Tuning Ionic Liquid-Based Catalysts for CO2 Conversion into Quinazoline-2,4(1H,3H)-diones
Abstract
1. Introduction
2. CO2-Philic ILs for Efficient CO2 Capture
3. CO2 Conversion into Quinazoline-2,4(1H,3H)-diones
3.1. Amino Preferential Activation
3.1.1. [OH]-Based ILs as a Catalyst
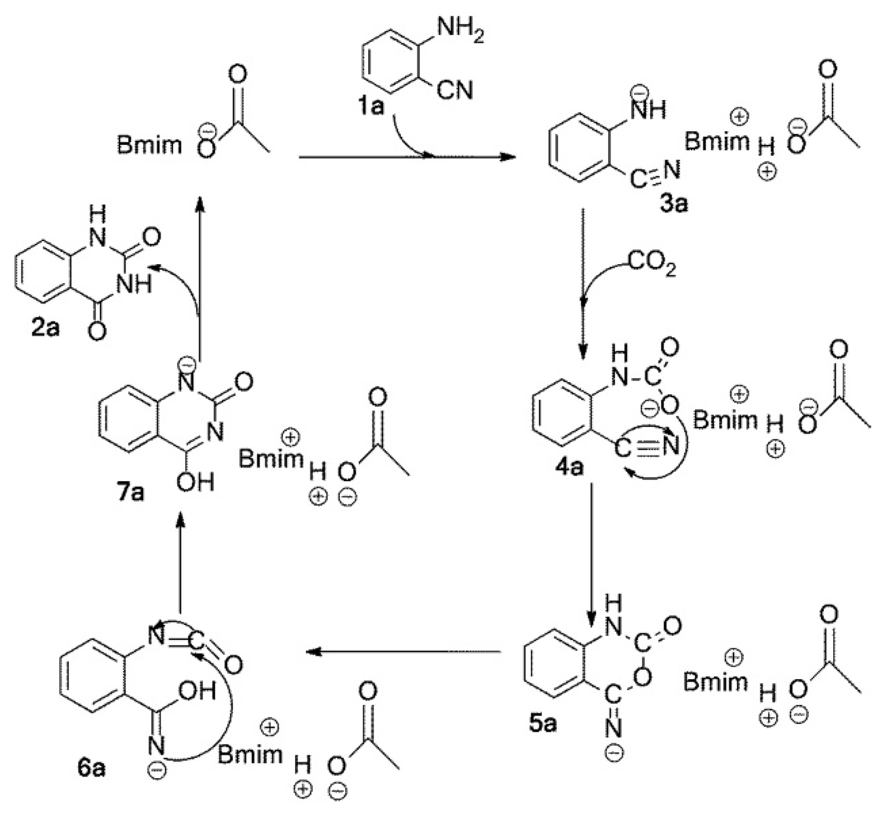
3.1.2. Carboxylate-Based ILs as Catalysts
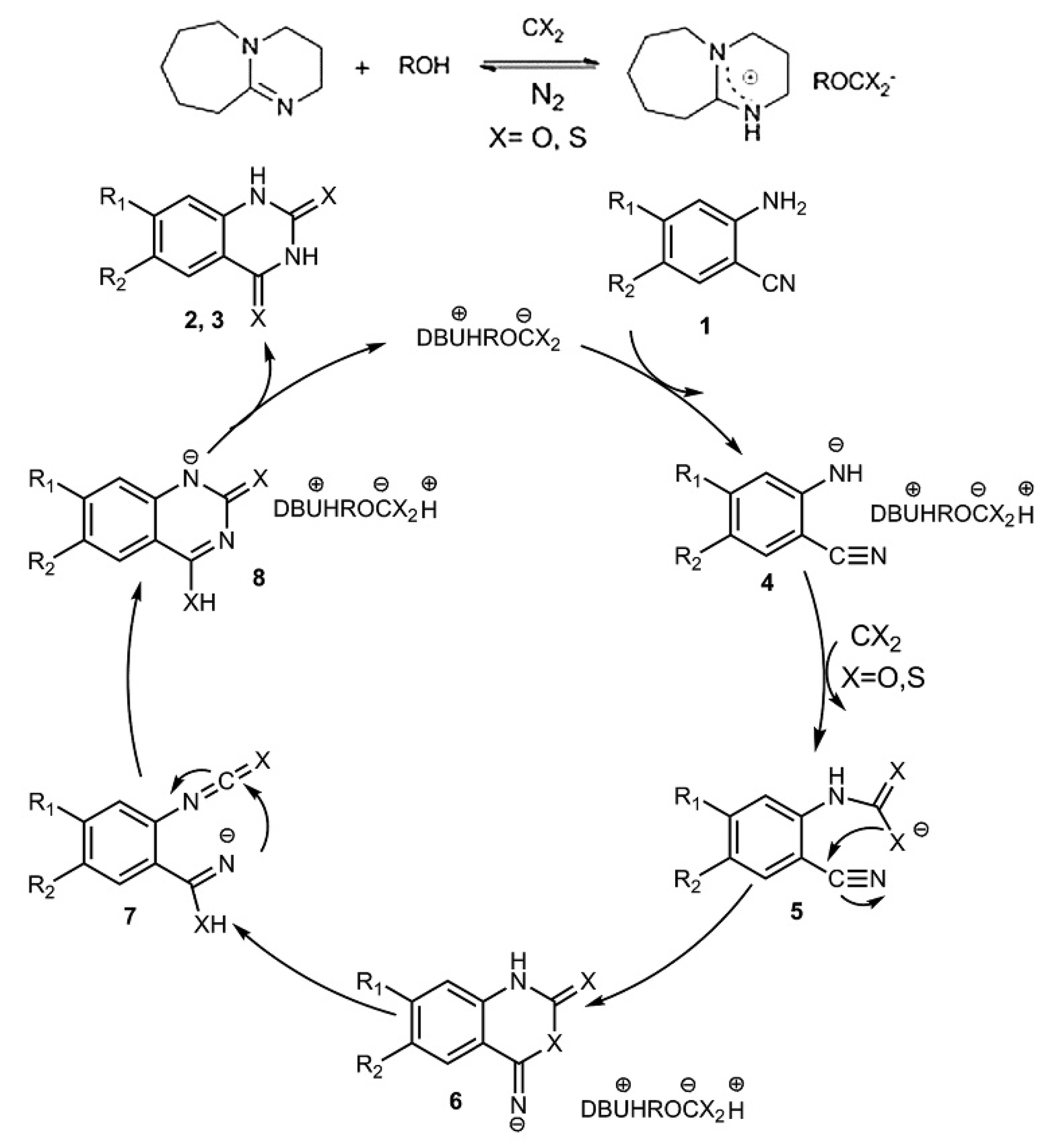
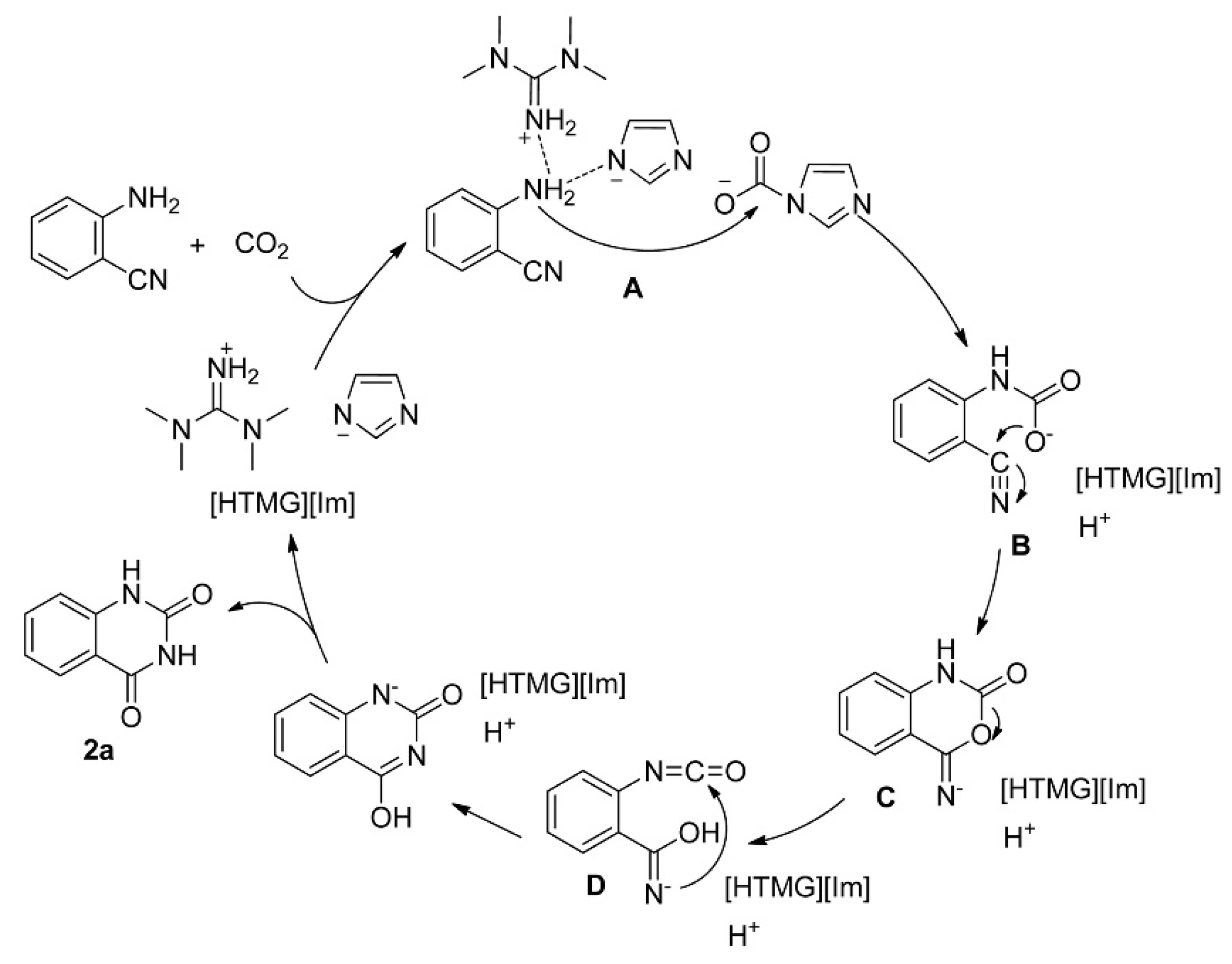
3.1.3. Aprotic Heterocyclic Anion ILs as Catalysts
3.2. CO2 Preferential Activation
3.2.1. [Ch][OH] + Water
3.2.2. NHC as a Catalyst
3.2.3. [Bu4P][2-MIm] as a Catalyst
3.3. Amino/Nitrile and CO2 Simultaneous Activation
3.3.1. Oxylate Anion as a Catalyst
3.3.2. Amino Acid Anion IL as a Catalyst
3.3.3. Aprotic Heterocyclic Anion ILs as Catalysts
4. Comparison of Three Kinds of Mechanisms
4.1. Mechanisms Analysis
4.2. Desired Synthetic Method under Mild Reaction Conditions
5. Conclusions and Outlook
Author Contributions
Funding
Institutional Review Board Statement
Informed Consent Statement
Data Availability Statement
Conflicts of Interest
References
- Yan, Y.; Borhani, T.N.; Subraveti, S.G.; Pai, K.N.; Prasad, V.; Rajendran, A.; Nkulikiyinka, P.; Asibor, J.O.; Zhang, Z.; Shao, D.; et al. Harnessing the power of machine learning for carbon capture, utilisation, and storage (CCUS)—A state-of-the-art review. Energy Environ. Sci. 2021, 14, 6122–6157. [Google Scholar] [CrossRef]
- Boot-Handford, M.E.; Abanades, J.C.; Anthony, E.J.; Blunt, M.J.; Brandani, S.; Mac Dowell, N.; Fernández, J.R.; Ferrari, M.-C.; Gross, R.; Hallett, J.P.; et al. Carbon capture and storage update. Energy Environ. Sci. 2014, 7, 130–189. [Google Scholar] [CrossRef]
- Yang, L.; Heinlein, J.; Hua, C.; Gao, R.; Hu, S.; Pfefferle, L.; He, Y. Emerging Dual-Functional 2D transition metal oxides for carbon capture and Utilization: A review. Fuel 2022, 324, 124706. [Google Scholar] [CrossRef]
- Patil, Y.P.; Tambade, P.J.; Parghi, K.D.; Jayaram, R.V.; Bhanage, B.M. Synthesis of Quinazoline-2,4(1H,3H)-Diones from Carbon dioxide and 2-Aminobenzonitriles Using MgO/ZrO2 as a Solid Base Catalyst. Catal. Lett. 2009, 133, 201–208. [Google Scholar] [CrossRef]
- Patil, Y.P.; Tambade, P.J.; Jagtap, S.R.; Bhanage, B.M. Cesium carbonate catalyzed efficient synthesis of quinazoline-2,4(1H,3H)-diones using carbon dioxide and 2-aminobenzonitriles. Green Chem. Lett. Rev. 2008, 1, 127–132. [Google Scholar] [CrossRef]
- Shi, X.-L.; Du, M.; Sun, B.; Liu, S.; Jiang, L.; Hu, Q.; Gong, H.; Xu, G.; Liu, B. A novel fiber-supported superbase catalyst in the spinning basket reactor for cleaner chemical fixation of CO2 with 2-aminobenzonitriles in water. Chem. Eng. J. 2022, 430, 133204. [Google Scholar] [CrossRef]
- Zhao, Y.-N.; Yu, B.; Yang, Z.-Z.; He, L.-N. Magnetic base catalysts for the chemical fixation of carbon dioxide to quinazoline-2,4(1H,3H)-diones. RSC Adv. 2014, 4, 28941–28946. [Google Scholar] [CrossRef]
- Nale, D.B.; Rana, S.; Parida, K.; Bhanage, B.M. Amine functionalized MCM-41: An efficient heterogeneous recyclable catalyst for the synthesis of quinazoline-2,4(1H,3H)-diones from carbon dioxide and 2-aminobenzonitriles in water. Catal. Sci. Technol. 2014, 4, 1608–1614. [Google Scholar] [CrossRef]
- Nagai, D.; Endo, T. Synthesis of 1H-quinazoline-2,4-diones from 2-aminobenzonitriles by fixation of carbon dioxide with amidine moiety supported polymer at atmospheric pressure. J. Polym. Sci. Part A Polym. Chem. 2009, 47, 653–657. [Google Scholar] [CrossRef]
- Li, W.; Yang, N.; Lyu, Y. A mechanistic study on guanidine-catalyzed chemical fixation of CO2 with 2-aminobenzonitrile to quinazoline-2,4(1H,3H)-dione. Org. Chem. Front. 2016, 3, 823–835. [Google Scholar] [CrossRef]
- Mizuno, T.; Ishino, Y. Highly efficient synthesis of 1H-quinazoline-2,4-diones using carbon dioxide in the presence of catalytic amount of DBU. Tetrahedron 2002, 58, 3155–3158. [Google Scholar] [CrossRef]
- Gao, J.; He, L.-N.; Miao, C.-X.; Chanfreau, S. Chemical fixation of CO2: Efficient synthesis of quinazoline-2,4(1H, 3H)-diones catalyzed by guanidines under solvent-free conditions. Tetrahedron 2010, 66, 4063–4067. [Google Scholar] [CrossRef]
- Zhao, G.-Y.; Mu, L.-L.; Ullah, L.; Wang, M.; Li, H.-P.; Guan, X.-X. CO2 involved synthesis of quinazoline-2,4(1H,3H)-diones in water using melamine as a thermoregulated catalyst. Can. J. Chem. 2018, 97, 212–218. [Google Scholar] [CrossRef]
- Sheng, Z.-Z.; Huang, M.-M.; Xue, T.; Xia, F.; Wu, H.-H. Alcohol amine-catalyzed CO2 conversion for the synthesis of quinazoline-2,4-(1H,3H)-dione in water. RSC Adv. 2020, 10, 34910–34915. [Google Scholar] [CrossRef] [PubMed]
- Chen, Y.; Liu, C.; Duan, Y.; Yu, D.; Liu, Z.; Li, Y.; Shi, R.; Guo, Y.; Mu, T. Room-temperature conversion of CO2 into quinazoline-2,4(1H,3H)-dione using deep eutectic solvents at atmospheric pressure with high efficiency. React. Chem. Eng. 2022, 7, 1968–1977. [Google Scholar] [CrossRef]
- Ma, J.; Han, B.; Song, J.; Hu, J.; Lu, W.; Yang, D.; Zhang, Z.; Jiang, T.; Hou, M. Efficient synthesis of quinazoline-2,4(1H,3H)-diones from CO2 and 2-aminobenzonitriles in water without any catalyst. Green Chem. 2013, 15, 1485–1489. [Google Scholar] [CrossRef]
- Kaur, G.; Kumar, H.; Singla, M. Diverse applications of ionic liquids: A comprehensive review. J. Mol. Liq. 2022, 351, 118556. [Google Scholar] [CrossRef]
- Wang, Y.; He, H.; Wang, C.; Lu, Y.; Dong, K.; Huo, F.; Zhang, S. Insights into Ionic Liquids: From Z-Bonds to Quasi-Liquids. JACS Au 2022, 2, 543–561. [Google Scholar] [CrossRef]
- Cui, G.; Lyu, S.; Wang, H.; Li, Z.; Zhang, R.; Wang, J. Tuning the structure of pyridinolate-based functional ionic liquids for highly efficient SO2 absorption. Fuel 2021, 303, 121311. [Google Scholar] [CrossRef]
- Cui, G.; Jiang, K.; Liu, H.; Zhou, Y.; Zhang, Z.; Zhang, R.; Lu, H. Highly efficient CO removal by active cuprous-based ternary deep eutectic solvents [HDEEA][Cl] + CuCl + EG. Sep. Purif. Technol. 2021, 274, 118985. [Google Scholar] [CrossRef]
- Wang, C.; Cui, G.; Luo, X.; Xu, Y.; Li, H.; Dai, S. Highly Efficient and Reversible SO2 Capture by Tunable Azole-Based Ionic Liquids through Multiple-Site Chemical Absorption. J. Am. Chem. Soc. 2011, 133, 11916–11919. [Google Scholar] [CrossRef] [PubMed]
- Chen, K.; Shi, G.; Zhou, X.; Li, H.; Wang, C. Highly Efficient Nitric Oxide Capture by Azole-Based Ionic Liquids through Multiple-Site Absorption. Angew. Chem. Int. Ed. 2016, 55, 14364–14368. [Google Scholar] [CrossRef] [PubMed]
- Zhang, P.; Gong, Y.; Lv, Y.; Guo, Y.; Wang, Y.; Wang, C.; Li, H. Ionic liquids with metal chelate anions. Chem. Commun. 2012, 48, 2334–2336. [Google Scholar] [CrossRef] [PubMed]
- Zhao, Y.; Han, B.; Liu, Z. Ionic-Liquid-Catalyzed Approaches under Metal-Free Conditions. Acc. Chem. Res. 2021, 54, 3172–3190. [Google Scholar] [CrossRef] [PubMed]
- Patil, Y.P.; Tambade, P.J.; Deshmukh, K.M.; Bhanage, B.M. Synthesis of quinazoline-2,4(1H,3H)-diones from carbon dioxide and 2-aminobenzonitriles using [Bmim]OH as a homogeneous recyclable catalyst. Catal. Today 2009, 148, 355–360. [Google Scholar] [CrossRef]
- Gheidari, D.; Mehrdad, M.; Maleki, S. Recent advances in synthesis of quinazoline-2,4(1H,3H)-diones: Versatile building blocks in N-heterocyclic compounds. Appl. Organomet. Chem. 2022, 36, e6631. [Google Scholar] [CrossRef]
- Vessally, E.; Soleimani-Amiri, S.; Hosseinian, A.; Edjlali, L.; Babazadeh, M. Chemical fixation of CO2 to 2-aminobenzonitriles: A straightforward route to quinazoline-2,4(1H,3H)-diones with green and sustainable chemistry perspectives. J. CO2 Util. 2017, 21, 342–352. [Google Scholar] [CrossRef]
- Wang, Z.; Xie, R.; Hong, H.; Han, L.; Zhu, N. Mechanisms and reaction conditions of CO2 with o-aminobenzonitrile for the synthesis of quinazoline-2,4-dione. J. CO2 Util. 2021, 51, 101644. [Google Scholar] [CrossRef]
- Bates, E.D.; Mayton, R.D.; Ntai, I.; Davis, J.H. CO2 capture by a task-specific ionic liquid. J. Am. Chem. Soc. 2002, 124, 926–927. [Google Scholar] [CrossRef]
- Cui, G.; Wang, J.; Zhang, S. Active chemisorption sites in functionalized ionic liquids for carbon capture. Chem. Soc. Rev. 2016, 45, 4307–4339. [Google Scholar] [CrossRef]
- Zhang, R.; Ke, Q.; Zhang, Z.; Zhou, B.; Cui, G.; Lu, H. Tuning Functionalized Ionic Liquids for CO2 Capture. Int. J. Mol. Sci. 2022, 23, 11401. [Google Scholar] [CrossRef] [PubMed]
- Suo, X.; Fu, Y.; Do-Thanh, C.-L.; Qiu, L.-Q.; Jiang, D.-E.; Mahurin, S.M.; Yang, Z.; Dai, S. CO2 Chemisorption Behavior in Conjugated Carbanion-Derived Ionic Liquids via Carboxylic Acid Formation. J. Am. Chem. Soc. 2022, 144, 21658–21663. [Google Scholar] [CrossRef] [PubMed]
- Zhang, Y.; Zhang, S.; Lu, X.; Zhou, Q.; Fan, W.; Zhang, X. Dual Amino-Functionalised Phosphonium Ionic Liquids for CO2 Capture. Chem. Eur. J. 2009, 15, 3003–3011. [Google Scholar] [CrossRef] [PubMed]
- Luo, X.Y.; Lv, X.Y.; Shi, G.L.; Meng, Q.; Li, H.R.; Wang, C.M. Designing amino-based ionic liquids for improved carbon capture: One amine binds two CO2. AIChE J. 2019, 65, 230–238. [Google Scholar] [CrossRef]
- Shiflett, M.B.; Elliott, B.A.; Lustig, S.R.; Sabesan, S.; Kelkar, M.S.; Yokozeki, A. Phase Behavior of CO2 in Room-Temperature Ionic Liquid 1-Ethyl-3-Ethylimidazolium Acetate. ChemPhysChem 2012, 13, 1806–1817. [Google Scholar] [CrossRef]
- Wang, C.; Luo, H.; Jiang, D.-e.; Li, H.; Dai, S. Carbon Dioxide Capture by Superbase-Derived Protic Ionic Liquids. Angew. Chem. Int. Ed. 2010, 49, 5978–5981. [Google Scholar] [CrossRef] [PubMed]
- Wang, C.; Luo, H.; Li, H.; Zhu, X.; Yu, B.; Dai, S. Tuning the Physicochemical Properties of Diverse Phenolic Ionic Liquids for Equimolar CO2 Capture by the Substituent on the Anion. Chem. Eur. J. 2012, 18, 2153–2160. [Google Scholar] [CrossRef]
- Lee, T.B.; Oh, S.; Gohndrone, T.R.; Morales-Collazo, O.; Seo, S.; Brennecke, J.F.; Schneider, W.F. CO2 Chemistry of Phenolate-Based Ionic Liquids. J. Phys. Chem. B 2016, 120, 1509–1517. [Google Scholar] [CrossRef]
- Wang, C.; Luo, X.; Luo, H.; Jiang, D.-e.; Li, H.; Dai, S. Tuning the Basicity of Ionic Liquids for Equimolar CO2 Capture. Angew. Chem. Int. Ed. 2011, 50, 4918–4922. [Google Scholar] [CrossRef]
- Cui, G.; Zhao, N.; Wang, J.; Wang, C. Computer-Assisted Design of Imidazolate-Based Ionic Liquids for Improving Sulfur Dioxide Capture, Carbon Dioxide Capture, and Sulfur Dioxide/Carbon Dioxide Selectivity. Chem. Asian J. 2017, 12, 2863–2872. [Google Scholar] [CrossRef]
- Zhu, X.; Song, M.; Xu, Y. DBU-Based Protic Ionic Liquids for CO2 Capture. ACS Sustain. Chem. Eng. 2017, 5, 8192–8198. [Google Scholar] [CrossRef]
- Luo, X.; Guo, Y.; Ding, F.; Zhao, H.; Cui, G.; Li, H.; Wang, C. Significant Improvements in CO2 Capture by Pyridine-Containing Anion-Functionalized Ionic Liquids through Multiple-Site Cooperative Interactions. Angew. Chem. Int. Ed. 2014, 53, 7053–7057. [Google Scholar] [CrossRef] [PubMed]
- An, X.; Du, X.; Duan, D.; Shi, L.; Hao, X.; Lu, H.; Guan, G.; Peng, C. An absorption mechanism and polarity-induced viscosity model for CO2 capture using hydroxypyridine-based ionic liquids. Phys. Chem. Chem. Phys. 2017, 19, 1134–1142. [Google Scholar] [CrossRef]
- Huang, Y.; Cui, G.; Zhao, Y.; Wang, H.; Li, Z.; Dai, S.; Wang, J. Preorganization and Cooperation for Highly Efficient and Reversible Capture of Low-Concentration CO2 by Ionic Liquids. Angew. Chem. Int. Ed. 2017, 56, 13293–13297. [Google Scholar] [CrossRef]
- Huang, Y.; Cui, G.; Wang, H.; Li, Z.; Wang, J. Tuning ionic liquids with imide-based anions for highly efficient CO2 capture through enhanced cooperations. J. CO2 Util. 2018, 28, 299–305. [Google Scholar] [CrossRef]
- Huang, Y.; Cui, G.; Wang, H.; Li, Z.; Wang, J. Absorption and thermodynamic properties of CO2 by amido-containing anion-functionalized ionic liquids. RSC Adv. 2019, 9, 1882–1888. [Google Scholar] [CrossRef]
- Huang, Y.; Cui, G.; Zhao, Y.; Wang, H.; Li, Z.; Dai, S.; Wang, J. Reply to the Correspondence on “Preorganization and Cooperation for Highly Efficient and Reversible Capture of Low-Concentration CO2 by Ionic Liquids”. Angew. Chem. Int. Ed. 2019, 58, 386–389. [Google Scholar] [CrossRef]
- Chen, T.; Zhang, Y.; Xu, Y. Efficient Synthesis of Quinazoline-2,4(1H,3H)-dione via Simultaneous Activated CO2 and 2-Aminobenzonitrile by 1-Methylhydantoin Anion-Functionalized Ionic Liquid through the Multiple-Site Cooperative Interactions. ACS Sustain. Chem. Eng. 2022, 10, 10699–10711. [Google Scholar] [CrossRef]
- Li, F.; Zeng, S.; Bai, Y.; Dong, H.; Wang, H.; Ji, X.; Zhang, X. Efficient and Reversible Chemisorption of Carbon Dioxide with Dianionic-Functionalized Ionic Liquid-Based Solvents. Energy Fuels 2020, 34, 8526–8533. [Google Scholar] [CrossRef]
- Wang, Y.; Zhang, J.; Liu, J.; Zhang, C.; Zhang, Z.; Xu, J.; Xu, S.; Wang, F.; Wang, F. C—N and N—H Bond Metathesis Reactions Mediated by Carbon Dioxide. ChemSusChem 2015, 8, 2066–2072. [Google Scholar] [CrossRef]
- Ren, Y.; Meng, T.-T.; Jia, J.; Wu, H.-S. A computational study on the chemical fixation of carbon dioxide with 2-aminobenzonitrile catalyzed by 1-butyl-3-methyl imidazolium hydroxide ionic liquids. Comput. Theor. Chem. 2011, 978, 47–56. [Google Scholar] [CrossRef]
- Nale, D.B.; Saigaonkar, S.D.; Bhanage, B.M. An efficient synthesis of quinazoline-2,4(1H,3H)-dione from CO2 and 2-aminobenzonitrile using [Hmim]OH/SiO2 as a base functionalized Supported Ionic Liquid Phase Catalyst. J. CO2 Util. 2014, 8, 67–73. [Google Scholar] [CrossRef]
- Sarmah, B.; Srivastava, R. Activation and Utilization of CO2 Using Ionic Liquid or Amine-Functionalized Basic Nanocrystalline Zeolites for the Synthesis of Cyclic Carbonates and Quinazoline-2,4(1H,3H)-dione. Ind. Eng. Chem. Res. 2017, 56, 8202–8215. [Google Scholar] [CrossRef]
- Lu, W.; Ma, J.; Hu, J.; Song, J.; Zhang, Z.; Yang, G.; Han, B. Efficient synthesis of quinazoline-2,4(1H,3H)-diones from CO2 using ionic liquids as a dual solvent–catalyst at atmospheric pressure. Green Chem. 2014, 16, 221–225. [Google Scholar] [CrossRef]
- Jessop, P.G.; Heldebrant, D.J.; Li, X.; Eckert, C.A.; Liotta, C.L. Green chemistry: Reversible nonpolar-to-polar solvent. Nature 2005, 436, 1102. [Google Scholar] [CrossRef] [PubMed]
- Zheng, H.; Cao, X.; Du, K.; Xu, J.; Zhang, P. A highly efficient way to capture CX2 (O, S) mildly in reusable ReILs at atmospheric pressure. Green Chem. 2014, 16, 3142–3148. [Google Scholar] [CrossRef]
- Shi, G.; Chen, K.; Wang, Y.; Li, H.; Wang, C. Highly Efficient Synthesis of Quinazoline-2,4(1H,3H)-diones from CO2 by Hydroxyl Functionalized Aprotic Ionic Liquids. ACS Sustain. Chem. Eng. 2018, 6, 5760–5765. [Google Scholar] [CrossRef]
- Hulla, M.; Chamam, S.M.A.; Laurenczy, G.; Das, S.; Dyson, P.J. Delineating the Mechanism of Ionic Liquids in the Synthesis of Quinazoline-2,4(1H,3H)-dione from 2-Aminobenzonitrile and CO2. Angew. Chem. Int. Ed. 2017, 56, 10559–10563. [Google Scholar] [CrossRef]
- Wang, T.; Zheng, D.; Zhang, Z.; Wang, L.; Zhang, J. Exploration of catalytic species for highly efficient preparation of quinazoline-2,4(1H,3H)-diones by succinimide-based ionic liquids under atmospheric pressure: Combination of experimental and theoretical study. Fuel 2022, 319, 123628. [Google Scholar] [CrossRef]
- Lu, W.; Ma, J.; Hu, J.; Zhang, Z.; Wu, C.; Han, B. Choline hydroxide promoted chemical fixation of CO2 to quinazoline-2,4(1H,3H)-diones in water. RSC Adv. 2014, 4, 50993–50997. [Google Scholar] [CrossRef]
- Xiao, Y.; Kong, X.; Xu, Z.; Cao, C.; Pang, G.; Shi, Y. Efficient synthesis of quinazoline-2,4(1H,3H)-diones from CO2 catalyzed by N-heterocyclic carbene at atmospheric pressure. RSC Adv. 2015, 5, 5032–5037. [Google Scholar] [CrossRef]
- Zhao, Y.; Wu, Y.; Yuan, G.; Hao, L.; Gao, X.; Yang, Z.; Yu, B.; Zhang, H.; Liu, Z. Azole-Anion-Based Aprotic Ionic Liquids: Functional Solvents for Atmospheric CO2 Transformation into Various Heterocyclic Compounds. Chem. Asian J. 2016, 11, 2735–2740. [Google Scholar] [CrossRef] [PubMed]
- Kimura, T.; Kamata, K.; Mizuno, N. A Bifunctional Tungstate Catalyst for Chemical Fixation of CO2 at Atmospheric Pressure. Angew. Chem. Int. Ed. 2012, 51, 6700–6703. [Google Scholar] [CrossRef] [PubMed]
- Kimura, T.; Sunaba, H.; Kamata, K.; Mizuno, N. Efficient [WO4]2–-Catalyzed Chemical Fixation of Carbon Dioxide with 2-Aminobenzonitriles to Quinazoline-2,4(1H,3H)-diones. Inorg. Chem. 2012, 51, 13001–13008. [Google Scholar] [CrossRef]
- Zhao, Y.; Yu, B.; Yang, Z.; Zhang, H.; Hao, L.; Gao, X.; Liu, Z. A Protic Ionic Liquid Catalyzes CO2 Conversion at Atmospheric Pressure and Room Temperature: Synthesis of Quinazoline-2,4(1H,3H)-diones. Angew. Chem. Int. Ed. 2014, 53, 5922–5925. [Google Scholar] [CrossRef]
- Mu, X.; Han, L.; Liu, T. How and Why a Protic Ionic Liquid Efficiently Catalyzes Chemical Fixation of CO2 to Quinazoline-2,4-(1H,3H)-diones: Electrostatically Controlled Reactivity. J. Phys. Chem. A 2019, 123, 9394–9402. [Google Scholar] [CrossRef]
- Vishwakarma, N.K.; Singh, S.; Vishwakarma, S.; Sahi, A.K.; Patel, V.K.; Kant, S.; Mahto, S.K. Converting CO2 into heterocyclic compounds under accelerated performance through Fe3O4-grafted ionic liquid catalysts. New J. Chem. 2022, 46, 2887–2897. [Google Scholar] [CrossRef]
- Phatake, V.V.; Gokhale, T.A.; Bhanage, B.M. [TBDH][HFIP] ionic liquid catalyzed synthesis of quinazoline-2,4(1H,3H)-diones in the presence of ambient temperature and pressure. J. Mol. Liq. 2022, 345, 117008. [Google Scholar] [CrossRef]
- Zhu, A.; Tang, M.; Lv, Q.; Li, L.; Bai, S.; Li, Q.; Feng, W.; Li, Q.; Wang, J. Fixation of CO2 in structurally diverse quinazoline-2,4(1H,3H)-diones under ambient conditions. J. CO2 Util. 2019, 34, 500–506. [Google Scholar] [CrossRef]
- Ping, R.; Zhao, P.; Zhang, Q.; Zhang, G.; Liu, F.; Liu, M. Catalytic Conversion of CO2 from Simulated Flue Gases with Aminophenol-Based Protic Ionic Liquids to Produce Quinazoline-2,4(1H,3H)-diones under Mild Conditions. ACS Sustain. Chem. Eng. 2021, 9, 5240–5249. [Google Scholar] [CrossRef]
- Gao, X.; Liu, J.; Liu, Z.; Zhang, L.; Zuo, X.; Chen, L.; Bai, X.; Bai, Q.; Wang, X.; Zhou, A. DBU coupled ionic liquid-catalyzed efficient synthesis of quinazolinones from CO2 and 2-aminobenzonitriles under mild conditions. RSC Adv. 2020, 10, 12047–12052. [Google Scholar] [CrossRef] [PubMed]
- Weng, S.; Dong, J.; Ma, J.; Bai, J.; Liu, F.; Liu, M. Biocompatible anions-derived ionic liquids a sustainable media for CO2 conversion into quinazoline-2,4(1H,3H)-diones under additive-free conditions. J. CO2 Util. 2022, 56, 101841. [Google Scholar] [CrossRef]
- Lang, X.-D.; Zhang, S.; Song, Q.-W.; He, L.-N. Tetra-butylphosphonium arginine-based ionic liquid-promoted cyclization of 2-aminobenzonitrile with carbon dioxide. RSC Adv. 2015, 5, 15668–15673. [Google Scholar] [CrossRef]
- Lang, X.-D.; Yu, Y.-C.; Li, Z.-M.; He, L.-N. Protic ionic liquids-promoted efficient synthesis of quinazolines from 2-aminobenzonitriles and CO2 at ambient conditions. J. CO2 Util. 2016, 15, 115–122. [Google Scholar] [CrossRef]
- Liu, F.; Ping, R.; Gu, Y.; Zhao, P.; Liu, B.; Gao, J.; Liu, M. Efficient One Pot Capture and Conversion of CO2 into Quinazoline-2,4(1H,3H)-diones Using Triazolium-Based Ionic Liquids. ACS Sustain. Chem. Eng. 2020, 8, 2910–2918. [Google Scholar] [CrossRef]
- Liu, F.; Ping, R.; Zhao, P.; Gu, Y.; Gao, J.; Liu, M. Succinimide-Based Ionic Liquids: An Efficient and Versatile Platform for Transformation of CO2 into Quinazoline-2,4(1H,3H)-diones under Mild and Solvent-Free Conditions. ACS Sustain. Chem. Eng. 2019, 7, 13517–13522. [Google Scholar] [CrossRef]
- Haynes, W.M. Handbook of Chemistry and Physics, 97th ed.; CRC Press: Boca Raton, FL, USA, 2016; pp. 5–88. [Google Scholar]

























Disclaimer/Publisher’s Note: The statements, opinions and data contained in all publications are solely those of the individual author(s) and contributor(s) and not of MDPI and/or the editor(s). MDPI and/or the editor(s) disclaim responsibility for any injury to people or property resulting from any ideas, methods, instructions or products referred to in the content. |
© 2023 by the authors. Licensee MDPI, Basel, Switzerland. This article is an open access article distributed under the terms and conditions of the Creative Commons Attribution (CC BY) license (https://creativecommons.org/licenses/by/4.0/).
Share and Cite
Zhang, R.; Hu, D.; Zhou, Y.; Ge, C.; Liu, H.; Fan, W.; Li, L.; Chen, B.; Cheng, Y.; Chen, Y.; et al. Tuning Ionic Liquid-Based Catalysts for CO2 Conversion into Quinazoline-2,4(1H,3H)-diones. Molecules 2023, 28, 1024. https://doi.org/10.3390/molecules28031024
Zhang R, Hu D, Zhou Y, Ge C, Liu H, Fan W, Li L, Chen B, Cheng Y, Chen Y, et al. Tuning Ionic Liquid-Based Catalysts for CO2 Conversion into Quinazoline-2,4(1H,3H)-diones. Molecules. 2023; 28(3):1024. https://doi.org/10.3390/molecules28031024
Chicago/Turabian StyleZhang, Ruina, Daqing Hu, Ying Zhou, Chunliang Ge, Huayan Liu, Wenyang Fan, Lai Li, Biao Chen, Yepin Cheng, Yaoji Chen, and et al. 2023. "Tuning Ionic Liquid-Based Catalysts for CO2 Conversion into Quinazoline-2,4(1H,3H)-diones" Molecules 28, no. 3: 1024. https://doi.org/10.3390/molecules28031024
APA StyleZhang, R., Hu, D., Zhou, Y., Ge, C., Liu, H., Fan, W., Li, L., Chen, B., Cheng, Y., Chen, Y., Zhang, W., Cui, G., & Lu, H. (2023). Tuning Ionic Liquid-Based Catalysts for CO2 Conversion into Quinazoline-2,4(1H,3H)-diones. Molecules, 28(3), 1024. https://doi.org/10.3390/molecules28031024

