Optimisation of the Extraction Process of Naringin and Its Effect on Reducing Blood Lipid Levels In Vitro
Abstract
1. Introduction
2. Results and Discussion
2.1. Determination of Optimum Extraction Conditions of Naringin
2.1.1. Naringin Standard Curve
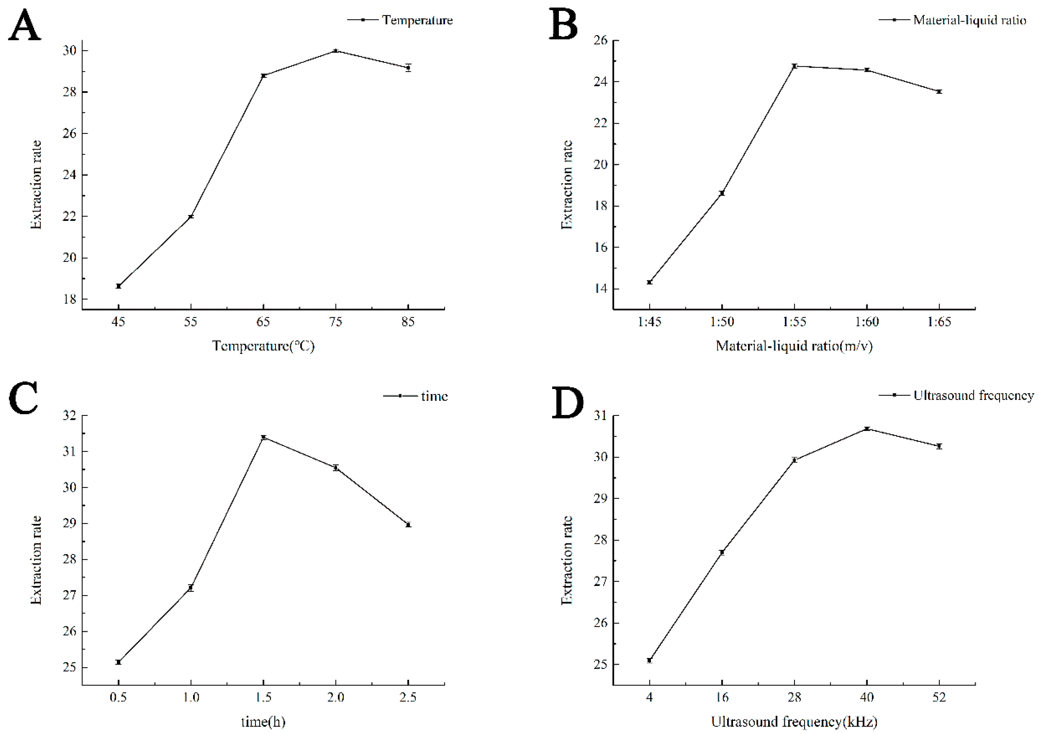
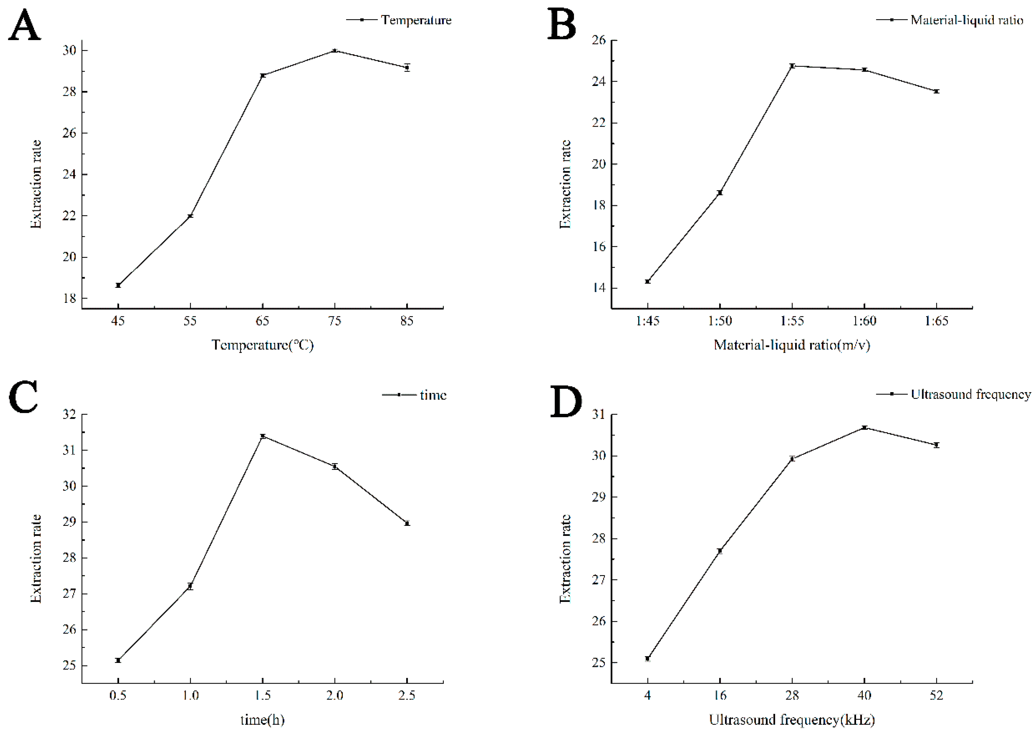
2.1.2. Single Factor Experimental Results of Ultrasonic-Assisted Extraction
2.1.3. Response Surface Optimisation Test Results and Analysis of Variance
2.1.4. Response Surface Graphic Analysis
2.1.5. Determination of Optimum Extraction Conditions
2.2. Determination of the Best Purification Conditions of Naringin
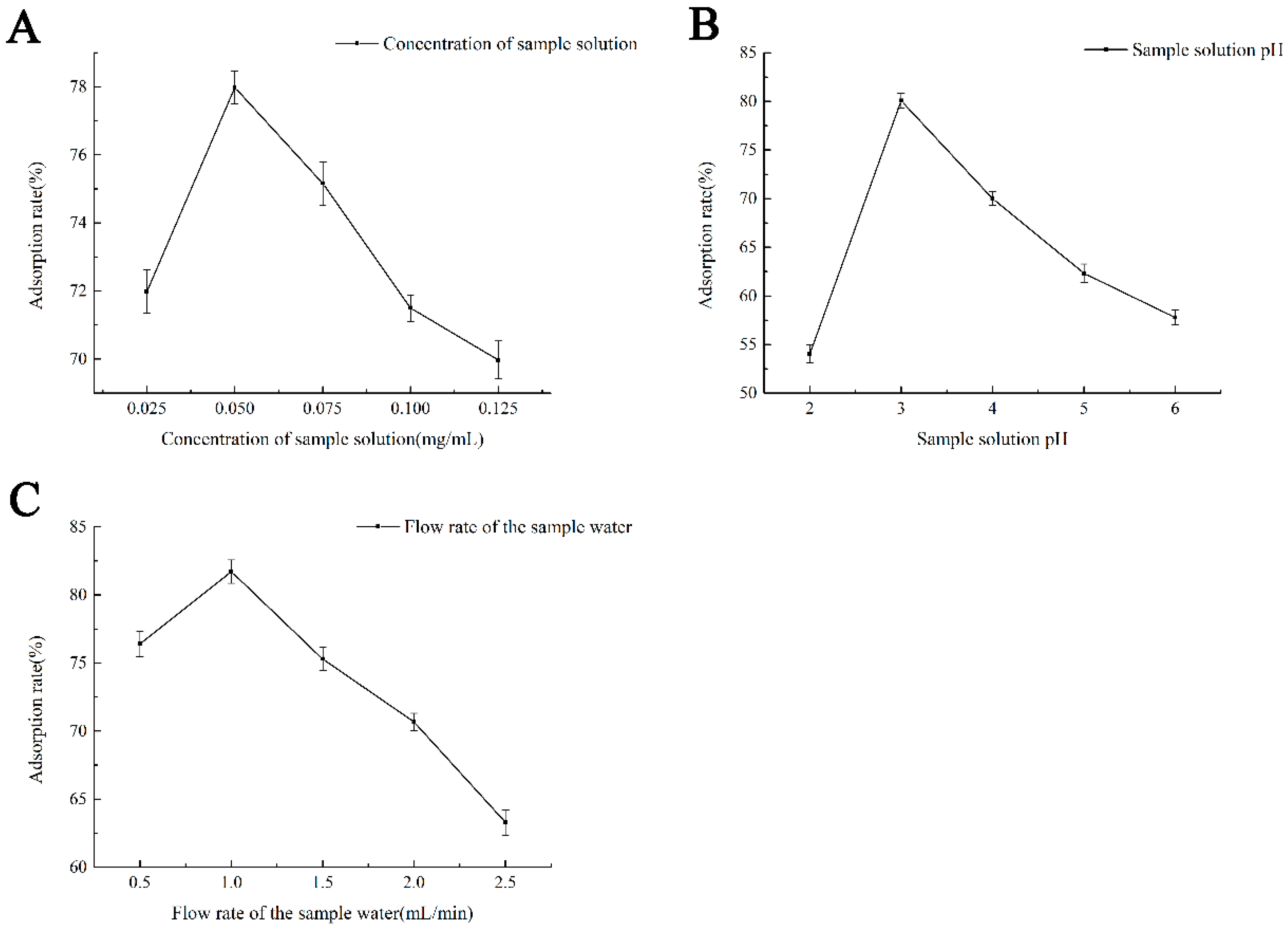
2.2.1. Single Factor Experiments of Adsorption Rate of DM101 Macroporous Resin for Naringin
2.2.2. Response Surface Optimisation
2.2.3. Response Surface Optimisation Variance Analysis Results
2.2.4. Response Surface Graphic Analysis
2.2.5. Prediction of Optimal Conditions and Verification
2.3. IR spectrum Analysis
2.4. NMR Spectrum Analysis
2.5. Cholate Standard Curve
2.6. The Binding Capacity of Naringin to Bile Salts
3. Materials and Methods
3.1. Materials and Reagents
3.2. Optimisation of the Naringin Extraction Process
3.2.1. Pomelo Peel Pre-Treatment
3.2.2. Establishment of a Naringin Standard Curve
3.2.3. Calculation of Extraction Rate of Naringin
- where C—concentration of naringin in diluent (mg/mL);
- V—volume of extract (mL);
- W—mass of pomelo peel powder (g).
3.2.4. Single Factor Experimental Design of Ultrasonic-Assisted Extraction
3.2.5. Response Surface Experimental Design for Ultrasonic-Assisted Extraction
3.3. Purification and Analysis of Naringin
3.3.1. DM101 Macroporous Resin Pre-Treatment
3.3.2. Optimisation of Purification Conditions of Naringin with DM101 Macroporous Resin
3.3.3. Response Surface Method Optimisation Experiment
3.3.4. Purification and Analysis of Samples
3.4. Structural Identification of Naringin
3.5. In Vitro Study of the Effects of Naringin on Lowering Blood Lipid
3.5.1. Drawing the Standard Curve of Cholic Acid Salt
3.5.2. Naringin Binding Cholate Experiment
- (1)
- Naringin extract 2 mL at concentrations of 100, 200, 300, 400, and 500 mg/L was added to a 100 mL triangular flask.
- (2)
- Simulated gastric digestion environment: 2 mL of 10 mg/mL pepsin solution and 1 mL of 0.01 mol/L HCl solution were added to each triangle flask, and digested for 1 h in a constant temperature, oscillating incubator at 37 °C.
- (3)
- Simulated intestinal environment: A volume of 5 mL, 10 mg/mL trypsin solution was added, and pH was adjusted to 6 with 0.1 mol/L NaOH solution. The sample was digested in a constant temperature, shaking incubator at constant speed and 37 °C for 1 h.
- (4)
- A volume of 4 mL, 0.5 mmol/L sodium taurocholate solution was added to a triangular flask, and 4 mL, 0.5 mmol/L sodium glycocholic acid solution was added to another; then, the flasks were vibrated at 37 °C for 1 h at constant temperature.
- (5)
- The sample was centrifuged for 20 min in a high-speed centrifuge at 4000 r/min, the supernatant was collected, and the absorbance was measured at a wavelength of 387 nm; this was repeated three times [30].
3.5.3. Determination of Conjugation Rate of Cholic Acid Salts
3.6. Data Processing
4. Conclusions
Author Contributions
Funding
Institutional Review Board Statement
Informed Consent Statement
Data Availability Statement
Acknowledgments
Conflicts of Interest
Sample Availability
References
- Jiang, K.; Song, Q.; Wang, L.; Xie, T.; Wu, X.; Wang, P.; Yin, G.; Ye, W.; Wang, T. Antitussive, expectorant, and anti-inflammatory activities of different extracts from Exocarpium Citri Grandis. J. Ethnopharmacol. 2014, 156, 97–101. [Google Scholar] [CrossRef]
- Zarzecki, M.S.; Araujo, S.M.; Bortolotto, V.C.; de Paula, M.T.; Jesse, C.R.; Prigol, M. Hypolipidemic action of chrysin on Triton WR-1 339-induced hyperlipidemia in female C57BL/6 mice. Toxicol. Rep. 2014, 1, 200–208. [Google Scholar] [CrossRef] [PubMed]
- Yang, J.P.; Yuan, L.; Wen, Y.; Zhou, H.; Jiang, W.; Xu, D.; Wang, M. Protective effects of naringin in cerebral infarction and its molecular mechanism. Med. Sci. Monit. 2020, 26, e918772. [Google Scholar] [CrossRef]
- Habauzit, V.; Morand, C. Evidence for a protective effect of polyphenols-containing foods on cardiovascular health: An update for clinicians. Ther. Adv. Chronic Dis. 2012, 3, 87–106. [Google Scholar] [CrossRef] [PubMed]
- Korolenko, T.A.; Johnston, T.P.; Machova, E.; Bgatova, N.P.; Lykov, A.P.; Goncharova, N.V.; Nescakova, Z.; Shintyapina, A.B.; Maiborodin, I.V.; Karmatskikh, O.L. Hypolipidemic effect of mannans from C. albicans serotypes A and B in acute hyperlipidemia in mice. Int. J. Biol. Macromol. 2018, 107, 2385–2394. [Google Scholar] [CrossRef]
- Zhu, K.; Nie, S.; Li, C.; Lin, S.; Xing, M.; Li, W.; Gong, D.; Xie, M. A newly identified polysaccharide from Ganoderma atrum attenuates hyperglycemia and hyperlipidemia. Int. J. Biol. Macromol. 2013, 57, 142–150. [Google Scholar] [CrossRef]
- Jayaraman, R.; Subramani, S.; Sheik Abdullah, S.H.S.; Udaiyar, M. Antihyperglycemic effect of hesperetin, a citrus flavonoid, extenuates hyperglycemia and exploring the potential role in antioxidant and antihyperlipidemic in streptozotocin-induced diabetic rats. Biomed. Pharmacother. 2018, 97, 98–106. [Google Scholar] [CrossRef]
- Marles, R.J.; Farnsworth, N.R. Antidiabetic plants and their active constituents. Phytomedicine 1995, 2, 137–189. [Google Scholar] [CrossRef]
- Rai, S.; Bhatnagar, S. Hyperlipidemia, disease associations, and top 10 potential drug targets: A network view. Omics 2016, 20, 152–168. [Google Scholar] [CrossRef]
- Navar-Boggan, A.M.; Peterson, E.D.; D’Agostino, R.B.; Neely, B.; Sniderman, A.D.; Pencina, M.J. Hyperlipidemia in early adulthood increases long-term risk of coronary heart disease. Circulation 2015, 131, 451–458. [Google Scholar] [CrossRef]
- Ioannou, I.; M’hiri, N.; Chaaban, H.; Boudhrioua, N.M.; Ghoul, M. Effect of the process, temperature, light and oxygen on naringin extraction and the evolution of its antioxidant activity. Int. J. Food Sci. Technol. 2018, 53, 2754–2760. [Google Scholar] [CrossRef]
- Norouzian, D.; Hosseinzadeh, A.; Inanlou, D.N.; Moazami, N. Production and partial purification of naringinase by Penicillium decumbens PTCC 5248. World J. Microbiol. Biotechnol. 2000, 16, 471–473. [Google Scholar] [CrossRef]
- Dong, Y.; Qi, Y.; Liu, M.; Song, X.; Zhang, C.; Jiao, X.; Wang, W.; Zhang, J.; Jia, L. Antioxidant, anti-hyperlipidemia and hepatic protection of enzyme-assisted Morchella esculenta polysaccharide. Int. J. Biol. Macromol. 2018, 120, 1490–1499. [Google Scholar] [CrossRef]
- Wang, L.; Li, C.; Huang, Q.; Fu, X. Polysaccharide from Rosa roxburghii Tratt fruit attenuates hyperglycemia and hyperlipidemia and regulates colon microbiota in diabetic db/db mice. J. Agric. Food Chem. 2020, 68, 147–159. [Google Scholar] [CrossRef]
- Xie, Y.; Xu, Y.; Chen, Z.; Lu, W.; Li, N.; Wang, Q.; Shao, L.; Li, Y.; Yang, G.; Bian, X. A new multifunctional hydroxytyrosol-fenofibrate with antidiabetic, antihyperlipidemic, antioxidant and anti-inflammatory action. Biomed. Pharmacother. 2017, 95, 1749–1758. [Google Scholar] [CrossRef]
- Li, C.; Fu, X.; Huang, Q.; Luo, F.X.; You, L.J. Ultrasonic extraction and structural identification of polysaccharides from Prunella vulgaris and its antioxidant and antiproliferative activities. Eur. Food Res. Technol. 2015, 240, 49–60. [Google Scholar] [CrossRef]
- Zhou, X.R. The chemical properties of Lycium barbarum polysaccharide extracted by different methods and its effect on exer-cise fatigue. Genom. Appl. Biol. 2019, 38, 5352–5356. [Google Scholar] [CrossRef]
- Sun, Y.; Hou, Z.; Liu, Z.; Wang, J. Ionic Liquid-Based Ultrasonic-Assisted Extraction of Forsythosides from the Leaf of Forsythia suspensa (Thunb.) Vahl and Subsequent Separation and Purification by High-Speed Counter-Current Chromatography. J. Chromatogr. Sci. 2016, 54, 1445–1452. [Google Scholar] [CrossRef]
- Fang, X.B.; Yin, X.X.; Yuan, G.F.; Chen, X. Chemical and biological characterization of polysaccharides fromthe bark of Avicennia marina. Eur. Food Res. Technol. 2015, 241, 17–25. [Google Scholar] [CrossRef]
- Zhang, Q.; Jia, D.; Yao, K.; He, Q. Purification of polyphenols from pomegranate peel by macroporous adsorbent resin. Fine Chem. 2007, 24, 345–349. [Google Scholar]
- Fu, R.; Wang, Y.; Yu, F.; Wu, X.; Gu, Y.; Chen, W. Optimization of the microporous resin-based adsorption of apple polyphenol through response surface methodology. Toxicol. Environ. Chem. Rev. 2016, 98, 479–491. [Google Scholar] [CrossRef]
- Guo, Y.; Wang, J.; Lu, L.; Sun, S.; Liu, Y.; Xiao, Y.; Qin, Y.; Xiao, L.; Wen, H.; Qu, L. Application of mid-infrared spectroscopy in analyzing different segmented production of Angelica by AB-8 macroporous resin. J. Mol. Struct. 2016, 1103, 61–69. [Google Scholar] [CrossRef]
- Schwarz, M.; Wray, V.; Winterhalter, P. Isolation and identification of novel pyranoanthocyanins from black carrot (Daucus carota L.) juice. J. Agric. Food Chem. 2004, 52, 5095–5101. [Google Scholar] [CrossRef]
- Jautz, U.; Morlock, G. Efficacy of planar chromatography coupled to (tandem) mass spectrometry for employment in trace analysis. J. Chromatogr. A. 2006, 1128, 244–250. [Google Scholar] [CrossRef]
- Tang, D.M.; Zhu, C.F.; Zhong, S.A.; Zhou, M.D. Extraction of naringin from pomelo peels as dihydrochalcone’s precursor. J. Sep. Sci. 2011, 34, 113–117. [Google Scholar] [CrossRef]
- Liu, Z.; Qiao, L.; Gu, H.; Yang, F.; Yang, L. Development of Brönsted acidic ionic liquid based microwave assisted method for simultaneous extraction of pectin and naringin from pomelo peels. Sep. Purif. Technol. 2017, 172, 326–337. [Google Scholar] [CrossRef]
- Barbana, C.; Boucher, A.C.; Boye, J.I. In vitro binding of bile salts by lentil flours, entil protein concentrates and lentil protein hydrolysates. Food Res. Int. 2011, 44, 174–180. [Google Scholar] [CrossRef]
- Fu, Q.; Li, L.; Yu, X.; Li, B. In vitro binding of bile salts by different insoluble dietary fiber extracted from brewers’ spent grain. Int. J. Food Eng. 2010, 6, 1–13. [Google Scholar] [CrossRef]
- Yang, Z.; Yin, J.; Wang, Y.; Wang, J.; Xia, B.; Li, T.; Yang, X.; Hu, S.; Ji, C.; Guo, S. The fucoidan A3 from the seaweed Ascophyllum nodosum enhances RCT-related genes expression in hyperlipidemic C57BL/6J mice. Int. J. Biol. Macromol. 2019, 134, 759–769. [Google Scholar] [CrossRef]
- Kong, F.; Ding, Z.; Zhang, K.; Duan, W.; Qin, Y.; Su, Z.; Bi, Y. Optimization of Extraction Flavonoids from Exocarpium Citri Grandis and Evaluation its Hypoglycemic and Hypolipidemic Activities. J. Ethnopharmacol. 2020, 15, 262. [Google Scholar] [CrossRef]











| Test Number | X1 | X2 | X3 | X4 | Extraction Rate mg/g |
|---|---|---|---|---|---|
| 1 | 0 | 0 | 1 | 1 | 32.8202 |
| 2 | 0 | 1 | 0 | −1 | 31.7747 |
| 3 | 0 | 0 | 0 | 0 | 36.9141 |
| 4 | 0 | −1 | 1 | 0 | 31.6375 |
| 5 | −1 | 0 | 0 | 1 | 30.5102 |
| 6 | 0 | 1 | −1 | 0 | 29.1827 |
| 7 | −1 | −1 | 0 | 0 | 26.2274 |
| 8 | 0 | 0 | 0 | 0 | 37.0773 |
| 9 | 0 | −1 | 0 | −1 | 29.2866 |
| 10 | 0 | 0 | 0 | 0 | 36.7918 |
| 11 | −1 | 0 | 1 | 0 | 29.1457 |
| 12 | 1 | 0 | −1 | 0 | 32.5942 |
| 13 | 0 | −1 | −1 | 0 | 30.8837 |
| 14 | 1 | −1 | 0 | 0 | 31.9786 |
| 15 | 1 | 1 | 0 | 0 | 33.1207 |
| 16 | −1 | 0 | −1 | 0 | 26.6241 |
| 17 | 0 | −1 | 0 | 1 | 32.9168 |
| 18 | 0 | 1 | 0 | 1 | 34.5484 |
| 19 | 0 | 0 | 1 | −1 | 33.5064 |
| 20 | 0 | 0 | 0 | 0 | 36.1799 |
| 21 | 0 | 0 | −1 | −1 | 30.1468 |
| 22 | 0 | 0 | 0 | 1 | 33.7437 |
| 23 | 1 | 0 | 1 | 0 | 34.8413 |
| 24 | 0 | 0 | 0 | 0 | 37.2404 |
| 25 | 1 | 0 | 0 | −1 | 33.3655 |
| 26 | −1 | 0 | 0 | −1 | 26.2274 |
| 27 | 1 | 0 | 0 | 1 | 34.2404 |
| 28 | −1 | 1 | 0 | 0 | 28.5116 |
| 29 | 0 | 1 | 1 | 0 | 35.5088 |
| Source | Sum of Squares | Degrees of Freedom | Mean Square | f Value | p Value | Significance |
|---|---|---|---|---|---|---|
| Model | 289.8 | 14 | 20.66 | 49.54 | <0.0001 | ** |
| X1 | 90.17 | 1 | 90.17 | 216.17 | <0.0001 | ** |
| X2 | 7.87 | 1 | 7.87 | 18.86 | 0.0007 | ** |
| X3 | 17 | 1 | 17 | 40.76 | <0.0001 | ** |
| X4 | 17.45 | 1 | 17.45 | 41.84 | <0.0001 | ** |
| X1 X2 | 0.33 | 1 | 0.33 | 0.78 | 0.3915 | |
| X1 X3 | 0.019 | 1 | 0.019 | 0.045 | 0.8348 | |
| X1 X4 | 2.9 | 1 | 2.9 | 6.96 | 0.0195 | * |
| X2 X3 | 7.76 | 1 | 7.76 | 18.61 | 0.0007 | ** |
| X2 X4 | 0.18 | 1 | 0.18 | 0.44 | 0.518 | |
| X3 X4 | 4.59 | 1 | 4.59 | 10.99 | 0.0051 | ** |
| X12 | 97.97 | 1 | 97.97 | 234.86 | <0.0001 | ** |
| X22 | 53.15 | 1 | 53.15 | 127.42 | <0.0001 | ** |
| X32 | 32.26 | 1 | 32.26 | 77.35 | <0.0001 | ** |
| X42 | 24.01 | 1 | 24.01 | 57.55 | <0.0001 | ** |
| residual | 5.84 | 14 | 0.42 | |||
| Spurious term | 5.18 | 10 | 0.52 | 3.14 | ||
| Error term | 0.66 | 4 | 0.17 | |||
| the sum | 295.2 | 28 |
| Test Number | A | B | C | Y |
|---|---|---|---|---|
| 1 | −1 | 0 | 1 | 75.3245 |
| 2 | 0 | 0 | 0 | 80.3274 |
| 3 | 0 | 0 | 0 | 80.7703 |
| 4 | −1 | 1 | 0 | 72.7602 |
| 5 | 0 | −1 | −1 | 70.0874 |
| 6 | 0 | 0 | 0 | 80.3274 |
| 7 | −1 | −1 | 0 | 71.8677 |
| 8 | 0 | 1 | −1 | 72.6504 |
| 9 | 1 | −1 | 0 | 70.7569 |
| 10 | −1 | 0 | −1 | 73.8730 |
| 11 | 0 | 0 | 0 | 80.9558 |
| 12 | 1 | 0 | 1 | 79.4349 |
| 13 | 0 | 1 | 1 | 76.5418 |
| 14 | 0 | 0 | 0 | 81.1505 |
| 15 | 0 | −1 | 1 | 72.9805 |
| 16 | 1 | 1 | 0 | 74.7631 |
| 17 | 1 | 0 | −1 | 74.3159 |
| Source | Sum of Squares | Degrees of Freedom | Mean Square | f Value | p Value | Significance |
|---|---|---|---|---|---|---|
| Model | 240.5481 | 9 | 26.72757 | 76.54122 | <0.0001 | ** |
| A | 3.706548 | 1 | 3.706548 | 10.61465 | 0.0139 | * |
| B | 15.43485 | 1 | 15.43485 | 44.20162 | 0.0003 | ** |
| C | 21.99801 | 1 | 21.99801 | 62.99692 | <0.0001 | ** |
| AB | 2.423782 | 1 | 2.423782 | 6.941118 | 0.0337 | * |
| AC | 3.362639 | 1 | 3.362639 | 9.629775 | 0.0172 | * |
| BC | 0.291708 | 1 | 0.291708 | 0.83538 | 0.3911 | |
| A^2 | 31.57381 | 1 | 31.57381 | 90.41966 | <0.0001 | ** |
| B^2 | 124.1888 | 1 | 124.1888 | 355.6463 | <0.0001 | ** |
| C^2 | 20.95383 | 1 | 20.95383 | 60.00665 | 0.0001 | ** |
| Residual | 2.444343 | 7 | 0.349192 | |||
| Spurious term | 1.893553 | 3 | 0.631184 | 4.583844 | 0.0877 | * |
| Error term | 0.55079 | 4 | 0.137698 | |||
| The sum | 242.9925 | 16 |
| Level | Factor | |||
|---|---|---|---|---|
| Extraction Temperature (X1, °C) | Material Liquid Ratio (X2, g/mL) | Extraction Time (X3, h) | Ultrasonic Frequency (X4, KHz) | |
| −1 | 55 | 1:50 | 1 | 16 |
| 0 | 65 | 1:55 | 1.5 | 28 |
| 1 | 75 | 1:60 | 2 | 40 |
| Level | Concentration of Sample Solution (A, mg/mL) | Sample Solution pH (B) | Flow Rate of the Sample Water (C, mL/min) |
|---|---|---|---|
| −1 | 0.025 | 2 | 0.5 |
| 0 | 0.05 | 3 | 1.0 |
| 1 | 0.075 | 4 | 1.5 |
Disclaimer/Publisher’s Note: The statements, opinions and data contained in all publications are solely those of the individual author(s) and contributor(s) and not of MDPI and/or the editor(s). MDPI and/or the editor(s) disclaim responsibility for any injury to people or property resulting from any ideas, methods, instructions or products referred to in the content. |
© 2023 by the authors. Licensee MDPI, Basel, Switzerland. This article is an open access article distributed under the terms and conditions of the Creative Commons Attribution (CC BY) license (https://creativecommons.org/licenses/by/4.0/).
Share and Cite
Yu, X.-L.; Meng, X.; Yan, Y.-D.; Han, J.-C.; Li, J.-S.; Wang, H.; Zhang, L. Optimisation of the Extraction Process of Naringin and Its Effect on Reducing Blood Lipid Levels In Vitro. Molecules 2023, 28, 1788. https://doi.org/10.3390/molecules28041788
Yu X-L, Meng X, Yan Y-D, Han J-C, Li J-S, Wang H, Zhang L. Optimisation of the Extraction Process of Naringin and Its Effect on Reducing Blood Lipid Levels In Vitro. Molecules. 2023; 28(4):1788. https://doi.org/10.3390/molecules28041788
Chicago/Turabian StyleYu, Xiao-Lei, Xin Meng, Yi-Di Yan, Jin-Cheng Han, Jia-Shan Li, Hui Wang, and Lei Zhang. 2023. "Optimisation of the Extraction Process of Naringin and Its Effect on Reducing Blood Lipid Levels In Vitro" Molecules 28, no. 4: 1788. https://doi.org/10.3390/molecules28041788
APA StyleYu, X.-L., Meng, X., Yan, Y.-D., Han, J.-C., Li, J.-S., Wang, H., & Zhang, L. (2023). Optimisation of the Extraction Process of Naringin and Its Effect on Reducing Blood Lipid Levels In Vitro. Molecules, 28(4), 1788. https://doi.org/10.3390/molecules28041788

