Facile Synthesis of Ni-Doped ZnO Nanoparticles Using Cashew Gum: Investigation of the Structural, Optical, and Photocatalytic Properties
Abstract
:1. Introduction
2. Results and Discussion
2.1. Structural Analysis of the Zn1−xNixO Compound
2.2. Raman Analysis of the Zn1−xNixO Compound
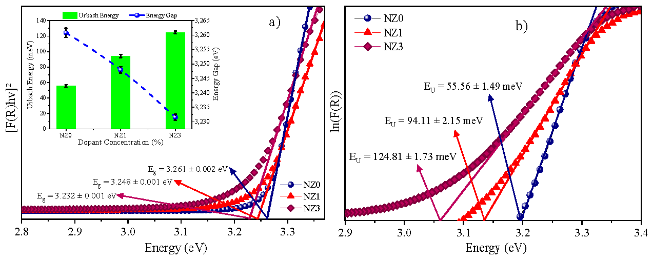
2.3. Investigation of the Optical Properties of the Zn1−xNixO System
2.4. Morphological Analysis of the Zn1−xNixO system
2.5. Photocatalytic Tests of the Zn1−xNixO System
3. Materials and Methods
3.1. Reagents and Cashew Gum Obtention
3.2. Green Synthesis of Zn1−xNixO Compound
3.3. Characterization Technique
3.4. Photocatalytic Tests
4. Conclusions
Author Contributions
Funding
Institutional Review Board Statement
Informed Consent Statement
Data Availability Statement
Acknowledgments
Conflicts of Interest
References
- Román-Collado, R.; Sanz-Díaz, M.T.; Yamuza Blanco, L. Key Drivers of the Textile and Clothing Industry Decarbonisation within the EU-27. J. Environ. Manag. 2023, 334, 117438. [Google Scholar] [CrossRef]
- Freitas, W.; Trigueiro, P.; Marinho, T.; Honorio, L.M.; Silva-Filho, E.C.; Furtini, M.B.; Cecília, J.A.; Fonseca, M.G.; Osajima, J. The Role of Clay Mineral-Derived Photocatalysts in Insights of Remediation. Ceramics 2022, 5, 862–882. [Google Scholar] [CrossRef]
- Alsharif, A.; Alsaiari, J.A.; Saih, M.; Alotaibi, R.T.; Khan, I. Of Toxic Methyl Orange Dye: Recent Modifications and Future Perspectives. Molecules 2023, 28, 3199. [Google Scholar]
- Wang, Q.; Zhao, Y.; Zhang, Z.; Liao, S.; Deng, Y.; Wang, X.; Ye, Q.; Wang, K. Hydrothermal preparation of Sn3O4/TiO2 nanotube arrays as effective photocatalysts for boosting photocatalytic dye degradation and hydrogen production. Ceram. Int. 2023, 49, 5977–5985. [Google Scholar] [CrossRef]
- Hossain, L.; Sarker, S.K.; Khan, M.S. Evaluation of Present and Future Wastewater Impacts of Textile Dyeing Industries in Bangladesh. Environ. Dev. 2018, 26, 23–33. [Google Scholar] [CrossRef]
- Osajima, J.A.; Sá, A.S.; Feitosa, R.P.; Furtini, M.B.; Honorio, L.M.C.; Fonseca, M.G.; Trigueiro, P.; Caregnato, P.; Triboni, E.R.; Silva-Filho, E.C. Improved Remediation of Contaminated Water Using ZnO Systems via Chemical Treatment: Applications, Implications and Toxicological Mitigation. Sustain. Water Resour. Manag. 2023, 9, 42. [Google Scholar] [CrossRef]
- Rocha, R.L.P.; Honorio, L.M.C.; Bezerra, R.D.D.S.; Trigueiro, P.; Duarte, T.M.; Fonseca, M.G.; Silva-filho, E.C.; Osajima, J.A. Light-Activated Hydroxyapatite Photocatalysts: New Environmentally-Friendly Materials to Mitigate Pollutants. Minerals 2022, 12, 525. [Google Scholar] [CrossRef]
- Appavu, B.; Thiripuranthagan, S.; Ranganathan, S.; Erusappan, E.; Kannan, K. BiVO4 /N-RGO Nano Composites as Highly Efficient Visible Active Photocatalyst for the Degradation of Dyes and Antibiotics in Eco System. Ecotoxicol. Environ. Saf. 2018, 151, 118–126. [Google Scholar] [CrossRef]
- Vasiljevic, Z.Z.; Dojcinovic, M.P.; Vujancevic, J.D.; Jankovic-Castvan, I.; Ognjanovic, M.; Tadic, N.B.; Stojadinovic, S.; Brankovic, G.O.; Nikolic, M.V. Photocatalytic Degradation of Methylene Blue under Natural Sunlight Using Iron Titanate Nanoparticles Prepared by a Modified Sol-Gel Method: Methylene Blue Degradation with Fe2TiO5. R. Soc. Open Sci. 2020, 7. [Google Scholar] [CrossRef]
- Ong, S.-A.; Toorisaka, E.; Hirata, M.; Hano, T. Biodegradation of Redox Dye Methylene Blue by Up-Flow Anaerobic Sludge Blanket Reactor. J. Hazard. Mater. 2005, 124, 88–94. [Google Scholar] [CrossRef]
- Ramsay, R.R.; Dunford, C.; Gillman, P.K. Methylene Blue, and Serotonin Toxicity: Inhibition of Monoamine Oxidase A (MAO-A) Confirms a Theoretical Prediction. Br. J. Pharmacol. 2007, 152, 946–951. [Google Scholar] [CrossRef] [PubMed]
- França, R.; Araujo, F.P.; Neves, L.; Melo, A.; Lins, A.; Soares, A.S.; Osajima, J.A.; Guerra, Y.; Almeida, L.C.; Peña-Garcia, R.R. Photoresponsive Activity of the Zn0.94Er0.02Cr0.04O Compound with Hemisphere-like Structure Obtained by Co-Precipitation. Materials 2023, 16, 1446. [Google Scholar] [CrossRef]
- Santos, D.H.d.S.; Xiao, Y.; Chaukura, N.; Hill, J.M.; Selvasembian, R.; Zanta, C.L.P.S.; Meili, L. Regeneration of Dye-Saturated Activated Carbon through Advanced Oxidative Processes: A Review. Heliyon 2022, 8, e10205. [Google Scholar] [CrossRef] [PubMed]
- Ohtani, B. Revisiting the Fundamental Physical Chemistry in Heterogeneous Photocatalysis: Its Thermodynamics and Kinetics. Phys. Chem. Chem. Phys. 2014, 16, 1788–1797. [Google Scholar] [CrossRef]
- Honorio, L.M.C.; Trigueiro, P.A.; Viana, B.C.; Ribeiro, A.B.; Osajima, J.A. Nanostructured Materials for the Photocatalytic Degradation of Organic Pollutants in Water. In Nanostructured Materials for Treating Aquatic Pollution; Springer: Cham, Switzerland, 2019; pp. 65–90. ISBN 9783030337445. [Google Scholar]
- Kou, J.; Lu, C.; Wang, J.; Chen, Y.; Xu, Z.; Varma, R.S. Selectivity Enhancement in Heterogeneous Photocatalytic Transformations. Chem. Rev. 2017, 117, 1445–1514. [Google Scholar] [CrossRef] [PubMed]
- Asgari, E.; Sheikhmohammadi, A.; Manshouri, M.; Hashemzadeh, B. The Investigation of Removal Performances of UV/ZnO, UV/ZnO/H2O2 and UV/ZnO/O3 Processes in the Degradation of Butoben and Phenylmethyl Ester from Aqueous Solution. Optik 2021, 228, 166208. [Google Scholar] [CrossRef]
- Zhou, X.-Q.; Hayat, Z.; Zhang, D.-D.; Li, M.-Y.; Hu, S.; Wu, Q.; Cao, Y.-F.; Yuan, Y. Zinc Oxide Nanoparticles: Synthesis, Characterization, Modification, and Applications in Food and Agriculture. Processes 2023, 11, 1193. [Google Scholar] [CrossRef]
- Shaba, E.Y.; Jacob, J.O.; Tijani, J.O.; Suleiman, M.A.T. A Critical Review of Synthesis Parameters Affecting the Properties of Zinc Oxide Nanoparticle and Its Application in Wastewater Treatment; Springer International Publishing: Berlin/Heidelberg, Germany, 2021; Volume 11, ISBN 0123456789. [Google Scholar]
- Motelica, L.; Oprea, O.-C.; Vasile, B.-S.; Ficai, A.; Ficai, D.; Andronescu, E.; Holban, A.M. Antibacterial Activity of Solvothermal Obtained ZnO Nanoparticles with Different Morphology and Photocatalytic Activity against a Dye Mixture: Methylene Blue, Rhodamine B and Methyl Orange. Int. J. Mol. Sci. 2023, 24, 5677. [Google Scholar] [CrossRef]
- Cabrera-Baez, M.; Padrón-Hernández, E.; Soares, J.M.; Santos, F.P.; Guerra, Y.; Peña-Garcia, R. Effect of yttrium substitution in Fe-doped ZnO nanoparticles: An EPR study. J. Magn. Magn. Mater. 2021, 538, 168317. [Google Scholar] [CrossRef]
- Mancuso, A.; Sacco, O.; Mottola, S.; Pragliola, S.; Moretta, A.; Vaiano, V.; De Marco, I. Synthesis of Fe-Doped ZnO by Supercritical Antisolvent Precipitation for the Degradation of Azo Dyes under Visible Light. Inorganica Chim. Acta 2023, 549, 121407. [Google Scholar] [CrossRef]
- Jitianu, M.; Goia, D.V. Zinc Oxide Colloids with Controlled Size, Shape, and Structure. J. Colloid Interface Sci. 2007, 309, 78–85. [Google Scholar] [CrossRef] [PubMed]
- Motelica, L.; Vasile, B.-S.; Ficai, A.; Surdu, A.-V.; Ficai, D.; Oprea, O.-C.; Andronescu, E.; Jinga, D.C.; Holban, A.M. Influence of the Alcohols on the ZnO Synthesis and Its Properties: The Photocatalytic and Antimicrobial Activities. Pharmaceutics 2022, 14, 2842. [Google Scholar] [CrossRef] [PubMed]
- Soares, A.S.; Araujo, F.P.; França, R.; Osajima, J.A.; Guerra, Y.; Castro-Lopes, S.; Silva-Filho, E.C.; Santos, F.E.; Almeida, L.C.; Viana, B.C.; et al. Effect of PH on the Growth and Ibuprofen Photocatalytic Response of Zn1−xCOxO Compound Synthesized by the Co-Precipitation Method. J. Mater. Res. 2023, 38, 2439–2452. [Google Scholar] [CrossRef]
- Soares, A.S.; Araujo, F.P.; Osajima, J.A.; Guerra, Y.; Viana, B.C.; Peña-Garcia, R. Nanotubes/Nanorods-like Structures of La-Doped ZnO for Degradation of Methylene Blue and Ciprofloxacin. J. Photochem. Photobiol. A Chem. 2024, 447, 115235. [Google Scholar] [CrossRef]
- Pauzi, N.; Zain, N.M.; Yusof, N.A.A. Gum Arabic as Natural Stabilizing Agent in Green Synthesis of ZnO Nanofluids for Antibacterial Application. J. Environ. Chem. Eng. 2020, 8, 103331. [Google Scholar] [CrossRef]
- Suganya, S.; Vivekanandhan, S. Neem (Azadirachta Indica) Gum Assisted Sol–Gel Synthesis and Characterization of ZnO Nanoparticles for Photocatalytic Application. J. Aust. Ceram. Soc. 2019, 55, 433–442. [Google Scholar] [CrossRef]
- Peralta-Videa, J.R.; Huang, Y.; Parsons, J.G.; Zhao, L.; Lopez-Moreno, L.; Hernandez-Viezcas, J.A.; Gardea-Torresdey, J.L. Plant-Based Green Synthesis of Metallic Nanoparticles: Scientific Curiosity or a Realistic Alternative to Chemical Synthesis? Nanotechnol. Environ. Eng. 2016, 1, 1–29. [Google Scholar] [CrossRef]
- Sharma, D.; Sabela, M.I.; Kanchi, S.; Bisetty, K.; Skelton, A.A.; Honarparvar, B. Green Synthesis, Characterization and Electrochemical Sensing of Silymarin by ZnO Nanoparticles: Experimental and DFT Studies. J. Electroanal. Chem. 2018, 808, 160–172. [Google Scholar] [CrossRef]
- Supriya, P.; Srinivas, B.T.V.; Chowdeswari, K.; Naidu, N.V.S.; Sreedhar, B. Biomimetic Synthesis of Gum Acacia Mediated Pd-ZnO and Pd-TiO2—Promising Nanocatalysts for Selective Hydrogenation of Nitroarenes. Mater. Chem. Phys. 2018, 204, 27–36. [Google Scholar] [CrossRef]
- Araujo, F.P.; Trigueiro, P.; Honório, L.M.C.; Furtini, M.B.; Oliveira, D.M.; Almeida, L.C.; Garcia, R.R.P.; Viana, B.C.; Silva-Filho, E.C.; Osajima, J.A. A Novel Green Approach Based on ZnO Nanoparticles and Polysaccharides for Photocatalytic Performance. Dalton Trans. 2020, 49, 16394–16403. [Google Scholar] [CrossRef]
- Liu, T.T.; Wang, M.H.; Su, H.; Chen, X.; Chen, C.; Zhang, R.C. Gum Tragacanth-Mediated Synthesis of Nanocrystalline ZnO Powder for Use in Varistors. J. Electron. Mater. 2015, 44, 3430–3435. [Google Scholar] [CrossRef]
- Souza, J.M.T.; de Araújo, A.R.; de Carvalho, A.M.A.; Amorim, A.d.G.N.; Daboit, T.C.; Leite, J.R.d.S.d.A.; da Silva, D.A.; Eaton, P. Sustainably Produced Cashew Gum-Capped Zinc Oxide Nanoparticles Show Antifungal Activity against Candida Parapsilosis. J. Clean. Prod. 2020, 247, 119085. [Google Scholar] [CrossRef]
- Araujo, F.P.; Trigueiro, P.; Honório, L.M.C.; Oliveira, D.M.; Almeida, L.C.; Garcia, R.P.; Lobo, A.O.; Cantanhêde, W.; Silva-Filho, E.C.; Osajima, J.A. Eco-Friendly Synthesis and Photocatalytic Application of Flowers-like ZnO Structures Using Arabic and Karaya Gums. Int. J. Biol. Macromol. 2020, 165, 2813–2822. [Google Scholar] [CrossRef] [PubMed]
- Zheng, J.; Li, C. Synthesis and Photocatalysis of Zn0.97−XCu0.03CexO Powders. Cryst. Res. Technol. 2017, 52, 6–11. [Google Scholar] [CrossRef]
- Nadeem, M.S.; Munawar, T.; Mukhtar, F.; Manzoor, S.; Mahmood, K.; Al-Buriahi, M.S.; Katubi, K.M.; Ashiq, M.N.; Boukhris, I.; Iqbal, F. Facile Synthesis of Sunlight Driven Photocatalysts Zn0.9Ho0.05M0.05O (M = Pr, Sm, Er) for the Removal of Synthetic Dyes from Wastewater. Surf. Interfaces 2022, 34, 102376. [Google Scholar] [CrossRef]
- Fatima, S.; Munawar, T.; Nadeem, M.S.; Mukhtar, F.; Khan, S.A.; Koc, M.; Iqbal, F. Boosted Natural Sunlight Driven Photodegradation of Organic Dyes Using RGO Anchored Pr/Cu Dual-Doped ZnO Nanocomposite: Characterization and Mechanistic Insight. Opt. Mater. 2023, 136, 113397. [Google Scholar] [CrossRef]
- Peña-Garcia, R.; Guerra, Y.; Milani, R.; Oliveira, D.M.; de Souza, F.R.; Padrón-Hernández, E. Influence of Ni and Sr on the Structural, Morphological and Optical Properties of ZnO Synthesized by Sol Gel. Opt. Mater. 2019, 98, 109427. [Google Scholar] [CrossRef]
- Peña-Garcia, R.; Guerra, Y.; Milani, R.; Oliveira, D.M.; Rodrigues, A.R.; Padrón-Hernández, E. The Role of Y on the Structural, Magnetic and Optical Properties of Fe-Doped ZnO Nanoparticles Synthesized by Sol Gel Method. J. Magn. Magn. Mater. 2020, 498, 166085. [Google Scholar] [CrossRef]
- Rocha, M.; Araujo, F.P.; Castro-Lopes, S.; de Lima, I.S.; Silva-Filho, E.C.; Osajima, J.A.; Oliveira, C.S.; Viana, B.C.; Almeida, L.C.; Guerra, Y.; et al. Synthesis of Fe–Pr Co-Doped ZnO Nanoparticles: Structural, Optical and Antibacterial Properties. Ceram. Int. 2023, 49, 2282–2295. [Google Scholar] [CrossRef]
- Sá, A.S.; Feitosa, R.P.; Honório, L.; Peña-Garcia, R.; Almeida, L.C.; Dias, J.S.; Brazuna, L.P.; Tabuti, T.G.; Triboni, E.R.; Osajima, J.A.; et al. A Brief Photocatalytic Study of Zno Containing Cerium towards Ibuprofen Degradation. Materials 2021, 14, 5891. [Google Scholar] [CrossRef]
- Zyoud, S.H.; Ganesh, V.; Che Abdullah, C.A.; Yahia, I.S.; Zyoud, A.H.; Abdelkader, A.F.I.; Daher, M.G.; Nasor, M.; Shahwan, M.; Zahran, H.Y.; et al. Facile Synthesis of Ni-Doped ZnO Nanostructures via Laser-Assisted Chemical Bath Synthesis with High and Durable Photocatalytic Activity. Crystals 2023, 13, 1087. [Google Scholar] [CrossRef]
- Zhao, J.; Wang, L.; Yan, X.; Yang, Y.; Lei, Y.; Zhou, J.; Huang, Y.; Gu, Y.; Zhang, Y. Structure and photocatalytic activity of Ni-doped ZnO nanorods. Mater. Res. Bull. 2011, 46, 1207–1210. [Google Scholar] [CrossRef]
- Anbuselvan, D.; Nilavazhagan, S.; Santhanam, A.; Chidhambaram, N.; Gunavathy, K.; Ahamad, T.; Alshehri, S.M. Room Temperature Ferromagnetic Behavior of Nickel-Doped Zinc Oxide Dilute Magnetic Semiconductor for Spintronics Applications. Phys. E Low-Dimens. Syst. Nanostructures 2021, 129, 114665. [Google Scholar] [CrossRef]
- Shaban, M.; El Sayed, A.M. Effects of Lanthanum and Sodium on the Structural, Optical and Hydrophilic Properties of Sol–Gel Derived ZnO Films: A Comparative Study. Mater. Sci. Semicond. Process. 2016, 41, 323–334. [Google Scholar] [CrossRef]
- Costa-Silva, M.; Araujo, F.P.; Guerra, Y.; Viana, B.C.; Silva-Filho, E.C.; Osajima, J.A.; Almeida, L.C.; Skovroinski, E.; Peña-Garcia, R. Photocatalytic, Structural and Optical Properties of Ce–Ni Co-Doped ZnO Nanodisks-like Self-Assembled Structures. Mater. Chem. Phys. 2022, 292, 126814. [Google Scholar] [CrossRef]
- Castro-Lopes, S.; Guerra, Y.; Silva-Sousa, A.; Oliveira, D.M.; Gonçalves, L.A.P.; Franco, A.; Padrón-Hernández, E.; Peña-Garcia, R. Influence of PH on the Structural and Magnetic Properties of Fe-Doped ZnO Nanoparticles Synthesized by Sol Gel Method. Solid State Sci. 2020, 109, 106438. [Google Scholar] [CrossRef]
- Abbasi, F.; Zahedi, F.; Yousefi, M.H. Fabricating and Investigating High Photoresponse UV Photodetector Based on Ni-Doped ZnO Nanostructures. Opt. Commun. 2021, 482, 126565. [Google Scholar] [CrossRef]
- Fifere, N.; Airinei, A.; Timpu, D.; Rotaru, A.; Sacarescu, L.; Ursu, L. New Insights into Structural and Magnetic Properties of Ce Doped ZnO Nanoparticles. J. Alloys Compd. 2018, 757, 60–69. [Google Scholar] [CrossRef]
- Peña-Garcia, R.; Guerra, Y.; Farias, B.; Santos, F.; Nobre, F.; Caland, J.; Pessoni, H.; Franco, A.; Padrón-Hernández, E. Unusual thermal dependence of saturation magnetization in zinc oxide nanoparticles doped with transition metals obtained by sol gel method. Ceram. Int. 2019, 45, 918–929. [Google Scholar] [CrossRef]
- Doğaroğlu, Z.G.; Ece, F.; Çiftci, B.N.; Yıldırımcan, S.; Erat, S. Evaluation of Stress Factor on Wheat (Triticum aestivum): The Effect of ZnO and Ni-Doped ZnO Nanoparticles. Toxicol. Environ. Chem. 2021, 103, 382–398. [Google Scholar] [CrossRef]
- Al-Ariki, S.; Yahya, N.A.A.; Al-A’nsi, S.A.; Jumali, M.H.H.; Jannah, A.N.; Abd-Shukor, R. Synthesis and Comparative Study on the Structural and Optical Properties of ZnO Doped with Ni and Ag Nanopowders Fabricated by Sol Gel Technique. Sci. Rep. 2021, 11, 1–11. [Google Scholar] [CrossRef]
- Ali, M.Y.; Khan, M.K.R.; Karim, A.M.M.T.; Rahman, M.M.; Kamruzzaman, M. Heliyon Effect of Ni Doping on Structure, Morphology and Opto-Transport Properties of Spray Pyrolised ZnO Nano- Fi Ber. Heliyon 2020, 6, e03588. [Google Scholar] [CrossRef] [PubMed]
- Thomas, P.B.S. Estimation of Lattice Strain in ZnO Nanoparticles: X-Ray Peak Profile Analysis. J. Theor. Appl. Phys. 2014, 8, 123–134. [Google Scholar] [CrossRef]
- Sankar, M.; Jothibas, M.; Muthuvel, A.; Rajeshwari, A.; Jeyakumar, S.J. Structural, Optical and Photocatalytic Degradation of Organic Dyes by Sol Gel Prepared Ni Doped CdS Nanoparticles. Surf. Interfaces 2020, 21, 100775. [Google Scholar] [CrossRef]
- Zhang, Y.; Liu, C.; Liu, J.; Xiong, J.; Liu, J.; Zhang, K.; Liu, Y.; Peng, M.; Yu, A.; Zhang, A.; et al. Lattice Strain Induced Remarkable Enhancement in Piezoelectric Performance of ZnO-Based Flexible Nanogenerators. ACS Appl. Mater. Interfaces. 2016, 8, 2, 1381–1387. [Google Scholar] [CrossRef]
- da Trindade, L.G.; Minervino, G.B.; Trench, A.B.; Carvalho, M.H.; Assis, M.; Li, M.S.; de Oliveira, A.J.A.; Pereira, E.C.; Mazzo, T.M.; Longo, E. Influence of Ionic Liquid on the Photoelectrochemical Properties of ZnO Particles. Ceram. Int. 2018, 44, 10393–10401. [Google Scholar] [CrossRef]
- Raskar, N.D.; Dake, D.V.; Mane, V.A.; Stathatos, E.; Deshpande, U.; Dole, B. One Step Synthesis of Vertically Grown Mn—Doped ZnO Nanorods for Photocatalytic Application. J. Mater. Sci. Mater. Electron. 2019, 30, 10886–10899. [Google Scholar] [CrossRef]
- Šćepanović, M.; Grujić-Brojčin, M.; Vojisavljević, K.; Bernikc, S.; Srećković, T. Raman Study of Structural Disorder in ZnO Nanopowders. J. Raman Spectrosc. 2010, 41, 914–921. [Google Scholar] [CrossRef]
- Song, Y.; Zhang, S.; Zhang, C.; Yang, Y.; Lv, K. Raman Spectra and Microstructure of Zinc Oxide Irradiated with Swift Heavy Ion. Crystals 2019, 9, 395. [Google Scholar] [CrossRef]
- Beltran, J.; Barrero, C.; Punnoose, A. Relationship between Ferromagnetism and Formation of Complex Carbon Bonds in Carbon Doped ZnO Powders. Phys. Chem. Chem. Phys. 2019, 21, 8808–8819. [Google Scholar] [CrossRef]
- Ali, H.T.; Jacob, J.; Khalid, M.; Mahmood, K.; Yusuf, M.; Mehboob, K.; Ikram, S.; Ali, A.; Amin, N.; Ashar, A. Optimizing the Structural, Morphological and Thermoelectric Properties of Zinc Oxide by the Modulation of Cobalt Doping Concentration. J. Alloys Compd. 2021, 871, 159564. [Google Scholar] [CrossRef]
- Singh, S.; Rama, N.; Rao, M.S.R. Influence of D-d Transition Bands on Electrical Resistivity in Ni Doped Polycrystalline ZnO. Appl. Phys. Lett. 2006, 88, 222111. [Google Scholar] [CrossRef]
- Aida, M.S.; Bouchouit, K.; Arbaoui, A.; Iliopoulos, K.; Sahraoui, B. Non-linear optical and electrical properties of ZnO doped Ni Thin Films obtained using spray ultrasonic technique. Opt. Mater. 2011, 33, 968–972. [Google Scholar] [CrossRef]
- Aydin, H. The investigation of variations in optical properties depending on sintering temperature of ni:zno nano powders. Middle East J. Sci. 2019, 5, 23–32. [Google Scholar] [CrossRef]
- Norouzzadeh, P.; Mabhouti, K.; Golzan, M.M.; Naderali, R. Investigation of Structural, Morphological and Optical Characteristics of Mn Substituted Al-Doped ZnO NPs: A Urbach Energy and Kramers-Kronig Study. Optik 2020, 204, 164227. [Google Scholar] [CrossRef]
- Kabir, F.; Murtaza, A.; Saeed, A.; Ghani, A.; Ali, A.; Khan, S.; Li, K.; Zhao, Q.; Yao, K.K.; Zhang, Y.; et al. Structural, Optical and Magnetic Behavior of (Pr, Fe) Co-Doped ZnO Based Dilute Magnetic Semiconducting Nanocrystals. Ceram. Int. 2022, 48, 19606–19617. [Google Scholar] [CrossRef]
- Rambadey, O.V.; Kumar, A.; Sati, A.; Sagdeo, P.R. Exploring the Interrelation between Urbach Energy and Dielectric Constant in Hf-Substituted BaTiO3. ACS Omega 2021, 6, 32231–32238. [Google Scholar] [CrossRef]
- Dakhel, A.A. Hydrogenation Tuned the Created Ferromagnetic Properties of Ni-Doped Nano-ZnO. Appl. Phys. A Mater. Sci. Process. 2017, 123, 214. [Google Scholar] [CrossRef]
- Saaédi, A.; Yousefi, R. Improvement of Gas-Sensing Performance of ZnO Nanorods by Group-I Elements Doping. J. Appl. Phys. 2017, 122, 224505. [Google Scholar] [CrossRef]
- Luu, T.V.H.; Nguyen, Q.B.; Dao, N.N.; Luu, M.D.; Doan, V.D.; Pham, N.C.; Duong, T.L.; Pham, N.N. A Comparative Study of 0D and 1D Ce-ZnO Nanocatalysts in Photocatalytic Decomposition of Organic Pollutants. RSC Adv. 2021, 11, 36078–36088. [Google Scholar] [CrossRef]
- Chattopadhyay, S.; Neogi, S.K.; Sarkar, A.; Mukadam, M.D.; Yusuf, S.M.; Banerjee, A.; Bandyopadhyay, S. Defects Induced Ferromagnetism in Mn Doped ZnO. J. Magn. Magn. Mater. 2011, 323, 363–368. [Google Scholar] [CrossRef]
- Soares, A.S.; Castro-Lopes, S.; Cabrera-Baez, M.; Milani, R.; Padrón-Hernández, E.; Farias, B.V.; Soares, J.M.; Gusmão, S.S.; Viana, B.C.; Guerra, Y.; et al. The role of pH on the vibrational, optical and electronic properties of the Zn1-xFexO compound synthesized via sol gel method. Solid State Sci. 2022, 128, 106880. [Google Scholar] [CrossRef]
- Zeng, H.; Duan, G.; Li, Y.; Yang, S.; Xu, X.; Cai, W. Blue Luminescence of ZnO Nanoparticles Based on Non-Equilibrium Processes: Defect Origins and Emission Controls. Adv. Funct. Mater. 2010, 20, 561–572. [Google Scholar] [CrossRef]
- Patwari, G.; Kalita, P.K.; Singha, R. Structural and Optoelectronic Properties of Glucose Capped Al and Cu Doped ZnO Nanostructures. Mater. Sci. Pol. 2016, 34, 69–78. [Google Scholar] [CrossRef]
- Robles-, M.J.Á.; Luna-l, J.A.; Hern, Á.D.; Luz, D. ZnO Doped with Al3+ and Ni2+ by a Sol-Gel Method Coupled with Ultrasound Irradiation. Crystals 2018, 8, 406. [Google Scholar] [CrossRef]
- Rahmati, A.; Sirgani, A.B.; Molaei, M.; Karimipour, M. Cu-Doped ZnO Nanoparticles Synthesized by Simple Co-Precipitation Route. Eur. Phys. J. Plus 2014, 2. [Google Scholar] [CrossRef]
- Fernández, A.; Araujo, F.P.; Guerra, Y.; Castro-Lopes, S.; Matilla-Arias, J.; de Lima, I.S.; Silva-Filho, E.C.; Osajima, J.A.; Guerrero, F.; Peña-Garcia, R. Synthesis of Coral-like Structures of Pr–Yb Co-Doped YIG: Structural, Optical, Magnetic and Antimicrobial Properties. J. Rare Earths 2023. [Google Scholar] [CrossRef]
- Peña-Garcia, R.; Guerra, Y.; Castro-Lopes, S.; Camejo, Y.M.; Soares, J.M.; Franco, A.; Padrón-Hernández, E.; Cabrera-Baez, M. Morphological, magnetic and EPR studies of ZnO nanostructures doped and co-doped with Ni and Sr. Ceram. Int. 2021, 47, 28714–28722. [Google Scholar] [CrossRef]
- Chang, Y.-C.; Lin, Y.-R.; Chen, S.-W.; Chou, C.-M. Density-Controlled Growth of ZnO Nanowalls for High-Performance Photocatalysts. Materials 2022, 15, 9008. [Google Scholar] [CrossRef]
- Pascariu, P.; Cojocaru, C.; Samoila, P.; Romanitan, C. Nd-Doped ZnO Nanostructures with Enhanced Photocatalytic Performance for Environmental Protection. Int. J. Mol. Sci. 2023, 24, 6436. [Google Scholar] [CrossRef]
- Dhatwalia, J.; Kumari, A.; Chauhan, A.; Mansi, K.; Thakur, S.; Saini, R.V.; Guleria, I.; Lal, S.; Kumar, A.; Batoo, K.M.; et al. Rubus ellipticus Sm. Fruit Extract Mediated Zinc Oxide Nanoparticles: A Green Approach for Dye Degradation and Biomedical Applications. Materials 2022, 15, 3470. [Google Scholar] [CrossRef] [PubMed]
- Ahmad, I.; Aslam, M.; Jabeen, U.; Zafar, M.N.; Malghani, M.N.K.; Alwadai, N.; Alshammari, F.H.; Almuslem, A.S.; Ullah, Z. ZnO and Ni-Doped ZnO Photocatalysts: Synthesis, Characterization and Improved Visible Light Driven Photocatalytic Degradation of Methylene Blue. Inorganica Chim. Acta 2022, 543, 121167. [Google Scholar] [CrossRef]
- Safeen, K.; Safeen, A.; Arif, D.; Shah, W.H.; Ali, A.; Ali, G.; Hussain, F.; Imran, N.; Shah, A.U.; Alataway, A.; et al. Tuning the Optical Properties of ZnO by Co and Gd Doping for Water Pollutant Elimination. Water 2023, 8, 1470. [Google Scholar] [CrossRef]
- Mousavi, S.M.; Mahjoub, A.R.; Abazari, R. Facile Green Fabrication of Nanostructural Ni-Doped ZnO Hollow Sphere as an Advanced Photocatalytic Material for Dye Degradation. J. Mol. Liq. 2017, 242, 512–519. [Google Scholar] [CrossRef]
- Loyola Poul Raj, I.; Jegatha Christy, A.; David Prabu, R.; Chidhambaram, N.; Shkir, M.; AlFaify, S.; Khan, A. Significance of Ni Doping on Structure-Morphology-Photoluminescence, Optical and Photocatalytic Activity of CBD Grown ZnO Nanowires for Opto-Photocatalyst Applications. Inorg. Chem. Commun. 2020, 119, 108082. [Google Scholar] [CrossRef]
- Ahmad, I.; Akhtar, M.S.; Ahmed, E.; Ahmad, M. Facile Synthesis of Pr-Doped ZnO Photocatalyst Using Sol-Gel Method and Its Visible Light Photocatalytic Activity. J. Mater. Sci. Mater. Electron. 2020, 31, 1084–1093. [Google Scholar] [CrossRef]
- Modi, S.; Yadav, V.K.; Amari, A.; Alyami, A.Y. Photocatalytic Degradation of Methylene Blue Dye from Wastewater by Using Doped Zinc Oxide Nanoparticles. Water 2023, 15, 2275. [Google Scholar] [CrossRef]
- Bouarroudj, T.; Aoudjit, L.; Nessaibia, I.; Zioui, D.; Messai, Y.; Bendjama, A.; Mezrag, S.; Chabbi, M.; Bachari, K. Enhanced Photocatalytic Activity of Ce and Ag Co-Doped ZnO Nanorods of Paracetamol and Metronidazole Antibiotics Co-Degradation in Wastewater Promoted by Solar Light. Russ. J. Phys. Chem. A 2023, 97, 1074–1087. [Google Scholar] [CrossRef]
- Wang, Q.; Zhao, S.; Zhao, Y.; Deng, Y.; Yang, W.; Ye, Y.; Wang, K. Construction of Z-scheme Bi2O3/CeO2 heterojunction for enhanced photocatalytic capacity of TiO2 NTs. Spectrochim. Acta Part A Mol. Biomol. Spectrosc. 2024, 304, 123405. [Google Scholar] [CrossRef]
- Khanizadeh, B.; Khosravi, M.; Behnajady, M.A.; Shamel, A.; Vahid, B. Mg and La Co-Doped ZnO Nanoparticles Prepared by Sol-Gel Method: Synthesis, Characterization and Photocatalytic Activity. Period. Polytech. Chem. Eng. 2020, 64, 61–74. [Google Scholar] [CrossRef]
- França, R.; Araujo, F.P.; Castro-Lopes, S.; Neves, L.; Melo, A.; Jerônimo, A.; Osajima, J.A.; Guerra, Y.; Almeida, L.C.; Peña-Garcia, R. Effect of Cr cations addition on the structural, morphological, optical, and photocatalytic properties of Er-doped ZnO structures. Mater. Today Commun. 2023, 37, 107419. [Google Scholar] [CrossRef]
- Freitas, W.A.; Soares, B.E.C.F.; Rodrigues, M.S.; Trigueiro, P.; Honorio, L.M.C.; Peña-Garcia, R.; Alcântara, A.C.S.; Silva-Filho, E.C.; Fonseca, M.G.; Furtini, M.B.; et al. Facile Synthesis of ZnO-Clay Minerals Composites Using an Ultrasonic Approach for Photocatalytic Performance. J. Photochem. Photobiol. A Chem. 2022, 429, 113934. [Google Scholar] [CrossRef]
- Vinicius, M.; Bastos, L.; Rocha, N.; Acelina, M.; Carvalho, M.D.; Osajima, J.A.; Silva-Filho, E.C. Development of Composite Scaffolds Based on Cerium Doped-Hydroxyapatite and Natural Gums—Biological and Mechanical Properties. Materials 2019, 12, 2389–2410. [Google Scholar] [CrossRef] [PubMed]












| Samples | Lattice Parameters (Ǻ) | c/a | Crystallite Size D (nm) | Bond Length L (Ǻ) | Dislocation Density δ × 10−3 (nm−2) | Lattice Strain ε (%) | |
|---|---|---|---|---|---|---|---|
| a = b | c | ||||||
| NZ0 | 3.2409 | 1.6023 | 61.90 | 1.9725 | 1.9725 | 0.261 | 0.036 |
| NZ1 | 3.2379 | 1.6024 | 61.62 | 1.9706 | 1.9706 | 0.263 | 0.145 |
| NZ3 | 3.2482 | 1.6011 | 81.56 | 1.9764 | 1.9764 | 0.150 | 0.258 |
| Assignments | Wavenumber (cm−1) | ||
|---|---|---|---|
| NZ0 | NZ1 | NZ3 | |
| E2low | 99 | 99 | 99 |
| 2E2low | 214 | 205 | 202 |
| B1low | 271 | 272 | 273 |
| E2high − E2low | 331 | 329 | 327 |
| A1(TO) | 377 | ||
| E1(TO) | 411 | ||
| E2high | 438 | 436 | 435 |
| B1high | 536 | 535 | 535 |
| A1(LO) | 581 | 580 | 578 |
| E1(LO) | 660 | 659 | 657 |
| Photocatalysts | MB Initial Concentration | Catalyst Dosage | Light Source | k (min−1) | References |
|---|---|---|---|---|---|
| NZ1 NPs | 1.0 × 10−5 mol·L−1 | 0.5 g·L−1 | UV (160 W) | 2.95 × 10−2 | Present Work |
| ZnO Nanowalls | 1.0 × 10−5 mol·L−1 | 50 mM | UV (10 W) | 1.63 × 10−2 | Ref. [82] |
| Nd:ZnO (0.1%) | 6 mg·L−1 | 2 g·L−1 | Vis (400 W) | 4.44 × 10−3 | Ref. [83] |
| ZnO − NPs | 10 mg·L−1 | 0.5 g·L−1 | Sunlight | 4.78 × 10−2 | Ref. [84] |
Disclaimer/Publisher’s Note: The statements, opinions and data contained in all publications are solely those of the individual author(s) and contributor(s) and not of MDPI and/or the editor(s). MDPI and/or the editor(s) disclaim responsibility for any injury to people or property resulting from any ideas, methods, instructions or products referred to in the content. |
© 2023 by the authors. Licensee MDPI, Basel, Switzerland. This article is an open access article distributed under the terms and conditions of the Creative Commons Attribution (CC BY) license (https://creativecommons.org/licenses/by/4.0/).
Share and Cite
Lins, A.; Jerônimo, A.G.; Barbosa, R.; Neves, L.; Trigueiro, P.; Almeida, L.C.; Osajima, J.A.; Pereira, F.A.; Peña-Garcia, R.R. Facile Synthesis of Ni-Doped ZnO Nanoparticles Using Cashew Gum: Investigation of the Structural, Optical, and Photocatalytic Properties. Molecules 2023, 28, 7772. https://doi.org/10.3390/molecules28237772
Lins A, Jerônimo AG, Barbosa R, Neves L, Trigueiro P, Almeida LC, Osajima JA, Pereira FA, Peña-Garcia RR. Facile Synthesis of Ni-Doped ZnO Nanoparticles Using Cashew Gum: Investigation of the Structural, Optical, and Photocatalytic Properties. Molecules. 2023; 28(23):7772. https://doi.org/10.3390/molecules28237772
Chicago/Turabian StyleLins, Alexsandro, Aimee G. Jerônimo, Ricardo Barbosa, Luan Neves, Pollyana Trigueiro, Luciano C. Almeida, Josy A. Osajima, Francisca A. Pereira, and Ramón R. Peña-Garcia. 2023. "Facile Synthesis of Ni-Doped ZnO Nanoparticles Using Cashew Gum: Investigation of the Structural, Optical, and Photocatalytic Properties" Molecules 28, no. 23: 7772. https://doi.org/10.3390/molecules28237772
APA StyleLins, A., Jerônimo, A. G., Barbosa, R., Neves, L., Trigueiro, P., Almeida, L. C., Osajima, J. A., Pereira, F. A., & Peña-Garcia, R. R. (2023). Facile Synthesis of Ni-Doped ZnO Nanoparticles Using Cashew Gum: Investigation of the Structural, Optical, and Photocatalytic Properties. Molecules, 28(23), 7772. https://doi.org/10.3390/molecules28237772

