Abstract
Simple and efficient strategies for the syntheses of enantiomerically enriched functionalized diethyl 2-amino-, 2,3-diamino- and 2-amino-3-hydroxypropylphosphonates have been developed starting from, respectively, N-protected (aziridin-2-yl)methylphosphonates, employing a regioselective aziridine ring-opening reaction with corresponding nucleophiles. Diethyl (R)- and (S)-2-(N-Boc-amino)propylphosphonates were obtained via direct regiospecific hydrogenolysis of the respective enantiomer of (R)- and (S)-N-Boc-(aziridin-2-yl)methylphosphonates. N-Boc-protected (R)- and (S)-2,3-diaminopropylphosphonates were synthesized from (R)- and (S)-N-Bn-(aziridin-2-yl)methylphosphonates via a regiospecific ring-opening reaction with neat trimethylsilyl azide and subsequent reduction of (R)- and (S)-2-(N-Boc-amino)-3-azidopropylphosphonates using triphenylphosphine. On the other hand, treatment of the corresponding (R)- and (S)-N-Bn-(aziridin-2-yl)methylphosphonates with glacial acetic acid led regiospecifically to the formation of (R)- and (S)-2-(N-Bn-amino)-3-acetoxypropylphosphonates.
1. Introduction
The usefulness of aziridines for both organic and medicinal chemistry has been intensively explored over the decades [1,2,3,4,5,6,7,8,9,10,11]. The aziridine ring has been found in the structure of biologically relevant compounds, such as naturally occurring mitomycins A, B, C 1–3 [12,13], porfiromycin 4 [14], azinomycins A and B 5–6 [15] showing antiproliferative activity or ficellomycin 7 [16] exhibiting antibacterial activity (Figure 1). On the other hand, C-substituted aziridines can serve as useful building blocks for the synthesis of a wide range of various compounds containing amino functions, e.g., amino acids, amino alcohols, and diamines. Due to the high strain of the three-membered ring, aziridines readily undergo highly regio- and stereospecific ring-opening reactions with a broad spectrum of nucleophiles that makes them powerful tools in synthetic chemistry. However, the regioselectivity of the ring-opening of functionalized aziridines depends on the nature of the substituent attached to the nitrogen atom [17]. In general, activated aziridines, i.e., aziridines bearing an electro-withdrawing group at nitrogen e.g., acyl, sulfonyl, or phosphoryl, undergo ring cleavage reactions on the less-hindered carbon atom under relatively mild conditions. The second class of aziridines constitutes non-activated aziridines that possess an electron-donating substituent e.g., alkyl group and they must be activated by the formation of aziridinium ion or its equivalent prior to ring opening while regioselectivity of these reactions depends on the nature of nucleophile, electrophile, and substituent present at the C2 position [8].
Figure 1.
Structures of biologically active compounds bearing aziridine ring.
Among the large variety of structurally diverse compounds containing an aziridine framework, aziridinephosphonates are of special interest. Due to the presence of both an aziridine ring and a phosphonic function which mimics the carboxylate group from amino acids, they can exhibit interesting biological properties. For example, compounds 8, 9a, and 10 have been reported to possess high antibacterial activity, comparable with Ampicillin and Streptomycin [18], whereas aziridines 9b and 11–12 were found active against HCT-116 colon cancer cells (Figure 2) [19].
Figure 2.
Structures of biologically active aziridine-2-phosphonates.
On the other hand, aziridinephosphonates can be successfully employed as convenient substrates for the synthesis of aminophosphonates, which have attracted tremendous importance in medicinal chemistry as they are structurally related to amino acids and thereby can act as false substrates or inhibitors for enzymes or receptors [20,21,22]. Among the various functionalized phosphonates, α-amino and β-aminophosphonates belong to the well-studied group of compounds. Over decades, numerous phosphonate analogs of amino acids have been synthesized and found application in both organic and medicinal chemistry, including the preparation of more complex compounds (Figure 3). For example, 3-aminopropylphosphonic acid 13 (3-APPA) is an agonist of GABAB receptor [23], while L-2-amino-4-phosphonobutyric acid 14 (L-AP4) was found to be a selective group III metabotropic glutamate receptor agonist that acts at mGlu4, mGlu8, mGlu6, and mGlu7 receptors [24]. Compounds 15 have been designed as phosphonate analogs of homoserine, an important amino acid involved in physiologically relevant transformation [25]. Phosphonate proline analogs 16 were found to serve as chiral catalysts for aldol reaction [26], and some of them have exhibited promising biological activity when incorporated in phosphonodipeptide structures [27].
Figure 3.
Examples of phosphonate analogues of amino acids.
Compounds containing an aminophosphonic unit display a wide spectrum of biological activity (Figure 4), e.g., antiproliferative [28,29,30,31], antimicrobial [32,33,34], antiviral [35,36], antioxidant [37,38,39,40], anti-inflammatory [37,41,42] and they act as inhibitors of various enzymes such as acetylcholinesterase [43,44,45], aminopeptidases [46,47] or α-glucosidase [48].
Figure 4.
Examples of biologically active aminophosphonates.
Several years ago, hydroxyl-[1-(1-phenylethyl)aziridin-2-yl]methylphosphonates 17 [49,50] were successfully obtained in our research group and applied to the preparation of functionalized stereoisomers of α-hydroxyphosphonates 18 and 19. A similar strategy was also used for the synthesis of functionalized α-aminophosphonates 20, 21, and 22 using benzylamino-[1-(1-phenylethyl)aziridin-2-yl]methylphosphonates 23 [51,52] as starting materials (Scheme 1).
Scheme 1.
Previous achievements in the synthesis of functionalized α-hydroxyphosphonates 18 and 19 as well as α-aminophosphonates 20, 21 and 22.
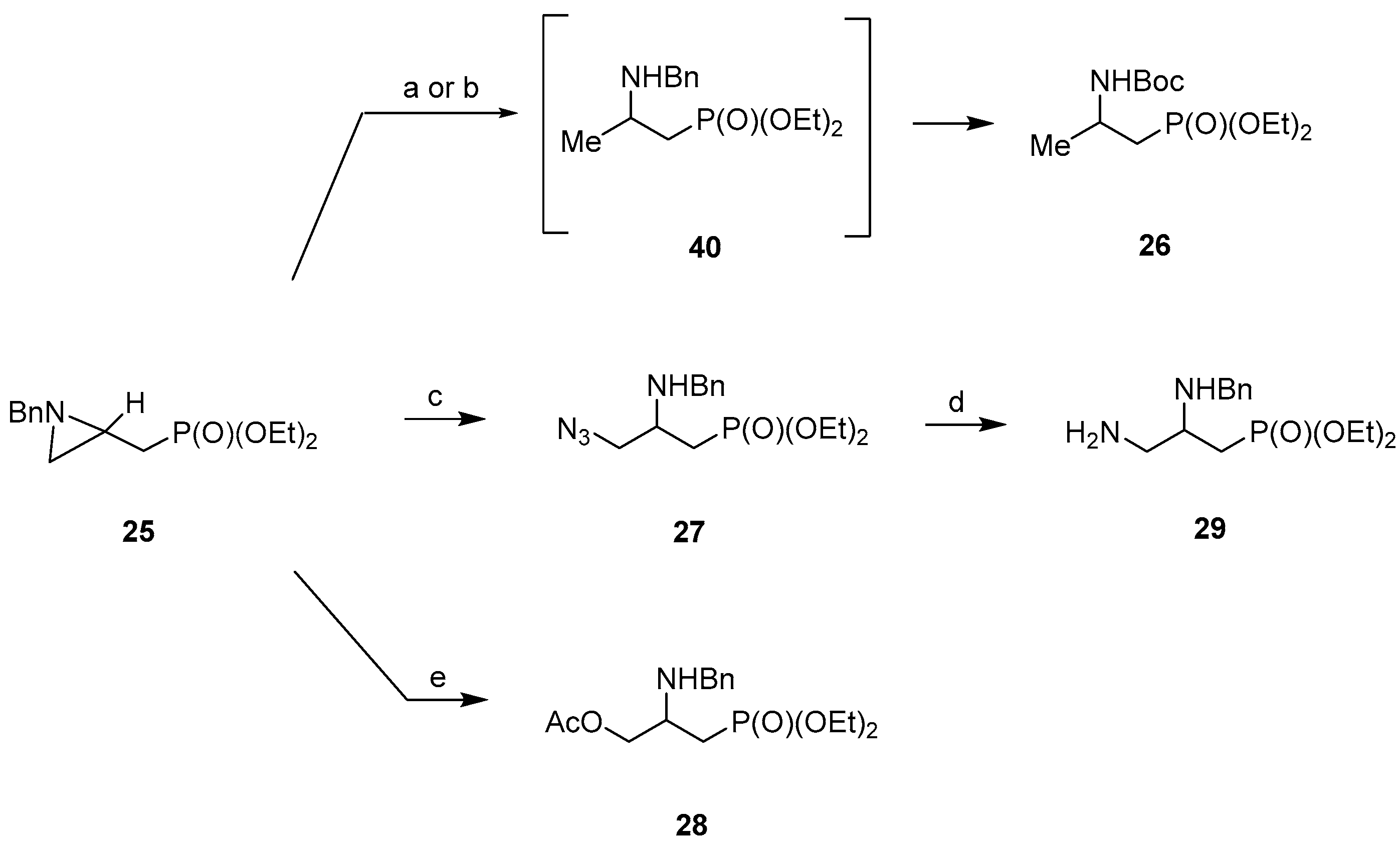
As a continuation of our studies on the synthesis of phosphonates functionalized with amino and hydroxy groups [49,50,51,52], a new series of enantiomerically enriched (R)- and (S)-diethyl 2-amino-, 2,3-diamino- and 2-amino-3-hydroxypropylphosphonates has been designed. Our synthetic strategy includes as a key step aziridine ring-opening reaction in both activated (24; R = Boc) and non-activated (25; R = Bn) (aziridin-2-yl)methylphosphonates, with selected nucleophiles (Scheme 2).
Scheme 2.
Retrosynthesis of enantiomerically enriched aminophosphonates 26–29.
2. Results and Discussion
Elaboration of synthetic procedures for the preparation of designed phosphonates 26–29 was preceded by the optimization of reaction conditions using racemic substrates. In this way, the synthesis of racemic (aziridin-2-yl)methylphosphonate (RS)-33 was accomplished starting from 2,3-epoxypropylphosphonate (RS)-30 (Scheme 3). The ring-opening reaction of epoxide (RS)-30 with sodium azide in the presence of ammonium sulfate led to the formation of diethyl 3-azido-2-hydroxypropylphosphonate (RS)-31 [53], which was obtained in 95% yield after filtration through a Celite. Transformation of 3-azido-2-hydroxypropylphosphonate (RS)-31 into (RS)-33 was accomplished in a two-step procedure including the formation of unstable oxazaphospholidine intermediate (RS)-32 and its conversion into (aziridin-2-yl)methylphosphonate (RS)-33 [54]. To remove triphenylphosphine oxide formed as a by-product, the crude reaction mixture was passed through a silica gel, and (aziridin-2-yl)methylphosphonate (RS)-33 was immediately used for the next steps.
Scheme 3.
Synthesis of the diethyl (aziridin-2-yl)methylphosphonate (RS)-33. Reagents and conditions: (a) NaN3, (NH4)2SO4, MeOH, reflux, 4 h, 95%; (b) PPh3, toluene, rt, 2 h; (c) reflux, 1 h, 53% from two steps.
Preparation of both activated (R = Boc) and non-activated (R = Bn) aziridinephosphonates (RS)-24 and (RS)-25 was undertaken (Scheme 4 and Scheme 5) in order to compare the influence of electron-withdrawing and electron-donating groups on the regioselectivity of the nucleophilic ring-opening reaction in respective (aziridin-2-yl)methylphosphonates. When (aziridin-2-yl)methylphosphonate (RS)-33 was subjected to the reaction with di-tert-butyl dicarbonate (Boc2O) at room temperature for 3 h corresponding N-[(tert-butoxycarbonyl)aziridin-2-yl]methylphosphonate (RS)-24 was obtained in 99% yield (Scheme 4). The catalytic hydrogenation of (RS)-24 led to the regiospecific formation of diethyl 2-(tert-butoxycarbonylamino)propylphosphonate (RS)-26 in 77% yield. However, when aziridinephosphonate (RS)-24 was treated with trimethylsilyl azide at room temperature formation of a 71:29 mixture of 2-amino-3-azidopropylphosphonate (RS)-34 (δ31P = 27.44 ppm) and regioisomeric 3-amino-2-azidopropylphosphonate (RS)-35 (δ31P = 26.47 ppm) was observed after 4 days. After purification of the crude reaction mixture on a silica gel column both regioisomers (RS)-34 and (RS)-35 were isolated in 27 and 3% yield, respectively. Similarly, treatment of aziridinephosphonate (RS)-24 with glacial acid at room temperature for 24 h resulted in the formation of a 77:23 mixture of two regioisomeric products (RS)-36 (δ31P = 27.56 ppm) and (RS)-37 (δ31P = 26.25 ppm). Unfortunately, several attempts at chromatographic separation (silica gel column and HPLC) of the mixture of isomeric phosphonate appeared fruitless. The structures of both products have been established based on the analysis of the 1H NMR spectra taken for the fractions that were enriched for the respective regioisomers.
Scheme 4.
Synthesis of the racemic (aziridin-2-yl)methylphosphonate (RS)-24, aminopropylphosphonate (RS)-26, azidophosphonates (RS)-34 and (RS)-35 and acetoxyphosphonates (RS)-36 and (RS)-37. Reagents and conditions: (a) Boc2O, EtOH, rt, 3 h, 99%; (b) H2, 20% Pd(OH)2-C, EtOH, 1.01 bar, 18 h, 77%; (c) TMSN3, rt, 4 d, 27% for (RS)-34 and 3% for (RS)-35; (d) AcOH, rt, 24 h, 95% for a mixture of (RS)-36 and (RS)-37.
Scheme 5.
Synthesis of the racemic (aziridin-2-yl)methylphosphonate (RS)-25. Reagents and conditions: (a) BnBr, K2CO3, THF, rt, 24 h, 62%.
Our previous studies proved that non-activated aziridinephosphonates, namely benzylamino-[1-(1-phenylethyl)aziridin-2-yl]methylphosphonates [52] and hydroxy-[1-(1-phenylethyl)aziridin-2-yl]methylphosphonates [50,55], react regiospecifically with nucleophiles on less-hindered C3 atom to form aziridine ring-opening products. Following these observations, analogous N-benzylated azidirinephosphonate (RS)-25 was selected as a substrate for the synthesis of designed compounds (RS)-26, (RS)-27, and (RS)-28. When (aziridin-2-yl)methylphosphonate (RS)-33 was treated with benzyl bromide in the presence of potassium carbonate at room temperature for 24 h, aziridinephosphonate (RS)-25 (δ31P = 28.55 ppm; 85%) was formed together with 3-(N,N-dibenzylamino)-2-bromopropylphosphonate as a by-product 38 (δ31P = 27.00 ppm; 15%) (Scheme 5). After chromatographic purification of crude reaction mixture N-benzyl-(aziridin-2-yl)methylphosphonate (RS)-25 in 62% yield was obtained. However, instead of compound 38 (δ31P = 27.00 ppm), (E)-3-(N,N-dibenzylamino)prop-1-enylphosphonate (E)-39 was isolated (δ31P = 18.25 ppm). Since crude aziridinephosphonate (RS)-33 was used for the preparation of (RS)-25, it can be concluded that subsequent benzylation occurred leading to the formation of unstable aziridine ion, which upon reaction with bromine anion and further elimination of HBr on silica gel gave phosphonate (E)-39 (Scheme 5). These observations are in good agreement with the reactivity of aziridinium ion derived from respectively functionalized phosphonates [56,57] and 2-(bromomethyl)aziridines [58].
The racemic diethyl N-benzyl-(aziridin-2-yl)methylphosphonate (RS)-25 was employed as a starting material in the nucleophilic ring-opening reactions. During catalytic hydrogenation of N-Bn-aziridinephosphonate (RS)-25 in the presence of Boc2O the regiospecific ring-opening at C3, removal of the N-benzyl group, and simultaneous protection of the amino function with Boc group were executed to form compound (RS)-26 which was isolated in 52% yield after column chromatography and crystallization (Scheme 6). When the reaction was conducted under atmospheric pressure complete conversion of (RS)-25 into 2-(tert-butoxycarbonylamino)propylphosphonate (RS)-26 was achieved after 10 days. However, when the reaction was discontinued after 24 h, a 47:53 mixture of phosphonate (RS)-26 (δ31P = 28.64 ppm) and 2-(benzylamino)propylphosphonate (RS)-40 (δ31P = 28.97 ppm) was obtained. When hydrogenolysis was carried out at a pressure of 10 bar, reaction time was significantly shortened (10 days vs. 4 days) and the phosphonate (RS)-26 was obtained in 53% yield after silica gel column chromatography and crystallization. The reactions of N-benzyl-(aziridin-2-yl)methylphosphonate (RS)-25 with both trimethylsilyl azide and acetic acid proceeded also regiospecifically with the opening of aziridine ring at less hindered C3 atom (Scheme 6). In this way, 3-azido-2-benzylaminopropylphosphonate (RS)-27 was obtained while treating (RS)-25 with neat trimethylsilyl azide at room temperature for 4 days, and phosphonate (RS)-27 was isolated in 84% yield after purification on a silica gel column. Then the subsequent reduction of azido function in (RS)-27 using triphenylphosphine gave 2,3-diaminopropylphosphonate (RS)-29 which was obtained in 88% after chromatographic purification (Scheme 6). On the other hand, treatment of N-benzyl-(aziridin-2-yl)methylphosphonate (RS)-25 with acetic acid gave phosphonate (RS)-28 as the only product.
Scheme 6.
Transformations of the racemic (aziridin-2-yl)methylphosphonate (RS)-25 into (RS)-26, (RS)-29, and (RS)-28. Reagents and conditions: (a) H2, 20% Pd(OH)2-C, Boc2O, EtOH, 1.01 bar, 10 d, 52%; (b) H2, 20% Pd(OH)2-C, Boc2O, EtOH, 10 bar, 4 d, 53%; (c) TMSN3, rt, 4 d, 84%; (d) PPh3, toluene, rt, 2 h, 88%; (e) AcOH, rt, 24 h, 77%.
The application of the above-mentioned protocols for the synthesis of enantiomeric phosphonates respectively functionalized at C2 and C3 required possessing enantiomeric epoxypropylphosphonate (R)- and (S)-30. The enantiomerically enriched (S)- and (R)-diethyl 2,3-epoxypropylphosphonates (S)-30 (ee 96%) and (R)-30 (ee 92%) were obtained via the hydrolytic kinetic resolution (HKR) of the racemic epoxide (RS)-30 using Jacobsen’s complexes as respective chiral catalysts based on the methodology described in the literature (Scheme 7) [59].
Scheme 7.
Hydrolytic kinetic resolution (HKR) of the racemic diethyl 2,3-epoxypropylphosphonate (RS)-30. Reagents and conditions: (a) H2O, rt, 4 d, (R,R)-salen-Co(II)-OAc, 45%; (b) H2O, rt, 4 d, (S,S)-salen-Co(II)-OAc, 44%.
The epoxides (S)-30 and (R)-30 were transformed into corresponding enantiomerically enriched diethyl (S)- and (R)-3-azido-2-hydroxypropylphosphonates (S)-31 (ee 96%) and (R)-31 (ee 96%) respectively, which were then subjected to the two-step reaction sequence leading to the formation of enantiomerically enriched diethyl (R)- and (S)-(aziridin-2-yl)methylphosphonates (R)-33 and (S)-33 (Scheme 8). As reported in the literature, during the transformation of unstable intermediate oxazaphospholidine into aziridinephosphonate 33 inversion of configuration at C2 occurs, thereby aziridinephosponate (S)-33 was obtained from epoxide (R)-30, while (R)-33 was produced from epoxide (S)-30 [54,60].
Scheme 8.
Syntheses of enantiomerically enriched (aziridin-2-yl)methylphosphonates (R)-33 and (S)-33. Reagents and conditions: (a) NaN3, (NH4)2SO4, MeOH, reflux, 4 h, 84% for (S)-31 and 92% for (R)-31; (b) PPh3, toluene, rt, 2 h; (c) reflux, 1 h, 52% for (R)-31 and 47% for (S)-33.
Aziridinephosphonates (R)-33 and (S)-33 were then transformed into their N-protected derivatives (R)-24 and (S)-24 (N-Boc) or (R)-25 and (S)-25 (N-Bn), to make them suitable for further regiospecific ring-opening reactions with respective nucleophiles (Scheme 9 and Scheme 10).
Scheme 9.
Syntheses of enantiomerically enriched aziridinephosphonates (R)-24 and (R)-25 and their transformations. Reagents and conditions: (a) Boc2O, EtOH, rt, 3 h, 99%; (b) H2, 20% Pd(OH)2-C, EtOH, 1.01 bar, 18 h, 80%; (c) BnBr, K2CO3, THF, rt, 24 h, 68%; (d) TMSN3, rt, 4 d, 85% for (R)-27; (e) PPh3, toluene, rt, 2 h, 78% from (R)-27; (f) AcOH, rt, 24 h, 82% for (R)-28.
Scheme 10.
Syntheses of enantiomerically enriched aziridinephosphonates (S)-24 and (S)-25 and their transformations. Reagents and conditions: (a) Boc2O, EtOH, rt, 3 h, 90%; (b) H2, 20% Pd(OH)2-C, EtOH, 1.01 bar, 18 h, 78%; (c) BnBr, K2CO3, THF, rt, 24 h, 58%; (d) TMSN3, rt, 4 d, 83% for (S)-27; (e) PPh3, toluene, rt, 2 h, 75% from (S)-27; (f) AcOH, rt, 24 h, 83% for (S)-28.
2-(N-Boc-amino)propylphosphonates (R)-26 and (S)-26 were obtained directly via hydrogenolysis of respective N-Boc-aziridinephosphonates (R)-24 and (S)-24 (Scheme 9 and Scheme 10). On the other hand, N-Bn-aziridinephosphonate (R)-25 was subjected to a regiospecific ring-opening reaction with neat trimethylsilyl azide to form 3-azidophosphonate (R)-27 (ee 98%) and subsequently reduced to 2,3-diaminophosphonate (R)-29 with triphenylphosphine, whereas treatment of (R)-26 with glacial acetic acid gave compound (R)-28 (ee 97%) (Scheme 9). In an analogous manner, enantiomerically enriched N-Bn-aziridinephosphonate (S)-25 was used for the preparation of (S)-27 (ee 94%), (S)-28 (ee 97%) and (S)-29 (Scheme 10).
To establish enantiomeric purity of the 2,3-epoxypropylphosphonates (S)-30 and (R)-30, the direct regiospecific ring-opening reaction of (S)-30 and (R)-30 with enantiomerically pure (R)-1-phenylethylamine in the presence of the catalytic amount of Ca(OTf)2 [61] was employed (Scheme 11) as a simple and convenient alternative to the two-step procedure described in the literature, i.e., the epoxide ring-opening with dibenzylamine followed by esterification of the resulting aminoalcohol with (S)-O-methylmandelic acid [59]. The 31P NMR spectrum taken for the crude product obtained after completion of the reaction of epoxide (R)-30 with (R)-1-phenylethylamine revealed the formation of two products (2R,1R′)-42 (δ31P = 30.04 ppm) and (2S,1R′)-42 (δ31P = 29.80 ppm) in a 96:4 ratio, and the enantiomeric excess of epoxide (R)-30 was established as 92%. Analogously, as a 98:2 mixture of chiral aminoalcohols (2S,1R′)-42 (δ31P = 29.80 ppm) and (2R,1R′)-42 (δ31P = 30.04 ppm) were obtained from epoxide (S)-30 and (R)-1-phenylethylamine, the enantiomeric purity of starting epoxide (S)-30 was determined as 96% (Scheme 11).
Scheme 11.
Epoxide ring-opening reaction in enantiomerically enriched epoxides (S)-30 and (R)-30 with (R)-1-phenylethylamine. Reagents and conditions: (a) Ca(OTf)2, (R)-1-phenylethylamine, 50 °C, 1 h.
Enantiomeric purities of 3-azido-2-hydroxypropylphosphonates (R)-31 (ee 96%) and (S)-31 (ee 96%) were established based on their enantiodifferentiation in 31P NMR using quinine (4 equiv) as discriminating agent [53]. Separation on HPLC with an application of a chiral column was useful for the determination of enantiomeric purity of 3-azido-2-benzylaminopropylphosphonates (R)-27 (ee 98%) and (S)-27 (ee 94%) as well as 3-acetoxy-2-benzylaminopropylphosphonates, namely ee 97% for both (R)-28 and (S)-28 (Supplementary Materials).
3. Materials and Methods
3.1. General Information
The 1H, 13C, and 31P NMR spectra were taken in CDCl3 on the Bruker Avance III spectrometers (600 MHz) with TMS as the internal standard at 600, 151, and 243 MHz, respectively. Coupling constants J are given in Hz. The IR spectra were measured on an Infinity MI-60 FT-IR spectrometer. Melting points were determined on a Boetius apparatus and were uncorrected. Elemental analyses were performed by the Microanalytical Laboratory of this faculty on Perkin–Elmer PE 2400 CHNS analyzer, and their results were found to be in good agreement (±0.3%) with the calculated values. Polarimetric measurements were conducted with an Optical Activity PolAAr 3001 apparatus. The HPLC separations were performed using a Waters HPLC system consisting of binary HPLC pump (Waters 2545), a diode array detector (Waters 2998) and an Chiralpack column AD, 0.46 × 25 cm with a particle size of 10 µm. The following adsorbents were used: column chromatography, Merck silica gel 60 (70–230 mesh), analytical TLC, and Merck TLC plastic sheets silica gel 60 F254. The TLC plates were developed in chloroform-methanol, dichloromethane-methanol and hexane-isopropanol solvent systems. Visualization of spots was achieved with iodine vapors. All solvents were purified by methods described in the literature. 2,3-Epoxypropylphosphonates 30 [59,62], 3-azido-2-hydroxypropylphosphonates 31 [53] and (aziridin-2-yl)methylphosphonates 33 [54] were obtained according to procedures described in the literature.
The 1H-, 13C- and 31P-NMR spectra of all newly synthesized compounds are provided in Supplementary Materials.
3.2. General Procedure for the Synthesis of Diethyl N-[(tert-Butoxycarbonyl)aziridin-2-yl]methylphosphonates (RS)-24, (R)-24 and (S)-24
Crude (aziridin-2-yl)methylphosphonate (RS)-33, or (R)-33 or (S)-33 (1.00 mmol) and Boc2O (1.10 mmol) in anhydrous ethanol (3.6 mL) were stirred at room temperature for 3 h. The crude reaction mixtures were chromatographed on a silica gel column with chloroform-methanol (100:1, 50:1, v/v) to give pure (RS)-24, or (R)-24 or (S)-24.
Diethyl (RS)-N-[(tert-butoxycarbonyl)aziridin-2-yl]methylphosphonate [(RS)-24]. According to the general procedure from (RS)-33 (0.244 g, 1.26 mmol) and Boc2O (0.304 g, 1.39 mmol), (RS)-24 (0.368 g, 99%) was obtained as a colorless oil. IR (film): ν = 2981, 2933, 1720, 1232, 1053 cm−1. 1H NMR (600 MHz, CDCl3): δ = 4.18–4.08 (m, 4H, CH3CH2OP), 2.63 (ddd, J = 14.4 Hz, J = 8.5 Hz, J = 3.9 Hz, 1H, HCCP), 2.37–2.31 (m, 1H, HaCHbP), 2.35 (d, J = 5.9 Hz, HaCHbCCP), 2.04 (d, J = 3.6 Hz, 1H, HaCHbCCP), 1.63 (ddd, J = 19.2 Hz, J = 15.2 Hz, J = 8.3 Hz, 1H, HaCHbP), 1.45 (s, 9H, (CH3)3C), 1.33 (t, J = 7.1 Hz, 6H, 2 × CH3CH2OP). 13C NMR (151 MHz, CDCl3): δ = 161.9 (C=O), 81.5, 61.9 (d, J = 6.4 Hz, CCOP), 32.0 (d, J = 1.6 Hz, CCP), 32.0 (d, J = 5.6 Hz, CCCP), 29.6 (d, J = 140.0 Hz, CP), 27.9, 16.5 (d, J = 6.3 Hz, CCOP). 31P NMR (243 MHz, CDCl3): δ = 26.78. Anal. Calcd. for C12H24NO5P × 0.25 H2O: C, 48.40; H, 8.29; N, 4.71. Found: C, 48.26; H, 8.46; N, 4.59.
Diethyl (R)-N-[(tert-butoxycarbonyl)aziridin-2-yl]methylphosphonate [(R)-24]. According to the general procedure from (R)-33 (0.077 g, 0.399 mmol) and Boc2O (0.096 g, 0.44 mmol), (R)-24 (0.116 g, 99%) was obtained as a colorless oil. = +57.3 (c 1.19, CH2Cl2). Anal. Calcd. for C12H24NO5P × 0.25 H2O: C, 48.40; H, 8.29; N, 4.71. Found: C, 48.11; H, 8.44; N, 4.95.
Diethyl (S)-N-[(tert-butoxycarbonyl)aziridin-2-yl]methylphosphonate [(S)-24]. According to the general procedure from (S)-33 (0.063 g, 0.33 mmol) and Boc2O (0.078 g, 0.36 mmol), (S)-24 (0.086 g, 90%) was obtained as a colorless oil. = −52.6 (c 1.11, CH2Cl2). Anal. Calcd. for C12H24NO5P × 0.25 H2O: C, 48.40; H, 8.29; N, 4.71. Found: C, 48.26; H, 8.56; N, 4.90.
3.3. General Procedure for Benzylation of (RS)-33, (R)-33 and (S)-33
Crude (aziridin-2-yl)methylphosphonate (RS)-33, or (R)-33 or (S)-33 (1.00 mmol), benzyl bromide (1.00 mmol) and potassium carbonate (2.50 mmol) in anhydrous THF (9.0 mL) were stirred at room temperature for 24 h. The crude reaction mixtures were chromatographed on a silica gel column with dichloromethane-methanol (100:1, 50:1, v/v) to give pure (RS)-25, or (R)-25 or (S)-25. In addition to the expected aziridinephosphonate 25 traces of alkene 39 were also isolated.
Diethyl (RS)-N-(benzylaziridin-2-yl)methylphosphonate [(RS)-25]. According to the general procedure from racemic (RS)-33 (0.254 g, 1.31 mmol), benzyl bromide (0.225 g, 1.31 mmol) and potassium carbonate (0.454 g, 3.29 mmol), (RS)-25 (0.231 g, 62%) was obtained as a colorless oil. IR (film): ν = 3029, 2984, 2831, 1251, 1028, 735 cm−1. 1H NMR (600 MHz, CDCl3): δ = 7.34–7.24 (m, 5H, Ar-H), 4.14–4.04 (m, 4H, 2 × CH3CH2OP), 3.61 (d, J = 13.3 Hz, 1H, HaCHbPh), 3.30 (d, J = 13.3 Hz, 1H, HaCHbPh), 2.14 (ddd, J = 17.9 Hz, J = 15.1 Hz, J = 5.2 Hz, 1H, HaCHbP), 1.82–1.70 (m, 3H, HCCP, HaCHbP, HaCHbCCP), 1.52 (d, J = 6.2 Hz, HaCHbCCP), 1.31 (t, J = 7.1 Hz, 6H, 2 × CH3CH2OP). 13C NMR (151 MHz, CDCl3): δ = 138.8, 128.4, 128.1, 127.2, 64.4, 61.7 (d, J = 6.4 Hz, CCOP), 61.6 (d, J = 6.5 Hz, CCOP), 33.9 (d, J = 7.1 Hz, CCCP), 33.4 (d, J = 3.0 Hz, CCP), 30.0 (d, J = 138.4 Hz, CP), 16.46 (d, J = 6.0 Hz, CCOP). 31P NMR (243 MHz, CDCl3): δ = 28.55. Anal. Calcd. for C14H22NO3P × 0.75 H2O: C, 56.66; H, 7.98; N, 4.72. Found: C, 56.56; H, 7.90; N, 4.82.
Diethyl (R)-N-(benzylaziridin-2-yl)methylphosphonate [(R)-25]. According to the general procedure from (R)-33 (0.192 g, 0.99 mmol), benzyl bromide (0.170 g, 0.99 mmol) and potassium carbonate (0.344 g, 2.49 mmol), (R)-25 (0.192 g, 68%) was obtained as a colorless oil. = +28.6 (c 1.53, CH2Cl2). Anal. Calcd. for C14H22NO3P × 0.5 H2O: C, 57.53; H, 7.93; N, 4.79. Found: C, 57.61; H, 7.97; N, 4.84.
Diethyl (S)-N-(benzylaziridin-2-yl)methylphosphonate [(S)-25]. According to the general procedure from (S)-33 (0.158 g, 0.82 mmol), benzyl bromide (0.140 g, 0.82 mmol) and potassium carbonate (0.283 g, 2.05 mmol), (S)-25 (0.135 g, 58%) was obtained as a colorless oil. = −28.1 (c 1.01, CH2Cl2). Anal. Calcd. for C14H22NO3P × 0.5 H2O: C, 57.53; H, 7.93; N, 4.79. Found: C, 57.38; H, 7.94; N, 4.95.
Diethyl (E)-3-(N,N-dibenzylamino)-prop-1-en-1-ylphosphonate [(E)-39]. According to the general procedure from racemic (RS)-33 (0.254 g, 1.31 mmol), benzyl bromide (0.225 g, 1.31 mmol) and potassium carbonate (0.454 g, 3.29 mmol), (E)-39 (0.059g, 12%) was obtained as a yellow oil. IR (film): ν = 3085, 3061, 3028, 2982, 2714, 1633, 1602 cm−1. 1H NMR (600 MHz, CDCl3): δ = 7.36 (d, J = 7.3 Hz, 4H, Ar-H), 7.31 (t, J = 7.3 Hz, 4H, Ar-H), 7.24 (d, J = 7.3 Hz, 2H, Ar-H), 6.82 (ddt, J = 22.5 Hz, J = 17.2 Hz, J = 5.4 Hz, 1H, HCCP), 6.04–5.94 (m, 1H, HCP), 4.10–4.01 (m, 4H, 2 × CH3CH2OP), 3.59 (s, 4H, CH2Ph), 3.25–3.22 (m, CH2CCP), 1.31 (t, J = 7.1 Hz, 6H, 2 × CH3CH2OP). 13C NMR (151 MHz, CDCl3): δ = 150.8 (d, J = 5.0 Hz, CCP), 138.9, 128.7, 128.3, 127.1, 118.7 (d, J = 187.5 Hz, CP), 61.7 (d, J = 5.5 Hz, CCOP), 58.2, 55.8 (d, J = 22.5 Hz, CCCP), 16.4 (d, J = 6.3 Hz, CCOP). 31P NMR (243 MHz, CDCl3): δ = 18.25. Anal. Calcd. for C21H28NO3P × 0.25 H2O: C, 66.74; H, 7.60; N, 3.71. Found: C, 66.51; H, 7.54; N, 3.79.
3.4. General Procedures for the Synthesis of (RS)-26, (R)-26 and (S)-26
Method A: A solution of 24 (1.00 mmol) in ethanol (5 mL) was stirred under an atmospheric pressure of hydrogen over 20% Pd/C (25 mg) at room temperature for 18 h. The suspension was filtered through a layer of Celite, then the solution was concentrated and crystallized from hexane to produce corresponding 26.
Method B: A solution of 25 (1.00 mmol) in ethanol (5 mL) containing Boc2O (1.10 mmol) was stirred under an atmospheric pressure of hydrogen over 20% Pd/C (25 mg) at room temperature for 10 days. The suspension was filtered through a layer of Celite, then the solution was concentrated and chromatographed on a silica gel column with hexane-isopropanol (100:1, 50:1, 30:1, v/v). The appropriate fractions were collected and crystallized from hexane to produce 26.
Method C: A solution of 25 (1.00 mmol) in ethanol (5 mL) containing Boc2O (1.10 mmol) was stirred in a pressure reactor (10 bar) over 20% Pd(OH)2/C (25 mg) at room temperature for 4 days. The suspension was filtered through a layer of Celite, then the solution was concentrated and chromatographed on a silica gel column with hexane-isopropanol (100:1, 50:1, 30:1, v/v). The appropriate fractions were collected and crystallized from hexane to produce 26.
Diethyl (RS)-2-(tert-butoxycarbonylamino)propylphosphonate [(RS)-26]. According to the general procedure (method A) from (RS)-24 (0.148 g, 0.50 mmol) (RS)-26 (0.114 g, 77%) was obtained as a white solid. M.p. 58–61 °C. IR (film): ν = 3418, 3050, 2981, 1698, 1542, 1172 cm−1. 1H NMR (600 MHz, CDCl3): δ = 5.07 (bs, 1H, HNCHCP), 4.16–4.05 (m, 4H, 2 × CH3CH2OP), 4.05–3.92 (m, 1H, HCCP), 2.06 (ddd, J = 18.7 Hz, J = 15.4 Hz, J = 5.6 Hz, 1H, HaCHbP), 1.98 (td, J = 16.8 Hz, J = 6.2 Hz, HaCHbP), 1.43 (s, 9H, (CH3)3C), 1.36 (t, J = 7.1 Hz, 3H, CH3CH2OP), 1.35 (t, J = 7.1 Hz, 3H, CH3CH2OP), 1.31 (d, J = 6.7 Hz, 3H, CH3CH). 13C NMR (151 MHz, CDCl3): δ = 155.0 (C=O), 79.2, 61.7 (d, J = 6.4 Hz, CCOP), 61.6 (d, J = 6.6 Hz, CCOP), 42.5, 32.4 (d, J = 133.4 Hz, CP), 28.4 (3 × CH3), 21.7, 16.4 (d, J = 6.1 Hz, CCOP). 31P NMR (243 MHz, CDCl3): δ = 28.64. Anal. Calcd. for C12H26NO5P × 0.5 H2O: C, 48.08; H, 8.91; N, 4.67. Found: C, 48.33; H, 9.04; N, 4.77.
Diethyl (RS)-2-(tert-butoxycarbonylamino)propylphosphonate [(RS)-26]. According to the general procedure (method B) from (RS)-25 (0.064 g, 0.23 mmol) and Boc2O (0.054 g, 0.25 mmol) (RS)-26 (0.035 g, 52%) was obtained as a white solid.
Diethyl (RS)-2-(tert-butoxycarbonylamino)propylphosphonate [(RS)-26]. According to the general procedure (method C) from (RS)-25 (0.063 g, 0.22 mmol) and Boc2O (0.053 g, 0.24 mmol) (RS)-26 (0.035 g, 53%) was obtained as a white solid.
Diethyl (R)-2-(tert-butoxycarbonylamino)propylphosphonate [(R)-26]. According to the general procedure (method A) from (R)-24 (0.041 g, 0.140 mmol) (R)-26 (0.033 g, 80%) was obtained as a white solid. M.p. 71–73 °C. = +10.90 (c 1.10, CH2Cl2). Anal. Calcd. for C12H26NO5P × 0.75 H2O: C, 46.68; H, 8.98; N, 4.54. Found: C, 46.67; H, 8.68; N, 4.42.
Diethyl (S)-2-(tert-butoxycarbonylamino)propylphosphonate [(S)-26]. According to the general procedure (method A) from (S)-24 (0.041 g, 0.14 mmol) (S)-26 (0.032 g, 78%) was obtained as a white solid. M.p. 67–69 °C. = −10.90 (c 1.04, CH2Cl2). Anal. Calcd. for C12H26NO5P × 0.25 H2O: C, 48.08; H, 8.91; N, 4.67. Found: C, 48.37; H, 9.14; N, 4.62.
3.5. Ring-Opening Reaction of Diethyl N-[(tert-Butoxycarbonyl)aziridin-2-yl]methylphosphonate (RS)-24 with Trimethylsilyl Azide
A mixture of (RS)-24 (0.134 g, 0.46 mmol) and neat TMSN3 (0.158 g, 1.37 mmol) was stirred at room temperature for 4 days. The crude product was chromatographed on a silica gel column with chloroform-hexane (1:1, v/v) to give pure 3-azidopropylphosphonate (RS)-34 (0.042 g, 27%) and 2-azidopropylphosphonate (RS)-35 (0.005 g, 3%).
Diethyl (RS)-3-azido-2-(tert-butoxycarbonylamino)propylphosphonate [(RS)-34]. Colorless oil. IR (film): ν = 3284, 2981, 2871, 2102, 1710, 1528, 1168 cm−1. 1H NMR (600 MHz, CDCl3): δ = 5.23 (bs, 1H, HNCHP), 4.17–4.07 (m, 4H, 2 × CH3CH2OP), 4.07–3.98 (m, 1H, CHCP), 3.60 (dd, J = 12.2 Hz, J = 4.8 Hz, HaCHbCCP), 3.50 (dd, J = 12.2 Hz, J = 5.7 Hz, HaCHbCCP), 2.13–2.07 (m, 1H, HaCHbP), 2.02 (ddd, J = 18.1 Hz, J = 15.4 Hz, J = 6.4 Hz, 1H, HaCHbP), 1.43 (s, 9H, (CH3)3C), 1.34 and 1.33 (2 × t, J = 7.0 Hz, 6H, 2 × CH3CH2OP). 13C NMR (151 MHz, CDCl3): δ = 154.9 (C=O), 79.9, 62.1 (d, J = 6.4 Hz, CCOP), 61.9 (d, J = 6.6 Hz, CCOP), 54.1 (d, J = 8.3 Hz, CCCP), 46.3, 28.3, 27.9 (d, J = 138.3 Hz, CP), 16.4 (d, J = 5.8 Hz, CCOP). 31P NMR (243 MHz, CDCl3): δ = 27.44. Anal. Calcd. for C12H25N4O5P: C, 42.85; H, 7.49; N, 16.66. Found: C, 42.80; H, 7.78; N, 16.42.
Diethyl (RS)-2-azido-3-(tert-butoxycarbonylamino)propylphosphonate [(RS)-35]. Colorless oil. IR (film): ν = 3317, 2978, 2926, 2113, 1707, 1522, 1165 cm−1. 1H NMR (600 MHz, CDCl3): δ = 4.95 (bs, 1H, HNCHP), 4.19–4.09 (m, 4H, 2 × CH3CH2OP), 3.90–3.81 (m, 1H, CHCP), 3.42 (ddd, J = 14.1 Hz, J = 6.2 Hz, J = 4.8 Hz, HaCHbCCP), 3.25–3.18 (m, 1H, HaCHbCCP), 2.01 (dd, J = 18.6 Hz, J = 6.6 Hz, 2H, HaCHbP and HaCHbP), 1.44 (s, 9H, (CH3)3C), 1.35 (t, J = 7.1 Hz, 6H, 2 × CH3CH2OP). 13C NMR (151 MHz, CDCl3): δ = 155.8 (C=O), 79.9, 62.1 (d, J = 6.6 Hz, CCOP), 57.6, 45.0 (d, J = 13.3 Hz, CCCP), 28.9 (d, J = 142.9 Hz, CP), 28.3, 16.4 (d, J = 6.0 Hz, CCOP), 16.4 (d, J = 6.0 Hz, CCOP). 31P NMR (243 MHz, CDCl3): δ = 26.47. Anal. Calcd. for C12H25N4O5P: C, 42.85; H, 7.49; N, 16.66. Found: C, 42.75; H, 7.68; N, 16.39.
3.6. Ring-Opening of Diethyl N-[(tert-Butoxycarbonyl)aziridin-2-yl]methylphosphonate (RS)-24 with Acetic Acid
A mixture of (RS)-24 (0.093 g, 0.32 mmol) and glacial AcOH (0.636 mL, 11.11 mmol) was stirred at room temperature for 24 h. The reaction mixture was then concentrated in vacuo with toluene (3 × 10 mL). The crude product was chromatographed on a silica gel column with dichloromethane-methanol (200:1, 50:1 v/v) to give an inseparable mixture of 3-acetoxypropylphosphonate (RS)-36 and 2-acetoxypropylphosphonate (RS)-37 (0.106 g, 95%). 31P NMR (243 MHz, CDCl3): δ = 27.56 ppm (major regioisomer) and 26.25 ppm (minor regioisomer).
3.7. General Procedure for the Ring-Opening Reaction of Diethyl N-(Benzylaziridin-2-yl]methylphosphonates (RS)-25, (R)-25 and (S)-25 with Trimethylsilyl Azide
A mixture of (RS)-25, or (R)-25, or (S)-25 (1.00 mmol) and neat TMSN3 (3.00 mmol) was stirred at room temperature for 4 days. The crude product was chromatographed on a silica gel column with dichloromethane-methanol (200:1, v/v) to give pure (RS)-27, or (R)-27, or (S)-27.
Diethyl (RS)-3-azido-2-(benzylamino)propylphosphonate [(RS)-27]. According to the general procedure from (RS)-25 (0.106 g, 0.37 mmol) and TMSN3 (0.129 g, 1.12 mmol) azidophosphonate (RS)-27 (0.103g, 84%) was obtained as a colorless oil. IR (film): ν = 3454, 3028, 2983, 2868, 2103, 1453, 1236, 1026, 737, 699 cm−1. 1H NMR (600 MHz, CDCl3): δ = 7.35–7.30 (m, 4H, Ar-H), 7.25–7.23 (m, 1H, Ar-H), 4.13–4.03 (m, 4H, 2 × CH3CH2OP), 3.83 (d, J = 13.1 Hz, 1H, HaCHbPh), 3.80 (d, J = 13.1 Hz, 1H, HaCHbPh), 3.53 (dd, J = 12.3 Hz, J = 4.8 Hz, HaCHbCCP), 3.40 (ddd, J = 12.3 Hz, J = 4.9 Hz, J = 0.5 Hz, 1H, HaCHbCCP), 3.16–3.10 (m, 1H, HCCP), 2.00 (ddd, J = 18.2 Hz, J = 15.6 Hz, J = 6.7 Hz, 1H, HaCHbP), 1.96 (ddd, J = 18.5 Hz, J = 15.6 Hz, J = 6.2 Hz, 1H, HaCHbP), 1.30 and 1.29 (2 × t, J = 7.0 Hz, 6H, 2 × CH3CH2OP). 13C NMR (151 MHz, CDCl3): δ = 139.6, 128.5, 128.2, 127.2, 61.8 (d, J = 6.1 Hz, CCOP), 61.8 (d, J = 6.5 Hz, CCOP), 54.4 (d, J = 10.3 Hz, CCCP), 52.4 (d, J = 2.2 Hz, CCP), 51.2, 28.8 (d, J = 139.7 Hz, CP), 16.4 (d, J = 5.9 Hz, CCOP). 31P NMR (243 MHz, CDCl3): δ = 28.94. Anal. Calcd. for C14H23N4O3P × 0.25 H2O: C, 50.83; H, 7.16; N, 16.94. Found: C, 50.92; H, 7.23; N, 16.96.
Diethyl (R)-3-azido-2-(benzylamino)propylphosphonate [(R)-27]. According to the general procedure from (R)-25 (0.130 g, 0.46 mmol) and TMSN3 (0.159 g, 1.38 mmol) azidophosphonate (R)-27 (0.128 g, 85%) was obtained as a colorless oil. = −6.50 (c 1.20, CH2Cl2). Anal. Calcd. for C14H23N4O3P × 0.25 H2O: C, 50.83; H, 7.16; N, 16.94. Found: C, 51.05; H, 7.34; N, 16.66.
Diethyl (S)-3-azido-2-(benzylamino)propylphosphonate [(S)-27]. According to the general procedure from (S)-25 (0.073 g, 0.26 mmol) and TMSN3 (0.089 g, 0.77 mmol) azidophosphonate (S)-27 (0.070g, 83%) was obtained as a colorless oil. = +7.55 (c 1.06, CH2Cl2). Anal. Calcd. for C14H23N4O3P × 0.25 H2O: C, 50.83; H, 7.16; N, 16.94. Found: C, 50.99; H, 7.21; N, 16.69.
3.8. General Procedure for the Synthesis of Diethyl 2,3-Diaminopropylphosphonates (RS)-29, (R)-29 and (S)-29
A mixture of (RS)-27, or (R)-27, or (S)-27 (1.00 mmol) and triphenylphosphine (1.00 mmol) in toluene (6 mL) was stirred at room temperature for 2 h. The reaction mixture was concentrated in vacuo and then the crude product was chromatographed on a silica gel column with dichloromethane-methanol (50:1, 30:1, 15:1, 10:1, v/v) to give pure 2,3-diaminopropylphosphonates (RS)-29, or (R)-29, or (S)-29.
Diethyl (RS)-3-amino-2-(benzylamino)propylphosphonate [(RS)-29]. According to the general procedure from (RS)-27 (0.081 g, 0.248 mmol) and PPh3 (0.065 g, 0.248 mmol) 2,3-diaminopropylphosphonate (RS)-29 (0.065 g, 88%) was obtained as a yellowish oil. IR (film): ν = 3442, 3287, 3061, 3028, 2984, 2968, 1639, 1619, 1225, 1026, 700. 1H NMR (600 MHz, CDCl3): δ = 7.35–7.30 (m, 4H, Ar-H), 7.25–7.22 (m, 1H, Ar-H), 4.13–4.03 (m, 4H, 2 × CH3CH2OP), 3.81 (d, J = 13.1 Hz, 1H, HaCHbPh), 3.77 (d, J = 13.1 Hz, 1H, HaCHbPh), 3.02–2.94 (m, 2H, HaCHbCCP, HCCP), 2.71 (dd, J = 13.0 Hz, J = 5.6 Hz, 1H, HaCHbCCP), 2.02 (ddd, J = 18.2 Hz, J = 15.4 Hz, J = 6.8 Hz, 1H, HaCHbP), 1.92 (ddd, J = 18.5 Hz, J = 15.4 Hz, J = 5.8 Hz, 1H, HaCHbP), 1.30 (t, J = 7.1 Hz, 6H, CH3CH2OP), 1.29 (t, J = 7.0 Hz, 6H, CH3CH2OP). 13C NMR (151 MHz, CDCl3): δ = 140.2, 128.4, 128.2, 127.0, 61.7 (d, J = 6.6 Hz, CCOP), 61.7 (d, J = 6.6 Hz, CCOP), 53.9 (d, J = 2.6 Hz, CCP), 51.0, 44.9 (d, J = 10.2 Hz, CCCP), 28.6 (d, J = 139.7 Hz, CP), 16.5 (d, J = 5.9 Hz, CCOP). 31P NMR (243 MHz, CDCl3): δ = 30.33. Anal. Calcd. for C14H25N2O3P × H2O: C, 52.82; H, 8.55; N, 8.80. Found: C, 52.67; H, 8.44; N, 8.58.
Diethyl (R)-3-amino-2-(benzylamino)propylphosphonate [(R)-29]. According to the general procedure from (R)-27 (0.050 g, 0.15 mmol) and PPh3 (0.040 g, 0.15 mmol) (R)-2,3-diaminopropylphosphonate (R)-29 (0.036 g, 78%) was obtained as a yellowish oil. = +4.65 (c 0.93, CH2Cl2). Anal. Calcd. for C14H25N2O3P × 1.5 H2O: C, 51.37; H, 8.62; N, 8.56. Found: C, 51.48; H, 8.36; N, 8.81.
Diethyl (S)-3-amino-2-(benzylamino)propylphosphonate [(S)-29]. According to the general procedure from (S)-27 (0.026 g, 0.08 mmol) and PPh3 (0.021 g, 0.08 mmol) (S)-2,3-diaminopropylphosphonate (S)-29 (0.018 g, 75%) was obtained as a yellowish oil. = −3.70 (c 0.84, CH2Cl2). Anal. Calcd. for C14H25N2O3P × 1.25 H2O: C, 52.09; H, 8.59; N, 8.68. Found: C, 52.07; H, 8.83; N, 8.39.
3.9. General Procedure for the Ring-Opening Reaction of Diethyl N-(Benzylaziridin-2-yl)methylphosphonates (RS)-25, (R)-25 and (S)-25 with Acetic Acid
A mixture of (RS)-25, or (R)-25 or (S)-25 (1.00 mmol) and glacial acetic acid (35.00 mmol) was stirred at room temperature for 24 h. The reaction mixture was concentrated in vacuo with toluene (3 × 10 mL) and then the crude product was chromatographed on a silica gel column with dichloromethane-methanol (100:1, v/v) to give pure 3-acetoxypropylphosphonates (RS)-28, or (R)-28 or (S)-28.
Diethyl (RS)-3-acetoxy-2-(benzylamino)propylphosphonate [(RS)-28]. According to the general procedure from racemic (RS)-25 (0.101 g, 0.36 mmol) and AcOH (0.714 mL, 12.48 mmol) racemic 3-acetoxyphosphonate (RS)-28 (0.094 g, 77%) was obtained as a colorless oil. IR (film): ν = 3457, 3028, 2982, 2926, 1739, 1453, 1239, 1028, 964, 737, 700 cm−1. 1H NMR (600 MHz, C6D6): δ = 7.36–7.06 (m, 5H, Ar-H), 4.21–4.15 (m, 2H, HaCHbCCP, HaCHbCCP), 3.93–3.80 (m, 4H, 2 × CH3CH2OP), 3.73 (d, J = 13.3 Hz, 1H, HaCHbPh), 3.69 (d, J = 13.3 Hz, 1H, HaCHbPh), 3.25 (ddq, J = 12.6 Hz, J = 7.6 Hz, J = 5.3 Hz, 1H, HCCP), 1.91 (ddd, J = 18.7 Hz, J = 15.3 Hz, J = 5.3 Hz, 1H, HaCHbP), 1.86 (ddd, J = 17.7 Hz, J = 15.3 Hz, J = 7.6 Hz, 1H, HaCHbP), 1.61 (s, 3H, CH3CO), 0.99 (t, J = 7.1 Hz, 6H, CH3CH2OP). 13C NMR (151 MHz, CDCl3): δ = 170.9 (C=O), 139.8, 128.5, 128.2, 127.1, 65.9 (d, J = 12.2 Hz, CCCP), 61.8 (d, J = 6.5 Hz, CCOP), 51.4 (d, J = 3.1 Hz, CCP), 51.3, 28.5 (d, J = 140.3 Hz, CP), 20.9, 16.4 (d, = 6.4 Hz, CCOP). 31P NMR (243 MHz, CDCl3): δ = 29.24. Anal. Calcd. for C16H26NO5P × 0.25 H2O: C, 55.25; H, 7.68; N, 4.03. Found: C, 55.05; H, 7.92; N, 4.19.
Diethyl (R)-3-acetoxy-2-(benzylamino)propylphosphonate [(R)-28]. According to the general procedure from (R)-25 (0.058 g, 0.205 mmol) and AcOH (0.410 mL, 7.17 mmol) 3-acetoxyphosphonate (R)-28 (0.057 g, 82%) was obtained as a colorless oil. = –14.40 (c 1.00, CH2Cl2). Anal. Calcd. for C16H26NO5P × 0.5 H2O: C, 54.54; H, 7.73; N, 3.98. Found: C, 54.84; H, 7.90; N, 4.17.
Diethyl (S)-3-acetoxy-2-(benzylamino)propylphosphonate [(S)-28]. According to the general procedure from (S)-25 (0.040 g, 0.14 mmol) and AcOH (0.283 mL, 4.94 mmol) 3-acetoxyphosphonate (S)-28 (0.04 g, 83%) was obtained as a colorless oil. = +19.39 (c 0.98, CH2Cl2). Anal. Calcd. for C16H26NO5P × 0.5 H2O: C, 54.54; H, 7.73; N, 3.98. Found: C, 54.79; H, 7.96; N, 4.13.
3.10. General Procedure for the Ring-Opening Reaction of 2,3-Epoxypropylphosphonates (RS)-30, (S)-30 and (R)-30 with (R)-1-Phenylethylamine (Determination of ee)
A mixture of crude 2,3-epoxypropylphosponate (RS)-30, or (S)-30, or (R)-30 (1.00 mmol) and (R)-1-phenylethylamine (1.10 mmol) in the presence of Ca(OTf)2 (0.05 mmol) was stirred at 50 °C for 1 h.
From 2,3-epoxypropylphosponate (RS)-30 (0.062 g, 0.32 mmol) and (R)-1-phenylethylamine (0.044 mL, 0.35 mmol) a 1:1 mixture of diethyl (R)-2-hydroxy-3-[(R)-1-phenylethylamino]propylphosphonate (2R,1R′)-42 (δ31P = 30.04 ppm) and diethyl (S)-2-hydroxy-3-[(R)-1-phenylethylamino]propylphosphonate (2S,1R′)-42 (δ31P = 29.80 ppm) was produced.
From (S)-2,3-epoxypropylphosponate (S)-30 (0.020 g, 0.10 mmol) and (R)-1-phenylethylamine (0.015 mL, 0.11 mmol) a 98:2 mixture of (2S,1R′)-42 (δ31P = 29.80 ppm) and (2R,1R′)-42 (δ31P = 30.04 ppm) was produced, and the enantiomeric purity of the starting epoxide (S)-30 was determined (ee = 96%).
From (R)-2,3-epoxypropylphosponate (R)-30 (0.031 g, 0.16 mmol) and (R)-1-phenylethylamine (0.022 mL, 0.18 mmol) a 96:4 mixture of (2R,1R′)-31 (δ31P = 30.04 ppm) and (2S,1R′)-42 (δ31P = 29.80 ppm) was produced, and the enantiomeric purity of the starting epoxide (R)-30 was determined (ee = 92%).
4. Conclusions
Racemic and enantiomerically enriched (aziridin-2-yl)methylphosphonates 33 were transformed into N-protected derivatives 24 (N-Boc) and 25 (N-Bn), which were then used as convenient substrates for the synthesis of propylphosphonates respectively functionalized with amino and hydroxyl groups at C2 and C3.
While catalytic hydrogenation of N-Boc-aziridine 24 gave diethyl 2-(tert-butoxycarbonylamino)propylphosphonate 26 as a single product, nucleophilic ring-opening reactions in 24 with both trimethylsilyl azide and acetic acid occurred at C2 and C3 atoms of the aziridine ring leading to the formation of two regioismers, i.e., 2-amino-3-azidopropylphosphonate 34 and 3-amino-2-azidopropylphosphonate 35 from 24 and trimethylsilyl azide, and 3-acetoxy-2-aminopropylphosphonate 36 and 2-acetoxy-3-aminopropylphosphonate 37 from 24 and acetic acid. The reaction of N-Bn-aziridine 25 with both trimethylsilyl azide and acetic acid proceeded also regiospecifically with the opening of aziridine ring at less-hindered C3 atom to give 3-azido-2-benzylaminopropylphosphonate 27 and 3-acetoxy-2-benzylaminopropylphosphonate 28, respectively.
Enantiomerically enriched (aziridin-2-yl)methylphosphonates (R)-33 and (S)-33 were obtained from racemic epoxide 30 via its hydrolytic kinetic resolution (HKR) followed by epoxide ring-opening in (S)-30 and (R)-30 with sodium azide and further transformation of 3-azido-2-hydroxypropylphosphonates (S)-31 and (R)-31 into (aziridin-2-yl)methylphosphonates (R)- and (S)-33. (Aziridin-2-yl)methylphosphonates (R)-33 and (S)-33 were successfully converted into respectively protected derivatives (R)-24 and (S)-24 (N-Boc) as well as (R)-25 and (S)-25 (N-Bn).
Enantiomerically enriched 2-(N-Boc-amino)propylphosphonates (R)-26 and (S)-26 were efficiently obtained from N-Boc-(aziridin-2-yl)methylphosphonates (R)-24 and (S)-24, while N-Bn-(aziridin-2-yl)methylphosphonates (R)-25 and (S)-25 was used effective preparation of N-Boc-2,3-diaminopropylphosphonates (R)-29 and (S)-29 as well as 2-(N-Bn-amino)-3-acetoxypropylphosphonates (R)-28 and (S)-28.
Supplementary Materials
The following supporting information can be downloaded at https://www.mdpi.com/article/10.3390/molecules28031466/s1. Figure S1: 1H NMR Spectrum for racemic 24 in CDCl3; Figure S2: 13C NMR Spectrum for racemic 24 in CDCl3; Figure S3: 31P NMR Spectrum for racemic 24 in CDCl3; Figure S4: 1H NMR Spectrum for (R)-24 in CDCl3; Figure S5: 31P NMR Spectrum for (R)-24 in CDCl3; Figure S6: 1H NMR Spectrum for (S)-24 in CDCl3; Figure S7: 31P NMR Spectrum for (S)-24 in CDCl3; Figure S8: 1H NMR Spectrum for racemic 25 in CDCl3; Figure S9: 13C NMR Spectrum for racemic 25 in CDCl3; Figure S10: 31P NMR Spectrum for racemic 25 in CDCl3; Figure S11: 1H NMR Spectrum for (R)-25 in CDCl3; Figure S12: 31P NMR Spectrum for (R)-25 in CDCl3; Figure S13: 1H NMR Spectrum for (S)-25 in CDCl3; Figure S14: 31P NMR Spectrum for (S)-25 in CDCl3; Figure S15: 1H NMR Spectrum for racemic 26 in CDCl3; Figure S16: 13C NMR Spectrum for racemic 26 in CDCl3; Figure S17: 31P NMR Spectrum for racemic 26 in CDCl3; Figure S18: 1H NMR Spectrum for (R)-26 in CDCl3; Figure S19: 31P NMR Spectrum for (R)-26 in CDCl3; Figure S20: 1H NMR Spectrum for (S)-26 in CDCl3; Figure S21: 31P NMR Spectrum for (S)-26 in CDCl3; Figure S22: 1H NMR Spectrum for racemic 27 in CDCl3; Figure S23: 13C NMR Spectrum for racemic 27 in CDCl3; Figure S24: 31P NMR Spectrum for racemic 27 in CDCl3; Figure S25: 1H NMR Spectrum for (R)-27 in CDCl3; Figure S26: 31P NMR Spectrum for (R)-27 in CDCl3; Figure S27: 1H NMR Spectrum for (S)-27 in CDCl3; Figure S28: 31P NMR Spectrum for (S)-27 in CDCl3; Figure S29: 1H NMR Spectrum for racemic 28 in CDCl3; Figure S30: 13C NMR Spectrum for racemic 28 in CDCl3; Figure S31: 31P NMR Spectrum for racemic 28 in CDCl3; Figure S32: 1H NMR Spectrum for (R)-28 in CDCl3; Figure S33: 31P NMR Spectrum for (R)-28 in CDCl3; Figure S34: 1H NMR Spectrum for (S)-28 in CDCl3; Figure S35: 31P NMR Spectrum for (S)-28 in CDCl3; Figure S36: 1H NMR Spectrum for racemic 29 in CDCl3; Figure S37: 13C NMR Spectrum for racemic 29 in CDCl3; Figure S38: 31P NMR Spectrum for racemic 29 in CDCl3; Figure S39: 1H NMR Spectrum for (R)-29 in CDCl3; Figure S40: 31P NMR Spectrum for (R)-29 in CDCl3; Figure S41: 1H NMR Spectrum for (S)-29 in CDCl3; Figure S42: 31P NMR Spectrum for (S)-29 in CDCl3; Figure S43: 1H NMR Spectrum for racemic 34 in CDCl3; Figure S44: 13C NMR Spectrum for racemic 34 in CDCl3; Figure S45: 31P NMR Spectrum for racemic 34 in CDCl3; Figure S46: 1H NMR Spectrum for racemic 35 in CDCl3; Figure S47: 13C NMR Spectrum for racemic 35 in CDCl3; Figure S48: 31P NMR Spectrum for racemic 35 in CDCl3; Figure S49: 1H NMR Spectrum for (E)-39 in CDCl3; Figure S50: 13C NMR Spectrum for (E)-39 in CDCl3; Figure S51: 31P NMR Spectrum for (E)-39 in CDCl3; Figure S52: 31P NMR Spectrum for crude mixture after reaction of racemic 30 with (R)-1-phenylethylamine in CDCl3; Figure S53: 31P NMR Spectrum for crude mixture after reaction of (S)-30 with (R)-1-phenylethylamine in CDCl3; Figure S54: 31P NMR Spectrum for crude mixture after reaction of (R)-30 with (R)-1-phenylethylamine in CDCl3; Figure S55: 31P NMR Spectrum for the mixture of crude (S)-31 with 4 equiv: of quinine in CDCl3; Figure S56: 31P NMR Spectrum for the mixture of crude (R)-31 with 4 equiv: of quinine in CDCl3; Figure S57: Analytical chromatogram for racemic 27; Figure S58: Analytical chromatogram for (R)-27; Figure S59: Analytical chromatogram for (S)-27; Figure S60: Analytical chromatogram for racemic 28; Figure S61: Analytical chromatogram for (R)-28; Figure S62: Analytical chromatogram for (S)-28.
Author Contributions
Conceptualization, I.E.G.; methodology, A.T., D.G.P. and I.E.G.; synthesis, A.T.; investigation, A.T., I.E.G. and D.G.P.; resources and project administration, A.T. and I.E.G.; writing—original draft preparation, A.T. and I.E.G.; writing—review and editing, A.T., D.G.P. and I.E.G.; supervision, I.E.G.; funding acquisition, D.G.P. and I.E.G. All authors have read and agreed to the published version of the manuscript.
Funding
This work was funded by the Medical University of Lodz (internal fund 503/3-014-01/503-31-001).
Institutional Review Board Statement
Not applicable.
Informed Consent Statement
Not applicable.
Data Availability Statement
Data is contained within the article.
Conflicts of Interest
The authors declare no conflict of interest.
Sample Availability
Samples are not available.
References
- Yudin, A.K. Aziridines and Epoxides in Organic Synthesis; Wiley-VCH Verlag GmbH & Co. KGaA: Hoboken, NJ, USA, 2006. [Google Scholar] [CrossRef]
- Kametani, T.; Honda, T. Application of Aziridines to the Synthesis of natural Products. Adv. Heterocycl. Chem. 1986, 39, 181–236. [Google Scholar] [CrossRef]
- Tanner, D. Chiral Aziridines—Their Synthesis and Use in Stereoselective Transformations. Angew. Chem. Int. Ed. Engl. 1994, 33, 599–619. [Google Scholar] [CrossRef]
- McCoull, W.; Davis, F.A. Recent synthetic applications of chiral aziridines. Synthesis 2000, 2000, 1347–1365. [Google Scholar] [CrossRef]
- Sweeney, J.B. Aziridines: Epoxides’ ugly cousins? Chem. Soc. Rev. 2002, 31, 247–258. [Google Scholar] [CrossRef] [PubMed]
- Hu, X.E. Nucleophilic ring opening of aziridines. Tetrahedron 2004, 60, 2701–2743. [Google Scholar] [CrossRef]
- Singh, G.S.; D’Hooghe, M.; De Kimpe, N. Synthesis and reactivity of C-heteroatom-substituted aziridines. Chem. Rev. 2007, 107, 2080–2135. [Google Scholar] [CrossRef] [PubMed]
- Stankovic, S.; D’Hooghe, M.; Catak, S.; Eum, H.; Waroquier, M.; Van Speybroeck, V.; De Kimpe, N.; Ha, H.J. Regioselectivity in the ring opening of non-activated aziridines. Chem. Soc. Rev. 2012, 41, 643–665. [Google Scholar] [CrossRef]
- Singh, G.S. Synthetic Aziridines in Medicinal Chemistry: A Mini-Review. Mini-Rev. Med. Chem. 2016, 16, 892–904. [Google Scholar] [CrossRef]
- Singh, G.S. Chapter Four—Advances in synthesis and chemistry of aziridines. Adv. Heterocycl. Chem. 2019, 129, 245–335. [Google Scholar] [CrossRef]
- Qadir, T.; Amin, A.; Sarkar, D.; Sharma, P.K. A Review on Recent Advances in the Synthesis of Aziridines and their Applications in Organic Synthesis. Curr. Org. Chem. 2021, 25, 1868–1893. [Google Scholar] [CrossRef]
- Hata, T.; Sano, Y.; Sugawara, R.; Matsumae, A.; Kanamori, K.; Shima, T.; Hoshi, T. Mitomycin, a New Antibiotic from Streptomyces. I. J. Antibiot. 1956, 9, 141–146. [Google Scholar] [CrossRef]
- Sugawara, R.; Hata, T. Mitomycin, a New Antibiotic from Streptomyces. II. Description of the Strain. J. Antibiot. 1956, 9, 147–151. [Google Scholar] [CrossRef]
- Evans, J.S.; Gray, J.E.; Musser, E.A. Porfiromycin Antitumor and Toxicopathologic Studies. Antibiot. Chemother. 1961, 11, 445–453. [Google Scholar]
- Ishizeki, S.; Ohtsuka, M.; Irinoda, K.; Kukita, K.I.; Nagaoka, K.; Nakashima, T. Azinomycin-A and Azinomycin-B, New Antitumor Antibiotics. III. Antitumor Activity. J. Antibiot. 1987, 40, 60–65. [Google Scholar] [CrossRef]
- Argoudelis, A.D.; Reusser, F.; Whaley, H.A.; Baczynskyj, L.; Mizsak, S.A.; Wnuk, R.J. Antibiotics Produced by Streptomyces-Ficellus. I. Ficellomycin. J. Antibiot. 1976, 29, 1001–1006. [Google Scholar] [CrossRef]
- Ham, G.E. Activated Aziridines. I. Reaction of Anilines with O-Ethyl-N,N-Ethyleneurethane. Mechanism + Hammett p-Constant. J. Org. Chem. 1964, 29, 3052–3055. [Google Scholar] [CrossRef]
- Dogan, O.; Babiz, H.; Gozen, A.G.; Budak, S. Synthesis of 2-aziridinyl phosphonates by modified Gabriel-Cromwell reaction and their antibacterial activities. Eur. J. Med. Chem. 2011, 46, 2485–2489. [Google Scholar] [CrossRef]
- Khan, R.; Ulusan, S.; Banerjee, S.; Dogan, O. Synthesis, Characterization and Evaluation of Cytotoxic Activities of Novel Aziridinyl Phosphonic Acid Derivatives. Chem. Biodivers. 2019, 16, e1900375. [Google Scholar] [CrossRef]
- Ordonez, M.; Rojas-Cabrera, H.; Cativiela, C. An overview of stereoselective synthesis of alpha-aminophosphonic acids and derivatives. Tetrahedron 2009, 65, 17–49. [Google Scholar] [CrossRef]
- Viveros-Ceballos, J.L.; Ordonez, M.; Sayago, F.J.; Cativiela, C. Stereoselective Synthesis of -Amino-C-phosphinic Acids and Derivatives. Molecules 2016, 21, 1141. [Google Scholar] [CrossRef]
- Mucha, A.; Kafarski, P.; Berlicki, L. Remarkable Potential of the alpha-Aminophosphonate/Phosphinate Structural Motif in Medicinal Chemistry. J. Med. Chem. 2011, 54, 5955–5980. [Google Scholar] [CrossRef] [PubMed]
- Vigot, R.; Batini, C. Purkinje cell inhibitory responses to 3-APPA (3-aminopropylphosphonic acid) in RAT cerebellar slices. Neurosci. Res. 1999, 34, 141–147. [Google Scholar] [CrossRef] [PubMed]
- Ma, D. Conformationally Constrained Analogues of L-Glutamate as Subtype-Selective Modulators of Metabotropic Glutamate Receptors. Bioorg. Chem. 1999, 27, 20–34. [Google Scholar] [CrossRef]
- Chaton, C.T.; Rodriguez, E.S.; Reed, W.W.; Li, J.; Kenner, C.W.; Korotkov, K.V. Structural analysis of mycobacterial homoserine transacetylases central to methionine biosynthesis reveals druggable active site. Sci. Rep. 2019, 9, 20267. [Google Scholar] [CrossRef]
- Dinér, P.; Amedjkouh, M. Aminophosphonates as organocatalysts in the direct asymmetric aldol reaction: Towards syn selectivity in the presence of Lewis bases. Org. Biomol. Chem. 2006, 4, 2091–2096. [Google Scholar] [CrossRef]
- Boduszek, B.; Oleksyszyn, J.; Kam, C.-M.; Selzler, J.; Smith, R.E.; Powers, J.C. Dipeptide Phosphonates as Inhibitors od Dipeptidyl Peptidase IV. J. Med. Chem. 1994, 37, 3969–3976. [Google Scholar] [CrossRef]
- Huang, R.Z.; Wang, C.Y.; Li, J.F.; Yao, G.Y.; Pan, Y.M.; Ye, M.Y.; Wang, H.S.; Zhang, Y. Synthesis, antiproliferative and apoptosis-inducing effects of novel asiatic acid derivatives containing alpha-aminophosphonates. RSC Adv. 2016, 6, 62890–62906. [Google Scholar] [CrossRef]
- Jin, L.; Zhang, B.; Hua, S.X.; Ji, M.; Huang, X.C.; Huang, R.Z.; Wang, H.S. Glycyrrhetinic acid derivatives containing aminophosphonate ester species as multidrug resistance reversers that block the NF-kappa B pathway and cell proliferation. Bioorg. Med. Chem. Lett. 2018, 28, 3700–3707. [Google Scholar] [CrossRef]
- Abdou, W.M.; Ganoub, N.A.; Sabry, E. Design, synthesis and pharmacological screening of beta-amino-, thiadiazole/thiadiazine-phosphonate based triazole motifs as antimicrobial/cytotoxic agents. Acta Pharm. 2014, 64, 267–284. [Google Scholar] [CrossRef]
- Huang, X.C.; Wang, M.; Pan, Y.M.; Tian, X.Y.; Wang, H.S.; Zhang, Y. Synthesis and antitumor activities of novel alpha-aminophosphonates dehydroabietic acid derivatives. Bioorg. Med. Chem. Lett. 2013, 23, 5283–5289. [Google Scholar] [CrossRef]
- Rasal, S.A.; Dhavan, P.P.; Jadhav, B.L.; Shimpi, N.G. Synthesis of new alpha-aminophosphonates using nanoscale nickel-based metal-organic framework as a heterogeneous catalyst and their antibacterial activity. Appl. Organomet. Chem. 2019, 34, e5317. [Google Scholar] [CrossRef]
- Poola, S.; Nagaripati, S.; Tellamekala, S.; Chintha, V.; Kotha, P.; Yagani, J.R.; Golla, N.; Cirandur, S.R. Green synthesis, antibacterial, antiviral and molecular docking studies of alpha-aminophosphonates. Synth. Commun. 2020, 50, 2655–2672. [Google Scholar] [CrossRef]
- Shashikumar, N.D. Preparation of New alpha-Aminophosphonate Derivatives by Kabachnik-Fields Reaction Using a Recyclable Catalyst. J. Chem. 2013, 2013, 240381. [Google Scholar] [CrossRef]
- Xu, Y.S.; Yan, K.; Song, B.; Xu, G.F.; Yang, S.; Xue, W.; Hu, D.Y.; Lu, P.P.; Ouyang, G.P.; Jin, L.H.; et al. Synthesis and antiviral bioactivities of alpha-aminophosphonates containing alkoxyethyl moieties. Molecules 2006, 11, 666–676. [Google Scholar] [CrossRef] [PubMed]
- Tian, J.; Ji, R.J.; Wang, H.; Li, S.Y.; Zhang, G.P. Discovery of Novel alpha-Aminophosphonates with Hydrazone as Potential Antiviral Agents Combined with Active Fragment and Molecular Docking. Front. Chem. 2022, 10, 911453. [Google Scholar] [CrossRef]
- Tekale, S.U.; Kauthale, S.S.; Shaikh, R.U.; Marathe, R.P.; Nawale, R.B.; Pawar, R.P. Aluminium nitride catalyzed solvent-free synthesis of some novel biologically active alpha-aminophosphonates. J. Iran. Chem. Soc. 2014, 11, 717–724. [Google Scholar] [CrossRef]
- Aissa, R.; Guezane-Lakoud, S.; Gali, L.; Toffano, M.; Ignaczak, A.; Adamiak, M.; Merabet-Khelassi, M.; Guillot, R.; Aribi-Zouioueche, L. New promising generation of phosphates alpha-aminophosphonates: Design, synthesis, in-vitro biological evaluation and computational study. J. Mol. Struct. 2022, 1247, 131336. [Google Scholar] [CrossRef]
- Bazine, I.; Cheraiet, Z.; Bensegueni, R.; Bensouici, C.; Boukhari, A. Synthesis, antioxidant and anticholinesterase activities of novel quinoline-aminophosphonate derivatives. J. Heterocycl. Chem. 2020, 57, 2139–2149. [Google Scholar] [CrossRef]
- Reddy, K.M.K.; Santhisudha, S.; Mohan, G.; Peddanna, K.; Rao, C.A.; Reddy, C.S. Nano Gd2O3 catalyzed synthesis and anti-oxidant activity of new alpha-aminophosphonates. Phosphorus Sulfur Silicon Relat. Elem. 2016, 191, 933–938. [Google Scholar] [CrossRef]
- Shaik, Y.H.; Chintha, V.; Gundluru, M.; Sarva, S.; Cirandur, S.R. An efficient nano-FGT catalyzed green synthesis of alpha-aminophosphonates and evaluation of their antioxidant, anti-inflammatory activity and molecular docking studies. Synth. Commun. 2022, 52, 129–144. [Google Scholar] [CrossRef]
- Shaikh, S.; Dhavan, P.; Singh, P.; Uparkar, J.; Vaidya, S.P.; Jadhav, B.L.; Ramana, M.M.V. Design, synthesis and biological evaluation of novel antipyrine based alpha-aminophosphonates as anti-Alzheimer and anti-inflammatory agent. J. Biomol. Struct. Dyn. 2023, 41, 386–401. [Google Scholar] [CrossRef] [PubMed]
- Shaikh, S.; Dhavan, P.; Pavale, G.; Ramana, M.M.V.; Jadhav, B.L. Design, synthesis and evaluation of pyrazole bearing α-aminophosphonate derivatives as potential acetylcholinesterase inhibitors against Alzheimer’s disease. Bioorg. Chem. 2020, 96, 103589. [Google Scholar] [CrossRef] [PubMed]
- Shaikh, S.; Dhavan, P.; Singh, P.; Uparkar, J.; Vaidya, S.P.; Jadhav, B.L.; Ramana, M.V. Synthesis of carbazole based alpha-aminophosphonate derivatives: Design, molecular docking and in vitro cholinesterase activity. J. Biomol. Struct. Dyn. 2020, 40, 4801–4814. [Google Scholar] [CrossRef] [PubMed]
- Shaikh, S.; Dhavan, P.; Ramana, M.M.V.; Jadhav, B.L. Design, synthesis and evaluation of new chromone-derived aminophosphonates as potential acetylcholinesterase inhibitor. Mol. Divers. 2020, 25, 811–825. [Google Scholar] [CrossRef] [PubMed]
- Wanat, W.; Talma, M.; Pawełczak, M.; Kafarski, P. Phosphonic Acid Analogues of Phenylglycine as Inhibitors of Aminopeptidases: Comparison of Porcine Aminopeptidase N, Bovine Leucine Aminopeptidase, Tomato Acidic Leucine Aminopeptidase and Aminopeptidase from Barley Seeds. Pharmaceuticals 2019, 12, 139. [Google Scholar] [CrossRef] [PubMed]
- Weglarz-Tomczak, E.; Staszewska, K.; Talma, M.; Mucha, A. Enantiomeric alpha, beta-diaminoethylphosphonic acids as potent inhibitors of aminopeptidases-stereoselective synthesis and biological activity. Tetrahedron Lett. 2016, 57, 4812–4814. [Google Scholar] [CrossRef]
- Sreelakshmi, P.; Santhisudha, S.; Reddy, G.R.; Subbarao, Y.; Peddanna, K.; Apparao, C.; Reddy, C.S. Nano-Cuo-Au-catalyzed solvent-free synthesis of -aminophosphonates and evaluation of their antioxidant and -glucosidase enzyme inhibition activities. Synth. Commun. 2018, 48, 1148–1163. [Google Scholar] [CrossRef]
- Wroblewski, A.E.; Drozd, J. Synthesis of four enantiomers of 2-acetamido-1-hydroxypropylphosphonates. Tetrahedron Asymmetry 2007, 18, 1134–1141. [Google Scholar] [CrossRef]
- Wroblewski, A.E.; Drozd, J. Synthesis of four enantiomers of 2,3-di(N-Boc-amino)-1-hydroxypropylphosphonates. Tetrahedron Asymmetry 2009, 20, 2240–2246. [Google Scholar] [CrossRef]
- Glowacka, I.E.; Piotrowska, D.G.; Wroblewski, A.E.; Trocha, A. Synthesis of the four enantiomers of diethyl 1,2-di(N-Boc-amino) propylphosphonates. Tetrahedron Asymmetry 2017, 28, 1602–1607. [Google Scholar] [CrossRef]
- Trocha, A.; Piotrowska, D.G.; Glowacka, I.E. Synthesis of Enantiomerically Pure N-Boc-Protected 1,2,3-Triaminopropylphosphonates and 1,2-Diamino-3-Hydroxypropylphosphonates. Molecules 2019, 24, 3857. [Google Scholar] [CrossRef] [PubMed]
- Glowacka, I.E. Synthesis of enantiomerically pure diethyl (R)- and (S)-2-hydroxy-3-(1,2,3-triazol-1-yl)propylphosphonates. Tetrahedron Asymmetry 2009, 20, 2270–2278. [Google Scholar] [CrossRef]
- Nesterov, V.V.; Kolodiazhnyi, O.I. Efficient method for the asymmetric reduction of alpha- and beta-ketophosphonates. Tetrahedron 2007, 63, 6720–6731. [Google Scholar] [CrossRef]
- Wroblewski, A.E.; Drozd, J. Synthesis of four stereoisomers of protected 1,2-epiimino-3-hydroxypropylphosphonates. Tetrahedron Asymmetry 2011, 22, 200–206. [Google Scholar] [CrossRef]
- Piotrowska, D.G.; Wroblewski, A.E. Towards Convenient Precursors for alpha-Phosphonylated Aziridinium Ions. Phosphorus Sulfur Silicon Relat. Elem. 2009, 184, 998–1016. [Google Scholar] [CrossRef]
- Piotrowska, D.G.; Wróblewski, A.E. Stereoselective synthesis of β-functionalized α-aminophosphonates via aziridinium ions. Tetrahedron 2003, 59, 8405–8410. [Google Scholar] [CrossRef]
- D’Hooghe, M.; Van Brabandt, W.; De Kimpe, N. New synthesis of propargylic amines from 2-(bromomethyl)aziridines. Intermediacy of 3-bromoazetidinium salts. J. Org. Chem. 2004, 69, 2703–2710. [Google Scholar] [CrossRef] [PubMed]
- Wroblewski, A.E.; Halajewska-Wosik, A. Towards enantiomeric 2,3-epoxypropylphosphonates. Tetrahedron Asymmetry 2000, 11, 2053–2055. [Google Scholar] [CrossRef]
- Gryshkun, E.V.; Nesterov, V.; Kolodyazhnyi, O.I. Enantioselective reduction of ketophosphonates using adducts of chiral natural acids with sodium borohydride. Arkivoc 2012, 2012, 100–117. [Google Scholar] [CrossRef]
- Wroblewski, A.E.; Halajewska-Wosik, A. Synthesis of novel enantiomerically pure C-3-symmetric trialkanolamine ligand containing phosphoryl groups. Synthesis 2006, 2006, 989–994. [Google Scholar] [CrossRef]
- Griffin, C.E.; Kundu, S.K. Phosphonic Acids and Esters. 20. Preparation and Ring-Opening Reactions of Alpha, Beta-Epoxyalkylphosphonates and Beta-Gamma- Epoxyalkylphosphonates. Proton Magnetic Resonance Spectra of Vicinally Substituted Ethyl- and Propylphosphonates. J. Org. Chem. 1969, 34, 1532–1539. [Google Scholar] [CrossRef]
Disclaimer/Publisher’s Note: The statements, opinions and data contained in all publications are solely those of the individual author(s) and contributor(s) and not of MDPI and/or the editor(s). MDPI and/or the editor(s) disclaim responsibility for any injury to people or property resulting from any ideas, methods, instructions or products referred to in the content. |
© 2023 by the authors. Licensee MDPI, Basel, Switzerland. This article is an open access article distributed under the terms and conditions of the Creative Commons Attribution (CC BY) license (https://creativecommons.org/licenses/by/4.0/).














