New Biocide Based on Tributyltin(IV) Ferulate-Loaded Halloysite Nanotubes for Preserving Historical Paper Artworks
Abstract
:1. Introduction
2. Results and Discussion
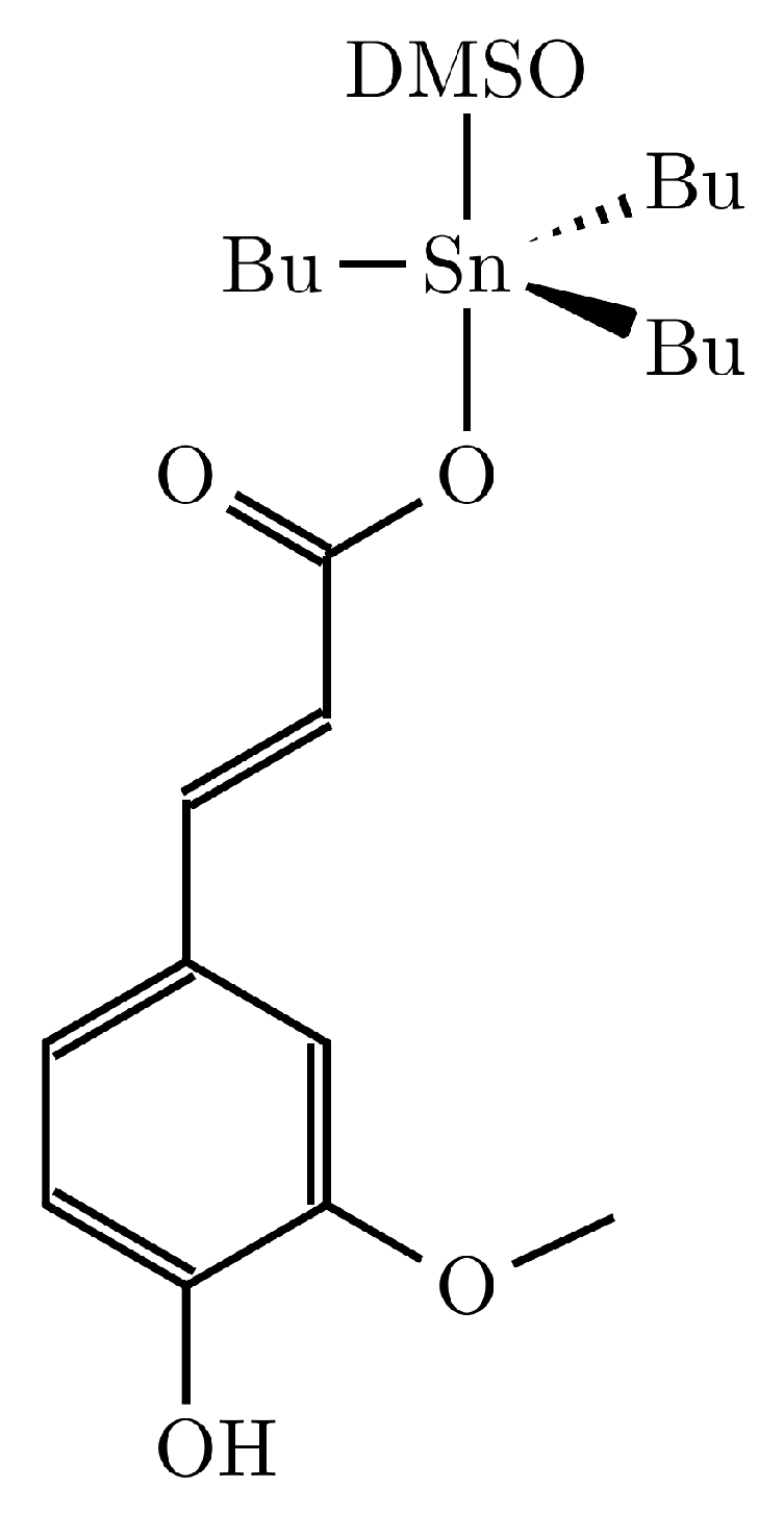
2.1. Characterization of TBT-F Loaded onto Halloysite Nanotubes (HNT/TBT-F)
2.2. Thermogravimetric Analysis and TBT-F Loading Efficiency
2.3. Colloidal Stability
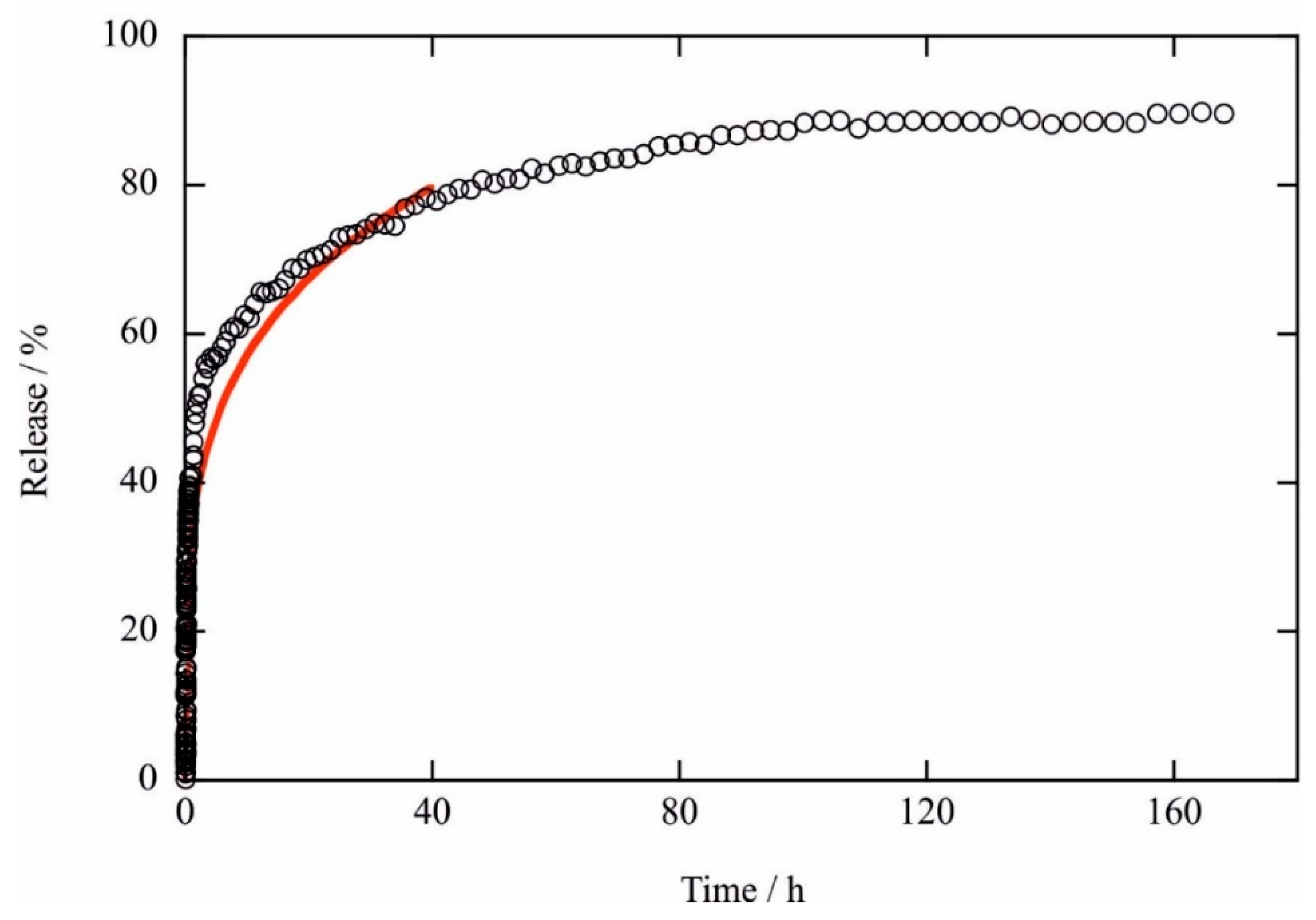
2.4. TBT-F Release Experiments
2.5. Paper Treatment and Tensile Performance
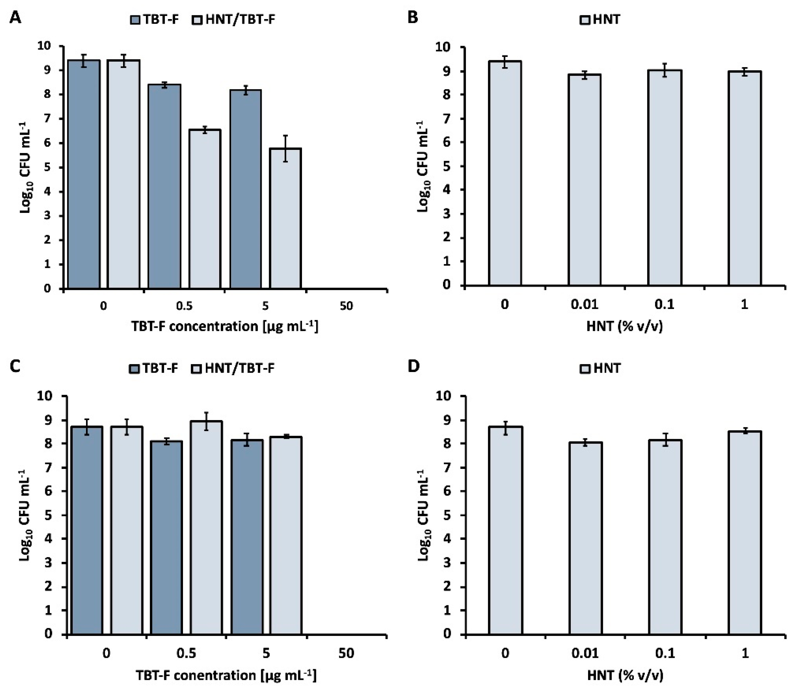
2.6. Microbiological Investigations
3. Materials and Methods
3.1. Spectroscopic Measurements
3.2. Thermogravimetric Analysis (TGA)
3.3. Dynamic Light Scattering (DLS) and ζ-Potential
3.4. Paper Treatment
3.5. Tensile Experiments
3.6. Colorimetric Analysis
3.7. Microbiological Test
4. Conclusions
Supplementary Materials
Author Contributions
Funding
Institutional Review Board Statement
Informed Consent Statement
Data Availability Statement
Acknowledgments
Conflicts of Interest
References
- Armetta, F.; Cardenas, J.; Caponetti, E.; Alduina, R.; Presentato, A.; Vecchioni, L.; Di Stefano, P.; Spinella, A.; Saladino, M.L. Conservation state of two paintings in the Santa Margherita cliff cave: Role of the environment and of the microbial community. Environ. Sci. Pollut. Res. Int. 2022, 29, 29510–29523. [Google Scholar] [CrossRef] [PubMed]
- Piacenza, E.; Presentato, A.; Di Salvo, F.; Alduina, R.; Ferrara, V.; Minore, V.; Giannusa, A.; Sancataldo, G.; Chillura Martino, D.F. A combined physical–chemical and microbiological approach to unveil the fabrication, provenance, and state of conservation of the Kinkarakawa-gami art. Sci. Rep. 2020, 10, 16072. [Google Scholar] [CrossRef] [PubMed]
- Migliore, L.; Perini, N.; Mercuri, F.; Orlanducci, S.; Rubechini, A.; Thaller, M.C. Three Ancient Documents Solve the Jigsaw of the Parchment Purple Spot Deterioration and Validate the Microbial Succession Model. Sci. Rep. 2019, 9, 1623. [Google Scholar] [CrossRef]
- Sabatini, L.; Sisti, M.; Campana, R. Evaluation of Fungal Community Involved in the Bioderioration Process of Wooden Artworks and Canvases in Montefeltro Area (Marche, Italy). Microbiol. Res. 2018, 207, 203–210. [Google Scholar] [CrossRef] [PubMed]
- Giustetto, R.; Moschella, E.M.; Cristellotti, M.; Costa, E. Deterioration of Building Materials and Artworks in the ‘Santa Maria Della Stella’ Church, Saluzzo (Italy): Causes of Decay and Possible Remedies. Stud. Conserv. 2017, 62, 474–493. [Google Scholar] [CrossRef]
- Zhang, Y.H.P.; Lynd, L.R. Toward an aggregated understanding of enzymatic hydrolysis of cellulose: Noncomplexed cellulase systems. Biotechnol. Bioeng. 2004, 88, 797–824. [Google Scholar] [CrossRef]
- El Bergadi, F.; Laachari, F.; Elabed, S.; Mohammed, I.H.; Ibnsouda, S.K. Cellulolytic potential and filter paper activity of fungi isolated from ancients manuscripts from the Medina of Fez. Ann. Microbiol. 2014, 64, 815–822. [Google Scholar] [CrossRef]
- Harrison, J.J.; Turner, R.J.; Marques, L.L.; Ceri, H. Biofilms: A new understanding of these microbial communities is driving a revolution that may transform the science of microbiology. Am. Sci. 2005, 93, 508–515. [Google Scholar] [CrossRef]
- Xu, K.D.; Stewart, P.S.; Xia, F.; Huang, C.T.; McFeters, G.A. Spatial physiological heterogeneity in Pseudomonas Aeruginosa biofilm is determined by oxygen availability. Appl. Environ. Microbiol. 1998, 64, 4035–4039. [Google Scholar] [CrossRef]
- Chandra, J.; Kuhn, D.M.; Mukherjee, P.K.; Hoyer, L.L.; McCormick, T.; Ghannoum, M.A. Biofilm formation by the fungal pathogen candida albicans: Development, architecture, and drug resistance. J. Bacteriol. 2001, 183, 5385–5394. [Google Scholar] [CrossRef]
- Purevdorj-Gage, B.; Costerton, W.J.; Stoodley, P. Phenotypic differentiation and seeding dispersal in non-mucoid and mucoid Pseudomonas aeruginosa biofilms. Microbiol. 2005, 151, 1569–1576. [Google Scholar] [CrossRef] [PubMed]
- Soffritti, I.; D’Accolti, M.; Lanzoni, L.; Volta, A.; Bisi, M.; Mazzacane, S.; Caselli, E. The potential use of microorganisms as restorative agents: An update. Sustainability 2019, 11, 3853. [Google Scholar] [CrossRef]
- Paulus, W. (Ed.) Relationship between chemical structure and activity or mode of action of microbicides. In Directory of Microbicides for the Protection of Materials: A Handbook; Springer: Dordrecht, The Netherlands, 2005; pp. 9–25. [Google Scholar]
- Kumar, N.; Pruthi, V. Potential applications of ferulic acid from natural sources. Biotechnol. Rep. 2014, 4, 6–93. [Google Scholar] [CrossRef] [PubMed]
- Borges, A.; Ferreira, C.; Saavedra, M.J.; Simões, M. Antibacterial activity and mode of action of ferulic and gallic acids against pathogenic bacteria. Microb. Drug Resist. 2013, 19, 256–265. [Google Scholar] [CrossRef] [PubMed]
- Borges, A.; Saavedra, M.J.; Simões, M. The activity of ferulic and gallic acids in biofilm prevention and control of pathogenic bacteria. Biofouling 2012, 28, 755–767. [Google Scholar] [CrossRef] [PubMed]
- Kiokias, S.; Proestos, C.; Oreopoulou, V. Phenolic acids of plant origin—A review on their antioxidant activity in vitro (o/w emulsion systems) along with their in vivo health biochemical properties. Foods 2020, 9, 534. [Google Scholar] [CrossRef]
- Basu Baul, T.S. Antimicrobial activity of organotin(IV) compounds: A review. Appl. Organometal. Chem. 2008, 22, 195–204. [Google Scholar] [CrossRef]
- Gomez-Villalba, L.S.; Salcines, C.; Fort, R. Application of Inorganic Nanomaterials in Cultural Heritage Conservation, Risk of Toxicity, and Preventive Measures. Nanomaterials 2023, 13, 1454. [Google Scholar] [CrossRef]
- Williams, L.B.; Metge, D.W.; Eberl, D.D.; Harvey, R.W.; Turner, A.G.; Prapaipong, P.; Poret-Peterson, A.T. What makes a natural clay antibacterial? Environ. Sci. Technol. 2011, 45, 3768–3773. [Google Scholar] [CrossRef]
- Biddeci, G.; Spinelli, G.; Colomba, P.; Di Blasi, F. Nanomaterials: A Review about Halloysite Nanotubes, Properties, and Application in the Biological Field. Int. J. Mol. Sci. 2022, 23, 11518. [Google Scholar] [CrossRef]
- Kamalieva, R.F.; Ishmukhametov, I.R.; Batasheva, S.N.; Rozhina, E.V.; Fakhrullin, R.F. Uptake of halloysite clay nanotubes by human cells: Colourimetric viability tests and microscopy study. Nano-Struct. Nano-Objects 2018, 15, 54–60. [Google Scholar] [CrossRef]
- Fakhrullina, G.I.; Akhatova, F.S.; Lvov, Y.M.; Fakhrullin, R.F. Toxicity of halloysite clay nanotubes in vivo: A caenorhabditis elegans study. Environ. Sci. Nano 2015, 2, 54–59. [Google Scholar] [CrossRef]
- Pellerito, C.; Emanuele, S.; Ferrante, F.; Celesia, A.; Giuliano, M.; Fiore, T. Tributyltin (IV) ferulate, a novel synthetic ferulic acid derivative, induces autophagic cell death in colon cancer cells: From chemical synthesis to biochemical effects. J. Inorg. Biochem. 2020, 205, 110999. [Google Scholar] [CrossRef] [PubMed]
- Cheng, H.; Liu, Q.; Yang, J.; Zhang, J.; Frost, R.L.; Du, X. Infrared spectroscopic study of halloysite-potassium acetate intercalation complex. J. Mol. Struct. 2011, 990, 21–25. [Google Scholar] [CrossRef]
- Gaaz, T.S.; Sulong, A.B.; Kadhum, A.A.H.; Al-Amiery, A.A.; Nassir, M.H.; Jaaz, A.H. The impact of halloysite on the thermo-mechanical properties of polymer composites. Molecules 2017, 22, 838. [Google Scholar] [CrossRef]
- Lisuzzo, L.; Cavallaro, G.; Milioto, S.; Lazzara, G. Halloysite nanotubes filled with salicylic acid and sodium diclofenac: Effects of vacuum pumping on loading and release properties. J. Nanostruct. Chem. 2021, 11, 663–673. [Google Scholar] [CrossRef]
- Lvov, Y.; Wang, W.; Zhang, L.; Fakhrullin, R. Halloysite Clay Nanotubes for Loading and Sustained Release of Functional Compounds. Adv. Mater. 2016, 28, 1227–1250. [Google Scholar] [CrossRef]
- Cavallaro, G.; Milioto, S.; Konnova, S.; Fakhrullina, G.; Akhatova, F.; Lazzara, G.; Fakhrullin, R.; Lvov, Y. Halloysite/Keratin nanocomposite for human hair photoprotection coating. ACS Appl. Mater. Interfaces 2020, 12, 24348–24362. [Google Scholar] [CrossRef]
- Zhao, X.; Zhou, C.; Liu, M. Self-assembled structures of halloysite nanotubes: Towards the development of high-performance biomedical materials. J. Mater. Chem. B 2020, 8, 838–851. [Google Scholar] [CrossRef]
- Lisuzzo, L.; Cavallaro, G.; Milioto, S.; Lazzara, G. Halloysite nanotubes filled with MgO for paper reinforcement and deacidification. Appl. Clay Sci. 2021, 213, 106231. [Google Scholar] [CrossRef]
- Cavallaro, G.; Milioto, S.; Nigamatzyanova, L.; Akhatova, F.; Fakhrullin, R.; Lazzara, G. Pickering emulsion gels based on halloysite nanotubes and ionic biopolymers: Properties and cleaning action on marble surface. ACS App. Nano Mater. 2019, 2, 3169–3176. [Google Scholar] [CrossRef]
- Borrego, S.; Guiamet, P.; de Saravia, S.G.; Batistini, P.; Garcia, M.; Lavin, P.; Perdomoa, I. The quality of air at archives and the biodeterioration of photographs. Int. Biodeterior. Biodegrad. 2010, 64, 139–145. [Google Scholar] [CrossRef]
- Guiamet, P.; Borrego, S.; Lavin, P.; Perdomod, I.; Saraviac, S. Biofouling and biodeterioration in materials stored at the historical archive of the museum of La Plata, Argentine and at the national archive of Republic of Cuba. Colloids Surf. B Biointerfaces 2011, 85, 229–234. [Google Scholar] [CrossRef] [PubMed]
- Gutarowska, B.; Skóra, J.; Zduniak, K.; Rembisz, D. Analysis of the sensitivity of microorganisms contaminating museums and archives to silver nanoparticles. Int. Biodeterior. Biodegrad. 2012, 68, 7–17. [Google Scholar] [CrossRef]
- Wawrzyk, A.; Rybitwa, D.; Rahnama, M.; Wilczyński, S. Microorganisms colonising historical cardboard objects from the Auschwitz-Birkenau State Museum in Oświęcim, Poland and their disinfection with vaporized hydrogen peroxide (VHP). Int. Biodeterior. Biodegrad. 2020, 152, 104997. [Google Scholar]
- Tkacz, K.; Modzelewska-Kapituła, M.; Więk, A.; Nogalski, Z. The Applicability of Total Color Difference ΔE for Determining the Blooming Time in Longissimus Lumborum and Semimembranosus Muscles from Holstein-Friesian Bulls at Different Ageing Times. Appl. Sci. 2020, 10, 8215. [Google Scholar] [CrossRef]
- Vitale, F.; Saladino, M.L.; Armetta, F.; Presentato, A.; Alduina, R.; Mercadante, A.; La Parola, V.; Giacalone, F. New biocides based on imidazolinium-functionalised hybrid mesoporous silica nanoparticles. Microporous Mesoporous Mater. 2022, 343, 112142. [Google Scholar] [CrossRef]
- Presentato, A.; La Greca, E.; Consentino, L.; Alduina, R.; Liotta, L.F.; Gruttadauria, M. Antifouling systems based on a polyhedral oligomeric silsesquioxane-based hexyl imidazolium salt adsorbed on copper nanoparticles supported on titania. Nanomaterials 2023, 13, 1291. [Google Scholar] [CrossRef]







| Zeta Potential/mV | Hydrodynamic Radius/nm | |
|---|---|---|
| HNT | −33.8 ± 0.4; −34.2 ± 0.2 * | 300 ± 20; 310 ± 30 * |
| TBT-F/HNT | −26.1 ± 0.8 | 468 ± 40 |
| Sample | Elastic Modulus MPa | Stress at Break MPa | Ultimate Elongation % |
|---|---|---|---|
| Untreated paper | 286 | 5.79 | 2.82 |
| Treated paper | 648 | 8.14 | 2.69 |
Disclaimer/Publisher’s Note: The statements, opinions and data contained in all publications are solely those of the individual author(s) and contributor(s) and not of MDPI and/or the editor(s). MDPI and/or the editor(s) disclaim responsibility for any injury to people or property resulting from any ideas, methods, instructions or products referred to in the content. |
© 2023 by the authors. Licensee MDPI, Basel, Switzerland. This article is an open access article distributed under the terms and conditions of the Creative Commons Attribution (CC BY) license (https://creativecommons.org/licenses/by/4.0/).
Share and Cite
Pellerito, C.; Presentato, A.; Lazzara, G.; Cavallaro, G.; Alduina, R.; Fiore, T. New Biocide Based on Tributyltin(IV) Ferulate-Loaded Halloysite Nanotubes for Preserving Historical Paper Artworks. Molecules 2023, 28, 7953. https://doi.org/10.3390/molecules28247953
Pellerito C, Presentato A, Lazzara G, Cavallaro G, Alduina R, Fiore T. New Biocide Based on Tributyltin(IV) Ferulate-Loaded Halloysite Nanotubes for Preserving Historical Paper Artworks. Molecules. 2023; 28(24):7953. https://doi.org/10.3390/molecules28247953
Chicago/Turabian StylePellerito, Claudia, Alessandro Presentato, Giuseppe Lazzara, Giuseppe Cavallaro, Rosa Alduina, and Tiziana Fiore. 2023. "New Biocide Based on Tributyltin(IV) Ferulate-Loaded Halloysite Nanotubes for Preserving Historical Paper Artworks" Molecules 28, no. 24: 7953. https://doi.org/10.3390/molecules28247953
APA StylePellerito, C., Presentato, A., Lazzara, G., Cavallaro, G., Alduina, R., & Fiore, T. (2023). New Biocide Based on Tributyltin(IV) Ferulate-Loaded Halloysite Nanotubes for Preserving Historical Paper Artworks. Molecules, 28(24), 7953. https://doi.org/10.3390/molecules28247953

