Niobium: The Focus on Catalytic Application in the Conversion of Biomass and Biomass Derivatives
Abstract
1. Introduction
1.1. Niobium: General Information
1.2. Different Areas of Niobium Application
1.3. Scope of the Review
2. Conversion of Plant Biomass Fractions over Niobium-Containing Catalysts
2.1. Cellulose and Hemicellulose Conversion to Different Products
2.1.1. Sorbitol and Isosorbide
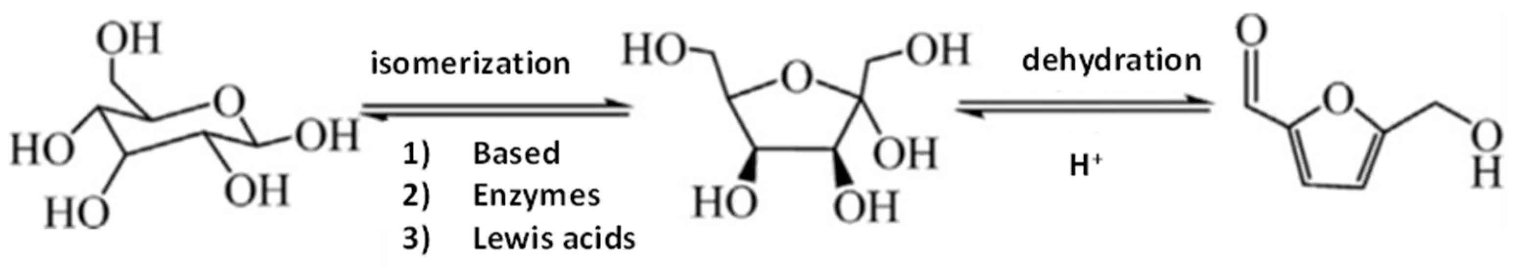
2.1.2. 5-Hydroxymethylfurfural
2.1.3. Levulinic Acid
2.1.4. Methyl Levulinate
2.1.5. Hexane
2.1.6. Lactic Acid
2.1.7. Ethylene Glycol
2.1.8. Water Soluble Sugars
2.2. Lignin Conversion
2.3. Fatty Acids Conversion to Different Products
3. Conversion of Plant Biomass Derivatives over Niobium-Containing Catalysts
3.1. Glucose Conversion to Different Products
| Entry | Catalyst | Solvent | t (h) | T (°C) | Product | C (%) | S (%) | Y (%) | Experimental Conditions | Ref. |
|---|---|---|---|---|---|---|---|---|---|---|
| 1 | Fe-doped niobium phosphate | Water | 3 | 180 | Levulinic acid | 99 | 65 | 64 | 0.056 M glucose; 0.050 g catalyst. | [151] |
| 2 | Nb2O5 nanorods | Water | 4 | 250 | Lactic acid | 100 | 39 | 39 | 0.05 g catalyst; 0.10 g glucose; 20 g water; 800 rpm. | [114] |
| 3 | Nb2O5-Beta zeolite | Water | 12 | 180 | Succinic acid | 100 | 84 | 84 | pO2 = 18 bar; 0.05 g catalyst; 0.09 g glucose; 10 mL water. | [105] |
| 4 | H3PO4/Nb2O5·H2O | Water | 3 | 120 | HMF | 92 | 52 | 48 | 0.20 g catalyst; 0.02 g glucose; 2 mL water. | [145] |
| 5 | Nb-doped Al,Si oxides | Water/THF | 2 | 160 | HMF | 93 | 71 | 66 | 0.20 g catalyst; 0.20 g glucose; 2 mL water saturated with NaCl; 6mL THF. | [137] |
| 6 | Nb-modified Beta-zeolite | Water/MIBK | 2 | 180 | HMF | 97 | 84 | 81 | 0.03 g catalyst; 0.18 g glucose; 3.5 mL water saturated with 20% NaCl and 1.5 mL methylisobutylketone (MIBK). | [138] |
| 7 | Nb-SBA-15 (Si/Nb ratio = 40) | Water/THF | 3 | 165 | HMF | 94 | 66 | 62 | 0.10 g catalyst; 0.10 g glucose; 2 mL water saturated with NaCl; 6 mL THF. | [90] |
| 8 | Nb2O5·H2O treated with H3PO4 and heated at 300 °C | Water/2-butanol | 2.3 | 160 | HMF | 86 | 63 | 54 | 0.10 g catalyst; 1.20 g glucose; 20 mL water, 30 mL 2-butanol; 800 rpm. | [145] |
| 9 | Nb0.2-WO3 | Water/1-butanol | 3 | 120 | HMF | 98 | 53 | 52 | 0.10 g catalyst; 0.01 g glucose; 1 mL solvent; 1-BuOH/H2O = 3. | [140] |
| 10 | Nb-doped WO3 | Water/THF | 4 | 120 | HMF | 100 | 55 | 55 | 0.04 g catalyst; 0.04 g glucose; THF/H2O volume ratio = 9. | [141] |
| 11 | Nb,W oxides | Water/2-butanol | 2 | 140 | HMF | 100 | 52 | 52 | 0.20 g catalyst; 1 wt% glucose; 2-butanol/H2O volume ratio = 2.5. | [142] |
| 12 | Nb,W oxides | Water | 2 | 120 | HMF | 36 | 53 | 19 | 0.20 g catalyst; 4.5 wt% glucose in water. | [143] |
| 13 | NbOPO4/CTAB | Water | 1 | 140 | HMF | 87 | 44 | 38 | 0.03 g catalyst; 0.06 g glucose; 3 mL water. | [115] |
| 14 | Nb2O5·H2O/NbOPO4 | Water | 2 | 152 | HMF | 55 | 56 | 31 | 2 wt.% glucose in water. | [146] |
| 15 | NbOPO4 | Water/MIBK | 7.5 | 135 | HMF | 60 | 60 | 36 | 2 g catalyst; 4 g glucose in 20 mL and 3 vol. methylisobutylketone (MIBK). 500 rpm. | [143] |
| 16 | NbOPO4 | Water | 1 | 140 | HMF | 41 | 94 | 38 | 0.5 g catalyst; 0.1 g glucose in 10 mL water. | [87] |
| 17 | Niobia/carbon composites | Water/THF | 4 | 160 | HMF | 98 | 60 | 59 | 0.10 g catalyst; 0.10 g glucose; 2 mL water saturated with NaCl, 6 mL THF. | [91] |
| 18 | Niobia/carbon composites | Water/SBP | 2 | 170 | HMF | 78 | 26 | 20 | 0.10 g catalyst; 5 wt% glucose in water saturated with NaCl, sec-butyl phenol (SBP)/water mass ratio = 2. | [139] |
| 19 | LaOCl/Nb2O5 | DMSO | 3 | 180 | HMF | 65 | 82 | 53 | 0.10 g catalyst; 0.046 M glucose; 1000 rpm. | [152] |
| 20 | HNbMoO6 | Water | 1.5 | 120 | D-mannose | 33 | 88 | 29 | 0.01 g catalyst; 0.30 g glucose; 3 mL water. | [150] |
| 21 | LiNbMoO6 | Water | 1.5 | 120 | D-mannose | 26 | 91 | 24 | 0.01 g catalyst; 0.30 g glucose; 3 mL water. | [150] |
| 22 | NbOPO4-supported MgO | Water | 0.5 | 120 | Fructose | 35 | 70 | 25 | 1 wt.% glucose. Frutose productivity = 13.6 g g−1catalyst h−1. | [153] |
3.2. Fructose Conversion to 5-methylhydroxyfurfural
| Entry | Catalyst | Solvent | t (h) | T (°C) | C (%) | S (%) | Y (%) | Experimental Conditions | Ref. |
|---|---|---|---|---|---|---|---|---|---|
| 1 | NbCl5 | Ionic liquid | 0.5 | 80 | 95 | 83 | 79 | 0.2 mmol catalyst; 1 mmol fructose in 10 mmol 1-butyl-3-methylimidozolium chloride, [bmim]Cl. | [154] |
| 2 | Nb2O5 | Water | 6 | 130 | 82 | 40 | 33 | 0.08 g catalyst; 0.60 g fructose; 60 mL water. | [155] |
| 3 | Sulfated Nb2O5 | DMSO | 0.17 | 120 | 96 | 75 | 72 | 0.018 g catalyst; 0.18 g fructose; 2 mL DMSO. After 5 h reaction the HMF yield reached 88%. | [156] |
| 4 | Nb2O5 | DMSO | 2 | 120 | 100 | 86 | 86 | 0.01 g catalyst; 0.56 mmol fructose; 5 g DMSO. | [157] |
| 5 | Nb2O5·H2O | Water/ 2-butanol | 2 | 140 | 100 | 42 | 42 | 0.2 g catalyst; 2 mL of 1 wt% fructose; 5 mL 2-butanol. | [140] |
| 6 | Nb2O5·H2O treated with H3PO4 | Water/ 2-butanol | 0.83 | 160 | 90 | 99 | 89 | 0.10 g catalyst; 1.20 g fructose; 20 mL water and 30 mL 2-butanol; 800 rpm. | [139] |
| 7 | Niobium phosphate | Water | 0.17 | 180 | 87 | 39 | 34 | Fructose/catalyst mass ratio = 10; microwave was used. | [158] |
| 8 | Niobium phosphate | Water | 0.5 | 130 | 58 | 78 | 45 | 0.8 g catalyst; 0.8 g fructose in 10 mL water. | [159] |
| 9 | Niobium phosphate | Water/acetone | 0.91 | 138 | 78 | 64 | 50 | 20 g L−1 fructose; fructose/catalyst ratio = 1; acetone/water mass ratio = 1. | [163] |
| 10 | Niobium phosphate | Water/DMSO | 5 | 140 | 95 | 95 | 90 | 10 wt.% catalyst; 1.0 wt% fructose; DMSO/water mass ratio = 1.5. | [159] |
| 11 | HNb3O8 | Water | 0.3 | 155 | 85 | 66 | 56 | 0.02 g catalyst; 1 g fructose; deionized water = 9 g. Microwave irradiation was used. | [164] |
| 12 | Nb2O5/Nb3O7(OH) modified with H2O2 | DMSO | 2 | 130 | 100 | 47 | 47 | 0.1 g catalyst; 10 mL of 20 g L−1 fructose. | [160] |
| 13 | Nb0.2-WO3 | Water | 2 | 120 | 100 | 30 | 30 | 0.1 g catalyst; 0.01 g fructose; 1 mL H2O. | [140] |
| 14 | NbPW (Nb/P molar ratio = 0.6) | DMSO | 3 | 80 | 100 | 97 | 97 | 0.05 g catalyst; 56 mM fructose; 5 mL DMSO. | [161] |
| 15 | Nb-NTMPA | DMA | 1.5 | 100 | 100 | 86 | 86 | 0.05 g catalyst; 0.1 g fructose; 2 g DMA, 0.2 g NaBr. | [165] |
| 16 | Nb-doped TiO2 | Water | 0.33 | 150 | 97 | 58 | 56 | 12.5 mg mL−1 catalyst; 0.55 mmol fructose; 15 W microwave irradiation. | [163] |
| 17 | Carbon/Nb2O5 | DMSO | 2 | 120 | 100 | 77 | 77 | 0.01 g catalyst; 0.1 g fructose; 5 g DMSO, 500 rpm. | [162] |
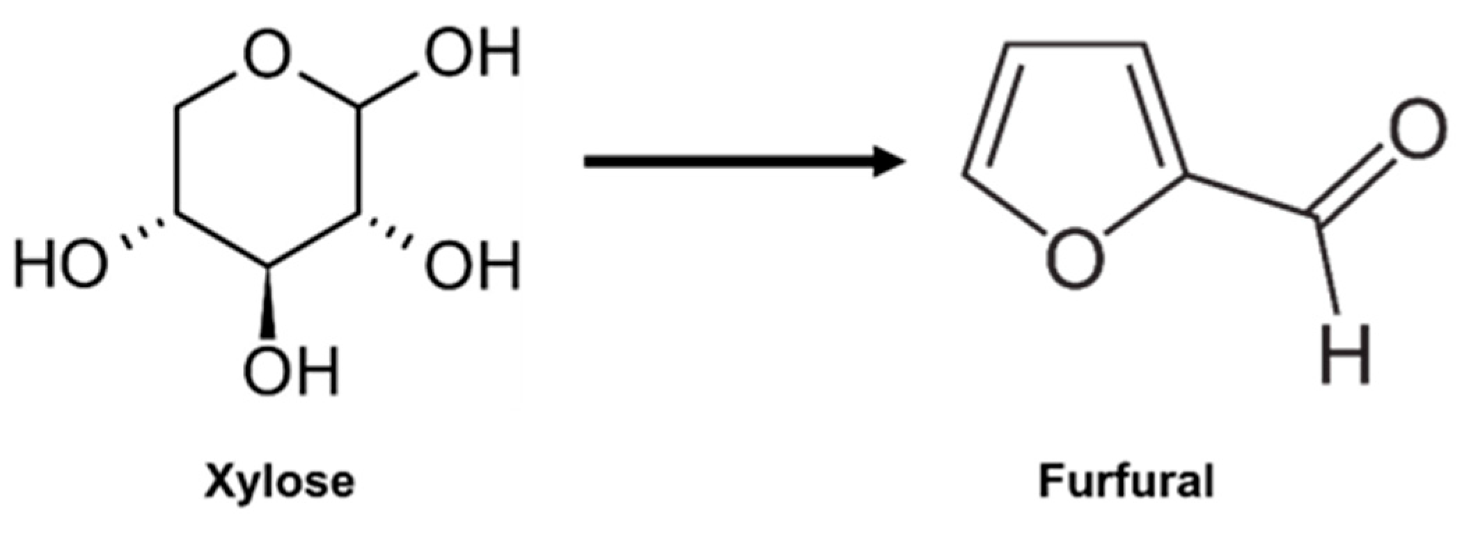
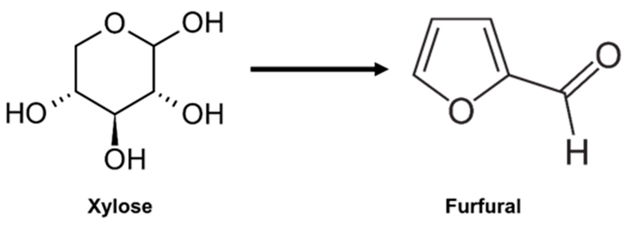
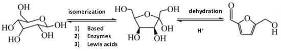
3.3. Xylose Conversion to Furfural
| Entry | Catalyst | Solvent | t (h) | T (°C) | C (%) | S (%) | Y (%) | Experimental Conditions | Ref. |
|---|---|---|---|---|---|---|---|---|---|
| 1 | Amorphous Nb2O5 | water/toluene | 3 | 120 | 93 | 48 | 45 | 0.10 g catalyst; 0.075 g xylose; 2 mL water + 3 mL toluene. | [174] |
| 2 | Nb2O5 | water/toluene | 1.5 | 170 | 90 | 56 | 50 | 0.05 g catalyst; 0.15 g xylose; 1.5 mL water + 3.5 mL toluene. 600 rpm. | [175] |
| 3 | Nb2O5 | water/toluene | 3 | 120 | 97 | 81 | 79 | 0.10 g catalyst; 0.075 g xylose; 2 mL water + 3 mL toluene. | [167] |
| 4 | Nb2O5 | water/THF | 2 | 130 | 95 | 47 | 45 | 0.04 g catalyst; 0.12 g xylose; THF/water ratio = 4. | [176] |
| 5 | Nb2O5 nanowires | DMSO | 2 | 120 | 90 | 82 | 74 | 0.01 g catalyst; 0.1 g xylose; 20 mL DMSO | [177] |
| 6 | Niobic acid/niobium phosphate | water | 0.5 | 160 | 44 | 75 | 33 | 1 g catalyst; 2 wt% xylose | [163] |
| 7 | Nb-SBA-15 | water/toluene | 24 | 160 | 85 | 93 | 79 | 4 g catalyst; 20 g L−1 xylose; water/toluene volume ratio = 1. | [182] |
| 8 | MCM-41-supported niobium oxide | water/toluene | 1.67 | 190 | 83 | 55 | 46 | 0.05 g catalyst; 0.15 g xylose; 1.5 mL water + 3.5 mL toluene; 1000 rpm. NaCl increases the furfural yield to 60% at 170 °C after 3 h reaction. | [179] |
| 9 | H3PO4 treated Niobium phosphate | water/toluene | 1 | 160 | 52 | 43 | 23 | 0.14 g catalyst; 2.0 g xylose; 18 mL water + 30 mL toluene. | [183] |
| 10 | Nb2O5/TiO2 | H2O/GVL | - | 130 | 98 | 30 | 29 | 0.02 M xylose in H2O/GVL = 1:9 v/v, 0.1–0.4 mL min−1, residence time = 106 s. | [178] |
3.4. Conversion of Glycerol to Different Products
3.4.1. Glycerol Dehydration
3.4.2. Glycerol Oxidative Dehydration
3.4.3. Oxidation of Glycerol to Glyceric Acid
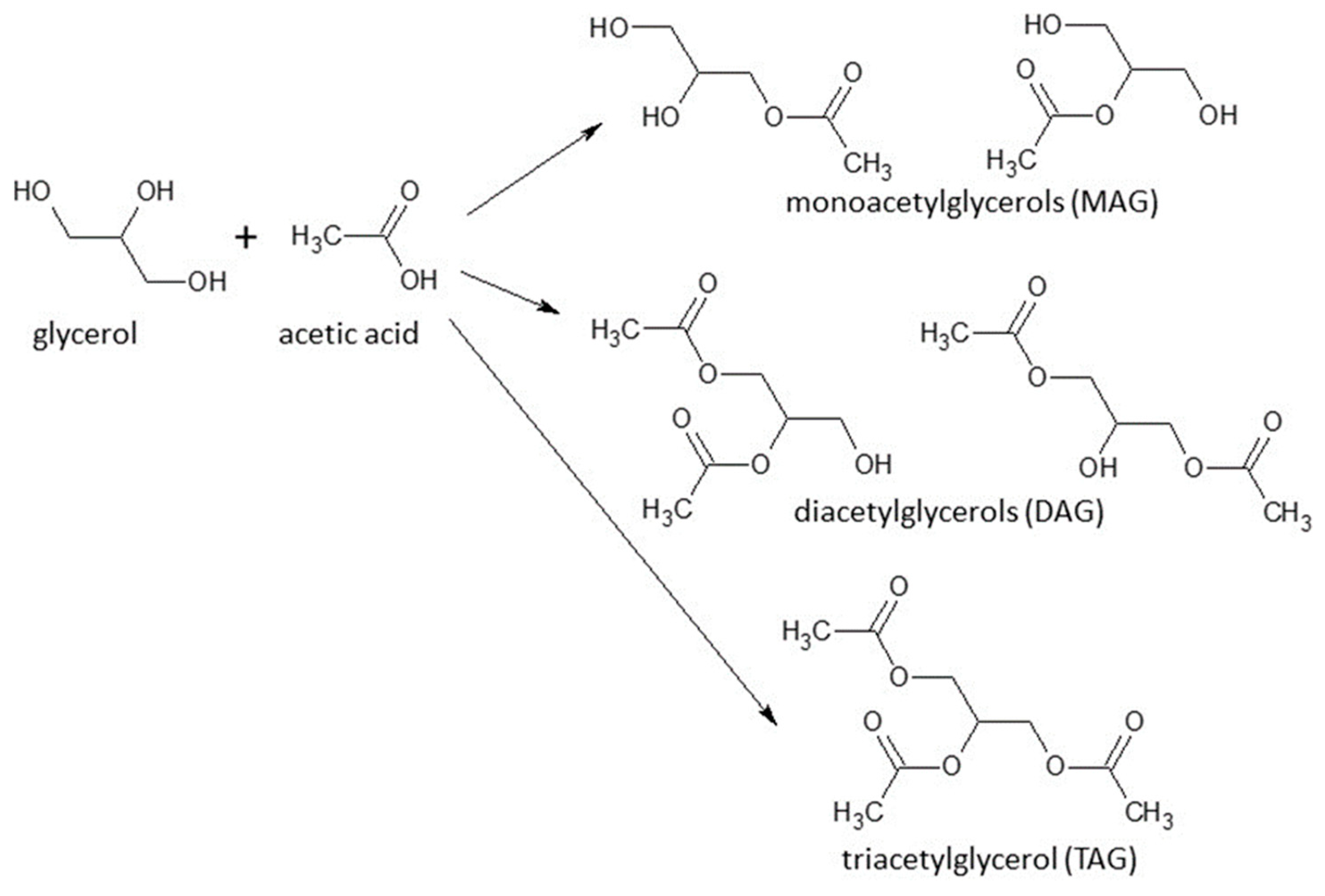
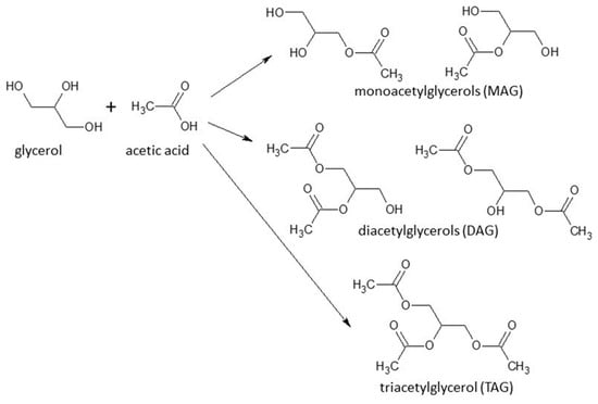
3.4.4. Esterification of Acetic Acid with Glycerol
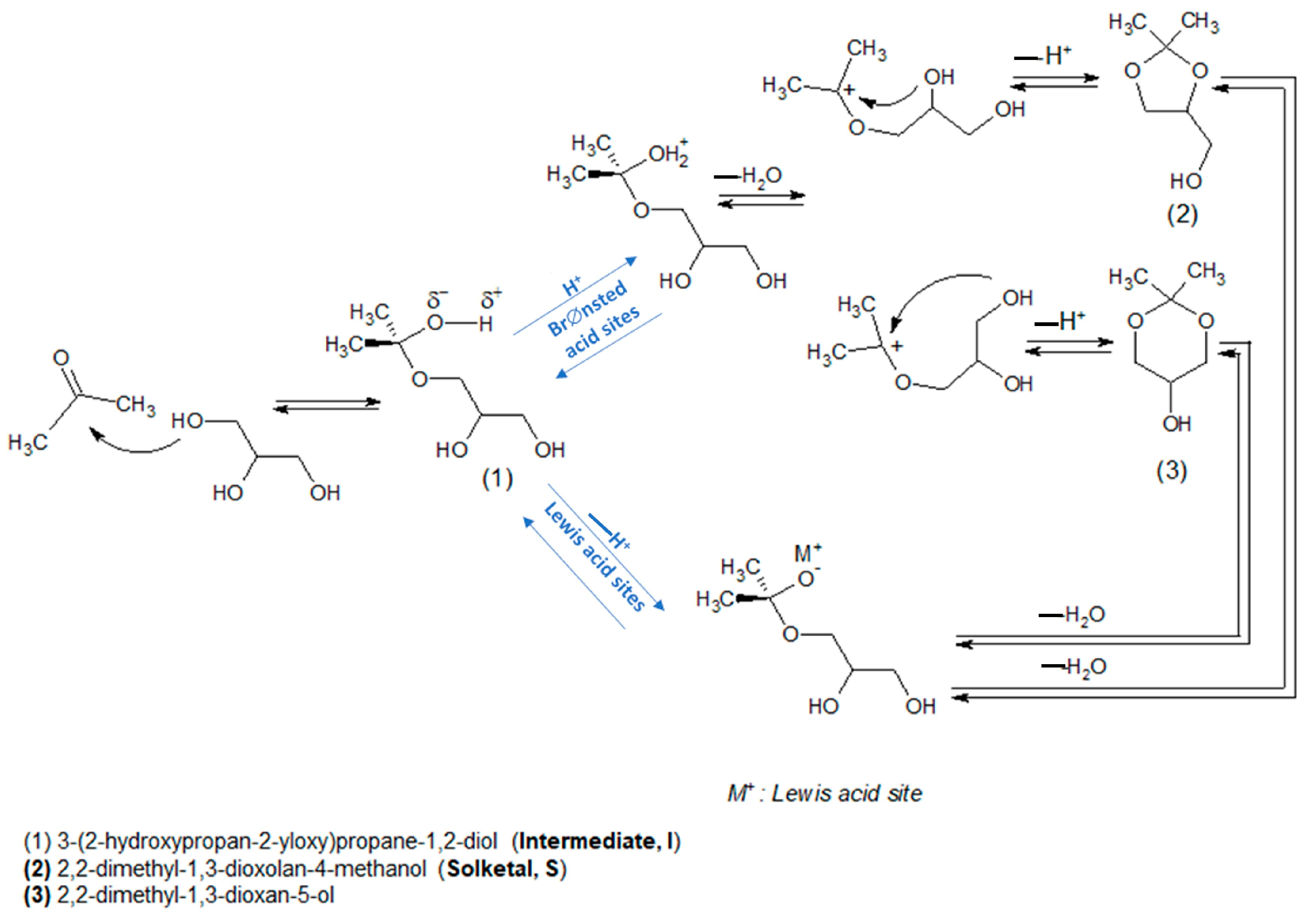
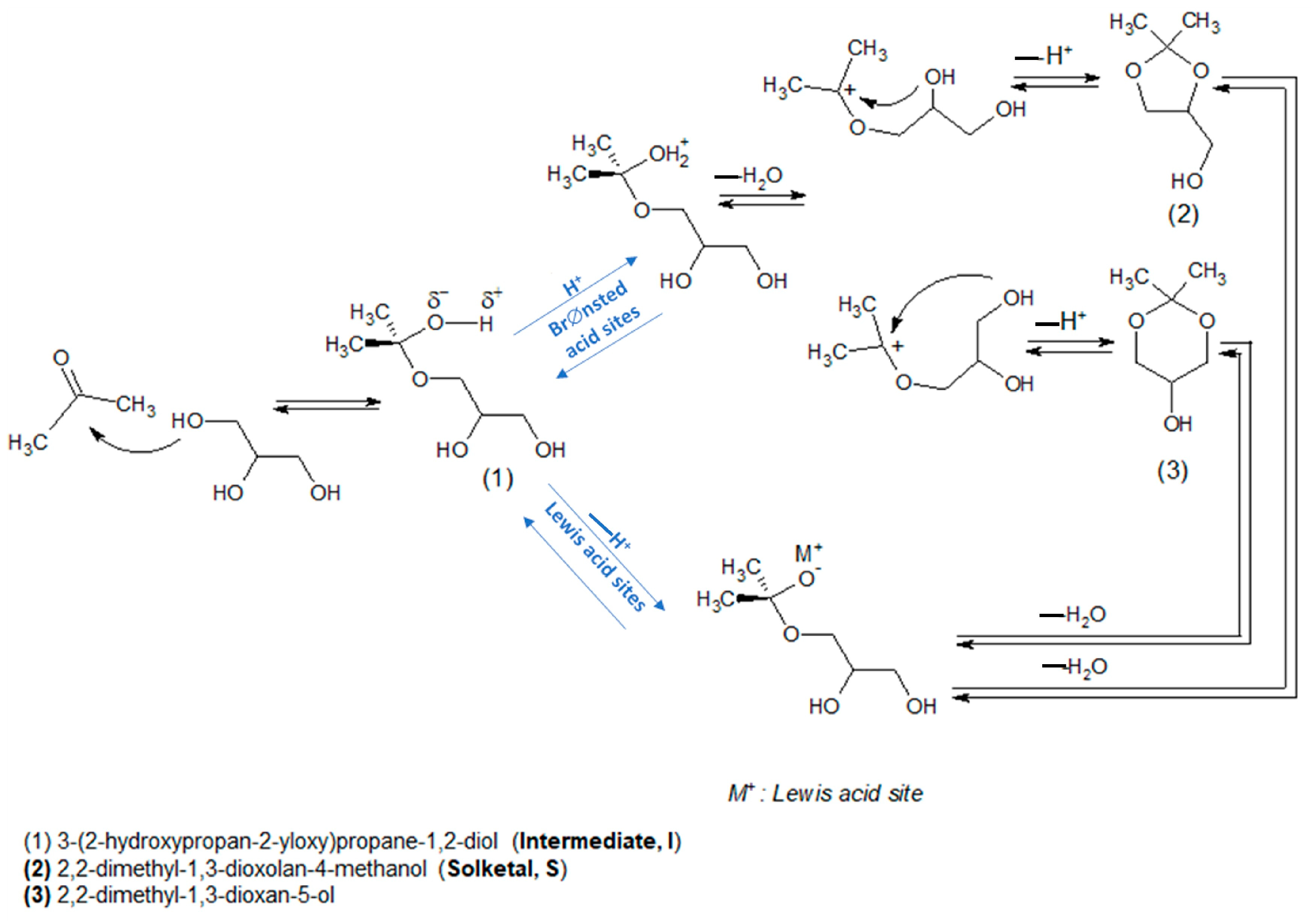
3.4.5. Acetalization of Glycerol
| Entry | Catalyst | Solvent/Reactant | t (h) | T (°C) | Product | C (%) | S (%) | Y (%) | Experimental Conditions | Ref. |
|---|---|---|---|---|---|---|---|---|---|---|
| 43 | Niobium oxyhydroxide | - | 6 | 250 | allyl alcohol | 91 | 46 | 42 | Catalyst loading = 2.5 mg/mL; Oxidant = H2O2 Concentrated glycerol volume = 20 mL. | [184] |
| 24 | Au/Nb2O5 crystalline Au/Nb2O5 amorphous | Water | 5 | 60 | glyceric acid | 67 31 | 47 55 | 31 17 | Catalyst loading = 0.2 g; pO2 = 6 bar; 1 M aqueous solution of glycerol; NaOH/glycerol molar ratio = 2. | [185] [187] |
| 25 | Au/Nb2O5 | Water | 5 | 90 | glyceric acid | 93 | 45 | 42 | Catalyst loading = 0.05 g; pO2 = 6 bar; 1 M aqueous solution of glycerol; NaOH/glycerol molar ratio = 2. | [186] |
| 20 | W-V-Nb-O | Water | 290 | acrylic acid | 100 | 34 | 34 | Feed composition: 2 mol% glycerol, 4 mol% oxygen, 40 mol% water, and 54 mol% helium. | [219] | |
| 21 | W-V-Nb-O | Water | 37 b | 265 | acrylic acid | 100 | 50 | 50 | Feed molar ratio O2/Gly/H2O/He = 12/6/40/40, residence time 0.15 s. | [220] |
| 22 | W2.2V0.5Nb2.3O14 W2.2V0.5Nb2.3O14 H3PO4/W2.2V0.5Nb2.3O14 | Water | 5 b | 285 | acrylic acid | 100 | 46 37 59 | 46 37 59 | W/F = 6.7 × 10−3 gcat min L−1 W/F = 1.0 × 10−2 gcat min L−1 W/F = 1.0 × 10−2 gcat min L−1 Catalyst loading = 0.2 g; Flow rate = 80 mL min−1; time on a stream: 1–2 h; water/glycerol molar ratio = 5; composition of reaction gas: Glycerol/O2/N2/H2O = 5/14/56/25 (mol%). | [188] [209] |
| 23 | 20CsPW-Nb + VMo-SiC | Water | 70 b | 300 | acrylic acid | 100 | 75 | 75 | Catalyst loading (two-bed system) = 0.50 g 20CsPW-Nb, 0.5 g VMo-SiC 40 mL/min gas flow rate (O2 = 6 mL/min), 20 wt% glycerol solution fed at 0.6 mL/h (0.24 h−1 glycerol WHSV). | [215] |
| 26 | HPMo/Nb2O5 | Acetic acid | 8 | 80 | monoacetin diacetin triacetin | 87 | 82 17 1 | 71 15 1 | Catalyst loading = 5 wt% based on glycerol feed; Acetic acid/glycerol molar ratio = 6. | [189] |
| 28 | MP-NbSBA-15 a Si/Nb = 65 SH in MPTMS oxidized to SO3H with H2O2 | Acetic acid | 4 | 150 | monoacetin diacetin triacetin | 66 | 11 53 36 | 7 35 24 | Catalyst loading = 0.1 g; acetic acid/glycerol molar ratio = 9. | [190] |
| 31 | Niobium phosphate | Acetic acid | 1.3 | 120 | monoacetin diacetin triacetin | 100 | 38 49 7 | 38 49 7 | Catalyst loading = 2 g; Acetic acid/glycerol molar ratio = 4. | [191] |
| 27 | MPa-NbSBA-15 a Si/Nb = 28 SH in MPTMS oxidized to SO3H with H2O2 | Acetic acid | 4 | 150 | monoacetin diacetin triacetin | 73 | 10 49 41 | 7 36 30 | Catalyst loading = 0.10 g; Acetic acid/glycerol molar ratio = 9. | [192] |
| 30 | MP/NbPMCF a SH in MPTMS oxidized to SO3H with H2O2 | Acetic acid | 4 | 150 | monoacetin diacetin triacetin | 99 | 11 53 36 | 11 52 36 | Catalyst loading = 0.10 g; Acetic acid/glycerol molar ratio = 9. | [193] |
| 29 | MP-NbMCF a Si/Nb = 129 SH in MPTMS oxidized to SO3H with H2O2 | Acetic acid | 4 | 150 | monoacetin diacetin triacetin | 89 | 11 51 38 | 10 45 34 | Catalyst loading = 0.10 g; Acetic acid/glycerol molar ratio = 9. | [228] |
| 32 | Niobium phosphate | Acetic anhydride | 1.3 | 120 | triacetin | 100 | 100 | 100 | Catalyst loading = 2 g; Acetic anhydride/glycerol molar ratio = 4. | [191] |
| 33 | Sulfonated Nb2O5 | Tert-butyl alcohol | 5 | 120 | mono-tert-butyl-glycerol | 95 | 47 | 45 | Catalyst loading = 5 wt%; TBA/glycerol molar ratio = 4. | [194] |
| 34 | Amphiphilic Niobium oxyhydroxide | Acetone | 1 | 70 | solketal | 73 | 95 | 69 | Catalyst loading = 0.2 g; Acetone/glycerol molar ratio = 2; TOF = 1106 h−1. | [196] |
| 35 | Hydrophobized niobium oxyhydroxide | Acetone | 1 | 70 | solketal | 65 | 95 | 62 | Catalyst loading = 0.2 g; Acetone/glycerol molar ratio = 4. | [196] |
| 37 | 1Nb/0.05Al oxides | Acetone | 6 | 50 | solketal | 84 | 98 | 82 | Catalyst loading = 2.7 wt%; Acetone/glycerol molar ratio = 4. | [233] |
| 38 | Nb/MCF | Acetone | 3 | 40 | solketal | 48 | 99 | 47 | 2 wt% catalyst, 40 mmol glycerol, 80 mmol acetone Acetone/glycerol molar ratio = 2. | [236] |
| 39 | Nb-incorporated SBA-16 | Acetone | 0.7 | 30 | solketal | 86 | 92 | 79 | Acetalization using microwave; Catalyst loading = 0.05 g 25 mL of glycerol/0.02 M acetone; TON = 2200 molecules/Nb site. | [196] |
| 40 | MP-NbMCF a SH in MPTMS oxidized to SO3H with H2O2 | Acetone | 3 | 40 | solketal | 80 | 97 | 78 | 2 wt% catalyst, 40 mmol glycerol, 80 mmol acetone Acetone/glycerol molar ratio = 2. | [231] |
| 41 | Nb2O5/HUSY zeolite | Acetone | 3 | 40 | solketal | 66 | 98 | 65 | Catalyst loading = 2 wt%; Acetone/glycerol molar ratio = 2. | [197] |
| 36 | Nb2O5 treated at (300 °C) | Acetone | 6 | 70 | solketal | 80 | 92 | 74 | Catalyst loading = 6.4 wt%; Acetone/glycerol molar ratio = 1.5. | [198] |
| 42 | 10% PO43−/8% Nb2O5/MCM | Lauric acid | 5 | 110 | glycerol monolaurate | 96 | 93 | 89 | Catalyst loading = 0.5 g; Glycerol/lauric acid molar ratio = 1. | [199] |
| 1 | 20 Nb2O5 –SiO2 | Water | 2 10 | 320 | acrolein | 100 63 | 65 52 | - | WHSV = 80 h−1 and feed = 30% solution of glycerol in water. | [238] |
| 2 | Nb-25/SBA-15 Nb2O5/SBA-15 Si/Nb-25/SBA-15 | Water | 4 | 350 | acrolein | 86 22 64 | 40 48 61 | 34 11 38 | Catalyst loading = 0.1 g speed of glycerol dosing: 1 mL/h; Ar flow: 50 mL/min. | [213] |
| 13 | NbOPO4 | Water | 4–5 | 320 | acrolein | 100 | 87 | 87 | 0.20 g catalyst diluted with 3.0 g of quartz; 10 wt% glycerol in water; time on stream = 4–5 h; Flow rate = 0.5 g h−1. | [201] |
| 15 | 50 wt%PO4/Nb2O5 | Water | 2 | 240 | acrolein | 68 | 72 | 49 | Catalyst loading = 4 g; Feed composition: 10 wt% glycerol in water. | [200] |
| 3 | Nb/Zr oxides | Water | 215 | 300 | acrolein | 100 | 71 | 71 | Glycerol aqueous solution (20 wt%); flow rate: 3.8 g h−1; inert gas flow rate: 75 mL min−1; Time on stream after which the conversion decreased by 20%: 215 h. | [202] |
| 4 | Nb2O5 supported on Zr-doped silica | Water | 8 | 235 | acrolein | 77 | 45 | 35 | Catalyst weight = 0.50 g diluted with SiC to 3 cm3; Feed composition: 10 wt% glycerol in water; liquid flow: 0.1 mL min−1; N2 flow = 15 mL min−1; Time on stream = 8 h. | [203] |
| 10 | Nb,W-oxides supported on ZrO2- | Water | 3 | 305 | acrolein | 100 | 75 | 75 | Catalyst weight = 0.80 g; Feed composition: 20 wt% glycerol in water; liquid flow: 3.6 mL h−1; Ar flow = 15 mL min−1. | [204] |
| 12 | ZrNbO mixed oxides | Water | 32 | 300 | acrolein | 100 | 70 | 70 | Catalyst weight = 7.50 g; Feed composition: 20 wt.% glycerol in water; flow rate: 3.8 g h−1; inert gas flow rate = 75 mL min−1. | [205] |
| 16 | 2.5 wt%PO4/W2.8Nb2.2O14 | Water | 1–2 | 285 | acrolein | 100 | 82 | 82 | Catalyst weight/Flow rate = 2.5 × 10−3 g min mL−1; time on a stream: 1–2 h; water/glycerol molar ratio = 5; composition of reaction gas: Glycerol/O2/N2/H2O = 5/14/56/25 (mol%). | [188] |
| 14 | Siliconiobium phosphate (NbPSi-0.5) | Water | 4 | 250 | acrolein | 100 | 76 | 76 | Catalyst loading = 0.3 g; 10 wt% glycerol in water; composition of reaction gas: Glycerol/H2O/N2 = 1.3/53.6/40.2 (mol%); Flow rate = 2.1 mL h−1; GHSV = 14,940 mL g−1 h−1. | [214] |
| 11 | 5% NbWOx/ZrO2 | Water | 3–4 | 290 | acrolein | 99 | 71 | 70 | Catalyst loading = 0.3 g; GHSV = 1171 h−1; 60 mL min−1 N2 flow rate; time on a stream: 3–4 h; 10 wt% glycerol in water. | [206] |
| 5 | 8 wt% Nb2O5 supported on Zr-doped silica and treated with H3PO4 | Water | 2 | 350 | acrolein | 100 | 74 | 74 | Time on stream = 2 h; Catalyst loading: 0.5 g diluted with SiC to 3 cm3 volume; 10 wt% glycerol in water; liquid flow: 0.1 mL min−1; N2 flow = 15 mL min−1. | [207] |
| 9 | NbW-oxide on Al2O3 | Water | 3 | 305 | acrolein | 100 | 72 | 72 | Catalyst loading = 0.8 g; Feed: 3.6 mL h−1; aqueous glycerol vaporized in 15 mL min−1 Ar; Time on stream = 3 h. | [208] |
| 6 | NbW-oxides | Water | 1 | 285 | acrolein | 99 | 75 | 74 | Catalyst weight = 0.20 g; Flow rate: 80 mL min−1; water/glycerol molar ratio = 5. | [209] |
| 7 | WNb oxides | Water | 295 | acrolein | 100 | 82 | 82 | glycerol/H2O/O2/He molar ratio of 2/40/4/54, contact time, W/F, of 81 gcat h (molgly)−1. | [117] | |
| 8 | WNb oxides | Water | - | 300 | acrolein | 100 | 83 | 83 | 81 gcat h (molglycerol)−1; glycerol/water/O2/He molar ratio = 2/40/4/54 | [241] |
| 18 | Cs2.5H0.5PW12O40/Nb2O5 | Water | 9–10 | 320 | acrolein | 94 | 77 | 72 | Glycerol concentration = 0.2 g g−1; N2/O2 flow rate = 18 mL min−1; N2/O2 = 5/1(L/L); time on stream = 9–10 h. | [211] |
| 17 | H3PW12O40/Nb2O5 | Water | 9–10 | 325 | acrolein | 100 | 89 | 89 | Catalyst weight = 0.30 g; Feed = 0.5 mL h−1; N2 flow rate = 10 mL min−1; 10 wt.% glycerol in water. | [212] |
| 19 | Cs2.5H0.5PW12O40/Nb2O5 | Water | 10 | 300 | acrolein | 96 | 83 | 80 | Catalyst loading = 0.50 g; glycerol/H2O/N2/O2 molar ratio = 1/2/68/12; flow rate = 0.6 mL h−1; 20 wt% glycerol in water; time on stream = 10 h. | [215] |
| 44 | Pt/Nb2O5 | Water | 1 | 140 | 1,2-propanediol | 50 | 88 | 44 | PH2 = 50 bar; Catalyst loading = 0.75 g; 1.50 g Amberlyst 15; 20% glycerol in water. | [220] |
| 45 | Pt/Nb-WOx | Water | 12 | 160 | 1,3-propanediol | 50 | 28 | 14 | PH2 = 5 MPa; Catalyst loading = 0.30 g; 5 wt% glycerol in water (12 mL). | [215] |
| 46 | Ni/Nb2O5/Al2O3 | Water | 30 | 500 | H2 | 90 | 60 | 54 | Catalyst loading = 0.15 g; Water/glycerol ratio = 16 | [218] |
4. Conclusions and Outlook
Author Contributions
Funding
Informed Consent Statement
Data Availability Statement
Conflicts of Interest
References
- Yaroshevsky, A. Abundances of chemical elements in the Earth’s crust. Geochem. Int. 2006, 44, 48–55. [Google Scholar] [CrossRef]
- Nest, M. Coltan, 1st ed.; Polity Press: Cambridge, UK, 2011; pp. 1–220. [Google Scholar]
- Meija, J.; Coplen, T.B.; Berglund, M.; Brand, W.A.; De Bièvre, P.; Gröning, M.; Holden, N.E.; Irrgeher, J.; Loss, R.D.; Walczyk, T. Atomics weights of the elements 2013. Pure Appl. Chem. 2016, 88, 265–291. [Google Scholar] [CrossRef]
- Wisniak, J. Charles Hatchett: The discoverer of niobium. Educ. Quím. 2015, 26, 346–355. [Google Scholar] [CrossRef]
- Wollaston, W.H. A method of examining refractive and dispersive powers, by Prismatic Reflection. Philos. Trans. R. Soc. Lond. 1809, 1, 246–252. [Google Scholar]
- Weeks, M.E. The discovery of the elements. XIII. Some spectroscopic discoveries. J. Chem. Educ. 1932, 9, 863–884. [Google Scholar] [CrossRef]
- Coryell, C.D.; Sugarman, N. The acceptance of new official names for the elements. J. Chem. Educ. 1950, 27, 460–461. [Google Scholar] [CrossRef]
- Ministério de Minas e Energia. Sumário Mineral; Departamento Nacional de Produção Mineral—DNPM: Brasília, Brazil, 2012.
- IBRAM. Informações e Análises da Economia Mineral Brasileira; Instituto Brasileiro de Mineração IBRAM: Belo Horizonte, Brazil, 2012. [Google Scholar]
- Nikishina, E.; Drobot, D.; Lebedeva, E. Niobium and Tantalum: State of the world market, Application fields, and sources of raw materials. Part 2. Russ. J. Non-Ferr. Met. 2014, 55, 130–140. [Google Scholar] [CrossRef]
- Silveira, J.W.; Resende, M. Competition in the international niobium market: A residual demand approach. Resour. Policy 2020, 65, 101564. [Google Scholar] [CrossRef]
- Ziolek, M.; Sobczak, I. The role of niobium component in heterogeneous catalysts. Catal. Today 2017, 285, 211–225. [Google Scholar] [CrossRef]
- Lin, H.; Gao, S.; Dai, C.; Chen, Y.; Shi, J. A two dimensional biodegradable niobium carbide (MXene) for photothermal tumor eradicationin NIR-I and NIR-II biowindows. J. Am. Chem. Soc. 2017, 139, 16235–16247. [Google Scholar] [CrossRef]
- Prasad, V.S.; Baligidad, R.; Gokhale, A.A. Niobium and other high temperature refractory metals for aerospace applications. In Aerospace Materials and Material Technologies; Springer: Singapore, 2017; pp. 267–288. [Google Scholar]
- Deng, Q.; Fu, Y.; Zhu, C.; Yu, Y. Niobium based oxides toward advanced electrochemical energy storage: Recent advances and challenges. Small 2019, 15, 1804884. [Google Scholar] [CrossRef] [PubMed]
- Souza, R.P.; Freitas, T.K.; Domingues, F.S.; Pezoti, O.; Ambrosio, E.; Ferrari-Lima, A.M.; Garcia, J.C. Photocatalytic activity of TiO2, ZnO and Nb2O5 applied to degradation of textile wastewater. J. Photochem. Photobiol. A Chem. 2016, 329, 9–17. [Google Scholar] [CrossRef]
- DeArdo, A. Niobium in modern steels. Int. Mater. Rev. 2003, 48, 371–402. [Google Scholar] [CrossRef]
- Horst, D.J. 3D printing of pharmaceutical drug delivery systems. Arch. Org. Inorg. Chem. Sci. 2018, 1, 37–38. [Google Scholar] [CrossRef]
- Mitchell, N.; Devred, A.; Libeyre, P.; Lim, B.; Savary, F. The ITER Magnets: Design and construction status. IEEE Trans. Appl. Supercond. 2011, 22, 4200809. [Google Scholar] [CrossRef]
- Sabbi, G.; Bottura, L.; Cheng, D.W.; Dietderich, D.R.; Ferracin, P.; Godeke, A.; Gourlay, S.A.; Marchevsky, M.; Todesco, E.; Wang, X. Annual Report for the National High Magnetic Field Laboratory. IEEE Trans. Appl. Supercond. 2014, 25, 1–7. [Google Scholar] [CrossRef]
- Uglietti, D.; Sedlak, K.; Wesche, R.; Bruzzone, P.; Muzzi, L.; della Corte, A. Progressing in cable-in-conduit for fusion magnets: From ITER to low cost, high performance DEMO. Supercond. Sci. Technol. 2018, 31, 055004. [Google Scholar] [CrossRef]
- Godeke, A. A review of the properties of Nb3Sn and their variation with A15 composition, morphology and strain state. Supercond. Sci. Technol. 2006, 19, R68. [Google Scholar] [CrossRef]
- Popova, E.; Deryagina, I. Optimization of the Microstructure of Nb3Sn Layers in Superconducting Composites. Phys. Met. Metallog. 2018, 119, 1229–1235. [Google Scholar] [CrossRef]
- Xu, X. A review and prospects for Nb3Sn superconductor development. Supercond. Sci. 2017, 30, 093001. [Google Scholar] [CrossRef]
- Apollinari, G.; Prestemon, S.; Zlobin, A.V. Progress with high-field superconducting magnets for high energy colliders. Annu. Rev. Nucl. Part. Sci. 2015, 65, 355–377. [Google Scholar] [CrossRef]
- Zhang, X.; Peng, N.; Liu, T.; Zheng, R.; Xia, M.; Yu, H.; Chen, S.; Shui, M.; Shu, J. Reviews on niobium-based chaclcogenides for electrochemical energy storage devices: Application and progress. Nano Energy 2019, 65, 104049. [Google Scholar] [CrossRef]
- Li, Q.; Zhang, H.; Qi, Y.; Wang, J.; Li, J.; Niu, J. Antiviral effects of a niobium-substituted heteropolytungstate on hepatitis B virus-transgenic mice. Drug Dev. Res. 2019, 80, 1062–1070. [Google Scholar] [CrossRef]
- Kang, S.; Miao, R.; Guo, J.; Fu, J. Sustainable production of fuels and chemicals from bomass over niobium based catalyst: A review. Catal. Toda. 2021, 374, 61–76. [Google Scholar] [CrossRef]
- Yi, T.-F.; Sari, H.M.K.; Li, X.; Wang, F.; Zhu, Y.-R.; Hu, J.; Zhang, J.; Li, X. A review of niobium oxides-based nanocomposites for lithium-ion batteries, sodium-ion batteries and supercapacitors. Nano Energy 2021, 85, 105955. [Google Scholar] [CrossRef]
- Yang, G.; Zhao, X.; Liao, F.; Cheng, Q.; Mao, L.; Fa, H.; Chen, L. Recent progress and applications of niobium-based nanomaterials and their composites for supercapacitors and hybrid ion capacitors. Sustain. Energy Fuels 2021, 5, 3039–3083. [Google Scholar] [CrossRef]
- Nunes, B.N.; Lopes, O.F.; Patrocinio, A.O.T.; Bahnemann, D.W. Recent Advances in niobium-based materials for potocatalytic solar fuel production. Catalysts 2020, 10, 126. [Google Scholar] [CrossRef]
- Islam, A.; Teo, S.H.; Taufiq-Yap, Y.H.; Vo, D.-V.N.; Awual, M.R. Towards the robust hydrogen (H2) fuel production with niobium complexes—A review. J. Clean. Prod. 2021, 318, 128439. [Google Scholar] [CrossRef]
- Fernandes, S.L.; Albano, L.G.S.; Affonço, L.J.; Silva, J.H.D.d.; Longo, E.; Graeff, C.F.d.O. Exploring the properties of niobium oxide films for electron transport layers in perovskite solar cells. Front. Chem. 2019, 7, 50. [Google Scholar] [CrossRef] [PubMed]
- Guo, Z.; Zhao, S.; Liu, A.; Kamata, Y.; Teo, S.; Yang, S.; Xu, Z.; Hayase, S. Niobium Incorporation into CsPbI2Br for Stable and Efficient All-Inorganic Perovskite Solar Cells. ACS Appl. Mater. Interfaces 2019, 11, 19994–20003. [Google Scholar] [CrossRef]
- Yan, L.; Rui, X.; Chen, G.; Xu, W.; Zou, G.; Luo, H. Recent advances in nanostructured Nb-based for eletrochemical energy storage. Nanoscale 2016, 8, 8443–8465. [Google Scholar] [CrossRef]
- Ding, H.; Song, Z.; Zhang, H.; Li, X. Niobium-based oxide anodes toward fast and safe energy storage: A review. Mater. Today Nano 2020, 11, 100082. [Google Scholar] [CrossRef]
- Han, X.; Meng, Q.; Wan, X.; Sun, B.; Zhang, Y.; Shen, B.; Gao, J.; Ma, Y.; Zuo, P.; Lou, S. Intercalation Pseudocapacitive Electrochemistry of Nb-based Oxides for Fast Charging of LithiumIon Batteries. Nano Energy 2020, 81, 105635. [Google Scholar]
- Falanga, A.; Laheurte, P.; Vahabi, H.; Tran, N.; Khamseh, S.; Saeidi, H.; Khodadadi, M.; Zarrintaj, P.; Saeb, M.R.; Mozafari, M. Niobium treated titanium implants with improved cellular and molecular activities at the tissue-implant interface. Materials 2019, 12, 3861. [Google Scholar] [CrossRef]
- Senocak, T.C.; Ezirmik, K.V.; Aysin, F.; Ozek, N.S.; Cengiz, S. Niobium-oxynitride coatings for biomedical applications: Its antibacterial effects and in-vitro cytotoxicity. Mater. Sci. Eng. C 2021, 120, 111662. [Google Scholar] [CrossRef]
- Miao, Z.; Huang, D.; Wang, Y.; Li, W.J.; Fan, L.; Wang, J.; Ma, Y.; Zhao, Q.; Zha, Z. Safe by design exfoliation of niobium diselenide atomic crystals as a theory-oriented 2D nanoagent from anti-inflamation to antitumor. Adv. Funct. Mater. 2020, 30, 2001593. [Google Scholar] [CrossRef]
- Thomadaki, H.; Lymberopoulou-Karaliota, A.; Maniatakou, A.; Scorilas, A. Synthesis, spectroscopic study and anticancer activity of a water soluble Nb(V) peroxo complex. J. Inorg. Biochem. 2011, 105, 155–163. [Google Scholar] [CrossRef]
- Pereira-Maia, E.C.; Souza, I.P.; Nunes, K.J.; Castro, A.A.; Ramalho, T.C.; Steffler, F.; Duarte, H.A.; Pacheli, A.; Chagas, P.; Oliveira, L.C. Peroxoniobium inhibits leukemia cell growth. RSC Adv. 2018, 8, 10310–10313. [Google Scholar] [PubMed]
- Esteves, A.; Oliveira, L.C.; Ramalho, T.C.; Goncalves, M.; Anastacio, A.S.; Carvalho, H.W. New materials based on modified synthetic Nb2O5 as photocatalyst for oxidation of organic contaminants. Catal. Commun. 2008, 10, 330–332. [Google Scholar] [CrossRef]
- Prado, A.G.; Bolzon, L.B.; Pedroso, C.P.; Moura, A.O.; Costa, L.L. Nb2O5 as efficient and recyclable photocatalyst for indigo carmine degradation. Appl. Catal. B 2008, 82, 219–224. [Google Scholar] [CrossRef]
- Lopes, O.F.; Paris, E.C.; Ribeiro, C. Synthesis of Nb2O5 nanoparticles throught the oxidante peroxide method applied to organic pollutant photodegradation: A mechanistic study. Appl. Catal. B 2014, 144, 800–808. [Google Scholar] [CrossRef]
- Do Prado, N.T.; Oliveira, L.C. Nanostructured niobium oxide synthetized by a new route using hydrothermal tretment: High efficiency in oxidation reactions. Appl. Catal. B 2017, 205, 481–488. [Google Scholar] [CrossRef]
- Du, L.; Long, Z.; Wen, H.; Ge, W.; Zhou, Y.; Wang, J. (Ionic liquid)-derived morphology control of Nb2O5 materials and their photocatalytic properties. CrystEngComm 2014, 16, 9096–9103. [Google Scholar] [CrossRef]
- Liu, H.; Gao, N.; Liao, M.; Fang, X. Hexagonal-like Nb2O5 Nanoplates-Based Photodetectors and Photocatalyst with High Performances. Sci. Rep. 2015, 5, 7716. [Google Scholar] [CrossRef]
- Zhao, Y.; Eley, C.; Hu, J.; Foord, J.S.; Ye, L.; He, H.; Tsang, S.C.E. Shape-Dependent Acidity and Photocatalytic Activity of Nb2O5 Nanocrystals with an Active TT (001) Surface. Angew. Chem. Int. Ed. 2012, 51, 3846–3849. [Google Scholar] [CrossRef] [PubMed]
- Wolski, L.; Walkowiak, A.; Ziolek, M. Photo assisted activation of H2O2 over Nb2O5—The role of active oxygen species on niobia surface in photocatalytic discoloration of rhodamine B. Mater. Res. Bull. 2019, 118, 110530. [Google Scholar] [CrossRef]
- Rezende, C.C.; Neto, J.L.; Silva, A.C.; Lima, V.M.; Pereira, M.C.; Oliveira, L.C. Synthesis and characterization of iron/niobium composites: Catalyst for dye wastewater treatments. Catal. Commun. 2012, 26, 209–213. [Google Scholar] [CrossRef]
- Lopes, O.F.; Mendonça, V.R.; Silva, F.B.; Paris, E.C.; Ribeiro, C. Óxidos de nióbio: Uma visão sobre a síntese do Nb2O5 e sua aplicação em fotocatálise heterogênea. Quim. Nova 2015, 38, 106–117. [Google Scholar]
- Oliveira, L.; Gonçalves, M.; Guerreiro, M.; Ramalho, T.; Fabris, J.; Pereira, M.; Sapag, K. A new catalyst material based on niobia/iron oxide composite on the oxidation of organic contaminants in water via heterogeneous Fenton mechanist. Appl. Catal. A 2007, 316, 117–124. [Google Scholar] [CrossRef]
- Wolski, L.; Ziolek, M. Insight in to pathways of methylene blue degradation with H2O2 overmono and bimetallic Nb, Zn oxides. Appl. Catal. B 2018, 224, 634–647. [Google Scholar] [CrossRef]
- Ziolek, M.; Sobczak, I.; Decyk, P.; Sobańska, K.; Pietrzyk, P.; Sojka, Z. Search for reactive intermediates in catalytic oxidation with hydrogen peroxide over amorphous niobium (V) and tantalum (V) oxides. Appl. Catal. B 2015, 164, 288–296. [Google Scholar] [CrossRef]
- Oliveira, L.C.A.; Silva, A.C.; Pereira, M.C. Peroxo-niobium oxyhydroxide sensitized TiO2 crystals. RSC Adv. 2015, 5, 44567–44570. [Google Scholar] [CrossRef]
- Hashemzadeh, F.; Rahimi, R.; Gaffarinejad, A.; Jalalat, V.; Safapour, S. Photocatalytic treatment of wastewater containing Rhodamine B dye via Nb2O5 nanoparticles: Effect of operational key parameters. Desalin. Water Treat. 2015, 56, 181–193. [Google Scholar] [CrossRef]
- Wolski, L.; El-Roz, M.; Daturi, M.; Nowaczyk, G.; Ziolek, M. Insight in to methanol photooxidation over mono-(Au, Cu) and bimetallic (AuCu) catalysts supported on niobium pentoxide—An operando IR study. Appl. Catal. 2019, 258, 117978. [Google Scholar] [CrossRef]
- Marszewski, M.; Cao, S.; Yu, J.; Jaroniec, M. Semiconductor based photocatalytic CO2 conversion. Mater. Horiz. 2015, 2, 261–278. [Google Scholar] [CrossRef]
- Zeng, S.; Kar, P.; Thakur, U.K.; Shankar, K. A review on photocatalytic CO2 reduction using perovskite oxide nanomaterials. Nanotechnology 2018, 29, 052001. [Google Scholar] [CrossRef] [PubMed]
- Siritanaratkul, B.; Maeda, K.; Hisatomi, T.; Domen, K. Synthesis and photocatalytic activity of perovskite niobium oxynitrides with wide visible light absorption bands. ChemSusChem 2011, 4, 74–78. [Google Scholar] [CrossRef]
- Ahmed, M.; Xinxin, G. A review of metal oxynitrides for photocatalysis. Inorg. Chem. Front. 2016, 3, 578–590. [Google Scholar] [CrossRef]
- Lima, A.L.; Batalha, D.C.; Fajardo, H.V.; Rodrigues, J.L.; Pereira, M.C.; Silva, A.C. Room temperature selective conversion of aniline to azoxybenzene over an amorphous niobium oxyhydroxide supported on δ-FeOOH. Catal. Today 2018, 344, 118–123. [Google Scholar] [CrossRef]
- Coelho, J.V.; Guedes, M.; Mayrink, G.; Souza, P.P.; Pereira, M.C.; Oliveira, L.C. Generating active and non-selective oxidizing species by previous treatment of niobium doped mesoporous silica with hydrogen peroxide. New J. Chem. 2015, 39, 5316–5321. [Google Scholar] [CrossRef]
- Bozzi, A.; Lavall, R.; Souza, T.; Pereira, M.; De Souza, P.; De Abreu, H.; De Oliveira, A.; Ortega, P.; Paniago, R.; Oliveira, L. An effective approach for modifying carbonaceus materials with niobium single sites to improve their catalytic properties. Dalton Trans. 2015, 44, 19956–19965. [Google Scholar] [CrossRef]
- Silva, A.C.; Cepera, R.M.; Pereira, M.C.; Lima, D.Q.; Fabris, J.D.; Oliveira, L.C. Heterogeneus catalyst based on peroxo-niobium complexes immobilized over iron oxide for organic oxidation in water. Appl. Catal. B 2011, 107, 237–244. [Google Scholar] [CrossRef]
- Oliveira, L.C.; Gonçalves, M.; Oliveira, D.Q.; Guarieiro, A.L.; Pereira, M.C. Síntese e propriedades catalíticas em reações de oxidação de goethitas contendo nióbio. Quim. Nova 2007, 30, 925. [Google Scholar] [CrossRef]
- Tanabe, K.; Okazaki, S. Various reactions catalyzed by niobium compounds and materials. Appl. Catal. A 1995, 133, 191–218. [Google Scholar] [CrossRef]
- Nowak, I.; Ziolek, M. Niobium compounds: Preparation, characterization, and application in heterogeneus catalysis. Chem. Rev. 1999, 99, 3603–3624. [Google Scholar] [CrossRef] [PubMed]
- Ziolek, M. Niobium containing catalysts: State of the art. Catal. Today 2003, 78, 47–64. [Google Scholar] [CrossRef]
- Tanabe, K. Catalytic application of niobium compounds. Catal. Today 2003, 78, 65–77. [Google Scholar] [CrossRef]
- Andrade, K.Z.; Rocha, R.O. Recent applications of niobium catalysts in organic synthesis. Mini-Rev. Org. Chem. 2006, 3, 271–280. [Google Scholar] [CrossRef]
- Guerrero-Perez, M.O.; Banares, M.A. Niobium as promoting agent for selective oxidation reaction. Catal. Today 2009, 142, 245–251. [Google Scholar] [CrossRef]
- Nowak, I. Frontiers in mesoporous molecular sieves containing niobium. Catal. Today 2012, 192, 80–88. [Google Scholar] [CrossRef]
- Zhao, Y.; Zhou, X.; Ye, L.; Chi Edman Tsang, S. Nanostructured Nb2O5 catalyst. Nano Rev. 2012, 3, 17631. [Google Scholar] [CrossRef]
- Nico, C.; Monteiro, T.; Graça, M.P. Niobium oxides and niobates physical properties: Review and prospects. Prog. Mater. Sci. 2016, 80, 1–37. [Google Scholar] [CrossRef]
- Yan, W.; Zhang, G.; Yan, H.; Liu, Y.; Chen, X.; Feng, X.; Jin, X.; Yang, C. Liquid-phase epoxidation of light olefins over W and Nb nanocatalysts. ACS Sustain. Chem. Eng. 2018, 6, 4423–4452. [Google Scholar] [CrossRef]
- Wawrzynczak, A.; Nowak, I.; Feliczak-Guzik, A. Toward exploiting on behavior of niobium containing mesoporous silicates vs. polyoxometalates in catalysis. Front. Chem. 2018, 6, 560. [Google Scholar] [CrossRef] [PubMed]
- Siddiki, S.H.; Rashed, M.N.; Ali, M.A.; Toyao, T.; Hirunsit, P.; Ehara, M.; Shimizu, K.I. Lewis acid catalysis of Nb2O5 for reactions of carboxylic acid derivates in the presence of basic inhibitors. ChemCatChem 2019, 11, 383–396. [Google Scholar] [CrossRef]
- Möller, M.; Schröder, U. Hydrothermal production of furfural from xylose and xylan as model compounds for hemicelluloses. RSC Adv. 2013, 3, 22253–22260. [Google Scholar] [CrossRef]
- Zhou, C.-H.; Xia, X.; Lin, C.-X.; Tong, D.-S.; Beltramini, J. Catalytic conversion of lignocellulosic biomass to fine chemicals and fuels. Chem. Soc. Rev. 2011, 40, 5588–5617. [Google Scholar] [CrossRef]
- Corma, A.; Iborra, S.; Velty, A. Chemical routes for transformation of biomass into chemicals. Chem. Rev. 2007, 107, 2411–2502. [Google Scholar] [CrossRef]
- Mika, L.T.; Csefalvay, E.; Nemeth, A. Catalytic conversion of carbohydrates to initial of platform chemical: Chemistry and sustainability. Chem. Rev. 2017, 118, 505–613. [Google Scholar] [CrossRef]
- Chen, H.; Liu, J.; Chang, X.; Chen, D.; Xue, Y.; Liu, P.; Lin, H.; Han, S. A review on the pretreatment of lignocellulose for high value chemicals. Fuel Process. Technol. 2017, 160, 196–206. [Google Scholar] [CrossRef]
- Xi, J.; Zhang, Y.; Xia, Q.; Liu, X.; Ren, J.; Lu, G.; Wang, Y. Direct conversion of cellulose into sorbitol with yeld by a novel mesoporous niobium phosphate supported ruthenium bifunctional catalyst. Appl. Catal. A 2013, 459, 52–58. [Google Scholar] [CrossRef]
- Xi, J.; Ding, D.; Shao, Y.; Liu, X.; Lu, G.; Wang, Y. Production of ethylene glycol and its monoether derivative from cellulose. ACS Sustain. Chem. Eng. 2014, 2, 2355–2362. [Google Scholar] [CrossRef]
- Zhang, Y.; Wang, J.; Li, X.; Liu, X.; Xia, Y.; Hu, B.; Lu, G.; Wang, Y. Direct conversion of biomass-derived carbohydrates to 5-hydroxymethylfurural over water-tolerant niobium-based catalysts. Fuel 2015, 139, 301–307. [Google Scholar] [CrossRef]
- Gromov, N.V.; Taran, O.P.; Semeykina, V.S.; Danilova, I.G.; Pestunov, A.V.; Parkhomchuk, E.V.; Parmon, V.N. Solid Acidic NbOx/ZrO2 Catalysts for Transformation of Cellulose to Glucose and 5-Hydroxymethylfurfural in Pure Hot Water. Catal. Lett. 2017, 147, 1485–1495. [Google Scholar] [CrossRef]
- Kawamura, K.; Yasuda, T.; Hatanaka, T.; Hamahiga, K.; Matsuda, N.; Ueshima, M.; Nakai, K. In situ UV–VIS spectrophotometry within the second time scale as a research tool for solid-state catalyst and liquid-phase reactions at high temperatures: Its application to the formation of HMF from glucose and cellulose. Chem. Eng. J. 2017, 307, 1066–1075. [Google Scholar] [CrossRef]
- Peng, K.; Li, X.; Liu, X.; Wang, Y. Hydrothermally stable Nb-SBA-15 catalysts applied in carbohydrate conversion to 5-hydroxymethyl furfural. Mol. Catal. 2017, 441, 72–80. [Google Scholar] [CrossRef]
- Li, X.; Peng, K.; Xia, Q.; Liu, X.; Wang, Y. Acid-Free Conversion of Cellulose to 5-(Hydroxymethyl)furfural Catalyzed by Hot Seawater. Chem. Eng. J. 2018, 332, 528–536. [Google Scholar] [CrossRef]
- Verziu, M.; Serano, M.; Jurca, B.; Parvulescu, V.I.; Coman, S.M.; Scholz, G.; Kemnitz, E. Catalytic features of Nb-based nanoscopic inorganic fluorides for an efficient one-pot conversion of cellulose to lactic acid. Catal. Today 2018, 306, 102–110. [Google Scholar] [CrossRef]
- Coman, S.M.; Verziu, M.; Tirsoaga, A.; Jurca, B.; Teodorescu, C.; Kuncser, V.; Parvulescu, V.I.; Scholz, G.; Kemnitz, E. NbF5–AlF3 Catalysts: Design, Synthesis, and Application in Lactic Acid Synthesis from Cellulose. ACS Catal. 2015, 5, 3013–3026. [Google Scholar] [CrossRef]
- Ding, D.; Xi, J.; Wang, J.; Liu, X.; Lu, G.; Wang, Y. Production of methyl levulinate from cellulose: Selectivity and mechanism study. Green Chem. 2015, 17, 4037–4044. [Google Scholar] [CrossRef]
- Opris, C.; Cojocaru, B.; Gheorghe, N.; Tudorache, M.; Coman, S.M.; Parvulescu, V.I.; Duraki, B.; Krumeich, F.; van Bokhoven, J.A. Lignin fragmentation over magnetically recyclable composite Co@Nb2O5@Fe3O4 catalysts. J. Catal. 2016, 339, 209–227. [Google Scholar] [CrossRef]
- Wiesfeld, J.J.; Peršolja, P.; Rollier, F.A.; Elemans-Mehring, A.M.; Hensen, E.J. Cellulose conversion to ethylene glycol by tungsten oxide-based catalysts. Mol. Catal. 2019, 473, 110400. [Google Scholar] [CrossRef]
- Furusato, S.; Takagaki, A.; Hayashi, S.; Miyazato, A.; Kikuchi, R.; Oyama, S.T.J.C. Mechanochemical Decomposition of Crystalline Cellulose in the Presence of Protonated Layered Niobium Molybdate Solid Acid Catalyst. ChemSusChem 2018, 11, 888–896. [Google Scholar] [CrossRef]
- Xia, Q.; Chen, Z.; Shao, Y.; Gong, X.; Wang, H.; Liu, X.; Parker, S.F.; Han, X.; Yang, S.; Wang, Y. Direct hydrodeoxygenation of raw woody biomass into liquid alkanes. Nat. Commun. 2016, 7, 11162. [Google Scholar] [CrossRef] [PubMed]
- Sun; Long, X.; He, H.; Xia, C.; Li, F. Conversion of cellulose into isosorbide over bifunctional ruthenium nanoparticles supported on niobium phosphate. ChemSusChem 2013, 6, 2190–2197. [Google Scholar] [CrossRef] [PubMed]
- Zhu, Y.; Durand, M.; Molinier, V.; Aubry, J.-M. Isosorbide as a novel polar head derived rom renewable resources, application to the design of short-chain amphiphiles with hydrotropic properties. Green Chem. 2008, 10, 532–540. [Google Scholar] [CrossRef]
- Wang, X.; Song, Y.; Huang, L.; Wang, H.; Huang, C.; Li, C. Tin modified Nb2O5 as an efficient solid acid catalyst for the catalytic conversion of triose sugars to lactic acid. Catal. Sci. Technol. 2019, 9, 1669–1679. [Google Scholar] [CrossRef]
- Artz, J.; Palkovits, R. Cellulose-based platform chemical: The path to application. Curr. Opin. Green Sustain. Chem. 2018, 14, 14–18. [Google Scholar] [CrossRef]
- Van Putten, R.-J.; Van Der Waal, J.C.; De Jong, E.; Rasrendra, C.B.; Heeres, H.J.; de Vries, J.G. Hydroxymethylfurfural, a versatile platform chemical made from renewable resources. Chem. Rev. 2013, 113, 1499–1597. [Google Scholar] [CrossRef]
- Kong, Q.-S.; Li, X.-L.; Xu, H.-J.; Fu, Y. Conversion of 5-hydroxymethylfurfural to chemicals: A review of catalytic routes and product applications. Fuel Process. Technol. 2020, 209, 106528. [Google Scholar] [CrossRef]
- El Fergani, M.; Candu, N.; Coman, S.; Parvulescu, V. Nb-Based Zeolites: Efficient bi-Functional Catalysts for the One-Pot Synthesis of Succinic Acid from Glucose. Molecules 2017, 22, 2218. [Google Scholar] [CrossRef]
- Duan, Y.; Zheng, M.; Li, D.; Deng, D.; Ma, L.-F.; Yang, Y. Conversion of HMF to methyl cyclopentenolone by the Pd/Nb2O5 and Ca-Al catalysts via two-steps procedure. Green Chem. 2017, 19, 5103–5113. [Google Scholar] [CrossRef]
- Jia, S.; Ma, J.; Wang, D.; Wang, K.; Zheng, Q.; Song, C.; Guo, X. Fast and efficient upgrading of levulinic acid into long-chain alkyl levulinate fuel additives with a tungsten salt catalyst at low temperature. Sustain. Energy Fuels 2020, 4, 2018–2025. [Google Scholar] [CrossRef]
- Yan, K.; Jarvis, C.; Gu, J.; Yan, Y. Production and catalytic transformation of levulinic acid: A platform for speciality chemicals and fuels. Renew. Sustain. Energy Rev. 2015, 51, 986–997. [Google Scholar] [CrossRef]
- Filho, J.B.; Rios, R.D.; Bruziquesi, C.G.; Ferreira, D.C.; Victoria, H.F.; Krambrock, K.; Pereira, M.C.; Oliveira, L.C. A promising approach to transform levulinic acid into γ-valerolactone using niobic acid photocatalyst and the accumulated electron transfer technique. Appl. Catal. B 2021, 285, 119814. [Google Scholar] [CrossRef]
- Candu, N.; El Fergani, M.; Verziu, M.; Cojocaru, B.; Jurca, B.; Apostol, N.; Teodorescu, C.; Parvulescu, V.I.; Coman, S.M. Efficient glucose dehydration to HMF onto Nb-BEA catalysts. Catal. Today 2019, 325, 109–116. [Google Scholar] [CrossRef]
- Tang, X.; Zeng, X.; Li, Z.; Hu, L.; Sun, Y.; Liu, S.; Lei, T.; Lin, L. Production of γ-valerolactone from lignocellulosic biomass for sustainable fuels and chemicals supply. Renew. Sustain. Energy Rev. 2014, 40, 608–620. [Google Scholar] [CrossRef]
- Ding, D.; Wang, J.; Xi, J.; Liu, X.; Lu, G.; Wang, Y.J.G.C. High-yield production of levulinic acid from cellulose and its upgrading to γ-valerolactone. Green Chem. 2014, 16, 3846–3853. [Google Scholar] [CrossRef]
- Peng, L.; Lin, L.; Li, H.; Yang, Q. Conversion of carbohydrates biomass into levulinate esters using heterogeneous catalysts. Appl. Energy 2011, 88, 4590–4596. [Google Scholar] [CrossRef]
- Cao, D.; Cai, W.; Tao, W.; Zhang, S.; Wang, D.; Huang, D. Lactic Acid Production from Glucose Over a Novel Nb2O5 Nanorod Catalyst. Catal. Lett. 2017, 147, 926–933. [Google Scholar] [CrossRef]
- Wang, X.; Song, Y.; Huang, C.; Wang, B. Crystalline niobium phosphates with water-tolerant and adjustable Lewis acid sites for the production of lactic acid from triose sugars. Sustain. Energy Fuels 2018, 2, 1530–1541. [Google Scholar] [CrossRef]
- Opris, C.; Cojocaru, B.; Gheorghe, N.; Tudorache, M.; Coman, S.M.; Parvulescu, V.I.; Duraki, B.; Krumeich, F.; van Bokhoven, J.A. Lignin Fragmentation onto Multifunctional Fe3O4@Nb2O5@Co@Re Catalysts: The Role of the Composition and Deposition Route of Rhenium. ACS Catal. 2017, 7, 3257–3267. [Google Scholar] [CrossRef]
- Foo, G.; Wei, D.; Sholl, D.S.; Sievers, C. Role of Lewis and Brønsted Acid Sites Dehydration of Glycerol over Niobia. ACS Catal. 2014, 4, 3180–3192. [Google Scholar] [CrossRef]
- Ma, D.; Lu, S.; Liu, X.; Guo, Y.; Wang, Y. Depolymerization and hydrodeoxygenation of lignin to aromatic hydrocarbons with a Ru catalyst on a variety of Nb-based supports. Chin. J. Catal. 2019, 40, 609–617. [Google Scholar] [CrossRef]
- Guo, T.; Li, X.; Liu, X.; Guo, Y.; Wang, Y. Catalytic Transformation of Lignocellulosic Biomass into Arenes, 5-Hydroxymethylfurfural, and Furfural. ChemSusChem 2018, 11, 2758–2765. [Google Scholar] [CrossRef] [PubMed]
- Jin, S.; Chen, X.; Li, C.; Tsang, C.W.; Lafaye, G.; Liang, C. Hydrodeoxygenation of Lignin–derived Diaryl Ethers to Aromatics and Alkanes Using Nickel on Zr–doped Niobium Phosphate. ChemistrySelect 2016, 1, 4949–4956. [Google Scholar] [CrossRef]
- Shao, Y.; Xia, Q.; Dong, L.; Liu, X.; Han, X.; Parker, S.F.; Cheng, Y.; Daemen, L.L.; Ramirez-Cuesta, A.J.; Yang, S. Selective production of arenes via direct lignin upgrading over a niobium-based catalyst. Nat. Commun. 2017, 8, 16104. [Google Scholar] [CrossRef]
- Chen, L.; Korányi, T.I.; Hensen, E.J. Transition metal (Ti, Mo, Nb, W) Nitride catalysts for lignin depolymerization. Chem. Commun. 2016, 52, 9375–9378. [Google Scholar] [CrossRef]
- Xin, Y.; Jing, Y.; Dong, L.; Liu, X.; Guo, Y.; Wang, Y. Selective production of indane and its derivatives from lignin over a modified niobium-based catalyst. Chem. Commun. 2019, 55, 9391–9394. [Google Scholar] [CrossRef]
- Das, L.; Kolar, P.; Sharma-Shivappa, R.; Classen, J.J.; Osborne, J.A. Catalytic valorization of lignin using niobium oxide. Waste Biomass Valoriz. 2017, 8, 2673–2680. [Google Scholar] [CrossRef]
- Jin, S.; Guan, W.; Tsang, C.-W.; Yan, D.Y.; Chan, C.-Y.; Liang, C. Enhanced hydroconversion of lignin-derived oxygen-containing compounds over bulk nickel catalysts though Nb2O5 modification. Catal. Lett. 2017, 147, 2215–2224. [Google Scholar] [CrossRef]
- Xi, J.; Zhang, Y.; Ding, D.; Xia, Q.; Wang, J.; Liu, X.; Lu, G.; Wang, Y. Catalytic production of isosorbide from cellulose over mesoporous niobium phosphate based heterogeneous catalysts via a sequential process. Appl. Catal. A 2014, 469, 108–115. [Google Scholar] [CrossRef]
- Shao, Y.; Xia, Q.; Liu, X.; Lu, G.; Wang, Y. Pd/Nb2O5/SiO2 Catalyst for the Direct Hydrodeoxygenation of Biomass-Related Compounds to Liquid Alkanes under Mild Conditions. ChemSusChem 2015, 8, 1761–1767. [Google Scholar] [CrossRef] [PubMed]
- Ansanay, Y.; Kolar, P.; Sharma-Shivappa, R.R.; Cheng, J.J. Niobium oxide catalyst for delignification of switchgrass for fermentable sugar production. Ind. Crop. Prod. 2014, 52, 790–795. [Google Scholar] [CrossRef]
- Ma, R.; Guo, M.; Lin, K.; Hebert, V.R.; Zhang, J.; Wolcott, M.P.; Quintero, M.; Ramasamy, K.K.; Chen, X.; Zhang, X. Peracetic acid depolymerization of biorefinery lignin for production of selective monomeric phenolic compounds. Chem. Eur. J. 2016, 22, 10884–10891. [Google Scholar] [CrossRef]
- Xin, Y.; Dong, L.; Guo, Y.; Liu, X.; Hu, Y.; Wang, Y. Correlation of the catalytic performance with Nb2O5 surface properties in the hydrodeoxygenation of lignin model compound. J. Catal. 2019, 375, 202–212. [Google Scholar] [CrossRef]
- Gonçalves, J.A.; Ramos, A.L.D.; Rocha, L.L.; Domingos, A.K.; Monteiro, R.S.; Peres, J.S.; Furtado, N.C.; Taft, C.A.; Aranda, D.A. Niobium oxide solid catalyst: Esterification of fatty acids and modeling for biodiesel production. J. Phys. Org. Chem. 2011, 24, 54–64. [Google Scholar] [CrossRef]
- Xia, Q.; Zhuang, X.; Li, M.M.-J.; Peng, Y.-K.; Liu, G.; Wu, T.-S.; Soo, Y.-L.; Gong, X.-Q.; Wang, Y.; Tsang, S.C.E. Cooperative catalysis for the direct hydrodeoxygenation of vegetable oils into diesel-range alkanes over Pd/NbOPO4. Chem. Commun. 2016, 52, 5160–5163. [Google Scholar] [CrossRef]
- Scaldaferri, C.A.; Pasa, V.M.D. Production of jet fuel and green diesel range biohydrocarbons by hydroprocessing of soybean oil over niobium phosphate catalyst. Fuel 2019, 245, 458–466. [Google Scholar] [CrossRef]
- Scaldaferri, C.A.; Pasa, V.M.D. Hydrogen-free process to convert lipids into bio-jet fuel and green diesel over niobium phosphate catalyst in one-step. Chem. Eng. J. 2019, 370, 98–109. [Google Scholar] [CrossRef]
- Cattaneo, S.; Stucchi, M.; Villa, A.; Pratti, L. Gold Catalysts for the Selective Oxidation of Biomass-Derived Products. ChemCatChem 2019, 9, 309–323. [Google Scholar] [CrossRef]
- Carlini, C.; Giuttari, M.; Galletti, A.R.; Sbrana, G.; Armaroli, T.; Busca, G. Selective saccharides dehydration to 5-hydroxymethyl-2-furaldehyde by heterogeneous niobium catalysts. Appl. Catal. A 1999, 183, 295–302. [Google Scholar] [CrossRef]
- Carniti, P.; Gervasini, A.; Marzo, M. Silica–niobia oxides as viable acid catalysts in water: Effective vs. intrinsic acidity. Catal. Today 2010, 152, 42–47. [Google Scholar] [CrossRef]
- Otomo, R.; Yokoi, T.; Kondo, J.N.; Tatsumi, T. Dealuminated Beta zeolite as effective bifunctional catalyst for direct transformation of glucose to 5-hydroxymethylfurfural. Appl. Catal. A 2014, 470, 318–326. [Google Scholar] [CrossRef]
- Xiong, H.; Wang, T.; Shanks, B.H.; Datye, A.K. Tuning the Location of Niobia/Carbon Composites in a Biphasic Reaction: Dehydration of D-Glucose to 5-Hydroxymethylfurfural. Catal. Lett. 2013, 143, 509–516. [Google Scholar] [CrossRef]
- Yue, C.; Li, G.; Pidko, E.A.; Wiesfeld, J.J.; Rigutto, M.; Hensen, E.J. Dehydration of Glucose to 5-Hydroxymethylfurfural Using Nb-doped Tungstite. ChemSusChem 2016, 9, 2421–2429. [Google Scholar] [CrossRef]
- Wiesfeld, J.J.; Sommerdijk, N.A.; Hensen, E.J. Early transition metal doped tungstite as an effective catalyst for glucose upgrading to 5-hydroxymethylfurfural. Catal. Lett. 2018, 148, 3093–3101. [Google Scholar] [CrossRef]
- Guo, B.; Ye, L.; Tang, G.; Zhang, L.; Yue, B.; Tsang, S.C.E.; He, H. Effect of Brønsted/Lewis Acid Ratio on Conversion of Sugars to 5-Hydroxymethylfurfural over Mesoporous Nb and Nb-W Oxides. Chin. J. Chem. 2017, 35, 1529–1539. [Google Scholar] [CrossRef]
- Guo, J.; Zhu, S.; Cen, Y.; Qin, Z.; Wang, J.; Fan, W. Ordered mesoporous Nb-W oxides for the conversion of glucose to fructose, mannose and 5-hydroxymethylfurfural. Appl. Catal. B 2017, 200, 611–619. [Google Scholar] [CrossRef]
- Nakajima, K.; Baba, Y.; Noma, R.; Kitano, M.; Kondo, J.N.; Hayashi, S.; Hara, M. Nb2O5·nH2O as a Heterogeneous Catalyst with Water-Tolerant Lewis Acid Sites. J. Am. Chem. Soc. 2011, 133, 4224–4227. [Google Scholar] [CrossRef]
- Yang, F.; Liu, Q.; Bai, X.; Du, Y. Conversion of biomass into 5-hydroxymethylfurfural using solid acid catalyst. Bioresour. Technol. 2011, 102, 3424–3429. [Google Scholar] [CrossRef]
- Catrinck, M.N.; Ribeiro, E.S.; Monteiro, R.S.; Ribas, R.M.; Barbosa, M.H.; Teófilo, R.F. Direct conversion of glucose to 5-hydroxymethylfurfural using a mixture of niobic acid and niobium phosphate as a solid acid catalyst. Fuel 2017, 210, 67–74. [Google Scholar] [CrossRef]
- Holm, M.S.; Saravanamurugan, S.; Taarning, E. Conversion of sugars to lactic acid derivatives using heterogeneous zeotype catalysts. Science 2010, 328, 602. [Google Scholar] [CrossRef] [PubMed]
- Clippel, F.; Dusselier, M.; Van Rompaey, R.; Vanelderen, P.; Dijkmans, J.; Makshina, E.; Giebeler, L.; Oswald, S.; Baron, G.; Denayer, J.F.M.; et al. Fast and Selective Sugar Conversion to Alkyl Lactate and Lactic Acid with Bifunctional Carbon–Silica Catalysts. J. Am. Chem. Soc. 2012, 134, 10089. [Google Scholar] [CrossRef]
- Hu, X.; Shi, Y.; Zhang, P.; Miao, M.; Zhang, T.; Jiang, B. d-Mannose: Properties, Production, and Applications: An Overview. Compr. Rev. Food Sci. Food Saf. 2016, 15, 773–785. [Google Scholar] [CrossRef]
- Takagaki, A.; Furusato, S.; Kikuchi, R.; Oyama, S.T. Efficient Epimerization of Aldoses Using Layered Niobium Molybdates. ChemSusChem 2015, 8, 3769–3772. [Google Scholar] [CrossRef]
- Liu, Y.; Li, H.; He, J.; Zhao, W.; Yang, T.; Yang, S. Catalytic conversion of carbohydrates to levulinic acid with mesoporous niobium contained oxides. Catal. Commun. 2017, 93, 20–24. [Google Scholar] [CrossRef]
- Martínez, J.J.; Silva, D.F.; Aguilera, E.X.; Rojas, H.A.; Brijaldo, M.H.; Passos, F.B.; Romanelli, G.P. Reductive amination of levulinic acid to different pyrrolidones on Ir/SiO2-SO3H: Elucidation of reaction mechanism. Catal. Lett. 2017, 147, 1765–1774. [Google Scholar] [CrossRef]
- Gao, D.-M.; Shen, Y.-B.; Zhao, B.; Liu, Q.; Nakanishi, K.; Chen, J.; Kanamori, K.; Wu, H.; He, Z.; Zeng, M. Macroporous niobium phosphate-supported magnesia catalysts for isomerization of glucose-to-fructose. ACS Sustain. Chem. Eng. 2019, 7, 8512–8521. [Google Scholar] [CrossRef]
- Mittal, N.; Nisola, G.M.; Chung, W.-J. Facile catalytic dehydration of fructose to 5-hydroxymethylfurfural by Niobium pentachloride. Tetrahedron Lett. 2012, 53, 3149–3155. [Google Scholar] [CrossRef]
- Stošić, D.; Bennici, S.; Rakić, V.; Auroux, A. CeO2-Nb2O5 mixed oxide catalysts: Preparation, characterization and catalytic activity in fructose dehydration reaction. Catal. Today 2012, 192, 160–168. [Google Scholar] [CrossRef]
- Ngee, E.L.S.; Gao, Y.; Chen, X.; Lee, T.M.; Hu, Z.; Zhao, D.; Yan, N. Sulfated Mesoporous Niobium Oxide Catalyzed 5-Hydroxymethylfurfural Formation from Sugars. Ind. Eng. Chem. Res. 2014, 53, 14225–14233. [Google Scholar] [CrossRef]
- Wang, F.; Wu, H.-Z.; Liu, C.-L.; Yang, R.-Z.; Dong, W.-S. Catalytic dehydration of fructose to 5-hydroxymethylfurfural over Nb2O5 catalyst in organic solvent. Carbohydr. Res. 2013, 368, 78–83. [Google Scholar] [CrossRef] [PubMed]
- Antonetti, C.; Melloni, M.; Licursi, D.; Fulignati, S.; Ribechini, E.; Rivas, S.; Parajó, J.C.; Cavani, F.; Galletti, A.M.R. Microwave-assisted dehydration of fructose and inulin to HMF catalyzed by niobium and zirconium phosphate catalysts. Appl. Catal. 2017, 206, 364–377. [Google Scholar] [CrossRef]
- Zhang, Y.; Wang, J.; Ren, J.; Liu, X.; Li, X.; Xia, Y.; Lu, G.; Wang, Y. Mesoporous niobium phosphate: An excellent solid acid for the dehydration of fructose to 5-hydroxymethylfurfural in water. Catal. Sci. Technol. 2012, 2, 2485–2491. [Google Scholar] [CrossRef]
- Prado, N.T.; Souza, T.E.; Machado, A.R.T.; Souza, P.P.; Monteiro, R.S.; Oliveira, L.C. Enhanced catalytic activity for fructose conversion on nanostructured niobium oxide after hydrothermal treatment: Effect of morphology and porous structure. J. Mol. Catal. A Chem. 2016, 422, 23–34. [Google Scholar] [CrossRef]
- Qiu, G.; Wang, X.; Huang, C.; Li, Y.; Chen, B. Niobium phosphotungstates: Excellent solid acid catalysts for the dehydration of fructose to 5-hydroxymethylfurfural under mild conditions. RSC Adv. 2018, 8, 32423–32433. [Google Scholar] [CrossRef]
- Gao, J.-L.; Gao, S.; Liu, C.-L.; Liu, Z.-T.; Dong, W.-S. Synthesis, characterization, and catalytic application of ordered mesoporous carbon–niobium oxide composites. Mater. Res. Bull. 2014, 59, 131–136. [Google Scholar] [CrossRef]
- Ji, T.; Li, Z.; Liu, C.; Lu, X.; Li, L.; Zhu, J. Niobium-doped TiO2 solid acid catalysts: Strengthened interfacial polarization, amplified microwave heating and enhanced energy efficiency of hydroxymethylfurfural production. Appl. Catal. B 2019, 243, 741–749. [Google Scholar] [CrossRef]
- Carvalho, E.G.; Rodrigues, F.A.; Monteiro, R.S.; Ribas, R.M.; da Silva, M.J. Experimental Design and Economic Analysis of 5-Hydroxymethylfurfural Synthesis from Fructose in Acetone-Water System Using Niobium Phosphate as Catalyst. Biomass Convers. Biorefin. 2018, 8, 635–646. [Google Scholar] [CrossRef]
- Xue, Z.; Cao, B.; Zhao, W.; Wang, J.; Yu, T.; Mu, T. Heterogeneous Nb-containing catalyst/N,N-dimethylacetamide–salt mixtures: Novel and efficient catalytic systems for the dehydration of fructose. RSC Adv. 2016, 6, 64338–64343. [Google Scholar] [CrossRef]
- Yang, T.; Li, W.; Su, M.; Liu, Y.; Liu, M. Production of furfural from xylose catalyzed by a novel calcium gluconate derived carbon solid acid in 1,4-dioxane. New J. Chem. 2020, 44, 7968–7975. [Google Scholar] [CrossRef]
- Gabriel, J.B.; Oliveira, V.; Souza, T.E.; Padula, I.; Oliveira, L.C.; Gurgel, L.V.; Bae, B.E.L.; Silva, A.C. New Approach to Dehydration of Xylose to 2-Furfuraldehyde Using a Mesoporous Niobium-Based Catalyst. ACS Omega 2020, 5, 21392–21400. [Google Scholar] [CrossRef] [PubMed]
- Nakajima, K.; Hirata, J.; Kim, M.; Gupta, N.K.; Murayama, T.; Yoshida, A.; Hiyoshi, N.; Fukuoka, A.; Ueda, W. Facile Formation of Lactic Acid from a Triose Sugar in Water over Niobium Oxide with a Deformed Orthorhombic Phase. ACS Catal. 2018, 8, 283–290. [Google Scholar] [CrossRef]
- Li, X.; Peng, K.; Liu, X.; Xia, Q.; Wang, Y. Comprehensive Understanding of the Role of Brønsted and Lewis Acid Sites in Glucose Conversion into 5-Hydromethylfurfural. ChemCatChem 2017, 9, 2739–2746. [Google Scholar] [CrossRef]
- Ordomsky, V.; Sushkevich, V.; Schouten, J.; Van Der Schaaf, J.; Nijhuis, T. Glucose dehydration to 5-hydroxymethylfurfural over phosphate catalysts. J. Catal. 2013, 300, 37–46. [Google Scholar] [CrossRef]
- Wolska, J.; Walkowiak, A.; Sobczak, I.; Wolski, L.; Ziolek, M. Gold-containing Beta zeolite in base-free glucose oxidation—The role of Au deposition procedure and zeolite dopants. Catal. Today 2021, 382, 42–60. [Google Scholar] [CrossRef]
- Gao, D.-M.; Zhao, B.; Liu, H.; Morisato, K.; Kanamori, K.; He, Z.; Zeng, M.; Wu, H.; Chen, J.; Nakanishi, K. Synthesis of a hierarchically porous niobium phosphate monolith by a sol–gel method for fructose dehydration to 5-hydroxymethylfurfural. Catal. Sci. Technol. 2018, 8, 3675–3685. [Google Scholar] [CrossRef]
- Wu, Q.; Yan, Y.; Zhang, Q.; Lu, J.; Yang, Z.; Zhang, Y.; Tang, Y. Catalytic Dehydration of Carbohydrates on In Situ Exfoliatable Layered Niobic Acid in an Aqueous System under Microwave Irradiation. ChemSusChem 2013, 6, 820–825. [Google Scholar] [CrossRef]
- Gupta, N.K.; Fukuoka, A.; Nakajima, K. Amorphous Nb2O5 as a Selective and Reusable Catalyst for Furfural Production from Xylose in Biphasic Water and Toluene. ACS Catal. 2017, 7, 2430–2436. [Google Scholar] [CrossRef]
- García-Sancho, C.; Rubio-Caballero, J.; Mérida-Robles, J.; Moreno-Tost, R.; Santamaría-González, J.; Maireles-Torres, P. Mesoporous Nb2O5 as solid acid catalyst for dehydration of d-xylose into furfural. Catal. Today 2014, 234, 119–124. [Google Scholar] [CrossRef]
- Vieira, J.L.; Almeida-Trapp, M.; Mithöfer, A.; Plass, W.; Gallo, J.M.R. Rationalizing the conversion of glucose and xylose catalyzed by a combination of Lewis and Brønsted acids. Catal. Today 2020, 344, 92–101. [Google Scholar] [CrossRef]
- Zhang, Z.; Zhang, G.; He, L.; Sun, L.; Jiang, X.; Yun, Z. Synthesis of niobium oxide nanowires by polyethylenimine as template at varying pH values. CrystEngComm 2014, 16, 3478–3482. [Google Scholar] [CrossRef]
- Moreno-Marrodan, C.; Barbaro, P.; Caporali, S.; Bossola, F. Low-Temperature Continuous-Flow Dehydration of Xylose over Water-Tolerant Niobia–Titania Heterogeneous Catalysts. ChemSusChem 2018, 11, 3649–3660. [Google Scholar] [CrossRef]
- García-Sancho, C.; Sádaba, I.; Moreno-Tost, R.; Mérida-Robles, J.; Santamaría-González, J.; López-Granados, M.; Maireles-Torres, P. Dehydration of xylose to furfural over MCM-41-supported niobium-oxide catalysts. ChemSusChem 2013, 6, 635–642. [Google Scholar] [CrossRef] [PubMed]
- Chen, B.; Li, F.; Yuan, G. Selective hydrodeoxygenation of 5-hydroxy-2(5H)-furanone to γ-butyrolactone over Pt/mesoporous solid acid bifunctional catalyst. RSC Adv. 2017, 7, 21145–21152. [Google Scholar] [CrossRef]
- Poskonin, V. Catalytic oxidation reactions of furan and hydrofuran compounds 9.* characteristics and synthetic possibilities of the reaction of furan with aqueous hydrogen peroxide in the presence of compounds of niobium (ii) and (v). Chem. Heterocycl. Comp. 2009, 45, 1177–1183. [Google Scholar] [CrossRef]
- García-Sancho, C.; Agirrezabal-Telleria, I.; Güemez, M.; Maireles-Torres, P. Dehydration of d-xylose to furfural using different supported niobia catalysts. Appl. Catal. B 2014, 152, 1–10. [Google Scholar] [CrossRef]
- Pholjaroen, B.; Li, N.; Wang, Z.; Wang, A.; Zhang, T. Dehydration of xylose to furfural over niobium phosphate catalyst in biphasic solvent system. J. Energy Chem. 2013, 22, 826–832. [Google Scholar] [CrossRef]
- Oliveira, H.S.; Resende, J.M.; Souza, P.P.; Patrício, P.S.; Oliveira, L.C. Synthetic Niobium Oxyhydroxide as a Bifunctional Catalyst for Production of Ethers and Allyl Alcohol from Waste Glycerol. J. Braz. Chem. Soc. 2017, 28, 2244–2253. [Google Scholar] [CrossRef]
- Sobczak, I.; Jagodzinska, K.; Ziolek, M. Glycerol oxidation on gold catalysts supported on group five metal oxides—A comparative study with other metal oxides and carbon based catalysts. Catal. Today 2010, 158, 121–129. [Google Scholar] [CrossRef]
- Sobczak, I.; Wolski, Ł. Au–Cu on Nb2O5 and Nb/MCF supports–surface properties and catalytic activity in glycerol and methanol oxidation. Catal. Today 2015, 254, 72–82. [Google Scholar] [CrossRef]
- Ziolek, M.; Decyk, P.; Sobczak, I.; Trejda, M.; Florek, J.; Klimas, H.G.W.; Wojtaszek, A. Catalytic performance of niobium species in crystalline and amorphous solids—Gas and liquid phase oxidation. Appl. Catal. A 2011, 391, 194–204. [Google Scholar] [CrossRef]
- Omata, K.; Matsumoto, K.; Murayama, T.; Ueda, W. Direct oxidative transformation of glycerol to acrylic acid over Nb-based complex metal oxide catalysts. Catal. Today 2016, 259, 205–212. [Google Scholar] [CrossRef]
- Kim, I.; Kim, J.; Lee, D. A comparative study on catalytic properties of solid acid catalysts for glycerol acetylation at low temperatures. Appl. Catal. B 2014, 148, 295–303. [Google Scholar] [CrossRef]
- Trejda, M.; Stawicka, K.; Dubinska, A.; Ziolek, M. Development of niobium containing acidic catalysts for glycerol esterification. Catal. Today 2012, 187, 129–134. [Google Scholar] [CrossRef]
- Silva, L.N.; Gonçalves, V.L.; Mota, C.J. Catalytic acetylation of glycerol with acetic anhydride. Catal. Commun. 2010, 11, 1036–1039. [Google Scholar] [CrossRef]
- Trejda, M.; Stawicka, K.; Ziolek, M. New catalysts for biodiesel additives production. Appl. Catal. B 2011, 103, 404–412. [Google Scholar] [CrossRef]
- Stawicka, K.; Trejda, M.; Ziolek, M. New phospho-silicate and niobo-phospho-silicate MCF materials modified with MPTMS—Structure, surface and catalytic properties. Microporous Mesoporous Mater. 2013, 181, 88–98. [Google Scholar] [CrossRef]
- Celdeira, P.A.; Gonçalves, M.; Figueiredo, F.C.; Bosco, S.M.D.; Mandelli, D.; Carvalho, W.A. Sulfonated niobia and pillared clay as catalysts in etherification reaction of glycerol. Appl. Catal. A 2014, 478, 98–106. [Google Scholar] [CrossRef]
- Souza, T.E.; Padula, I.D.; Teodoro, M.M.; Chagas, P.; Resende, J.M.; Souza, P.P.; Oliveira, L.C. Amphiphilic property of niobium oxyhydroxide for waste glycerol conversion to produce solketal. Catal. Today 2015, 254, 83–89. [Google Scholar] [CrossRef]
- Souza, T.E.; Portilho, M.F.; Souza, P.M.; Souza, P.P.; Oliveira, L.C. Modified Niobium Oxyhydroxide Catalyst: An Acetalization Reaction to Produce Bio-additives for Sustainable Use of Waste Glycerol. ChemCatChem 2014, 6, 2961–2969. [Google Scholar] [CrossRef]
- Ferreira, C.; Araujo, A.; Calvino-Casilda, V.; Cutrufello, M.; Rombi, E.; Fonseca, A.; Bañares, M.; Neves, I.C. Y zeolite-supported niobium pentoxide catalysts for the glycerol acetalization reaction. Microporous Mesoporous Mater. 2018, 271, 243–251. [Google Scholar] [CrossRef]
- Nair, G.; Adrijanto, E.; Alsalme, A.; Kozhevnikov, I.; Cooke, D.; Brown, D.; Shiju, N. Glycerol utilization: Solvent-free acetalisation over niobia catalysts. Catal. Sci. Technol. 2012, 2, 1173–1179. [Google Scholar] [CrossRef]
- Radhakrishnan, R.; Wu, J.; Jaenicke, S.; Chuah, G.K. Effects of acidity and pore size constraints on supported niobium oxide catalysts for the selective formation of glycerol monolaurate. ChemCatChem 2011, 3, 761–770. [Google Scholar] [CrossRef]
- Lee, Y.Y.; Lee, K.A.; Park, N.C.; Kim, Y.C. The effect of PO4 to Nb2O5 catalyst on the de- hydration of glycerol. Catal. Today 2014, 232, 114–118. [Google Scholar] [CrossRef]
- Rao, G.S.; Rajan, N.P.; Pavankumar, V.; Chary, K.V. Vapour phase dehydration of glycerol to acrolein over NbOPO4 catalysts. J. Chem. Technol. Biotechnol. 2014, 89, 1890–1897. [Google Scholar] [CrossRef]
- Lauriol-Garbey, P.; Postole, G.; Loridant, S.; Auroux, A.; Belliere-Baca, V.; Rey, P.; Millet, J. Acid–base properties of niobium-zirconium mixed oxide catalysts for glycerol dehydration by calorimetric and catalytic investigation. Appl. Catal. B 2011, 106, 94–102. [Google Scholar] [CrossRef]
- García-Sancho, C.; Cecilia, J.; Moreno-Ruiz, A.; Mérida-Robles, J.; Santamaría-González, J.; Moreno-Tost, R.; Maireles-Torres, P. Influence of the niobium supported species on the catalytic dehydration of glycerol to acrolein. Appl. Catal. B 2015, 179, 139–149. [Google Scholar] [CrossRef]
- Massa, M.; Andersson, A.; Finocchio, E.; Busca, G.; Lenrick, F.; Wallenberg, L.R. Performance of ZrO2-supported Nb-and W-oxide in the gas-phase dehydration of glycerol to acrolein. J. Catal. 2013, 297, 93–109. [Google Scholar] [CrossRef]
- Lauriol-Garbay, P.; Millet, J.; Loridant, S.; Bellière-Baca, V.; Rey, P. New efficient and long-life catalyst for gas-phase glycerol dehydration to acrolein. J. Catal. 2011, 280, 68–76. [Google Scholar] [CrossRef]
- Sung, K.-H.; Cheng, S. Effect of Nb doping in WO3/ZrO2 catalysts on gas phase dehydration of glycerol to form acrolein. RSC Adv. 2017, 7, 41880–41888. [Google Scholar] [CrossRef]
- Garcia-Sancho, C.; Cecilia, J.; Mérida-Robles, J.; González, J.S.; Moreno-Tost, R.; Infantes-Molina, A.; Maireles-Torres, P. Effect of the treatment with H3PO4 on the catalytic activity of Nb2O5 supported on Zr-doped mesoporous silica catalyst. Case study: Glycerol dehydration. Appl. Catal. B 2018, 221, 158–168. [Google Scholar] [CrossRef]
- Massa, M.; Andersson, A.; Finocchio, E.; Busca, G. Gas-phase dehydration of glycerol to acrolein over Al2O3-, SiO2- and TiO2-supported Nb- and W-oxide catalysts. J. Catal. 2013, 307, 170–184. [Google Scholar] [CrossRef]
- Omata, K.; Izumi, S.; Murayama, T.; Ueda, W. Hydrothermal synthesis of W-Nb complex metal oxides and their application to catalytic dehydration of glycerol to acrolein. Catal. Today 2013, 201, 7–11. [Google Scholar] [CrossRef]
- La Salvia, N.; Delgado, D.; Ruiz-Rodríguez, L.; Nadji, L.; Massó, A.; Nieto, J.L. V- and Nb-containing tungsten bronzes catalysts for the aerobic transformation of ethanol and glycerol. Bulk and supported materials. Catal. Today 2017, 296, 2–9. [Google Scholar] [CrossRef]
- Liu, C.; Liu, R.; Wang, T. Glycerol dehydration to acrolein: Selectivity control over CsPW/Nb2O5 catalyst. Can. J. Chem. Eng. 2015, 93, 2177–2183. [Google Scholar] [CrossRef]
- Viswanadham, B.; Pavankumar, V.; Chary, K.V. Vapor phase dehydration of glycerol to acrolein over phosphotungstic acid catalyst supported on niobia. Catal. Lett. 2014, 144, 744–755. [Google Scholar] [CrossRef]
- Stawicka, K.; Trejda, M.; Ziolek, M. Insight into Active Centers and Anti-Coke Behavior of Niobium-Containing SBA-15 for Glycerol Dehydration. Catalysts 2021, 11, 488. [Google Scholar] [CrossRef]
- Choi, Y.; Park, D.S.; Yun, H.J.; Baek, J.; Yun, D.; Yi, J. Effects of Catalyst Pore Structure and Acid Properties on the Dehydration of Glycerol. ChemSusChem 2012, 5, 2460–2468. [Google Scholar] [CrossRef]
- Liu, R.; Wang, T.; Cai, D.; Jin, Y. Highly Efficient Production of Acrylic Acid by Sequential Dehydration and Oxidation of Glycerol. Ind. Eng. Chem. Res. 2014, 53, 8667–8674. [Google Scholar] [CrossRef]
- Rodrigues, R.; Isoda, N.; Gonçalves, M.; Figueiredo, F.; Mandelli, D.; Carvalho, W. Effect of niobia and alumina as support for Pt catalysts in the hydrogenolysis of glycerol. Chem. Eng. J. 2012, 198, 457–467. [Google Scholar] [CrossRef]
- Yang, M.; Zhao, X.; Ren, Y.; Wang, J.; Lei, N.; Wang, A.; Zhang, T. Pt/Nb-WOx for the chemoselective hydrogenolysis of glycerol to 1,3-propanediol: Nb dopant pacifying the over-reduction of WOx supports. Chin. J. Catal. 2018, 39, 1027–1037. [Google Scholar] [CrossRef]
- Menezes, J.P.S.; Manfro, R.L.; Souza, M.M. Hydrogen production from glycerol steam reforming over nickel catalysts supported on alumina and niobia: Deactivation process, effect of reaction conditions and kinetic modeling. Int. J. Hydrogen Energy 2018, 43, 15064–15082. [Google Scholar] [CrossRef]
- Chieregato, A.; Basile, F.; Concepción, P.; Guidetti, S.; Liosi, G.; Soriano, M.D.; Nieto, J.M.L. Glycerol oxidehydration into acrolein and acrylic acid over W–V–Nb–O bronzes with hexagonal structure. Catal. Today 2012, 197, 58–65. [Google Scholar] [CrossRef]
- Chieregato, A.; Soriano, M.D.; Basile, F.; Liosi, G.; Zamopra, S.; Concepción, P.; Cavani, F.; Nieto, J.M.L. One-pot glycerol oxidehydration to acrylic acid on multifunctional catalysts: Focus on the influence of the reaction parameters in respect to the catalytic performance. Appl. Catal. B 2014, 150–151, 37–46. [Google Scholar] [CrossRef]
- Demirel-Gülen, S.; Lucas, M.; Claus, P. Liquid phase oxidation of glycerol over carbon supported gold catalysts. Catal. Today 2005, 102–103, 166–172. [Google Scholar] [CrossRef]
- Ketchie, W.C.; Fang, Y.-L.; Wong, M.; Murayama, M.; Davis, R.J. Influence of gold particle size on the aqueous-phase oxidation of carbon monoxide and glycerol. J. Catal. 2007, 250, 94–101. [Google Scholar] [CrossRef]
- da S Machado, M.; Pérez-Pariente, J.; Sastre, E.; Cardoso, D.; De Guerenu, A.M. Selective synthesis of glycerol monolaurate with zeolitic molecular sieves. Appl. Catal. A 2000, 203, 321–328. [Google Scholar] [CrossRef]
- Ferreira, P.; Fonseca, I.; Ramos, A.; Vital, J.; Castanheiro, J.E. Acetylation of glycerol over heteropolyacids supported on activated carbon. Catal. Commun. 2011, 12, 573–576. [Google Scholar] [CrossRef]
- Liao, X.; Zhu, Y.; Wang, S.-G.; Li, Y. Producing triacetylglycerol with glycerol by two steps: Esterification and acetylation. Fuel Process. Technol. 2009, 90, 988–993. [Google Scholar] [CrossRef]
- Aracil, M.; Martinez, M.; Sanchez, N.; Corma, A. Synthesis of esters of high molecular weight. An analog of jojoba oil. A statistical approach. Zeolites 1992, 12, 233–236. [Google Scholar] [CrossRef]
- Sanchez, N.; Martinez, M.; Aracil, M. Selective Esterification of Glycerine to 1-Glycerol Monooleate:1.Kinetic Modeling. Ind. Eng. Chem. Res. 1997, 36, 1524–1528. [Google Scholar] [CrossRef]
- Stawicka, K.; Trejda, M.; Ziolek, M. The production of biofuels additives on sulphonated MCF materials modified with Nb and Ta—Towards efficient solid catalysts of esterification. Appl. Catal. A 2013, 467, 325–334. [Google Scholar] [CrossRef]
- da Silva, C.X.A.; Goncalves, V.L.; Mota, C.J.A. Water-tolerant zeolitecatalyst for the acetalisation of glycerol. Green Chem. 2009, 11, 38–41. [Google Scholar] [CrossRef]
- Viswanadham, N.; Saxena, S. Etherification of glycerol for improved production of oxygenates. Fuel 2013, 103, 980–986. [Google Scholar] [CrossRef]
- Ferreira, P.; Fonseca, I.M.; Ramos, A.M.; Vital, J.; Castanheiro, J.E. Valorisation of glycerol by condensation with acetone over silica-included heteropolyacids. Appl. Catal. B. 2010, 98, 94–99. [Google Scholar] [CrossRef]
- Li, L.; Koranyi, T.; Selsa, B.; Pescarmona, P. Highly-efficient conversion of glycerol to solketal over heterogeneous Lewis acid catalysts. Green Chem. 2012, 14, 1611–1619. [Google Scholar] [CrossRef]
- Manjunathan, P.; Maradur, S.; Halgeri, A.B.; Shanbhag, G. Room temperature synthesis of solketal from acetalization of glycerol with acetone: Effect of crystallite size and the role of acidity of beta zeolite. J. Mol. Catal. A 2015, 396, 47–54. [Google Scholar] [CrossRef]
- Stawicka, K.; Diaz-Alvarez, A.E.; Calvino-Casilda, V.; Trejda, M.; Banares, M.; Ziolek, M. The role of brønsted and lewis acid sites in acetalization of glycerol over modified mesoporous cellular foams. J. Phys. Chem. C. 2016, 120, 16699–16711. [Google Scholar] [CrossRef]
- Calvino-Casilda, V.; Stawicka, K.; Trejda, M.; Ziolek, M.; Banares, M. Real-Time Raman Monitoring and Control of the Catalytic Acetalization of Glycerol with Acetone over Modified Mesoporous Cellular Foams. J. Phys. Chem. C 2014, 118, 10780–10791. [Google Scholar] [CrossRef]
- Rodrigues, R.; Mandelli, D.; Gonçalves, N.S.; Pescarmona, P.P.; Carvalho, W.A. Acetalization of acetone with glycerol catalyzed by niobium-aluminum mixed oxides synthesized by a sol–gel process. J. Mol. Catal. A Chem. 2016, 422, 122–130. [Google Scholar] [CrossRef]
- Venkatesha, N.; Prakash, Y.B. Dealuminated BEA zeolite for selective synthesis of five-membered cyclic acetal from glycerol under ambient conditions. RSC Adv. 2016, 6, 18824–18833. [Google Scholar] [CrossRef]
- Delgado, D.; Fernández-Arroyo, A.; Domine, M.E.; García-González, E.; Nieto, J.M.L. W–Nb–O oxides with tunable acid properties as efficient catalysts for the transformation of biomass-derived oxygenates in aqueous systems. Catal. Sci. Technol. 2019, 9, 3126–3136. [Google Scholar] [CrossRef]
- Li, X.-Y.; Shang, R.; Fu, M.-C.; Fu, Y. Conversion of biomass-derived fatty acids and derivatives into hydrocarbons using a metal-free hydrodeoxygenation process. Green Chem. 2015, 17, 2790–2793. [Google Scholar] [CrossRef]
- Feliczak-Guzik, A.; Nowak, I. Application of glycerol to synthesis of solvo-surfactants by using mesoporous materials containing niobium. Microporous Mesoporous Mater. 2019, 277, 301–308. [Google Scholar] [CrossRef]
- Ozorio, L.; Pianzolli, R.; Mota, M.B.S.; Mota, C.J.A. Reactivity of Glycerol/Acetone Ketal (Solketal) and Glycerol/Formaldehyde Acetals toward Acid-Catalyzed Hydrolysis. J. Braz. Chem. Soc. 2012, 23, 931–937. [Google Scholar] [CrossRef]




























| Entry | Year | Authors | Title | Notes | Ref. |
|---|---|---|---|---|---|
| 1 | 1995 | Tanabe and Okazaki | Various reactions catalyzed by niobium compounds and materials | Review on the use of niobium compounds (e.g., Nb2O5, Nb2O5·H2O, NbOPO4, K4Nb6O17, HCa2Nb3O10, and composites) in catalytic reactions (e.g., dehydration of alcohols, hydration of olefins, esterification, hydrolysis, condensation, alkylation, etc.). 116 references | [68] |
| 2 | 1999 | Nowak and Ziolek | Niobium compounds: preparation, characterization, and application in heterogeneous catalysis | Review on niobium chemistry including preparation, structure, and physicochemical and catalytic properties of niobium compounds for dehydration of alcohols, dehydrogenation, oxidative dehydrogenation, oxidation and ammoxidation, esterification, alkylation, isomerization, hydrogenolysis, hydrogenation. NO reduction, etc. 187 references | [69] |
| 3 | 2003 | Ziolek | Niobium-containing catalysts—the state of the art | Review on the use of niobium compounds (e.g., oxides, sulfides, nitrides, oxynitrides, carbides, oxycarbides, and phosphates) in heterogeneous catalysis (e.g., liquid and gas phase oxidation). 131 references. | [70] |
| 4 | 2003 | Tanabe | Catalytic application of niobium compounds | Review on catalytic applications of niobium compounds in oxidative dehydrogenation of alkanes, oxidative coupling of methane, oxidation and ammoxidation, removal of nitrogen oxides, etc. 63 references. | [71] |
| 5 | 2006 | Andrade and Rocha | Recent applications of niobium catalysts in organic synthesis | Mini-review on applications of niobium compounds in catalytic organic synthesis (e.g., Biginelli reactions, Friedel–Crafts acylation and Sakurai–Hosomi reactions of acetals, Knoevenagel condensation, acetylation of alcohols and phenols, etc. 28 references. | [72] |
| 6 | 2009 | Guerrero-Perez and Bañares | Niobium as promoting agent for selective oxidation reactions | Brief revision on the promoting effect of niobium on different catalytic reactions (e.g., oxidative dehydrogenation lower alkanes, oxidation of ethane to acetic acid, oxidation and ammoxidation of propane, methane partial oxidation, oxidation of n-butane to maleic anhydride, and oxidative coupling of methane). 76 references | [73] |
| 7 | 2012 | Nowak | Frontiers in mesoporous molecular sieves containing niobium: From model materials to catalysts | Review on mesoporous molecular sieves containing niobium and its application in liquid and gas phase oxidation. 81 references. | [74] |
| 8 | 2012 | Zhao et al. | Nanostructured Nb2O5 catalysts | Review on synthetic methods for the preparation of Nb2O5 nanostructures and their potential applications in catalysis. 58 references. | [75] |
| 9 | 2016 | Nico et al. | Niobium oxides and niobates physical properties: review and prospects | Review on stoichiometric and non-stoichiometric phases of niobium oxides (e.g., NbO, NbO2, Nb2O5, and Nb2O5-δ) and niobates (alkali niobates, columbite niobates, and rare earth niobates). 240 references. | [76] |
| 10 | 2017 | Ziolek and Sobczak | The role of niobium component in heterogeneous catalysts | Review on the role of niobium supported zeolites in the enhancement of the redox properties of Cu, Ag, Au, and Pt, acidic and basic properties, and catalytic properties for the oxidation of cyclohexene, glycerol, and methanol. 124 references. | [12] |
| 11 | 2018 | Yan et al. | Liquid-phase epoxidation of light olefins over W and Nb nanocatalysts | Perspective on liquid-phase epoxidation of light olefins (ethylene, propylene, hexene, octene) on Nb and W catalysts. 256 references | [77] |
| 12 | 2018 | Wawrzynczak et al. | Toward exploiting the behavior of niobium-containing mesoporous silicates vs. polyoxometalates in catalysis | Review describes the catalytic behavior of niobium–polyoxometalates in water oxidation reaction, H2 evolution reaction, epoxidation reaction, base catalysis, and the catalysis on heterogeneous niobium-containing mesoporous silicates (e.g., oxidation of unsaturated compounds and Knoevenagel condensation). 154 references. | [78] |
| 13 | 2019 | Siddiki et al. | Lewis acid catalysis of Nb2O5 for reactions of carboxylic acid derivatives in the presence of basic inhibitors | Review on the use of Nb2O5 and Nb2O5·H2O in nucleophilic substitution reactions of carboxylic acid derivatives. 95 references | [79] |
| Entry | Catalyst | Solvent | t (h) | T (°C) | Product | C (%) | S (%) | Y (%) | Experimental Conditions | Ref. |
|---|---|---|---|---|---|---|---|---|---|---|
| 1 | NbOPO4/Ru (pH 2) | water | 24 | 160 | sorbitol | 100 | 69 | 69 | 0.24 g cellulose mixed with 0.1 g catalyst and ball-milled for 10 h, 30 mL water, 4 MPa H2, Ru loading = 5 wt%; pH = 2 | [85] |
| 2 | NbOPO4/Ru (pH 2) | water | 24/18 | 170/230 | isosorbide | - | - | 57 | First step: 0.24 g cellulose, 15.0 g H2O and 0.1 g Ru/NbOPO4, 170 °C, 4 MPa H2 for 24 h; Second step: the cellulose-derived sorbitol and sorbitan aqueous; 0.1 g NbOPO4, 230 °C, 1 MPa N2 for 18 h. Ru loading = 5 wt% | [86] |
| 3 | NbOPO4 (pH 7) | MIBK/ water | 1 | 140 | HMF | - | - | 16 | 0.5 g cellulose, 10 mL of reaction solution, MIBK/ Water = 70:30, v/v. MIBK = methyl isobutyl ketone | [87] |
| 4 | NbOx/ZrO2 | water | 5 | 200 | HMF | 52 | 31 | 16 | 10 g L−1 cellulose, 10 g L−1 catalyst, volume = 45 mL, PAr = 10 bar, 1500 rpm (pH 3.6) | [88] |
| 5 | Nb2O5 | water | 3 | 200 | HMF | - | - | 19 | 10 wt% celulose; 1 wt% catalyst | [89] |
| 6 | Nb-SBA15 | THF/H2O | 8 | 170 | HMF | 94 | 54 | 51 | 0.10 g catalyst; 0.10 g cellulose; 6 mL THF + 2 mL H2O saturated with NaCl | [90] |
| 7 | Nb2O5/C | THF/H2O | 8 | 170 | HMF | 91 | 58 | 53 | 0.1 g cellulose, 0.2 g Nb/C-50 catalyst, 2 mL water saturated with NaCl, 6 mL THF | [91] |
| 8 | 25Nb@AlF3 | water | 2 | 180 | Lactic acid | 43 | 40 | 17 | 5 mL water, 0.16 g cellulose, 0.06 g catalyst | [92] |
| 9 | Preboiled 25Nb@AlF3 | water | 2 | 180 | Lactic acid | 34 | 79 | 27 | 5 mL of water, 0.16 g of cellulose, 0.06 g of catalyst, 1000 rpm | [93] |
| 10 | Al-NbOPO4 | water | 24 | 180 | Levulinic acid | >90 | - | 53 | 0.5 g cellulose, 0.4 g catalyst, 10 g H2O | [94] |
| 11 | NbOPO4 (pH 1) | Methanol | 24 | 180 | Methyl levulinate | 98 | 58 | 57 | 0.5 g of cellulose, 0.0004 mol of acid catalysts, 10 g of 95% methanol | [95] |
| 12 | Mesoporous Nb-doped WO3 | water | 3 | 225 | Ethylene glycol | 95 | 40 | 38 | 0.3 g cellulose, 0.05 g retro-aldol catalyst, 0.01 g 5 wt% Ru/C (1 wt% Ru w.r.t. WO3), 40 mL H2O, 45 bar H2, 600 rpm | [96] |
| 13 | HNbMoO6 | - | 4 | 25 | Water-soluble sugars | 100 | 72 | 72 | microcrystalline cellulose (Avicel 0.4 g), solid additive (0.4 g), 600 rpm | [97] |
| 14 | NbOPO4/Pt | cyclohexane | 20 | 190 | hexane | - | - | 72 | 5 MPa H2; 0.2 g cellulose, 0.2 g catalyst, and 6.46 g cyclohexane | [98] |
| Entry | Catalyst | Solvent | t (h) | T (°C) | Product | C (%) | S (%) | Y (%) | Experimental Conditions | Ref. |
|---|---|---|---|---|---|---|---|---|---|---|
| 1 | 4 wt% Co@Nb2O5@Fe3O4 | Water | 6 | 180 | C20–C28 and C29–C37 fragments | 53 | 96 | 51 | 10 atm H2; 0.01 g catalyst, 0.4 g lignin, 5 mL solvent | [95] |
| 2 | Fe3O4@Nb2O5@Co@Re | Water | 6 | 180 | C29–C37 fragments | ~85 | ~100 | 85 | 0.02 g catalyst, 0.01 g lignin, 2.5 mL H2O, 10 bar H2 | [116] |
| 3 | Nb2O5/Ru | Water/cyclohexane | 20 | 250 | C7–C9 arenes | 99 | 88 | 87 | 0.1 g lignin, 0.2 g catalyst, 10 mL H2O, 5 mL cyclohexane, 0.5 MPa H2 | [118] |
| 4 | Nb2O5/Ru | Water | 20 | 250 | C7–C9 arenes | ~50 | 95 | ~50 | 0.1 g enzymatic lignin, 0.2 g catalyst, 15 mL H2O, initial H2 pressure of 0.7 MPa | [126] |
| 5 | Nb2O5/Ru | Water/cyclohexane | 20 | 250 | C7–C9 arenes | 38 | 86 | 33 (wt.%) | lignin oil (0.1 g, birch wood), 2% Ru/Nb2O5 (0.2 g), iPrOH (1.0 g), H2O (14 mL), cyclohexane (5 mL), 20 h | [119] |
| 6 | Nb2O5/Ru | Water | 20 | 250 | C7–C9 arenes | 32 wt.% | 71 wt.% | 23 wt.% | 0.1 g of birch lignin, 0.2 g catalyst, 15 mL water, 0.7 MPa H2, 2 wt% Ru | [121] |
| 7 | Zr-doped NbOPO4/Ni | C10 | 5.5 | 220 | oxygen-free aromatics | 84 | 62 | 52 | 8 wt% diaryl ether in 20 mL C10, 0.1 g catalyst, 0.5 MPa, 700 rpm | [120] |
| 8 | Nb2O5 | - | 2 | 60 | - | 45 | - | - | Catalyst loading: 1 g catalyst/1 g switchgrass | [127] |
| 9 | NbN | Supercritical ethanol | 1 | 340 | Aromatic monomer | - | - | 17 (wt.%) | 200 mg catalyst, 400 mg lignin, 20 mL solvent, 10 bar H2. | [122] |
| 10 | CH2Cl2-modified Nb2O5/Ru | Water | 20 | 250 | Indane and its derivatives | 34 | 70 | 24 (wt.%) | 0.10 g catalyst, 0.10 g lignin-oil, 15 mL water, 0.5 MPa H2, 700 rpm | [123] |
| 11 | Nb2O5 | Water | 2 | 90 | vanillin | - | - | - | 0.50 g catalyst, 100 mL water, 8 g lignin, 150 rpm. Produced vanillin = 137 mg L−1 | [124] |
| 12 | Ni0.92Nb0.08O | C10 | 2 | 200 | cyclohexane | >99 | 100 | - | 0.1g Ni0.92Nb0.08 catalyst, 8 wt% substrate, 20 mL C10, 3 MPa, 700 rpm | [125] |
| 13 | Pd/Nb2O5/SiO2 | Cyclohexane | 24 | 170 | cyclohexane | 100 | 98 | 98 | catalyst (0.2 g), diphenil ether (0.2 g), cyclohexane (6.46 g), 2.5 MPa H2 | [128] |
| 14 | Nb2O5 | Water | 5 | 60 | monomeric phenolic compounds | 47 wt.% | 0.2–1 g lignin/g peracetic acid; 10 wt% Nb2O5 | [129] | ||
| 15 | Pt/NbOPO4 | Cyclohexane | 20 | 190 | alkylcyclohexanes | - | - | 36 | 0.4 g of birch sawdust, 0.4 g of catalyst, and 6.46 g of cyclohexane, and 5 MPa H2 | [98] |
Disclaimer/Publisher’s Note: The statements, opinions and data contained in all publications are solely those of the individual author(s) and contributor(s) and not of MDPI and/or the editor(s). MDPI and/or the editor(s) disclaim responsibility for any injury to people or property resulting from any ideas, methods, instructions or products referred to in the content. |
© 2023 by the authors. Licensee MDPI, Basel, Switzerland. This article is an open access article distributed under the terms and conditions of the Creative Commons Attribution (CC BY) license (https://creativecommons.org/licenses/by/4.0/).
Share and Cite
Oliveira, L.; Pereira, M.; Pacheli Heitman, A.; Filho, J.; Oliveira, C.; Ziolek, M. Niobium: The Focus on Catalytic Application in the Conversion of Biomass and Biomass Derivatives. Molecules 2023, 28, 1527. https://doi.org/10.3390/molecules28041527
Oliveira L, Pereira M, Pacheli Heitman A, Filho J, Oliveira C, Ziolek M. Niobium: The Focus on Catalytic Application in the Conversion of Biomass and Biomass Derivatives. Molecules. 2023; 28(4):1527. https://doi.org/10.3390/molecules28041527
Chicago/Turabian StyleOliveira, Luiz, Márcio Pereira, Ana Pacheli Heitman, José Filho, Cinthia Oliveira, and Maria Ziolek. 2023. "Niobium: The Focus on Catalytic Application in the Conversion of Biomass and Biomass Derivatives" Molecules 28, no. 4: 1527. https://doi.org/10.3390/molecules28041527
APA StyleOliveira, L., Pereira, M., Pacheli Heitman, A., Filho, J., Oliveira, C., & Ziolek, M. (2023). Niobium: The Focus on Catalytic Application in the Conversion of Biomass and Biomass Derivatives. Molecules, 28(4), 1527. https://doi.org/10.3390/molecules28041527

