Electrochemistry of Flavonoids
Abstract
1. Introduction
2. The Electrochemistry of Flavonoids in Water-Based Solutions
| Compund | Potential [59] [V, vs. Ag/AgCl] in Water | Potential [101] [V, vs. Ag/AgCl] in Ethanol | Potential [46] [V vs. SCE] in Acetonitrile | ||||||
|---|---|---|---|---|---|---|---|---|---|
| I | II | III | I | II | I | II | III | ||
| 1 | Quercetin![]() | 0.202 | 0.395 | 0.9 a | 0.65 | 1.0 | 0.83 | 1.12 and 1.22 | 1.68 |
| 2 | Luteolin![]() | 0.261 | n.o. | 1.021 | 0.71 | n.o. | 1.03 | n.o. | 1.68 |
| 3 | Myricetin![]() | 0.119 | 0.598 | n.l. | 0.54 | 1.02 | 0.79 b | 1.21 | 1.65 |
| 4 | Kaempferol![]() | 0.194 | 0.384 | n.l. | n.o. | 0.98 | 1.68 | ||
| 5 | Fisetin![]() | 0.85 | 1.08 and 1.20 | 1.68 | |||||
| 6 | Taxifiolin![]() | 0.238 | n.o. | 0.966 | 0.86 (broad peak) | n.o. | |||
| 7 | Ampelopsin![]() | 0.64 | 1.04 | ||||||
| 8 | Apigenin ![]() | n.o. | 0.623 | 0.821 | n.o. | 1.12 | 1.63 | ||
| 9 | Naringenin![]() | n.o. | 0.710 | 0.955 | |||||
| 10 | 3-hydroxyflavone![]() | n.o. | 1.10 | n.o. | |||||
| 11 | 5-hydroxyflavone![]() | n.o. | n.o. | 1.61 | |||||
| 12 | 7-hydroxyflavone![]() | 1.62 | |||||||
| 13 | Chrisin ![]() | n.o. | n.o. | n.o. | n.o. | 1.61 | |||
| 14 | Rhamnetin![]() | 0.69 | 1.04 | ||||||
| 15 | Isorhamnetin![]() | 0.116 | 0.564 | 1.05 a | 0.71 | 1.14 | |||
| 16 | Quercitrin![]() | 0.326 | n.o. | 0.960 | |||||
| 17 | Hesperetin![]() | 0.524 | 1.002 | ||||||
| 18 | Daidzein![]() | 0.601 | 0.922 | ||||||
| 19 | Genistein![]() | 0.614 | 0.903 | ||||||
| 20 | (+) Catechin![]() | 0.266 | 0.609 | n.o. | |||||
| 21 | (−) Epicatechin![]() | 0.208 | 0.595 | n.o. | 0.76 | 1.02 | |||
| 22 | Galangin![]() | 0.82 | n.o. | ||||||
| 23 | Gossypetin ![]() | 0.49 and 0.70 | 1.15 | ||||||
| 24 | Tamarixetin![]() | 0.74 | 0.99 | ||||||
| 25 | Epigallocatechin![]() | 0.77 | 0.96 | ||||||
| 26 | 7,8-dihydroxyflavone![]() | 1.05 b | n.o. | n.o. | |||||
| 27 | Baicalein![]() | 0.89 | n.o. | 1.59 | |||||
| 28 | 3′,4′,3-trihydroxyflavone![]() | 1.02 | 1.26 and 1.32 | n.o. | |||||
| 29 | Morin![]() | n.o. | 0.97 | 1.7 | |||||
| 30 | Flavone![]() | n.o. | n.o. | n.o. | |||||
3. The Electrochemistry of Flavonoids in Organic Media
4. Discussion of the Observed Mechanisms of Flavonoids Electrooxidation
5. Conclusions
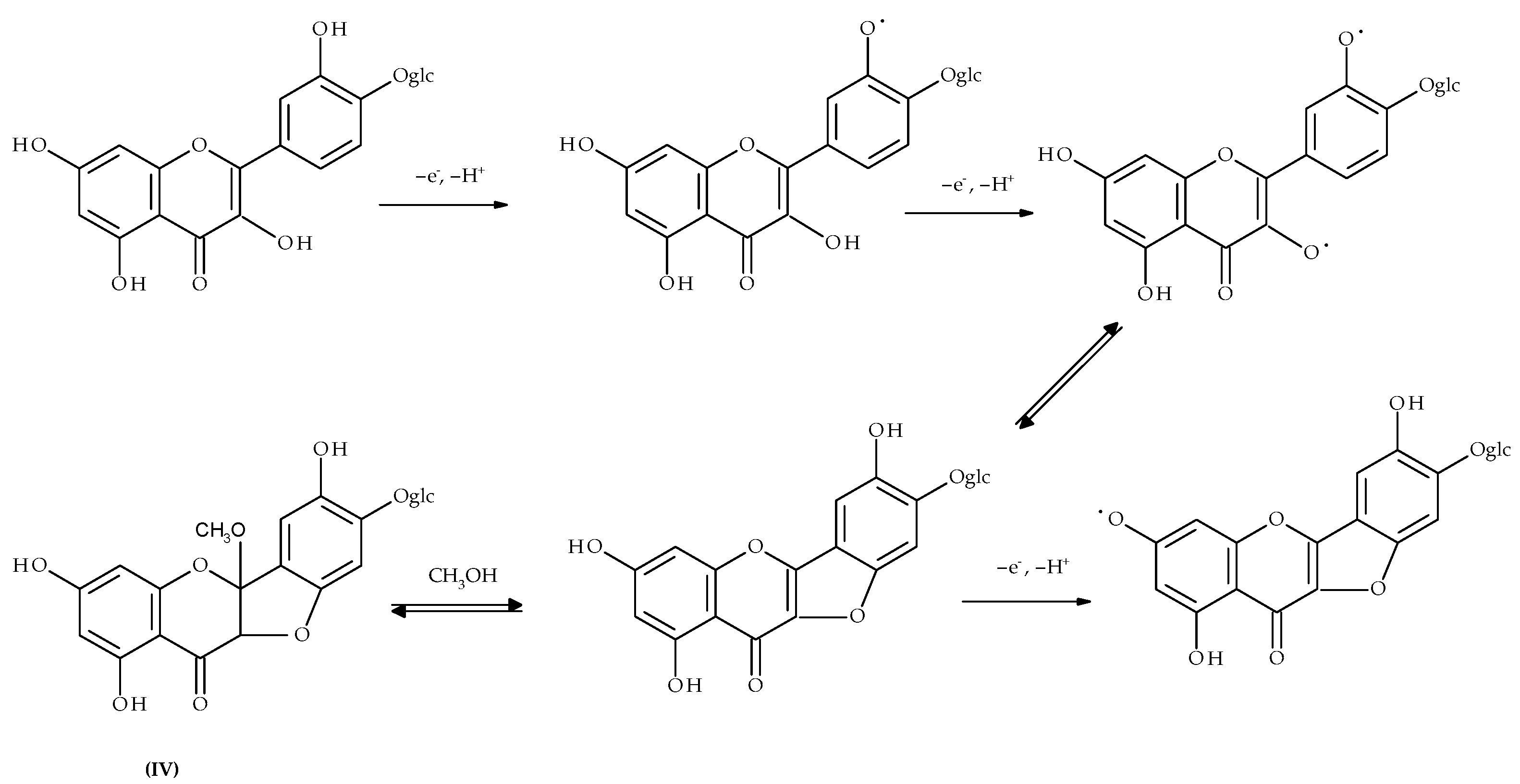
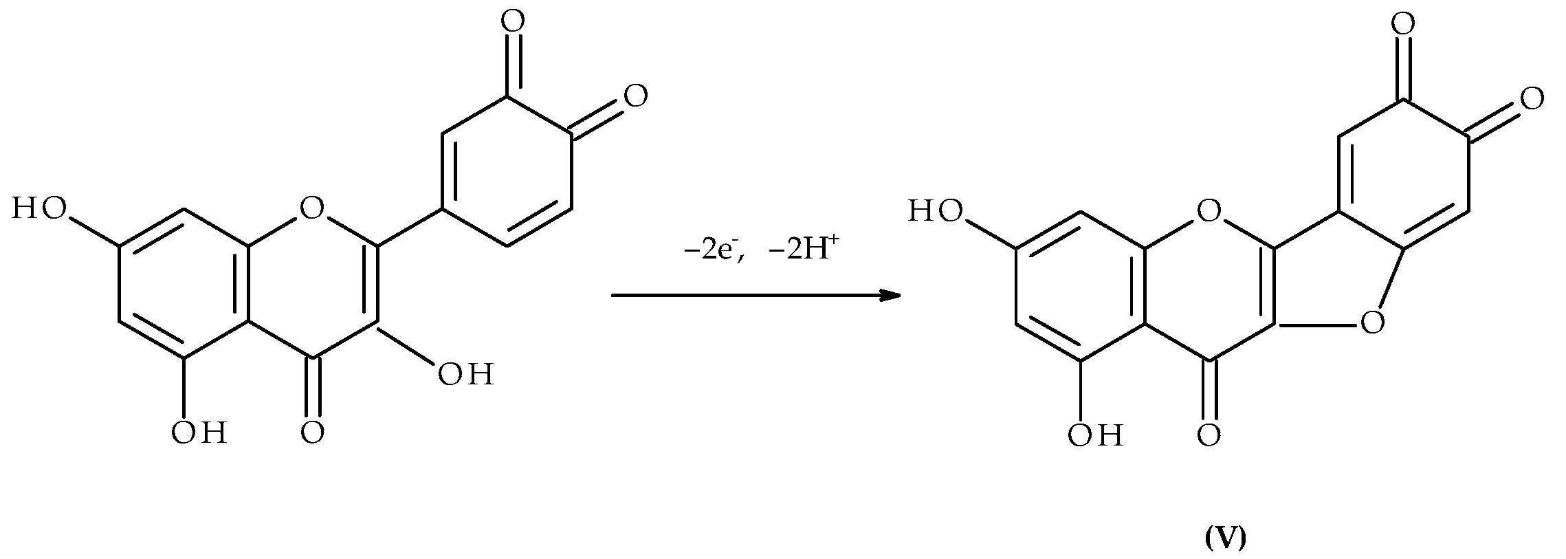
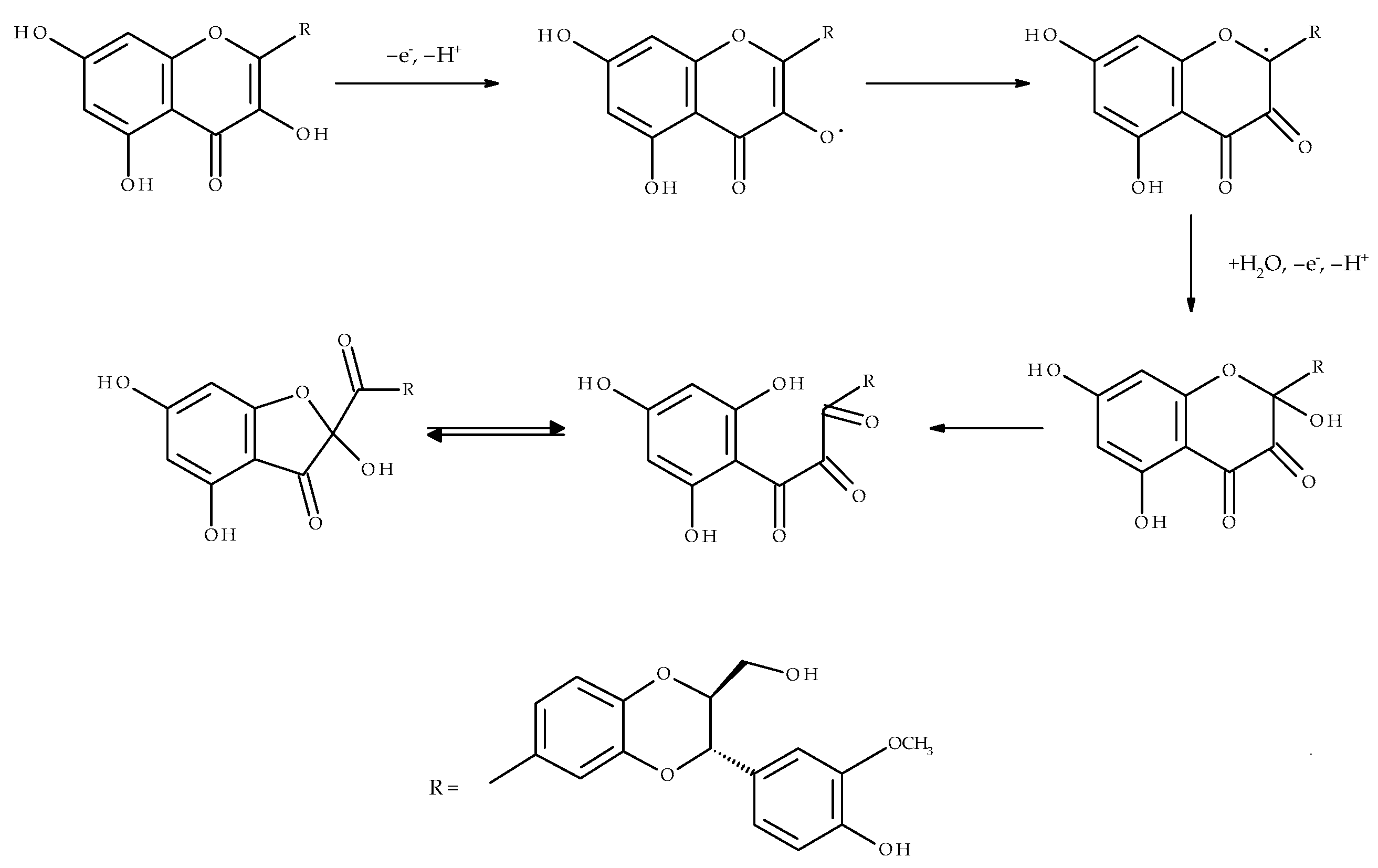
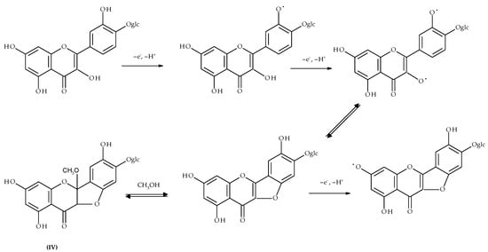
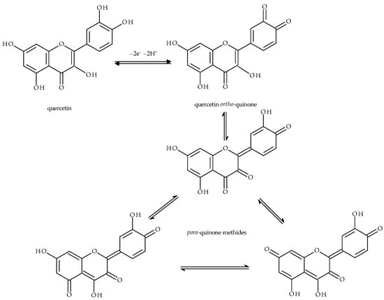
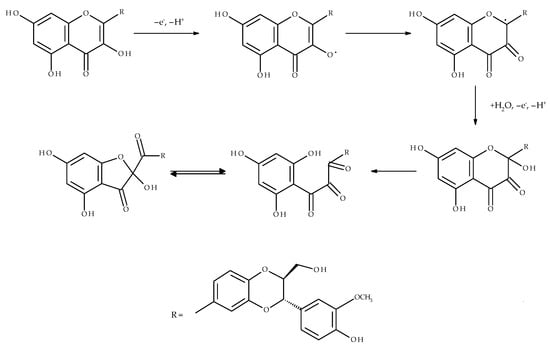
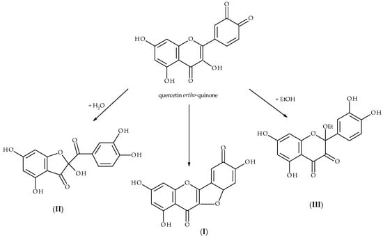
- Potential region I. If a flavonoid molecule contains an ortho dihydroxy moiety in either ring B or ring A, the moiety is oxidized, mostly reversibly, at the least positive potentials (the easiest oxidation) to the corresponding o-quinone. When o-quinone is formed in ring B and the molecule also contains the C2–C3 double bond and the C3 hydroxyl group, o-quinone exists in equilibrium with p-quinone methides (Scheme 3) and with water produces the benzofuranone derivative (Scheme 6).
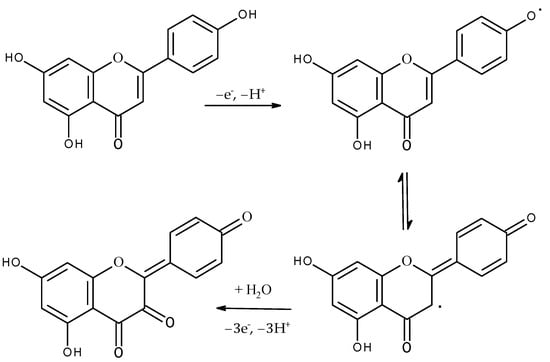
- Potential region II. In the region, the benzofuranone derivative is irreversibly oxidized. However, in this potential window flavonoids, which do not have an ortho dihydroxy moiety but possess C2–C3 double bond and hydroxyl groups in position C3 or C4′ or in both positions can form p-quinone methide.
- Potential region III. At the most positive potential, the oxidation of a hydroxyl group located in ring A occurs if there is no other hydroxyl group in the ortho position. The process is irreversible, radicals formed can dimerize or react with the solvent components. The lack of hydroxyl groups in ring A results in the absence of any oxidation peak in the potential region.
Supplementary Materials
Author Contributions
Funding
Institutional Review Board Statement
Informed Consent Statement
Data Availability Statement
Conflicts of Interest
References
- Rauter, A.P.; Ennis, M.; Hellwich, K.-H.; Herold, B.J.; Horton, D.; Moss, G.P.; Schomburg, I. Nomenclature of flavonoids (IUPAC Recommendations 2017). Pure Appl. Chem. 2018, 90, 1429–1486. [Google Scholar] [CrossRef]
- Khajuria, R.; Singh, S.; Bahl, A. General Introduction and Sources of Flavonoids. In Current Aspects of Flavonoids: Their Role in Cancer Treatment; Singh Tuli, H., Ed.; Springer: Singapore, 2019; pp. 1–7. [Google Scholar]
- Kumar, S.; Pandey, A.K. Chemistry and Biological Activities of Flavonoids: An Overview. Sci. World J. 2013, 2013, 162750. [Google Scholar] [CrossRef] [PubMed]
- Panche, A.N.; Diwan, A.D.; Chandra, S.R. Flavonoids: An overview. J. Nutr. Sci. 2016, 5, e47. [Google Scholar] [CrossRef]
- Dias, M.C.; Pinto, D.C.G.A.; Silva, A.M.S. Plant Flavonoids: Chemical Characteristics and Biological Activity. Molecules 2021, 26, 5377. [Google Scholar] [CrossRef] [PubMed]
- Shen, N.; Wang, T.; Gan, Q.; Liu, S.; Wang, L.; Jin, B. Plant flavonoids: Classification, distribution, biosynthesis, and antioxidant activity. Food Chem. 2022, 383, 132531. [Google Scholar] [CrossRef]
- Kytidou, K.; Artola, M.; Overkleeft, H.S.; Aerts, J.M.F.G. Plant Glycosides and Glycosidases: A Treasure-Trove for Therapeutics. Front. Plant Sci. 2020, 11, 357. [Google Scholar] [CrossRef]
- Khodzhaieva, R.S.; Gladkov, E.S.; Kyrychenko, A.; Roshal, A.D. Progress and Achievements in Glycosylation of Flavonoids. Front. Chem. 2021, 9, 637994. [Google Scholar] [CrossRef]
- Rauter, A.P.; Lopes, R.G.; Martins, A. C-Glycosylflavonoids: Identification, Bioactivity and Synthesis. Nat. Prod. Commun. 2007, 2, 1175–1196. [Google Scholar] [CrossRef]
- Talhi, O.; Silva, A.M.S. Advances in C-glycosylflavonoid Research. Curr. Org. Chem. 2012, 16, 859–896. [Google Scholar] [CrossRef]
- Russo, M.; Moccia, S.; Spagnuolo, C.; Tedesco, I.; Russo, G.L. Roles of flavonoids against coronavirus infection. Chem.-Biol. Interact. 2020, 328, 109211. [Google Scholar] [CrossRef]
- Pietta, P.-G. Flavonoids as Antioxidants. J. Nat. Prod. 2000, 63, 1035–1042. [Google Scholar] [CrossRef] [PubMed]
- Procházková, D.; Boušová, I.; Wilhelmová, N. Antioxidant and prooxidant properties of flavonoids. Fitoterapia 2011, 82, 513–523. [Google Scholar] [CrossRef] [PubMed]
- Pieniążek, E.; Kalembkiewicz, J.; Dranka, M.; Woźnicka, E. Syntheses, crystal structures and antioxidant study of Zn(II) complexes with morin-5′-sulfonic acid (MSA). J. Inorg. Biochem. 2014, 141, 180–187. [Google Scholar] [CrossRef] [PubMed]
- Tanui, H.K.; Nkabyo, H.A.; Pearce, B.H.; Hussein, A.A.; Lopis, A.S.; Luckay, R.C. Iron(III) and copper(II) complexes derived from the flavonoids morin and quercetin: Chelation, crystal structure and DFT studies. J. Mol. Struct. 2022, 1257, 132591. [Google Scholar] [CrossRef]
- Olszowy, M. What is responsible for antioxidant properties of polyphenolic compounds from plants? Plant Physiol. Biochem. 2019, 144, 135–143. [Google Scholar] [CrossRef]
- Burda, S.; Oleszek, W. Antioxidant and Antiradical Activities of Flavonoids. J. Agric. Food Chem. 2001, 49, 2774–2779. [Google Scholar] [CrossRef]
- Sarkar, C.; Chaudhary, P.; Jamaddar, S.; Janmeda, P.; Mondal, M.; Mubarak, M.S.; Islam, M.T. Redox Activity of Flavonoids: Impact on Human Health, Therapeutics, and Chemical Safety. Chem. Res. Toxicol. 2022, 35, 140–162. [Google Scholar] [CrossRef]
- Gil, E.S.; Couto, R.O. Flavonoid electrochemistry: A review on the electroanalytical applications. Rev. Bras. Farmacogn. 2013, 23, 542–558. [Google Scholar] [CrossRef]
- Hu, J.; Zhang, Z. Application of Electrochemical Sensors Based on Carbon Nanomaterials for Detection of Flavonoids. Nanomaterials 2020, 10, 2020. [Google Scholar] [CrossRef]
- Sariga, G.A.; Rajeev, R.; Thadathil, A.D.; Varghese, A. A Comprehensive Review on the Electrochemical Sensing of Flavonoids. Crit. Rev. Anal. Chem. 2022, 53, 1133–1173. [Google Scholar] [CrossRef]
- Yang, B.; Shen, Y.; Wang, Y.; Yang, F.; Pei, J. Recent Developments in Electrochemical Sensing Platforms for the Detection of Plant Flavonoids. Int. J. Electrochem. Sci. 2022, 17, 220523. [Google Scholar] [CrossRef]
- Hoyos-Arbeláez, J.; Vázquez, M.; Contreras-Calderón, J. Electrochemical methods as a tool for determining the antioxidant capacity of food and beverages: A review. Food Chem. 2017, 221, 1371–1381. [Google Scholar] [CrossRef] [PubMed]
- Engelkemeir, D.W.; Geissman, T.A.; Crowell, W.R.; Friess, S.L. Flavanones and Related Compounds. IV. The Reduction of Some Naturally-Occurring Flavones at the Dropping Mercury Electrode. J. Am. Chem. Soc. 1947, 69, 155–159. [Google Scholar] [CrossRef] [PubMed]
- Geissman, T.A.; Friess, S.L. Flavanones and Related Compounds. VI. The Polarographic Reduction of Some Substituted Chalcones, Flavones and Flavanones. J. Am. Chem. Soc. 1949, 71, 3893–3902. [Google Scholar] [CrossRef]
- Hodnick, W.F.; Mllosavljević, E.B.; Nelson, J.H.; Pardini, R.S. Electrochemistry of flavonoids: Relationships between redox potentials, inhibition of mitochondrial respiration, and production of oxygen radicals by flavonoids. Biochem. Pharmacol. 1988, 37, 2607–2611. [Google Scholar] [CrossRef]
- Lunte, S.M. Structural classification of flavonoids in beverages by liquid chromatography with ultraviolet—Visible and electrochemical detection. J. Chromatogr. 1987, 384, 371–382. [Google Scholar] [CrossRef]
- Hendrickson, H.P.; Kaufman, A.D.; Lunte, C.E. Electrochemistry of catechol-containing flavonoids. J. Pharm. Biomed. Anal. 1994, 12, 325–334. [Google Scholar] [CrossRef]
- Yang, B.; Arai, K.; Kusu, F. Electrochemical Behaviors of Quercetin and Kaempferol in Neutral Buffer Solution. Anal. Sci. 2001, 17, 987–989. [Google Scholar] [CrossRef]
- Oliveira Brett, A.M.; Ghica, M.-E. Electrochemical Oxidation of Quercetin. Electroanalysis 2003, 15, 1745–1750. [Google Scholar] [CrossRef]
- Nematollahi, D.; Malakzadeh, M. Electrochemical oxidation of quercetin in the presence of benzenesulfinic acids. J. Electroanal. Chem. 2003, 547, 191–195. [Google Scholar] [CrossRef]
- Zare, H.R.; Namazian, M.; Nasirizadeh, N. Electrochemical behavior of quercetin: Experimental and theoretical studies. J. Electroanal. Chem. 2005, 584, 77–83. [Google Scholar] [CrossRef]
- Timbola, A.K.; de Souza, C.D.; Giacomelli, C.; Spinelli, A. Electrochemical oxidation of quercetin in hydro-alcoholic solution. J. Braz. Chem. Soc. 2006, 17, 139–148. [Google Scholar] [CrossRef]
- Simić, A.; Manojlović, D.; Šegan, D.; Todorović, M. Electrochemical Behavior and Antioxidant and Prooxidant Activity of Natural Phenolics. Molecules 2007, 12, 2327–2340. [Google Scholar] [CrossRef] [PubMed]
- He, J.-B.; Yu, C.-L.; Duan, T.-L.; Deng, N. In situ Spectroelectrochemical Analysis of Quercetin in Acidic Medium. Anal. Sci. 2009, 25, 373–377. [Google Scholar] [CrossRef]
- Ghica, M.E.; Oliveira Brett, A.M. Electrochemical Oxidation of Rutin. Electroanalysis 2005, 17, 313–318. [Google Scholar] [CrossRef]
- He, J.-B.; Wang, Y.; Deng, N.; Lin, X.-Q. Study of the adsorption and oxidation of antioxidant rutin by cyclic voltammetry–voltabsorptometry. Bioelectrochemistry 2007, 71, 157–163. [Google Scholar] [CrossRef]
- He, J.-B.; Wang, Y.; Deng, N.; Zha, Z.-G.; Lin, X.-Q. Cyclic voltammograms obtained from the optical signals: Study of the successive electro-oxidations of rutin. Electrochim. Acta 2007, 52, 6665–6672. [Google Scholar] [CrossRef]
- Kang, J.; Lu, X.; Zeng, H.; Liu, H.; Lu, B. Investigation on the Electrochemistry of Rutin and its Analytical Application. Anal. Lett. 2002, 35, 677–686. [Google Scholar] [CrossRef]
- Medvidović-Kosanović, M.; Šeruga, M.; Jakobek, L.; Novak, I. Electrochemical and Antioxidant Properties of (+)-Catechin, Quercetin and Rutin. Croat. Chem. Acta 2010, 83, 197–207. [Google Scholar]
- Janeiro, P.; Corduneanu, O.; Oliveira Brett, A.M. Chrysin and (±)-Taxifolin Electrochemical Oxidation Mechanisms. Electroanalysis 2005, 17, 1059–1064. [Google Scholar] [CrossRef]
- Janeiro, P.; Oliveira Brett, A.M. Catechin electrochemical oxidation mechanisms. Anal. Chim. Acta 2004, 518, 109–115. [Google Scholar] [CrossRef]
- Zettersten, C.; Co, M.; Wende, S.; Turner, C.; Nyholm, L.; Sjöberg, P.J.R. Identification and Characterization of Polyphenolic Antioxidants Using On-Line Liquid Chromatography, Electrochemistry, and Electrospray Ionization Tandem Mass Spectrometry. Anal. Chem. 2009, 81, 8968–8977. [Google Scholar] [CrossRef]
- Masek, A.; Chrzescijanska, E.; Zaborski, M. Electrochemical Properties of Catechin in Non-Aqueous Media. Int. J. Electrochem. Sci. 2015, 10, 2504–2514. [Google Scholar] [CrossRef]
- Filipiak, M. Electrochemical analysis of polyphenolic compounds. Anal. Sci. 2001, 17, i1667–i1670. [Google Scholar]
- Naróg, D.; Sobkowiak, A. Electrochemical Investigation of some Flavonoids in Aprotic Media. Electroanalysis 2022, 34, 1363–1371. [Google Scholar] [CrossRef]
- Ramešová, Š.; Sokolová, R.; Degano, I.; Hromadová, M.; Gál, M.; Kolivoska, V.; Colombini, M. The Influence of the Host-guest Interaction on the Oxidation of Natural Flavonoid Dyes. Collect. Czechoslov. Chem. Commun. 2011, 76, 1651–1667. [Google Scholar] [CrossRef]
- Zhou, A.; Kikandi, S.; Sadik, O.A. Electrochemical degradation of quercetin: Isolation and structural elucidation of the degradation products. Electrochem. Commun. 2007, 9, 2246–2255. [Google Scholar] [CrossRef]
- Zhou, A.; Sadik, O.A. Comparative Analysis of Quercetin Oxidation by Electrochemical, Enzymatic, Autoxidation, and Free Radical Generation Techniques: A Mechanistic Study. J. Agric. Food Chem. 2008, 56, 12081–12091. [Google Scholar] [CrossRef]
- Jørgensen, L.V.; Cornett, C.; Justesen, U.; Skibsted, L.H.; Dragsted, L.O. Two-electron electrochemical oxidation of quercetin and kaempferol changes only the flavonoid C-ring. Free Radic. Res. 1998, 29, 339–350. [Google Scholar] [CrossRef]
- Ramešová, Š.; Sokolová, R.; Degano, I.; Bulíčková, J.; Žabka, J.; Gál, M. On the stability of the bioactive flavonoids quercetin and luteolin under oxygen-free conditions. Anal. Bioanal. Chem. 2012, 402, 975–982. [Google Scholar] [CrossRef]
- Kummer, S.; Ruth, W.; Kragl, U. Oxidation of Flavonols in an Electrochemical Flow Cell Coupled Online with ESI-MS. Electroanalysis 2016, 28, 990–997. [Google Scholar] [CrossRef]
- Sokolová, R.; Ramešová, Š.; Degano, I.; Hromadová, M.; Gál, M.; Žabka, J. The oxidation of natural flavonoid quercetin. Chem. Commun. 2012, 48, 3433–3435. [Google Scholar] [CrossRef]
- Sokolová, R.; Degano, I.; Ramešová, Š.; Bulíčková, J.; Hromadová, M.; Gál, M.; Fiedler, J.; Valášek, M. The oxidation mechanism of the antioxidant quercetin in nonaqueous media. Electrochim. Acta 2011, 56, 7421–7427. [Google Scholar] [CrossRef]
- Ramešová, Š.; Sokolová, R.; Degano, I. The study of the oxidation of the natural flavonol fisetin confirmed quercetin oxidation mechanism. Electrochim. Acta 2015, 182, 544–549. [Google Scholar] [CrossRef]
- Ramešová, Š.; Degano, I.; Sokolová, R. The oxidative decomposition of natural bioactive compound rhamnetin. J. Electroanal. Chem. 2017, 788, 125–130. [Google Scholar] [CrossRef]
- Ramešová, Š.; Degano, I.; Sokolová, R. Two oxidation pathways of bioactive flavonol rhamnazin under ambient conditions. Electrochim. Acta 2014, 133, 359–363. [Google Scholar] [CrossRef]
- Liu, A.-L.; Zhang, S.-B.; Chen, W.; Huang, L.-Y.; Lin, X.-H.; Xia, X.-H. Study of the electrochemical behavior of isorhamnetin on a glassy carbon electrode and its application. Talanta 2008, 77, 314–318. [Google Scholar] [CrossRef]
- Zhang, D.; Chu, L.; Liu, Y.; Wang, A.; Ji, B.; Wu, W.; Zhou, F.; Wei, Y.; Cheng, Q.; Cai, S.; et al. Analysis of the Antioxidant Capacities of Flavonoids under Different Spectrophotometric Assays Using Cyclic Voltammetry and Density Functional Theory. J. Agric. Food Chem. 2011, 59, 10277–10285. [Google Scholar] [CrossRef]
- Marković, Z.S.; Mentus, S.V.; Dimitrić Marković, J.M. Electrochemical and Density Functional Theory Study on the Reactivity of Fisetin and Its Radicals: Implications on in Vitro Antioxidant Activity. J. Phys. Chem. A 2009, 113, 14170–14179. [Google Scholar] [CrossRef]
- Maza, E.M.; Moressi, M.B.; Fernández, H.; Zon, M.A. Electrochemical oxidation of fisetin: Studies related to its adsorption on glassy carbon electrodes. J. Electroanal. Chem. 2012, 675, 11–17. [Google Scholar] [CrossRef]
- He, J.-B.; Yuan, S.-J.; Du, J.-Q.; Hu, X.-R.; Wang, Y. Voltammetric and spectral characterization of two flavonols for assay-dependent antioxidant capacity. Bioelectrochemistry 2009, 75, 110–116. [Google Scholar] [CrossRef] [PubMed]
- Arroyo-Currás, N.; Rosas-García, V.M.; Videa, M. Substituent Inductive Effects on the Electrochemical Oxidation of Flavonoids Studied by Square Wave Voltammetry and Ab Initio Calculations. Molecules 2016, 21, 1422. [Google Scholar] [CrossRef] [PubMed]
- Šeruga, M.; Tomac, I. Influence of Chemical Structure of Some Flavonols on Their Electrochemical Behaviour. Int. J. Electrochem. Sci. 2017, 12, 7616–7637. [Google Scholar] [CrossRef]
- Janeiro, P.; Oliveira Brett, A.M. Solid State Electrochemical Oxidation Mechanisms of Morin in Aqueous Media. Electroanalysis 2005, 17, 733–738. [Google Scholar] [CrossRef]
- Jungbluth, G.; Ternes, W. HPLC separation of flavonols, flavones and oxidized flavonols with UV-, DAD-, electrochemical and ESI-ion trap MS detection. Fresenius J. Anal. Chem. 2000, 367, 661–666. [Google Scholar] [CrossRef]
- Liu, A.; Zhang, S.; Huang, L.; Cao, Y.; Yao, H.; Chen, W.; Lin, X. Electrochemical Oxidation of Luteolin at a Glassy Carbon Electrode and Its Application in Pharmaceutical Analysis. Chem. Pharm. Bull. 2008, 56, 745–748. [Google Scholar] [CrossRef]
- Ramešová, Š.; Sokolová, R.; Tarábek, J.; Degano, I. The oxidation of luteolin, the natural flavonoid dye. Electrochim. Acta 2013, 110, 646–654. [Google Scholar] [CrossRef]
- Sokolová, R.; Ramešová, Š.; Kocábová, J.; Kolivoška, V.; Degano, I.; Pitzalis, E. On the difference in decomposition of taxifolin and luteolin vs. fisetin and quercetin in aqueous media. Monatshefte Für Chem./Chem. Mon. 2016, 147, 1375–1383. [Google Scholar] [CrossRef]
- Fuentes, J.; Atala, E.; Pastene, E.; Carrasco-Pozo, C.; Speisky, H. Quercetin Oxidation Paradoxically Enhances its Antioxidant and Cytoprotective Properties. J. Agric. Food Chem. 2017, 65, 11002–11010. [Google Scholar] [CrossRef]
- Speisky, H.; Shahidi, F.; Costa de Camargo, A.; Fuentes, J. Revisiting the Oxidation of Flavonoids: Loss, Conservation or Enhancement of Their Antioxidant Properties. Antioxidants 2022, 11, 133. [Google Scholar] [CrossRef]
- Zielinska, D.; Pierozynski, B.; Wiczkowski, W. On the electrooxidation mechanism of quercetin glucosides at glassy carbon electrode. J. Electroanal. Chem. 2010, 640, 23–34. [Google Scholar] [CrossRef]
- Pierozynski, B.; Zielinska, D. The Process of Electrooxidation of Quercetin 3,4′-di-O-β-Glucopyranoside at Glassy Carbon Electrode. Croat. Chem. Acta 2010, 83, 127–133. [Google Scholar]
- Zielinska, D.; Pierozynski, B. Electrooxidation of quercetin at glassy carbon electrode studied by a.c. impedance spectroscopy. J. Electroanal. Chem. 2009, 625, 149–155. [Google Scholar] [CrossRef]
- Pierozynski, B.; Zielinska, D. Electrosorption of quercetin on glassy carbon electrode. J. Electroanal. Chem. 2011, 651, 100–103. [Google Scholar] [CrossRef]
- Pierozynski, B.; Zielinska, D. Electrooxidation of Quercetin at Polycrystalline Pt Electrode. Int. J. Electrochem. Sci. 2010, 5, 1507–1515. [Google Scholar] [CrossRef]
- Zielińska, D.; Zieliński, H. Antioxidant activity of flavone C-glucosides determined by updated analytical strategies. Food Chem. 2011, 124, 672–678. [Google Scholar] [CrossRef]
- de Souza Gil, E.; Enache, A.T.; de Oliveira-Brett, A.M. Anodic Behaviour of Flavonoids Orientin, Eriodictyol and Robinin at a Glassy Carbon Electrode. Electroanalysis 2012, 24, 1576–1583. [Google Scholar] [CrossRef]
- Abdel-Hamid, R.; Rabia, M.K.; Newair, E.F. Electrochemical behaviour of antioxidants: Part 2. Electrochemical oxidation mechanism of quercetin at glassy carbon electrode modified with multi-wall carbon nanotubes. Arab. J. Chem. 2016, 9, 350–356. [Google Scholar] [CrossRef]
- Heřmánková, E.; Zatloukalová, M.; Biler, M.; Sokolová, R.; Bancířová, M.; Tzakos, A.G.; Křen, V.; Kuzma, M.; Trouillas, P.; Vacek, J. Redox properties of individual quercetin moieties. Free Radic. Biol. Med. 2019, 143, 240–251. [Google Scholar] [CrossRef]
- Komorsky-Lovrić, Š.; Novak, I. Abrasive stripping voltammetry of myricetin and dihydromyricetin. Electrochim. Acta 2013, 98, 153–156. [Google Scholar] [CrossRef]
- Xu, Y.; Wang, F.; Wang, L.; Zhao, F.; Yang, B.; Ye, B. Sensitive voltammetric sensor of dihydromyricetin based on Nafion/SWNT-modified glassy carbon electrode. J. Solid State Electrochem. 2012, 16, 1473–1480. [Google Scholar] [CrossRef]
- Zou, L.; Xu, Y.; Luo, P.; Zhang, S.; Ye, B. Electrochemical detection of dihydromyricetin using a DNA immobilized ethylenediamine/polyglutamic modified electrode. Analyst 2012, 137, 414–419. [Google Scholar] [CrossRef] [PubMed]
- Wang, F.; Yu, X.; Li, H.; Li, M.; Feng, Q. Graphene-Nafion Composite Film Modified Electrode for Voltammetric Sensor for Determination of Dihydromyricetin. J. Chin. Chem. Soc. 2013, 60, 1019–1026. [Google Scholar] [CrossRef]
- Popa, O.M.; Diculescu, V.C. On the adsorption and electrochemical oxidation of flavones apigenin and acacetin at a glassy carbon electrode. J. Electroanal. Chem. 2013, 708, 108–115. [Google Scholar] [CrossRef]
- Güney, S.; Yildiz, G.; Capan, A.; Ozturk, T. Evaluation of the electrochemical properties of 3-hydroxyflavone using voltammetric methods. Electrochim. Acta 2010, 55, 3295–3300. [Google Scholar] [CrossRef]
- Popa, O.M.; Diculescu, V.C. Electrochemical Behaviour of Isoflavones Genistein and Biochanin A at a Glassy Carbon Electrode. Electroanalysis 2013, 25, 1201–1208. [Google Scholar] [CrossRef]
- Fernandes, I.P.G.; Oliveira, S.C.B.; Ghalkhani, M.; Shahrokhian, S.; Oliveira-Brett, A.M. Electrochemical Oxidation Mechanisms of the Antioxidants Daidzein and 7-Hydroxy-4-chromone. Electroanalysis 2012, 24, 618–626. [Google Scholar] [CrossRef]
- Zhang, D.; Zhang, Y.; He, L. Sensitive Voltammetric Determination of Baicalein at Thermally Reduced Graphene Oxide Modified Glassy Carbon Electrode. Electroanalysis 2013, 25, 2136–2144. [Google Scholar] [CrossRef]
- Apawu, A.K.; Maina, F.K.; Taylor, J.R.; Mathews, T.A. Probing the Ability of Presynaptic Tyrosine Kinase Receptors to Regulate Striatal Dopamine Dynamics. ACS Chem. Neurosci. 2013, 4, 895–904. [Google Scholar] [CrossRef][Green Version]
- Jørgensen, L.V.; Skibsted, L.H. Flavonoid Deactivation of Ferrylmyoglobin in Relation to Ease of Oxidation as Determined by Cyclic Voltammetry. Free Radic. Res. 1998, 28, 335–351. [Google Scholar] [CrossRef]
- Yang, B.; Arai, K.; Kusu, F. Oxidation Potentials of Flavonoids Determined by Flow-through Column Electrolysis. Electrochemistry 2001, 69, 519–525. [Google Scholar] [CrossRef]
- Yang, B.; Kotani, A.; Arai, K.; Kusu, F. Estimation of the Antioxidant Activities of Flavonoids from Their Oxidation Potentials. Anal. Sci. 2001, 17, 599–604. [Google Scholar] [CrossRef]
- Novak Jovanović, I.; Miličević, A. A new, simplified model for the estimation of polyphenol oxidation potentials based on the number of OH groups. Arch. Ind. Hyg. Toxicol. 2017, 68, 93–98. [Google Scholar] [CrossRef]
- Miličević, A.; Novak Jovanović, I.; Miletić, G.I. Changes in electronic structures of flavonoids upon electrochemical oxidation and a theoretical model for the estimation of the first oxidation potential. Electrochim. Acta 2018, 284, 742–750. [Google Scholar] [CrossRef]
- Miličević, A. The relationship between antioxidant activity, first electrochemical oxidation potential, and spin population of flavonoid radicals. Arch. Ind. Hyg. Toxicol. 2019, 70, 134–139. [Google Scholar] [CrossRef] [PubMed]
- Miličević, A.; Miletić, G.I.; Novak Jovanović, I. Electrochemical oxidation of flavonoids: PM6 and DFT for elucidating electronic changes and modelling oxidation potential. J. Mol. Liq. 2019, 285, 551–556. [Google Scholar] [CrossRef]
- Miličević, A.; Miletić, G.I.; Novak Jovanović, I. Electrochemical oxidation of flavonoids: PM6 and DFT for elucidating electronic changes and modelling oxidation potential (part II). J. Mol. Liq. 2019, 295, 111730. [Google Scholar] [CrossRef]
- Miličević, A.; Jovanović, I.N. The relationship between the first oxidation potential and changes in electronic structures upon the electrochemical oxidation of flavonoids: Approach to O-glycosyl, galloyl and methoxy substituents. J. Mol. Liq. 2021, 335, 116223. [Google Scholar] [CrossRef]
- Miličević, A. Application of Changes in Atomic Charges Resulting from Different Electrochemical Oxidation Mechanisms for the Estimation of the First Oxidation Potential of Flavonoids. MATCH Commun. Math. Comput. Chem. 2022, 88, 67–78. [Google Scholar] [CrossRef]
- Dutta, M.S.; Mahapatra, P.; Ghosh, A.; Basu, S. Estimation of the reducing power and electrochemical behavior of few flavonoids and polyhydroxybenzophenones substantiated by bond dissociation energy: A comparative analysis. Mol. Divers. 2022, 26, 1101–1113. [Google Scholar] [CrossRef]
- Masek, A.; Zaborski, M.; Chrzescijanska, E. Electrooxidation of flavonoids at platinum electrode studied by cyclic voltammetry. Food Chem. 2011, 127, 699–704. [Google Scholar] [CrossRef] [PubMed]
- Masek, A.; Chrzescijanska, E.; Zaborski, M. Electrooxidation of morin hydrate at a Pt electrode studied by cyclic voltammetry. Food Chem. 2014, 148, 18–23. [Google Scholar] [CrossRef] [PubMed]
- Bodini, M.E.; Copia, G.; Tapia, R.; Leighton, F.; Herrera, L. Iron complexes of quercetin in aprotic medium. Redox chemistry and interaction with superoxide anion radical. Polyhedron 1999, 18, 2233–2239. [Google Scholar] [CrossRef]
- Masek, A.; Chrzescijanska, E. Effect of UV-A Irradiation and Temperature on the Antioxidant Activity of Quercetin Studied Using ABTS, DPPH and Electrochemistry Methods. Int. J. Electrochem. Sci. 2015, 10, 5276–5290. [Google Scholar] [CrossRef]
- Kocábová, J.; Fiedler, J.; Degano, I.; Sokolová, R. Oxidation mechanism of flavanone taxifolin. Electrochemical and spectroelectrochemical investigation. Electrochim. Acta 2016, 187, 358–363. [Google Scholar] [CrossRef]
- Sokolová, R.; Kocábová, J.; Marhol, P.; Fiedler, J.; Biedermann, D.; Vacek, J.; Křen, V. Oxidation of Natural Bioactive Flavonolignan 2,3-Dehydrosilybin: An Electrochemical and Spectral Study. J. Phys. Chem. B 2017, 121, 6841–6846. [Google Scholar] [CrossRef]
- Sokolová, R.; Tarábek, J.; Papoušková, B.; Kocábová, J.; Fiedler, J.; Vacek, J.; Marhol, P.; Vavříková, E.; Křen, V. Oxidation of the Flavonolignan Silybin. In situ EPR Evidence of the Spin-Trapped Silybin Radical. Electrochim. Acta 2016, 205, 118–123. [Google Scholar] [CrossRef]
- Rapta, P.; Mišík, V.; Staško, A.; Vrábel, I. Redox intermediates of flavonoids and caffeic acid esters from propolis: An EPR spectroscopy and cyclic voltammetry study. Free Radic. Biol. Med. 1995, 18, 901–908. [Google Scholar] [CrossRef]
- Chen, G.; Ma, X.; Meng, F.; Li, G. The electron transfer reactivity of kaempferol and its interaction with amino acid residues. Bioelectrochemistry 2008, 72, 169–173. [Google Scholar] [CrossRef]
- Mülazımoğlu, E.; Solak, A. Covalently grafted onto the glassy carbon electrode in non-aqueous media of Apigenin and Naringenin as different flavonoid derivatives. Anal. Bioanal. Electrochem. 2011, 3, 102–118. [Google Scholar]
- Petek, M.; Bruckenstein, S.; Feinberg, B.; Adams, R.N. Anodic oxidation of substituted methoxyphenols. Mass spectrometric identification of methanol formed. J. Electroanal. Chem. Interfacial Electrochem. 1973, 42, 397–401. [Google Scholar] [CrossRef]
- Gandhi, M.; Rajagopal, D.; Senthil Kumar, A. Facile Electrochemical Demethylation of 2-Methoxyphenol to Surface-Confined Catechol on the MWCNT and Its Efficient Electrocatalytic Hydrazine Oxidation and Sensing Applications. ACS Omega 2020, 5, 16208–16219. [Google Scholar] [CrossRef] [PubMed]
- Lima, A.P.; dos Santos, W.T.P.; Nossol, E.; Richter, E.M.; Munoz, R.A.A. Critical evaluation of voltammetric techniques for antioxidant capacity and activity: Presence of alumina on glassy-carbon electrodes alters the results. Electrochim. Acta 2020, 358, 136925. [Google Scholar] [CrossRef]













Disclaimer/Publisher’s Note: The statements, opinions and data contained in all publications are solely those of the individual author(s) and contributor(s) and not of MDPI and/or the editor(s). MDPI and/or the editor(s) disclaim responsibility for any injury to people or property resulting from any ideas, methods, instructions or products referred to in the content. |
© 2023 by the authors. Licensee MDPI, Basel, Switzerland. This article is an open access article distributed under the terms and conditions of the Creative Commons Attribution (CC BY) license (https://creativecommons.org/licenses/by/4.0/).
Share and Cite
Naróg, D.; Sobkowiak, A. Electrochemistry of Flavonoids. Molecules 2023, 28, 7618. https://doi.org/10.3390/molecules28227618
Naróg D, Sobkowiak A. Electrochemistry of Flavonoids. Molecules. 2023; 28(22):7618. https://doi.org/10.3390/molecules28227618
Chicago/Turabian StyleNaróg, Dorota, and Andrzej Sobkowiak. 2023. "Electrochemistry of Flavonoids" Molecules 28, no. 22: 7618. https://doi.org/10.3390/molecules28227618
APA StyleNaróg, D., & Sobkowiak, A. (2023). Electrochemistry of Flavonoids. Molecules, 28(22), 7618. https://doi.org/10.3390/molecules28227618































