Abstract
A new route to bicyclic γ-lactams was found, which was proposed as a three-component cyclization of ethyl trifluoropyruvate with methyl ketones and 1,2-, 1,3-amino alcohols. As a result, a series of trifluoromethyl-substituted tetrahydropyrrolo [2,1-b]oxazol-5-ones and tetrahydropyrrolo[2,1-b][1,3]oxazine-6-ones was synthesized, in which the substituent at the nodal carbon atom was varied. The introduction of a twofold excess of ethyl trifluoropyruvate in reactions with amino alcohols and acetone made it possible to obtain the same bicycles, but functionalized with a hydroxyester fragment, which are formed due to four-component interactions of the reagents. Transformations with 2-butanone and aminoethanol lead predominantly to similar bicycles, while an analogous reaction with aminopropanol gives N-hydroxypropyl-2,3-dihydropyrrol-5-one. Almost all bicycles are formed as two diastereomers, the structure of which was determined using 1H, 19F, 13C NMR spectroscopy, including two-dimensional experiments and XRD analysis. A domino mechanism for the formation of tetrahydropyrrolo[2,1-b]oxazacycles was proposed, which was confirmed by their stepwise synthesis through the preliminary preparation of the aldol and bis-aldol from ethyl trifluoropyruvate and methyl ketones.
1. Introduction
The γ-lactam (2-pyrrolidone) framework is of great importance for the creation of new heterocyclic compounds, since this motif is present in many natural bioactive molecules [1], including alkaloid cotinine (I) found in tobacco [2], lactacystin (II), obtained from a Streptomyces bacterial strain [3] and clausenamide (III) extracted from Clausena lansium [4] (Figure 1). Some synthetic pharmaceuticals also have a γ-lactam moiety, for example, a respiratory stimulant doxapram (IV) [5], ethosuximide (V) used to treat absence seizures [6], and the large family of racetams that have nootropic and/or anticonvulsant effects [7]. One of the representatives of this series, dimiracetam (tetrahydropyrrolo[1,2-a]imidazole-2,5-dione) (VI) [8] is a bicyclic derivative of γ-lactam. Moreover, γ-lactam analogues of penem (VII) [9] and penicillin acids (VIII) [10] with antibacterial properties have been synthesized.
Figure 1.
Examples of bioactive γ-lactams.
One of the known bicyclic γ-lactams are Meyers’ lactams (tetrahydropyrrolo[2,1-b]oxazol-5-ones) (IX) [11] (Figure 1), which have a great synthetic potential for obtaining natural alkaloids due to the possibility of opening the oxazole ring [12]. For their preparation, a bielectrophile–binucleophile reaction of γ-keto acids with chiral amino alcohols, called Meyers’ lactamization, is used [13,14]. In addition, oxazolo-annulated γ-lactams can be obtained by cyclization of levulinic acid with R-phenylglycinol [15] or by the reaction of hydroxyl halogenoamides with Michael acceptors [16,17]. The latter method was also used for the synthesis of oxazine-annulated γ-lactams (tetrahydropyrrolo[2,1-b][1,3]oxazine-6-ones) [17]. Cyclization of ethyl 4-oxoalkanoates with amino alcohols is also a convenient protocol for the synthesis of this bicyclic system [18,19,20].
The preparation of fluorine-containing tetrahydropyrrolo[2,1-b]oxazol-5-ones is limited to a few examples. Pentafluoroethyl- and tri(di)fluoromethyl-substituted derivatives were prepared by addition of CF3CF2Li to the N-valinol imide at low temperatures [21], or acid-catalyzed cyclization of phenylalaninol with methyl 5,5,5-trifluoro-4-oxopentanoate [22] or ethyl 5,5-difluoro-4-oxopentanoate [23], respectively. Electrophilic fluorination of tetrahydropyrrolo[2,1-b]oxazolones via their enolation followed by the reaction with N-fluorobenzenesulfonimide at −70–(−78 °C) made it possible to synthesize such mono-fluorinated bicycles [24]. It is obvious that all these methods have strict restrictions on the reagents introduced, and some of them require special equipment. Information on fluorine-containing tetrahydropyrrolo[2,1-b][1,3]oxazine-6-ones was not found by us. Although the synthesis of fluoroorganic compounds is gaining more and more popularity [25,26], due to the unique properties [27,28,29] that fluorine atoms introduce to molecules [30], as a result, they have more prospects as biologically active substances.
Multicomponent synthesis is the most modern, simple and low-cost way to create new molecules from available starting reagents. Over the past 7 years, our group has been developing a new multicomponent approach that makes it possible to obtain various fluorine-containing heterocyclic compounds from commercially available polyfluoroalkyl-3-oxo esters, methyl ketones, and nucleophiles [31,32,33,34].
This protocol is based on the outstanding ability of the polyfluoracyl group of the oxoester to attach the activated methylene group of the ketone. We have recently used this method for the synthesis of pyrrolidones annulated with an imidazole or pyrimidine ring based on the three-component reaction of ethyl trifluoropyruvate and methyl ketones with ethylenediamine or 1,3-diaminopropane [35]. It was found that, in contrast to similar transformations of trifluoroacetoacetic ester, the use of an excess of ethyl trifluoropyruvate in the reaction with acetone and diamines under microwave irradiation leads to tricyclic products with two pyrrolidone fragments.
In this work, for the synthesis of γ-lactams annulated with oxazole or oxazine rings (tetrahydropyrrolo[2,1-b]oxazol-5-ones and tetrahydropyrrolo[2,1-b][1,3]oxazine-6-ones), multicomponent reactions of ethyl trifluoropyruvate 1 with methyl ketones 2 and 1,2-, 1,3-amino alcohols 3 were studied. In addition, their differences from the previously studied cyclizations with 1,2- and 1,3-diamines were found [35].
2. Results
We started our study with a three-component reaction of ethyl trifluoropyruvate 1 with acetone 2a and 2-aminoethanol 3a in 1,4-dioxane at an equimolar ratio of reagents at room temperature (Scheme 1), since previously such conditions were optimal in similar syntheses with diamines [35]. It turned out that the reaction in 1,4-dioxane proceeds nonselectively and, in addition to a mixture of cis- and trans-diastereomers of the expected 6-hydroxy-7a-methyl-6-(trifluoromethyl)tetrahydropyrrolo[2,1-b]oxazol-5-one 4a, a small amount of ethyl 3,3,3-trifluoro-2-hydroxy-2[(6-hydroxy-5-oxo-6-(trifluoromethyl)tetrahydropyrrolo[2,1-b]oxazol-7a-yl)methyl]propanoate 5 is also formed as two trans,cis- and cis,cis-diastereomers (Scheme 1, Table 1, entry 1). The cis- and trans-configurations of diastereomeric bicycles 4 were determined relative to the OH-group and oxygen atom of the adjacent heterocycle. Note that the trans,cis- and cis,cis- diastereomers 5 have an additional stereocenter in the hydroxyester fragment.
Scheme 1.
Three-component reaction of ethyl trifluoropyruvate 1, acetone 2a and aminoethanol 3a.
Table 1.
Optimization of the reaction conditions for ethyl trifluoropyruvate 1, acetone 2a, and aminoethanol 3a.
The formation of these products was recorded during the analysis of the reaction mixture by 19F NMR spectroscopy and GC-MS. It should be noted that in the GC-MS analysis diastereomers of bicycles 4a and 5 had the same peaks of molecular ions, but different retention times. The use of 19F NMR spectroscopy is very informative in such studies, since the starting pyruvate 1 (δF CF3 81.08 ppm) and products based on it have different chemical shifts of the signals of CF3 groups.
The non-selective reaction of ethyl trifluoropyruvate 1 with acetone 2a and aminoethanol 3a in 1,4-dioxane prompted us to investigate this synthesis in various solvents and with different amounts of pyruvate 1. However, varying solvents (toluene, THF, dichloroethane, ethanol, acetonitrile) at equimolar loadings of reagents invariably led to the formation of a mixture of products 4a and 5, while the number of heterocycles 5 in the reaction mixture even increased (Table 1, entries 1–6).
Since bicycle 5 is the result of a four-component cyclization due to the participation of two molecules of trifluoropyruvate 1, it was logical to study these transformations with its twofold excess. Indeed, it turned out that the use of a twofold excess of pyruvate 1 increased the yield of compounds 5, while bicycle 4a was formed in a minimum amount of 2–6% (Table 1, entries 7–9). However, using an excess of pyruvate 1, we detected the formation of aldol 6a [36] and bis-aldol 7a [35] by 19F NMR spectroscopy, which were isolated and characterized earlier. The highest yield of heterocycles 5 was achieved in THF at room temperature (Table 1, entry 9). Heating the reaction mixture in THF at 50 °C to speed up the process resulted in resinification and an increase in by-products (Table 1, entry 10).
Thus, as a result of varying the conditions, it was found that 1,4-dioxane is the most optimal solvent for the preparation of heterocycle 4a, and THF for the synthesis of product 5.
Furthermore, we carried out three-component equimolar reactions of ethyl trifluoropyruvate 1 with methyl ketone 2a–d and 2-aminoethanol 3a or 3-amino-1-propanol 3b in 1,4-dioxane at room temperature. In this case, the introduction of aminopropanol 3b in the reaction expands the scope of these three-component transformations, allowing the synthesis of oxazine derivatives. Variation of the methyl ketone component, which used not only acetone 2a, but also 2-butanone 2b, 2-hexanone 2c, and acetophenone 2d, makes it possible to change the substituent at the nodal carbon atom of the resulting bicycles. It was found that in reactions with alkyl methyl ketones 2a–c in each case, a mixture of cis- and trans-diastereomers of pyrrolo[2,1-b][1,3]oxazol-5-ones 4a–c or pyrrolo[2,1-b][1,3]oxazin-6-ones 8a–c is formed (Scheme 2). Notably, there is one more regularity: trans-diastereomers were prevailed in the formation of oxazole derivatives 4, while cis-isomers were prevailed in the formation of oxazine bicycles 8.
Scheme 2.
Three-component equimolar reactions of ethyl trifluoropyruvate 1 and methyl ketones 2a–d with amino alcohols 3a,b (all yields are given for isolated products).
In contrast, similar cyclizations of ethyl trifluoropyruvate 1 with amino alcohols 3a,b and acetophenone 2d in each case, lead to one diastereomer 4dc or 8dt. The change and increase in stereoselectivity of this reaction may be due to the presence of a bulky phenyl substituent, which plays the role of a conformational anchor stabilizing the most favorable diastereomeric form.
We succeeded in isolating diastereomers 4at, 4bt, 4cc, 4dc, 8bt, 8cc, 8dt in pure form by column chromatography. Diastereomers 4ac, 4bc, 4ct, 8ac, 8at, 8bc, 8ct, 8dt contain from 2 to 19% impurities of the second isomer, but we were able to record 13C NMR spectra for them, in which signals of only the main compound were accumulated. The isolation of bicycles 4at, 4bc and 8ac, 8at, 8bc, 8bt obtained from acetone 2a and 2-butanone 2b was complicated by side products 5, 9, 10, 11, the individual synthesis of which will be described below (Scheme 3 and Scheme 4). These compounds were formed in a small amount, but strongly interfered with the separation, while no such behavior was observed in the reactions with 2-hexanone 2c. We were unable to isolate the bicycle 4ac in its pure form, and despite several column chromatography, it still contained impurities of by-products 4at (2%) and 5 (20%). Difficulties in separating diastereomers are due to their similar physicochemical properties owing to structural similarity.
Scheme 3.
Three-component reactions of a twofold excess of ethyl trifluoropyruvate 1 with acetone 2a and amino alcohols 3a,b.
Scheme 4.
Three-component reactions of a twofold excess of ethyl trifluoropyruvate 1 with 2-butanone 2b and amino alcohols 3a,b.
Further, reactions of a twofold excess of pyruvate 1 with acetone 2a and amino alcohols 3a,b in THF at room temperature were studied. The reaction of pyruvate 1 with acetone 2a and aminoethanol 3a leads to the formation of pyrrolo[2,1-b][1,3]oxazolone 5 functionalized with a 2-trifluoromethyl-2-hydroxypropanoate fragment (which can be called a heterocyclic aldol) as a mixture of two trans,cis- and cis,cis-diastereomers in a ratio of 60%:40% (Scheme 3), which we managed to separate. Diastereomer 5tc precipitated during the reaction, and diastereomer 5cc was isolated from the reaction mixture by column chromatography. However, the yields of pure products are low, since fractions with an unseparated mixture of isomers remain.
The reaction of a twofold excess of pyruvate 1 with acetone 2a and aminopropanol 3b proceeds similarly and leads to the formation of a mixture of diastereomers of functionalized pyrrolo[2,1-b][1,3]oxazinone 9 in a ratio of ~ 1:1 (Scheme 3). However, due to their very similar properties, diastereomers 9 and 9’ were not separated.
In addition, 2-butanone 2b was introduced into interaction with a twofold excess of pyruvate 1 and amino alcohols 3a,b (Scheme 4), and unexpected results were obtained. It turned out that the use of 2-butanone 2b with pyruvate 1 and aminoethanol 3a leads to the formation of 6-methyl-substituted pyrrolo[2,1-b][1,3]oxazolone as a mixture of diastereomers 10 and 10′ in a ratio of 56%:44% by analogy with the formation of bicycles 5 and 9 (Scheme 3). In addition, N-hydroxyethylpyrrol-5-one 11a was isolated from this reaction in a small amount.
The reaction of 2-butanone 2b with pyruvate 1 and aminopropanol 3b leads only to N-hydroxypropylpyrrol-5-one 11b as a mixture of diastereomers 11b:11b’ in a ratio of 72%:28% (Scheme 4). We were able to isolate diastereomer 11b in pure form by fractional crystallization from a mixture of diethyl ether and hexane in 47% yield.
It is obvious that amino alcohols 3a,b react as mononucleophiles during the formation of pyrrolidinones 11a,b. Previously, we showed that amino alcohols 3a,b in three-component reactions of polyfluoroalkyl-3-oxo esters with methyl ketones 2 or cycloketones can behave both as mono- and di-nucleophiles [32,37].
The introduction of 2-hexanone 2c into the reaction with amino alcohols 3a,b and a double excess of pyruvate 1 in THF led to the formation of bicycles 4c and 8c already obtained as a mixture of diastereomers (Scheme 5). Obviously, the nucleophilicity of a-methylene center of the butyl substituent in 2-hexanone 2c is significantly reduced under the influence of electronic and steric factors than in 2-butanone 2b and, therefore, does not take part in the aldol addition reaction. It can be noted that these reactions were accompanied by the formation of more by-products, compared with the reactions performed at an equimolar ratio of reagents.
Scheme 5.
Three-component reactions of a twofold excess of ethyl trifluoropyruvate 1 with 2-hexanone 2c and amino alcohols 3a,b.
We were unable to select conditions for the synthesis of pyrrolo[2,1-b]oxazolones 4a,b or pyrrolo[2,1-b]oxazinones 8a,b in good yields in three-component reactions of trifluoropyruvate 1 with methyl ketones 2a,b and amino alcohols 3a,b due to the formation of side bicycles 5, 9, 10, 11, formed as a result of four-component transformations. In this regard, we used a two-stage approach through the initial preparation of aldols 6a,b from ethyl trifluoropyruvate 1 and methyl ketones 2a,b (Scheme 6), thus, aldol 6a was synthesized earlier [36], and the ethyl-substituted analog 6b was obtained for the first time. Next, aldols 6a,b were introduced into cyclization with amino alcohols 3a,b, as a result of which bicycles 4a,b and 8a,b were also obtained as a mixture of cis- and trans-diastereomers.
Scheme 6.
Two-step approach to obtaining products 4a,b and 8a,b.
We analyzed the reaction mixtures obtained by two- and three-component approaches using 19F NMR spectroscopy. A difference in the ratio of cis- and trans-diastereomeric products 4, 8 (Table 2) was found, since the proportion of predominant isomers increased significantly. Thus, in the reactions of aldols 6a,b with aminoethanol 3a, trans-isomers 4at, 4bt were formed with approximately a threefold advantage, and in reactions with aminopropanol 3b, cis-diastereomers 8ac, 8bc increased by approximately two times. This made it possible to isolate diastereomers 4a,bt and 8a,bc in higher yields.
Table 2.
The ratio of diastereomeric products 4 and 8 obtained by two- and three-component methods.
Heterocyclic aldols 5, 9–11, which are products of a four-component reaction, can be assumed to form in two ways: through the cyclization of bis-aldol 7 with amino alcohol 3 or through the addition of a methyl substituent of bicycles 4 and 8 to the trifluoroacyl group of pyruvate 1. However, an attempt to carry out the aldolization reaction of pyruvate 1 under the action of the bicycle 4at was unsuccessful regardless of the conditions used (Scheme 7). While the bis-aldol 7a easily cyclized with aminoethanol 3a, giving a mixture of diastereomers of the expected heterocyclic aldols 5tc and 5cc with a predominance of the trans,cis-form.
Scheme 7.
Proposed pathways for the formation of heterocyclic aldols 5tc, 5cc.
The structure of the synthesized heterocycles 4, 5, 8–11 was confirmed by IR, 1H, 19F, 13C NMR spectroscopy and mass spectrometry. The diastereomeric structure of bicycles 4, 5, 8, 11 was established using two-dimensional experiments 2D 1H-13C HSQC, 1H-13C HMBC and X-ray diffraction analysis for 4dc, 5, 8cc, 11b. All diastereomers are racemates.
The synthesized bicycles 4a–d and 8a–d contain two asymmetric centers C-6(7) and C-7a(8a) (Figure 2). Analyzing the chemical shifts of the diastereotopic protons H-A and H-B in the 1H NMR spectra at C-7 or C-8 in heterocycles 4a–d, 8a–d, we found the following regularity: the values ΔAB = δA − δB for the alkyl-substituted heterocycles 4a–cc and 8a–cc, which have the cis-configuration, are in the range ΔAB 0.41–0.56 ppm, whereas for the trans-isomers 4a–ct and 8a–ct these values are much lower, ΔAB 0.04–0.23 ppm. For diastereomers containing a phenyl substituent, the opposite pattern is observed, for example, for the cis-isomer 4dc ΔAB 0.10 ppm, while for the trans-diastereomer 8dt ΔAB 0.42 ppm (Table 3). It was found that the geminal spin–spin coupling constant of these protons of the cis-isomers 4a–dc, 8a–cc are 2J 15.2–15.5 Hz, while for the trans-diastereomers 4a–ct, 8a–dt 2J 14.2–14.9 Hz. Previously, we revealed similar features for the trans/cis-diastereomers of hexahydropyrrolo[1,2-a]imidazol-5-ones and hexahydropyrrolo[1,2-a]pyrimidin-6-ones [35].
Figure 2.
Diastereomeric structure of heterocycles 4, 5 and 8.
Table 3.
Chemical shifts δH-A, δH-B and spin-spin coupling constants (2J) of diastereotopic protons at C-7(8) atoms for compounds 4a–d, 8a–d.
Some regularities were found in the shifts of the signals of trifluoromethyl group in the 19F NMR spectra of pyrrolo[2,1-b]oxazolones 4a–d and pyrrolo[2,1-b]oxazinones 8a–d. Thus, the signals of the trifluoromethyl group of cis-isomers 4a–dc are observed in the range δF 83.63–83.79 ppm, and the trans-forms 4a–ct in a lower field δF 83.87–83.91 ppm, similarly for 8a–cc signals are recorded in the region δF 83.83–83.88 ppm, and for 8a–dt at δF 84.13–84.31 ppm.
The stereo configuration of tetrahydropyrrolo[2,1-b][1,3]oxazol-5-one 4 and tetrahydro-2H-pyrrolo[2,1-b][1,3]oxazine-6-one 8 was additionally confirmed by XRD analysis, which was performed for bicycles 4dc (Figure 3a) and 8cc (Figure 3b). It was found that these bicycles have the cis-arrangement of the OH-group in the pyrrole and the oxygen atom in the adjacent oxazacycle (Figure 3).
Figure 3.
The ORTEP view of compounds 4dc (a) and 8cc (b) according to XRD data.
A more difficult task was to determine the structure of heterocyclic aldols 5tc, 5cc, 9, 9’ and 10, 10’, which have three or four asymmetric centers, respectively.
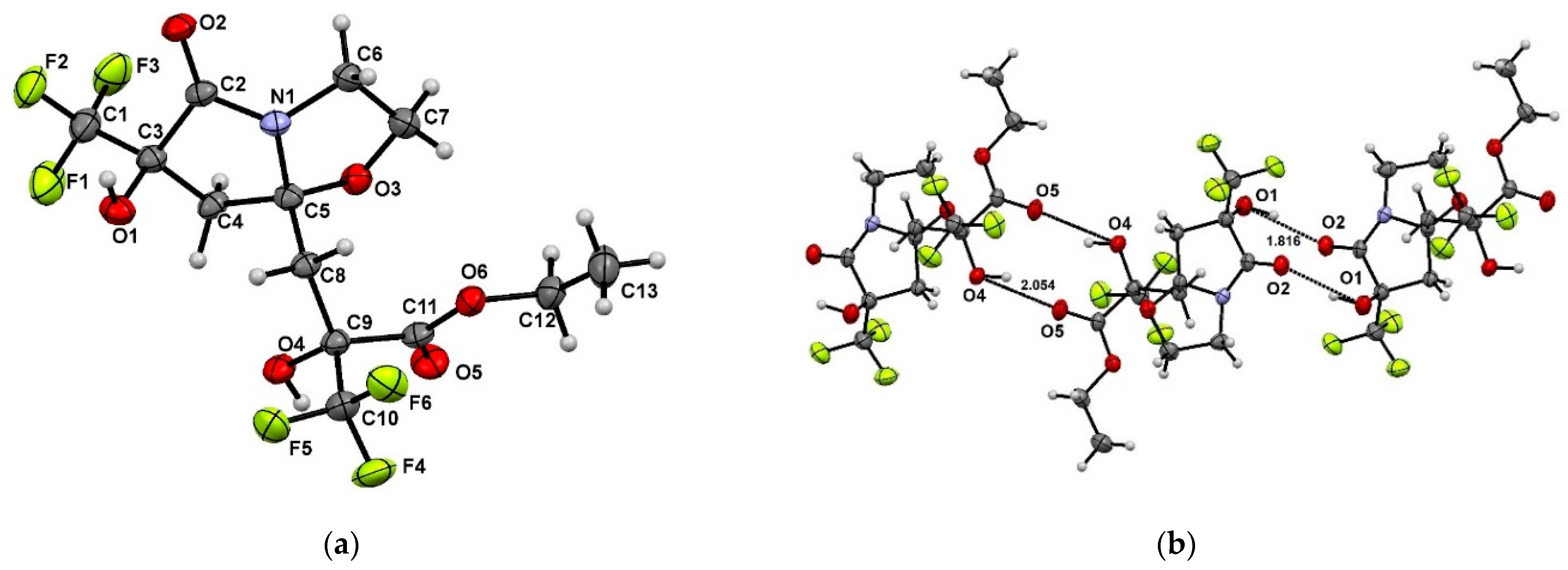
The diastereomeric structure of pyrrolo[2,1-b]oxazol-5-one 5tc was determined using XRD analysis (Figure 4a), conforming to which this compound is a racemic mixture of molecules having the configuration of substituents at the stereocenters C-3–R*, C-5–S*, C-9–R* according to the numbering presented in Figure 4a. It was found that the hydroxyl substituent in the pyrrolidine ring and the oxygen atom of the oxazole backbone are in the trans-position, while this atom and the hydroxy group of the propanoate fragment are in the cis-position. The crystal packing of compound 5tc is formed due to intermolecular hydrogen bonds of the lactam carbonyl and hydroxyl groups of the cycle O-2–H-2…O-1 1.816 Å and the ester carbonyl and hydroxyl group of the propanoate substituent O-4–H-4…O-5 2.054 Å (Figure 4b).
Figure 4.
(a) The ORTEP view of compounds 5tc according to XRD data; (b) crystal packing of compounds 5tc with indication of intermolecular hydrogen bonds.
For a pair of isolated diastereomers 5tc, 5cc (Figure 2), two-dimensional experiments 2D 1H-13C HSQC and HMBC were performed, on the basis of which a complete assignment of signals in the 1H and 13C NMR spectra was made. The 1H NMR spectrum of pyrrolo[2,1-b]oxazol-5-one 5tc is characterized by the presence of doublet signals of the methylene protons of the pyrrolidine ring H-7’’A and H-7’’B at δH 2.99, 2.29 ppm (ΔAB 0.70 ppm, 2J 14.9 Hz) and propanoate substituent H-1’A and H-1’B at δH 2.63, 2.20 ppm (ΔAB 0.43 ppm, J 14.0 Hz). The 13C NMR spectrum contains characteristic signals of carbonyl atoms at C-5’’ of lactam (δC 170.2 ppm) and at C-1 of ester (δC 167.8 ppm) fragments. The 19F NMR spectrum contains two singlet signals of trifluoromethyl groups at δF 83.83 and 84.92 ppm.
According to 1H, 19F and 13C NMR spectra, diastereomer 5cc has a similar set of characteristic signals. However, analyzing the 1H NMR spectrum, it was found that the doublet signals of the methylene protons of the cycle at H-7’’A and H-7’’B (δH 2.61, 2.26 ppm) have a lower value ΔAB 0.35 ppm and a smaller J constant of 14.0 Hz compared to the analogous values of the 5tc heterocycle. It is obvious that for diastereomers 5tc, 5cc, containing a hydroxypropanoate fragment, the same trend in changing ΔAB and constant J is observed, as for bicycle 4dc, which has a bulky phenyl substituent. For the methylene protons H-1’A and H-1’B of the propanoate residue, resonating as doublet signals at δH 2.67, 2.50 ppm, the value of ΔAB 0.17 ppm and J 15.0 Hz also changes. In the 13C NMR spectra of the 5tc and 5cc isomers, the largest differences in shifts were recorded for the carbon atoms C-7’’ (δC 42.1, 44.6 ppm) of the pyrrolidine ring and C-1 (δC 37.8, 40.8 ppm) of the propanoate substituent, which are adjacent to the C-7’’ and C-2 stereocenters (Figure 2). All these data allow us to suggest that the 5cc bicycle has a cis,cis-diastereomeric structure, in which the position of the substituents at the C-7’’ and C-2 stereocenters changes compared to the 5tc isomer.
The structure of pyrrolo[2,1-b][1,3]oxazin-6-ones 9, 9’ and pyrrolo[2,1-b]oxazol-5-ones 10, 10’ was also established using 1H, 13C and 19F NMR spectra, which contained a double set of all signals, since we were unable to separate diastereomers of bicycles 9 and 10. However, their spectra characteristics were similar to those of bicycles 5tc and 5cc, that allowed us to assign them a similar structure, but without determining the diastereomeric structure due to close values of the chemical shifts of protons and carbon atoms in the 1H and 13C NMR spectra (see the experimental part).
To establish the diastereomeric structure of dihydropyrrol-5-ones 11a,b, which have two asymmetric centers C-2 and C-4’’ (Figure 5), we used the data of 1H, 13C NMR spectroscopy and XRD analysis performed for 11b. For compounds 11a and 11b, two-dimensional 2D 1H-13C HSQC and HMBC experiments were carried out, on the basis of which a complete assignment of signals in the 1H and 13C NMR spectra was made.
Figure 5.
Diastereomeric structure of dihydropyrrol-5-ones 11.
The diastereomeric structure of dihydropyrrol-5-one 11b was determined by X-ray diffraction data (Figure 6a). Crystal packing is formed of a racemic mixture of molecules linked by intermolecular hydrogen bonds O-1–H-1…O-2 1.882 Å, O-3–H-3…O-6 2.122 Å (Figure 6b). The configuration of the substituents in the pyrrole ring at the C-1 stereocenter is R*, and that of the propanoate substituent at C-8 is S* (numbering is used according to X-ray diffraction data, Figure 6).
Figure 6.
(a) The ORTEP view of compounds 11b according to XRD data; (b) crystal packing of 11b with indication of intermolecular hydrogen bonds.
The 13C NMR spectra analysis of dihydropyrrol-5-ones 11b and 11b’ revealed the presence of two downfield signals at δC 113.0–113.5 ppm and δC 137.1–138.4 ppm, which correspond to two sp2-hybridized carbon atoms C-3’’ and C-2’’, respectively.
In the 19F NMR spectra of diastereomers 11b and 11b’, the signals of the trifluoromethyl group of the pyrrole cycle (δF 85.74, 85.81 ppm) and the propanoate substituent (δF 85.81, 86.01 ppm) are observed in approximately the same range. However, according to the 1H NMR spectra, the nature of the signals of the methylene protons H-1’ of the propanoate fragment of isomers 11b and 11b’ differs, which may indicate a different configuration of substituents at the adjacent C-2 stereocenter. Thus, the protons H-1’A and H-1’B in the spectrum of isomer 11b resonate as two doublets at δH 3.19 and 2.97 ppm (ΔAB 0.22 ppm, J 14.9 Hz), while the signals of the same protons of isomer 11b’ are observed as an AB system at δH 3.08 ppm (JAB 16.7 Hz, ΔAB 0.1 ppm). Taking into account that, according to X-ray diffraction analysis (Figure 6), the substituents at the C-2 stereocenter in diastereomer 11b have the S*-configuration. The difference in the nature of the resonation of the protons of the neighboring methylene group C-1’ allows us to assume the opposite R*-configuration for the 11b’ isomer (Figure 5).
The 13C NMR spectrum of pyrrolone 11a also contained characteristic low-field signals C-3’’ (δC 113.37 ppm) and C-2’’ (δC 137.90 ppm), confirming the presence of a double bond in the molecule. In its 1H NMR spectrum, methylene protons H-1’ resonate as a singlet at δH 3.16 ppm, which can be a degenerate AB system with ΔAB 0 ppm, which is closer in nature to the signals of similar protons of isomer 11b’ (AB-system at δ 3.08 ppm, ΔAB 0.1 ppm). Based on this, we assumed that compound 11a has the R*-configuration of substituents at C-2 (Figure 5).
Considering the mechanism of formation of bicycles 4a–d and 8a–d from ethyl trifluoropyruvate 1, methyl ketones 2a–d and amino alcohols 3a,b, it can be safely assumed that three-component cyclizations are a sequential domino process (Scheme 8). The first stage of which is aldolization, since by optimizing the conditions for the reaction of pyruvate 1 with acetone 2a and aminoethanol 3a (Scheme 1, Table 1), we detected aldol 6a.
Scheme 8.
Proposed mechanism of three- and four-component domino cyclization of ethyl trifluoropyruvate 1 with methyl ketones 2a–d and amino alcohols 3a,b.
In addition, we also experimentally demonstrated the feasibility of cyclization of aldols 6a,b with amino alcohols 3a,b into bicycles 4a,b and 8a,b (Scheme 7), presumably proceeding through the condensation of the keto group of aldol 6 with the amino group of amino alcohol 3 leading to intermediate X1, which after tautomerization undergoes intramolecular cyclization involving ester and amino groups, providing dihydropyrrol-5-one X2. At the last stage, the formation of the second cycle occurs due to the intramolecular addition of a hydroxyl group to the double bond.
Similar processes can be assumed for the four-component formation of heterocyclic aldols 5 and 9, only the stage of formation of bis-aldol 7 is added, which then cyclizes with amino alcohol 3 (Scheme 8), forming dihydropyrrol-5-one X4. Such compounds were isolated and characterized in the case of Me-substituted derivatives 11a,b. Subsequent intramolecular cyclization of pyrrolones X4 gives bicyclic products 5, 9, 10.
3. Material and Methods
3.1. Material
The solvents (acetonitrile, chloroform, hexane, diethyl ether and acetone 2a) were obtained from AO “VEKTON” (St. Petersburg, Russia). 2-Butanone 2b, 2-hexanone 2c, 3-amino-1-propanol 3b were purchased from Merck KGaA (Darmstadt, Germany). 2-Aminoethanol 3a, acetophenone 2d and 1,4-dioxane were obtained from Alfa Aesar (UK). Ethyl trifluoropyruvate 1 was purchased from ABCR (GmbH, Karlsruhe, Germany). The deuterosolvent DMSO was acquired from «SOLVEX» Limited Liability Company (Skolkovo Innovation Center, Moscow, Russia).
3.2. Methods
Melting points were measured in the open capillaries with a Stuart SMP3 melting-point apparatus (Bibby Scientific Limited, Staffordshire, UK). Two FT-IR spectrometer (Perkin-Elmer, Waltham, MA, USA) using the frustrated total internal reflection accessory with a diamond crystal. The 1H and 19F NMR spectra were registered on a Bruker DRX-400 spectrometer (400 or 376 MHz, respectively) or a Bruker AvanceIII 500 spectrometer (500 or 470 MHz, respectively) (Bruker, Karlsruhe, Germany). The 13C NMR spectra were recorded on a Bruker AvanceIII 500 spectrometer (125 MHz). The internal standard was SiMe4 (for 1H and 13C NMR spectra) and C6F6). The 13C chemical shifts were calibrated using the solvent signal DMSO-d6 (δC 39.5 ppm). For compounds 4a-d, 8a-d, 5, 5’, 11a, 11b signals in 1H and 13C spectra were assigned based on 2D 1H-13C HSQC and HMBC experiments. The high-resolution mass spectra (HRMS) were recorded on a Bruker maXis impact mass spectrometer (ESI) (Bruker, Karlsruhe, Germany). The column chromatography was performed on silica gel 60 (0.062–0.2 mm) (Macherey-Nagel GmbH & Co KG, Duren, Germany). The initial ethyl-2-hydroxy-4-methyl-4-oxo-2-(trifluoromethyl)butanoate (aldol 6a) [35,36] and diethyl 2,6-dihydroxy-4-oxo-2,6-bis(trifluoromethyl)heptanedioate (bis aldol 7a) [35] were synthesized by referring previously published methods.
3.3. General Procedures
Synthesis of compounds 4 and 8 (method A): A solution of ethyl trifluoropyruvate 1 1530 mg (9 mmol) and methyl ketone 2a–d (9 mmol) in 1,4-dioxane (5 mL) was placed in a flat-bottomed flask. Then, amino alcohol 3a,b (9 mmol) was added. The reaction mixture was stirred for 3–7 days at room temperature (25°C). After completion of the reaction (TLC and NMR 19F monitoring), the reaction mixture was concentrated on a rotary evaporator. The residue was triturated with hexane, and the resulting precipitate was collected by filtration and purified by recrystallization from an appropriate solvent (MeCN, Et2O), or by column chromatography (eluent: CHCl3, CHCl3–Et2O/1:1).
Synthesis of compounds 5, 9, 10 and 11 (method B): A solution of ethyl trifluoropyruvate 1 3060 mg (18 mmol) and methyl ketone 2a,b (9 mmol) in THF (5 mL) was placed in a flat-bottomed flask. Then amino alcohol 3a,b (9 mmol) was added. The reaction mixture was stirred at room temperature (25℃) for 4–7 days. After completion of the reaction (TLC and 19F NMR monitoring), the reaction mixture was concentrated on a rotary evaporator, the residue was purified by column chromatography (eluent: CHCl3–Et2O / 2:1, CHCl3–Et2O / 4:1). Product 5tc precipitated out during the reaction. The precipitate was filtered and purified by recrystallization from MeCN. The filtrate was evaporated, purified by column chromatography (eluent CHCl3–Et2O/2:1), product 5cc was obtained. Product 11b was isolated from a mixture of diastereomers by fractional crystallization (hexane–diethyl ether / 1:3).
Synthesis of products 4 and 8 (method C): A solution of aldol 6a,b (5 mmol) in 1,4-dioxane (3 mL) was placed in a flat-bottomed flask. Then the amino alcohol 3a,b (5 mmol) was added. The reaction mixture was stirred at room temperature (25 °C) for 4–5 days. After completion of the reaction (TLC and 19F NMR monitoring), the reaction mixture was concentrated on a rotary evaporator, the residue was purified by column chromatography (eluent: CHCl3–Et2O/1:1).
Synthesis of compounds 5 (method D): A solution of bis-aldol 7a (1990 mg, 5 mmol) in THF (3 mL) was placed in a flat-bottomed flask. Then the amino alcohol 3a (305 mg, 5 mmol) was added. The reaction mixture was stirred at room temperature (25 °C) for 4–5 days. After completion of the reaction (TLC and 19F NMR monitoring), the reaction mixture was concentrated on a rotary evaporator, the residue was purified by column chromatography (eluent: CHCl3–Et2O / 1:1). Product 5tc precipitated out during the reaction. The precipitate was filtered and purified by recrystallization from MeCN. The filtrate was evaporated, purified by column chromatography (eluent CHCl3–Et2O/2:1), product 5cc was obtained.
3.4. Spectral Data
(6R*,7aR*)-6-hydroxy-7a-methyl-6-(trifluoromethyl)tetrahydropyrrolo[2,1-b][1,3]oxazol-5(6H)-one (4at). Yield 36 % (729 mg, method A), 77% (886 mg, method C); white solid; m.p. 80°C (CHCl3–Et2O / 1:1). 1H NMR (500 MHz, DMSO-d6) δ 1.48 (3H, s, Me), 2.35 (2H, AB-system, ΔAB = 0.03 ppm, JAB = 14.2 Hz, H-7), 3.28 (1H, ddd, J = 11.2, 8.1, 6.1 Hz, H-3B), 3.75 (1H, ddd, J = 11.2, 8.2, 5.4 Hz, H-3A), 3.96 (1H, td, J = 8.2, 6.1 Hz, H-2B), 4.06 (1H, td, J = 8.2, 5.4 Hz, H-2A), 7.51 (1H, s, OH) ppm. 13C NMR (126 MHz, DMSO-d6) δ 24.2 (Me), 40.4 (C-3), 43.0 (C-7), 65.9 (C-2), 79.6 (q, J = 29.8 Hz, C-6), 95.4 (C-7a), 123.9 (q, J = 283.8 Hz, CF3), 169.6 (C-5) ppm. 19F NMR (470 MHz, DMSO-d6) δ 83.91 (s, CF3) ppm. IR ν 3347 (O–H), 2997, 2919 (C–H), 1699 (C=O), 1184–1108 (C–F) cm-1. HRMS (ESI): calcd. for C8H11F3NO3 [M + H]+ 226.0686; found 226.0682.
(6R*,7aS*)-6-hydroxy-7a-methyl-6-(trifluoromethyl)tetrahydropyrrolo[2,1-b][1,3]oxazol-5(6H)-one (4ac) (mixed with 5ct (20%) and 4at (2%)). Yield 13% (243 mg, method A); white solid; m.p. 156–157°C (CHCl3–Et2O/1:1). 1H NMR (500 MHz, DMSO-d6) δ 1.38 (3H, s, Me), 2.29 (1H, dq, 2JHH = 15.2, 4JHF = 1.3 Hz, H-7B), 2.74 (1H, d, J = 15.2 Hz, H-7A), 3.30 (1H, ddd, J = 11.2, 8.2, 6.0, H-3B, overlapped with H2O), 3.85 (1H, ddd, J = 11.2, 8.2, 5.7 Hz, H-3A), 3.96 (1H, td, J = 8.2, 6.0 Hz, H-2B), 4.00 (1H, td, J = 8.2, 5.7 Hz, H-2A), 7.22 (1H, s, OH) ppm. 19F NMR (470 MHz, DMSO-d6) δ 83.63 (d, J = 1.3 Hz, CF3) ppm. IR ν 3332 (O–H), 2993, 2912 (C–H), 1703 (C=O), 1164–1091 (C–F) cm−1. HRMS (ESI): calcd. for C8H11F3NO3 [M + H]+ 226.0686; found 226.0689.
(6R*,7aR*)-7a-ethyl-6-hydroxy-6-(trifluoromethyl)tetrahydropyrrolo[2,1-b][1,3]oxazol-5(6H)-one (4bt) смсеь Yield 23% (495 mg, method A), 66% (789 mg, method C); white solid; m.p.134–136°C (CHCl3–Et2O / 1:1). 1H NMR (500 MHz, DMSO-d6) δ 0.90 (3H, t, J = 7.3 Hz, H-2’), 1.68 (1H, dq, J = 14.7, 7.3 Hz, H-1’B), 1.82 (1H, dq, J = 14.7, 7.3 Hz, H-1’A), 2.23 (1H, d, J = 14.5 Hz, H-7B), 2.42 (1H, d, J = 14.5 Hz, H-7A), 3.25 (1H, ddd, J = 11.2, 8.2, 6.4 Hz, H-3B), 3.78 (1H, ddd, J = 11.2, 7.9, 5.1 Hz, H-3A), 3.90–3.95 (1H, m, H-2B), 4.00 (1H, td, J = 8.2, 5.1 Hz, H-2A), 7.46 (1H, s, OH) ppm. 13C NMR (126 MHz, DMSO-d6) δ 7.8 (C-2’), 29.1 (C-1’), 40.1 (C-3), 41.1 (C-7), 65.6 (C-2), 79.1 (q, J = 29.8 Hz, C-6), 95.3 (C-7a), 123.9 (q, J = 284.4 Hz, CF3), 170.3 (C-5) ppm. 19F NMR (470.5 MHz, DMSO-d6) δ 83.89 (s, CF3) ppm. IR ν 3345 (O–H), 2983–2909 (C–H), 1701 (C=O), 1168–1149 (C–F) cm−1. HRMS (ESI): calcd. for C9H13F3NO3 [M + H]+ 240.0842; found 240.0840.
(6R*,7aS*)-7a-ethyl-6-hydroxy-6-(trifluoromethyl)tetrahydropyrrolo[2,1-b][1,3]oxazol-5(6H)-one (4bc). (mixed with 4bt in the ratio 90:10). Yield 18 % (387 mg, method A), 16% (191 mg, method C); white solid; m.p. 110–112°C (CHCl3–Et2O / 1:1). 1H NMR (500 MHz, DMSO-d6) δ 0.88 (3H, t, J = 7.3 Hz, H-2’), 1.47 (1H, dq, J = 14.7, 7.3 Hz, H-1’B), 1.80 (1H, dq, J = 14.7, 7.3 Hz, H-1’A), 2.17 (1H, d, J = 15.4 Hz, H-7B), 2.73 (1H, d, J = 15.4 Hz, H-7A), 3.28 (1H, ddd, J = 11.0, 7.8, 6.4 Hz, H-3B), 3.86 (1H, ddd, J = 11.0, 8.1, 5.4 Hz, H-3A), 3.90–3.97 (2H, m, H-2), 7.23 (1H, s, OH) ppm. 13C NMR (126 MHz, DMSO-d6) δ 7.7 (C-2’), 27.7 (C-1’), 39.7 (C-3, overlapped with DMSO), 41.5 (C-7), 64.3 (C-2), 78.5 (q, J = 30.3 Hz, C-6), 96.8 (C-7a), 124.0 (q, J = 285.1 Hz, CF3), 171.9 (C-5) ppm. 19F NMR (376 MHz, DMSO-d6) δ 83.79 (s, CF3) ppm. IR ν 3398 (O–H), 3007–2883 (C–H), 1710 (C=O), 1179–1093 (C–F) cm−1. HRMS (ESI): calcd. for C9H13F3NO3 [M + Na]+ 262.0661; found 262.0659.
(6R*,7aR*)-7a-Butyl-6-hydroxy-6-(trifluoromethyl)tetrahydropyrrolo[2,1-b][1,3]oxazol-5(6H)-one (4ct) (mixed with 4cc in the ratio 90:10). Yield 39 % (938 mg, method A); white solid; m.p. 90–94°C. (CHCl3–Et2O / 1:1). 1H NMR (500 MHz, DMSO-d6) δ 0.89 (t, J = 7.0 Hz, 3H, H-4’), 1.28–1.35 (4H, m, H-3’, H-2’), 1.62–1.68 (1H, m, H-1’B), 1.76–1.83 (1H, m, H-1’A), 2.24 (1H, d, J = 14.5 Hz, H-7B), 2.42 (1H, d, J = 14.5 Hz, H-7A), 3.25 (1H, ddd, J = 11.2, 8.0, 6.4 Hz, H-3B), 3.77 (1H, ddd, J = 11.2, 7.9, 5.2 Hz, H-3A), 3.91 (1H, td, J = 8.2, 6.4 Hz, H-2B), 4.00 (1H, td, J = 8.2, 5.2 Hz, H-2A), 7.46 (1H, s, OH) ppm. 13C NMR (126 MHz, DMSO-d6) δ 13.9 (C-4’), 22.2 (C-3’), 25.3 (C-2’), 35.9 (C-1’), 40.5 (C-3), 41.0 (C-7), 65.6 (C-2), 79.1 (q, J = 29.8 Hz, C-6), 97.5 (C-7a), 124.0 (q, J = 284.3 Hz, CF3), 170.2 (C-5) ppm. 19F NMR (470 MHz, DMSO-d6) δ 83.87 (s, CF3) ppm. IR ν 3324 (O–H), 2996–2878 (C–H), 1710 (C=O), 1179–1148 (C–F) cm−1. HRMS (ESI): calcd. for C11H17F3NO3 [M + H]+ 268.1155; found 268.1156.
(6R*,7aS*)-7a-Butyl-6-hydroxy-6-(trifluoromethyl)tetrahydropyrrolo[2,1-b][1,3]oxazol-5(6H)-one (4cc). Yield 26 % (625 mg, method A); white solid; m.p. 129–130 °C (Et2O). 1H NMR (400 MHz, DMSO-d6) δ 0.88 (3H, t, J = 7.0 Hz, H-4’), 1.27–1.33 (4H, m, H-3’, H-2’), 1.43 (1H, dq, J = 14.7, 7.0 Hz, H-1’B), 1.79 (1H, dq, J = 14.7, 7.0 Hz, H-1’A), 2.19 (1H, d, J = 15.3 Hz, H-7B), 2.73 (1H, d, J = 15.3 Hz, H-7A), 3.28 (1H, ddd, J = 11.0, 7.5, 6.9 Hz, H-3B), 3.85 (1H, ddd, J = 11.0, 7.9, 5.6 Hz, H-3A), 3.91–3.95 (2H, m, H-2), 7.22 (1H, s, OH) ppm. 13C NMR (126 MHz, DMSO-d6) δ 13.8 (C-4’), 22.1 (C-3’), 25.3 (C-2’), 34.5 (C-1’), 39.7 (C-3, overlapped with DMSO), 41.5 (C-7), 64.4 (C-2), 78.5 (q, J = 30.1 Hz, C-6), 96.5 (C-7a), 124.1 (q, J = 285.1 Hz, CF3), 171.9 (C-5) ppm. 19F NMR (376 MHz, DMSO-d6) δ 83.76 (s, CF3) ppm. IR ν 3409 (O–H), 3008–2866 (C–H), 1709 (C=O), 1178–1112 (C–F) cm−1. HRMS (ESI): calcd. for C11H17F3NO3 [M + H]+ 268.1155; found 268.1154.
(6R*,7aR*)-6-Hydroxy-7a-phenyl-6-(trifluoromethyl)tetrahydropyrrolo[2,1-b][1,3]oxazol-5(6H)-one (4dc). Yield 58 % (1499 mg, method A); white solid; m.p. 155–157°C (CHCl3–Et2O / 1:1). 1H NMR (500 MHz, DMSO-d6) δ 2.70 (1H, d, JAB = 15.5 Hz, H-7B), 2.75 (1H, d, JAB = 15.5 Hz, H-7A), 3.16 (1H, ddd, J = 11.2, 8.5, 4.6 Hz, H-3B), 3.51 (1H, td, J = 8.5, 6.7 Hz, H-2B), 3.91 (1H, ddd, J = 11.2, 8.3, 6.7 Hz, H-3A), 4.10 (1H, td, J = 8.5, 4.6 Hz, H-2A), 7.36–7.44 (6H, m, Ph, OH) ppm. 13C NMR (126 MHz, DMSO-d6) δ 42.3 (C-3), 43.2 (C-7), 64.6 (C-2), 78.5 (q, C-6, J = 30.6 Hz), 96.8 (C-7a), 123.9 (q, CF3, J = 284.9 Hz), 124.9 (Co), 128.5 (Cp), 128.6 (Cm), 139.8 (Ci), 172.6 (C-5) ppm. 19F NMR (470 MHz, DMSO-d6) δ 83.65 (s, CF3). IR ν 3394 (O–H), 3076–2978 (C–H), 1713 (C=O), 1179–1149 (C–F) cm−1. C13H12F3NO3 (287.24). Calculated: C, 54.36; H, 4.21; N, 4.88; Found: C, 54.37; H, 4.22; N, 4.89. HRMS (ESI): calcd. for C13H13F3NO3 [M + H]+ 288.0842; found 288.0842.
Ethyl (R*)-3,3,3-trifluoro-2-hydroxy-2-(((6R*,7aS*)-6-hydroxy-5-oxo-6-(trifluoromethyl)tetrahydropyrrolo[2,1-b]oxazol-7a(5H)-yl)methyl)propanoate (5tc). Yield 47% (1671 mg, method B), 56% (1106 mg, method D); white solid; m.p. 168–170°C. (MeCN). 1H NMR (500 MHz, DMSO-d6) δ 1.25 (3H, t, J = 7.1 Hz, OCH2CH3), 2.20 (1H, d, J = 14.0 Hz, H-1’B), 2.29 (1H, d, J = 14.9 Hz, H-7”B), 2.63 (1H, br. d, J = 14.0 Hz, H-1’A), 2.99 (1H, d, J = 14.9 Hz, H-7”A), 3.35–3.41 (1H, m, H-3”B), 3.78–3.84 (2H, m, H-2”B, H-3”A), 3.86–3.92 (1H, m, H-2”A), 4.17 (1H, dq, J = 10.8, 7.1 Hz, OCHBCH3), 4.29 (1H, dq, J = 10.8, 7.1 Hz, OCHACH3), 7.08 (1H, d, J = 1.6 Hz, C2-OH), 7.56 (1H, s, C6”-OH) ppm. 13C NMR (126 MHz, DMSO-d6) δ 13.7 (OCH2CH3), 37.9 (C-1’), 40.4 (C-3”), 42.1 (C-7”), 62.3 (OCH2CH3), 66.3 (C-2”), 76.0 (q, J = 27.5 Hz, C-2), 78.8 (q, J = 30.0 Hz, C-6”), 95.3 (C-7a”), 123.7 (q, J = 283.8 Hz, CF3), 123.9 (q, J = 288.6 Hz, CF3), 167.8 (C-1), 169.9 (C-5”) ppm. 19F NMR (470 MHz, DMSO-d6) δ 83.83 (s, 3F, CF3), 84.92 (s, 3F, CF3) ppm. IR ν 3456, 3284 (O–H), 2997–2924 (C–H), 1736, 1705 (C=O), 1167–1093 (C–F) cm−1. HRMS (ESI): calcd. for C14H15F3NO3 [M + H]+ 396.0876; found 396.0879.
Ethyl (S*)-3,3,3-trifluoro-2-hydroxy-2-(((6R*,7aS)-6-hydroxy-5-oxo-6-(trifluoromethyl)tetrahydropyrrolo[2,1-b]oxazol-7a(5H)-yl)methyl)propanoate (5cc). Yield 18% (640 mg, method B), 15% (296 mg, method D); white solid; m.p. 134–136 °C. (CHCl3–Et2O/2:1). 1H NMR (500 MHz, DMSO-d6) δ 1.23 (3H, t, J = 7.1 Hz, CH3), 2.26 (1H, d, J = 14.0 Hz, H-7”B), 2.50 (1H, d, J = 15.0 Hz, H-1’B), 2.61 (1H, d, J = 14.0 Hz, H-7”A), 2.67 (1H, dd, J = 15.0, 1.5 Hz, H-1’A), 3.40–3.46 (1H, m, H-3”B), 3.58–3.63 (m, 1H, H-2”B), 3.78–3.84 (m, 2H, H-2”A, H-3”A), 4.17 (dq, J =10.8, 7.1 Hz, 1H, OCHB), 4.24 (dq, J =10.8, 7.1 Hz, 1H, OCHA), 7.00 (d, J = 1.5 Hz, 1H, C2-OH), 7.56 (s, 1H, C6”-OH). 13C NMR (126 MHz, DMSO-d6) δ 13.6 (OCH2CH3), 40.8 (C-1’), 42.6 (C-3”), 44.6 (C-7”), 62.1 (OCH2), 66.7 (C-2”), 75.4 (q, J = 27.5 Hz, C-2), 78.6 (q, J = 29.8 Hz, C-6”), 95.4 (C-7a”), 123.7 (q, J = 284.2 Hz, CF3), 124.1 (q, J = 288.4 Hz, CF3), 167.8 (C-1), 170.2 (C-5”). 19F NMR (376 MHz, DMSO-d6) δ 84.23 (s, 3F, CF3), 85.64 (s, 3F, CF3). IR ν 3487, 3316 (O–H), 2991 (C–H), 1738, 1705 (C=O), 1169–1090 (C–F) cm−1. HRMS (ESI): calcd. for C14H15F3NO3 [M + H]+ 396.0876; found 396.0872.
Ethyl 2-hydroxy-4-oxo-2-(trifluoromethyl)hexanoate (6b). A mixture of 1530 mg (9 mmol) of ethyltrifluoropyruvate 1, 522 mg (1.8 mmol) of 2-butanone 2b, and 12 mg (0.1 mmol) of L-proline in 10 mL of DMF was placed in a flat-bottomed flask. The reaction mass was stirred for 2 days at a temperature (50℃). After completion of the reaction (TLC and 19F NMR monitoring), the reaction mixture was poured into water (100 mL) and the organic layer was extracted with chloroform (3 × 50 mL). The solvent was concentrated on a rotary evaporator. The residue was purified by column chromatography (eluent: CHCl3–hexane / 2:1). A yellow oil was isolated. Yield 1699 mг (78%). 1H NMR (500 MHz, DMSO-d6) δ 0.89 (3H, t, J = 7.1 Hz, CH3Et), 1.19 (3H, t, J = 7.1 Hz, CH3OEt), 3.07 (1H, d, J = 17.2 Hz, H-3A), 3.19 (1H, d, J = 17.2 Hz, H-3B), 2.44 (2H, dq, J = 11.0, 7.3 Hz, H-BEt), 2.53 (2H, dq, J = 11.0, 7.3 Hz, H-AEt, ), 4.13–4.23 (2H, m, CH2OEt), 6.75 (1H, d, J = 0.7 Hz, OH) ppm. 13C NMR (126 MHz, DMSO-d6) δ 7.2 (C-6), 13.67 (OCH2CH3), 35.7 (C-5), 44.4 (C-3), 61.8 (OCH2CH3), 74.9 (q, J = 28.1 Hz, C-2), 123.9 (q J = 287.2 Hz, CF3), 167.7 (C-1), 205.4 (C-4) ppm. 19F NMR (376 MHz, DMSO-d6) δ 84.83 (s, CF3) ppm. IR ν 3482 (O–H), 2987–2908 (C–H), 1747, 1626 (C=O), 1222–1097 (C–F) cm−1. HRMS (ESI): calcd. for C9H14F3O4 [M + H]+ 243.0839; found 243.0833.
(7R*,8aR*)-7-Hydroxy-8a-methyl-7-(trifluoromethyl)tetrahydro-2H-pyrrolo[2,1-b][1,3]oxazine-6(7H)-one (8at) (mixed with 8ac in the ratio 84:16). Yield 28 % (603 mg, method A), 30 % (358 mg, method C); white solid; m.p. 96–98°C (CHCl3–Et2O / 1:1). 1H NMR (500 MHz, DMSO-d6) δ 1.47–1.58 (2H, m, H-3), 1.61 (3H, c, Me), 2.27 (2H, AB-system, ΔAB = 0.06 ppm, JAB = 14.4 Hz, H-8), 3.21 (1H, dm, J = 13.0 Hz, H-4B), 3.75 (1H, dm, J = 11.5 Hz, H-2B), 3.86 (1H, dm, J = 13.0 Hz, H-4A), 3.98 (1H, dm, J = 11.5 Hz, H-2A), 7.21 (1H, s, OH) ppm. 13C NMR (126 MHz, DMSO-d6) δ 20.3 (Me), 24.7 (C-3), 35.2 (C-4), 43.8 (C-8), 60.6 (C-2), 74.9 (q, J = 29.9 Hz, C-7), 86.2 (C-8a), 124.4 (q, J = 285.1 Hz, CF3), 166.2 (C-6), ppm. 19F NMR (470 MHz, DMSO-d6) δ 84.22 (s, CF3). IR ν 3430, 3351 (O–H), 2990–2885 (C–H), 1696 (C=O), 1168–1057 (C–F) cm−1. HRMS (ESI): calcd. for C9H13F3NO3 [M + H]+ 240.0842; found 240.0849.
(7R*,8aS*)-7-Hydroxy-8a-methyl-7-(trifluoromethyl)tetrahydro-2H-pyrrolo[2,1-b][1,3]oxazine-6(7H)-one (8ac) (mixed with 8at in the ratio 89:11 ). Yield 44% (947 mg, method A), 62% (741 mg, method C); white solid; m.p. 76–78 °C (CHCl3–Et2O/1:1). 1H NMR (500 MHz, DMSO-d6) δ 1.49–1.64 (5H, m, Me, H-3), 2.15 (1H, br.d, J = 15.2 Hz, H-8B), 2.57 (1H, d, J = 15.2 Hz, H-8A), 3.24 (1H, td, J = 13.0, 4.0 Hz, H-4B), 3.76 (1H, dm, J = 12.2 Hz, H-2B), 3.88 (1H, dm, J = 13.0 Hz, H-4A), 4.01 (1H, td, J = 12.2, 2.9 Hz, H-2A), 7.13 (1H, s, OH) ppm. 13C NMR (126 MHz, DMSO-d6) δ 20.3 (Me), 24.7 (C-3), 35.2 (C-4), 43.8 (C-8), 60.6 (C-2), 74.9 (q, J = 29.9 Hz, C-7), 86.2 (C-8a), 124.4 (q, J = 285.1 Hz, CF3), 166.2 (C-6) ppm. 19F NMR (470 MHz, DMSO-d6) δ 83.71 (s, CF3). IR ν 3392, 3296 (O–H), 2997–2887 (C–H), 1702 (C=O), 1175–1058 (C–F) cm−1. HRMS (ESI): calcd. for C9H13F3NO3 [M + H]+ 240.0842; found 240.0850.
(7R*,8aR*)-8a-Ethyl-7-hydroxy-7-(trifluoromethyl)tetrahydro-2H-pyrrolo[2,1-b][1,3]oxazine-6(7H)-one (8bt). Yield 21 % (478 mg, method A), 24 % (304 mg, method C); white solid; m.p. 68–70°C (CHCl3–Et2O / 1:1). 1H NMR (500 MHz, DMSO-d6) δ 0.84 (3H, t, J = 7.3 Hz, H-2’), 1.49–1.55 (2H, m, H-3), 1.68 (1H, dq, J = 14.5, 7.3 Hz, H-1’B), 2.10 (1H, d, J = 14.8 Hz, H-8B), 2.28–2.36 (2H, m, H-8A, H-1’A), 3.16–3.22 (1H, m, H-4B), 3.72 (1H, dm, J = 12.1 Hz, H-2B), 3.84–3.90 (2H, m, H-4A, H-2A), 7.17 (1H, s, OH) ppm. 13C NMR (126 MHz, DMSO-d6) δ 7.1 (C-2’), 24.29 and 24.30 (C-3, C-1’), 35.0 (C-4), 41.0 (C-8), 60.0 (C-2), 74.9 (q, J = 30.0 Hz, C-7), 88.5 (C-8a), 124.3 (q, J = 284.6 Hz, CF3), 165.5 (C-6) ppm. 19F NMR (376 MHz, DMSO-d6) δ 84.14 (s, CF3) ppm. IR (ATR) ν 3240 (O–H), 2970–2889 (C–H), 1674 (C=O), 1161–1092 (C–F) cm−1. HRMS (ESI): calcd. for C10H15F3NO3 [M + H]+ 254.0999; found 254.1006.
(7R*,8aS*)-8a-Ethyl-7-hydroxy-7-(trifluoromethyl)tetrahydro-2H-pyrrolo[2,1-b][1,3]oxazine-6(7H)-one (8bc) (mixed with 8bt in the ratio 81:19). Yield 27 % (615 mg, method A), 62 % (784 mg, method C); white solid; m.p. 98–100°C (CHCl3–Et2O / 1:1). 1H NMR (500 MHz, DMSO-d6) δ 0.82 (3H,t, J = 7.3 Hz, H-2’), 1.47–1.71 (3H, m, H-3, H-1’B), 2.00 (1H, d, J = 15.3 Hz, H-8B), 2.38 (1H, dq, J = 14.6, 7.3 Hz, H-1’A), 2.51 (1H, d, J = 15.3 Hz, H-8A, overlapped with DMSO), 3.22 (1H, td, J = 13.0, 3.8 Hz, H-4B), 3.73 (1H, dm, J = 12.2 Hz, H-2B), 3.87 (1H, dm, J = 13.0 Hz, H-4A), 3.92 (1H, td, J = 12.2, 2.7 Hz, H-2A), 7.13 (1H, s, OH) ppm. 13C NMR (126 MHz, DMSO-d6) δ 6.9 (C-2’), 23.9 and 24.3 (C-1’, C-3), 35.5 (C-4), 40.4 (C-8), 60.1 (C-2), 74.8 (q, J = 29.8 Hz, C-7), 88.6 (C-8a), 124.4 (q, J = 285.0 Hz, CF3), 167.0 (C-6) ppm. 19F NMR (470 MHz, DMSO-d6) δ 83.85 (s, CF3) ppm. IR (ATR) ν 3347 (O–H), 2983–2895 (C–H), 1695 (C=O), 1196–1131 (C–F) cm−1. HRMS (ESI): calcd. for C10H15F3NO3 [M + H]+ 254.0999; found 254.1019.
(7R*,8aR*)-8a-Butyl-7-hydroxy-7-(trifluoromethyl)tetrahydro-2H-pyrrolo[2,1-b][1,3]oxazin-6(7H)-one (8ct) (mixed with 8cc in the ratio 90:10). Yield 24 % (608 mg, method A); white solid; m.p. 80–83°C (CHCl3–Et2O / 1:1). 1H NMR (500 MHz, DMSO-d6) δ 0.91 (3H, t, J = 7.3 Hz, H-4’), 1.19–1.37 (4H, m, H-2’, H-3’), 1.48–1.54 (2H, m, H-3), 1.63 (1H, ddd, J = 14.2, 10.8, 5.2 Hz, H-1’B), 2.12 (1H, d, J = 14.8 Hz, H-8B), 2.31 (1H, ddd, J = 14.2, 10.7, 5.7 Hz, H-1’A), 2.34 (1H, d, J = 14.8 Hz, H-8A), 3.18–3.24 (1H, m, H-4B), 3.72 (1H, dm, J = 12.0 Hz, H-2B), 3.83–3.91 (2H, m, H-2A, H-4A), 7.16 (1H, s, OH) ppm. 13C NMR (126 MHz, DMSO-d6) δ 13.9 (C-4’), 22.0 (C-3’), 24.3 (C-3), 24.6 (C-2’), 31.1 (C-1’), 35.0 (C-4), 41.5 (C-8), 60.0 (C-2), 74.9 (q, J = 29.9 Hz, C-7), 88.2 (C-8a), 124.3 (q, J = 284.5 Hz, CF3), 165.4 (C-6) ppm.19F NMR (376 MHz, DMSO-d6) δ 84.13 (s, CF3) ppm. IR ν 3305 (O–H), 2974–2869 (C–H), 1682 (C=O), 1174–1150 (C–F) cm−1. HRMS (ESI): calcd. for C12H19F3NO3 [M − H]– 280.1166; found 280.1167.
(7R*,8aS*)-8a-Butyl-7-hydroxy-7-(trifluoromethyl)tetrahydro-2H-pyrrolo[2,1-b][1,3]oxazin-6(7H)-one (8cc). Yield 46 % (1164 mg, method A); white solid; m.p. 158–160°C (MeCN). 1H NMR (500 MHz, DMSO-d6) δ 0.90 (3H, t, J = 7.3 Hz, H-4’), 1.18–1.26 (2H, m, H-2’), 1.29–1.38 (2H, m, H-3’), 1.41–1.51 (2H, m, H-1’B, H-3B), 1.59 (1H, qt, J = 12.8, 5.2 Hz, H-3A), 2.02 (1H, d, J = 15.5 Hz, H-8B), 2.35–2.42‘ (1H, m, H-1’A), 2.51 (1H, d, J = 15.5 Hz, H-8A, overlapped with DMSO), 3.23 (1H, td, J = 13.2, 3.8 Hz, H-4B), 3.73 (1H, br. dd, J = 12.2, 5.2 Hz, H-2B), 3.87 (1H, br. dd, J = 13.2, 5.2 Hz, H-4A), 3.93 (1H, td, J = 12.2, 2.7 Hz, H-2A), 7.12 (1H, s, OH) ppm. 13C NMR (126 MHz, DMSO-d6) δ 13.9 (C-4’), 22.0 (C-3’), 24.3 (C-3), 24.6 (C-2’), 30.8 (C-1’), 35.5 (C-4), 41.0 (C-8), 60.2 (C-2), 74.8 (q, J = 29.9 Hz, C-7), 88.3 (C-8a), 124.4 (q, J = 284.6 Hz, CF3), 166.9 (C-6). 19F NMR (470 MHz, DMSO-d6) δ 83.83 (CF3) ppm. IR ν 3313 (O–H), 2961–2869 (C–H), 1686 (C=O), 1189–1116 (C–F) cm−1. HRMS (ESI): calcd. for C12H19F3NO3 [M + H]+ 282.1312; found 282.1313.
(7R*,8aR*)-7-Hydroxy-8a-phenyl-7-(trifluoromethyl)tetrahydro-2H-pyrrolo[2,1-b][1,3]oxazin-6(7H)-one (8dt). Yield 58 % (1571 mg, method A); white solid; m.p. 143–145°C (MeCN). 1H NMR (500 MHz, DMSO-d6) δ 1.46 (1H, dm, J = 13.0 Hz, H-3B), 1.63 (1H, qt, J = 13.0, 5.1 Hz, H-3A), 2.22 (1H, d, J = 14.8 Hz, H-8B), 2.64 (1H, d, J = 14.8 Hz, H-8A), 2.97 (1H, td, J = 13.1, 3.8 Hz, H-4B), 3.54 (1H, td, J = 12.1, 2.2, H-2B), 3.83 (1H, ddm, J = 12.2, 4.6 Hz, H-2A), 4.02 (1H, ddm, J = 13.1, 5.2 Hz, H-4A), 7.23 (1H, s, OH), 7.32 (2H, dd, J = 8.3, 1.4 Hz, Ho), 7.40 (1H, tt, J = 7.4, 1.4 Hz, Hp), 7.49 (2H, t, J = 7.6 Hz, Hm) ppm. 13C NMR (126 MHz, DMSO-d6) δ 24.2 (C-3), 36.4 (C-4), 46.2 (C-8), 61.9 (C-2), 75.0 (q, J = 30.0 Hz, C-7), 89.8 (C-8a), 124.1 (q J = 284.9 Hz, CF3,), 125.8 (Co), 128.4 (Cp), 129.2 (Cm), 139.6 (Ci), 167.1 (C-6) ppm. 19F NMR (470 MHz, DMSO-d6) δ 84.31 (s, CF3) ppm. IR ν 3290 (O–H), 2968–2876 (C–H), 1695 (C=O), 1199–1121 (C–F) cm−1. HRMS (ESI): calcd. for C14H15F3NO3 [M + H]+ 302.099; found 302.0997.
Ethyl 3,3,3-trifluoro-2-hydroxy-2-[(7-hydroxy-6-oxo-7-(trifluoromethyl)tetrahydro-2H-pyrrolo[2,1-b][1,3]oxazin-8a(6H)-yl)methyl)propanoate (mixture of 9:9’ in the ratio ≈ 1:1). Yield 69% (2540 mg, method B); white solid; m.p. 135–137°C. (CHCl3–Et2O / 4:1). 1H NMR (500 MHz, DMSO-d6) δ 1.20 (1.5H, t, J = 7.1 Hz, CH3Et), 1.25 (1.5H, t, J = 7.1 Hz, CH3Et), 1.47–1.59 (2H, m, H-3”), 1.69 (0.5H, d, J = 14.8 Hz), 2.02 (0.5H, d, J = 15.3 Hz), 2.06 (d, J = 15.7 Hz, 0.5H), 2.57 (0.5H, d, J = 15.2 Hz), 2.67 (0.5H, d, J = 15.2 Hz), 3.15 (0.5H, d, J = 15.3 Hz), 3.23 (0.5H, ddd, J = 13.4, 12.6, 3.7 Hz), 3.29–3.37 (1H, m, overlapped with H2O), 3.40 (d, J = 14.8 Hz, 0.5H), 3.65 (0.5H, dm, J = 12.5 Hz,), 3.73 (0.5H, dm, J = 12.5 Hz,), 3.80–3.90 (1.5H, m), 4.05–4.13 (1.5H, m), 4.18 (0.5H, dq, J = 10.8, 7.1 Hz, OCHEt), 4.23 (0.5H, dq, J = 10.8, 7.1 Hz, OCHEt), 7.10 (0.5H, s, OH), 7.12 (0.5H, s, OH), 7.16 (1H, s, OH) ppm. 13C NMR (126 MHz, DMSO-d6) δ 13.4 and 13.6 (CH3Et), 23.8 and 24.0 (C-3”), 33.3 and 33.5 (C-1’), 35.7 and 36.3 (C-8”), 39.7 and 40.7 (C-4”), 60.8 and 61.0 (C-2”), 62.2 and 62.4 (OCH2), 74.35 (q, J = 30.0, C-2), 74.38 (q, J = 30.0, C-2), 75.94 (q, J = 28.2, C-7”), 75.95 (q, J = 27.8, C-7”), 86.9 and 87.1 (C-8a “), 123.9 (q, J = 288.3, CF3), 124.0 (q, J = 288.3, CF3), 124.2 (q, J = 284.6, CF3), 124.3 (q, J = 285.0, CF3), 167.3, 167.4, 167.5 and 168.6 (C-1, C-6”) ppm. 19F NMR (470 MHz, DMSO-d6) δ 83.78 (s, 3F, CF3), 84.25 (s, 3F, CF3), 85.23 (s, 3F, CF3), 85.72 (s, 3F, CF3) ppm. IR ν 3482, 3315 (O–H), 2994–2903 (C–H), 1749, 1699 (C=O), 1173–1157 (C–F) cm−1. HRMS (ESI): calcd. for C14H16F6NO6 [M − H]- 408.0887; found 408.0890.
Ethyl 3,3,3-trifluoro-2-hydroxy-2-[(6-hydroxy-8a-methyl-5-oxo-6-(trifluoromethyl)tetrahydropyrrolo[2,1-b]oxazol-7a(5H)-yl)methyl]propanoate (mixture of 10:10’ in the ratio 56:44). Yield 64% (2356 mg, method B); white solid; m.p. 133–134°C. (CHCl3–Et2O / 2:1). 1H NMR (500 MHz, DMSO-d6) δ 0.88 (d, J = 6.8 Hz, 1.3H, Me), 1.08 (d, J = 6.9 Hz, 1.7H, Me), 1.23 (t, J = 7.1 Hz, 3H, CH3Et), 2.27–2.35 (m, 1H, H-1’, H-7”), 2.62–2.73 (m, 2H, H-1’, H-7”), 3.40–3.62 (m, 2H, H-2”, H-3”), 3.76–3.84 (m, 2H, H-2”, H-3”), 4.16–4.23 (m, 2H, OCH2), 6.94, (d, J = 1.5 Hz, 0.44H, OH), 6.96 (d, J = 1.5 Hz, 0.56H, OH), 7.58 (s, 0.44H, OH), 7.66 (s, 0.56H, OH) ppm. 13C NMR (126 MHz, DMSO-d6) δ 7.7 and 8.4 (Me), 13.7 (CH3Et), 36.5 (C-1’), 41.6 and 42.9 (C-3”), 48.6 and 51.1 (C-7”), 62.0 (OCH2), 66.9 and 68.1 (C-2”), 75.2 (q, J = 27.1, C-2), 75.3 (q, J = 27.2, C-2), 79.2 (q, J = 28.3, C-6”), 80.7 (q, J = 28.3, C-6”), 97.3 and 97.5 (C-7a”), 123.6 (q, J = 285.2, CF3), 123.9 (q, J = 285.5, CF3), 124.2 (q, J = 288.7, CF3), 124.3 (q, J = 288.8, CF3), 167.9 and 168.0 (C-1), 169.2 and 169.4 (C-5”) ppm. 19F NMR (376 MHz, DMSO-d6) δ 85.39 (s, 1.7F, CF3), 85.60 (s, 1.3F, CF3), 86.40 (s, 1.7F, CF3), 89.73 (s, 1.3F, CF3) ppm. IR ν 3486, 3321 (O–H), 2992–2904 (C–H), 1736, 1702 (C=O), 1194–1114 (C–F) cm−1. HRMS (ESI): calcd. for C14H18F6NO6 [M + H]+ 410.1036; found 410.1033.
Ethyl (R*)-3,3,3-trifluoro-2-hydroxy-2-(((R*)-4-hydroxy-1-(2-hydroxyethyl)-3-methyl-5-oxo-4-(trifluoromethyl)-4,5-dihydro-1H-pyrrol-2-yl)methyl)propanoate (11a). Yield 8% (294 mg, method B); white solid; m.p. 141–143 °C. (CHCl3–Et2O / 2:1). 1H NMR (500 MHz, DMSO-d6) δ 1.22 (3H, t, J = 7.1 Hz, CH3), 1.62 (3H, s, C3’-Me), 3.17 (2H, s, H-1’), 3.40 (1H, ddt, J = 10.6, 8.5 5.0 Hz, H-2”‘B), 3.47 (1H, dq, J = 10.6, 4.7 Hz, H-2”‘A), 3.57 (1H, dt, J = 14.6, 4.7 Hz, H-1”‘B), 3.67 (1H, ddd, J = 14.6, 8.5, 5.0 Hz, H-1”‘A), 4.12 (1H, dq, J = 10.8, 7.1 Hz, OC-HB), 4.23 (1H, dq, J = 10.8, 7.1 Hz, OC-HA), 4.92 (1H, t, J = 4.9 Hz, C2’”-OH), 7.17 (1H, s, C4’’-OH), 7.26 (1H, s, C2-OH). 13C NMR (126 MHz, DMSO-d6) δ 8.7 (Me), 13.5 (CH3), 27.2 (CH2), 42.6 (C-1”‘), 58.8 (C-2’”), 62.5 (OCH2), 76.2 (q, J = 29.4, C-4’’), 77.4 (q, J = 27.4, C-2), 112.4 (C-3’’), 123.4 (q, J = 286.8, CF3), 123.9 (q, J = 288.1, CF3), 137.9 (C-2’’), 167.2 (C-1), 172.2 (C-5’’). 19F NMR (376 MHz, DMSO-d6) δ 85.67 (s, 3F, CF3), 85.69 (s, 3F, CF3). IR ν 3494, 3302 (O–H), 2996–2903 (C–H), 1744, 1670 (C=O), 1174–1132 (C–F) cm−1. HRMS (ESI): calcd. for C14H18F6NO6 [M + H]+ 410.1033; found 410.1034.
Ethyl (S*)-3,3,3-trifluoro-2-hydroxy-2-(((R*)-4-hydroxy-1-(2-hydroxyethyl)-3-methyl-5-oxo-4-(trifluoromethyl)-4,5-dihydro-1H-pyrrol-2-yl)methyl)propanoate (11b). Yield 47% (1360 mg, method B); white solid; m.p. 120–122°C. (Et2O–hexane / 3:1). 1H NMR (500 MHz, DMSO-d6) δ 1.22 (3H, t, J = 7.1 Hz, CH3), 1.55–1.61 (2H, m, H-2”‘), 1.63 (3H, s, C3’’-Me), 2.97 (1H, d, J = 15.0 Hz, H-1’B), 3.19 (1H, dd, J = 15.0, 1.5 Hz, H-1’A), 3.30–3.40 (2H,m, H-3”‘), 3.51 (1H, ddd, J = 14.5, 7.5, 6.8 Hz, H-1’’’B), 3.60 (1H, ddd, J = 14.5, 7.5, 7.0 Hz, H-1’’’A), 4.12 (1H, dq, J = 10.8, 7.1 Hz, OC-HB), 4.23 (1H, dq, J = 10.8, 7.1 Hz, OC-HA), 4.53 (1H, t, J = 4.9 Hz, C3”‘-OH), 7.14 (1H, s, C4’’-OH), 7.23 (1H, d, J = 1.5 Hz, C2-OH). 13C NMR (126 MHz, DMSO-d6) δ 8.73 (Me), 13.50 (CH3), 26.96 (CH2), 30.72 (C-2’”), 37.32 (C-1”‘), 57.73 (C-3”‘), 62.58 (OCH2), 76.17 (q, J = 29.5, C-4’’), 77.24 (q, J = 27.4, C-2), 113.03 (C-3’’), 123.35 (q, J = 286.7, CF3), 123.83 (q, J = 288.1, CF3), 137.38 (C-2’’), 167.21 (C-1), 172.12 (C-5’’). 19F NMR (376 MHz, DMSO-d6) δ 85.64 (s, 3F, CF3), 85.74 (s, 3F, CF3) ppm. IR ν 3478, 3293 (O–H), 2992–2896 (C–H), 1751, 1670 (C=O), 1174–1134 (C–F) cm−1. HRMS (ESI): calcd. for C15H20F6NO6 [M + H]+ 424.1189; found 424.1186.
Ethyl (R*)-3,3,3-trifluoro-2-hydroxy-2-(((R*)-4-hydroxy-1-(3-hydroxypropyl)-3-methyl-5-oxo-4-(trifluoromethyl)-4,5-dihydro-1H-pyrrol-2-yl)methyl)propanoate (11b’) (mixture of 11b:11b’ in the ratio 72:28). Yield 76% (2893 mg, method B); white solid; m.p. 120–122 °C. (CHCl3–Et2O / 2:1). 1H NMR (500 MHz, DMSO-d6) δ 1.66 (3H, s, C3’’-Me), 3.08 (2H, AB-system, ∆AB = 0.03 ppm, JAB = 15.4 Hz, CH2), 7.18 (1H, s, C4’’-OH), 7.24 (1H, s, C2-OH) ppm; the signals of other protons coincide with the signals of the major diastereomer 11b. 13C NMR (126 MHz, DMSO-d6) δ 8.86 (Me), 13.54 (CH3), 27.14 (CH2), 30.73 (C-2”‘), 37.18 (C-1’”), 57.57 (C-3’”), 62.58 (OCH2), 76.22 (q, J = 29.2, C-4’’), 77.02 (q, J = 28.0, C-2), 113.52 (C-3’’), 123.52 (q, J = 286.2, CF3), 123.83 (q, J = 288.1, CF3), 137.12 (C-2’’), 167.40 (C-1), 171.98 (C-5’’) ppm. 19F NMR (376 MHz, DMSO-d6) δ 85.81 (s, 3F, CF3), 86.01 (s, 3F, CF3) ppm. IR ν 3475, 3292 (O–H), 2992–2896 (C–H), 1752, 1716 (C=O), 1173–1135 (C–F) cm−1. HRMS (ESI): calcd. for C15H20F6NO6 [M + H]+ 424.1189; found 424.1184
3.5. XRD Experiments
The X-ray studies for compounds 4dc, 5tc, 8cc were performed on an Xcalibur 3 CCD (Oxford Diffraction Ltd., Abingdon, UK) diffractometer with a graphite monochromator, λ(MoKα) 0.71073 Å radiation, T 295(2), for compound 11b was registered on an XtaLAB Synergy (Oxford Diffraction Ltd., Abingdon, UK) diffractometer with hybrid pixel monochromator, λ(MoKα) 0.71073 Å radiation, T 295(2). An empirical absorption correction was applied. Using Olex2 [38], the structure was solved with the Superflip [39] structure solution program using charge flipping and refined with the ShelXL [40] refinement package using least squares minimization. All non-hydrogen atoms were refined in the anisotropic approximation; H-atoms at the C-H bonds were refined in the “rider” model with dependent displacement parameters. An empirical absorption correction was carried out through spherical harmonics, implemented in the SCALE3 ABSPACK scaling algorithm by a program “CrysAlisPro” (Rigaku Oxford Diffraction).
The full set of X-ray structural data for compounds 4dc, 5tc, 8cc, 11b was deposited at the Cambridge Crystallographic Data Center (deposits CCDC-238736 (4dc), -2238737 (5tc), -2238738 (8cc), -2238739 (11b).
Crystal Data for 4dc: C13H12F3NO3 (M = 287.24g/mol): triclinic, space group P-1, a = 6.0290(7) Å, b = 8.1542(10) Å, c = 13.4778(17) Å, α = 79.481(10)°, β = 86.443(10)°, γ = 75.029(10), V = 629.27(14) Å3, Z = 2, T = 295(2) K, μ(CuKα) = 0.136 mm−1, Dcalc = 1.516 g/cm3, 5481 reflections measured to (7.37 ° ≤ 2Θ ≤ 61.83°), 3339 unique (Rint = 0.0434, Rsigma = 0.0881) which were used in all calculations. The final R1 was 0.0702 (I > 2σ(I)) and wR2 was 0.1634 (all data) (Table S1, Supplementary Materials).
Crystal Data for 5tc: C13H15F6NO6 (M = 395.26 g/mol): monoclinic, space group P21/n, a = 10.8844(8) Å, b = 13.1919(9) Å, c = 11.3734(9) Å, α = γ =90°, β = 92.641(7)°, V = 1631.3(2) Å3, Z = 4, T = 295(2) K, μ(CuKα) = 0.167 mm−1, Dcalc = 1.609 g/cm3, 11283 reflections measured to (7.14° ≤ 2Θ ≤ 62.03°), 4404 unique (Rint = 0.0496, Rsigma = 0.0604) which were used in all calculations. The final R1 was 0.0544 (I > 2σ(I)) and wR2 was 0.1455 (all data) (Table S1, Supplementary Materials).
Crystal Data for 8cc: C12H18F3NO3 (M = 281.27 g/mol): monoclinic, space group P21/c, a = 10.6332(12) Å, b = 13.8923(13) Å, c = 9.5664(15) Å, α = γ =90°, β = 102.235(13)°, V = 1381.0(3) Å3, Z = 4, T = 295(2) K, μ(CuKα) = 0.122 mm−1, Dcalc = 1.353 g/cm3, 10666 reflections measured to (7.06° ≤ 2Θ ≤ 61.72°), 3779 unique (Rint = 0.0582, Rsigma = 0.0803) which were used in all calculations. The final R1 was 0.0611 (I > 2σ(I)) and wR2 was 0.1539 (all data) (Table S2, Supplementary Materials).
Crystal Data for 11b: C15H19NO6F6 (M = 423.31g/mol): monoclinic, space group P21/c, a = 19.1431(10) Å, b = 6.4882(4) Å, c = 16.4430(9) Å, α = γ =90°, β = 107.551(6)°, V = 1947.2(2) Å3, Z = 4, T = 295(2) K, μ(CuKα) = 0.145 mm−1, Dcalc = 1.444 g/cm3, 15118 reflections measured to (5.00° ≤ 2Θ ≤ 52.74°), 3972 unique (Rint = 0.1526, Rsigma = 0.0998) which were used in all calculations. The final R1 was 0.0601 (I > 2σ(I)) and wR2 was 0.1547 (all data) (Table S2, Supplementary Materials).
4. Conclusions
A method for the synthesis of bicyclic γ-lactam annulated oxazacycles has been developed based on the multicomponent reaction of ethyl trifluoropyruvate with methyl ketones and 1,2-, 1,3-amino alcohols. Thus, the use of aminoethanol makes it possible to obtain tetrahydropyrrolo[2,1-b]oxazol-5-ones, and the use of aminopropanol–tetrahydropyrrolo[2,1-b][1,3]oxazine-6-ones. Variation of the methyl ketone component creates opportunities for the introduction of various substituents at the nodal carbon atom of these bicycles. The method proposed by us is distinguished by the simplicity of execution and the availability of initial reagents.
It has been shown that the structure of final γ-lactams is determined by the stoichiometric amount of ethyl trifluoropyruvate and the nature of methyl ketone. At the same time, distinctive features of the transformations of amino alcohols were found in comparison with the previously studied reactions with 1,2-, 1,3-diamines, since the use of a double excess of ethyl trifluoropyruvate results in the formation of bicyclic aldols rather than tricyclic dipyrrolooxazacycles [35]. This feature is due to the fact that the oxygen atom in the cycle does not have the opportunity for subsequent addition reactions, and, consequently, the formation of tricycles. In addition, the reaction of a double excess of pyruvate with 2-butanone and aminopropanol stops at the stage of formation of N-hydroxypropyl-2,3-dihydropyrrol-5-one, the possibility of its isolation is probably due to the lower reactivity of the hydroxyl group compared to the amino function. It can also be noted that, in contrast to the transformations of diamines, three-component cyclizations with amino alcohols are less diastereoselective, since they predominantly lead to the formation of two cis- and trans-isomers, the diastereomeric structure of which we were able to reliably establish using NMR spectroscopy and X-ray diffraction.
The mechanism of formation of bicyclic γ-lactams has been determined. It represents successive domino reactions with the initial formation of an aldol and a bis-aldol from pyruvate and methyl ketone, which becomes possible due to the increased electrophilicity of the carbonyl group at the trifluoromethyl substituent.
The synthesized tetrahydropyrrolo[2,1-b]oxazol-5-ones and tetrahydropyrrolo[2,1-b][1,3]oxazine-6-ones are of interest both for biological testing and for the following chemical transformations, for example, oxazole ring opening reactions to obtain new γ-lactams.
Supplementary Materials
The following supporting information can be downloaded at: https://www.mdpi.com/article/10.3390/molecules28041983/s1, Table S1: Crystallographic parameters and X-ray experiment details for 4dc, 5tc; Table S2: Crystallographic parameters and X-ray experiment details for 8cc, 11b; Figure S1: 1H NMR spectrum of 4at; Figure S2: 13C NMR spectrum of 4at; Figure S3: 19F NMR spectrum of 4at; Figure S4: 1H NMR spectrum of 4ac (mixed with 5ct (20%) and 4at (2%)); Figure S5: 19F NMR spectrum of 4ac (mixed with 5ct (20%) and 4at (2%)); Figure S6: 1H NMR spectrum of 4bt; Figure S7: 1H NMR spectrum of 4bt; Figure S8: 19F NMR spectrum of 4bt; Figure S9: 1H NMR spectrum of 4bc (mixed with 4bt in the ratio 90:10); Figure S10: 13C NMR spectrum of 4bc (mixed with 4bt in the ratio 90:10); Figure S11: 19F NMR spectrum of 4bc (mixed with 4bt in the ratio 90:10); Figure S12: 1H NMR spectrum of 4ct (mixed with 4cc in the ratio 90:10); Figure S13: 13C NMR spectrum of 4ct (mixed with 4cc in the ratio 90:10); Figure S14: 19F NMR spectrum of 4ct (mixed with 4cc in the ratio 90:10); Figure S15: 1H NMR spectrum of 4cc; Figure S16: 13C NMR spectrum of 4cc; Figure S17: 19F NMR spectrum of 4cc; Figure S18: 1H NMR spectrum of 4dc; Figure S19: 13C NMR spectrum of 4dc; Figure S20: 19F NMR spectrum of 4dc; Figure S21: 1H NMR spectrum of 5tc; Figure S22: 13C NMR spectrum of 5tc; Figure S23: 19F NMR spectrum of 5tc; Figure S24: 1H NMR spectrum of 5cc (mixed with 5tc in the ratio 80:20); Figure S25: 13C NMR spectrum of 5cc (mixed with 5tc in the ratio 80:20); Figure S26: 19F NMR spectrum of 5cc (mixed with 5tc in the ratio 80:20); Figure S27: 1H NMR spectrum of 6b; Figure S28: 13C NMR spectrum of 6b; Figure S29: 19F NMR spectrum of 6b; Figure S30: 1H NMR spectrum of 8at (mixed with 8ac in the ratio 84:16); Figure S31: 13C NMR spectrum of 8at (mixed with 8ac in the ratio 84:16); Figure S32: 19F NMR spectrum of 8at (mixed with 8ac in the ratio 84:16); Figure S33: 1H NMR spectrum of 8ac (mixed with 8at in the ratio 89:11); Figure S34: 19F NMR spectrum of 8ac (mixed with 8at in the ratio 89:11); Figure S35: 13C NMR spectrum of 8ac (mixed with 8at in the ratio 89:11); Figure S36: 1H NMR spectrum of 8bt; Figure S37: 13C NMR spectrum of 8bt; Figure S38: 19F NMR spectrum of 8bt; Figure S39: 1H NMR spectrum of 8bc (mixed with 8bt in the ratio 81:19); Figure S40: 13C NMR spectrum of 8bc (mixed with 8bt in the ratio 81:19); Figure S41: 19F NMR spectrum of 8bc (mixed with 8bt in the ratio 81:19); Figure S42: 1H NMR spectrum of 8ct; Figure S43: 19F NMR spectrum of 8ct; Figure S44: 13C NMR spectrum of 8ct; Figure S45: 1H NMR spectrum of 8cc; Figure S46: 13C NMR spectrum of 8cc; Figure S47: 19F NMR spectrum of 8cc; Figure S48: 1H NMR spectrum of 8dt; Figure S49: 13C NMR spectrum of 8dt; Figure S50: 19F NMR spectrum of 8dt; Figure S51: 1H NMR spectrum of a mixture of 9:9’ in the ≈ 1:1; Figure S52: 13C NMR spectrum of a mixture of 9:9’ in the ratio ≈ 1:1; Figure S53: 19F NMR spectrum of mixture of 9:9’ in the ratio ≈ 1:1; Figure S54: 1H NMR spectrum of mixture of 10:10’ in the ratio 56:44; Figure S55: 13C NMR spectrum of mixture of 10:10’ in the ratio 56:44; Figure S56: 19F NMR spectrum of mixture of 10:10’ in the ratio 56:44; Figure S57: 1H NMR spectrum of 11a; Figure S58: 13C NMR spectrum of 11a; Figure S59: 19F NMR spectrum of 11a; Figure S60: 1H NMR spectrum of 11b; Figure S61: 13C NMR spectrum of 11b; Figure S62: 19F NMR spectrum of 11b; Figure S63: 1H NMR spectrum of mixture of 11b:11b’ in the ratio 72:28; Figure S64: 13C NMR spectrum of mixture of 11:11’ in the ratio 72:28; Figure S65: 19F NMR spectrum of mixture of 11:11’ in the ratio 72:28.
Author Contributions
Conceptualization, methodology, Y.V.B., M.V.G.; synthesis, O.A.F., M.V.G.; experimental investigation, M.A.E., M.I.K., P.A.S., V.S.G.; writing—original draft preparation, Y.V.B., M.V.G.; writing—review and editing, Y.V.B., M.V.G., O.A.F., M.I.K., M.A.E., V.I.S.; supervision, V.I.S. All authors have read and agreed to the published version of the manuscript.
Funding
This work was financially supported by the Russian Science Foundation (grant No 21-13-00390 for V.I.S.).
Institutional Review Board Statement
Not applicable.
Informed Consent Statement
Not applicable.
Data Availability Statement
Not applicable.
Acknowledgments
Analytical studies (IR and NMR spectroscopy, elemental analysis, and XRD analysis experiments) were carried out using equipment of the Center for Joint Use “Spectroscopy and Analysis of Organic Compounds” at the IOS UB RAS. The authors are grateful for Maria A. Panova for assistance in manuscript preparation.
Conflicts of Interest
The authors declare no conflict of interest.
Sample Availability
Samples of the compounds 4a–d, 5, 6a,b, 7, 8a–d, 9, 10, 11a,b are available from the authors.
References
- Caruano, J.; Muccioli, G.G.; Robiette, R. Biologically active γ-lactams: Synthesis and natural sources. Org. Biomol. Chem. 2016, 14, 10134–10156. [Google Scholar] [CrossRef]
- Groaning, M.D.; Meyers, A.I. Concise synthesis of indolizidines: Total synthesis of (−)-coniceine. Chem. Commun. 2000, 1027–1028. [Google Scholar] [CrossRef]
- Fenteany, G.; Standaert, R.F.; Lane, W.S.; Choi, S.; Corey, E.J.; Schreiber, S.L. Inhibition of proteasome activities and subunit-specific amino-terminal threonine modification by Lactacystin. Science 1995, 268, 726–731. [Google Scholar] [CrossRef]
- Chu, S.; Liu, S.; Duan, W.; Cheng, Y.; Jiang, X.; Zhu, C.; Tang, K.; Wang, R.; Xu, L.; Wang, X.; et al. The anti-dementia drug candidate, (−)-clausenamide, improves memory impairment through its multi-target effect. Pharmacol. Ther. 2016, 162, 179–187. [Google Scholar] [CrossRef]
- Yost, C.S. A new look at the Respiratory Stimulant Doxapram. CNS Drug Rev. 2006, 12, 236–249. [Google Scholar] [CrossRef]
- Glauser, T.A.; Cnaan, A.; Shinnar, S.; Hirtz, D.G.; Dlugos, D.; Masur, D.; Clark, P.O.; Capparelli, E.V.; Adamson, P.C. Ethosuximide, valproic acid, and lamotrigine in childhood absence epilepsy. New Engl. J. Med. 2010, 362, 790–799. [Google Scholar] [CrossRef]
- Shorvon, S.D. Piracetam. In the Treatment of Epilepsy, 3rd ed.; Shorvon, S., Perucca, E., Engel, J., Eds.; Wiley-Blackwell: Oxford, UK, 2009; pp. 619–625. [Google Scholar] [CrossRef]
- Pinza, M.; Farina, C.; Cerri, A.; Pfeiffer, U.; Riccaboni, M.T.; Banfi, S.; Biagetti, R.; Pozzi, O.; Magnani, M.; Dorigotti, L. Synthesis and pharmacological activity of a series of dihydro-1H-pyrrolo[1,2-a]imidazole-2,5(3H,6H)-diones, a novel class of potent cognition enhancers. J. Med. Chem. 1993, 36, 4214–4220. [Google Scholar] [CrossRef]
- Boyd, D.B.; Elzey, T.K.; Hatfield, L.D.; Kinnick, M.D.; Morin, J.M. γ-Lactam analogues of the penems. Tetrahedron Lett. 1986, 27, 3453–3456. [Google Scholar] [CrossRef]
- Baldwin, J.E.; Adlington, R.M.; Jones, R.H.; Schofield, C.J.; Zarocostas, C.; Greengrass, C.W. γ-Lactam analogues of carbapenicillanic acids. J. Chem. Soc. Chem. Commun. 1985, 194–196. [Google Scholar] [CrossRef]
- Groaning, M.D.; Meyers, A. Chiral non-racemic bicyclic lactams. Auxiliary-based asymmetric reactions. Tetrahedron 2000, 56, 9843–9873. [Google Scholar] [CrossRef]
- Romo, D.; Meyers, A. Chiral non-racemic bicyclic lactams. Vehicles for the construction of natural and unnatural products containing quaternary carbon centers. Tetrahedron 1991, 47, 9503–9569. [Google Scholar] [CrossRef]
- Meyers, A.I.; Harre, M.; Garland, R. Asymmetric synthesis of quaternary carbon centers. J. Am. Chem. Soc. 1984, 106, 1146–1148. [Google Scholar] [CrossRef]
- Meyers, A.I.; Lefker, B.A. Chiral bicyclic lactams for asymmetric synthesis of quaternary carbons. The total synthesis of (-)-.alpha.-cuparenone. J. Org. Chem. 1986, 51, 1541–1544. [Google Scholar] [CrossRef]
- Malaquin, S.; Jida, M.; Courtin, J.; Laconde, G.; Willand, N.; Deprez, B.; Deprez-Poulain, R. Water-based conditions for the microscale parallel synthesis of bicyclic lactams. Tetrahedron Lett. 2013, 54, 562–567. [Google Scholar] [CrossRef]
- Le Goff, R.; Martel, A.; Sanselme, M.; Lawson, A.M.; Daïch, A.; Comesse, S. Simple access to highly functional bicyclic γ- and δ-lactams: Origins of chirality transfer to contiguous tertiary/quaternary stereocenters assessed by DFT. Chem. A Eur. J. 2014, 21, 2966–2979. [Google Scholar] [CrossRef]
- Comesse, S.; Martel, A.; Daïch, A. Domino process optimized via ab initio study for an alternative access to bicyclic lactams. Org. Lett. 2011, 13, 4004–4007. [Google Scholar] [CrossRef]
- Pilard, J.-F.; Klein, B.; Texier-Boullet, F.; Hamelin, J. Fast synthesis of heterobicycles containing a bridgehead nitrogen atom in dry media under microwave irradiation. Synlett 1992, 1992, 219–220. [Google Scholar] [CrossRef]
- Wedler, C.; Schick, H.; Scharfenberg-Pfeiffer, D.; Reck, G. Reactions of 4-oxoalkanoic acids, 4. synthesis of (±)-6-alkyl-5-oxa-1-azabicyclo[4.3.0]nonan-9-ones, (±)-5-alkyl-4-oxa-1-azabicyclo[3.3.0]octan-8-ones, and substituted 1,6-dioxa-3,8-diazacyclodecanes by reaction of ethyl 4-oxoalkanoates with 3-aminopropanol and 2-aminoethanol. Eur. J. Org. Chem. 1992, 1992, 29–32. [Google Scholar] [CrossRef]
- Vainiotalo, P.; Savolainen, P.-L.; Ahlgrén, M.; Mälkönen, P.J.; Vepsäläinen, J. Identification of the condensation products of 1,2- and 1,3-amino alcohols with keto esters by NMR spectroscopy, mass spectrometry and X-ray crystallography studies. Open or ring forms? J. Chem. Soc. Perkin Trans. 2 1991, 735–741. [Google Scholar] [CrossRef]
- Meyers, A.I.; Wallace, R.H. Some observations on the validity and generality of the "Cieplak stereoelectronic effect". J. Org. Chem. 1989, 54, 2509–2510. [Google Scholar] [CrossRef]
- Hao, J.; Hou, M.; Zhuang, H.; Wang, J.; Wan, W.; Jiang, H. A Process for Preparing (3S)-3-Benzyl-7a-(Trifluoromethyl)Tetrahydropyrrolo[2,1-b]Oxazol-5(6H)-One. Patent CN101531668 A China, 2009.
- Hao, J.; Hou, M.; Zhuang, H.; Wang, J.; Wan, W.; Jiang, H. Preparation of (3R)-3-Benzyl-7a-(Difluoromethyl)Tetrahydropyrrolo[2,1-b]Oxazol-5(6H)-One. Patent CN101544658 A China, 2009.
- Li, B.; Guinness, S.M.; Hoagland, S.; Fichtner, M.; Kim, H.; Li, S.; Maguire, R.J.; McWilliams, J.C.; Mustakis, J.; Raggon, J.; et al. Continuous production of anhydrous tert-butyl hydroperoxide in nonane using membrane pervaporation and its application in flow oxidation of a γ-butyrolactam. Org. Process Res. Dev. 2018, 22, 707–720. [Google Scholar] [CrossRef]
- Bhatt, J.D.; Patel, T.S.; Chudasama, C.J.; Patel, K.D. Microwave-assisted synthesis of novel pyrazole clubbed polyhydroquinolines in an ionic-liquid and their biological perspective. ChemistrySelect 2018, 3, 3632–3640. [Google Scholar] [CrossRef]
- Wu, Y.; Wang, Y.; He, M.; Tao, X.; Li, J.; Shan, D.; Lv, L. Progress of trifluoroacetoacetate in the synthesis of agrochemicals and medicines with fluorine. Mini-Rev. Org. Chem. 2017, 14, 350–356. [Google Scholar] [CrossRef]
- O’Hagan, D. Understanding organofluorine chemistry. An introduction to the C–F bond. Chem. Soc. Rev. 2007, 37, 308–319. [Google Scholar] [CrossRef]
- Jeffries, B.; Wang, Z.; Graton, J.; Holland, S.D.; Brind, T.; Greenwood, R.D.R.; Le Questel, J.-Y.; Scott, J.S.; Chiarparin, E.; Linclau, B. Reducing the lipophilicity of perfluoroalkyl groups by CF2–F/CF2–Me or CF3/CH3 exchange. J. Med. Chem. 2018, 61, 10602–10618. [Google Scholar] [CrossRef]
- Giornal, F.; Pazenok, S.; Rodefeld, L.; Lui, N.; Vors, J.-P.; Leroux, F.R. Synthesis of diversely fluorinated pyrazoles as novel active agrochemical ingredients. J. Fluor. Chem. 2013, 152, 2–11. [Google Scholar] [CrossRef]
- Muller, K.; Faeh, C.; Diederich, F. Fluorine in pharmaceuticals: Looking beyond intuition. Science 2007, 317, 1881–1886. [Google Scholar] [CrossRef]
- Goryaeva, M.V.; Burgart, Y.V.; Kudyakova, Y.S.; Ezhikova, M.A.; Kodess, M.I.; Slepukhin, P.A.; Saloutin, V.I. Three-component synthesis of 7-hydroxy-7-polyfluoroalkylhexahydroimidazo[1,2-a] pyridin-5(1H)-ones. Eur. J. Org. Chem. 2015, 2015, 6306–6314. [Google Scholar] [CrossRef]
- Saloutin, V.I.; Goryaeva, M.V.; Kushch, S.O.; Khudina, O.G.; Ezhikova, M.A.; Kodess, M.I.; Slepukhin, P.A.; Burgart, Y.V. Competitive ways for three-component cyclization of polyfluoroalkyl-3-oxo esters, methyl ketones and amino alcohols. Pure Appl. Chem. 2020, 92, 1265–1275. [Google Scholar] [CrossRef]
- Goryaeva, M.V.; Kushch, S.O.; Khudina, O.G.; Burgart, Y.V.; Ezhikova, M.A.; Kodess, M.I.; Slepukhin, P.A.; Volobueva, A.S.; Slita, A.V.; Esaulkova, I.L.; et al. New multicomponent approach to polyfluoroalkylated pyrido[1,2-a]pyrimidine derivatives and bis-cyclohexenones. J. Fluor. Chem. 2020, 241, 109686. [Google Scholar] [CrossRef]
- Kushch, S.O.; Goryaeva, M.V.; Burgart, Y.V.; Triandafilova, G.A.; Malysheva, K.O.; Krasnykh, O.P.; Gerasimova, N.A.; Evstigneeva, N.P.; Saloutin, V.I. Facile synthesis of 6-organyl-4-(trifluoromethyl)pyridin-2(1H)-ones and their polyfluoroalkyl-containing analogs. Russ. Chem. Bull. 2022, 71, 1687–1700. [Google Scholar] [CrossRef] [PubMed]
- Goryaeva, M.V.; Fefelova, O.; Burgart, Y.V.; Ezhikova, M.; Kodess, M.I.; Slepukhin, P.; Triandafilova, G.; Solodnikov, S.Y.; Krasnykh, O.P.; Saloutin, V.I. A three-component synthesis of trifluoromethylated hexahydropyrrolo[1,2-a]imidazol-5-ones and hexahydropyrrolo[1,2-a]pyrimidin-6-ones. Chem. Heterocycl. Compd. 2022, 58, 421–431. [Google Scholar] [CrossRef]
- Landge, S.M.; Török, B. Highly enantioselective organocatalytic addition of ethyl trifluoropyruvate to ketones with subzero temperature microwave activation. Catal. Lett. 2009, 131, 432–439. [Google Scholar] [CrossRef]
- Goryaeva, M.V.; Kushch, S.O.; Burgart, Y.V.; Ezhikova, M.A.; Kodess, M.I.; Slepukhin, P.A.; Triandafilova, G.A.; Krasnykh, O.P.; Yakovleva, E.I.; Zarubaev, V.V.; et al. New heteroanalogs of tricyclic ascidian alkaloids: Synthesis and biological activity. Org. Biomol. Chem. 2021, 19, 9925–9935. [Google Scholar] [CrossRef]
- Dolomanov, O.V.; Bourhis, L.J.; Gildea, R.J.; Howard, J.A.K.; Puschmann, H. OLEX2: A complete structure solution, refinement and analysis program. J. Appl. Cryst. 2009, 42, 339–341. [Google Scholar] [CrossRef]
- Palatinus, L.; Chapuis, G. SUPERFLIP—A computer program for the solution of crystal structures by charge flipping in arbitrary dimensions. J. Appl. Crystallogr. 2007, 40, 786–790. [Google Scholar] [CrossRef]
- Sheldrick, G.M. A short history of SHELX. Acta Crystallogr. Sect. A 2007, A64, 112–122. [Google Scholar] [CrossRef]
Disclaimer/Publisher’s Note: The statements, opinions and data contained in all publications are solely those of the individual author(s) and contributor(s) and not of MDPI and/or the editor(s). MDPI and/or the editor(s) disclaim responsibility for any injury to people or property resulting from any ideas, methods, instructions or products referred to in the content. |
© 2023 by the authors. Licensee MDPI, Basel, Switzerland. This article is an open access article distributed under the terms and conditions of the Creative Commons Attribution (CC BY) license (https://creativecommons.org/licenses/by/4.0/).













