Original Fluorinated Non-Isocyanate Polyhydroxyurethanes
Abstract
Highlights
- Fluorinated telechelic bis(cyclocarbonate) was synthesized through carbonylation of a fluorinated diepoxide.
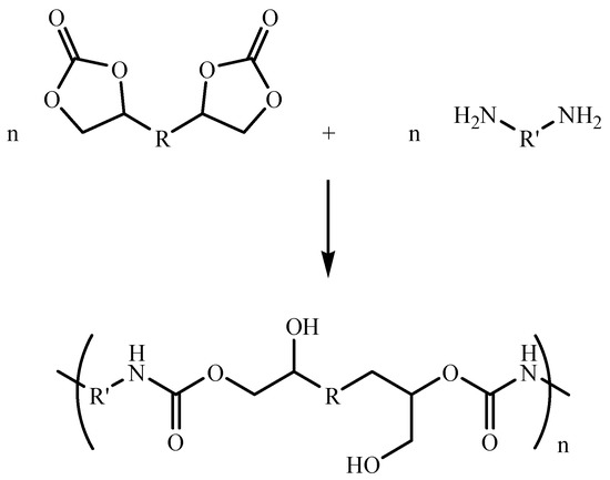
- Fluorinated polyhydroxyurethanes (FPHUs) with different molar masses were synthesized through polyaddition reaction.
- Analysis showed that the FPHUs have higher molar mass, glass transition, and decomposition temperatures compared to their hydrogenated homologues.
- New non-isocyanate polymers with improved properties.
- The synthesized FPHUs are potential candidates for applications requiring materials with these properties (E.g., adhesives).
Abstract
1. Introduction
2. Results and Discussion
2.1. Synthesis of Fluorinated Biscyclocarbonate (A) and Hydrogenated Biscyclocarbonate (B)
2.2. Model Reaction of (A) with Monoamine: Optimization of the Reaction Conditions

| Entry | Solvent | (A): Amine | T (°C) | t (h) | Cat. (2 mol%) | Conv. (%) b | Yield (%) c | Secondary Alcohol (%) d | Primary Alcohol (%) d |
|---|---|---|---|---|---|---|---|---|---|
| 1 | DMSO | 1:2.0 | 25 | 48 | - | 55 | 48 e | 66 | 34 |
| 2 | DMSO | 1:2.0 | 60 | 18 | - | 72 | 57 e | 71 | 29 |
| 3 | DMSO | 1:2.0 | 80 | 18 | - | 81 | 55 e | 70 | 30 |
| 4 | DMF | 1:2.0 | 80 | 18 | - | 92 | 49 e | 73 | 27 |
| 5 | Acetonitrile | 1:2.0 | 80 | 18 | - | 79 | 52 | 65 | 35 |
| 6 | Dimethyl carbonate | 1:2.0 | 80 | 18 | - | 73 | 52 | 67 | 33 |
| 7 | 1,4-dioxane | 1:2.0 | 80 | 18 | - | 85 | 48 | 70 | 30 |
| 8 | Ethyl acetate | 1:2.0 | 80 | 18 | - | 88 | 42 | 65 | 35 |
| 9 | Trifluoro-toluene | 1:2.0 | 80 | 18 | - | 56 | 50 | 68 | 32 |
| 10 | - | 1:2.0 | 80 | 18 | - | 59 | 48 | 65 | 35 |
| 11 | - | 1:2.6 | 80 | 18 | - | 70 | 64 | 60 | 40 |
| 12 | - | 1:3.0 | 80 | 18 | - | 100 | 69 | 65 | 35 |
| 13 | - | 1:2.0 | 80 | 5 | NEt3 | 100 | 63 | 65 | 35 |
| 14 | - | 1:2.6 | 80 | 5 | NEt3 | 100 | 84 | 68 | 32 |
| 15 | - | 1:3.0 | 80 | 5 | NEt3 | 100 | 92 | 70 | 30 |

2.3. Characterization of the Model Hydroxyurethanes
2.4. Synthesis and Characterization of the FPHUs and PHUs: Reaction with Diamine
2.5. Gel Permeation Chromatography and Thermal Analysis of FPHUs and PHUs: Comparison
3. Materials and Methods
3.1. Materials
3.2. Characterization
3.2.1. Nuclear Magnetic Resonance (NMR)
3.2.2. Thermogravimetric Analysis (TGA)
3.2.3. Differential Scanning Calorimetry (DSC)
3.3. Synthetic Procedures
3.3.1. Synthesis of Fluorinated Biscyclocarbonate (A)
4-(2,2,3,3,4,4,5,5-octafluoro-6-(2-oxo-1,3-dioxolan-4-yl)hexyl)-1,3-dioxolan-2-one
3.3.2. Synthesis of Non-Fluorinated Biscyclocarbonate (B): 4-(6-(2-oxo-1,3-dioxolan-4-yl)hexyl)-1,3-dioxolan-2-one
3.3.3. Model Reaction of the Fluorinated Bis-CC (A) with Monoamine: Optimization of the Reaction Conditions
3.3.4. The Reaction of the Fluorinated Bis-CC (A) with a Diamine: Formation of the FPHUs (D, D′, and D″)
3.3.5. The Reaction of the Non-Fluorinated Bis-CC (B) with a Diamine: Formation of the PHUs (E, E′, and E″)
4. Conclusions
Supplementary Materials
Author Contributions
Funding
Institutional Review Board Statement
Informed Consent Statement
Data Availability Statement
Acknowledgments
Conflicts of Interest
Sample Availability
References
- Avar, G.; Meier-Westhues, U.; Casselmann, H.; Achten, D. 10.24—Polyurethanes. In Polymer Science: A Comprehensive Reference; Matyjaszewski, K., Möller, M., Eds.; Elsevier: Amsterdam, The Netherlands, 2012; pp. 411–441. ISBN 978-0-08-087862-1. [Google Scholar]
- Asplund, J.O.B.; Bowden, T.; Mathisen, T.; Hilborn, J. Synthesis of Highly Elastic Biodegradable Poly(urethane urea). Biomacromolecules 2007, 8, 905–911. [Google Scholar] [CrossRef]
- Pyo, S.-H.; Persson, P.; Mollaahmad, M.A.; Sörensen, K.; Lundmark, S.; Hatti-Kaul, R. Cyclic carbonates as monomers for phosgene- and isocyanate-free polyurethanes and polycarbonates. Pure Appl. Chem. 2011, 84, 637–661. [Google Scholar] [CrossRef]
- Kapp, R.W. Isocyanates. In Encyclopedia of Toxicology (Third Edition); Wexler, P., Ed.; Academic Press: Oxford, UK, 2014; pp. 1112–1131. ISBN 978-0-12-386455-0. [Google Scholar]
- Parodi, F. 23—Isocyanate-derived Polymers. In Comprehensive Polymer Science and Supplements; Allen, G., Bevington, J.C., Eds.; Pergamon: Amsterdam, The Netherlands, 1989; pp. 387–412. ISBN 978-0-08-096701-1. [Google Scholar]
- Blattmann, H.; Fleischer, M.; Bähr, M.; Mülhaupt, R. Isocyanate- and Phosgene-Free Routes to Polyfunctional Cyclic Carbonates and Green Polyurethanes by Fixation of Carbon Dioxide. Macromol. Rapid Commun. 2014, 35, 1238–1254. [Google Scholar] [CrossRef] [PubMed]
- Carré, C.; Ecochard, Y.; Caillol, S.; Avérous, L. From the Synthesis of Biobased Cyclic Carbonate to Polyhydroxyurethanes: A Promising Route towards Renewable Non-Isocyanate Polyurethanes. ChemSusChem 2019, 12, 3410–3430. [Google Scholar] [CrossRef] [PubMed]
- Brocas, A.-L.; Cendejas, G.; Caillol, S.; Deffieux, A.; Carlotti, S. Controlled synthesis of polyepichlorohydrin with pendant cyclic carbonate functions for isocyanate-free polyurethane networks. J. Polym. Sci. Part Polym. Chem. 2011, 49, 2677–2684. [Google Scholar] [CrossRef]
- Zhang, D.; Zhang, Y.; Fan, Y.; Rager, M.-N.; Guérineau, V.; Bouteiller, L.; Li, M.-H.; Thomas, C.M. Polymerization of Cyclic Carbamates: A Practical Route to Aliphatic Polyurethanes. Macromolecules 2019, 52, 2719–2724. [Google Scholar] [CrossRef]
- Maisonneuve, L.; Lamarzelle, O.; Rix, E.; Grau, E.; Cramail, H. Isocyanate-Free Routes to Polyurethanes and Poly(hydroxy Urethane)s. Chem. Rev. 2015, 115, 12407–12439. [Google Scholar] [CrossRef]
- Tomita, H.; Sanda, F.; Endo, T. Reactivity comparison of five- and six-membered cyclic carbonates with amines: Basic evaluation for synthesis of poly(hydroxyurethane). J. Polym. Sci. Part Polym. Chem. 2001, 39, 162–168. [Google Scholar] [CrossRef]
- Kotanen, S.; Laaksonen, T.; Sarlin, E. Feasibility of polyamines and cyclic carbonate terminated prepolymers in polyurethane/polyhydroxyurethane synthesis. Mater. Today Commun. 2020, 23, 100863. [Google Scholar] [CrossRef]
- Sessini, V.; Thai, C.N.; Amorín, H.; Jiménez, R.; Samuel, C.; Caillol, S.; Cornil, J.; Hoyas, S.; Barrau, S.; Dubois, P.; et al. Solvent-Free Design of Biobased Non-isocyanate Polyurethanes with Ferroelectric Properties. ACS Sustain. Chem. Eng. 2021, 9, 14946–14958. [Google Scholar] [CrossRef]
- Cornille, A.; Michaud, G.; Simon, F.; Fouquay, S.; Auvergne, R.; Boutevin, B.; Caillol, S. Promising mechanical and adhesive properties of isocyanate-free poly(hydroxyurethane). Eur. Polym. J. 2016, 84, 404–420. [Google Scholar] [CrossRef]
- Cornille, A.; Blain, M.; Auvergne, R.; Andrioletti, B.; Boutevin, B.; Caillol, S. A study of cyclic carbonate aminolysis at room temperature: Effect of cyclic carbonate structures and solvents on polyhydroxyurethane synthesis. Polym. Chem. 2017, 8, 592–604. [Google Scholar] [CrossRef]
- Quienne, B.; Poli, R.; Pinaud, J.; Caillol, S. Enhanced aminolysis of cyclic carbonates by β-hydroxylamines for the production of fully biobased polyhydroxyurethanes. Green Chem. 2021, 23, 1678–1690. [Google Scholar] [CrossRef]
- Leitsch, E.K.; Heath, W.H.; Torkelson, J.M. Polyurethane/polyhydroxyurethane hybrid polymers and their applications as adhesive bonding agents. Int. J. Adhes. Adhes. 2016, 64, 1–8. [Google Scholar] [CrossRef]
- Bilal, M.; Ihsanullah, I.; Younas, M.; Ul Hassan Shah, M. Recent advances in applications of low-cost adsorbents for the removal of heavy metals from water: A critical review. Sep. Purif. Technol. 2021, 278, 119510. [Google Scholar] [CrossRef]
- Clements, J.H. Reactive Applications of Cyclic Alkylene Carbonates. Ind. Eng. Chem. Res. 2003, 42, 663–674. [Google Scholar] [CrossRef]
- Lombardo, V.M.; Dhulst, E.A.; Leitsch, E.K.; Wilmot, N.; Heath, W.H.; Gies, A.P.; Miller, M.D.; Torkelson, J.M.; Scheidt, K.A. Cooperative Catalysis of Cyclic Carbonate Ring Opening: Application Towards Non-Isocyanate Polyurethane Materials. Eur. J. Org. Chem. 2015, 2015, 2791–2795. [Google Scholar] [CrossRef]
- Cornille, A.; Auvergne, R.; Figovsky, O.; Boutevin, B.; Caillol, S. A perspective approach to sustainable routes for non-isocyanate polyurethanes. Eur. Polym. J. 2017, 87, 535–552. [Google Scholar] [CrossRef]
- Matsukizono, H.; Endo, T. Reworkable Polyhydroxyurethane Films with Reversible Acetal Networks Obtained from Multifunctional Six-Membered Cyclic Carbonates. J. Am. Chem. Soc. 2018, 140, 884–887. [Google Scholar] [CrossRef] [PubMed]
- Matsukizono, H.; Endo, T. Phosgene-Free Syntheses and Hydrolytic Properties of Water-Soluble Polyhydroxyurethanes with Ester–Carbonate–Ether Structures in Their Main Chains. Macromol. Chem. Phys. 2017, 218, 1700043. [Google Scholar] [CrossRef]
- Pescarmona, P.P. Cyclic carbonates synthesised from CO2: Applications, challenges and recent research trends. Curr. Opin. Green Sustain. Chem. 2021, 29, 100457. [Google Scholar] [CrossRef]
- Hosseinian, A.; Farshbaf, S.; Mohammadi, R.; Monfared, A.; Vessally, E. Advancements in six-membered cyclic carbonate (1,3-dioxan-2-one) synthesis utilizing carbon dioxide as a C1 source. RSC Adv. 2018, 8, 17976–17988. [Google Scholar] [CrossRef] [PubMed]
- Grignard, B.; Gennen, S.; Jérôme, C.; Kleij, A.W.; Detrembleur, C. Advances in the use of CO2 as a renewable feedstock for the synthesis of polymers. Chem. Soc. Rev. 2019, 48, 4466–4514. [Google Scholar] [CrossRef] [PubMed]
- Ballamine, A.; Kotni, A.; Llored, J.-P.; Caillol, S. Valuing CO2 in the development of polymer materials. Sci. Technol. Energy Transit. 2022, 77, 1. [Google Scholar] [CrossRef]
- Aresta, M.; Dibenedetto, A.; Nocito, F.; Pastore, C. A study on the carboxylation of glycerol to glycerol carbonate with carbon dioxide: The role of the catalyst, solvent and reaction conditions. J. Mol. Catal. Chem. 2006, 257, 149–153. [Google Scholar] [CrossRef]
- Ochiai, B.; Hatano, Y.; Endo, T. Facile synthesis of polymers bearing cyclic carbonate structure through radical solution and precipitation polymerizations accompanied by concurrent carbon dioxide fixation. J. Polym. Sci. Part Polym. Chem. 2009, 47, 3170–3176. [Google Scholar] [CrossRef]
- Besse, V.; Camara, F.; Méchin, F.; Fleury, E.; Caillol, S.; Pascault, J.-P.; Boutevin, B. How to explain low molar masses in PolyHydroxyUrethanes (PHUs). Eur. Polym. J. 2015, 71, 1–11. [Google Scholar] [CrossRef]
- Cornille, A.; Serres, J.; Michaud, G.; Simon, F.; Fouquay, S.; Boutevin, B.; Caillol, S. Syntheses of epoxyurethane polymers from isocyanate free oligo-polyhydroxyurethane. Eur. Polym. J. 2016, 75, 175–189. [Google Scholar] [CrossRef]
- Ubaghs, L.; Fricke, N.; Keul, H.; Höcker, H. Polyurethanes with Pendant Hydroxyl Groups: Synthesis and Characterization. Macromol. Rapid Commun. 2004, 25, 517–521. [Google Scholar] [CrossRef]
- Bassam, N.; Laure, C.; Jean-François, B.; Yann, R.; Zephirin, M. Aza-Michael versus aminolysis reactions of glycerol carbonate acrylate. Green Chem. 2013, 15, 1900–1909. [Google Scholar] [CrossRef]
- Hahn, C.; Keul, H.; Möller, M. Hydroxyl-functional polyurethanes and polyesters: Synthesis, properties and potential biomedical application. Polym. Int. 2012, 61, 1048–1060. [Google Scholar] [CrossRef]
- Pasquier, N.; Keul, H.; Moeller, M. Polymers with specific adhesion properties for surface modification: Synthesis, characterization and applications. Des. Monomers Polym. 2005, 8, 679–703. [Google Scholar] [CrossRef]
- Hamiye, R.; Alaaeddine, A.; Awada, M.; Campagne, B.; Caillol, S.; Guillaume, S.M.; Ameduri, B.; Carpentier, J.-F. From glycidyl carbonate to hydroxyurethane side-groups in alternating fluorinated copolymers. Polym. Chem. 2014, 5, 5089–5099. [Google Scholar] [CrossRef]
- Wu, Z.; Tang, L.; Dai, J.; Qu, J. Synthesis and properties of fluorinated non-isocyanate polyurethanes coatings with good hydrophobic and oleophobic properties. J. Coat. Technol. Res. 2019, 16, 1233–1241. [Google Scholar] [CrossRef]
- Dolui, S.; Kumar, D.; Banerjee, S.; Ameduri, B. Well-Defined Fluorinated Copolymers: Current Status and Future Perspectives. Acc. Mater. Res. 2021, 2, 242–251. [Google Scholar] [CrossRef]
- Améduri, B. The Promising Future of Fluoropolymers. Macromol. Chem. Phys. 2020, 221, 1900573. [Google Scholar] [CrossRef]
- Ameduri, B. Fluoropolymers: The Right Material for the Right Applications. Chem. Eur. J. 2018, 24, 18830–18841. [Google Scholar] [CrossRef]
- Smart, M.C.; Ratnakumar, B.V.; Ryan-Mowrey, V.S.; Surampudi, S.; Prakash, G.K.S.; Hu, J.; Cheung, I. Improved performance of lithium-ion cells with the use of fluorinated carbonate-based electrolytes. J. Power Sources 2003, 119–121, 359–367. [Google Scholar] [CrossRef]
- McMillan, R.; Slegr, H.; Shu, Z.X.; Wang, W. Fluoroethylene carbonate electrolyte and its use in lithium ion batteries with graphite anodes. J. Power Sources 1999, 81–82, 20–26. [Google Scholar] [CrossRef]
- Kihara, N.; Hara, N.; Endo, T. Catalytic activity of various salts in the reaction of 2,3-epoxypropyl phenyl ether and carbon dioxide under atmospheric pressure. J. Org. Chem. 1993, 58, 6198–6202. [Google Scholar] [CrossRef]
- Cornille, A.; Ecochard, Y.; Blain, M.; Boutevin, B.; Caillol, S. Synthesis of hybrid polyhydroxyurethanes by Michael addition. Eur. Polym. J. 2017, 96, 370–382. [Google Scholar] [CrossRef]









| Entry | Diepoxide | Yield (%) |
|---|---|---|
| 1 | ![]() | 87 |
| 2 | ![]() | 70 |
| Run# | CC | A: Diamine | Conv. (%) | Yield (%) b | Secondary Alcohol (%) c | Primary Alcohol (%) c |
|---|---|---|---|---|---|---|
| FPHU P1 | A | 1:1.5 | 100 | 82 | 78 | 22 |
| FPHU P2 | A | 1:1.3 | 100 | 66 | 71 | 29 |
| FPHU P3 d | A | 1:1.0 | 94 | 61 | 70 | 30 |
| PHU P4 d | B | 1:1.0 | 88 | 57 | 68 | 32 |
| Entry | Polymer | Mn (g/mol) a | PDI a | Tg (°C) b | T5% (°C) c | T10% (°C) c | T70% (°C) c |
|---|---|---|---|---|---|---|---|
| 1 | P1 | 3500 | 1.29 | 11.0 | 150 | 180 | 380 |
| 2 | P2 | 5700 | 1.25 | 12.0 | 160 | 210 | 390 |
| 3 | P3 | 9600 | 1.16 | 14.6 | 200 | 280 | 450 |
| 4 | P4 | 6100 | 1.14 | 10.4 | 150 | 200 | 400 |
Disclaimer/Publisher’s Note: The statements, opinions and data contained in all publications are solely those of the individual author(s) and contributor(s) and not of MDPI and/or the editor(s). MDPI and/or the editor(s) disclaim responsibility for any injury to people or property resulting from any ideas, methods, instructions or products referred to in the content. |
© 2023 by the authors. Licensee MDPI, Basel, Switzerland. This article is an open access article distributed under the terms and conditions of the Creative Commons Attribution (CC BY) license (https://creativecommons.org/licenses/by/4.0/).
Share and Cite
Haydar, L.; El Malti, W.; Ladmiral, V.; Alaaeddine, A.; Ameduri, B. Original Fluorinated Non-Isocyanate Polyhydroxyurethanes. Molecules 2023, 28, 1795. https://doi.org/10.3390/molecules28041795
Haydar L, El Malti W, Ladmiral V, Alaaeddine A, Ameduri B. Original Fluorinated Non-Isocyanate Polyhydroxyurethanes. Molecules. 2023; 28(4):1795. https://doi.org/10.3390/molecules28041795
Chicago/Turabian StyleHaydar, Lolwa, Wassim El Malti, Vincent Ladmiral, Ali Alaaeddine, and Bruno Ameduri. 2023. "Original Fluorinated Non-Isocyanate Polyhydroxyurethanes" Molecules 28, no. 4: 1795. https://doi.org/10.3390/molecules28041795
APA StyleHaydar, L., El Malti, W., Ladmiral, V., Alaaeddine, A., & Ameduri, B. (2023). Original Fluorinated Non-Isocyanate Polyhydroxyurethanes. Molecules, 28(4), 1795. https://doi.org/10.3390/molecules28041795



