2-Methyl-6-(4-aminophenyl)-4,5-dihydro-3(2H)-pyridazinone Synthon for Some New Annelated 1,2,3-Selena/Thiadiazoles and 2H-Diazaphospholes with Anticipated Biological Activity and Quantum Chemical Calculations
Abstract
1. Introduction
2. Results and Discussion
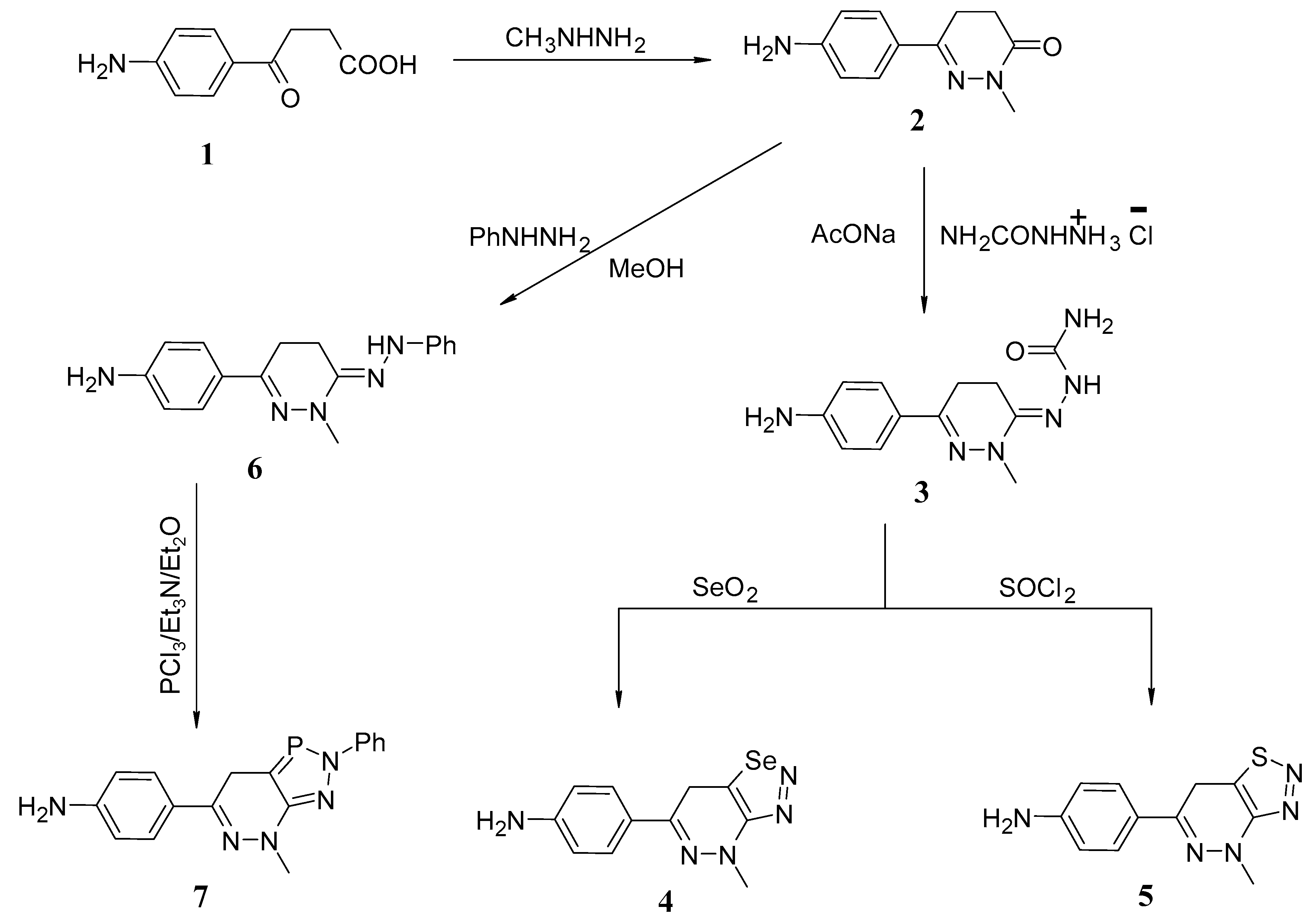
2.1. Chemistry
2.2. Biological Activities
2.3. Cytotoxicity
3. Chemical Reactivity Descriptors
3.1. Frontier Molecular Orbital (FMO)
3.2. Other Global Descriptors Parameters
3.3. Molecular Electrostatic Potential
3.4. Dimer Study
4. Experimental
4.1. Synthesis
4.2. Characterization
5. Conclusions
Supplementary Materials
Author Contributions
Funding
Institutional Review Board Statement
Informed Consent Statement
Data Availability Statement
Conflicts of Interest
Sample Availability
References
- Kandile, N.G.; Mohamed, M.I.; Zaky, H.; Mohamed, H.M. Novel pyridazine derivatives: Synthesis and antimicrobial activity evaluation. Eur. J. Med. Chem. 2009, 44, 1989. [Google Scholar] [CrossRef] [PubMed]
- El-Shamy, I.E.; Hleli, E.; Alsheikh, A.A.; Yawer, M.A.; El-Hashash, M.A.; Dybal, J.; Abdel-Mohsen, A.M. Synthesis of Some Mono- and Disaccharide-Grafting Phthalazine Derivatives and Some New Se-Nucleoside Analogues: Antibacterial Properties, Quantum Chemical Calculations, and Cytotoxicity. Mol. J. 2023, 28, 317. [Google Scholar] [CrossRef] [PubMed]
- Soliman, A.Y.; Mohamed, F.K.; Abdel-Motaleb, R.M.; Abdel-Rahman, R.M.; Abdel-Mohsen, A.M.; Fouda, M.M.G.; Al-Deyab, S.S.; Mohamed, A.S. Reaction and Antibacterial efficacy of active methylene compounds with coumarin derivatives. J. Pure Appl. Microbiol. 2013, 7, 435–439. [Google Scholar]
- El-Shamy, I.E.; Abdel-Mohsen, A.M.; Alsheikh, A.A.; Fouda, M.M.G.; Al-Deyab, S.S.; El-Hashash, M.A. Synthesis and antimicrobial activities of S-nucleosides of 4-mesitylphthalazine-1-thiol and some new selenium-containing nucleoside analogues. Tetrahedron Lett. 2015, 56, 1183–1188. [Google Scholar] [CrossRef]
- El-Shamy, I.E.; Abdel-Mohsen, A.M.; Alsheikh, A.A.; Fouda, M.M.G.; Al-Deyab, S.S.; El-Hashash, M.A.; Jancar, J. Synthesis, biological, anti-inflammatory activities and quantum chemical calculation of some [4-(2,4,6-trimethylphenyl)-1(2H)-oxo-phthalazin-2yl] acetic acid hydrazide derivatives. Dye. Pigment. 2015, 113, 357–371. [Google Scholar] [CrossRef]
- El-Hashash, M.A.; El-Kady, A.Y.; Taha, M.A.; El-Shamy, I.E. Synthesis and antimicrobial activity of some condensed [4-(2,4,6-trimethylphenyl)-1(2H)-oxo-phthalazin-2-yl]acetic acid hydrazide. Chin. J. Chem. 2012, 30, 616–626. [Google Scholar] [CrossRef]
- El-Hashash, M.A.; Soliman, A.Y.; El-Shamy, I.E. Synthesis and antimicrobial evaluation of some annelated phthalazine derivatives and acyclo C-nucleosides from 1-chloro-4-(2,4,6-trimethylphenyl) phthalazine precursor. Turk. J. Chem. 2012, 36, 347–366. [Google Scholar]
- Butnariu, R.; Caprosu, M.D.; Bejan, V.; Tuchilus, C.; Mangalagiu, I. Pyridazine and phthalazine derivatives with potential antimicrobial activity. J. Heterocycl. Chem. 2007, 44, 1149. [Google Scholar] [CrossRef]
- El-Shamy, I.E.; Abdel-Mohsen, A.M.; Fouda, M.M.G.; Al-Deyab, S.S.; Abdel-Megeed, A.; El-Hashash, M.A. Synthesis and Antimicrobial Evaluation of Some New 2-(5,6-Dihydro-4H-1,2,4-triazolo [4,3-a]benz[F]azepin-1-yl)methyl)-4-substituted Phthalazin-1(2H)-ones. Asian J. Chem. 2014, 26, 7828–7832. [Google Scholar] [CrossRef]
- El-Shamy, I.E.; Abdel-Mohsen, A.M.; Fouda, M.M.G.; Al-Deyab, S.S.; El-Hashash, M.A. Synthesis of Some Biologically Active Pyrazolylphthalazine Derivatives and Acyclo-C-nucleosides of 6-(2,4,6-trimethylphenyl)-1,2,4-triazolo [3,4-a]phthalazine. Asian J. Chem. 2014, 26, 4405–4415. [Google Scholar] [CrossRef]
- El-Shamy, I.E.; Abdel-Mohsen, A.M.; Al-Shehri, M.M.; El-Hashash, M.A.; Al-Shamrani, K.M. Selenium containing heterocycles: Synthesis and antimicrobial evaluation of some new 4-substituted-2-(4-phenyl-2-(piperidin-1-yl)-1,3-selenazol-5-yl) phthalazin-1(2H)-ones. Life Sci. J. 2014, 11, 385–391. [Google Scholar]
- Mohamed, F.K.; Soliman, A.Y.; Abdel-Motaleb, R.M.; Abdel-Rahman, R.M.; Abdel-Mohsen, A.M.; Fouda, M.M.G.; Al-Deyab, S.S.; Hrdina, R. Synthesis and antibacterial activity of new quinoline derivatives started from coumarin compounds. J. Pure Appl. Microbiol. 2013, 7, 453–458. [Google Scholar]
- Vishakha, V.; Abdel-Mohsen, A.M.; Jancar, J. Green synthesis and the stabilization of selenium nanoparticles using carboxymethyl starch. In Proceedings of the NANOCON Conference Proceedings–International Conference on Nanomaterials, Brno, Czech Republic, 21–23 October 2020; Volume 21, pp. 433–439. [Google Scholar] [CrossRef]
- Aly, A.S.; Abdel-Mohsen, A.M.; Hrdina, R.; Abou-Okeil, A. Preparation and characterization of polyethylene glycol/dimethyl siloxane adduct and its utilization as finishing agent for cotton fabric. J. Nat. Fibers 2011, 8, 176–188. [Google Scholar] [CrossRef]
- Liljebris, C.; Martinsson, J.; Swedenborg, L. Synthesis and biological activity of a novel class of pyridazine analogues as non-competitive reversible inhibitors of protein tyrosine phosphatase 1B (PTP1B). Bioorg. Med. Chem. 2002, 10, 3197–3212. [Google Scholar] [CrossRef]
- Abdel-Mohsen, A.M.; Aly, A.S.; Hrdina, R. A novel method for the preparation of silver /chitosan-O-methoxy polyethylene glycol core shell nanoparticles. J. Polym. Environ. 2012, 20, 459–468. [Google Scholar] [CrossRef]
- Burling, F.; Goldenstein, B.M. Computational studies of nonbonded sulfur-oxygen and selenium-oxygen interactions in the thiazole and selenazole nucleosides. J. Am. Chem. Soc. 1992, 114, 2313–2320. [Google Scholar] [CrossRef]
- Abdel-Rahman, R.M.; Abdel-Mohsen, A.M.; Fouda, M.M.G.; Al-Deyab, S.S.; Mohamed, A.S. Finishing of cellulosic fabrics with Chitosan/polyethylene glycol-siloxane to improve their Performance and antibacterial properties. Life Sci. J. 2013, 10, 834–839. [Google Scholar]
- Lalezari, I.; Shafiee, A.; Khorrami, J. Synthesis and antimicrobial activity of spiro[chromeno [4,3-d][1,2,3]thiadiazole-4,1′-cyclohexane, spiro[chromeno [4,3-d][1,2,3]selenadiazole-4,1′-cyclohexane and spiro [chroman-2,1′-cyclohexan]-4-one-5-spiro-4-acetyl-2-(acetylamino)-∆2-1,3,4-thiadiazolines compounds. A. J. Pharm. Sci. 1987, 67, 1336. [Google Scholar]
- Koketsu, M.; Ishihara, H. [2-(4-Chlorophenyl)-1,3-selenazol-4-yl]methanol. Curr. Org. Chem. 2003, 7, 175. [Google Scholar] [CrossRef]
- Mohamed, F.K.; Soliman, A.Y.; Abdel-Rahman, R.M.; Abdel-Mohsen, A.M.; Fouda, M.M.G.; Almonasy, N.; Mohamed, A.S. Synthesis and antibacterial activity of 3-arylidene chromen-2,4-dione derivatives. Life Sci. J. 2013, 10, 840–845. [Google Scholar]
- El-Shamy, I.E.; Bakeer, H.M.; Abdel-Mohsen, A.M.; Al-Shehri, M.M.; Al-Shamrani, K.M. Synthesis of some new N-glycosyl and 4-aryl-2-((1-(piperidin-1-ylmethyl)-1H-benzo[d]imidazol-2-yl) methyl) phthalazin-1(2H)-one. Life Sci. J. 2014, 11, 94–99. [Google Scholar]
- Soliman, A.Y.; Mohamed, F.K.; Abdel-Motaleb, R.M.; Abdel-Rahman, R.M.; Abdel-Mohsen, A.M.; Fouda, M.M.G.; Al Deyab, s.s.; Mohamed, A.S. Synthesis of new coumarin derivatives using Diels-Alder reaction. Life Sci. J. 2013, 10, 846–850. [Google Scholar]
- El-Shamy, I.E.; Abdel-Mohsen, A.M.; Fouda, M.M.G.; Almonasy, N.; Al-Deyab, S.S.; El-Hashash, M.A. Selenium containing heterocyclic: Synthesis, antimicrobial of some new selenazole Substituted phthalazinone. Life Sci. J. 2013, 4, 799–809. [Google Scholar]
- Aly, A.S.; Abdel-Mohsen, A.M.; Hebeish, A. Innovative multi-finishing using chitosan-O-MPEG graft copolymer/citric acid aqueous system for preparation of medical textiles. J. Text. Inst. 2010, 101, 76–90. [Google Scholar] [CrossRef]
- Chen, T.; Wong, Y.-S.; Zheng, W.; Liu, J. Caspase—And p53-dependent apoptosis in breast carcinoma cells induced by a synthetic selenadiazole derivative. Chem. Biol. Interact. 2009, 180, 54–60. [Google Scholar] [CrossRef]
- Zhao, P.; Boekfa, B.; Shimizu, K.I.; Ogura, M.; Ehara, M. Selective catalytic reduction of NO with NH 3 over Cu-exchanged CHA, GME, and AFX zeolites: A density functional theory study. Catal. Sci. Technol. 2021, 11, 1780–1790. [Google Scholar] [CrossRef]
- Filipowska, A.; Filipowski; Tkacz, A.; Nowicka, G.; Struga, M. Statistical Analysis of the Impact of Molecular Descriptors on Cytotoxicity of Thiourea Derivatives Incorporating 2-Aminothiazole Scaffold. Chem. Pharm. Bull. 2016, 64, 1196–1202. [Google Scholar]
- Martínez, J. Local reactivity descriptors from degenerate frontier molecular orbitals. Chem. Phys. Lett. 2009, 478, 310–322. [Google Scholar] [CrossRef]
- Braga, L.S.; Leal, D.H.; Kuca, K.; Ramalho, T.C. Perspectives on the Role of the Frontier Effective-for-Reaction Molecular Orbital (FERMO) in the Study of Chemical Reactivity. Curr. Org. Chem. 2020, 24, 314–333. [Google Scholar] [CrossRef]
- Baelde, D.; Delaune, S.; Jacomme, C.; Koutsos, A.; Moreau, S. An interactive prover for protocol verification in the computational model. In Proceedings of the SP 2021-42nd IEEE Symposium on Security and Privacy, San Francisco, CA, USA, 22 March 2021; pp. 1–24. Available online: https://hal.science/hal-03172119v1/document (accessed on 18 January 2023).
- Yang, Y.; Sun, Y.; Eslami, M. A density functional theory study on detection of amphetamine drug by silicon carbide nanotubeS. Phys. E: Low-Dimens. Syst. Nanostructures 2021, 125, 114411. [Google Scholar] [CrossRef]
- Chidieberea, W.C.; Durua, C.E.; Mbagwub, J.P.C. Application of computational chemistry in chemical reactivity: A review. Nig. Soc. Phys. Sci. 2021, 3, 292–297. [Google Scholar] [CrossRef]
- Koopmans, T. Uber die Zuordnung von Wellenfunktiomen und Eigenwerten zu den einzelnen Elektronen eines. Atoms. Phys. 1934, 1, 104–111. [Google Scholar] [CrossRef]
- Fleming, I. Frontier Orbitals and Organic Chemical Reactions; John Wiley and Sons: New York, NY, USA, 1976. [Google Scholar]
- Coulibaly, W.K.; Ndri, J.S.; Koné, M.G.-R.; Dago, C.D.; Ambeu, C.N.; Bazureau, J.-P.; Ziao, N. Studies of the Chemical Reactivity of a Series of Rhodanine Derivatives by Approaches to Quantum Chemistry B. Comput. Mol. Biosci. 2019, 9, 49–62. [Google Scholar] [CrossRef]
- Das, R.; Vigneresse, J.L.; Chattaraj, P.K. Chemical reactivity through structure-stability landscape. Int. J. Quantum Chem. 2014, 114, 1421. [Google Scholar] [CrossRef]
- Hleli, E.; Mbarek, M.; Gouid, E.; Ulbricsht, E.; Romdhane, S.; Ben Said, R.; Guesmi, M.; Egbe, D.A.M.; Bouchriha, H. DFT study of optical and electronic properties of anthracene containing PPE-PPVs. J. Phys. Chem. Solids 2020, 136, 109–157. [Google Scholar] [CrossRef]
- Hao, M.-H. Theoretical Calculation of Hydrogen-Bonding Strength for Drug Molecules. J. Chem. Theory Comput. 2006, 2, 863–872. [Google Scholar] [CrossRef]
- Frisch, M.J.; Trucks, G.W.; Schlegel, H.B.; Scuseria, G.E.; Robb, M.A.; Cheeseman, J.R.; Scalmani, G.; Barone, V.; Petersson, G.A.; Nakatsuji, H. Gaussian 16, Revision, A.03; Gaussian Inc.: Wallingford, CT, USA, 2016. [Google Scholar]
- Orio, M.; Pantazis, D.A.; Neese, F. Density functional theory. Photosynth. Res. 2009, 102, 443–453. [Google Scholar] [CrossRef]





| Compounds | Minimum Inhibitory Concentration (MIC) in μg/mL | |||||
|---|---|---|---|---|---|---|
| Bacterial Strains | Fungal Strains | |||||
| S. aureus | B. subtilis | S. typhi | E. coli | A. niger | C. albican | |
| 4 | 50 | 50 | 25 | 50 | 100 | 50 |
| 5 | - | 100 | 50 | 200 | - | 100 |
| 8a | 25 | 25 | 25 | 12.5 | 25 | 25 |
| 8b | 12.5 | 12.5 | 12.5 | 25 | 12.5 | 12.5 |
| 8c | 12.5 | 12.5 | 25 | 25 | 25 | 50 |
| 8d | 25 | 25 | 12.5 | 12.5 | 50 | 25 |
| 8e | 12.5 | 12.5 | 12.5 | 25 | 12.5 | 25 |
| 8f | 25 | 25 | 25 | 12.5 | 50 | 25 |
| 8g | 12.5 | 25 | 50 | 25 | 50 | 50 |
| 8h | 25 | 50 | 25 | 50 | 50 | 25 |
| 8i | 12.5 | 12.5 | 12.5 | 25 | 12.5 | 25 |
| 9a | 50 | 50 | 50 | 100 | 100 | 50 |
| 9b | 25 | 25 | 12.5 | 25 | 50 | 25 |
| 9c | 25 | 50 | 25 | 100 | 25 | 50 |
| 9d | 100 | 100 | 50 | 100 | 50 | 100 |
| 9e | 50 | 25 | 50 | 25 | 50 | 50 |
| 9f | 25 | 50 | 50 | 25 | 100 | 50 |
| 9g | 25 | 100 | 50 | 50 | 100 | 100 |
| 9h | 50 | 200 | 100 | 50 | 200 | 50 |
| 9i | 25 | 25 | 12.5 | 12.5 | 12.5 | 25 |
| 10 | 50 | 100 | 100 | 100 | 50 | 200 |
| 11 | 50 | 50 | 50 | 100 | 100 | 100 |
| Amoxicillin | 6.25 | 6.25 | 6.25 | 6.25 | - | - |
| Ketoconazole | - | - | - | - | 31.25 | 31.25 |
| Compound | IC50 (μg/mL) a | Compound | IC50 (μg/mL) a |
|---|---|---|---|
| 4 | 114 ± 6 | 8h | 260 ± 9 |
| 5 | 85 ± 4 | 8i | 73 ± 12 |
| 8a | 262 ± 9 | 9a | 117 ± 45 |
| 8b | 117 ± 71 | 9b | 73 ± 12 |
| 8c | 133 ± 11 | 9c | 85 ± 5 |
| 8d | 81 ± 3 | 9d | 92 ± 18 |
| 8e | 330 ± 45 | 9e | 118 ± 7 |
| 8f | 135 ± 11 | 9f | 74 ± 11 |
| 8g | 133 ± 25 |
| Compound Number | HOMO | LUMO | Energy Gap (LUMO-HOMO) (eV) |
|---|---|---|---|
| 1 | −6.25 | −1.70 | 4.54 |
| 2 | −5.58 | −1.44 | 4.13 |
| 3 | −5.48 | −1.44 | 4.03 |
| 4 | −5.33 | −1.99 | 3.34 |
| 5 | −5.47 | −1.84 | 3.63 |
| 6 | −5.08 | −1.27 | 3.80 |
| 7 | −5.59 | −2.73 | 2.85 |
| 8a | −5.60 | −2.24 | 3.35 |
| 8b | −5.67 | −2.37 | 3.29 |
| 8c | −5.84 | −3.27 | 2.56 |
| 8d | −5.50 | −2.15 | 3.35 |
| 8e | −5.48 | −2.24 | 3.24 |
| 8f | −5.50 | −2.13 | 3.37 |
| 8g | −5.57 | −2.49 | 3.07 |
| 8h | −5.55 | −2.23 | 3.32 |
| 8i | −5.57 | −2.31 | 3.26 |
| 9a | −5.74 | −2.21 | 3.53 |
| 9b | −5.81 | −2.37 | 3.44 |
| 9c | −6.00 | −3.30 | 2.70 |
| 9d | −5.62 | −2.07 | 3.54 |
| 9e | −5.58 | −2.25 | 3.32 |
| 9f | −5.63 | −2.05 | 3.58 |
| 9g | −5.71 | −2.51 | 3.20 |
| 9h | −5.69 | −2.20 | 3.48 |
| 9i | −5.71 | −2.31 | 3.40 |
| 10 | −5.35 | −2.27 | 3.08 |
| 11 | −5.38 | −2.13 | 3.25 |
| Compound Number | I (eV) | A (eV) | χ (eV) | η (eV) | ||
|---|---|---|---|---|---|---|
| 1 | 6.25 | 1.70 | 3.97 | 2.27 | 3.48 | 0.43 |
| 2 | 5.58 | 1.44 | 3.51 | 2.06 | 2.98 | 0.48 |
| 3 | 5.48 | 1.44 | 3.46 | 2.01 | 2.97 | 0.49 |
| 4 | 5.33 | 1.99 | 3.66 | 1.67 | 4.01 | 0.59 |
| 5 | 5.47 | 1.84 | 3.65 | 1.81 | 3.68 | 0.55 |
| 6 | 5.08 | 1.27 | 3.18 | 1.90 | 2.65 | 0.52 |
| 7 | 5.59 | 2.73 | 4.16 | 1.42 | 6.08 | 0.70 |
| 8a | 5.60 | 2.24 | 3.92 | 1.67 | 4.58 | 0.59 |
| 8b | 5.67 | 2.37 | 4.02 | 1.64 | 4.90 | 0.60 |
| 8c | 5.84 | 3.27 | 4.56 | 1.28 | 8.10 | 0.77 |
| 8d | 5.50 | 2.15 | 3.82 | 1.67 | 4.36 | 0.59 |
| 8e | 5.48 | 2.24 | 3.86 | 1.62 | 4.61 | 0.61 |
| 8f | 5.50 | 2.13 | 3.81 | 1.68 | 4.32 | 0.59 |
| 8g | 5.57 | 2.49 | 4.03 | 1.53 | 5.29 | 0.65 |
| 8h | 5.55 | 2.23 | 3.89 | 1.66 | 4.57 | 0.60 |
| 8i | 5.57 | 2.31 | 3.94 | 1.63 | 4.76 | 0.61 |
| 9a | 5.74 | 2.21 | 3.98 | 1.76 | 4.48 | 0.56 |
| 9b | 5.81 | 2.37 | 4.09 | 1.72 | 4.86 | 0.58 |
| 9c | 6.00 | 3.30 | 4.65 | 1.35 | 8.01 | 0.74 |
| 9d | 5.62 | 2.07 | 3.85 | 1.77 | 4.18 | 0.56 |
| 9e | 5.58 | 2.25 | 3.92 | 1.66 | 4.62 | 0.60 |
| 9f | 5.63 | 2.05 | 3.84 | 1.79 | 4.11 | 0.55 |
| 9g | 5.71 | 2.51 | 4.11 | 1.60 | 5.28 | 0.62 |
| 9h | 5.69 | 2.20 | 3.95 | 1.74 | 4.48 | 0.57 |
| 9i | 5.71 | 2.31 | 4.01 | 1.70 | 4.72 | 0.58 |
| 10 | 5.35 | 2.27 | 3.81 | 1.54 | 4.71 | 0.64 |
| 11 | 5.38 | 2.13 | 3.76 | 1.62 | 4.34 | 0.61 |
Disclaimer/Publisher’s Note: The statements, opinions and data contained in all publications are solely those of the individual author(s) and contributor(s) and not of MDPI and/or the editor(s). MDPI and/or the editor(s) disclaim responsibility for any injury to people or property resulting from any ideas, methods, instructions or products referred to in the content. |
© 2023 by the authors. Licensee MDPI, Basel, Switzerland. This article is an open access article distributed under the terms and conditions of the Creative Commons Attribution (CC BY) license (https://creativecommons.org/licenses/by/4.0/).
Share and Cite
El-Shamy, I.E.; Hleli, E.; El-Hashash, M.A.; Kelnar, I.; Abdel-Mohsen, A.M. 2-Methyl-6-(4-aminophenyl)-4,5-dihydro-3(2H)-pyridazinone Synthon for Some New Annelated 1,2,3-Selena/Thiadiazoles and 2H-Diazaphospholes with Anticipated Biological Activity and Quantum Chemical Calculations. Molecules 2023, 28, 1280. https://doi.org/10.3390/molecules28031280
El-Shamy IE, Hleli E, El-Hashash MA, Kelnar I, Abdel-Mohsen AM. 2-Methyl-6-(4-aminophenyl)-4,5-dihydro-3(2H)-pyridazinone Synthon for Some New Annelated 1,2,3-Selena/Thiadiazoles and 2H-Diazaphospholes with Anticipated Biological Activity and Quantum Chemical Calculations. Molecules. 2023; 28(3):1280. https://doi.org/10.3390/molecules28031280
Chicago/Turabian StyleEl-Shamy, I. E., E. Hleli, M. A. El-Hashash, I. Kelnar, and A. M. Abdel-Mohsen. 2023. "2-Methyl-6-(4-aminophenyl)-4,5-dihydro-3(2H)-pyridazinone Synthon for Some New Annelated 1,2,3-Selena/Thiadiazoles and 2H-Diazaphospholes with Anticipated Biological Activity and Quantum Chemical Calculations" Molecules 28, no. 3: 1280. https://doi.org/10.3390/molecules28031280
APA StyleEl-Shamy, I. E., Hleli, E., El-Hashash, M. A., Kelnar, I., & Abdel-Mohsen, A. M. (2023). 2-Methyl-6-(4-aminophenyl)-4,5-dihydro-3(2H)-pyridazinone Synthon for Some New Annelated 1,2,3-Selena/Thiadiazoles and 2H-Diazaphospholes with Anticipated Biological Activity and Quantum Chemical Calculations. Molecules, 28(3), 1280. https://doi.org/10.3390/molecules28031280

