Effect of the Alkyl Density of Acrylic Acid Ester on the Viscosity-Reducing Effect of Polycarboxylate Superplasticizer
Abstract
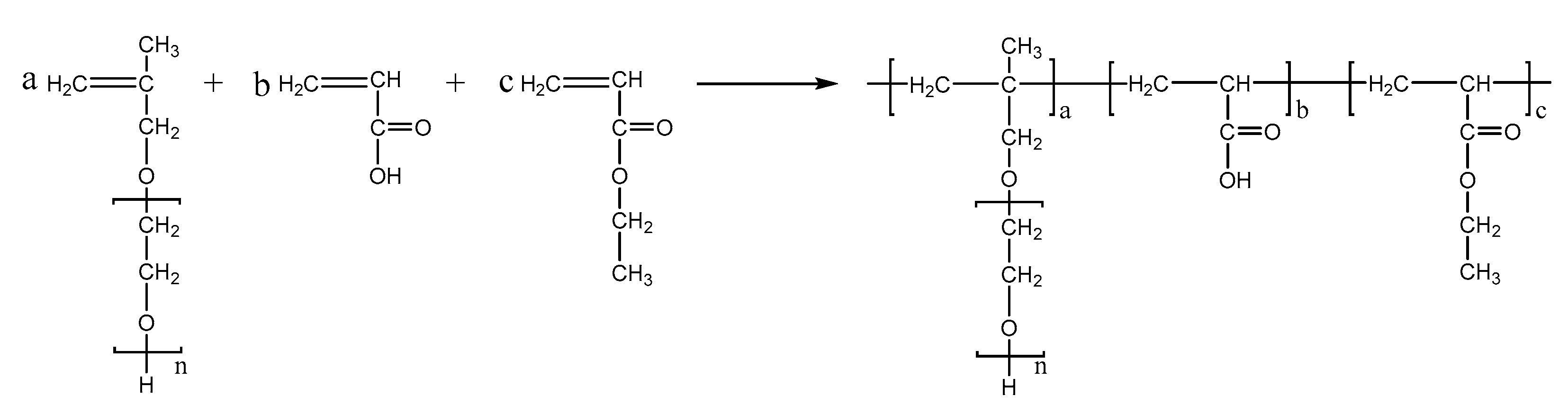
:1. Introduction
2. Results and Discussion
2.1. FTIR Analysis
2.2. 1H NMR Analysis
2.3. GPC Analysis
2.4. Surface Tension
2.5. Zeta Potential
2.6. Rheological Properties
2.7. Performances of Different PCEs in Cement
2.8. Performances of the PCEs in Concrete
3. Materials and Methods
3.1. Materials
3.2. Synthesis
3.3. Test Methods
3.3.1. FTIR Measurements
3.3.2. NMR Measurements
3.3.3. GPC Measurements
3.3.4. Surface Tension Measurements
3.3.5. Zeta Potential Measurements
3.3.6. Performances of the Polymers in Cement
3.3.7. Rheological Property Measurements
3.3.8. Performances of the Polymers in Concrete
4. Conclusions
Author Contributions
Funding
Institutional Review Board Statement
Informed Consent Statement
Data Availability Statement
Acknowledgments
Conflicts of Interest
Sample Availability
References
- Su, T.; Zhou, Y.; Wang, Q. Recent advances in chemical admixtures for improving the workability of alkali-activated slag-based material systems. Constr. Build. Mater. 2021, 272, 121647. [Google Scholar]
- Mardani-Aghabaglou, A.; Tuyan, M.; Yılmaz, G.; Arıöz, Ö.; Ramyar, K. Effect of different types of superplasticizer on fresh, rheological and strength properties of self-consolidating concrete. Constr. Build. Mater. 2013, 47, 1020–1025. [Google Scholar] [CrossRef]
- Tian, H.; Kong, X.; Su, T.; Wang, D. Comparative study of two PCE superplasticizers with varied charge density in Portland cement and sulfoaluminate cement systems. Cem. Concr. Res. 2019, 115, 43–58. [Google Scholar] [CrossRef]
- Shu, X.; Ran, Q.; Liu, J.; Zhao, H.; Zhang, Q.; Wang, X.; Yang, Y.; Liu, J. Tailoring the solution conformation of polycarboxylate superplasticizer toward the improvement of dispersing performance in cement paste. Constr. Build. Mater. 2016, 116, 289–298. [Google Scholar] [CrossRef]
- Jiao, D.; Shi, C.; Yuan, Q.; An, X.; Liu, Y.; Li, H. Effect of constituents on rheological properties of fresh concrete—A review. Cem. Concr. Compos. 2017, 83, 146–159. [Google Scholar] [CrossRef]
- Lin, X.; Liao, B.; Zhang, J.; Li, S.; Huang, J.; Pang, H. Synthesis and characterization of high-performance cross-linked polycarboxylate superplasticizers. Constr. Build. Mater. 2019, 210, 162–171. [Google Scholar] [CrossRef]
- He, Y.; Zhang, X.; Shui, L.; Wang, Y.; Gu, M.; Wang, X.; Wang, H.; Peng, L. Effects of PCEs with various carboxylic densities and functional groups on the fluidity and hydration performances of cement paste. Constr. Build. Mater. 2019, 202, 656–668. [Google Scholar] [CrossRef]
- Benaicha, M.; Roguiez, X.; Jalbaud, O.; Burtschell, Y.; Alaoui, A.H. Influence of silica fume and viscosity modifying agent on the mechanical and rheological behavior of self compacting concrete. Constr. Build. Mater. 2015, 84, 103–110. [Google Scholar] [CrossRef]
- Şahmaran, M.; Özkan, N.; Keskin, S.B.; Uzal, B.; Yaman, İ.Ö.; Erdem, T.K. Evaluation of natural zeolite as a viscosity-modifying agent for cement-based grouts. Cem. Concr. Res. 2008, 38, 930–937. [Google Scholar] [CrossRef]
- Sha, S.; Wang, M.; Shi, C.; Xiao, Y. Influence of the structures of polycarboxylate superplasticizer on its performance in cement-based materials-a review. Constr. Build. Mater. 2020, 233, 117257. [Google Scholar] [CrossRef]
- Liu, J.; Wang, K.; Zhang, Q.; Han, F.; Sha, J.; Liu, J. Influence of superplasticizer dosage on the viscosity of cement paste with low water-binder ratio. Constr. Build. Mater. 2017, 149, 359–366. [Google Scholar] [CrossRef]
- Zhang, Q.; Shu, X.; Yu, X.; Yang, Y.; Ran, Q. Toward the viscosity reducing of cement paste: Optimization of the molecular weight of polycarboxylate superplasticizers. Constr. Build. Mater. 2020, 242, 117984. [Google Scholar] [CrossRef]
- Huang, Z.; Yang, Y.; Ran, Q.; Liu, J. Preparing hyperbranched polycarboxylate superplasticizers possessing excellent viscosity-reducing performance through in situ redox initialized polymerization method. Cem. Concr. Compos. 2018, 93, 323–330. [Google Scholar] [CrossRef]
- Zhang, J.; Ma, Y.; Wang, J.; Gao, N.; Hu, Z.; Liu, J.; Wang, K. A novel shrinkage-reducing polycarboxylate superplasticizer for cement-based materials: Synthesis, performance and mechanisms. Constr. Build. Mater. 2022, 321, 126342. [Google Scholar] [CrossRef]
- Lin, X.; Pang, H.; Wei, D.; Liao, B. Effects of crosslinked polycarboxylate superplasticizers with crosslinking agent containing ester and amide groups on the properties of cementitious systems. J. Appl. Polym. Sci. 2021, 138, e51171. [Google Scholar] [CrossRef]
- Feng, P.; Zhang, G.; Zhang, W.; Cui, H.; Xin, T. Comparison of ester-based slow-release polycarboxylate superplasticizers with their polycarboxylate counterparts. Colloids Surf. A Physicochem. Eng. Asp. 2022, 633, 127878. [Google Scholar] [CrossRef]
- Zhang, L.; Kong, X.; Xing, F.; Dong, B.; Wang, F. Working mechanism of post-acting polycarboxylate superplasticizers containing acrylate segments. J. Appl. Polym. Sci. 2018, 135, 45753. [Google Scholar] [CrossRef]
- Pang, J.; Guo, J.; Li, W.; Chang, Q. Effect of the structure of macromonomer in polycarboxylate superplasticizer on slump-retention of concrete. J. Dispers. Sci. Technol. 2023, 1–9. [Google Scholar] [CrossRef]
- Liang, C.Y.; Krimm, S.; Sutherland, G.B.B.M. Infrared spectra of high polymers. I. experimental methods and general theory. J. Chem. Phys. 1956, 25, 543–548. [Google Scholar] [CrossRef]
- Liu, X.; Guan, J.; Lai, G.; Wang, Z.; Zhu, J.; Cui, S.; Lan, M.; Li, H. Performances and working mechanism of a novel polycarboxylate superplasticizer synthesized through changing molecular topological structure. J. Colloid Interface Sci. 2017, 504, 12–24. [Google Scholar] [CrossRef]
- Feng, H.; Feng, Z.; Wang, W.; Deng, Z.; Zheng, B. Impact of polycarboxylate superplasticizers (PCEs) with novel molecular structures on fluidity, rheological behavior and adsorption properties of cement mortar. Constr. Build. Mater. 2021, 292, 123285. [Google Scholar] [CrossRef]
- Ma, Y.; Bai, J.; Shi, C.; Sha, S.; Zhou, B. Effect of PCEs with different structures on hydration and properties of cementitious materials with low water-to-binder ratio. Cem. Concr. Res. 2021, 142, 106343. [Google Scholar] [CrossRef]
- Li, Q.; He, C.; Zhou, H.; Xie, Z.; Li, D. Effects of polycarboxylate superplasticizer-modified graphene oxide on hydration characteristics and mechanical behavior of cement. Constr. Build. Mater. 2021, 272, 121904. [Google Scholar] [CrossRef]
- Chen, S.; Sun, S.; Chen, X.; Zhong, K.; Shao, Q.; Xu, H.; Wei, J. Effects of core-shell polycarboxylate superplasticizer on the fluidity and hydration behavior of cement paste. Colloids Surf. A Physicochem. Eng. Asp. 2020, 590, 124464. [Google Scholar] [CrossRef]
- Li, S.; Pang, H.; Zhang, J.; Meng, Y.; Huang, J.; Lin, X.; Liao, B. Synthesis and performance of a novel amphoteric polycarboxylate superplasticizer with hydrolysable ester group. Colloids Surf. A Physicochem. Eng. Asp. 2019, 564, 78–88. [Google Scholar] [CrossRef]
- Zhang, L.; Miao, X.; Kong, X.; Zhou, S. Retardation effect of PCE superplasticizers with different architectures and their impacts on early strength of cement mortar. Cem. Concr. Res. 2019, 104, 103369. [Google Scholar] [CrossRef]
- Ilg, M.; Plank, J. Non-adsorbing small molecules as auxiliary dispersants for polycarboxylate superplasticizers. Colloids Surf. A Physicochem. Eng. Asp. 2020, 587, 124307. [Google Scholar] [CrossRef]
- Zhong, D.; Liu, Q.; Zheng, D. Synthesis of lignin-grafted polycarboxylate superplasticizer and the dispersion performance in the cement paste. Colloids Surf. A Physicochem. Eng. Asp. 2022, 642, 128689. [Google Scholar] [CrossRef]
- Zheng, T.; Zheng, D.; Qiu, X.; Yang, D.; Fan, L.; Zheng, J. A novel branched claw-shape lignin-based polycarboxylate superplasticizer: Preparation, performance and mechanism. Cem. Concr. Res. 2019, 119, 89–101. [Google Scholar] [CrossRef]
- Alonso, M.M.; Palacios, M.; Puertas, F. Compatibility between polycarboxylate-based admixtures and blended-cement pastes. Cem. Concr. Compos. 2013, 35, 151–162. [Google Scholar] [CrossRef]
- Yamada, K.; Takahashi, T.; Hanehara, S.; Matsuhisa, M. Effects of the chemical structure on the properties of polycarboxylate-type superplasticizer. Cem. Concr. Res. 2020, 30, 197–207. [Google Scholar] [CrossRef]
- Ezzat, M.; Xu, X.; El Cheikh, K.; Lesage, K.; Hoogenboom, R.; De Schutter, G. Structure-property relationships for polycarboxylate ether superplasticizers by means of RAFT polymerization. J. Colloid Interface Sci. 2019, 553, 788–797. [Google Scholar] [CrossRef] [PubMed]
- Qian, S.; Yao, Y.; Wang, Z.; Cui, S.; Liu, X.; Jiang, H.; Guo, Z.; Lai, G.; Xu, Q.; Guan, J. Synthesis, characterization and working mechanism of a novel polycarboxylate superplasticizer for concrete possessing reduced viscosity. Constr. Build. Mater. 2018, 169, 452–461. [Google Scholar] [CrossRef]
- GB/T 8077-2012; Method for Testing Uniformity of Concrete Admixture. Standards Press of China: Beijing, China, 2012.
- GB 8076-2008; Concrete Admixtures. Standards Press of China: Beijing, China, 2008.
- GB/T 50080-2016; Standard for Test Method of Performanceon Ordinary Fresh Concrete. China Construction Industry Press: Beijing, China, 2016.












| PCE | Mn | Mw | PDI |
|---|---|---|---|
| PCE-M | 25,798 | 65,500 | 2.54 |
| PCE-E | 28,639 | 66,100 | 2.31 |
| PCE-B | 26,936 | 67,246 | 2.50 |
| PCE | Dosage (% bwoc 1) | Slump/Slump Flow (mm) | Ac (%) | T500 | Tsf,m 2 |
|---|---|---|---|---|---|
| PCE-M | 1.70 | 230/590 | 3.3 | 4.4 | 4.78 |
| PCE-E | 1.75 | 230/600 | 5.0 | 5.13 | 4.82 |
| PCE-B | 1.80 | 230/610 | 9.0 | 5.31 | 5.22 |
| Oxide | wt% | Physical Properties | |
|---|---|---|---|
| SiO2 | 20.40 | Density (g/cm−3) | 3.11 |
| Al2O3 | 4.40 | Specific surface area (m2/kg) | 356 |
| Fe2O3 | 3.27 | Setting time (min) | |
| CaO | 62.70 | Initial | 141 |
| MgO | 2.86 | Final | 200 |
| SO3 | 2.18 | Compressive strength (MPa) | |
| NaOeq | 0.59 | 7 days | 37.7 |
| f-CaO | 0.78 | 28 days | 50.8 |
| Loss | 1.75 | Flexural strength (MPa) | |
| Cl− | 0.018 | 7 days | 7.2 |
| Total | 98.948 | 28 days | 8.6 |
Disclaimer/Publisher’s Note: The statements, opinions and data contained in all publications are solely those of the individual author(s) and contributor(s) and not of MDPI and/or the editor(s). MDPI and/or the editor(s) disclaim responsibility for any injury to people or property resulting from any ideas, methods, instructions or products referred to in the content. |
© 2023 by the authors. Licensee MDPI, Basel, Switzerland. This article is an open access article distributed under the terms and conditions of the Creative Commons Attribution (CC BY) license (https://creativecommons.org/licenses/by/4.0/).
Share and Cite
Chen, Y.; Chen, Y.; Liu, Y.; Tao, J.; Liu, R.; Li, Z.; Liu, F.; Li, M. Effect of the Alkyl Density of Acrylic Acid Ester on the Viscosity-Reducing Effect of Polycarboxylate Superplasticizer. Molecules 2023, 28, 7293. https://doi.org/10.3390/molecules28217293
Chen Y, Chen Y, Liu Y, Tao J, Liu R, Li Z, Liu F, Li M. Effect of the Alkyl Density of Acrylic Acid Ester on the Viscosity-Reducing Effect of Polycarboxylate Superplasticizer. Molecules. 2023; 28(21):7293. https://doi.org/10.3390/molecules28217293
Chicago/Turabian StyleChen, Yingying, Yujie Chen, Yuan Liu, Jia Tao, Runxia Liu, Ziwei Li, Fei Liu, and Min Li. 2023. "Effect of the Alkyl Density of Acrylic Acid Ester on the Viscosity-Reducing Effect of Polycarboxylate Superplasticizer" Molecules 28, no. 21: 7293. https://doi.org/10.3390/molecules28217293
APA StyleChen, Y., Chen, Y., Liu, Y., Tao, J., Liu, R., Li, Z., Liu, F., & Li, M. (2023). Effect of the Alkyl Density of Acrylic Acid Ester on the Viscosity-Reducing Effect of Polycarboxylate Superplasticizer. Molecules, 28(21), 7293. https://doi.org/10.3390/molecules28217293
