Study of Genotoxicity, Activities on Caspase 8 and on the Stabilization of the Topoisomerase Complex of Isoeleutherin and Analogues
Abstract
1. Introduction
2. Results and Discussion
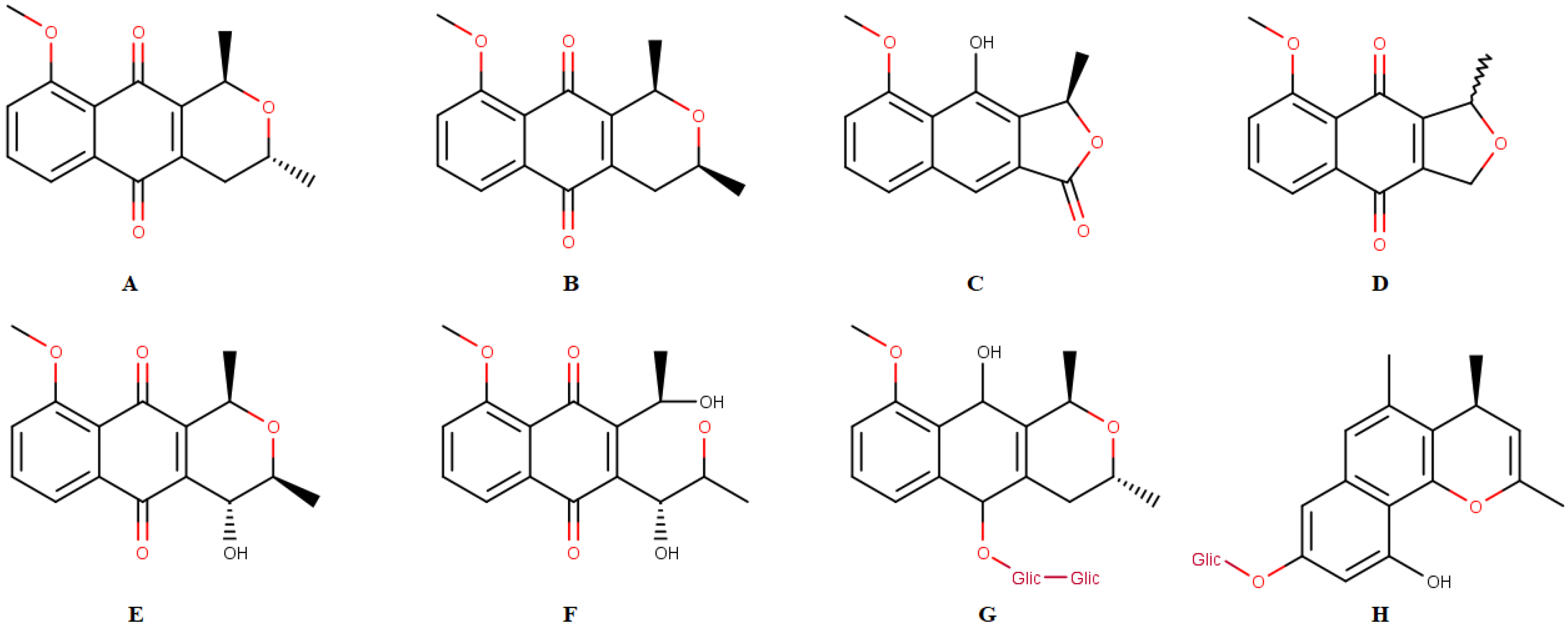
2.1. Chemistry
2.2. Micronucleus Assay
2.3. In Silico Studies to Predict the Toxicity of Isoeleutherin and Analogues
2.4. Molecular Docking
3. Material and Methods
3.1. Plant Material, Extract and Fractions
3.2. Selection of Isoeleutherin Analogues
3.3. In Silico Studies to Predict Toxicity
3.4. Molecular Docking
3.5. Micronucleus Technique with Cytokinesis Block (CBMN, for Cytokinesis-Block Micronucleus)
4. Conclusions
Author Contributions
Funding
Institutional Review Board Statement
Informed Consent Statement
Data Availability Statement
Acknowledgments
Conflicts of Interest
Sample Availability
References
- Prameela, R.; Swamy, J.; Venkaiah, M.; India, D.R.C.B.S.O. Eleutherine bulbosa (Mill.) Urb. (Iridaceae): A new distributional record to the flora of Eastern Ghats, India. Trop. Plant Res. 2018, 5, 303–305. [Google Scholar] [CrossRef]
- Malheiros, L.C.d.S.; Mello, J.C.P.; Barbosa, W.L.R. Eleutherine plicata—Quinones and Antioxidant Activity. Phytochemicals-Isolation, Characterisation and Role in Human Health; InTechOpen: Rijeka, Croatia, 2015; pp. 323–338. [Google Scholar] [CrossRef]
- Reflora. Available online: https://reflora.jbrj.gov.br/reflora/PrincipalUC/PrincipalUC.do;jsessionid=95E0566BB2CA79FDAA15D4D530AADEC0 (accessed on 29 January 2023).
- Rodrigues, E.S. Investigação de propriedades, química, física e biológica, dos extratos de Eleutherine bulbosa (Mill.) Urb. University graduate, Universidade Federal do Sul e Sudeste do Pará, Marabá, Brazil, 2016. [Google Scholar]
- Kamarudin, A.A.; Sayuti, N.H.; Saad, N.; Razak, N.A.A.; Esa, N.M. Eleutherine bulbosa (Mill.) Urb. Bulb: Review of the Pharmacological Activities and Its Prospects for Application. Int. J. Mol. Sci. 2021, 22, 6747. [Google Scholar] [CrossRef]
- Paramapojn, S.; Ganzera, M.; Gritsanapan, W.; Stuppner, H. Analysis of naphthoquinone derivatives in the Asian medicinal plant Eleutherine americana by RP-HPLC and LC–MS. J. Pharm. Biomed. Anal. 2008, 47, 990–993. [Google Scholar] [CrossRef] [PubMed]
- Vale, V.V.; Cruz, J.N.; Viana, G.M.R.; Póvoa, M.M.; Brasil, D.D.S.B.; Dolabela, M.F. Naphthoquinones isolated from Eleutherine plicata herb: In vitro antimalarial activity and molecular modeling to investigate their binding modes. Med. Chem. Res. 2020, 29, 487–494. [Google Scholar] [CrossRef]
- Castro, A.L.G.; Cruz, J.N.; Sodré, D.F.; Correa-Barbosa, J.; Azonsivo, R.; de Oliveira, M.S.; Siqueira, J.E.d.S.; Galucio, N.C.D.R.; Bahia, M.D.O.; Burbano, R.M.R.; et al. Evaluation of the genotoxicity and mutagenicity of isoeleutherin and eleutherin isolated from Eleutherine plicata herb. using bioassays and in silico approaches. Arab. J. Chem. 2021, 14, 103084. [Google Scholar] [CrossRef]
- Borges, E.S.; Galucio, N.C.D.R.; Veiga, A.S.S.; Busman, D.V.; Lins, A.L.F.D.A.; Bahia, M.D.O.; Rissino, J.D.; Correa, R.M.D.S.; Burbano, R.M.R.; Marinho, A.M.R.; et al. Botanical studies, antimicrobial activity and cytotoxity of Eleutherine bulbosa (Mill.) Urb. Res. Soc. Dev. 2020, 9, e3369119992. [Google Scholar] [CrossRef]
- Castro, A.L.G.; Correa-Barbosa, J.; Campos, P.S.; Matte, B.F.; Lamers, M.L.; Siqueira, J.E.S.; Marino, A.M.R.; Monteiro, M.C.; Vale, V.V.; Dolabela, M.F.; et al. Antitumoral activity of Eleutherine plicata Herb. and its compounds. Int. J. Dev. Res. 2021, 11, 44673–44678. [Google Scholar] [CrossRef]
- Gomes, A.R.Q.; Galucio, N.C.d.R.; Albuquerque, K.C.d.O.; Brígido, H.P.C.; Varela, E.L.P.; Castro, A.L.G.; Vale, V.V.; Bahia, M.O.; Burbano, B.M.R.; Molfeta, F.A.d.; et al. Toxicity evaluation of Eleutherine plicata Herb. extracts and possible cell death mechanism. Tox. Rep. 2021, 8, 1480–1487. [Google Scholar] [CrossRef]
- Bamford, M.; Walkinshaw, G.; Brown, R. Therapeutic applications of apoptosis research. Exp. Cell Res. 2000, 256, 1–11. [Google Scholar] [CrossRef]
- da Silva, M.N.; Ferreira, V.; De Souza, M.C.B.V. Um panorama atual da química e da farmacologia de naftoquinonas, com ênfase na beta-lapachona e derivados. Química Nova 2003, 26, 407–416. [Google Scholar] [CrossRef]
- Wei, H.; Ruthenburg, A.J.; Bechis, S.K.; Verdine, G.L. Nucleotide-dependent Domain Movement in the ATPase Domain of a Human Type IIA DNA Topoisomerase. J. Biol. Chem. 2005, 280, 37041–37047. [Google Scholar] [CrossRef]
- Soltani, S.; Hallaj-Nezhadi, S.; Rashidi, M.R. A comprehensive review of in silico approaches for the prediction and modulation of aldehyde oxidase-mediated drug metabolism: The current features, challenges and future perspectives. Eur. J. Med. Chem. 2021, 222, 113559. [Google Scholar] [CrossRef]
- Wu, J.; Hu, B.; Sun, X.; Wang, H.; Huang, Y.; Zhang, Y.; Liu, M.; Liu, Y.; Zhao, Y.; Wang, J.; et al. In silico study reveals existing drugs as α-glucosidase inhibitors: Structurebased virtual screening validated by experimental investigation. J. Mol. Struct. 2020, 1218, 128532. [Google Scholar] [CrossRef]
- Asha, R.N.; Nayagam, B.R.D.; Bhuvanesh, N. Synthesis, molecular docking, and in silico ADMET studies of 4-benzyl-1-(2, 4, 6-trimethyl-benzyl)- piperidine: Potential Inhibitor of SARS-CoV2. Bioorg. Chem. 2021, 112, 104967. [Google Scholar] [CrossRef]
- Bolton, J.L.; Dunlap, T. Formation and Biological Targets of Quinones: Cytotoxic versus Cytoprotective Effects. Chem. Res. Toxicol. 2016, 30, 13–37. [Google Scholar] [CrossRef]
- Costa, C.R.; Olivi, P.; Botta, C.M.R.; Espindola, E.L.G. Toxicity in aquatic environments: Discussion and evaluation methods. Quim. Nova. 2008, 31, 1820–1830. [Google Scholar] [CrossRef]
- Guilhermino, L.; Diamantino, T.C.; Silva, M.C.; Soares, A. Acute Toxicity Test with Daphnia magna: An Alternative to Mammals in the Prescreening of Chemical Toxicity? Ecotoxicol. Environ. Saf. 2000, 46, 357–362. [Google Scholar] [CrossRef]
- US Environmental Protection Agency. Standard Evaluation Procedure: Acute Toxicity Test for Freshwater Fish. 1985. Available online: https://nepis.epa.gov/Exe/ZyPDF.cgi/P100WHVJ.PDF?Dockey=P100WHVJ.PDF (accessed on 9 April 2022).
- Pietta, P.-G. Flavonoids as Antioxidants. J. Nat. Prod. 2000, 63, 1035–1042. [Google Scholar] [CrossRef]
- Visioli, F.; Keaney, J.F., Jr.; Halliwell, B. Antioxidants and cardiovascular disease; panaceas or tonics for tired sheep? Cardiovasc. Res. 2000, 47, 409. [Google Scholar] [CrossRef]
- Husain, S.R.; Cillard, J.; Cillard, P. Hydroxyl radical scavenging activity of flavonoids. Phytochemistry 1987, 26, 2489–2491. [Google Scholar] [CrossRef]
- Shinkai, V.M.T.; Sampaio, I.M.O.; dos Santos, E.G.; Galué-Parra, A.J.; Ferreira, D.P.; Baliza, D.D.M.S.; Ramos, N.F.; Pimenta, R.S.; Burbano, R.M.R.; Sena, C.B.C.; et al. In Vitro Cytotoxic Effects and Mechanisms of Action of Eleutherine Isolated from Eleutherine plicata Bulb in Rat Glioma C6 Cells. Molecules 2022, 27, 8850. [Google Scholar] [CrossRef] [PubMed]
- Bars, C.; Hoyberghs, J.; Valenzuela, A.; Buyssens, L.; Ayuso, M.; Van Ginneken, C.; Labro, A.J.; Foubert, K.; Van Cruchten, S.J. Developmental Toxicity and Biotransformation of Two Anti-Epileptics in Zebrafish Embryos and Early Larvae. Int. J. Mol. Sci. 2021, 22, 12696. [Google Scholar] [CrossRef] [PubMed]
- Tosca, E.M.; Bartolucci, R.; Magni, P.; Poggesi, I. Modeling approaches for reducing safety-related attrition in drug discovery and development: A review on myelotoxicity, immunotoxicity, cardiovascular toxicity, and liver toxicity. Expert Opin. Drug Discov. 2021, 16, 1365–1390. [Google Scholar] [CrossRef] [PubMed]
- Silva, J.R.A.; Kruger, H.G.; Molfetta, F.A. Drug repurposing and computational modeling for discovery of inhibitors of the main protease (Mpro) of SARS-CoV-2. RSC Adv. 2021, 11, 23450–23458. [Google Scholar] [CrossRef]
- Alam, R.; Wahi, D.; Singh, R.; Sinha, D.; Tandon, V.; Grover, A. Rahisuddin Design, synthesis, cytotoxicity, HuTopoIIα inhibitory activity and molecular docking studies of pyrazole derivatives as potential anticancer agents. Bioorganic Chem. 2016, 69, 77–90. [Google Scholar] [CrossRef]
- Irwin, J.J.; Sterling, T.; Mysinger, M.M.; Bolstad, E.S.; Coleman, R.G. ZINC: A Free Tool to Discover Chemistry for Biology. J. Chem. Inf. Model. 2012, 52, 1757–1768. [Google Scholar] [CrossRef]
- eMolecules. 2022. Available online: https://www.emolecules.com (accessed on 15 January 2022).
- Guru, R.K. QSAR Study of Boswellic Acid as an Anti Cancer Agent: A Computational Approach. Doctoral dissertation, Majhighariani Institute of Technology & Science, Rayagada, Odisha, India, 2013. [Google Scholar]
- Song, Y.; Zhu, X.; Yang, K.; Feng, S.; Zhang, Y.; Dong, J.; Liu, Z.; Qiao, X. Synthesis and biological evaluation of xanthone derivatives as anti-cancer agents targeting topoisomerase II and DNA. Med. Chem. Res. 2022, 31, 720–734. [Google Scholar] [CrossRef]
- Jones, G.; Willett, P.; Glen, R.C.; Leach, A.R.; Taylor, R. Development and validation of a genetic algorithm for flexible docking. J. Mol. Biol. 1997, 267, 727–748. [Google Scholar] [CrossRef]
- Ramírez, D.; Caballero, J. Is It Reliable to Take the Molecular Docking Top Scoring Position as the Best Solution without Considering Available Structural Data? Molecules 2018, 23, 1038. [Google Scholar] [CrossRef]
- Janežič, M.; Valjavec, K.; Loboda, K.B.; Herlah, B.; Ogris, I.; Kozorog, M.; Podobnik, M.; Grdadolnik, S.G.; Wolber, G.; Perdih, A. Dynophore-Based Approach in Virtual Screening: A Case of Human DNA Topoisomerase IIα. Int. J. Mol. Sci. 2021, 22, 13474. [Google Scholar] [CrossRef]
- Neudert, G.; Klebe, G. fconv: Format conversion, manipulation and feature computation of molecular data. Bioinformatics 2011, 27, 1021–1022. [Google Scholar] [CrossRef]
- Verdonk, M.L.; Cole, J.C.; Hartshorn, M.J.; Murray, C.W.; Taylor, R.D. Improved protein-ligand docking using GOLD. Proteins Struct. Funct. Bioinform. 2003, 52, 609–623. [Google Scholar] [CrossRef]
- Dassault Systèmes BIOVIA. 2022. Available online: https://discover.3ds.com/discovery-studio-visualizer-download (accessed on 15 January 2022).
- Fenech, M.; Morley, A.A. Measurement of micronuclei in lymphocytes. Mutat. Res. Mutagen. Relat. Subj. 1985, 147, 29–36. [Google Scholar] [CrossRef]
- Fenech, M. The in vitro micronucleus technique. Mutat. Res. Mol. Mech. Mutagen. 2000, 455, 81–95. [Google Scholar] [CrossRef]



| Samples | Concentrations (µg/mL) | MF (%) ± SD | NDI (%) ± SD |
|---|---|---|---|
| Negative control | - | 2.40 ± 0.56 | 1.94 ± 0.01 |
| Positive control (Doxorubicin) | 0.02 | 36.07 ± 1.36 | 1.87 ± 0.05 |
| EEEp | 9.80 4.90 2.45 | 9.13 ± 0.35 5.30 ± 0.53 2.87 ± 0.36 | 1.34 ± 0.03 1.43 ± 0.02 1.65 + 0.08 |
| FDCMEp | 9.52 4.76 2.38 | 20.43 ± 0.70 6.83 ± 0.31 5.20 ± 0.30 | 1,20 ± 0.02 1.24 ± 0.01 1,36 ± 0.02 |
| Isoeleutherin | 15.55 7.77 3.88 | 4.03 ± 0.25 2.90 ± 0.20 2.10 ± 0.36 | 1.36 ± 0.16 1.39 ± 0.15 1.51 ± 0.15 |
| Toxicity * | Protox | Mutagenicity * | Carcinogenicity * | Protox | HeRG * | ||||||
|---|---|---|---|---|---|---|---|---|---|---|---|
| Algae | Daphnia | Minnow | Medaka | Cytotoxicity | Mutagenicity | Mouse | Rat | Carc. | |||
| CP1 | T | T | VT | VT | Toxic | NM | M (0) | + | + | - | LR |
| CP2 | T | T | VT | VT | Toxic | NM | M (0) | + | + | - | LR |
| CP3 | T | T | VT | VT | Toxic | NM | M (0) | + | + | - | LR |
| CP4 | T | T | VT | VT | Toxic | NM | M (1) | + | + | - | MR |
| CP5 | T | T | VT | VT | Toxic | NM | M (0) | + | + | - | LR |
| CP6 | T | T | VT | VT | Toxic | NM | M (1) | + | + | - | MR |
| CP7 | T | NT | VT | VT | Non-toxic | NM | M (1) | - | + | + | LR |
| CP8 | T | T | VT | VT | Toxic | NM | M (0) | + | + | - | MR |
| CP9 | T | T | VT | VT | Toxic | NM | M (0) | + | + | - | LR |
| CP10 | T | NT | VT | VT | Non-toxic | NM | M (1) | - | + | + | LR |
| CP11 | T | T | VT | VT | Non-toxic | NM | M (1) | - | + | + | LR |
| CP12 | T | T | VT | VT | Toxic | NM | M (0) | + | + | - | LR |
| CP13 | T | T | VT | VT | Non-toxic | NM | NM (0) | + | - | - | LR |
| CP14 | T | T | VT | VT | Toxic | NM | M (0) | + | + | - | LR |
| CP15 | T | NT | VT | VT | Non-toxic | NM | M (2) | - | + | + | LR |
| CP16 | T | NT | VT | VT | Non-toxic | NM | M (1) | - | + | + | LR |
| CP17 | T | T | VT | VT | Toxic | NM | M (0) | + | + | - | LR |
| CP18 | T | NT | VT | VT | Non-toxic | NM | M (2) | - | + | + | MR |
| CP19 | T | NT | VT | VT | Non-toxic | M | M (2) | - | + | - | MR |
| CP20 | T | T | VT | VT | Non-toxic | M | M (2) | - | - | + | MR |
| CP21 | T | NT | VT | VT | Non-toxic | M | M (2) | - | + | - | LR |
| CP22 | T | NT | VT | VT | Non-toxic | NM | M (2) | - | + | + | LR |
| ISO | T | T | VT | VT | Non-toxic | NM | M (1) | - | + | + | MR |
| Acute Oral Toxicity | Hepatotoxicity | Immunotoxicity | ||
|---|---|---|---|---|
| DL50 (mg/kg) | Class | |||
| CP1 | 1000 | 4 | - | + |
| CP2 | 1000 | 4 | - | + |
| CP3 | 1000 | 4 | - | + |
| CP4 | 1000 | 4 | - | + |
| CP5 | 1000 | 4 | - | + |
| CP6 | 1000 | 4 | - | + |
| CP7 | 290 | 3 | - | + |
| CP8 | 1000 | 4 | - | + |
| CP9 | 1000 | 4 | - | + |
| CP10 | 290 | 3 | - | + |
| CP11 | 290 | 3 | - | + |
| CP12 | 1000 | 4 | - | + |
| CP13 | 1000 | 4 | - | + |
| CP14 | 1000 | 4 | - | + |
| CP15 | 1000 | 4 | - | + |
| CP16 | 290 | 3 | - | + |
| CP17 | 1000 | 4 | - | + |
| CP18 | NE | NE | - | - |
| CP19 | NE | NE | - | + |
| CP20 | NE | NE | - | - |
| CP21 | NE | NE | - | - |
| CP22 | NE | NE | - | + |
| ISO | 1000 | 4 | - | + |
Disclaimer/Publisher’s Note: The statements, opinions and data contained in all publications are solely those of the individual author(s) and contributor(s) and not of MDPI and/or the editor(s). MDPI and/or the editor(s) disclaim responsibility for any injury to people or property resulting from any ideas, methods, instructions or products referred to in the content. |
© 2023 by the authors. Licensee MDPI, Basel, Switzerland. This article is an open access article distributed under the terms and conditions of the Creative Commons Attribution (CC BY) license (https://creativecommons.org/licenses/by/4.0/).
Share and Cite
Albuquerque, K.C.O.d.; Galucio, N.C.d.R.; Ferreira, G.G.; Quaresma, A.C.S.; Vale, V.V.; Bahia, M.d.O.; Burbano, R.M.R.; Molfetta, F.A.d.; Percario, S.; Dolabela, M.F. Study of Genotoxicity, Activities on Caspase 8 and on the Stabilization of the Topoisomerase Complex of Isoeleutherin and Analogues. Molecules 2023, 28, 1630. https://doi.org/10.3390/molecules28041630
Albuquerque KCOd, Galucio NCdR, Ferreira GG, Quaresma ACS, Vale VV, Bahia MdO, Burbano RMR, Molfetta FAd, Percario S, Dolabela MF. Study of Genotoxicity, Activities on Caspase 8 and on the Stabilization of the Topoisomerase Complex of Isoeleutherin and Analogues. Molecules. 2023; 28(4):1630. https://doi.org/10.3390/molecules28041630
Chicago/Turabian StyleAlbuquerque, Kelly Cristina Oliveira de, Natasha Costa da Rocha Galucio, Gleison Gonçalves Ferreira, Ana Carolina Sousa Quaresma, Valdicley Vieira Vale, Marcelo de Oliveira Bahia, Rommel Mario Rodriguez Burbano, Fábio Alberto de Molfetta, Sandro Percario, and Maria Fâni Dolabela. 2023. "Study of Genotoxicity, Activities on Caspase 8 and on the Stabilization of the Topoisomerase Complex of Isoeleutherin and Analogues" Molecules 28, no. 4: 1630. https://doi.org/10.3390/molecules28041630
APA StyleAlbuquerque, K. C. O. d., Galucio, N. C. d. R., Ferreira, G. G., Quaresma, A. C. S., Vale, V. V., Bahia, M. d. O., Burbano, R. M. R., Molfetta, F. A. d., Percario, S., & Dolabela, M. F. (2023). Study of Genotoxicity, Activities on Caspase 8 and on the Stabilization of the Topoisomerase Complex of Isoeleutherin and Analogues. Molecules, 28(4), 1630. https://doi.org/10.3390/molecules28041630

