Can We Improve Diosmetin Activity? The State-of-the-Art and Promising Research Directions
Abstract
1. Introduction
2. New Diosmetin Derivatives and Their Biological Activity
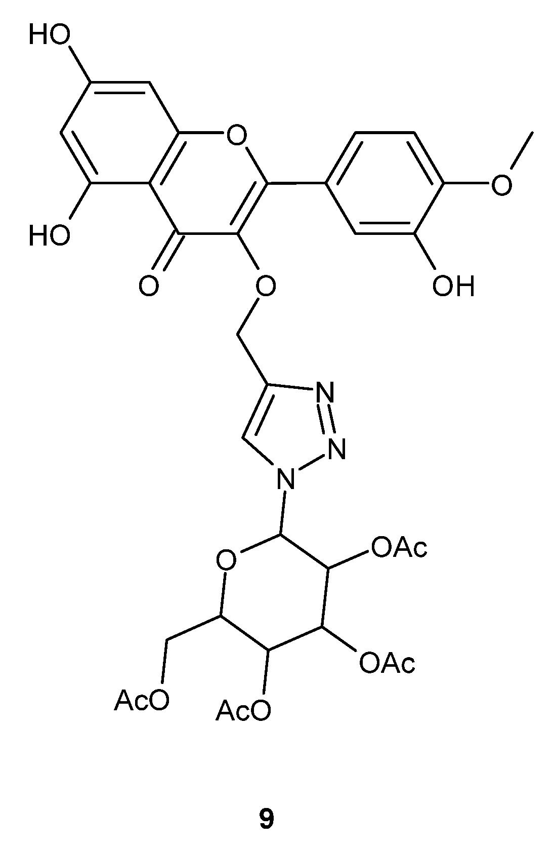
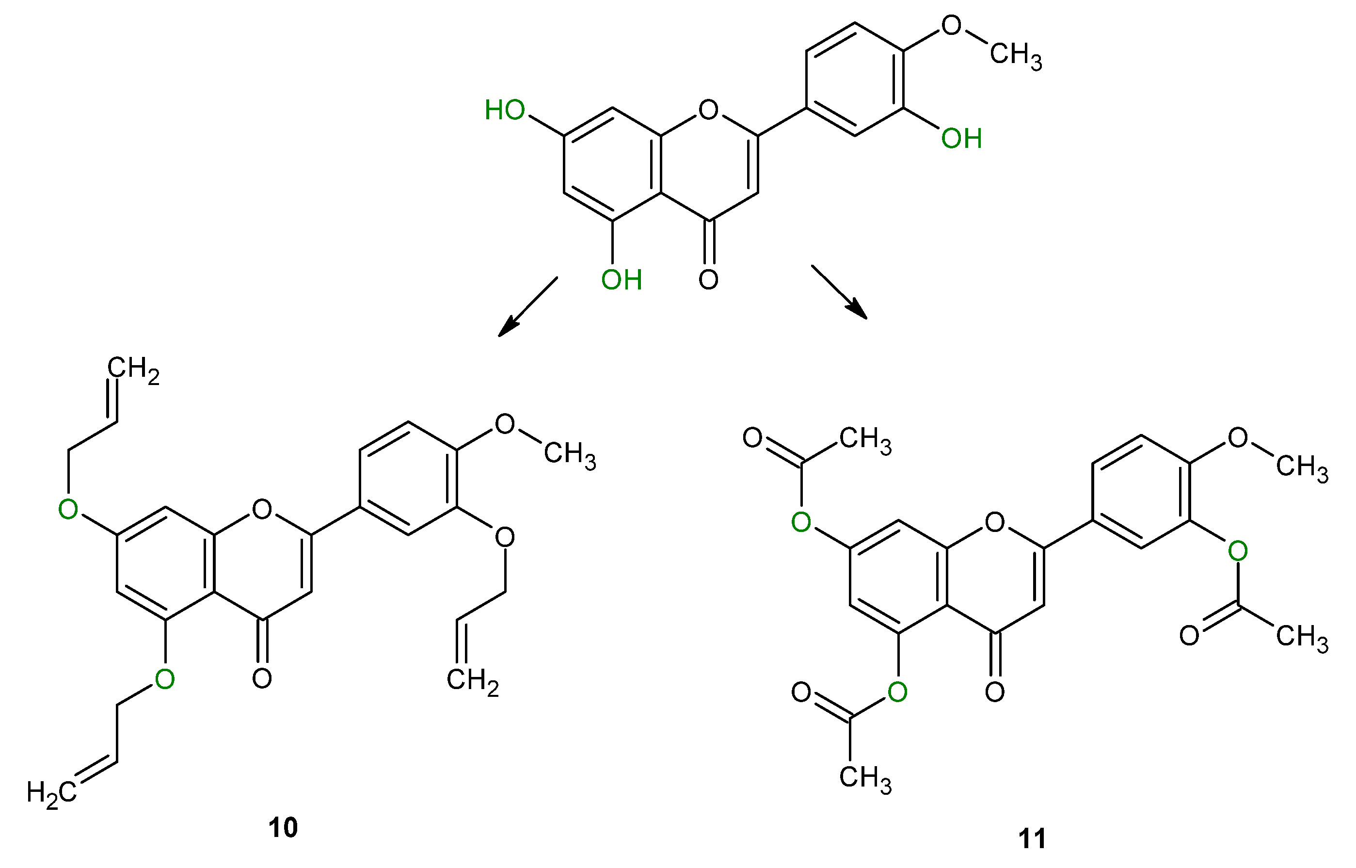
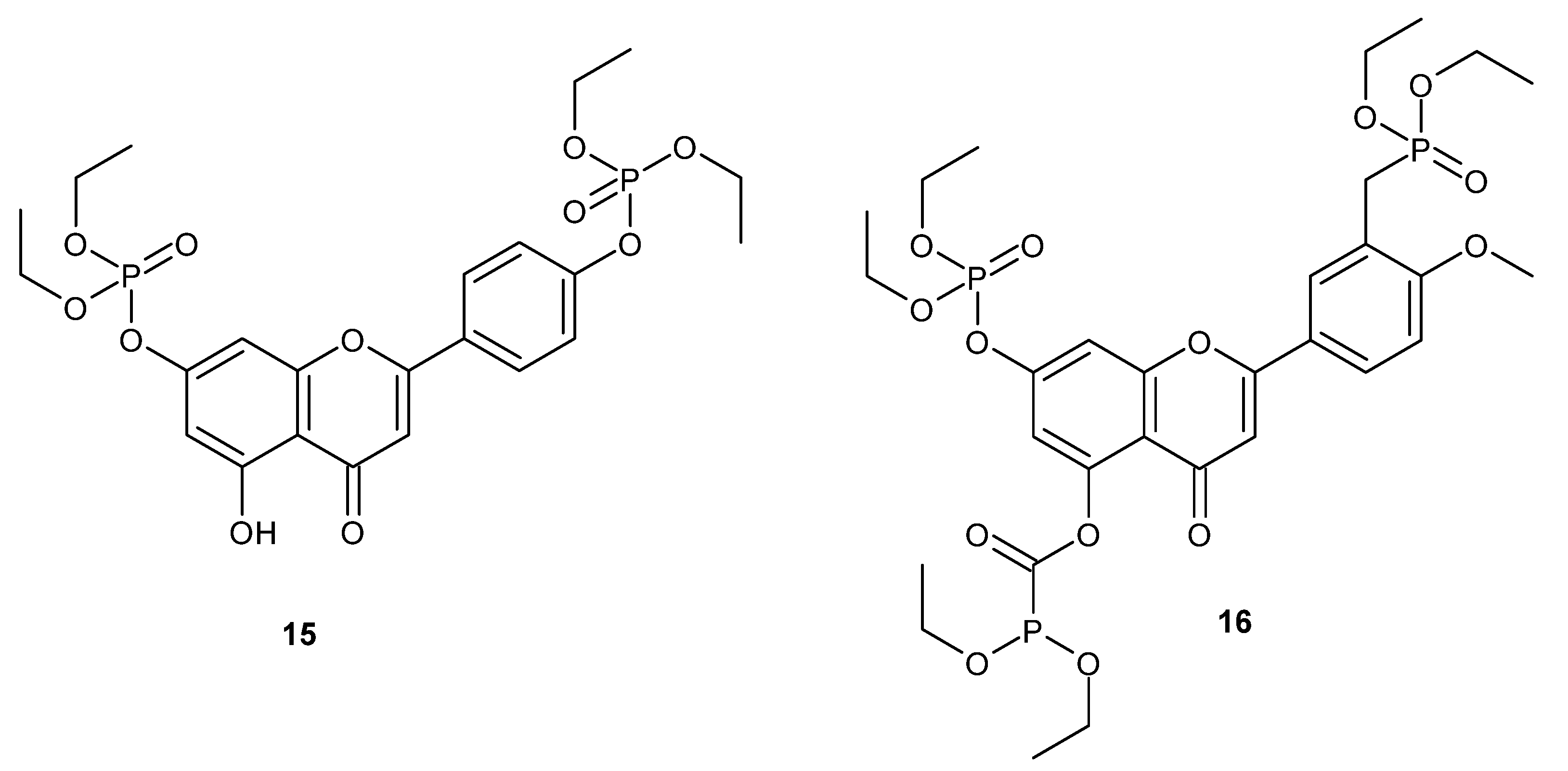
2.1. Anticancer Activity
2.2. Effect on Enzymes
2.3. Other Biological Acivities of Diosmetine Derivatives
3. Conclusions
Author Contributions
Funding
Institutional Review Board Statement
Informed Consent Statement
Data Availability Statement
Conflicts of Interest
References
- Tripoli, E.; La Guardia, M.; Giammanco, S.; Di Majo, D.; Giammanco, M. Citrus Flavonoids: Molecular Structure, Biological Activity and Nutritional Properties: A Review. Food Chem. 2007, 104, 466–479. [Google Scholar] [CrossRef]
- Rašković, A.; Milanović, I.; Pavlović, N.; Ćebović, T.; Vukmirović, S.; Mikov, M. Antioxidant Activity of Rosemary (Rosmarinus officinalis L.) Essential Oil and Its Hepatoprotective Potential. BMC Complement. Altern. Med. 2014, 14, 225. [Google Scholar] [CrossRef] [PubMed]
- Kato, Y.; Domoto, T.; Hiramitsu, M.; Katagiri, T.; Sato, K.; Miyake, Y.; Aoi, S.; Ishihara, K.; Ikeda, H.; Umei, N.; et al. Effect on Blood Pressure of Daily Lemon Ingestion and Walking. J. Nutr. Metab. 2014, 2014, 912684. [Google Scholar] [CrossRef] [PubMed]
- Riaz, A.; Khan, R.A.; Mirza, T.; Mustansir, T.; Ahmed, M. In Vitro/in Vivo Effect of Citrus Limon (L. Burm. f.) Juice on Blood Parameters, Coagulation and Anticoagulation Factors in Rabbits. Pak. J. Pharm. Sci. 2014, 27, 907–915. [Google Scholar] [PubMed]
- Boshtam, M.; Ali Naderi, G.; Moshtaghian, J.; Asgary, S.; Jafari, N. Effects of citrus limon burm. f. on some atherosclerosis risk factors in rabbits with atherogenic diet. ARYA Atrheriosclerosis J. 2009, 5, 89–94. [Google Scholar]
- Meirinhos, J.; Silva, B.M.; Valentão, P.; Seabra, R.M.; Pereira, J.A.; Dias, A.; Andrade, P.B.; Ferreres, F. Analysis and Quantification of Flavonoidic Compounds from Portuguese Olive (Olea europaea L.) Leaf Cultivars. Nat. Prod. Res. 2005, 19, 189–195. [Google Scholar] [CrossRef]
- Zhang, F.; Luo, H. Diosmetin Inhibits the Growth and Invasion of Gastric Cancer by Interfering with M2 Phenotype Macrophage Polarization. J. Biochem. Mol. Toxicol. 2023, 37, e23431. [Google Scholar] [CrossRef]
- Kalaycı, B.; Şimşek Özek, N.; Aysin, F.; Özbek, H.; Kazaz, C.; Önal, M.; Güvenalp, Z. Evaluation of Cytotoxic and Apoptotic Effects of the Extracts and Phenolic Compounds of Astragalus Globosus Vahl and Astragalus Breviflorus DC. Saudi Pharm. J. 2023, 31, 101682. [Google Scholar] [CrossRef]
- Pan, Z.; Tan, Z.; Li, H.; Wang, Y.; Du, H.; Sun, J.; Li, C.; Ye, S.; Li, X.; Quan, J. Diosmetin Induces Apoptosis and Protective Autophagy in Human Gastric Cancer HGC-27 Cells via the PI3K/Akt/FoxO1 and MAPK/JNK Pathways. Med. Oncol. 2023, 40, 319. [Google Scholar] [CrossRef]
- Feldo, M.; Wójciak, M.; Ziemlewska, A.; Dresler, S.; Sowa, I. Modulatory Effect of Diosmin and Diosmetin on Metalloproteinase Activity and Inflammatory Mediators in Human Skin Fibroblasts Treated with Lipopolysaccharide. Molecules 2022, 27, 4264. [Google Scholar] [CrossRef] [PubMed]
- Ge, A.; Liu, Y.; Zeng, X.; Kong, H.; Ma, Y.; Zhang, J.; Bai, F.; Huang, M. Effect of Diosmetin on Airway Remodeling in a Murine Model of Chronic Asthma. Acta Biochim. Biophys. Sin. 2015, 47, 604–611. [Google Scholar] [CrossRef]
- Boisnic, S.; Branchet, M.C.; Quioc-Salomon, B.; Doan, J.; Delva, C.; Gendron, C. Anti-Inflammatory and Antioxidant Effects of Diosmetin-3-O-β-d-Glucuronide, the Main Metabolite of Diosmin: Evidence from Ex Vivo Human Skin Models. Molecules 2023, 28, 5591. [Google Scholar] [CrossRef]
- Ahmad, I.; Ahmad, S.; Akkol, E.K.; Rao, H.; Shahzad, M.N.; Nawaz, M.; Ghalloo, B.A.; Shier, W.T.; Sobarzo-Sánchez, E. Neuroprotection against Aluminum Chloride-Induced Hippocampus Damage in Albino Wistar Rats by Leucophyllum Frutescens (Berl.) I.M. Johnst. Leaf Extracts: A Detailed Insight into Phytochemical Analysis and Antioxidant and Enzyme Inhibition Assays. Front. Biosci. (Landmark Ed.) 2023, 28, 184. [Google Scholar] [CrossRef] [PubMed]
- Milutinović, V.; Petrović, P.; Petković, M.; Klaus, A.; Ušjak, L.; Niketić, M.; Petrović, S. Investigation of Anticholinesterase Activity of Chemically Characterised Hieracium s. Str. Methanol Extracts and Their Selected Metabolites. Chem. Biodivers. 2023, 20, e202301044. [Google Scholar] [CrossRef] [PubMed]
- Ding, H.; Ding, H.; Mu, P.; Lu, X.; Xu, Z. Diosmetin Inhibits Subchondral Bone Loss and Indirectly Protects Cartilage in a Surgically-Induced Osteoarthritis Mouse Model. Chem. Biol. Interact. 2023, 370, 110311. [Google Scholar] [CrossRef] [PubMed]
- Cheng, M.; Wang, P.; Wu, D. Diosmetin Alleviates Periodontitis by Inhibiting Oxidative Stress and Pyroptosis via Nrf2/NF-ΚB/NLRP3 Axis. Trop. J. Pharm. Res. 2022, 21, 2303–2308. [Google Scholar] [CrossRef]
- Tasdemir, D.; Kaiser, M.; Brun, R.; Yardley, V.; Schmidt, T.J.; Tosun, F.; Rüedi, P. Antitrypanosomal and Antileishmanial Activities of Flavonoids and Their Analogues: In Vitro, in Vivo, Structure-Activity Relationship, and Quantitative Structure-Activity Relationship Studies. Antimicrob. Agents Chemother. 2006, 50, 1352–1364. [Google Scholar] [CrossRef] [PubMed]
- Zhou, B.; Wang, L.; Yang, S.; Liang, Y.; Zhang, Y.; Pan, X.; Li, J. Diosmetin Alleviates Benzo[a]Pyrene-Exacerbated H1N1 Influenza Virus-Induced Acute Lung Injury and Dysregulation of Inflammation through Modulation of the PPAR-γ-NF-ΚB/P38 MAPK Signaling Axis. Food Funct. 2023, 14, 3357–3378. [Google Scholar] [CrossRef]
- Souza, S.; Lousa, P.; Andreic, D.; Nunes Soares, S.; Manuel, C.; Souse, P.; Torres, F.; Agostino, M.; De Oliveire Mourao, F.H.; Ana, M. Diosmetin for Treatment of Human Coronavirus Injection. EP 4162935 A1, 12 April 2023. [Google Scholar]
- Brad, K.; Chen, C. Physicochemical Properties of Diosmetin and Lecithin Complex. Trop. J. Pharm. Res. 2013, 12, 453–456. [Google Scholar] [CrossRef]
- Gu, Z.; Xue, Y.; Li, S.; Adu-Frimpong, M.; Xu, Y.; Yu, J.; Xu, X.; Zhu, Y. Design, Characterization, and Evaluation of Diosmetin-Loaded Solid Self-Microemulsifying Drug Delivery System Prepared by Electrospray for Improved Bioavailability. AAPS PharmSciTech 2022, 23, 3. [Google Scholar] [CrossRef]
- Russo, R.; Chandradhara, D.; De Tommasi, N.; Health, G.S.P.A. Molecules Comparative Bioavailability of Two Diosmin Formulations after Oral Administration to Healthy Volunteers. Molecules 2018, 23, 2174. [Google Scholar] [CrossRef] [PubMed]
- Moriwaki, M.; Kito, K.; Nakagawa, R.; Kapoor, M.P.; Matsumiya, Y.; Fukuhara, T.; Kobayashi, J.; Satomoto, K.; Yamagata, H.; Kuroiwa, Y. Increased Bioavailability of Diosmetin-7-Glucoside-γ-Cyclodextrin Inclusion Complex Compared with Diosmin in Sprague-Dawley Rats. Biosci. Biotechnol. Biochem. 2023, 87, 771–776. [Google Scholar] [CrossRef] [PubMed]
- Sun, W.X.; Zhang, C.T.; Yu, X.N.; Guo, J.B.; Ma, H.; Liu, K.; Luo, P.; Ren, J. Preparation and Pharmacokinetic Study of Diosmetin Long-Circulating Liposomes Modified with Lactoferrin. J. Funct. Foods 2022, 91, 105027. [Google Scholar] [CrossRef]
- Xie, J.; Qiu, L.; Li, X.; Xie, Y.; Zou, L.; Xu, H. Flavonoids and Synthesis Method and Application. CN113956227A, 21 January 2022. [Google Scholar]
- Xie, J.; Qui, L.; Li, X.; Xie, Y.; Zou, L.; Xu, H.J. Semi-Synthetic Flavonoid Compound and Anti-Inflammatory Application Thereof. CN113956224A, 20 July 2020. [Google Scholar]
- Ferté, J.; Kühnel, J.M.; Chapuis, G.; Rolland, Y.; Lewin, G.; Schwaller, M.A. Flavonoid-Related Modulators of Multidrug Resistance: Synthesis, Pharmacological Activity, and Structure-Activity Relationships. J. Med. Chem. 1999, 42, 478–489. [Google Scholar] [CrossRef]
- Jin, L.; Wang, M.L.; Lv, Y.; Zeng, X.Y.; Chen, C.; Ren, H.; Luo, H.; Pan, W.D. Design and Synthesis of Flavonoidal Ethers and Their Anti-Cancer Activity in Vitro. Molecules 2019, 24, 1749. [Google Scholar] [CrossRef]
- Lou, D.; Wang, G.; Xia, L.; Chen, L.; Wang, Q. Synthesis and Biological Activity of Novel Flavonoids Galactoconjugates. Chin. J. Org. Chem. 2013, 33, 535–541. [Google Scholar] [CrossRef][Green Version]
- Hoang, T.K.D.; Huynh, T.K.C.; Nguyen, T.D. Synthesis, Characterization, Anti-Inflammatory and Anti-Proliferative Activity against MCF-7 Cells of O-Alkyl and O-Acyl Flavonoid Derivatives. Bioorg. Chem. 2015, 63, 45–52. [Google Scholar] [CrossRef] [PubMed]
- Li, W.; Han, P.; Cai, S.; Wang, Q. Synthesis and Antiproliferative Activities of Thioxoflavonoids on Three Human Cancer Cells. Nat. Prod. Res. 2019, 33, 2440–2445. [Google Scholar] [CrossRef]
- Wei, Y.; Peng, A.Y.; Huang, J. Inhibition of Porcine Liver Carboxylesterase by Phosphorylated Flavonoids. Chem. Biol. Interact. 2013, 204, 75–79. [Google Scholar] [CrossRef]
- Myers-Paynef, S.C.; Hui, D.Y.; Brockman, H.L.; Schroeder, F. Cholesterol Esterase: A Cholesterol Transfer Protein1. Biochemistry 1995, 34, 3942–3947. [Google Scholar] [CrossRef]
- Cashman, J.R.; Perotti, B.Y.T.; Berkman, C.E.; Lin’, J. Pharmacokinetics and Molecular Detoxication. Environ. Health Persp. 1996, 104, 23–40. [Google Scholar]
- Wei, Y.; Peng, A.Y.; Wang, B.; Ma, L.; Peng, G.; Du, Y.; Tang, J. Synthesis and Biological Evaluation of Phosphorylated Flavonoids as Potent and Selective Inhibitors of Cholesterol Esterase. Eur. J. Med. Chem. 2014, 74, 751–758. [Google Scholar] [CrossRef]
- Cheng, N.; Yi, W.B.; Wang, Q.Q.; Peng, S.M.; Zou, X.Q. Synthesis and α-Glucosidase Inhibitory Activity of Chrysin, Diosmetin, Apigenin, and Luteolin Derivatives. Chin. Chem. Lett. 2014, 25, 1094–1098. [Google Scholar] [CrossRef]
- Nile, S.H.; Keum, Y.S.; Nile, A.S.; Jalde, S.S.; Patel, R.V. Antioxidant, Anti-Inflammatory, and Enzyme Inhibitory Activity of Natural Plant Flavonoids and Their Synthesized Derivatives. J. Biochem. Mol. Toxicol. 2018, 32, e22002. [Google Scholar] [CrossRef]
- Tran, T.S.; Tran, T.D.; Tran, T.H.; Mai, T.T.; Nguyen, N.L.; Thai, K.M.; Le, M.T. Synthesis, in Silico and in Vitro Evaluation of Some Flavone Derivatives for Acetylcholinesterase and BACE-1 Inhibitory Activity. Molecules 2020, 25, 4064. [Google Scholar] [CrossRef]
- Duan, K.; Liu, H.; Fan, H.; Zhang, J.; Wang, Q. Synthesis and Anticholinesterase Inhibitory Activity of Mannich Base Derivatives of Flavonoids. J. Chem. Res. 2014, 38, 443–446. [Google Scholar] [CrossRef]
- Zebda, R.; Paller, A.S. Phosphodiesterase 4 Inhibitors. J. Am. Acad. Dermatol. 2018, 78, S43–S52. [Google Scholar] [CrossRef]
- Dhainaut, A.; Lewin, G.; Canet, E.; Lonchamp, M.; Rolland, Y. New Flavone Derivatives, Their Preparation Procedures and the Pharmaceutical Compositions Containing Them. CA 2216617C, 27 March 1998. [Google Scholar]
- Correia-Da-Silva, M.; Sousa, E.; Duarte, B.; Marques, F.; Carvalho, F.; Cunha-Ribeiro, L.M.; Pinto, M.M.M. Flavonoids with an oligopolysulfated moiety: A new class of anticoagulant agents. J. Med. Chem. 2011, 54, 95–106. [Google Scholar] [CrossRef] [PubMed]
- Yang, X.; Lim, S.H.M.; Lin, J.; Wu, J.; Tang, H.; Zhao, F.; Liu, F.; Sun, C.; Shi, X.; Kuang, Y.; et al. Oxygen mediated oxidative couplings of flavones in alkaline water. Nat. Commun. 2022, 13, 6424. [Google Scholar] [CrossRef] [PubMed]
- Xiao, Z.; Lin, W.; Wang, X. Multiple-Target-Point Flavone-Quinolinone Compound and Preparation Method and Applications Thereof. CN 103435601, 11 December 2013. [Google Scholar]
- Lewin, G. New 3-Halo Flavone Derivatives Useful for Treating Disorders Involving an Excess of Oxidizing Species, e.g., Cancer, Ischemic Diseases, Dermatosis, Neurodegenerative Diseases, Inflammatory Diseases. FR2857665A1, 21 January 2005. [Google Scholar]
- Wierzbicki, M.; Boussard, M.-F.; Verbeuren, T.; Vallez, M.-O.; Canet, E.; Rolland, Y. Novel Derivatives of Diosmetin, Process for Their Preparation and Pharmaceutical Compositions Containing Same. Fr 9412783A1, 26 October 1994. [Google Scholar]

















Disclaimer/Publisher’s Note: The statements, opinions and data contained in all publications are solely those of the individual author(s) and contributor(s) and not of MDPI and/or the editor(s). MDPI and/or the editor(s) disclaim responsibility for any injury to people or property resulting from any ideas, methods, instructions or products referred to in the content. |
© 2023 by the authors. Licensee MDPI, Basel, Switzerland. This article is an open access article distributed under the terms and conditions of the Creative Commons Attribution (CC BY) license (https://creativecommons.org/licenses/by/4.0/).
Share and Cite
Wujec, M.; Feldo, M. Can We Improve Diosmetin Activity? The State-of-the-Art and Promising Research Directions. Molecules 2023, 28, 7910. https://doi.org/10.3390/molecules28237910
Wujec M, Feldo M. Can We Improve Diosmetin Activity? The State-of-the-Art and Promising Research Directions. Molecules. 2023; 28(23):7910. https://doi.org/10.3390/molecules28237910
Chicago/Turabian StyleWujec, Monika, and Marcin Feldo. 2023. "Can We Improve Diosmetin Activity? The State-of-the-Art and Promising Research Directions" Molecules 28, no. 23: 7910. https://doi.org/10.3390/molecules28237910
APA StyleWujec, M., & Feldo, M. (2023). Can We Improve Diosmetin Activity? The State-of-the-Art and Promising Research Directions. Molecules, 28(23), 7910. https://doi.org/10.3390/molecules28237910

