(2-(2,3-Difluorobenzylmercapto)-pyrido[3,4-d]pyrimidine-4-yl)amino]butanol (24a)
This compound was prepared following general procedure C. (2R)-2-[(6-Chloro-2-pyrido[3,4-d]pyrimidine-4-yl)amino]butanol (63 mg, 0.25 mmol, 1.00 eq.) and 2,3-difluorobenzylthiol (80 mg mL, 0.50 mmol, 2.00 eq.) were used and reacted at 60 °C for 30 min. Flash chromatography was performed using 0–10% MeOH/DCM to afford the title compound (87 mg, 0.23 mmol, 92%) as a white solid. mp 174–176 °C.
1H NMR (400 MHz, d6-DMSO): δ (ppm) 8.93 (s, 1H), 8.50 (d, J = 5.5 Hz, 1H), 8.25 (d, J = 8.1 Hz, 1H), 8.19 (d, J = 5.5 Hz, 1H), 7.51–7.37 (m, 1H), 7.36–7.23 (m, 1H), 7.20–7.07 (m, 1H), 7.77 (t, J = 5.4 Hz, 1H), 4.49 (d, J = 1.9 Hz, 2H), 4.37–4.17 (m, 1H), 3.59–3.43 (m, 2H), 1.79–1.65 (m, 1H), 1.64–1.49 (m, 1H), 0.86 (t, J = 7.4 Hz, 3H); 13C NMR (101 MHz, d6-DMSO): δ (ppm) 167.4, 158.3, 150.1, 149.6 (dd, J = 12.5, 245.4 Hz), 148.1 (dd, J = 12.9, 246.6 Hz), 144.4, 142.8, 128.3 (d, J = 11.1 Hz), 126.3 (t, J = 2.7 Hz), 124.6 (dd, J = 4.7, 6.9 Hz), 117.3, 116.1 (d, J = 16.9 Hz), 115.8, 62.2, 54.4, 27.2, 23.3, 10.6; 19F NMR (377 MHz, d6-DMSO): δ (ppm) −139.39 (m, 1F), −142.85 (m, 1F); HRMS (ESI-Q-TOF): m/z [M+H]+ calcd. for C18H18F2N4O1S1: 377.12420; found: 377.1239.
2-[(2-(2,3-Difluorobenzylmercapto)-pyrido[3,4-d]pyrimidine-4-yl)amino]-2-methyl-propan-1-ol (24b)
This compound was prepared following general procedure C. 2-[(2-Chloro-pyrido[3,4-d]pyrimidine-4-yl)amino]-2-methyl-propan-1-ol (63 mg, 0.25 mmol, 1.00 eq.) and 2,3-difluorobenzylthiol (80 mg mL, 0.50 mmol, 2.00 eq.) were used and reacted at 60 °C for 30 min. Flash chromatography was performed using 0–10% MeOH/DCM to afford the title compound (93 mg, 0.247 mmol, 99%) as a white solid. mp 166–168 °C.
1H NMR (400 MHz, d6-DMSO): δ (ppm) 8.94 (s, 1H), 8.49 (d, J = 5.5 Hz, 1H), 8.23 (d, J = 5.5 Hz, 1H), 7.49 (s, 1H), 7.47–7.40 (m, 1H), 7.35- 7.25 (m, 1H), 7.20–7.10 (m, 1H), 4.88 (t, J = 5.9 Hz, 1H), 4.49 (s, 2H), 3.66 (d, J = 5.8 Hz, 2H), 1.40 (s, 6H); 13C NMR (101 MHz, d6-DMSO): δ (ppm) 166.7, 157.7, 150.1, 149.6 (dd, J = 12.6, 245.4 Hz), 148.2 (dd, J = 12.8, 246.7 Hz), 144.2, 142.9, 127.9 (d, J = 11.2 Hz), 126.3 (t, J = 2.9 Hz), 124.6 (dd, J = 4.7, 6.9 Hz), 117.7, 116.2 (d, J = 16.9 Hz), 116.0, 65.9, 56.9, 27.2, 23.3; 19F NMR (377 MHz, d6-DMSO): δ (ppm) −139.33 (m, 1F), −142.78 (m, 1F); HRMS (ESI-Q-TOF): m/z [M+H]+ calcd. for C18H18F2N4O1S1: 377.12420; found: 377.1238.
3-[(2-(2,3-Difluorobenzylmercapto)-pyrido[3,4-d]pyrimidine-4-yl)amino]propan-1,2-diol (24c)
This compound was prepared following general procedure C. 3-[(2-Chloro-pyrido[3,4-d]pyrimidine-4-yl)amino]propan-1,2-diol (64 mg, 0.25 mmol, 1.00 eq.) and 2,3-difluorobenzylthiol (80 mg mL, 0.50 mmol, 2.00 eq.) were used and reacted at 60 °C for 30 min. Flash chromatography was performed using 0–10% MeOH/DCM to afford the title compound (84 mg, 0.22 mmol, 88%) as an off-white solid. mp = 156–158 °C.
1H NMR (400 MHz, d6-DMSO): δ (ppm) 8.94 (s, 1H), 8.72 (t, J = 5.5 Hz, 1H), 8.50 (d, J = 5.4 Hz, 1H), 8.11 (d, J = 5.4 Hz, 1H), 7.50–7.37 (app. t, J = 6.7 Hz, 1H), 7.36–7.23 (m, 1H), 7.19–7.07 (m, 1H), 4.92 (d, J = 4.7 Hz, 1H), 4.65 (t, J = 5.4 Hz, 1H), 4.50 (s, 2H), 3.88–3.75 (m, 1H), 3.74–3.61 (m, 2H), 3.45–3.37 (m, 2H); 13C NMR (101 MHz, d6-DMSO): δ (ppm) 167.3, 158.2, 150.1, 149.6 (dd, J = 12.5, 245.2 Hz), 148.2 (dd, J = 12.8, 246.8 Hz), 144.3, 143.0, 128.3 (d, J = 11.2 Hz), 126.3 (t, J = 2.6 Hz), 124.6 (dd, J = 4.7, 7.0 Hz), 117.3, 116.2 (d, J = 16.9 Hz), 115.7, 69.3, 64.0, 44.5, 27.3; 19F NMR (377 MHz, d6-DMSO): δ (ppm) −139.31 (m, 1F), −142.70 (m, 1F); HRMS (ESI-Q-TOF): m/z [M+H]+ calcd. for C17H16F2N4O2S1: 379.10347; found: 379.1031.
3-[(2-(2,3-Difluorobenzylmercapto)-pyrido[3,4-d]pyrimidine-4-yl)amino]ethanol (24d)
This compound was prepared following general procedure C. 3-[(2-Chloro-pyrido[3,4-d]pyrimidine-4-yl)amino]ethanol (56 mg, 0.25 mmol, 1.00 eq.) and 2,3-difluorobenzylthiol (80 mg mL, 0.50 mmol, 2.00 eq.) were used and reacted at 60 °C for 30 min. Flash chromatography was performed using 0–10% MeOH/DCM to afford the title compound (77 mg, 0.22 mmol, 88%) as a white solid. mp 181–183 °C.
1H NMR (400 MHz, d6-DMSO): δ (ppm) 8.94 (s, 1H), 8.76 (t, J = 4.9 Hz, 1H), 8.50 (d, J = 5.5 Hz, 1H), 8.07 (d, J = 5.2 Hz, 1H), 7.47–7.38 (m, 1H), 7.35–7.23 (m, 1H), 7.18–7.08 (m, 1H), 4.83 (t, J = 5.3 Hz, 1H), 4.49 (s, 2H), 3.66–3.52 (m, 2H); 13C NMR (101 MHz, d6-DMSO): δ (ppm) 163.4, 158.2, 150.1, 149.6 (dd, J = 12.6, 245.3 Hz), 148.2 (dd, J = 12.8, 246.8 Hz), 144.3, 143.0, 128.3 (d, J = 11.4 Hz), 126.3 (t, J = 11.4 Hz), 126.3 (t, J = 2.8 Hz), 124.6 (dd, J = 4.7, 6.9 Hz), 117.3, 116.3 (d, J = 16.9 Hz), 115.6, 58.7, 43.5, 27.2; 19F NMR (377 MHz, d6-DMSO): δ (ppm) −139.35 (m, 1F), −148.50 (m, 1F); HRMS (ESI-Q-TOF): m/z [M+H]+ calcd. for C16H14F2N4O1S1: 349.09290; found: 349.0922.
3-[(2-(2,3-Difluorobenzylmercapto)-pyrido[3,4-d]pyrimidine-4-yl)oxy]ethanol (24e)
This compound was prepared following general procedure B. 3-[(2-Chloro-pyrido[3,4-d]pyrimidine-4-yl)amino]ethanol (56 mg, 0.25 mmol, 1.00 eq.) and 2,3-difluorobenzylthiol (80 mg mL, 0.50 mmol, 2.00 eq.) were used and reacted at 60 °C for 30 min. Flash chromatography was performed using 0–10% MeOH/DCM to afford the title compound (77 mg, 0.22 mmol, 88%) as a beige-brown solid. mp 181–183 °C.
1H NMR (400 MHz, d6-DMSO): δ (ppm) 8.94 (s, 1H), 8.76 (t, J = 4.9 Hz, 1H), 8.50 (d, J = 5.5 Hz, 1H), 8.07 (d, J = 5.2 Hz, 1H), 7.47–7.38 (m, 1H), 7.35–7.23 (m, 1H), 7.18–7.08 (m, 1H), 4.83 (t, J = 5.3 Hz, 1H), 4.49 (s, 2H), 3.66–3.52 (m, 2H); 13C NMR (101 MHz, d6-DMSO): δ (ppm) 163.4, 158.2, 150.1, 149.6 (dd, J = 12.6, 245.3 Hz), 148.2 (dd, J = 12.8, 246.8 Hz), 144.3, 143.0, 128.3 (d, J = 11.4 Hz), 126.3 (t, J = 11.4 Hz), 126.3 (t, J = 2.8 Hz), 124.6 (dd, J = 4.7, 6.9 Hz), 117.3, 116.3 (d, J = 16.9 Hz), 115.6, 58.7, 43.5, 27.2; 19F NMR (377 MHz, d6-DMSO): δ (ppm) −139.35 (m, 1F), −148.50 (m, 1F); HRMS (ESI-Q-TOF): m/z [M+H]+ calcd. for C16H14F2N4O1S1: 349.09290; found: 349.0922.
(2R)-2-[(6-Chloro-2-pyrido[3,4-d]pyrimidine-4-yl)amino]propanol (25)
This compound was prepared following general procedure A. 2,4-Dichloropyrido[3,4-d]pyrimidine (1 g, 5.00 mmol, 1.00 eq.) and (R)-alaninol (0.59 mL, 7.6 mmol, 1.5 eq.) was reacted for 3h at room temperature. Flash chromatography was performed using 0–20% MeOH/DCM, followed by trituration with pentane afforded the title compound (970 mg, 4.06 mmol, 81%) as an off-white solid. mp > 300 °C.
1H NMR (400 MHz, d6-DMSO): δ (ppm) 8.97 (s, 1H), 8.81 (d, J = 7.8 Hz, 1H), 8.61 (d, J = 5.6 Hz, 1H), 8.32 (d, J = 5.6 Hz, 1H), 4.91 (br. s, 1H), 4.47–4.30 (m, 1H), 3.61–3.46 (m, 2H), 1.23 (d, J = 6.7 Hz, 3H); 13C NMR (101 MHz, d6-DMSO): δ (ppm) 160.2 158.3, 150.5, 145.1, 144.2, 118.1, 116.0, 63.5, 49.1, 16.3; HRMS (ESI-Q-TOF): m/z [M+Na]+ calcd. for C10H11Cl1N4O1: 261.0514 found: 261.0512.
(2R)-2-[(2-(2,3-Difluorobenzylamino)-pyrido[3,4-d]pyrimidine-4-yl)amino]propanol (26a)
In a flame dried, N2-flushed 8 mL screw-capped reaction tube equipped with a stirring bar (2R)-2-[(6-chloro-2-pyrido[3,4-d]pyrimidine-4-yl)amino]propanol 25 (119 mg, 0.500 mmol, 1.00 eq.), 2,3-difluorobenzylamine (161 mg, 1.13 mmol, 2.25 eq.) and dry 1,4-dioxane (5 mL) were added. The mixture was stirred at 100 °C for 22 h. After cooling to room temperature, the reaction mixture was dissolved in methanol and coated on Celite. Flash chromatography using 0–20% MeOH/DCM, followed by trituration with pentane, afforded the title compound (135 mg, 0.391 mmol, 78%) as a white-yellow solid. mp 136–140 °C.
1H NMR (400 MHz, d6-DMSO): δ (ppm) 8.59 (s, 1H), 8.15 (d, J = 4.9 Hz, 1H), 7.93 (d, J = 5.4 Hz, 1H), 7.75 (br. s, 1H), 7.39 (br. s, 1H),7.31–7.17 (m, 2H), 7.16–7.08 (m, 2H), 4.74 (br. s, 1H), 4.62 (d, J = 6.0 Hz, 2H), 4.35 (br. s, 1H), 3.60–3.39 (m, 2H), 1.27–1.02 (m, 3H); 13C NMR (101 MHz, d6-DMSO): δ (ppm) 160.1, 15.9, 149.5 (dd, J = 12.7, 245.0 Hz), 148.9, 147.7 (dd, J = 12.6, 245.3 Hz), 146.8, 138.9, 130.3, 124.4 (dd, J = 4.5, 7.0 Hz), 115.6, 115.4 (d, J = 17.0 Hz), 63.8, 48.1, 37.6, 16.8; 19F NMR (377 MHz, d6-DMSO): δ (ppm) −140.15 (m, 1F), −145.26 (m, 1F); HRMS (ESI-Q-TOF): m/z [M+H]+ calcd. for C17H17F2N5O1: 346.1474; found: 346.145.
(2R)-2-[(2-(2,3-Difluorobenzyloxy)-pyrido[3,4-d]pyrimidine-4-yl)amino]propanol (26b)
In a flame dried, N2-flushed 8 mL screw-capped reaction tube equipped with a stir bar (2R)-2-[(6-chloro-2-pyrido[3,4-d]pyrimidine-4-yl)amino]propanol 25 (119 mg, 0.500 mmol, 1.00 eq.), 2,3-difluorobenzylalcohol (0.56 mL, 5.0 mmol, 10 eq.), dry 1,4-dioxane (4 mL) and K2CO3 (138 mg, 1.00 mmol, 2.00 eq.) were added. The mixture was stirred at 120 °C for 48 h. After cooling to room temperature, the reaction mixture was dissolved in methanol and coated on Celite. Flash chromatography using 0–10% MeOH/DCM, followed by trituration with pentane, afforded the title compound (87 mg, 0.25 mmol, 50%) as a light-brown solid. mp 167–169 °C.
1H NMR (400 MHz, d6-DMSO): δ (ppm) 8.88 (s, 1H), 8.43 (d, J = 5.2 Hz, 1H), 8.38 (d, J = 7.6 Hz, 1H), 8.15 (d, J = 5.3 Hz, 1H), 7.70–7.33 (m, 2H), 7.32–7.12 (m, 1H), 5.48 (s, 2H), 4.82 (t, J = 5.5 Hz, 1H), 4.47–4.26 (m, 2H), 3.62–3.50 (m, 1H), 3.50–3.40 (m, 1H), 1.21 (d, J = 6.6 Hz, 3H); 13C NMR (101 MHz, d6-DMSO): δ (ppm) 162.7, 160.9, 149.9, 149.6 (dd, J = 12.3, 245.4 Hz), 148.2 (dd, J = 12.9, 247.7 Hz), 145.6, 141.7, 126.7 (d, J = 11.4 Hz), 125.9 (t, J = 2.6 Hz), 124.9 (dd, J = 4.7, 6.7 Hz), 117.3 (d, J = 16.8 Hz), 116.8, 115.8, 63.7, 61.4, 48.7, 16.5; 19F NMR (377 MHz, d6-DMSO): δ (ppm) −139.34 (m, 1F), −143.8 (m, 1F); HRMS (ESI-Q-TOF): m/z [M+H]+ calcd. for C17H16F2N4O2: 347.1314; found: 347.1319.
(2R)-2-[(2-(Phenylmercapto)-pyrido[3,4-d]pyrimidine-4-yl)amino]propanol (26c)
This compound was prepared following general procedure C. (2R)-2-[(6-Chloro-2-pyrido[3,4-d]pyrimidine-4-yl)amino]propanol (60 mg, 0.25 mmol, 1.00 eq.) and thiophenol (55 mg, 0.50 mmol, 2.00 eq.) were used and reacted at 60 °C for 1 h 30 min. Flash chromatography was performed using 0–20% MeOH/DCM to afford the title compound (62 mg, 0.19 mmol, 76%) as an off-white solid. mp 193–196 °C.
1H NMR (400 MHz, d6-DMSO): δ (ppm) 8.79 (s, 1H), 8.47 (d, J = 5.5 Hz, 1H), 8.28 (d, J = 7.4 Hz, 1H), 8.13 (d, J = 5.5 Hz, 1H), 7.70–7.60 (m, 2H), 7.51–7.40 (m, 3H), 4.73 (t, J = 5.6 Hz, 1H), 4.12–3.96 (m, 1H), 3.45–3.37 (m, 2H), 1.08 (d, J = 6.7 Hz, 3H); 13C NMR (101 MHz, d6-DMSO): δ (ppm) 168.4, 157.8, 150.1, 144.7, 142.7, 135.0, 129.4, 128.94, 128.85, 117.3, 115.7, 63.3, 48.8, 16.3; HRMS (ESI-Q-TOF): m/z [M+H]+ calcd. for C16H16N4O1S1: 347.1314; found: 347.1319.
(2R)-2-[(2-(Phenylethylmercapto)-pyrido[3,4-d]pyrimidine-4-yl)amino]propanol (26d)
This compound was prepared following general procedure C. (2R)-2-[(6-Chloro-2-pyrido[3,4-d]pyrimidine-4-yl)amino]propanol (60 mg, 0.25 mmol, 1.00 eq.) and 2-phenylethanethiol (69 mg, 0.50 mmol, 2.00 eq.) were used and reacted at 60 °C for 1 h 30 min. Flash chromatography was performed using 0–20% MeOH/DCM, followed by trituration with pentane, to afford the title compound (76 mg, 0.223 mmol, 89%) as a white solid. mp 182–184 °C.
1H NMR (400 MHz, d6-DMSO): δ (ppm) 8.91 (s, 1H), 8.48 (d, J = 5.6 Hz, 1H), 8.26 (d, J = 7.8 Hz, 8.15 (d, J = 5.5 Hz, 1H), 7.44–7.26 (m, 4H), 7.26–7.17 (m, 1H), 4.83 (br. s, 1H), 4.50–4.35 (m, 1H), 3.62–3.44 (m, 2H), 3.42–3.35 (m, 2H), 3.01 (t, J = 7.7 Hz, 2H), 0.122 (d, J = 6.7 Hz, 3H); 13C NMR (101 MHz, d6-DMSO): δ (ppm) 168.5, 157.6, 150.1, 144.6, 142.6, 140.5, 128.6, 128.4, 126.2, 117.1, 115.7, 63.7, 48.6, 35.6, 31.5, 16.6; HRMS (ESI-Q-TOF): m/z [M+H]+ calcd. for C18H20N4O1S1: 341.1431; found: 341.1427.
(2R)-2-[(2-(Hexylmercapto)-pyrido[3,4-d]pyrimidine-4-yl)amino]propanol (26e)
This compound was prepared following general procedure C. (2R)-2-[(6-Chloro-2-pyrido[3,4-d]pyrimidine-4-yl)amino]propanol (60 mg, 0.25 mmol, 1.00 eq.) and hexane thiol (59 mg, 0.50 mmol, 2.00 eq.) were used and reacted at 60 °C for 30 min. Flash chromatography was performed using 0–20% MeOH/DCM to afford the title compound (62 mg, 0.19 mmol, 76%) as an off-white solid. mp 147–149 °C.
1H NMR (400 MHz, d6-DMSO): δ (ppm) 8.85 (s, 1H), 8.46 (d, J = 5.5 Hz, 1H), 8.23 (d, J = 7.8 Hz, 1H), 8.13 (d, J = 5.4 Hz, 1H), 4.81 (t, J = 5.7 Hz, 1H), 4.39 (septet, J = 6.6 Hz, 1H), 6.62–3.42 (m, 2H), 3.20–3.00 (m, 2H), 1.67 (quintet, J = 7.4 Hz, 2H), 1.48–1.35 (m, 2H), 1.34–1.24 (m, 4H), 1.23–1.17 (m, 3H), 0.85 (t, J = 7.0 Hz, 3H); 13C NMR (101 MHz, d6-DMSO): δ (ppm) 168.7, 157.5, 150.0, 144.6, 142.4, 117.0, 115.7, 63.6, 48.6, 30.8, 30.0, 29.4, 28.0, 22.0, 16.5, 13.8; HRMS (ESI-Q-TOF): m/z [M+H]+ calcd. for C16H24N4O1S1: 321.1744; found: 321.1747.
3.2.2. CXCR2 Calcium Mobilization Assay
Cells stably expressing CXCR2 (U87.CXCR2) were cultivated in Dulbecco’s modified eagle medium (DMEM; Thermo Fisher Scientific, Waltham, MA, USA) supplemented with 10% Fetal Calf Serum (FCS, Thermo Fisher Scientific) and 10 µg/mL blasticidin (Invivogen, San Diego, CA, USA). Intracellular calcium fluxes induced in U87.CXCR2 cells upon human CXCL8 ligand stimulation were measured at 37 °C using the FLIPR Tetra system (Molecular Devices, Sunnyvale, CA, USA). Therefore, U87.CXCR2 cells were seeded at 2 × 104 cells per well in gelatin-coated black-walled 96-well plates. This coating was done via a two hour incubation of 0.1% gelatin in Dulbecco’s phosphate-buffered saline (DPBS) on each well after which they were washed with DPBS. After cell-seeding, the cells were incubated overnight at 37 °C and 5% CO2. Then, growth medium was discarded, cells were loaded with 80 µL/well Calcium 6-dye mix (Molecular Devices, Sunnyvale, CA, USA) and incubated for two hours at 37 °C and 5% CO2. In the meantime, compounds were serially diluted in assay buffer (Hank’s Balanced Salt Solution (HBSS; Thermo Fisher Scientific), 20 mM HEPES buffer (Thermo Fischer Scientific), 0.5% FCS) in a 96-well plate. Moreover, a 96-well plate containing CXCL8 was prepared. After two hours of incubation, the cells were placed into the FLIPR Tetra system along with the compound plate and the plate containing CXCL8. Compounds were automatically added to the cell plate, followed by a ten minute incubation. Subsequently, CXCL8 was added at a final concentration of 15 nM. Changes in cytosolic calcium concentrations were measured in all 96 wells simultaneously in real time. For each compound, IC50 values for inhibition of the CXCL8-induced calcium response were determined based on negative and positive controls (i.e., untreated cells without or with CXCL8 stimulation, respectively).
4. Conclusions
We recently reported the discovery of a CXCR2 antagonist, based on a pyrido[3,4-d]pyrimidine skeleton. Since this scaffold has not been associated with CXCR2 antagonism before, we embarked on a hit-to-lead optimization campaign in order to optimize the potency of compound 2. Using different synthetic approaches, various substituents were introduced at positions 2, 4, 5 and 6 of the pyrido[3,4-d]pyrimidine scaffold (Figure 3). Unfortunately, nearly all newly prepared analogues completely lacked CXCR2 antagonism, as evidenced by IC50 values exceeding 30 µM, the exception being a 6-furanyl-pyrido[3,4-d]pyrimidine analogue (compound 17b) that is endowed with a five-fold reduced potency when compared to the original hit 2. Therefore, we must conclude that pyrido[3,4-d]pyrimidine 2 is a ‘singleton’ hit compound.
Figure 3.
Summary of the SAR study. The compounds shown in red (24a–e) represent the 4-position variations, shown in blue (26a–e) the 2-positions variations, and those shown in in green (9, 16a, 16b, 17a, 17b, 17c and 21) the 5- and 6-positions variations.
Supplementary Materials
The following supporting information can be downloaded at: https://www.mdpi.com/article/10.3390/molecules28052099/s1, NMR spectra.
Author Contributions
Conceptualization, W.D. and S.D.J.; methodology, S.D.J.; validation, T.V.L. and D.S.; formal analysis, M.V.H., S.C. and K.B.; investigation, M.V.H., S.C., K.B. and T.V.L.; resources, D.S. and W.D.; data curation, S.C., K.B. and T.V.L.; writing—M.V.H. and S.D.J. writing—review and editing, M.V.H., S.C., K.B., T.V.L., D.S., W.D. and S.D.J.; supervision, D.S., W.D. and S.D.J.; project administration, S.D.J. and T.V.L.; funding acquisition, W.D. and D.S. All authors have read and agreed to the published version of the manuscript.
Funding
D.S. thanks the financial support from CELSA funding. W.D. acknowledges the support from KU Leuven (grant C14/19/078).
Data Availability Statement
The data presented in this study are available on request from the corresponding author.
Acknowledgments
The authors thank Bart Van Huffel, Gert Steurs and Wim De Borggraeve for technical support with NMR and Jef Rozenski, Angus Weir and Joleen Masschelein for technical assistance with mass spectrometry. Mass spectrometry was made possible by the support of the Hercules Foundation of the Flemish Government (grant 20100225-7).
Conflicts of Interest
The authors declare no conflict of interest.
References
- Chen, L.; Deng, H.; Cui, H.; Fang, J.; Zuo, Z.; Deng, J.; Li, Y.; Wang, X.; Zhao, L. Inflammatory Responses and Inflammation-Associated Diseases in Organs. Oncotarget 2018, 9, 7204–7218. [Google Scholar] [CrossRef] [PubMed]
- Griffith, J.W.; Sokol, C.L.; Luster, A.D. Chemokines and Chemokine Receptors: Positioning Cells for Host Defense and Immunity. Annu. Rev. Immunol. 2014, 32, 659–702. [Google Scholar] [CrossRef] [PubMed]
- Nesheva, D. Examining the Mechanism of Action of Small-Molecule Negative Allosteric Modulators of the Human Chemokine Receptor CXCR2 2022. Available online: https://eprints.nottingham.ac.uk/id/eprint/69159 (accessed on 10 September 2022).
- Nathan, C. Neutrophils and Immunity: Challenges and Opportunities. Nat. Rev. Immunol. 2006, 6, 173–182. [Google Scholar] [CrossRef]
- Ha, H.; Debnath, B.; Neamati, N. Role of the CXCL8-CXCR1/2 Axis in Cancer and Inflammatory Diseases. Theranostics 2017, 7, 1543–1588. [Google Scholar] [CrossRef] [PubMed]
- de Oliveira, S.; Reyes-Aldasoro, C.C.; Candel, S.; Renshaw, S.A.; Mulero, V.; Calado, A. Cxcl8 (IL-8) Mediates Neutrophil Recruitment and Behavior in the Zebrafish Inflammatory Response. J. Immunol. 2013, 190, 4349–4359. [Google Scholar] [CrossRef] [PubMed]
- Frendeus, B.; Godaly, G.; Hang, L.; Karpman, D.; Lundstedt, A.-C.; Svanborg, C. Interleukin 8 Receptor Deficiency Confers Susceptibility to Acute Experimental Pyelonephritis and May Have a Human Counterpart. J. Exp. Med. 2000, 192, 881–890. [Google Scholar] [CrossRef] [PubMed]
- Zhang, X.; Guo, R.; Kambara, H.; Ma, F.; Luo, H.R. The Role of CXCR2 in Acute Inflammatory Responses and Its Antagonists as Anti-Inflammatory Therapeutics. Curr. Opin. Hematol. 2019, 26, 28–33. [Google Scholar] [CrossRef]
- Jaffer, T.; Ma, D. The Emerging Role of Chemokine Receptor CXCR2 in Cancer Progression. Transl. Cancer Res. 2016, 5, S616. [Google Scholar] [CrossRef]
- Balentien, E.; Mufson, B.E.; Shattuck, R.L.; Derynck, R.; Richmond, A. Effects of MGSA/GRO Alpha on Melanocyte Transformation. Oncogene 1991, 6, 1115–1124. [Google Scholar]
- Singh, R.K.; Gutman, M.; Radinsky, R.; Bucana, C.D.; Fidler, I.J. Expression of Interleukin 8 Correlates with the Metastatic Potential of Human Melanoma Cells in Nude Mice. Cancer Res. 1994, 54, 3242–3247. [Google Scholar]
- Norgauer, J.; Metzner, B.; Schraufstätter, I. Expression and Growth-Promoting Function of the IL-8 Receptor Beta in Human Melanoma Cells. J. Immunol. 1996, 156, 1132–1137. [Google Scholar] [CrossRef] [PubMed]
- Bergers, G.; Benjamin, L.E. Angiogenesis: Tumorigenesis and the Angiogenic Switch. Nat. Rev. Cancer 2003, 3, 401–410. [Google Scholar] [CrossRef] [PubMed]
- Addison, C.L.; Daniel, T.O.; Burdick, M.D.; Liu, H.; Ehlert, J.E.; Xue, Y.Y.; Buechi, L.; Walz, A.; Richmond, A.; Strieter, R.M. The CXC Chemokine Receptor 2, CXCR2, Is the Putative Receptor for ELR+ CXC Chemokine-Induced Angiogenic Activity. J. Immunol. 2000, 165, 5269–5277. [Google Scholar] [CrossRef] [PubMed]
- Veglia, F.; Sanseviero, E.; Gabrilovich, D.I. Myeloid-Derived Suppressor Cells in the Era of Increasing Myeloid Cell Diversity. Nat. Rev. Immunol. 2021, 21, 485–498. [Google Scholar] [CrossRef]
- Sharma, B.; Nawandar, D.M.; Nannuru, K.C.; Varney, M.L.; Singh, R.K. Targeting CXCR2 Enhances Chemotherapeutic Response, Inhibits Mammary Tumor Growth, Angiogenesis, and Lung Metastasis. Mol. Cancer Ther. 2013, 12, 799–808. [Google Scholar] [CrossRef]
- Sun, L.; Clavijo, P.E.; Robbins, Y.; Patel, P.; Friedman, J.; Greene, S.; Das, R.; Silvin, C.; Van Waes, C.; Horn, L.A.; et al. Inhibiting Myeloid-Derived Suppressor Cell Trafficking Enhances T Cell Immunotherapy. JCI Insight 2019, 4, e126853. [Google Scholar] [CrossRef]
- Bullock, K.; Richmond, A. Suppressing MDSC Recruitment to the Tumor Microenvironment by Antagonizing CXCR2 to Enhance the Efficacy of Immunotherapy. Cancers 2021, 13, 6293. [Google Scholar] [CrossRef]
- Zarbock, A.; Stadtmann, A. CXCR2: From Bench to Bedside. Front. Immunol. 2012, 3, 263. [Google Scholar]
- Li, J.J. Small Molecule Interleukin-8 Modulators. Expert Opin. Ther. Pat. 2001, 11, 1905–1910. [Google Scholar] [CrossRef]
- Widdowson, K.; Nie, H.; Jurewicz, A.J.; Hertzberg, R.P.; Sarau, H.M.; Foley, J.J.; Lee, J.; White, J.R.; Veber, D.F. The Role of the Anionic Groups in the Receptor Binding of Interleukin-8 Antagonists. Lett. Pept. Sci. 1998, 5, 235–239. [Google Scholar] [CrossRef]
- Lazaar, A.L.; Sweeney, L.E.; MacDonald, A.J.; Alexis, N.E.; Chen, C.; Tal-Singer, R. SB-656933, a Novel CXCR2 Selective Antagonist, Inhibits Ex Vivo Neutrophil Activation and Ozone-Induced Airway Inflammation in Humans. Br. J. Clin. Pharmacol. 2011, 72, 282–293. [Google Scholar] [CrossRef] [PubMed]
- Miller, B.E.; Mistry, S.; Smart, K.; Connolly, P.; Carpenter, D.C.; Cooray, H.; Bloomer, J.C.; Tal-Singer, R.; Lazaar, A.L. The Pharmacokinetics and Pharmacodynamics of Danirixin (GSK1325756) − a Selective CXCR2 Antagonist − in Healthy Adult Subjects. BMC Pharmacol. Toxicol. 2015, 16, 18. [Google Scholar] [CrossRef]
- Lu, H.; Yang, T.; Xu, Z.; Wren, P.B.; Zhang, Y.; Cai, X.; Patel, M.; Dong, K.; Zhang, Q.; Zhang, W.; et al. 2-Aminopyrimidin-4(1H)-One as the Novel Bioisostere of Urea: Discovery of Novel and Potent CXCR2 Antagonists. Bioorg. Med. Chem. Lett. 2014, 24, 5493–5496. [Google Scholar] [CrossRef]
- Nie, H.; Widdowson, K.L.; Palovich, M.R.; Fu, W.; Elliott, J.D.; Bryan, D.L.; Burman, M.; Schmidt, D.B.; Foley, J.J.; Sarau, H.M.; et al. N,N′-Diarylcyanoguanidines as Antagonists of the CXCR2 and CXCR1 Chemokine Receptors. Bioorg. Med. Chem. Lett. 2006, 16, 5513–5516. [Google Scholar] [CrossRef] [PubMed]
- Wang, Y.; Busch-Petersen, J.; Wang, F.; Ma, L.; Fu, W.; Kerns, J.K.; Jin, J.; Palovich, M.R.; Shen, J.-K.; Burman, M.; et al. 3-Arylamino-2H-1,2,4-Benzothiadiazin-5-Ol 1,1-Dioxides as Novel and Selective CXCR2 Antagonists. Bioorg. Med. Chem. Lett. 2007, 17, 3864–3867. [Google Scholar] [CrossRef] [PubMed]
- Che, J.; Wang, Z.; Sheng, H.; Huang, F.; Dong, X.; Hu, Y.; Xie, X.; Hu, Y. Ligand-Based Pharmacophore Model for the Discovery of Novel CXCR2 Antagonists as Anti-Cancer Metastatic Agents. R. Soc. Open Sci. 2022, 5, 180176. [Google Scholar] [CrossRef] [PubMed]
- Butera, J.A.; Antane, M.M.; Antane, S.A.; Argentieri, T.M.; Freeden, C.; Graceffa, R.F.; Hirth, B.H.; Jenkins, D.; Lennox, J.R.; Matelan, E.; et al. Design and SAR of Novel Potassium Channel Openers Targeted for Urge Urinary Incontinence. 1. N-Cyanoguanidine Bioisosteres Possessing in Vivo Bladder Selectivity. J. Med. Chem. 2000, 43, 1187–1202. [Google Scholar] [CrossRef] [PubMed]
- Merritt, J.R.; Rokosz, L.L.; Nelson, K.H.; Kaiser, B.; Wang, W.; Stauffer, T.M.; Ozgur, L.E.; Schilling, A.; Li, G.; Baldwin, J.J.; et al. Synthesis and Structure–Activity Relationships of 3,4-Diaminocyclobut-3-Ene-1,2-Dione CXCR2 Antagonists. Bioorg. Med. Chem. Lett. 2006, 16, 4107–4110. [Google Scholar] [CrossRef]
- Dwyer, M.P.; Yu, Y.; Chao, J.; Aki, C.; Chao, J.; Biju, P.; Girijavallabhan, V.; Rindgen, D.; Bond, R.; Mayer-Ezel, R.; et al. Discovery of 2-Hydroxy-N,N-Dimethyl-3-{2-[[(R)-1-(5-Methylfuran-2-Yl)Propyl]Amino]-3,4-Dioxocyclobut-1-Enylamino}benzamide (SCH 527123): A Potent, Orally Bioavailable CXCR2/CXCR1 Receptor Antagonist. J. Med. Chem. 2006, 49, 7603–7606. [Google Scholar] [CrossRef]
- Chao, J.; Taveras, A.G.; Chao, J.; Aki, C.; Dwyer, M.; Yu, Y.; Purakkattle, B.; Rindgen, D.; Jakway, J.; Hipkin, W.; et al. C(4)-Alkyl Substituted Furanyl Cyclobutenediones as Potent, Orally Bioavailable CXCR2 and CXCR1 Receptor Antagonists. Bioorg. Med. Chem. Lett. 2007, 17, 3778–3783. [Google Scholar] [CrossRef]
- Dwyer, M.P.; Yu, Y. CXCR2 Modulators: A Patent Review (2009–2013). Expert Opin. Ther. Pat. 2014, 24, 519–534. [Google Scholar] [CrossRef] [PubMed]
- Zebala, J.A.; Maeda, D.Y.; Schuler, A.D. A Pyrimidinecarboxamide Derivative as CXCR1/2 Inhibitor and Its Preparation and Use for the Treatment of Inflammatory and Neoplastic Disorders; World Intellectual Property Organization: Geneva, Switzerland, 2015. [Google Scholar]
- Walters, I.; Austin, C.; Austin, R.; Bonnert, R.; Cage, P.; Christie, M.; Ebden, M.; Gardiner, S.; Grahames, C.; Hill, S.; et al. Evaluation of a Series of Bicyclic CXCR2 Antagonists. Bioorg. Med. Chem. Lett. 2008, 18, 798–803. [Google Scholar] [CrossRef] [PubMed]
- Austin, R.P.; Bennion, C.; Bonnert, R.V.; Cheema, L.; Cook, A.R.; Cox, R.J.; Ebden, M.R.; Gaw, A.; Grime, K.; Meghani, P.; et al. Discovery and Evaluation of a Novel Monocyclic Series of CXCR2 Antagonists. Bioorg. Med. Chem. Lett. 2015, 25, 1616–1620. [Google Scholar] [CrossRef] [PubMed]
- Allegretti, M.; Bertini, R.; Cesta, M.C.; Bizzarri, C.; Di Bitondo, R.; Di Cioccio, V.; Galliera, E.; Berdini, V.; Topai, A.; Zampella, G.; et al. 2-Arylpropionic CXC Chemokine Receptor 1 (CXCR1) Ligands as Novel Noncompetitive CXCL8 Inhibitors. J. Med. Chem. 2005, 48, 4312–4331. [Google Scholar] [CrossRef]
- Baxter, A.; Cooper, A.; Kinchin, E.; Moakes, K.; Unitt, J.; Wallace, A. Hit-to-Lead Studies: The Discovery of Potent, Orally Bioavailable Thiazolopyrimidine CXCR2 Receptor Antagonists. Bioorg. Med. Chem. Lett. 2006, 16, 960–963. [Google Scholar] [CrossRef]
- Hunt, F.; Austin, C.; Austin, R.; Bonnert, R.; Cage, P.; Christie, J.; Christie, M.; Dixon, C.; Hill, S.; Jewell, R.; et al. SAR Studies on Thiazolo[4,5-d]Pyrimidine Based CXCR2 Antagonists Involving a Novel Tandem Displacement Reaction. Bioorg. Med. Chem. Lett. 2007, 17, 2731–2734. [Google Scholar] [CrossRef]
- Van Hoof, M.; Boon, K.; Van Loy, T.; Schols, D.; Dehaen, W.; De Jonghe, S. Identification of Novel Chemotypes as CXCR2 Antagonists via a Scaffold Hopping Approach from a Thiazolo[4,5-d]Pyrimidine. Eur. J. Med. Chem. 2022, 235, 114268. [Google Scholar] [CrossRef]
- Li, J.J.; Nahra, J.; Johnson, A.R.; Bunker, A.; O’Brien, P.; Yue, W.-S.; Ortwine, D.F.; Man, C.-F.; Baragi, V.; Kilgore, K.; et al. Quinazolinones and Pyrido[3,4-d]Pyrimidin-4-Ones as Orally Active and Specific Matrix Metalloproteinase-13 Inhibitors for the Treatment of Osteoarthritis. J. Med. Chem. 2008, 51, 835–841. [Google Scholar] [CrossRef]
- Bavetsias, V.; Lanigan, R.M.; Ruda, G.F.; Atrash, B.; McLaughlin, M.G.; Tumber, A.; Mok, N.Y.; Le Bihan, Y.-V.; Dempster, S.; Boxall, K.J.; et al. 8-Substituted Pyrido[3,4-d]Pyrimidin-4(3H)-One Derivatives As Potent, Cell Permeable, KDM4 (JMJD2) and KDM5 (JARID1) Histone Lysine Demethylase Inhibitors. J. Med. Chem. 2016, 59, 1388–1409. [Google Scholar] [CrossRef]
- Innocenti, P.; Woodward, H.L.; Solanki, S.; Naud, S.; Westwood, I.M.; Cronin, N.; Hayes, A.; Roberts, J.; Henley, A.T.; Baker, R.; et al. Rapid Discovery of Pyrido[3,4-d]Pyrimidine Inhibitors of Monopolar Spindle Kinase 1 (MPS1) Using a Structure-Based Hybridization Approach. J. Med. Chem. 2016, 59, 3671–3688. [Google Scholar] [CrossRef]
- McInally, T.; Tinker, A. Preparation of Fused Pyrimidines as Inhibitors of Nitric Oxide Synthase; World Intellectual Property Organization: Geneva, Switzerland, 1998. [Google Scholar]
- Kamal, A.; Ramana, K.V.; Ankati, H.B.; Ramana, A.V. Mild and Efficient Reduction of Azides to Amines: Synthesis of Fused [2,1-b]Quinazolinones. Tetrahedron Lett. 2002, 43, 6861–6863. [Google Scholar] [CrossRef]
- Chen, H.; Dai, W.; Chen, Y.; Xu, Q.; Chen, J.; Yu, L.; Zhao, Y.; Ye, M.; Pan, Y. Efficient and Selective Nitrile Hydration Reactions in Water Catalyzed by an Unexpected Dimethylsulfinyl Anion Generated in Situ from CsOH and DMSO. Green Chem. 2014, 16, 2136–2141. [Google Scholar] [CrossRef]
- Mizuno, T.; Nishiguchi, I.; Okushi, T.; Hirashima, T. Novel Cycloaddition of 2’-Aminobenzamides with Carbon Disulfide in the Presence of DBU (1,8-Diazabicyclo[5.4.0]Undec-7-Ene). Chem. Express 1991, 6, 439. [Google Scholar] [CrossRef]
- Billingsley, K.L.; Anderson, K.W.; Buchwald, S.L. A Highly Active Catalyst for Suzuki-Miyaura Cross-Coupling Reactions of Heteroaryl Compounds. Angew. Chem. Int. Ed. 2006, 45, 3484–3488. [Google Scholar] [CrossRef] [PubMed]
- Gamble, A.B.; Garner, J.; Gordon, C.P.; O’Conner, S.M.J.; Keller, P.A. Aryl Nitro Reduction with Iron Powder or Stannous Chloride under Ultrasonic Irradiation. Synth. Commun. 2007, 37, 2777–2786. [Google Scholar] [CrossRef]
- Hammett, L.P. The Effect of Structure upon the Reactions of Organic Compounds. Benzene Derivatives. J. Am. Chem. Soc. 1937, 59, 96–103. [Google Scholar] [CrossRef]
- Altmann, E.; Aichholz, R.; Betschart, C.; Buhl, T.; Green, J.; Irie, O.; Teno, N.; Lattmann, R.; Tintelnot-Blomley, M.; Missbach, M. 2-Cyano-Pyrimidines: A New Chemotype for Inhibitors of the Cysteine Protease Cathepsin K. J. Med. Chem. 2007, 50, 591–594. [Google Scholar] [CrossRef] [PubMed]
- Wan, Z.-K.; Wacharasindhu, S.; Binnun, E.; Mansour, T. An Efficient Direct Amination of Cyclic Amides and Cyclic Ureas. Org. Lett. 2006, 8, 2425–2428. [Google Scholar] [CrossRef]
- Wolfe, J.P.; Åhman, J.; Sadighi, J.P.; Singer, R.A.; Buchwald, S.L. An Ammonia Equivalent for the Palladium-Catalyzed Amination of Aryl Halides and Triflates. Tetrahedron Lett. 1997, 38, 6367–6370. [Google Scholar] [CrossRef]
- O’Brien, N.J.; Brzozowski, M.; Wilson, D.J.D.; Deady, L.W.; Abbott, B.M. Synthesis and Biological Evaluation of Substituted 3-Anilino-Quinolin-2(1H)-Ones as PDK1 Inhibitors. Bioorg. Med. Chem. 2014, 22, 3781–3790. [Google Scholar] [CrossRef]
- Behnke, D.; Berenshteyn, F.; Hao, X.; Hoffman, T.; Jin, Q.; Lacoste, A.; Lee, C.; Liu, J.; Liu, Y.; Maibaum, J.K.; et al. Preparation of Fused Heteroarylpyridine Amines as Large Tumor Suppressor Kinase Inhibitors; World Intellectual Property Organization: Geneva, Switzerland, 2018. [Google Scholar]
- Gonsiorek, W.; Fan, X.; Hesk, D.; Fossetta, J.; Qiu, H.; Jakway, J.; Billah, M.; Dwyer, M.; Chao, J.; Deno, G.; et al. Pharmacological Characterization of Sch527123, a Potent Allosteric CXCR1/CXCR2 Antagonist. J. Pharmacol. Exp. Ther. 2007, 322, 477–485. [Google Scholar] [CrossRef] [PubMed]
- Fulmer, G.R.; Miller, A.J.M.; Sherden, N.H.; Gottlieb, H.E.; Nudelman, A.; Stoltz, B.M.; Bercaw, J.E.; Goldberg, K.I. NMR Chemical Shifts of Trace Impurities: Common Laboratory Solvents, Organics, and Gases in Deuterated Solvents Relevant to the Organometallic Chemist. Organometallics 2010, 29, 2176–2179. [Google Scholar] [CrossRef]
Disclaimer/Publisher’s Note: The statements, opinions and data contained in all publications are solely those of the individual author(s) and contributor(s) and not of MDPI and/or the editor(s). MDPI and/or the editor(s) disclaim responsibility for any injury to people or property resulting from any ideas, methods, instructions or products referred to in the content. |
© 2023 by the authors. Licensee MDPI, Basel, Switzerland. This article is an open access article distributed under the terms and conditions of the Creative Commons Attribution (CC BY) license (https://creativecommons.org/licenses/by/4.0/).
































