Quantification of Enhydrin and Uvedalin in the Ethanolic Extract of Smallanthus sonchifolius Leaves Validated by the HPLC Method
Abstract
1. Introduction
2. Results and Discussion
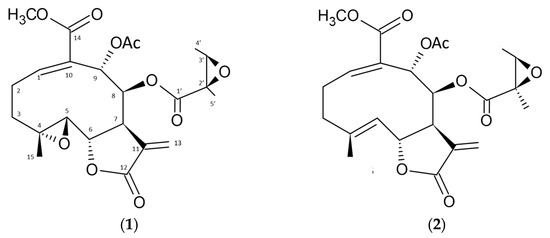
2.1. Characterization of Compound Isolates
2.2. HPLC Method Validation
2.2.1. Linearity, LOD, and LOQ
2.2.2. Precision and Accuracy
2.3. HPLC Method Application for the Quantification of Compounds 1 and 2
3. Materials and Methods
3.1. Plant Material
3.2. Solvent and Instrument
3.3. Extraction and Isolation
3.4. Validation of HPLC Method
3.4.1. Preparation of Standard Solutions (Compounds 1 and 2)
3.4.2. Chromatographic Conditions
3.4.3. Validation Parameters
3.5. Preparation of Sample Analysis
4. Conclusions
Supplementary Materials
Author Contributions
Funding
Institutional Review Board Statement
Informed Consent Statement
Data Availability Statement
Acknowledgments
Conflicts of Interest
References
- Contreras-Puentes, N.; Alviz-Amador, A. Hypoglycaemic Property of Yacon (Smallanthus Sonchifolius (Poepp. and Hendl.) H. Robinson): A Review. Pharmacogn. Rev. 2020, 14, 37–44. [Google Scholar] [CrossRef]
- Dos Santos, K.C.; Bueno, B.G.; Pereira, L.F.; Francisqueti, F.V.; Braz, M.G.; Bincoleto, L.F.; Da Silva, L.X.; Ferreira, A.L.A.; De Melo Stevanato Nakamune, A.C.; Chen, C.Y.O.; et al. Yacon (Smallanthus Sonchifolius) Leaf Extract Attenuates Hyperglycemia and Skeletal Muscle Oxidative Stress and Inflammation in Diabetic Rats. Evidence-Based Complement. Altern. Med. 2017, 2017, 6418048. [Google Scholar] [CrossRef] [PubMed]
- Riyanti, S.; Suganda, A.G.; Sukandar, E.Y. Dipeptidyl Peptidase-IV Inhibitory Activity of Some Indonesian Medicinal Plants. Asian J. Pharm. Clin. Res. 2016, 9, 375–377. [Google Scholar]
- Horbulinska, A.V.; Khokhla, M.R.; Hachkova, H.Y.; Sybirna, N.O. Yacons (Smallanthus Sonchifolius Poepp. & Endl.) Influence on Postprandial Glucose under Experimental Diabetes Mellitus. Ukr. Biopharm. J. 2016, 63–69. [Google Scholar] [CrossRef]
- Coll Aráoz, M.V.; Kortsarz González, A.M.; Mercado, M.I.; Ponessa, G.I.; Grau, A.; Catalán, C.A.N. Ontogeny and Total Sugar Content of Yacon Tuberous Roots and Other Three Smallanthus Species (Heliantheae, Asteraceae), Insights on the Development of a Semi-Domesticated Crop. Genet. Resour. Crop Evol. 2014, 61, 163–172. [Google Scholar] [CrossRef]
- Dempewolf, H.; Rieseberg, L.H.; Cronk, Q.C. Crop Domestication in the Compositae: A Family-Wide Trait Assessment. Genet. Resour. Crop Evol. 2008, 55, 1141–1157. [Google Scholar] [CrossRef]
- Kamp, L.; Hartung, J.; Mast, B.; Graeff-Hönninger, S. Plant Growth, Tuber Yield Formation and Costs of Three Different Propagation Methods of Yacon (Smallanthus Sonchifolius). Ind. Crops Prod. 2019, 132, 1–11. [Google Scholar] [CrossRef]
- Honoré, S.M.; Genta, S.B.; Serafina Sánchez, S.; Sánchez, S. Smallanthus Sonchifolius ( Yacon ) Leaves: An Emerging Source of Compounds for Diabetes Management. J. Res. Biol. 2015, 5, 21–42. [Google Scholar]
- Padilla-González, G.F.; Amrehn, E.; Frey, M.; Gómez-Zeledón, J.; Kaa, A.; Da Costa, F.B.; Spring, O. Metabolomic and Gene Expression Studies Reveal the Diversity, Distribution and Spatial Regulation of the Specialized Metabolism of Yacón (Smallanthus Sonchifolius, Asteraceae). Int. J. Mol. Sci. 2020, 21, 4555. [Google Scholar] [CrossRef]
- Barcellona, C.S.; Cabrera, W.M.; Honoré, S.M.; Mercado, M.I.; Sánchez, S.S.; Genta, S.B. Safety Assessment of Aqueous Extract from Leaf Smallanthus Sonchifolius and Its Main Active Lactone, Enhydrin. J. Ethnopharmacol. 2012, 144, 362–370. [Google Scholar] [CrossRef]
- Habib, N.C.; Honoré, S.M.; Genta, S.B.; Sánchez, S.S. Hypolipidemic Effect of Smallanthus Sonchifolius (Yacon) Roots on Diabetic Rats: Biochemical Approach. Chem. Biol. Interact. 2011, 194, 31–39. [Google Scholar] [CrossRef] [PubMed]
- Kitai, Y.; Hayashi, K.; Otsuka, M.; Nishiwaki, H.; Senoo, T.; Ishii, T.; Sakane, G.; Sugiura, M.; Tamura, H. New Sesquiterpene Lactone Dimer, Uvedafolin, Extracted from Eight Yacon Leaf Varieties (Smallanthus Sonchifolius): Cytotoxicity in HeLa, HL-60, and Murine B16-F10 Melanoma Cell Lines. J. Agric. Food Chem. 2015, 63, 10856–10861. [Google Scholar] [CrossRef] [PubMed]
- Schorr, K.; Da Costa, F.B. Quantitative Determination of Enhydrin in Leaf Rinse Extracts and in Glandular Trichomes of Smallanthus Sonchifolius (Aeteraceae) by Reversed-Phase High-Performance Liquid Chromatography. Phytochem. Anal. 2005, 16, 161–165. [Google Scholar] [CrossRef] [PubMed]
- Chan, C.H.; Ngoh, G.C.; Yusoff, R. A Brief Review on Anti Diabetic Plants: Global Distribution, Active Ingredients, Extraction Techniques and Acting Mechanisms. Pharmacogn. Rev. 2012, 6, 22–28. [Google Scholar] [CrossRef]
- Genta, S.B.; Cabrera, W.M.; Mercado, M.I.; Grau, A.; Catalán, C.A.; Sánchez, S.S. Hypoglycemic Activity of Leaf Organic Extracts from Smallanthus Sonchifolius: Constituents of the Most Active Fractions. Chem. Biol. Interact. 2010, 185, 143–152. [Google Scholar] [CrossRef]
- Choi, J.G.; Kang, O.H.; Lee, Y.S.; Oh, Y.C.; Chae, H.S.; Obiang-Obounou, B.; Park, S.C.; Shin, D.W.; Hwang, B.Y.; Kwon, D.Y. Antimicrobial Activity of the Constituents of Smallanthus Sonchifolius Leaves against Methicillin-Resistant Staphylococcus Aureus. Eur. Rev. Med. Pharmacol. Sci. 2010, 14, 1005–1009. [Google Scholar]
- de Andrade, E.F.; Carpiné, D.; Dagostin, J.L.A.; Barison, A.; Rüdiger, A.L.; de Muñiz, G.I.B.; Masson, M.L. Identification and Antimicrobial Activity of the Sesquiterpene Lactone Mixture Extracted from Smallanthus Sonchifolius Dried Leaves. Eur. Food Res. Technol. 2017, 243, 2155–2161. [Google Scholar] [CrossRef]
- Schorr, K.; Merfort, I.; Da Costa, F.B. A Novel Dimeric Melampolide and Further Terpenoids from Smallanthus Sonchifolius (Asteraceae) and the Inhibition of the Transcription Factor NF-ΚB. Nat. Prod. Commun. 2007, 2. [Google Scholar] [CrossRef]
- Mercado, M.I.; Coll Aráoz, M.V.; Manrique, I.; Grau, A.; Catalán, C.A.N. Variability in Sesquiterpene Lactones from the Leaves of Yacon (Smallanthus Sonchifolius) Accessions of Different Geographic Origin. Genet. Resour. Crop Evol. 2014, 61, 1209–1217. [Google Scholar] [CrossRef]
- Kementerian Kesehatan, R.I. Farmakope Herbal Indonesia Jilid II; Kementerian Kesehatan RI: South Jakarta, Indonesia, 2017. [Google Scholar]
- Tsunaki, K.; Morimoto, M. Chemical Defense of Yacón (Smallanthus Sonchifolius) Leaves against Phytophagous Insects: Insect Antifeedants from Yacón Leaf Trichomes. Plants 2020, 9, 848. [Google Scholar] [CrossRef]
- Inoue, A.; Tamogami, S.; Kato, H.; Nakazato, Y.; Akiyama, M.; Kodama, O.; Akatsuka, T.; Hashidoko, Y. Antifungal Melampolides from Leaf Extracts of Smallanthus Sonchifolius. Phytochemistry 1995, 39, 845–848. [Google Scholar] [CrossRef]
- Tak, H.; Fronczek, F.R.; Vargas, D.; Fischer, N.H. Assignments of the 13c NMR Spectra of Enhydrin and 2’, 3’- Dehydromelnerin a and the Molecular Structure of Enhydrin. Spectrosc. Lett. 1994, 27, 1481–1488. [Google Scholar] [CrossRef]
- Horwitz, W.; Latimer, G. Official Methods of Analysis of AOAC, 21st ed.; AOAC International: Gaithersburg, MD, USA, 2019. [Google Scholar]
- Aziz, Z.; Yuliana, N.D.; Simanjuntak, P.; Rafi, M. Syamsudin FTIR and HPLC-Based Metabolomics of Yacon Leaves Extracts (Smallanthus Sonchifolius [Poepp & Endl.] h. Robinson) from Two Locations in Indonesia. Indones. J. Chem. 2020, 20, 567–578. [Google Scholar] [CrossRef]
- Padilla-González, G.F.; Frey, M.; Gómez-Zeledón, J.; Da Costa, F.B.; Spring, O. Metabolomic and Gene Expression Approaches Reveal the Developmental and Environmental Regulation of the Secondary Metabolism of Yacón (Smallanthus Sonchifolius, Asteraceae). Sci. Rep. 2019, 9, 13178. [Google Scholar] [CrossRef]
- De Ford, C.; Ulloa, J.L.; Catalán, C.A.N.; Grau, A.; Martino, V.S.; Muschietti, L.V.; Merfort, I. The Sesquiterpene Lactone Polymatin B from Smallanthus Sonchifolius Induces Different Cell Death Mechanisms in Three Cancer Cell Lines. Phytochemistry 2015, 117, 332–339. [Google Scholar] [CrossRef]
- Serra-Barcellona, C.; Habib, N.C.; Honoré, S.M.; Sánchez, S.S.; Genta, S.B. Enhydrin Regulates Postprandial Hyperglycemia in Diabetic Rats by Inhibition of α-Glucosidase Activity. Plant Foods Hum. Nutr. 2017, 72, 156–160. [Google Scholar] [CrossRef]


| Position | ẟC of Enhydrin | ẟC of Uvedalin | ||
|---|---|---|---|---|
| Compound 1 | Standard Reference of Enhydrin [23] | Compound 2 | Standard Reference of Uvedalin [22] | |
| 1 | 149.4 | 149.4 | 148.38 | 148.1 |
| 2 | 24.7 | 24.7 | 26.16 | 26.1 |
| 3 | 35.4 | 35.4 | 36.94 | 36.8 |
| 4 | 59.3 | 59.3 | 130.64 | 131.1 |
| 5 | 62.8 | 62.8 | 126.14 | 126.9 |
| 6 | 75.97 | 76.0 | 75.21 | 74.9 |
| 7 | 59.9 | 59.7 | 50.94 | 51.1 |
| 8 | 71.2 | 71.2 | 71.11 | 71.3 |
| 9 | 70.4 | 70.5 | 71.03 | 71.1 |
| 10 | 130.1 | 130.4 | 134.48 | 135.5 |
| 11 | 133.3 | 133.1 | 138.68 | 137.9 |
| 12 | 168.0 | 167.9 | 168.5 | 168.6 |
| 13 | 122.9 | 123.3 | 121.55 | 120.6 |
| 14 | 165.5 | 165.5 | 165.9 | 165.7 |
| 15 | 17.5 | 17.5 | 16.92 | 16.5 |
| 1′ | 168.4 | 168.6 | 169.1 | 168.7 |
| 2′ | 59.4 | 59.4 | 59.39 | 59.2 |
| 3′ | 45.5 | 45.5 | 59.93 | 59.6 |
| 4′ | 13.6 | 13.8 | 13.66 | 13.7 |
| 5′ | 19.1 | 19.2 | 19.14 | 19.3 |
| Ac | 170.4 20.8 | 170.1 20.9 | 170.2 20.93 | 170.0 20.3 |
| OCH3 | 52.5 | 52.6 | 52.35 | 51.8 |
| Concentration Range (µg/mL) | Linear Regression Parameters | LOD (µg/mL) | LOQ (µg/mL) | |||
|---|---|---|---|---|---|---|
| Slope | y-Intercept | R2 | ||||
| Enhydrin (1) | 5–100 | 40,053 | 6383.6 | 0.9999 | 0.519 | 1.574 |
| Uvedalin (2) | 5–100 | 41,291.33 | 4172.92 | 0.9999 | 0.144 | 0.436 |
| Concentration Level of the Linear Range | Amount Added (µg/mL) | Amount Found ±SD (µg/mL) | %RSD | %R |
|---|---|---|---|---|
| Enhydrin (1) | 10 | 9.88 ± 0.33 | 0.34 | 98.82 |
| 20 | 20.03 ± 0.01 | 0.02 | 100.14 | |
| 50 | 50.44 ± 0.27 | 0.53 | 100.88 | |
| Uvedalin (2) | 10 | 10.13 ± 0.01 | 0.07 | 101.33 |
| 20 | 21.11 ± 0.03 | 0.14 | 105.57 | |
| 50 | 51.35 ± 0.01 | 0.02 | 102.67 |
| Concentration Level of the Linear Range (µg/mL) | Standard Area in the Sample (AUC) | Standard Concentration in the Sample (µg/mL) | Standard Concentration (µg/mL) | %R | |
|---|---|---|---|---|---|
| Enhydrin (1) | 5 | 235,238 | 5.71 | 5.01 | 100.06 |
| 10 | 442,869 | 10.89 | 10.19 | 101.87 | |
| 25 | 1,060,821 | 26.32 | 25.61 | 102.46 | |
| Average recovery (%RSD) | 101.46 (1.23) | ||||
| Uvedalin (2) | 5 | 343,638 | 8.42 | 4.81 | 96.14 |
| 10 | 554,663 | 13.53 | 9.92 | 99.18 | |
| 25 | 1,154,012 | 28.05 | 24.43 | 97.73 | |
| Average recovery (%RSD) | 97.68 (1.55) | ||||
| Sample | Amount of Ethanolic Extract (%w/w) | |
|---|---|---|
| Enhydrin (1) | Uvedalin (2) | |
| Ykal, extracted using 90% ethanol | 1.67 | 0.88 |
| Ykal, extracted using 70% ethanol | 0.98 | 0.94 |
| Ykal, extracted using 50% ethanol | 0.29 | 0.39 |
| Ycin, extracted using 90%ethanol | 1.26 | 0.59 |
| Ycin, extracted using 70% ethanol | 0.7 | 0.7 |
| Ycin, extracted using 50% ethanol | 0.14 | 0.24 |
Disclaimer/Publisher’s Note: The statements, opinions and data contained in all publications are solely those of the individual author(s) and contributor(s) and not of MDPI and/or the editor(s). MDPI and/or the editor(s) disclaim responsibility for any injury to people or property resulting from any ideas, methods, instructions or products referred to in the content. |
© 2023 by the authors. Licensee MDPI, Basel, Switzerland. This article is an open access article distributed under the terms and conditions of the Creative Commons Attribution (CC BY) license (https://creativecommons.org/licenses/by/4.0/).
Share and Cite
Tamhid, H.A.; Hertiani, T.; Murti, Y.B.; Murwanti, R. Quantification of Enhydrin and Uvedalin in the Ethanolic Extract of Smallanthus sonchifolius Leaves Validated by the HPLC Method. Molecules 2023, 28, 1913. https://doi.org/10.3390/molecules28041913
Tamhid HA, Hertiani T, Murti YB, Murwanti R. Quantification of Enhydrin and Uvedalin in the Ethanolic Extract of Smallanthus sonchifolius Leaves Validated by the HPLC Method. Molecules. 2023; 28(4):1913. https://doi.org/10.3390/molecules28041913
Chicago/Turabian StyleTamhid, Hady Anshory, Triana Hertiani, Yosi Bayu Murti, and Retno Murwanti. 2023. "Quantification of Enhydrin and Uvedalin in the Ethanolic Extract of Smallanthus sonchifolius Leaves Validated by the HPLC Method" Molecules 28, no. 4: 1913. https://doi.org/10.3390/molecules28041913
APA StyleTamhid, H. A., Hertiani, T., Murti, Y. B., & Murwanti, R. (2023). Quantification of Enhydrin and Uvedalin in the Ethanolic Extract of Smallanthus sonchifolius Leaves Validated by the HPLC Method. Molecules, 28(4), 1913. https://doi.org/10.3390/molecules28041913

