Bicyclo[3.2.0]carbocyclic Molecules and Redox Biotransformations: The Evolution of Closed-Loop Artificial Linear Biocatalytic Cascades and Related Redox-Neutral Systems
Abstract
1. Introduction
2. Biotransformations of Oxy-Functionalised Bicyclo[3.2.0]carbocyclic Molecules by ADHs Serving as Single-Step Biocatalysts
3. ADH-Dependent Redox-Neutral Biotransformations of Oxy-Functionalised Bicyclo[3.2.0]carbocyclic Molecules: The Evolution of Closed-Loop Artificial Biocatalytic Linear Cascades
3.1. 2,5-Diketocamphane Monooxygenase (2,5-DKCMO)
3.2. 2-Oxo-Δ3-4,5,5-trimethylcyclopentenylacetyl-CoA 1,2-monooxygenase
3.3. Cyclopentanone Monooxygenase (CPMO)

- MO1 was used for a number of the trialled biotransformations. This was a partly purified preparation (60–75% saturated (NH4)2SO4 ‘cut’) from a cell-free extract of either (+)- or (-)-camphor-grown ATCC 17453 harvested at the mid-exponential phase of growth. Growth on either medium induced equivalent highly active titres of both isoenzymic DKCMOs. No detectible titres of either 2-oxo-Δ3-4,5,5-trimethylcyclopentenylacetyl-CoA 1,2-monooxygenase or a secondary alcohol dehydrogenase activity relevant to either bicyclic alken- or alkanols was detectible in MO1. Specifically relevant in this latter respect was the absence of any titre of camphor-induced NAD(H)-dependent exo-hydroxycamphor dehydrogenase (EC 1.1.1.327 [204,205]). Although mid-exponential phase cells were used to prepare MO1, it contained extremely low titres of both Fred [175] and the NADH dehydrogenase [168,170,172], but did contain significant titres of Frp1 and Frp2, both being NADH-dependent FRs [175,176,177,178,206,207,208].
- Purified 2,5-DKCMO and 3,6-DKCMO were prepared from harvested cells of ATCC 17453 grown in either (+)-camphor- or (-)-camphor-based media. Both purified enzyme preparations contained no detectible titres of 2-oxo-Δ3-4,5,5-trimethylcyclopentenylacetyl-CoA 1,2-monooxygenase, or any secondary alcohol dehydrogenase activity relevant to either bicyclic alken- or alkanols. While both preparations contained no detectible titre of Fred, and only a barely detectable titre of the NADH dehydrogenase, they did retain significant detectable titres of both Frp1 and Frp2 [206]. This enabled purified preparations of the DKCMO to biooxygenate abiotic ketones when co-presented with NADH [172,207,208].
- Whereas the repressor protein(s) controlling transcription of the relevant DKCMO genes in ATCC 17453 [175] were cathodic in specificity as evidenced by the outcomes reported in 1 and 2 above, the corresponding purified DKCMO isoenzyme displayed absolute chemo-, regio- and stereospecificity towards the corresponding enantiomer of camphor when used as a test ketone substrate. Contrastingly however, they exhibited directly equivalent patterns of selectivity when challenged with a number of abiotic (rac)-bicyclo[3.2.0]- and (rac)-bicyclo[2.2.1]ketones [161,166]. The outcomes from these tested bicyclic ketones consistently confirmed that 2,5-DKCMO was the more specific isoenzyme [173,207,208].
Funding
Institutional Review Board Statement
Informed Consent Statement
Data Availability Statement
Acknowledgments
Conflicts of Interest
References
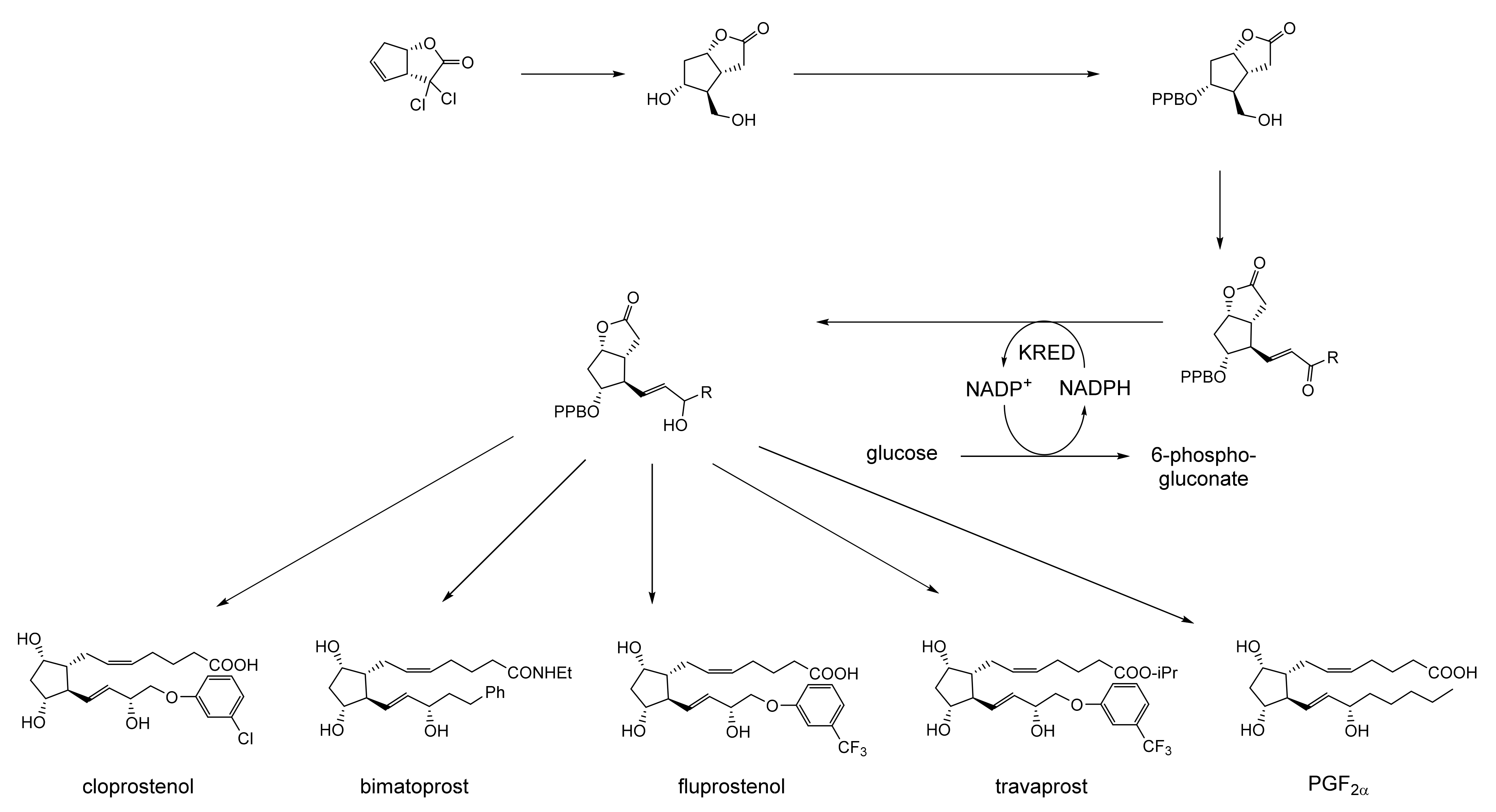
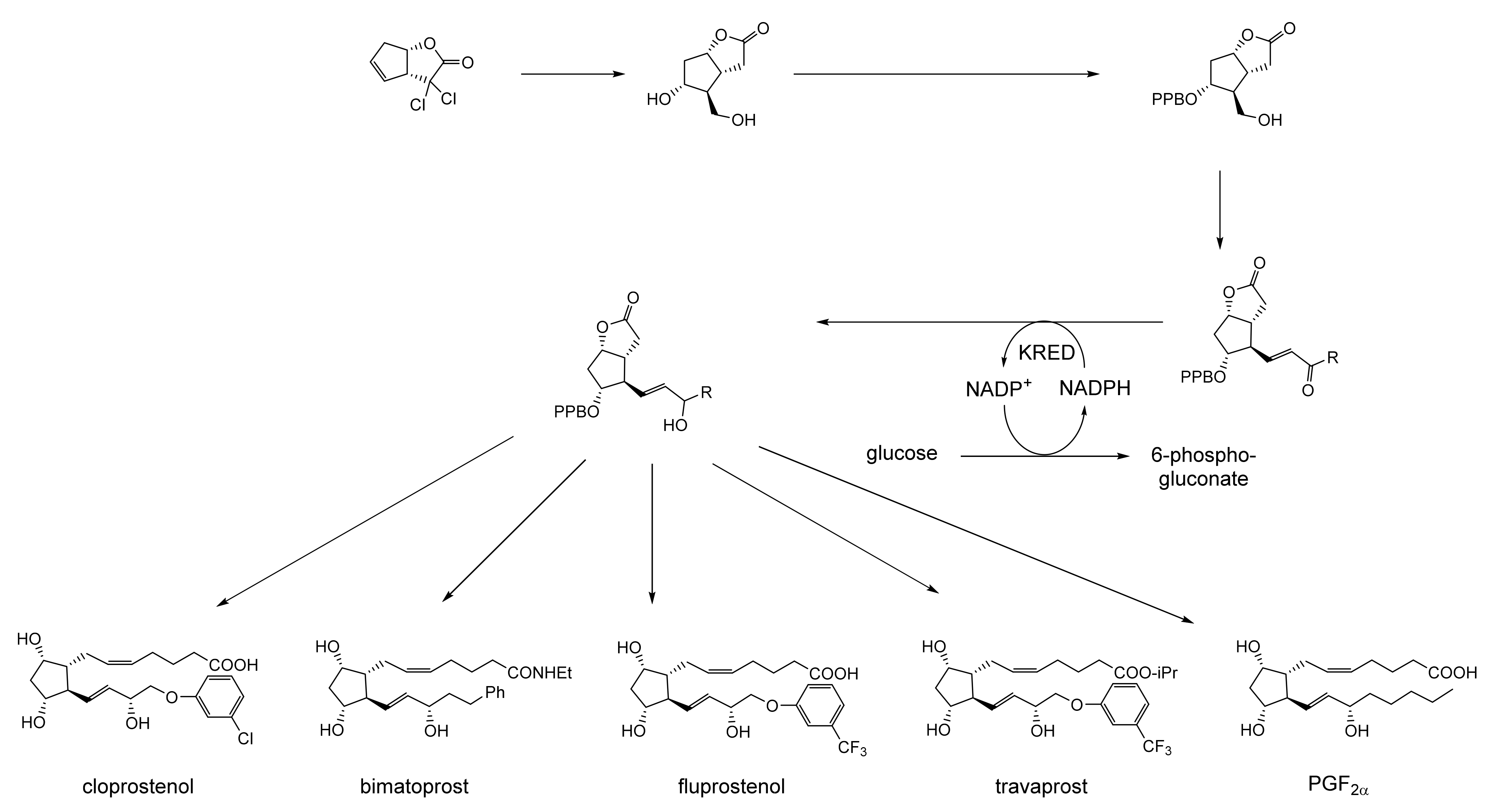
- Zhu, K.; Jiang, M.; Ye, B.; Zhang, G.-T.; Li, W.; Tang, P.; Chen, F. A unified strategy to prostaglandins: Chemoenzymatic total synthesis of cloprostenol, bimatoprost, PGF2α, fluprostanol, and travoprot guided by biocatalytic retrosynthesis. Chem. Sci. 2021, 12, 10362–10370. [Google Scholar] [CrossRef] [PubMed]
- Willetts, A.; Knowles, C.; Levitt, M.; Roberts, S.; Sandey, H.; Shipston, N. Biotransformation of endo-bicyclo[2.2.1]heptanols and endo-bicyclo[ 3.2.0]hept-2-en-6-ols into corresponding lactones. J. Chem. Soc. Perkin Trans. I 1991, 6, 1608–1610. [Google Scholar] [CrossRef]
- Brown, A. Discovery and development of new β-lactam antibiotics. Pure Appl. Chem. 1987, 59, 475–484. [Google Scholar] [CrossRef]
- Crowfoot, D.; Bunn, C.; Low, B.; Turner-Jones, A. X-ray crystallographic investigation of the structure of penicillin. In Chemistry of Penicillin; Princeton University Press: Princeton, NJ, USA, 1949; pp. 310–367. [Google Scholar]
- Parker, W.; Rathnun, M.; Wells, J.; Trujo, W.; Principe, P.; Sykes, R. SQ 27,860. A simple carbapenen produced by species of Serratia and Erwinia. J. Antibiot. 1982, 35, 653–660. [Google Scholar] [CrossRef]
- Beereboom, J.J. The cyclisation of geranic acids. Preparation of a cyclobutanone. J. Am. Chem. Soc. 1963, 85, 3523–3524. [Google Scholar] [CrossRef]
- Bates, R.; Onore, M.; Paknikar, S.; Steelink, C. D- and L-filifolones, monoterpenoid cyclobutanones with the bicyclo[3.2.0[heptane ring system. J. Chem. Soc. Chem Commun. 1967, 20, 1036–1038. [Google Scholar]
- Miesch, M. Natural products bearing a bicyclo[3.2.0]heptane skeleton. Curr. Org. Synth. 2006, 3, 327–340. [Google Scholar] [CrossRef]
- Guella, G.; Dini, F.; Erra, F.; Pietra, F. Raikovenal, a new sesquiterpenoid favouring adaptive radiation of the marine ciliate Euplotes raikovi, and its putative biogenetic precursor, preraikovenal. J. Chem. Soc. Chem. Commun. 1994, 22, 2585–2586. [Google Scholar] [CrossRef]
- Pietra, F. Secondary metabolites from marine microoganisms: Bacteria, protozoa, algae, and fungi. Achievements and prospects. Nat. Prod. Rep. 1997, 5, 453–464. [Google Scholar] [CrossRef]
- Corey, E.J.; Weinshenker, N.; Schaaf, T.K.; Huber, W. Stereo-controlled synthesis of prostaglandins F2α and E2 (dl). J. Am. Chem. Soc. 1969, 91, 5675–5677. [Google Scholar] [CrossRef]
- Tomoskozi, I.; Gruber, L.; Kovacs, G.; Szekely, I.; Simonides, V. Regiospecific prins reactions: A new way to prostanoids. Tetrahedron Lett. 1976, 17, 4639–4642. [Google Scholar] [CrossRef]
- Stevens, H.C.; Reich, D.A.; Brandt, D.R.; Fountain, K.R.; Gaughan, E.J. A new tropolone synthesis via dichloroketene. J. Am. Chem. Soc. 1965, 87, 5257–5259. [Google Scholar] [CrossRef]
- Brady, W.T. Halogenated ketones: Valuable intermediates in organic synthesis. Synthesis 1971, 8, 415–422. [Google Scholar] [CrossRef]
- Corey, E.J.; Sachdev, H.S. Simple synthesis of 8-methylprostaglandin C2. J. Am. Chem. Soc. 1973, 95, 8483–8484. [Google Scholar] [CrossRef]
- Corey, E.J.; Nicolaou, K.C.; Beames, D.J. Synthesis and biological properties of a 9,11-azo-prostanoid: Highly active biochemical mimic of prostaglandin endoperoxides. Proc. Natl. Acad. Sci. USA 1975, 72, 3355–3358. [Google Scholar] [CrossRef]
- Bundy, G.L. The synthesis of prostaglandin endoperoxide analogs. Tetrahedron Lett. 1975, 16, 1957–1960. [Google Scholar] [CrossRef]
- Nicolaou, K.O.; Magioda, R.L.; Aharon, D.; Smith, E.F.; Leger, A.M. Synthesis and biological properties of pinene-thromboxane-A2. Proc. Natl. Acad. Sci. USA 1979, 76, 2566–2570. [Google Scholar] [CrossRef]
- Kelly, A.G.; Roberets, J.S. A simple controlled synthesis of a thromboxane B2. J. Chem. Soc. Chem. Commun. 1980, 228–229. [Google Scholar] [CrossRef]
- Maxey, K.M.; Bundy, G.L. The synthesis of 11a-carba-thromboxane A2. Tetrahedron Lett. 1980, 21, 445–448. [Google Scholar] [CrossRef]
- Corey, E.J.; Mehrotra, M.M. Total synthesis of (+-)-clavulones. J. Am. Chem. Soc. 1984, 106, 3384–3386. [Google Scholar] [CrossRef]
- Neuberg, C.; Hirsch, J. An enzyme which brings about union into carbon chains (Carboligase). Biochem. Z. 1921, 115, 282–310. [Google Scholar]
- Neidleman, S.G. The archeology of enzymology. In Biocatalysis; Abramowicz, D., Ed.; Van Nostrand Reinhold: New York, NY, USA, 1990; pp. 1–24. [Google Scholar]
- Jones, J.B.; Sih, C.J.; Perlman, D. Applications of Biochemical Systems in Organic Chemistry. Part I and II; John Wiley: New York, NY, USA, 1976. [Google Scholar]
- Gunsalus, I.C.; Chapman, P.J.; Kuo, J.-F. Control of catabolic specificity and metabolism. Biochem. Biophys. Res. Commun. 1965, 18, 924–931. [Google Scholar] [CrossRef]
- Ornston, L.N. Regulation of catabolic pathways in Pseudomonas. Bacteriol. Rev. 1971, 35, 87–116. [Google Scholar] [CrossRef]
- Willetts, A. The interrelationships between enzymes and cells, with particular reference to whole-cell biotransformations using bacteria and fungi. In Introduction to Biocatalysis Using Enzymes and Microorganisms; Roberts, S.M., Turner, N.J., Willetts, A.J., Turner, M.K., Eds.; Cambridge University Press: Cambridge, UK, 1995; pp. 34–79. [Google Scholar]
- Faber, K. Introduction and background information. In Biotransformations in Organic Chemistry; Faber, K., Ed.; Springer: New York, NY, USA, 1995; pp. 1–30. [Google Scholar]
- Hanessian, S. Total Synthesis of Natural Products: The ‘Chiron’ Approach; Pergamon Press: Oxford, UK, 1983. [Google Scholar]
- Garcia-Junceda, E. Multi-Step Enzyme Catalysis; Wiley-VCH: Weinheim, Germany, 2008. [Google Scholar]
- Levy, H.R.; Loewus, F.A.; Vennesland, B. The optical rotation and configuration of a pure enantiomorph of ethanol-1-d. J. Am. Chem. Soc. 1957, 79, 2949–2953. [Google Scholar] [CrossRef]
- Van Eys, J. Aldehyde-ketone isomerization activity of liver alcohol dehydrogenase. J. Biol. Chem. 1961, 236, 1531–1533. [Google Scholar] [CrossRef]
- Gupta, N.K.; Robinson, W.G. Couple oxidation-reduction activity of liver alcohol dehydrogenase. Biochim. Biophys. Acta (BBA)-Enzymol. Biol. Oxid. 1966, 118, 431–434. [Google Scholar]
- Karabatsos, G.L.; Fleming, J.S.; Hsi, N.; Abeles, R.H. Comments on the factors controlling product stereospecificity in the reduction of carbonyl compounds with alcohol dehydrogenase and diphosphopyridine nucleotide. J. Am. Chem. Soc. 1966, 88, 849–850. [Google Scholar] [CrossRef]
- Pollak, A.; Blumenfeld, H.; Wax, M.; Baughn, R.L.; Whitesides, G.M. Enzyme immobilization by condensation and copolymerizationinto cross-linked polyacrylamide gels. J. Am. Chem Soc. 1980, 102, 6324–6336. [Google Scholar] [CrossRef]
- Wong, C.-H.; Drueckhammer, D.G.; Sweers, H.M. Enzymatic vs fermentative synthesis: Thermostable glucose dehydrogenase catalysed regeneration of NAD(P)H for use enzymatic synthesis. J. Am. Chem. Soc. 1985, 107, 4028–4031. [Google Scholar] [CrossRef]
- Wong, C.-H.; Whitesides, G.M. Enzyme-catalysed organic synthesis: NAD(P)H cofactor regeneration by using glucose-6-phosphate and glucose-5-phosphate dehydrogenase from Leucanostoc mesenteriodes. J. Am. Chem. Soc. 1981, 103, 4890–4899. [Google Scholar] [CrossRef]
- Hirschbein, B.L.; Whitesides, G.M. Laboratory-scale enzymic/chemical syntheses of D- and L-chlorolactic acid and D- and L- potassium glycidate. J. Am. Chem. Soc. 1982, 104, 4458–4460. [Google Scholar] [CrossRef]
- Costas, A.M.; White, A.K.; Metcalf, W.W. Purification and characterization of a novel phosphorus-oxidising enzyme from Pseudomonas stutzeri WM88. J. Biol. Chem. 2001, 276, 17429–17436. [Google Scholar] [CrossRef]
- Woodyer, R.D.; van der Donk, W.A.; Zhao, H.M. Relaxing the nicotinamide cofactor specifiity of phosphite dehydrogenase by rational design. Biochemistry 2003, 42, 11604–11614. [Google Scholar] [CrossRef]
- Wandrey, C.; Fiolitakis, E.; Wichmann, R.; Kula, M.-R. L-amino acids from a racemic mixture of α-hydroxy acids. Ann. N. Y. Acad. Sci. 1984, 434, 91–94. [Google Scholar] [CrossRef] [PubMed]
- Bossow, B.; Wandrey, C. Continuous enzymatically catalysed production of L-leucine from the corresponding racemic hydroxy acid. Ann. N. Y. Acad. Sci. 1987, 506, 325–336. [Google Scholar] [CrossRef] [PubMed]
- Tischer, W.; Tiemeyer, W.; Simon, H. Stereospecific hydrogenations with immobilised microbial cells and enzymes. Biochimie 1980, 62, 331–339. [Google Scholar] [CrossRef] [PubMed]
- Shaked, Z.; Whitesides, G.M. Enzyme-catalysed organic synthesis: NADH regeneration by using formate dehydrogenase. J. Am. Chem. Soc. 1980, 102, 7104–7105. [Google Scholar] [CrossRef]
- Wichmann, R.; Wandrey, C.; Buchmann, A.F.; Kula, M.-R. Continuous enzymatic transformation in an enzyme membrane reactor with simultaneous NAD(H) regeneration. Biotechnol. Bioeng. 1981, 23, 2789–2802. [Google Scholar] [CrossRef]
- Tishkov, V.I.; Galkin, A.G.; Marchenko, G.N.; Tsygankov, Y.D.; Egorov, A.M. Formate dehydrogenase from the methylotrophic bacterium Pseudomonas sp.101: Gene cloning and expression in Escherichia coli. Biotechnol. Appl. Biochem. 1993, 18, 201–207. [Google Scholar] [PubMed]
- Seelbach, K.; Riebel, B.; Hummel, W.; Kula, M.-R.; Tishkov, V.I.; Egorov, A.M.; Wandrey, C.; Kragl, U. A novel, efficient regenerating method for NADPH using a formate dehydrogenase. Tetrahedron Lett. 1996, 37, 1377–1380. [Google Scholar] [CrossRef]
- Tishkov, V.I.; Galkin, A.G.; Fedorchuk, V.V.; Savitsky, P.A.; Rojkova, A.M.; Gieren, H.; Kula, M.-R. Pilot scale production and isolation of recombinant NAD- and NADP-specific formate dehydrogenases. Biotechnol. Bioeng. 1999, 64, 187–193. [Google Scholar] [CrossRef]
- Danielsson, B.; Winquist, F.; Malpote, J.Y.; Mosbach, K. Regeneration of NADH with immobilised system of alanine dehydrogenase and hydrogen hydrogenase. Biotechnol. Lett. 1982, 4, 673–678. [Google Scholar] [CrossRef]
- Payen, B.; Segui, M.; Monsan, P.; Schneider, K.; Friedrich, C.G.; Schlegel, H.G. Use of cytoplasmic hydrogenase from Alcaligenes eutrophus for NADH regeneration. Biotechnol. Lett. 1983, 5, 463–468. [Google Scholar] [CrossRef]
- Kara, S.; Schrittwieser, J.H.; Hollmann, F.; Ansorge-Schumacher, M.B. Recent trends and novel concepts in factor-dependent biotransformations. Appl. Microbiol. Biotechnol. 2014, 98, 1517–1529. [Google Scholar] [CrossRef]
- Silva da Miranda, A.; Milagre, C.D.F.; Hollmann, F. Alcohol dehydrogenases as catalysts in organic synthesis. Front. Catal. 2022, 2, 900554. [Google Scholar] [CrossRef]
- Schlegel, B.P.; Jez, J.M.; Penning, T.M. Mutagenesis of 3-hydroxysteroid dehydrogenase reveals a ‘push-pull’ mechanism for proton transfer in aldo-keto reductases. Biochemistry 1998, 37, 3538–3548. [Google Scholar] [CrossRef] [PubMed]
- Kratzer, R.; Woodley, J.M.; Nedetzky, B. Rules for biocatalyst and reaction engineering to implement effective NAD(P)H-dependent, whole cell bioreductions. Biotechnol Adv. 2015, 33, 1641–1652. [Google Scholar] [CrossRef]
- Secundo, F.; Phillips, R.S. Effect of pH on enantiospecificity of alcohol dehydrogenases from Thermoanaerobacter ethanolicus and horse liver. Enzym. Microb. Technol. 1996, 19, 487–492. [Google Scholar] [CrossRef]
- Roberts, S.M. Enzyme catalysed reduction reactions. In Preparative Biotransformations: Whole Cell and Isolated Enzymes in Organic Synthesis; Roberts, S.M., Wiggins, K., Casy, G., Eds.; Wiley: Chichester, UK, 1992; pp. 99–156. [Google Scholar]
- Roberts, S.M. Useful intermediates and end-products obtained from biocatalysed oxidation and reduction reactions. In Introduction to Biocatalysis Using Enzymes and Microorganisms; Roberts, S.M., Turner, N.J., Willetts, A.J., Turner, M.K., Eds.; Cambridge University Press: Cambridge, UK, 1995; pp. 98–117. [Google Scholar]
- Bradshaw, C.W.; Fu, H.M.; Shen, G.J.; Wong, C.H. A Pseudomonas sp. alcohol dehydrogenase with broad substrate specificity and unusual stereospecificity for organic synthesis. J. Org. Chem. 1992, 57, 1526–1532. [Google Scholar] [CrossRef]
- Prelog, V. Specification of the stereospecificity of some oxidoreductases by diamond lattice sections. Pure Appl. Chem. 1964, 9, 119–130. [Google Scholar] [CrossRef]
- Butt, S.; Davies, H.G.; Dawson, M.J.; Lawrence, G.C.; Leaver, J.; Roberts, S.M.; Turner, M.J.; Wakefield, B.J.; Wall, W.F.; Winders, J.A. Reduction of bicyclo[3.2.0]hept-2-en-6-one and 7,7- dimethylbicyclo[3.2.0]hept-2-en-6-one using dehydrogenase enzymes and the fungus Mortierella ramanniana. Tetrahedron Lett. 1985, 26, 5077–5080. [Google Scholar] [CrossRef]
- Leaver, J.; Gartenmann, T.C.C.; Roberts, S.S.; Turner, M.K. Stereospecific reductions of bicycloheptenones catalysed by 3α,20β-hydroxysteroid dehydrogenase in one, two, and three phase systems. In Biocatalysis in Organic Media; Laane, C., Tramper, J., Lilly, M.D., Eds.; Elsevier: Amsterdam, The Netherlands, 1987; pp. 411–418. [Google Scholar]
- Jornvall, H.; Persson, B.; Jeffery, J. Characteristics of alcohol/polyol dehydrogenases. The zinc-containing long-chain alcohol dehydrogenases. Eur. J. Biochem. 1987, 167, 195–201. [Google Scholar] [CrossRef]
- Reid, M.F.; Fewson, C.A. Molecular characterisation of microbial alcohol dehydrogenases. Crit. Rev. Microbiol. 1994, 20, 13–56. [Google Scholar] [CrossRef] [PubMed]
- Gaona-Lopez, C.; Jukian-Sanchez, A.; Riveros-Rosas, H. Diversity and evolutionary analysis of iron-containing (Type-III) alcohol dehydrogenases in eukaryotes. PLoS ONE 2016, 11, e0166851. [Google Scholar] [CrossRef] [PubMed]
- Horinouchi, T.; Maeda, T.; Furusawa, C. Understanding and engineering alcohol-tolerant bacteria using OMICS technology. World J. Microbiol. 2018, 34, 157. [Google Scholar] [CrossRef]
- Leskovac, V.; Trivic, S.; Pericin, D. The three zinc-containing alcohol dehydrogenases from baker’s yeast Saccharomyces cerevisiae. FEMS Yeast Res. 2002, 2, 481–494. [Google Scholar] [CrossRef] [PubMed]
- De Smidt, O.; du Preez, J.C.; Albertyn, J. The alcohol dehydrogenases of Saccharomyces cerevisiae: A comprehensive review. FEMS Yeast Res. 2008, 8, 967–978. [Google Scholar] [CrossRef]
- Keinan, E.; Hafeli, E.K.; Seth, K.K.; Lamed, R. Thermostable enzymes in organic synthesis. 2. Asymmetric reduction of ketones with the alcohol dehydrogenase from Thermoanaerobium brockii. J. Am. Chem. Soc. 1986, 108, 162–169. [Google Scholar] [CrossRef]
- Keinan, E.; Seth, K.K.; Lamed, R.; Ghirlando, R.; Singh, S.P. Thermostable enzymes in organic synthesis. 4. Tbadh-catalysed preperation of bifunctional chirons. Total synthesis of S-(+)-Z-tetradec-5-en-13-olide. Biocatalysis 1990, 3, 57–71. [Google Scholar] [CrossRef]
- Keinan, E.; Sinha, S.C.; Singh, S.P. Thermostable enzymes in organic synthesis. 5. Total synthesis of S-(+)-Z-dodec-3-en-11-olide (ferrulactone II) using a tbadh-generated chiron. Tetrahedron 1991, 47, 4631–4638. [Google Scholar] [CrossRef]
- Keinan, E.; Sinha, S.C.; Sinha-Bagchi, A. Thermostable enzymes in organic synthesis. Part 6. Total synthesis of (S)-(-)-zearolone using a TBADH-generated trifunctional chiron. J. Chem. Soc. Perkin Trans. I 1991, 12, 3333–3339. [Google Scholar] [CrossRef]
- Lamed, R.J.; Zeikus, J.G. Novel NADP-linked alcohol/ketone oxidoreductase in thermophilic ethanologenic bacteria. Biochem. J. 1981, 195, 183–190. [Google Scholar] [CrossRef]
- De Amici, M.; De Micheli, C.; Molteni, G.; Petre, D.; Carrea, G.; Riva, S.; Spezia, S.; Zetta, L. Chemoenzymatic synthesis of the eight stereoisomeric muscarines. J. Org. Chem. 1991, 56, 67–72. [Google Scholar] [CrossRef]
- Riva, S.; Ottolina, G.M.; Carrea, G.; Danieli, B. Efficient preparative-scale enzymatic synthesis of specifically deuterated bile acids. J. Chem. Soc. Perkin Trans. I 1989, 11, 2073–2074. [Google Scholar] [CrossRef]
- Suckling, C.J.; Suckling, K.E. Enzymes in organic synthesis. Chem. Soc. Rev. 1974, 3, 387–406. [Google Scholar] [CrossRef]
- Jones, J.B. An illustrative example of a synthetically useful enzyme: Horse liver alcohol dehydrogenase. Ciba Found. Symp. 1985, 111, 3–21. [Google Scholar] [PubMed]
- Sandey, H. Biotransformations of Bicyclic Ketones to Lactones by Microorganisms. Ph.D. Thesis, University of Exeter, Exeter, UK, 1991. [Google Scholar]
- Lemiere, G.L.; Osselaer, T.A.; Lepoivre, J.A.; Alderweireldt, F.C. Enzymatic in vitro reduction of ketones. A new model for the reduction of cyclic ketones by horse liver alcohol dehydrogenase (HLADH). J. Chem. Soc. Perkin Trans 2 1982, 1123–1128. [Google Scholar] [CrossRef]
- Horjales, E.; Branden, C.I. Docking of cyclohexanol-derivatives into the active site of liver alcohol dehydrogenase. Using computer graphics and energy minimization. J. Biol. Chem. 1985, 260, 15445–15453. [Google Scholar] [CrossRef]
- Jones, J.B.; Jakovac, I.J. A new cubic-space model for predicting the specificity of horse liver alcohol dehydrogenase-catalysed oxidoreductions. Can. J. Chem. 1982, 60, 19–28. [Google Scholar] [CrossRef]
- Newton, R.F.; Paton, J.; Reynolds, D.P.; Young, S. Substrate non-enantiospecific and product enantioselective reduction of bicyclo[3.2.0]hept-2-en-6-one using yeast. J. Chem. Soc. Chem. Commun. 1979, 20, 908–909. [Google Scholar] [CrossRef]
- Dimsdale, M.J.; Newton, R.F.; Rainey, D.K.; Webb, C.F.; Lee, T.V.; Roberts, S.M. Synthesis of prostaglandin F2 by conjugate addition of a cuprate reagent to 3-t-butyldimethylsilyloxytricyclo[3.2.0.02,7]heptanone. J. Chem. Soc. Chem Commun. 1977, 20, 716. [Google Scholar] [CrossRef]
- Newton, R.F.; Howard, C.C.; Reynolds, D.P.; Wadsworth, A.H.; Crossland, N.M.; Roberts, S.M. Novel synthesis of prostaglandin E2 involving regioselective ring opening of a 2,3-endo-epoxybicyclo[3.2.0]heptan-6-one acetal with a mixed organocuprate reagent. J. Chem. Soc. Chem. Commun. 1978, 15, 662–664. [Google Scholar] [CrossRef]
- Deal, B.S.; Ridley, D.D.; Simpson, G.W. Asymmetric reduction of carbonyl compounds by yeast. II. Preparation of optically active α- and β -hydroxy carboxylic acids. Aust. J. Chem. 1976, 29, 2459–2467. [Google Scholar] [CrossRef]
- Crumbie, R.L.; Ridley, D.D.; Simpson, G.W. Enantioselective reduction of racemic ketones by yeast. J. Chem. Soc. Chem. Commun. 1977, 9, 315–316. [Google Scholar] [CrossRef]
- Dijon, B. The yeast genome project: What did we learn? Trends Genet. 1996, 12, 263–270. [Google Scholar] [CrossRef]
- Davies, J.; Roberts, S.M.; Reynolds, D.P.; Newton, R.F. Enantiocomplementary total asymmetric syntheses of prostaglandin E2 and prostaglandin F2α. J. Chem. Soc. Chem. Commun. 1981, 1317–1320. [Google Scholar] [CrossRef]
- Newton, R.F.; Reynolds, D.P.; Davies, J.; Kay, P.B.; Roberts, S.M.; Wallace, T.W. Enantiocomplementary total asymmetric synthesis of prostaglandin A2. J. Chem. Soc. Chem. Commun. 1983, 683–685. [Google Scholar] [CrossRef]
- Dawson, M.J.; Lawrence, G.C.; Lilley, G.; Todd, M.; Noble, D.; Green, S.M.; Roberts, S.M.; Wallace, T.W.; Newton, R.F.; Carter, M.C.; et al. Reduction of bicyclo[3.2.0]hept-2-en-6-one with dehydrogenase enzymes in whole cell preparations of some fungi and yeasts. J. Chem. Soc. Perkin Trans. I 1983, 2119–2125. [Google Scholar] [CrossRef]
- Lee, T.V.; Toczek, J.; Roberts, S.M. The total synthesis of (+/-)-boonein. J. Chem. Soc. Chem. Commun. 1985, 6, 371–372. [Google Scholar] [CrossRef]
- Greene, A.E.; Luche, M.-J.; Depres, J.-P. Iterative three-carbon annexation. A stereoselective total synthesis of (+/-)-hirsutic acid C. J. Am. Chem. Soc. 1983, 105, 2435–2439. [Google Scholar] [CrossRef]
- Burks, J.E.; Crandall, J.K. Synthesis of cis vicinally disubstituted cyclopentanes by fragmentation of bicyclo[3.2.0]heptan-6-one: Synthesis of (+/-)-multifidene. J. Org. Chem. 1984, 49, 4663–4670. [Google Scholar] [CrossRef]
- Annis, G.D.; Paquette, L.A. Total synthesis of (+/-)-pentalenene J. Am. Chem. Soc. 1982, 104, 4504–4506. [Google Scholar] [CrossRef]
- Cane, D.E.; Thomas, P.J. Synthesis of (dl)-pentalenolactones E and F. J. Am. Chem. Soc. 1984, 106, 5295–5303. [Google Scholar] [CrossRef]
- Paquette, L.A.; Andrews, D.R.; Springer, J.P. Rapid and efficient construction of the ophiobolin nucleus. J. Org. Chem. 1983, 48, 1147–1149. [Google Scholar] [CrossRef]
- Johnson, R.A.; Lincoln, F.H.; Thompson, J.L.; Nidy, E.G.; Mizak, S.; Axen, U. Synthesis and stereochemistry of prostacyclin. J. Am. Chem. Soc. 1977, 99, 4182–4184. [Google Scholar] [CrossRef]
- Wong, C.-H. Nicotinamide cofactor-requiring enzymatic synthesis in organic solvent-water biphasic systems. In Biocatalysis in Organic Media; Laane, C., Tramper, J., Lilly, M.D., Eds.; Elsevier: Amsterdam, The Netherlands, 1987; pp. 197–208. [Google Scholar]
- Ergan, F.; Atrai, P.; Dhulster, P.; Gelif, G.; Kim, M.N.; Legoy, M.D.; Thomas, D. Steroid modifications with immobilised biocatalysts—Use of enzymes requiring cofactor regeneration and of immobilised mycelium. Z. Allg. Mikrobiol. 1982, 22, 607–615. [Google Scholar] [PubMed]
- Ergan, F.; Thomas, D.; Chang, T.M. Selection and micro-encapsulation of an ‘NADH-oxidising’ bacterium and its use for NAD regeneration. Appl. Biochem. Biotechnol. 1984, 10, 61–71. [Google Scholar] [CrossRef]
- Ohshima, T.; Wandrey, C.; Kula, M.-R.; Soda, K. Improvement for L-leucine production in continuously operated enzyme membrane reactor. Biotechnol. Bioeng. 1985, 27, 1616–1618. [Google Scholar] [CrossRef]
- Carrea, G.; Colombi, F.; Mazzola, G.; Cremonesi, P.; Antonini, E. Immobilized hydroxysteroid dehydrogenases for the biotransformation of steroids in water-organic solvent systems. Biotechnol. Bioeng. 1979, 21, 39–48. [Google Scholar] [CrossRef] [PubMed]
- Kelly, D.R.; Lewis, J.D. Unusual stereoselectivity in the reduction of bicyclo[3.3.0]oct-2-en-8-one by Thermoanaerobium brockii alcohol dehydrogenase. J. Chem. Soc. Chem. Commun. 1991, 1330–1332. [Google Scholar] [CrossRef]
- Davies, H.G.; Roberts, S.M.; Wakefield, B.J.; Winders, J.A.; Williams, D.J. Photochemical conversion of 7,7-diphenyl-2,3-epoxybicyclo[3.2.0]heptan-6-ones into a 2-oxa-bicyclo[2.1.1.]hexan-3-one. J. Chem. Soc. Chem. Commun. 1984, 10, 640. [Google Scholar] [CrossRef]
- Nakamura, K.; Ushio, K.; Oka, S.; Ohno, A.; Yasui, S. Stereochemical control in yeast reduction. Tetrahedron Lett. 1984, 25, 3979–3982. [Google Scholar] [CrossRef]
- Zhou, B.-N.; Goal, A.S.; Middlesworth, F.; Shieh, W.-R.; Sih, C.J. Stereochemical control of yeast reduction. I. Asymmetric synthesis of L-carnitine. J. Am. Chem. Soc. 1983, 105, 5925–5926. [Google Scholar] [CrossRef]
- Fronza, G.; Fuganti, C.; Grasselli, P.; Servi, S. Baker’s yeast mediated preparation of carbohydrate-like chiral synthons. Tetrahedron Lett. 1985, 26, 4961–4964. [Google Scholar] [CrossRef]
- Davies, H.G.; Gartermann, T.C.C.; Leaver, J.; Roberts, S.M.; Turner, M.K. Reduction of 7-chlorobicyclo[3.2.0]hept-2-en-6-ones by 3α,20β-hydroxysteroid dehydrogenase. Tetrahedron Lett. 1986, 27, 1093–1094. [Google Scholar]
- Partridge, J.J.; Chanda, N.K.; Uskokovic, M.R. Asymmetric synthesis of prostaglandin intermediates. J. Am. Chem. Soc. 1973, 95, 7171–7172. [Google Scholar] [CrossRef] [PubMed]
- Grieco, P.A. Cyclopentenones. J. Org. Chem. 1973, 37, 2363–2366. [Google Scholar] [CrossRef]
- Brady, W.T. Synthetic applications involving halogenated ketenes. Tetrahedron 1981, 37, 2949–2965. [Google Scholar] [CrossRef]
- Tobarz, J.; Muller, G.; Adamski, J. Substrate multispecificity among 20β-hydroxysteroid dehydrogenase type 2 members. Mol. Cell Endocrinol. 2020, 510, 110822. [Google Scholar]
- Butt, S.; Davies, H.G.; Dawson, M.J.; Lawrence, G.C.; Leaver, J.; Roberts, S.M.; Turner, M.J.; Wakefield, B.J.; Wall, W.F.; Winders, J.A. Resolution of 7,7-dimethylbicyclo[3.2.0]hept-2-en-6-one using Mortierella ramanniana and 3α,20β-hydroxy- steroid dehydrogenase. Photochemistry of 3-hydroxy-7,7-dimethylbicyclo[3.2.0]heptan-6-ones, and synthesis of (+)-eldanolide. J. Chem. Soc. Perkin Trans. I 1987, 903–907. [Google Scholar] [CrossRef]
- Vigneron, J.P.; Meric, R.; Larcheveque, M.; Debal, A.; Lallemand, J.Y.; Kunesch, G.; Zagatti, P.; Gallois, M. L’aldanolide, pheromone des glandes alaires de la pyrale de la canne a sucre, Eldana saccharine (wlk.): Structure et synthese de ses deux enantiomers. Tetrahedron 1984, 40, 3521–3529. [Google Scholar] [CrossRef]
- Confalonieri, G.; Marotta, E.; Rama, F.; Righi, P.; Rosini, G.; Serra, R.; Venturelli, F. Practical preparations of bicyclo[3.2.0]hept-3-en-6-ones and its utilisation in stereoselective total synthesis of grandisol, and lineatin via a versatile intermediate. Tetrahedron 1994, 50, 3235–3250. [Google Scholar] [CrossRef]
- Fantin, G.; Fogagnolo, M.; Medici, A.; Pedrini, P.; Poli, S. Microbial oxidation with Bacillus stearothermophilus: High enantioselective reduction of 1-heteroaryl and 1-aryl alcohols. Tetrahedron Asymm. 1993, 4, 1607–1612. [Google Scholar] [CrossRef]
- Fantin, G.; Fogagnolo, M.; Giovannini, P.P.; Medici, A.; Pedrini, P. Combined microbial oxidation and reduction: A new approach to the high-yield synthesis of homochiral unsaturated secondary alcohols from racemates. Tetrahedron Asymm. 1995, 6, 3047–3053. [Google Scholar] [CrossRef]
- Nakamura, K.; Inuoe, Y.; Ohno, A. Enantioselective microbial oxidation of 1-arylethanol in an organic solvent. Tetrahedron Lett. 1994, 35, 4375–4376. [Google Scholar] [CrossRef]
- Fantin, G.; Fogagnolo, M.; Giovanini, P.P.; Medici, A.; Pedrini, P.; Poli, S. Oxidation with Bacillus stearothermophilus in heptane. Tetrahedron Lett. 1995, 36, 441–442. [Google Scholar] [CrossRef]
- Marotta, E.; Rastelli, E.; Righi, P.; Rosini, G. A practical preparation of pure enantiomers of endo-bicyclo[3.3.0]oct-7-en-2-ol, versatile intermediate for the synthesis natural products. Tetrahedron Asymm. 1993, 4, 735–742. [Google Scholar] [CrossRef]
- Marotta, E.; Piombi, B.; Righi, P.; Rosinin, G. N-bromosuccinamide induced lactonization of bicyclo[3.2.0]hept-3-en-6-ones. J. Org. Chem. 1994, 59, 7526–7528. [Google Scholar] [CrossRef]
- Marotta, E.; Medici, M.; Righi, P.; Rosini, G. The conversion of 3- hydroxy-6-heptenoic acids into bicyclo[3.2.0]hept-3-en-6-ones. J. Org. Chem. 1994, 59, 7529–7531. [Google Scholar] [CrossRef]
- Marotta, E.; Medici, M.; Righi, P.; Rosini, G. Synthesis of methyl-substituted bicyclo[3.2.0]hept-3-en-6-ones and 3,3a,4,6a-tetrahydro-2H-cyclopenta[ b]furan-2-ones. Tetrahedron 1994, 50, 7645–7656. [Google Scholar] [CrossRef]
- Marotta, E.; Pagani, I.; Righi, P.; Rosini, G.; Bertolasi, V.; Medici, A. Pure enantiomers of bicyclo[3.2.0]hept-3-en-6-ones and bicyclo[3.2.0]hept-3-en-6-endo-ols: Resolution, absolute configuration, and optical properties. Tetrahedron Asymm. 1995, 6, 2319–2328. [Google Scholar] [CrossRef]
- Fantin, G.; Fogagnolo, M.; Medici, A.; Pedrini, P.; Rosini, G. Kinetic resolution via oxidation of endo-bicyclic octen- and heptenols with Bacillus stearothermophilus. Tetrahedron Asymm. 1994, 5, 1635–1638. [Google Scholar] [CrossRef]
- Fantin, G.; Fogagnolo, M.; Marotta, E.; Medici, A.; Pedrini, P.; Righi, P. Enantiomerically pure 4-methyl- and 1,4-dimethyl-bicyclo[3.2.0]hept-3-en-6-ols and ones by microbial redox. Chem. Lett. 1996, 25, 511–512. [Google Scholar] [CrossRef]
- Giovannini, P.P.; Hanau, S.; Rippa, M.; Bortolini, O.; Fogagnolo, M.; Medici, A. Bacillus stearothermophilus alcohol dehydrogenase: A new catalyst to obtain enantiomerically pure bicyclic octen- and heptenols and ones. Tetrahedron 1996, 52, 1669–1676. [Google Scholar] [CrossRef]
- Fantin, G.; Fogagnolo, M.; Medici, A.; Pedrini, P. Microbial reduction of methyl-substituted bicyclo[3.2.0]hept-3-en-6-ones: A screening to homochiral endo- and exo-alcohols. Tetrahedron Asymm. 1996, 7, 277–282. [Google Scholar] [CrossRef]
- Pedrini, P.; Giovannini, P.P.; Mantovani, M.; Andreotti, E.; Colalogno, C. Reduction screening with endophytic fungi: Synthesis of homochiral secondary alcohols. J. Mol. Catal. B Enzym. 2009, 60, 145–150. [Google Scholar] [CrossRef]
- Rodriguez, P.; Gonzalez, D.; Rodriguez Giordano, S. Endophytic microorganisms: A source of potentially useful biocatalysts. J. Mol. Catal. B Enzym. 2016, 133, 5569–5581. [Google Scholar] [CrossRef]
- Damian-Almazo, J.Y.; Saab-Roncon, G. Site-directed mutagenesis as applied to biocatalysis. In Genetic Manipulation of DNA and Protein; Figurski, D., Ed.; IntechOpen: London, UK, 2013; pp. 303–330. [Google Scholar]
- Gillam, S.; Smith, M. Site-specific mutagenesis using synthetic oligodeoxyribonucleotide primers. In vitro selection of mutant DNA. Gene 1979, 8, 99–106. [Google Scholar] [CrossRef] [PubMed]
- Zakour, R.A.; Loeb, L.A. Site-directed mutagenesis by error-directed DNA. Nature 1982, 295, 708–710. [Google Scholar] [CrossRef]
- Traboni, C.; Ciliberto, G.; Cortese, R.A. Novel method for site-directed mutagenesis: Its application to an eukaryotic tRNAPro gene promoter. EMBO J. 1982, 1, 415–420. [Google Scholar] [CrossRef]
- Kunkel, T.A. Rapid and efficient site-specific mutagenesis without phenotypic selection. Proc. Natl. Acad. Sci. USA 1985, 82, 488–492. [Google Scholar] [CrossRef] [PubMed]
- Breedweld, C.V.G.; Scheffers, W.A.; van Dijken, J.P. Substrate specificity of alcohol dehydrogenase from the yeast Hansenyls polymorphs CBS 4732 and Candida utilis CBS 621. Yeast 1988, 4, 143–153. [Google Scholar]
- Green, D.W.; Sun, H.-W.; Plapp, B.V. Inversion of the substrate specificity of yeast alcohol dehydrogenase. J. Biol. Chem. 1993, 268, 7792–7798. [Google Scholar] [CrossRef] [PubMed]
- Weinhold, E.G.; Benner, S.A. Engineering yeast alcohol dehydrogenase. Protein Eng. 1995, 8, 457–461. [Google Scholar] [CrossRef] [PubMed][Green Version]
- Nealson, C.M.; Musa, M.M.; Patel, J.M.; Phillips, R.S. Controlling substrate specificity and stereospecificity of alcohol dehydrogenase. ACS Catal. 2015, 5, 2100–2114. [Google Scholar] [CrossRef]
- Pal, S.; Plapp, B.V. The Thr45Gly substitution in yeast alcohol dehydrogenase substantially decreases catalysis, alters pH dependencies, and disrupts the proton relay system. Chem. Biol. Interapt. 2021, 349, 109650. [Google Scholar] [CrossRef]
- Engeland, K.; Hoog, J.-O.; Holmquist, B.; Estonius, M.; Tornvall, H.; Vallee, B.L. Mutation of Arg-115 of class III alcohol dehydrogenase: A binding site required for formaldehyde dehydrogenase activity and fatty acid activation. Proc. Natl. Acad. Sci. USA 1993, 90, 2491–2494. [Google Scholar] [CrossRef]
- Ryu, J.; Lee, K.M. Mutation in horse liver alcohol dehydrogenase and its reactivity for steroids and retinoids. Arch. Pharm. Res. 1997, 20, 115–121. [Google Scholar] [CrossRef] [PubMed]
- Colby, T.D.; Bahnson, B.J.; Klinman, J.P.; Goldstein, B.M. Active site modification a double mutant of liver alcohol dehydrogenase: Structural studies of enzyme-ligand complexes. Biochemistry 1998, 37, 9295–9304. [Google Scholar] [CrossRef] [PubMed]
- Kalyanaraman, C.; Schwartz, S.D. Effect of active site mutation Phe93Trp in the horse liver alcohol dehydrogenase enzyme on catalysis: A molecular dynamics study. J. Phys. Chem. B 2002, 106, 13111–13113. [Google Scholar] [CrossRef]
- Malver, O.; Sebastian, M.J.; Oppenheimer, N.J. Alterations in the substrate specificity of horse liver alcohol dehydrogenase by an acrylic nicotinamide analog of NAD(+). DNA Repair 2014, 23, 95–100. [Google Scholar] [CrossRef] [PubMed]
- Kim, K.; Plapp, B.V. Inversion of substrate stereoselectivity of horse liver alcohol dehydrogenase by substitutions of Ser-48 and Phe-93. Chem. Biol. Interapt. 2017, 276, 77–87. [Google Scholar] [CrossRef]
- Shanmuganathan, K.K.; Wallace, R.S.; Lee, A.T.-I.; Plapp, B.V. Contribution of buried distal amino acid residues in horse liver alcohol dehydrogenase to structure and catalysis. Prot. Sci. 2018, 27, 750–768. [Google Scholar] [CrossRef] [PubMed]
- Fiorentino, G.; Cannio, R.; Rossi, M.; Bartolucci, S. Decreasing the stability and changing the substrate specificity of the Bacillus stearothermophilus alcohol dehydrogenase by single amino acid replacements. Prot. Eng. Des. Selec. 1998, 11, 925–930. [Google Scholar] [CrossRef] [PubMed]
- Santiago-Arcos, J.; Velasco-Lozano, S.; Diamanti, E.; Cortajarena, A.L.; Lopez-Gallego, F. Immobilization screening and characterization of an alcohol dehydrogenase and its application to multi-enzymatic selective oxidation of 1-omega-diols. Front. Catal. 2021, 1, 715075. [Google Scholar] [CrossRef]
- Maddock, D.J.; Patrick, W.M.; Gerth, M.L. Substitutions at the cofactor phosphate-binding site of a clostridial alcohol dehydrogenase lead to unexpected changes in substrate specificity. Prot. Eng. Des. Selec. 2015, 28, 251–258. [Google Scholar] [CrossRef] [PubMed]
- Solanki, K.; Abdallah, W.; Banta, S. Extreme makeover: Engineering the activity of a thermostable alcohol dehydrogenase (AdhD) from Pyrococcus furious. Biotechnol. J. 2016, 11, 1483–1497. [Google Scholar] [CrossRef] [PubMed]
- Ghosh, D.; Wawrzak, Z.; Weeks, C.M.; Duax, W.L.; Erman, M. The refined three-dimensional structure of 3α,20β-hydroxysteroid dehydrogenase and possible roles of the residues conserved in short chain dehydrogenases. Structure 1994, 2, 629–640. [Google Scholar] [CrossRef]
- Liu, Z.; Zhang, R.; Zhang, W.; Xu, Y. Ile258Met mutation of Brucella melitensis 7α-hydroxysteroid dehydrogenase significantly enhances catalytic efficiency. Microbiol. Biotechnol. 2021, 105, 3573–3586. [Google Scholar] [CrossRef] [PubMed]
- Oppermann, U.C.T.; Filling, C.; Berndt, K.D.; Persson, B.; Benach, J.; Ladenstein, R.; Jornvall, J. Active site directed mutagenesis of 3α,20β-hydroxysteroid dehydrogenase establishes differential effects on short chain dehydrogenase/reductase reactions. Biochemistry 1997, 36, 34–40. [Google Scholar] [CrossRef] [PubMed]
- Chen, Y.-L.; Chou, Y.-H.; Hsieh, C.-L.; Chiou, S.-J.; Wang, T.-P.; Hwang, C.-C. Rational engineering of 3α-hydroxysteroid dehydrogenase/carbonyl reductase for a biomimetic nicotinamide mononucleotide cofactor. Catalysts 2022, 12, 1094. [Google Scholar] [CrossRef]
- Rahier, A.; Bergdoli, M.; Genot, G.; Bouvier, F.; Camara, B. Homology modelling and site-directed mutagenesis reveals key catalytic amino acids of 3α-hydroxysteroid dehydrogenase/C4-decarboxylase from Arabidopsis. Plant Physiol. 2009, 148, 1872–1886. [Google Scholar] [CrossRef] [PubMed]
- Puranen, T.J.; Poutanen, M.H.; Peltoketo, H.E.; Vihko, P.T.; Vihko, R.K. Site-directed mutagenesis of the putative active site of human 17β-hydroxysteroid dehydrogenase type 1. Biochem. J. 1994, 304, 289–293. [Google Scholar] [CrossRef]
- Puranen, T.; Poutanen, M.; Ghosh, D.; Vihko, P.T.; Vihko, R.K. Characterization of structural and functional properties of human 17β-hydroxysteroid dehydrogenase type 1 using recombinant enzymes and site-directed mutagenesis. Mol. Endocrin. 1997, 11, 77–86. [Google Scholar] [CrossRef][Green Version]
- Thomas, J.L.; Evans, B.W.; Blanco, G.; Wernes, R.; Mason, I.; Adler, S.; Nash, W.; Isenberg, K.; Stidder, R.C. Site-directed mutagenesis identifies amino acid residues associated with the dehydrogenase activities of human type 1 3β-hydroxysteroid dehydrogenase. J. Steroid Biochem. Mol. Biol. 1998, 66, 327–334. [Google Scholar] [CrossRef]
- Couture, J.-F.; Legrand, P.; Cantin, L.; Van, L.-T.; Lebrie, F.; Breton, R. Human 20α-hydroxysteroid dehydrogenase crystallographic and sitedirected mutagenesis studies lead to the identification of an alternative binding site for C21-steroids. J. Mol. Biol. 2003, 331, 593–604. [Google Scholar] [CrossRef]
- Hoog, J.O.; Eklund, H.; Jornvall, H. A single-residue exchange gives human recombinant ββ alcohol dehydrogenase γγ isoenzyme properties. Eur. J. Biochem. 1992, 205, 519–526. [Google Scholar] [CrossRef] [PubMed]
- Willetts, A. Structural studies and biosynthetic applications of Baeyer- Villiger monooxygenases. Trends Biotechnol. 1997, 15, 55–62. [Google Scholar] [CrossRef] [PubMed]
- Trudgill, P.W. Microbial degradation of alicyclic hydrocarbons. In Developments in Biodgradation of Hydrocarbons -1; Watkinson, R.J., Ed.; Applied Science Publishers Ltd.: London, UK, 1978; pp. 47–84. [Google Scholar]
- Abril, O.; Ryerson, C.C.; Walsh, C.; Whitesides, G.M. Enzymatic Baeyer-Villiger oxidations of ketones catalysed by cyclohexanone monooxygenase. Bioorg. Chem. 1989, 17, 41–52. [Google Scholar] [CrossRef]
- Schritterwieser, J.H.; Velikogne, S.; Hall, M.; Kroutil, W. Artificial biocatalytic linear cascades for preparation of organic molecules. Chem. Rev. 2018, 118, 270–348. [Google Scholar] [CrossRef] [PubMed]
- Hummel, W.; Groger, H. Strategies for regeneration of nicotinamide coenzymes emphasising self-sufficient closed-loop recycling systems. J. Biotechnol. 2014, 191, 22–31. [Google Scholar] [CrossRef] [PubMed]
- Roberts, S.M.; Wan, P.W.H. Enzyme-catalysed Baeyer-Villiger oxidations. J. Mol. Catal. B Enzym. 1998, 4, 111–136. [Google Scholar] [CrossRef]
- Conrad, H.E.; DuBus, R.; Gunsalus, I.C. An enzyme system for cyclic lactonization. Biochem. Biophys. Res. Commun. 1961, 6, 293–297. [Google Scholar] [CrossRef] [PubMed]
- Gunsalus, I.C.; Trudgill, P.W.; Cushman, D.; Conrad, H.E. Stereospecific biological oxygenation of terpenoids. In Symposium on Recent Advances in the Chemistry of Terpenoids; Natural Chemistry Laboratory: Poona, India, 1965; p. 3. [Google Scholar]
- Conrad, H.E.; Lieb, K.; Gunsalus, I.C. Mixed function oxidation. III. An electron transport complex in camphor lactonization. J. Biol. Chem. 1965, 240, 4029–4037. [Google Scholar] [CrossRef] [PubMed]
- Gunsalus, I.C.; Conrad, H.E.; Trudgill, P.W. Generation of active oxygen for mixed function oxidation. In Oxidases and Related Redox Systems; King, T.E., Mason, H.S., Morrish, M., Eds.; Wiley: New York, NY, USA, 1965; pp. 417–447. [Google Scholar]
- Trudgill, P.W.; DuBus, R.; Gunsalus, I.C. Mixed function oxidation. V. Flavin interaction with reduced diphosphopyridine nucleotide dehydrogenase, one of the enzymes participating in camphor lactonization. J. Biol. Chem. 1966, 244, 1194–1205. [Google Scholar] [CrossRef]
- Trudgill, P.W.; DuBus, R.; Gunsalus, I.C. Mixed function oxidation. VI. Purification of a tightly coupled electron transport complex in camphor lactonization. J. Biol. Chem. 1966, 241, 4288–4290. [Google Scholar] [CrossRef]
- Willetts, A. The isoenzymic diketocamphane monooxygenases of Pseudomonas putida ATCC 17453—An episodic history and still mysterious after 60 years. Microorganisms 2021, 9, 2593. [Google Scholar] [CrossRef] [PubMed]
- Trudgill, P.W. Terpenoid metabolism in Pseudomonas. In The Bacteria; Sokatch, J.R., Ed.; Academic Press: New York, NY, USA, 1986; Volume 10, pp. 483–525. [Google Scholar]
- Iwaki, H.; Grosse, S.; Bergeron, H.; Leish, H.; Hasegawa, Y.; Lau, P.C. Camphor pathway redox: Functional recombinant expression of 2,5- and 3,6-diketocamphane monooxygenases in Pseudomonas putida ATCC 17453 with their cognate flavin reductase catalysing Baeyer-Villiger reactions. Appl. Environ. Microbiol. 2013, 79, 3282–3293. [Google Scholar] [CrossRef]
- Ellis, H.R. The FMN-dependent two-component monooxygenase systems. Arch. Biochem. Biophys. 2010, 497, 1–12. [Google Scholar] [CrossRef]
- Willetts, A.; Kelly, D. Flavin-dependent redox transfers by two-component diketocamphane monooxygenases of camphor-grown Pseudomonas putida NCIMB 10007. Microorganisms 2016, 4, 38. [Google Scholar] [CrossRef]
- Willetts, A. Conferring the metabolic self-sufficiency of the CAM plasmid of Pseudomonas putida ATCC 17453. The key role of putidaredoxin reductase. Microorganisms 2019, 7, 395. [Google Scholar] [CrossRef] [PubMed]
- LeGall, J.; Gunsalus, I.C. Growth of terpene oxidising pseudomonads. Bacteriol. Proc. 1963, 105, P43. [Google Scholar]
- Conrad, H.E.; DuBus, R.; Namtvedt, M.J.; Gunsalus, I.C. Mixed function oxidation. II. Separation and properties of the enzymes catalysing camphor lactonization. J. Biol. Chem. 1965, 240, 495–503. [Google Scholar] [CrossRef]
- Gunsalus, I.C.; Bertland, A.U.; Jacobson, L.A. Enzyme induction and repression in anabolic and catabolic pathways. Arch. Microbiol. 1967, 59, 113–122. [Google Scholar] [CrossRef] [PubMed]
- Hartline, R.A.; Gunsalus, I.C. Induction specificity and catabolite repression of the early enzymes in camphor degradation by Pseudomonas putida. J. Bacteriol. 1971, 106, 468–478. [Google Scholar] [CrossRef] [PubMed]
- Ougham, H.J.; Taylor, D.G.; Trudgill, P.W. Camphor revised: Involvement of a unique monooxygenase in metabolism of 2-oxo-delta 3-4,5,5-trimethylcyclopentenylacetic acid by Pseudomonas putida. J. Bacteriol. 1983, 153, 140–152. [Google Scholar] [CrossRef]
- Griffin, M.; Trudgill, P.W. The metabolism of cyclopentanol by Pseudomonas NCIB 9872. Biochem. J. 1972, 129, 595–603. [Google Scholar] [CrossRef] [PubMed]
- Griffin, M.; Trudgill, P.W. Purification and properties of cyclopentanone oxygenase of Pseudomonas NCIB 9872. Eur. J. Biochem. 1976, 63, 199–209. [Google Scholar] [CrossRef]
- Donoghue, N.A.; Norris, D.B.; Trudgill, P.W. The purification and properties of cyclohexanone monooxygenase from Nocardia globerula CL1 and Acinetobacter NCIB 9871. Eur. J. Biochem. 1976, 63, 175–192. [Google Scholar] [CrossRef]
- Sandey, H.; Willetts, A. Biotransformation of cycloalkanones by microorganisms. Biotechnol Lett. 1989, 11, 615–620. [Google Scholar] [CrossRef]
- Alphand, V.; Archelas, A.; Furstoss, R. Microbial transformations. 16. One-step synthesis of a pivotal prostaglandin chiral synthon via a highly enantioselective microbiological Baeyer-Villiger type reaction. Tetrahedron Lett. 1989, 30, 3663–3664. [Google Scholar] [CrossRef]
- Levitt, M.; Sandey, H.; Willetts, A. Regiospecific biotransformations of substituted norbornanones by microorganisms. Biotechnol. Lett. 1990, 12, 197–200. [Google Scholar] [CrossRef]
- Levitt, M.; Sandey, H.; Willetts, A. Preparation of optically active 6-fluorocarbocyclic nucleosides utilising enantioselective enzymecatalysed Baeyer-Villiger type oxidation. J. Chem. Soc. Chem. Commun. 1990, 8, 619–620. [Google Scholar] [CrossRef]
- Carnell, A.J.; Roberts, S.M.; Sik, V.; Willetts, A. Enzyme-catalysed Baeyer-Villiger oxidations of some substituted bicyclo[3.2.0]heptenones. J. Chem. Soc. Chem. Commun. 1990, 20, 1438–1439. [Google Scholar] [CrossRef]
- Carnell, A.J.; Roberts, S.M.; Sik, V.; Willetts, A. Microbial oxidation of 7-methylbicyclo[3.2.0]hept-2-en-6-one, 7,7-dimethylbicyclo[3.2.0]hept-2-en-6-one, and 2-exo-bromo-3-endo-hydroxy-7,7-dimethylbicyclo[3.2.0]hept-2-en-6-one using Acinetobacter calcoaceticus NCIB 9871. J. Chem. Soc. Perkin Trans I 1991, 10, 2385–2389. [Google Scholar] [CrossRef]
- Campbell, E.A.; Korzheva, N.; Must’ve, A.; Murakami, K.; Nair, S.; Goldfarb, A.; Darst, S.A. Structural mechanism for rifampicin inhibition of bacterial RNA polymerase. Cell 2001, 104, 901–912. [Google Scholar] [CrossRef]
- Dano, S.; Sorensen, P.G.; Hynne, F. Sustained oscillations in living cells. Nature 1999, 402, 320–322. [Google Scholar] [CrossRef]
- Samoilov, M.; Plyasunov, S.; Arkin, A.P. Stochastic amplification and signalling in enzymatic futile cycles through noise-induced instability. Proc. Natl. Acad. Sci. USA 2005, 102, 2310–2315. [Google Scholar] [CrossRef] [PubMed]
- Levine, E.; Hwa, T. Stochastic fluctuations in metabolic pathways. Proc. Natl. Acad. Sci. USA 2007, 104, 9224–9229. [Google Scholar] [CrossRef] [PubMed]
- Bisogno, F.R.; Garcia-Urdiales, E.; Valdes, H.; Lavanderia, I.; Kroutil, W.; Suarez, D.; Gotor, V. Ketone-alcohol hydrogen-transfer equilibria: Is the biooxidation of halohydrins blocked? Chem. Eur. 2010, 16, 11012–11019. [Google Scholar] [CrossRef]
- Sandey, H.; Willetts, A. Biotransformation of cycloalkanones: Controlled oxidative and reductive biotransformations by an Acinetobacter species. Biotechnol. Lett. 1992, 14, 1119–1125. [Google Scholar] [CrossRef]
- Palleroni, N.J.; Stanier, R.Y. Regulatory mechanisms governing synthesis of the enzymes for tryptophan oxidation in Pseudomonas fluorescens. J. Gen. Microbiol. 1964, 35, 319–334. [Google Scholar] [CrossRef] [PubMed]
- Rothig, T.R.; Kulbe, K.D.; Buckmann, F.; Carrea, G. Continuous coenzyme dependent stereoselective synthesis of sulcatol by alcohol dehydrogenases. Biotechnol. Lett. 1990, 12, 353–356. [Google Scholar] [CrossRef]
- Hogan, M.C. Process issues in Biocatalysis: Cyclohexanone Monooxygenase-Catalysed Chiral Lactone Syntheses. Ph.D. Thesis, University College London, London, UK, 2000. [Google Scholar]
- Willetts, A. Developments in Redox Biocatalysis: Annual Report 1993; University of Exeter: Exeter, UK, 1993. [Google Scholar]
- Baldwin, T.O.; Christopher, J.A.; Rachel, F.M.; Sinclair, J.F.; Ziegler, M.M.; Fisher, A.J.; Rayment, I. Structure of bacterial luciferase. Curr. Opin Struct. Biol. 1995, 5, 798–809. [Google Scholar] [CrossRef] [PubMed]
- Koga, H.; Yamaguchi, E.; Matsunaga, K.; Aramaki, H.; Horiuchi, T. Cloning and nucleotide sequence of NADH-putidaredoxin reductase gene (camA) and putidaredoxin gene (camB) involved in cytochrome P450cam hydroxylase of Pseudomonas putida. J. Biochem. 1989, 106, 831–836. [Google Scholar] [CrossRef]
- Aramaki, H.; Koga, H.; Sagara, Y.; Hosoi, M.; Horiuchi, T. Complete nucleotide sequence of the 5-exo-hydroxycamphor dehydrogenase gene on the CAM plasmid of Pseudomonas putida (ATCC 17453). Biochim. Biophys. Acta (BBA)-Gene Struct. Expr. 1993, 1174, 91–94. [Google Scholar] [CrossRef]
- Willetts, A. Inter-species redox coupling by flavin reductases and FMNdependent two-component monoxygenases undertaking nucleophilic Baeyer-Villiger biooxygenations. Microorganisms 2023, 11, 71. [Google Scholar] [CrossRef] [PubMed]
- Beecher, J.E.; Grogan, G.; Roberts, S.M.; Wan, P.; Willetts, A. Oxidative biotransformations by microorganisms: Enantioselective biooxidations by the enantiocomplementary diketocamphane monooxygenase isoenzymes from Pseudomonas putida NCIMB 10007. Biotechnol. Lett. 1996, 18, 571–576. [Google Scholar] [CrossRef]
- Gagnon, R.; Grogan, G.; Roberts, S.M.; Villa, R.; Willetts, A. Enzymatic Baeyer-Villiger oxidations of some bicyclic ketones using monooxygenases from Pseudomonas putida NCIMB 10007: Enantioselective preparation of a precursor of azadirachtin. J. Chem. Soc. Perkin Trans I 1995, 12, 1505–1511. [Google Scholar] [CrossRef]
- Adolph, H.W.; Zwart, P.; Meijers, R.; Hubatsch, I.; Kiefer, M.; Lamzin, V.; Cedergren-Zeppezauer, E. Structural basis for substrate specificity differences of horse liver alcohol dehydrogenase isoenzymes. Biochemistry 2000, 39, 12885–12897. [Google Scholar] [CrossRef]
- Bertland, A.U.; Johnson, S.; Gunsalus, I.C. Induced enzymes in terpene metabolism: An FMN-coupled DPNH oxidase in pseudomonads. Bacteriol. Proc. 1963, 105, 44. [Google Scholar]
- Yu, C.A.; Gunsalus, I.C. Monooxygenases. VII. Camphor lactonization and the role of three protein components. J. Biol. Chem. 1969, 244, 6149–6152. [Google Scholar] [CrossRef]
- Gagnon, R.; Grogan, G.; Levitt, M.S.; Roberts, S.M.; Wan, P.W.H.; Willetts, A. Biological Baeyer-Villiger oxidation of some monocyclic and bicyclic ketones using monooxygenases from Acinetobacter calcoaceticus NCIMB 9871 and Pseudomonas putida NCIMB 10007. J. Chem. Soc. Perkin Trans I 1994, 18, 2537–2543. [Google Scholar] [CrossRef]
- Villeneuve, P.; Muderhwa, J.M.; Graille, J.; Haas, M.J. Customizing lipases for biocatalysis: A survey of chemical, physical, and molecular biological approaches. J. Mol. Catal B Enzym. 2000, 9, 113–148. [Google Scholar] [CrossRef]
- Gotor-Fernandez, V.; Brieva, R.; Motor, V. Lipases: Useful biocatalysts for the preparation of pharmaceuticals. J. Mol. Catal. B Enzym. 2006, 40, 111–120. [Google Scholar] [CrossRef]
- Holmberg, E.; Hult, K. Temperature as an enantioselective parameter in enzymatic resolutions of racemic mixtures. Biotechnol. Lett. 1991, 13, 323–326. [Google Scholar] [CrossRef]
- Park, D.H.; Plapp, B.V. Isoenzymes of horse liver alcohol dehydrogenase active on ethanol and steroids. cDNA cloning, expression, and comparison of active sites. J. Biol. Chem. 1991, 266, 13296–13302. [Google Scholar] [CrossRef]
- Secundo, F.; Carrea, G.; Riva, S.; Battistel, E.; Bianchi, D. Cyclohexanone monooxygenase catalysed oxidation of methyl phenyl sulfide and cyclohexanone with macromolecular NADP in a membrane reactor. Biotechnol. Lett. 1993, 15, 865–870. [Google Scholar] [CrossRef]
- Pasta, P.; Carrea, G.; Gaggero, N.; Grigan, G.; Willetts, A. Enantioselective oxidations catalysed by diketocamphane monooxygenase from Pseudomonas putida with macromolecular NAD in a membrane reactor. Biotechnol. Lett. 1996, 18, 1123–1128. [Google Scholar] [CrossRef]
- Adger, B.; Bes, T.; Grogan, G.; McCague, R.; Pedragosa-Moreau, S.; Roberts, S.M.; Villa, R.; Wan, P.W.H.; Willetts, A. The synthesis of (R)-(+)- lipoic acid using a monooxygenase-catalysed biotransformation in the key step. Bioorg. Med. Chem. 1997, 5, 253–261. [Google Scholar] [CrossRef] [PubMed]
- Kuchner, O.; Arnold, F.H. Directed evolution of enzyme catalysis. Trends Biotechnol. 1997, 15, 523–530. [Google Scholar] [CrossRef] [PubMed]
- Voigt, C.A.; Kauffman, S.; Wang, Z.G. Rational evolutionary design: The theory of in vitro protein evolution. Advs. Prot. Chem. 2000, 55, 79–160. [Google Scholar]
- Lutz, S. Beyond directed evolution—Semi-rational protein engineering and design. Curr. Opin. Biotechnol. 2010, 21, 734–743. [Google Scholar] [CrossRef]
- Cobb, R.E.; Chao, R.; Zhao, H. Directed evolution: Past, present, and future. AIChE J. 2013, 59, 1432–1440. [Google Scholar] [CrossRef] [PubMed]
- Kumar, A.; Singh, S. Directed evolution: Tailoring biocatalysts for industrial applications. Crit. Rev. Biotechnol. 2013, 33, 365–378. [Google Scholar] [CrossRef] [PubMed]
- Packer, M.S.; Liu, D.R. Methods for the directed evolution of proteins. Nature Rev. Genet. 2015, 16, 379–394. [Google Scholar] [CrossRef]
- Reetz, M.; Brunner, B.; Schneider, T.; Schulz, F.; Clouthier, C.M.; Kayser, M.M. Directed evolution as a method to create enantioselective cyclohexanone monooxygenase for catalysis of Baeyer-Villiger reactions. Angew. Chem. Int. Ed. 2004, 43, 4075–4078. [Google Scholar] [CrossRef] [PubMed]
- Bovola, M.; Schulz, F.; Leca, F.; Vogel, A.; Fraaije, M.W.; Reetz, M.T. Converting phenylacetone monooxygenase into phenylcyclohexanone monooxygenase by rational design: Towards practical Baeyer-Villiger monooxygenases. Adv. Synth. Catal. 2005, 347, 979–985. [Google Scholar]
- Zambianchi, F.; Fraaije, M.W.; Carrea, G.; de Gonzolo, G.; Rodriguez, C.; Gotor, V.; Ottolina, G. Titration and alignment of residues that regulate the enantioselectivity of phenylacetone monoxygenase. Adv. Synth. Catal. 2007, 349, 1327–1331. [Google Scholar] [CrossRef]
- Kirschner, A.; Bornscheuer, U.T. Directed evolution of a Baeyer-Villiger monooxygenase to enhance enantioselectivity. Appl. Microbiol. Biotechnol. 2008, 81, 465–472. [Google Scholar] [CrossRef]
- Reetz, M.T.; Wu, S. Laboratory evolution of robust and enantioselective Baeyer-Villiger monooxygenases for asymmetric catalysis. J. Am. Chem. Soc. 2009, 131, 15424–15432. [Google Scholar] [CrossRef]
- Rehdorf, J.; Mihovilovic, M.D.; Bornscheuer, U.T. Exploring the regioselectivity of Baeyer-Villiger monooxygenases for the formation of β-amino acids and β-amino alcohols. Angew. Chem. Int. Ed. 2010, 49, 4506–4508. [Google Scholar] [CrossRef] [PubMed]
- Torres Pazmino, D.T.; Dudek, H.M.; Fraaije, M.W. Baeyer-Villiger monooxygenases: Recent advances and future challenges. Curr. Opin. Chem. Biol. 2010, 14, 138–144. [Google Scholar] [CrossRef] [PubMed]
- Franceschini, S.; van Beek, H.L.; Pennatta, A.; Martinoli, C.; Fraaie, M.W.; Mattevi, A. Exploring the structural basis of substrate preferences in Baeyer-Villiger monooxygenases. J. Biol. Chem. 2012, 287, 22626–22634. [Google Scholar] [CrossRef] [PubMed]
- Torres Pazmino, D.E.; Snajdrova, R.; Rial, D.V.; Mihovilovic, M.D.; Fraaije, M.W. Altering the substrate specificity and enantioselectivity of phenylacetone monooxygenase by structure-inspired enzyme redesign. Adv. Synth. Catal. 2007, 349, 1361–1368. [Google Scholar] [CrossRef]
- Dudek, H.M.; de Gonzolo, G.; Torres Pazmino, D.E.; Stepnial, P.; Wyrwicz, L.S.; Rychlewski, L.; Fraaije, M.W. Mapping the substrate binding site of phenylacetone monooxygenase from Thermobifia fascia by mutational analysis. Appl. Environ. Microbiol. 2011, 77, 5730–5738. [Google Scholar] [CrossRef]
- Zhang, Z.-G.; Parra, L.P.; Reetz, M.T. Protein engineering for stereoselective Baeyer-Villiger monooxygenases. Chem. Eur. J. 2012, 18, 10160–10172. [Google Scholar] [CrossRef] [PubMed]
- Yachin, B.J.; Lau, P.C.K.; Berghuis, A.M. The role of conformational flexibility in Baeyer-Villiger monooxygenase catalysis and structure. Biochem. Biophys. Acta 2016, 1864, 1641–1648. [Google Scholar]
- Balke, K.; Beier, A.; Bornscheuer, U.T. Hot spots for the protein engineering of Baeyer-Villiger monooxygenases. Biotechnol. Adv. 2018, 36, 247–263. [Google Scholar] [CrossRef] [PubMed]
- Fordwour, O.B.; Wolthers, K.R. Active site variants provide insight into the nature of conformational changes that accompany the cyclohexanone monooxygenase catalytic cycle. Arch. Biochem. Biophys. 2018, 654, 85–96. [Google Scholar] [CrossRef] [PubMed]
- Furst, M.J.L.J.; Gran-Scheuch, A.; Aalbers, F.S.; Fraaie, M.W. Baeyer- Villiger monooxygenases: Tunable oxidative biocatalysts. ACS Catal. 2019, 9, 11207–11241. [Google Scholar] [CrossRef]
- Fraaije, M.W.; Kamerbeek, N.M.; van Berkel, W.J.H.; Janssen, D.B. Identification of a Baeyer-Villiger sequence motif. FEBS Lett. 2002, 518, 43–47. [Google Scholar] [CrossRef]
- Kamerbeek, N.M.; Janssen, D.B.; van Berkel, W.J.H.; Fraaije, M.W. Baeyer-Villiger monooxygenases, an emerging family of flavin-dependent biocatalysts. Adv. Synth. Catal. 2003, 345, 667–678. [Google Scholar] [CrossRef]
- Lau, P.C.K.; Reisch, H.; Yachnin, B.J.; Mirza, A.; Berghuis, A.M.; Iwaki, H.; Hasegawa, Y. Sustained development in Baeyer-Villiger biooxidation technology. In Green Polymer Chemistry: Biocatalysis and Biomaterials; Cheng, H., Ed.; American Chemical Society: Washington, DC, USA, 2010; pp. 343–372. [Google Scholar]
- Balke, K.; Kadow, M.; Malin, H.; Sass, S.; Bornsheuer, U.T. Discovery, application, and protein engineering of Baeyer-Villiger monooxygenases for organic synthesis. Org. Biomol. Chem. 2012, 10, 6249–6265. [Google Scholar] [CrossRef] [PubMed]
- Ceccoli, R.D.; Bianchi, D.A.; Ayelen Carabajal, M.; Rial, D.V. Genome mining reveals new bacterial type I Baeyer-Villiger monooxygenases with (bio)synthetic potential. Molec. Catal. 2020, 485, 110875. [Google Scholar] [CrossRef]
- Hilker, I.; Alphand, V.; Wohlgemuth, R.; Furstoss, R. Microbial transformations 56. Preparative scale asymmetric Baeyer-Villiger oxidation using a highly productive ‘two-in-one’ resin-based in situ SFPR concept. Adv. Synth. Catal. 2004, 346, 203–214. [Google Scholar] [CrossRef]
- Hilker, I.; Wohlgemuth, R.; Alphand, V.; Furstoss, R. Microbial transformations 59. First kilogram scale asymmetric Baeyer-Villiger oxidation with optimised productivity using a resin-based in situ SFPR strategy. Biotechnol. Bioeng. 2005, 92, 702–710. [Google Scholar] [CrossRef]
- Mayer, S.F.; Kroutol, W.; Faber, K. Enzyme-initiated domino (cascade) reactions. Chem. Soc. Rev. 2001, 30, 332–339. [Google Scholar] [CrossRef]
- Glueck, S.; Mayer, S.F.; Kroutil, W.; Faber, K. Advances in biocatalytic synthesis. Enzyme-triggered asymmetric cascade reactions. Pure Appl. Chem. 2002, 74, 2253–2257. [Google Scholar] [CrossRef]
- Bruggink, A.; Schoevaart, R.; Kieboom, T. Concepts of nature in organic synthesis: Cascade catalysis and multistep conversions in concert. Process Res. Dev. 2003, 7, 622–640. [Google Scholar] [CrossRef]
- Schrittwieser, J.H.; Sattler, J.; Resch, V.; Mutti, F.G.; Kroutil, W. Recent biocatalytic oxidation-reduction cascades. Curr. Opin. Chem. Biol. 2011, 15, 249–256. [Google Scholar] [CrossRef]
- Ricca, E.; Brucher, B.; Schrittweiser, J.H. Multi-enzymatic cascade reactions: Overview and perspectives. Adv. Synth. Catal. 2011, 353, 2239–2262. [Google Scholar] [CrossRef]
- Kroutil, W.; Rueping, M. Cascade catalysis. ACS Catal. 2014, 4, 2086–2087. [Google Scholar] [CrossRef]
- Muschiol, J.; Peters, C.; Oberleitner, N.; Mihovilovic, M.D.; Bornscheuer, U.T.; Rudroff, F. Cascade catalysis—Strategies and challenges on route to preparative synthetic biology. J. Chem. Soc. Chem. Commun. 2014, 51, 5798–5811. [Google Scholar] [CrossRef] [PubMed]
- De Gonzalo, G.; Paul, C.E. Recent trends in synthetic enzymatic cascades promoted by alcohol dehydrogenases. Curr. Opin. Green Sust. Chem. 2021, 32, 1005–1048. [Google Scholar] [CrossRef]
- Caballeira, J.D.; Quezada, M.A.; Hoyos, P.; Hernaiz, M.J.; Alcantara, A.R.; Sinisterra, J.V. Microbial cells as catalysts for stereoselective red-ox reactions. Biotechnol. Adv. 2009, 27, 686–714. [Google Scholar] [CrossRef]
- Fessner, W.D. Systems biocatalysis: Development and engineeringof cell-free ‘artificial metabolism’ for preperative multi-enzymatic synthesis. New Biotech. 2015, 32, 658–664. [Google Scholar] [CrossRef] [PubMed]
- Kadisch, M.; Willrodt, C.; Hillen, M.; Buhler, B.; Schmid, A. Maximising the stability of metabolic engineering-derived whole cell biocatalysts. Biotechnol. J. 2017, 12, 29. [Google Scholar] [CrossRef] [PubMed]
- Polakovic, M.; Svitel, J.; Bucko, M.; Filip, J.; Nedela, V.; Ansorge-Schumaker, M.B.; Gemeiner, P. Progress in bocatalysis with immobilized viable whole cells: Systems development, reaction engineering, and applications. Biotechnol. Lett. 2017, 39, 667–683. [Google Scholar] [CrossRef]
- Garzon-Posse, F.; Becerra-Figueroa, L.; Hernandez-Arias, J.; Gamba-Sanchez, D. Whole cells as biocatalysts in organic transformations. Molecules 2018, 23, 1265. [Google Scholar] [CrossRef] [PubMed]
- de Gonzolo, G.; Alcantara, A.R. Multienzymic processes involving Baeyer-Villiger monooxygenases. Catalysts 2021, 11, 605. [Google Scholar] [CrossRef]
- Gruber, C.C.; Nestl, B.M.; Gross, J.; Hildebrandt, P.; Bornscheuer, U.T.; Faber, K.; Kroutil, W. Emulation of racemase activity by employing a pair of stereocomplementary biocatalysts. Chem. Eur. 2007, 13, 8271–8276. [Google Scholar] [CrossRef]
- Bisogno, F.R.; Lavandera, I.; Kroutil, W.; Gotor, V. Tandem concurrent processes: One-pot single-catalyst biohydrogen transfer for simultaneous preparation of enantiopure secondary alcohols. J. Org. Chem. 2009, 74, 1730–1732. [Google Scholar] [CrossRef] [PubMed]
- Bodlenner, A.; Glueck, S.M.; Nestl, B.M.; Gruber, C.C.; Baudendistel, N.; Huaer, B.; Kroutil, W.; Faber, K. Biocatalytic racemization of α- hydroxycarboxylic acids using stereo-complementary pairs of α- hydroxycarboxylic acid dehydrogenases. Tetrahedron 2009, 65, 7752–7755. [Google Scholar] [CrossRef]
- Resch, V.; Fabian, W.M.F.; Kroutil, W. Deracemization of mandelic acid to optically pure non-natural L-phenylglycine via redox-neutral biocatalytic cascade. Adv. Synth. Catal. 2010, 352, 993–997. [Google Scholar] [CrossRef]
- Tong, X.; El-Zahab, B.; Zhao, X.; Liu, Y.; Wang, P. Enzymatic synthesis of L-lactic acid from carbon dioxide and ethanol with an inherent cofactor regeneration cycle. Biotechnol. Bioeng. 2011, 108, 465–469. [Google Scholar] [CrossRef] [PubMed]
- Gargiulo, S.; Opperman, D.J.; Hanefeld, U.; Arends, I.W.; Hollmann, F.A. Biocatalytic redox isomerisation. J. Chem. Soc. Chem. Commun. 2012, 48, 6630–6632. [Google Scholar] [CrossRef]
- Muller, C.A.; Akkapurathu, B.; Winkler, T.; Staudt, S.; Hummel, W.; Groter, H.; Schwaneberg, U. In vitro double oxidation of n-heptane with direct cofactor regeneration. Adv. Synth. Catal. 2013, 355, 1787–1798. [Google Scholar] [CrossRef]
- Staudt, S.; Burda, E.; Giese, C.; Muller, C.A.; Marienhagen, J.; Schwaneberg, U.; Hummel, W.; Drauz, K. Direct oxidation of cycloalkanes to cycloalkanones with oxygen in water. Angew. Chem. Int. Ed. 2013, 52, 2359–2363. [Google Scholar] [CrossRef]
- Urlacher, V.B.; Girhard, M. Cytochrome P450 monooxygenases in biotechnology and synthetic biology. Trends Biotechnol. 2019, 37, 882–897. [Google Scholar] [CrossRef] [PubMed]
- Labet, M.; Thielemans, W. Synthesis of polycaprolactone: A review. Chem. Soc. Rev. 2009, 38, 3484–3504. [Google Scholar] [CrossRef]
- Mallin, H.; Wulf, H.; Bornsheuer, U.T. A self-sufficient Baeyer-Villiger biocatalysis system for the synthesis of ε-caprolactone from cyclohexanol. Enzym. Microb. Technol. 2013, 53, 283–2876. [Google Scholar] [CrossRef] [PubMed]
- Staudt, S.; Bornscheuer, U.T.; Menyes, U.; Hummel, W.; Groger, H. Direct biocatalytic one-pot-transformation of cyclohexanol with molecular oxygen into ε-caprolactone. Enzym. Microb. Technol. 2013, 53, 288–292. [Google Scholar] [CrossRef] [PubMed]
- Voss, C.; Gruber, C.C.; Faber, K.; Knaus, T.; Macheroux, P.; Kroutil, W. Orchestration of concurrent oxidation and reduction cycles for stereoinversion and deracemisation of sec-alcohols. J. Am. Chem. Soc. 2008, 130, 13969–13972. [Google Scholar] [CrossRef] [PubMed]
- Rioz-Martinez, A.; Bison, F.R.; Rodriguez, C.; de Gonzolo, G.; Lavandera, I.; Torres Pazmino, D.E.; Fraaije, M.W.; Gotor, V. Biocatalysed concurrent production of enantioenriched compounds through parallel interconnected kinetic asymmetric transformations. Org. Biomolec. Chem. 2010, 8, 1431–1437. [Google Scholar] [CrossRef]
- Bisogno, F.R.; Rioz-Martinez, A.; Rodriguez, C.; Lavandera, I.; de Gonzolo, G.; Torres Pazmino, D.E.; Fraaije, M.W.; Gotor, V. Oxidoreductases working together: Concurrent obtaining of valuable derivatives by employing the PIKAT method. ChemCatChem 2010, 2, 946–949. [Google Scholar] [CrossRef]
- Torres Pazmino, D.E.; Snajdrova, R.; Baas, B.-J.; Ghobrial, M.; Mihovilovic, M.D.; Fraaije, M.W. Self-sufficient Baeyer-Villiger monooxygenases: Effective coenzyme regeneration for biooxygenation by fusion engineering. Angew. Chem. Int. Ed. 2008, 47, 2275–2278. [Google Scholar] [CrossRef] [PubMed]
- de Gonzolo, G.; Mihovilovic, M.D.; Fraaije, M.W. Recent developments in the application of Baeyer-Villiger monooxygenases as biocatalysts. ChemBioChem 2010, 11, 2208–2231. [Google Scholar] [CrossRef]
- Aalbers, A.; Fraaie, M.W. Coupled reactions by coupled enzymes: Alcohol to lactone cascade with alcohol dehydrogenase-cyclohexanone monooxygenase fusions. Appl. Microbiol. Biotechnol. 2017, 101, 7557–7565. [Google Scholar] [CrossRef] [PubMed]
- Gran-Scheuch, A.; Aalbers, F.; Woudstra, Y.; Parra, L.; Fraaiie, M.W. Optimising the linker length for fusing an alcohol dehydrogenase with cyclohexanone monooxygenase. Meth. Enzymol. 2021, 647, 107–143. [Google Scholar]
- Aalbers, F.; Fraaije, M.W. Enzyme fusions in biocatalysis: Coupling reactions by pairing enzymes. ChemBioChem 2019, 20, 20–28. [Google Scholar] [CrossRef]
- Ma, Y.; Zhang, N.; Vernet, G.; Kara, S. Design of fusion enzymes for biocatalytic applications in aqueous and non-aqueous media. Front. Bioeng. Biotechnol. 2022, 10, 944226. [Google Scholar] [CrossRef] [PubMed]
- Hackett, S.R.; Zanotelli, V.C.T.; Xu, W.; Goya, J.; Park, J.Q.; Perlman, D.H.; Gibney, P.A.; Botstein, D.; Storey, J.D.; Rabinowitz, J.D. Systems-level analysis of mechanisms regulating yeast metabolic flux. Science 2016, 354, aaf2786. [Google Scholar] [CrossRef] [PubMed]
- Schmidt, S.; Scherkus, C.; Muschiol, J.; Menyes, U.; Winkler, T.; Hummel, W.; Groger, H.; Liese, A.; Herz, H.G.; Bornscheuer, U.T. An enzyme cascade synthesis for epsilon-caprolactone and its oligomers. Angew. Chem. Int. Ed. 2015, 54, 2784–2787. [Google Scholar] [CrossRef] [PubMed]
- Scherkus, C.; Schmidt, S.; Bornscheuer, U.T.; Groger, H.; Kara, S.; Liese, A. Kinetic insights into ε-caprolactone synthesis. Improvement of an enzymatic cascade reaction. Biotecnol. Bioeng. 2017, 114, 1215–1221. [Google Scholar] [CrossRef]
- Kohl, A.; Scinivasamurthy, V.; Boettcher, D.; Kabisch, J.; Bornscheuer, U.T. Co-expression of an alcohol dehydrogenase and a cyclohexanone monooxygenase for cascade reactions facilitates the regeneration of the NADPH cofactor. Enzym. Micro. Technol. 2018, 108, 53–58. [Google Scholar] [CrossRef]
- Scinivasamurthy, V.; Boettcher, D.; Engel, J.; Kara, S.; Bornscheuer, U.T. A whole cell process for the production of epsilon-caprolactone in aqueous media. Process Biochem. 2020, 88, 22–30. [Google Scholar] [CrossRef]
- Scherkus, C.; Schmidt, S.; Bornscheuer, U.T.; Groger, H.; Kara, S.; Liese, A.A. A fed-batch synthetic trategy for a three-step enzymatic synthesis of poly-caprolactone. ChemCatChem 2016, 8, 3446–3452. [Google Scholar] [CrossRef]
- Oberleitner, N.; Peters, C.; Muschiol, J.; Kudos, M.; Sass, S.; Bayer, T.; Schaaf, P.; Iqbal, N.; Rudroff, F. An enzymatic toolbox for cascade reactions: A showcase for an in vivo redox sequence in asymmetric synthesis. ChemCatChem 2013, 5, 3524–3528. [Google Scholar] [CrossRef]
- Oberleitner, N.; Ressmann, A.K.; Bica, K.; Gartner, P.; Fraaije, M.W.; Bornscheuer, U.T.; Rudroff, F.; Mihovilovic, M.D. From waste to value—Direct utilization of limonene from orange peel in a biocatalytic cascade reaction towards chiral carvolactone. Green Chem. 2017, 19, 367–371. [Google Scholar] [CrossRef]
- Avalos, G.A.A.; Toogood, H.S.; Tait, S.; Messiha, H.L.; Scrutton, N.S. From bugs to bioplastics: Total (+)-dihydrocarvide biosynthesis by engineered Escherichia coli. ChemBioChem 2019, 20, 785–792. [Google Scholar] [CrossRef] [PubMed]
- Pennec, A.; Hollmann, F.; Smit, M.S.; Opperman, D.J. One-pot conversion of cycloalkanes to lactones. ChemCatChem 2015, 7, 236–239. [Google Scholar] [CrossRef]
- Schulz, S.; Girhard, M.; Gassmeyer, S.K.; Jager, V.D.; Schawze, D.; Vogel, A.; Urlacher, V.B. Selective enzymatic synthesis of the grapefruit flavour (+)-nootkatone. ChemCatChem 2015, 7, 601–604. [Google Scholar] [CrossRef]
- Karande, R.; Salamanca, D.; Schmid, A.; Buehler, K. Biocatalytic conversion of cycloalkanes to lactones using an in vivo cascade in Pseudomonas taiwanensis VLB120. Biotechnol. Bioeng. 2018, 115, 312–320. [Google Scholar] [CrossRef] [PubMed]
- Jakovac, I.J.; Goodbrand, H.B.; Jones, J.B. Enzymes in organic synthesis.24. Preparations of enantiomerically pure chiral lactones via stereospecific horse liver alcohol dehydrogenase catalysed oxidations of monocyclic meso diols. J. Am. Chem. Soc. 1982, 104, 4659–4665. [Google Scholar] [CrossRef]
- Kara, S.; Spickermann, D.; Schrittweiser, J.H.; Leggewie, C.; van Merkel, W.J.H.; Arends, I.W.C.E.; Hollmann, F. More efficient redox biocatalysis by utilising 1,4-butanediol as a ‘smart cosubstrate’. Green Chem. 2013, 15, 330–335. [Google Scholar] [CrossRef]
- Bornadel, A.; Hatti-Kaul, R.; Hollmann, F.; Kara, S. A bi-enzymatic convergent cascade for ε-caprolactone synthesis employing 1,6- hexanediol as a ‘double smart cosubstrate’. ChemCatChem 2015, 7, 2442–2445. [Google Scholar] [CrossRef]
- Mthethwa, K.S.; Kassier, K.; Engel, J.; Kara, S.; Smit, M.S.; Opperman, D.J. Fungal BVMOs as alternatives to cyclohexanone monooxygenase. Enzym. Microb. Technol. 2017, 106, 11–17. [Google Scholar] [CrossRef] [PubMed]
- Engel, J.; Mthethwa, K.S.; Opperman, D.J.; Kara, S. Characterisation of new Baeyer-Villiger monooxygenases for lactonizations in redox-neutral cascades. Mol. Catal. 2019, 468, 44–51. [Google Scholar] [CrossRef]
- Bornadel, A.; Hatti-Kaul, R.; Hollmann, F.; Kara, S. Enhancing the productivity of the bi-enzymatic convergent cascade for ε-caprolactone synthesis through design of experiments and a biphasic system. Tetrahedron 2016, 72, 7222–7228. [Google Scholar] [CrossRef]
- Reimer, A.; Wedde, S.; Staudt, S.; Schmidt, S.; Hoffer, D.; Hummel, W.; Kraul, U.; Bornscheuer, U.T.; Grosser, H. Process development through solvent engineering in the biocatalytic synthesis of the heterocyclic bulk chemical ε-caprolactone. J. Heter. Chem. 2016, 54, 391–396. [Google Scholar] [CrossRef]
- Huang, L.; Romero, E.; Ressmann, A.K.; Rudroff, F.; Hollmann, F.; Fraaije, M.W.; Kara, S. Nicotinamide adenine dinucleotide-dependent redox-neutral convergent cascade for lactonizations with Type II flavincontaining monooxygenases. Adv. Synth. Catal. 2017, 359, 2142–2148. [Google Scholar] [CrossRef]
- Beier, A.; Bordewick, S.; Genz, M.; Schmidt, S.; van den Bergh, T.; Peters, C.; Joosten, H.-J.; Bornscheuer, U.T. Switch in cofactor specificity of a Baeyer-Villiger monooxygenase. ChemBioChem 2016, 17, 2312–2315. [Google Scholar] [CrossRef] [PubMed]
- Willetts, A. Screening marine microorganisms for novel Baeyer-Villiger monooxygenases and other potentially useful biocatalysts. In Plymouth Marine Laboratory Annual Report; Plymouth Marine Laboratory: Plymouth, UK, 2009; pp. 34–39. [Google Scholar]
- Willetts, A.; Joint, I.; Gilbert, J.A.; Trimble, W.; Muhling, M. Isolation and initial characterisation of a novel type of Baeyer-Villiger monooxygenase activity from a marine microorganism. Microbial Biotechnol. 2012, 5, 549–559. [Google Scholar] [CrossRef] [PubMed]
- Jensen, C.N.; Cartwright, J.; Ward, J.; Hart, S.; Turkenburg, J.P.; Sohail, A.; Allen, M.J.; Grogan, G. A flavoprotein monooxygenase that catalyses a Baeyer-Villiger reaction and thioether oxidation using NADH as the nicotinamide cofactor. ChemBioChem 2012, 13, 872–878. [Google Scholar] [CrossRef]
- Jensen, C.N.; Ali, S.; Allen, M.J.; Grogan, G. Exploring nicotinamide cofactor promiscuity in NAD(P)H-dependent flavin containing monooxygenases (FMOs) using natural variation within the phosphate binding loop. Structure and activity of FMOs. J. Mol. Catal B Enzym. 2014, 109, 191–198. [Google Scholar] [CrossRef] [PubMed][Green Version]
- Szolkowy, C.; Elvis, L.D.; Bruce, N.C.; Grogan, G. Insights into sequence-activity relationships amongst Baeyer-Villiver monooxygenases as revealed by the intragenomic complement of enzymes from Rhodococcus jostii RHA1. ChemBioChem 2009, 10, 1208–1217. [Google Scholar] [CrossRef]
- Riebel, A.; de Gonzalo, G.; Fraaije, M.W. Expanding the biocatalytic toolbox of flavoprotein monooxygenases from Rhodococcus josti RHA1. J. Mol. Catal B Enzym. 2013, 88, 20–25. [Google Scholar] [CrossRef]
- Engel, J.; Bornscheuer, U.T.; Kara, S. Kinetics modelling of a convergent cascade catalysed by monooxygenase-alcohol dehydrogenase coupled enzymes. Org. Process Res. Dev. 2021, 25, 411–420. [Google Scholar] [CrossRef]
- Brzostowicz, P.C.; Walters, D.M.; Thomas, S.M.; Nagarajan, V.; Rouviere, P.E. mRNA differential display in a microbial enrichment culture: Simultaneous identification of three cyclohexanone monooxygenases from three species. Appl. Environ. Microbiol. 2003, 69, 334–342. [Google Scholar] [CrossRef] [PubMed]
- Brzostowicz, P.C.; Gibson, K.J.; Thomas, S.M.; Blasko, M.S.; Rouviere, P.E. Simultaneous identification of two cyclohexanone oxidation genes from an environmental Brevibacterium isolate using mRNA differential display. J. Bacteriol. 2000, 182, 4241–4248. [Google Scholar] [CrossRef] [PubMed][Green Version]
- Summers, B.D.; Omar, M.; Ronson, T.O.; Lloyd, M.; Grogan, G. E. coli cells expressing the Baeyer-Villiger monooxygenase ‘MO14’ (ro03437) from Rhodococcus jostii RHA1catalyses gram-scale resolution of a bicyclic ketone in a fermenter. Org. Biomol. Chem. 2015, 13, 1897–1903. [Google Scholar] [CrossRef] [PubMed]
- Contente, M.L.; Zambelli, P.; Galafassi, S.; Tamborini, L.; Pinto, A.; Conti, P.; Molinari, F.; Romano, D. A new chemoenzymatic approach to the synthesis of latanoprost and bimatoprost. J. Mol. Catal. B Enzym. 2015, 114, 7–12. [Google Scholar] [CrossRef]





























| ADHs | Aliphatic Aldhydes | Aliphatic Ketones | Monocyclic Ketones | Bicyclo-[2.2.1]- Ketones | Bicyclo-[3.2.0]- Ketones | Polycyclic Ketones |
|---|---|---|---|---|---|---|
| YADH | + | ++ | - | - | - | - |
| HLADH | - | ++ | ++ | ++ | ++ | + |
| TBADH | + | ++ | +++ | + | + | - |
| HSDH | - | - | + | ++ | ++ | +++ |
| CPDH | - | + | +++ | +++ | ++ | + |
| CHDH | - | + | +++ | ++ | +++ | + |
| Tested Strain | Glaxo Number | % Conversion to 6-alcohol (24 h) | Ratio | |
|---|---|---|---|---|
| endo- | exo- | endo-:exo- | ||
| Fermipan | 7 | 3 | 2.3:1 | |
| S.cerevisiae | C50 | 4 | 2 | 2:1 |
| S.cerevisiae | C1739 | 3 | 1 | 3:1 |
| Curvularia lunata | C2100 | 22 | trace | >22:1 |
| Mortierella ramanniana | C2506 | 32 | 0 | >32:1 |
| Rhodotorula rubra | C1768 | 26 | 10 | 2.6:1 |
| Sample Time (min) Post-Inoculation | % Conversion (rac)-ketone | |
|---|---|---|
| C. lunata | M. ramanianna | |
| 10 | 0.5 | 2 |
| 20 | 1 | 3 |
| 40 | 2 | 6 |
| 80 | 6 | 9 |
| 150 | 12 | 14 |
| 300 | 12 | 18 |
| Test Ketone | ADH | Cofactor Recycling Method | 6-endo-alcohol Product Formed | ||
|---|---|---|---|---|---|
| (Coupled- Substrate) | (Coupled- Enzyme) | +/− | e.e.% | ||
| (rac)-bicyclo[3.2.0]- | HLADH | NADH (ethanol) | + | <10% | |
| hept-2-en-6-one | |||||
| HSDH | NADH (G-6-DH) | + | <10% | ||
| TBADH | NADPH (propan-2-ol) | + | >95% | ||
| (rac)-7,7-dimethyl- bicyclo[3.2.0]hept- 2-en-6-one | HLADH | NADH (ethanol) | none detected | ||
| TBADH | NADPH (propan-2-ol) | none detected | |||
| HSDH | NADH (HLADH) | + | >95% | ||
| NADH (G-6-DH) | + | >95% | |||
| Tested Substituted (rac)-Bicyclo[3.2.0]hept-2-en-6-one Ketone | ||||||
|---|---|---|---|---|---|---|
| 1 | 2 | 3 | 4 | 5 | 6 | |
| Single-phase couple-substrate | ||||||
| Km | 80 | 7 | 1.8 | 50 | 10 | 4 |
| Vmax | 18 | 86 | 71 | 36 | 36 | 71 |
| [α]D | +4.7 | −190 | −155 | −145 | −377 | −151 |
| Single-phase coupled-enzyme | ||||||
| e.e. % | 8 | >90 | >95 | >95 | n.d. | n.d. |
| chirality | n.d. | (6S)- | (6S)- | (6S)- | n.d. | n.d. |
| Organic-Phase Solvent | Organic Solvent Parameters | % Bioreduction of the (rac)-Ketone by HSDH-YADH Coupled- Enzyme System in Two-Phase Media | |
|---|---|---|---|
| Polarity | Dielectric | ||
| Index | Constant | ||
| None | 68 | ||
| Octanol | 2.4 | 10.3 | 34 |
| Hexane | 0.1 | 1.9 | 25 |
| Chloroform | 4.1 | 4.8 | 12 |
| Ethyl acetate | 4.4 | 6.0 | 12 |
| Dichloromethane | 3.5 | 10.0 | 1 |
| Whole Cell Biocatalyst | Single-Phase System | Time (h) | Ketone | ||
|---|---|---|---|---|---|
| Yield % | e.e.% | Chirality | |||
| Washed cells | Water | 6 | 41 | 99 | (1S,5R) |
| Washed cells | Heptane | 6 | 49 | >99 | (1S,5R) |
| Immobilised cells | Heptane | 3 | 41 | >99 | (1S,5R) |
| Test Substrate | Biocatalyst (Washed Cells) | Recovered Products | ||
|---|---|---|---|---|
| Yield % | e.e.% | Chirality | ||
| (rac)-4-methyl- bicyclo[3.2.0]- heptenone | Bakers’s yeast | 30 17 | 96 >99 | (6S)-endo-ol (6S)-exo-ol |
| (rac)-1,4-dimethyl bicyclo[3.2.0]- heptenone | Bakers’s yeast | 37 47 | >99 >99 | (6S)-endo-ol (6S)-exo-ol |
| (rac)-4-methyl- bicyclo[3.2.0]- heptenol | Bacillus stearothermo- philus | 45 45 | 82 95 | (1R,5S)-one (6R)-endo-ol |
| (rac)-1,4-dimethyl bicyclo[3.2.0]- heptenol | Bacillus stearothermo- philus | 47 47 | 86 98 | (1R,5S)-one (6R)-endo-ol |
| Bicyclic Test Substrate | Time (h) | Medium | Products | ||
|---|---|---|---|---|---|
| Yield % | e.e.% | Chirality | |||
| (rac)-endo- bicyclo[3.2.0]- hept-2-en-6-ol | 18 | water | 43 | 98 | (1S,5R)-one |
| 52 | 92 | (6R)-endo-ol | |||
| 24 | water | 52 | 90 | (1S,5R)-one | |
| 47 | 97 | (6R)-endo-ol | |||
| 48 | water- heptane | 28 47 | >99 97 | (1S,5R)-one (6R)-endo-ol | |
| (rac)-bicyclo- [3.2.0]-hept-2- en-6-one | 36 | water | 54 | 62 | (1R,5S)-one |
| 43 | 92 | (6S)-endo-ol | |||
| 72 | water- heptane | 72 24 | 26 >99 | (1R,5S)-one (6S)-endo-ol | |
| Bicyclic Test Ketone | Whole Cell Biocatalyst | Recovered Products | |||
|---|---|---|---|---|---|
| (6S)-endo | (6R)-endo | (6R)-exo | (6S)-exo | ||
| Yield% e.e.% | Yield% e.e.% | Yield% e.e.% | Yield% e.e.% | ||
| S. cerevisiae RM1 | 27 70 | 4 38 | |||
| S. cerevisiae RM9 | 20 60 | 16 94 | |||
| S. cerevisiae ML31 | 52 16 | 3 >99 | |||
| (rac)-1 | Kluy. lactis | 32 76 | 5 8 | ||
| Pen. digitalum | 21 62 | 8 >99 | |||
| Rhiz. nigricans | 22 66 | 7 >99 | |||
| Trichoderma sp. | 32 72 | 3 >99 | |||
| S. cerevisiae RM1 | 60 60 | ||||
| (rac)-2 | S. cerevisiae RM9 | 54 50 | 9 >99 | ||
| Muc. spirescens | 43 20 | 2 >99 | |||
| Trichoderma sp. | 32 72 | 3 >99 | |||
| S. cerevisiae RM1 | 72 80 | 13 >99 | |||
| (rac)-3 | S. cerevisiae RM9 | 58 95 | 13 97 | ||
| Muc. spirescens | 70 70 | 15 >99 | |||
| Trichoderma sp. | 77 36 | 8 >99 | |||
| S. cerevisiae RM1 | 46 >99 | 12 >99 | |||
| (rac)-4 | S. cerevisiae RM74 | 3 >99 | 31 >99 | ||
| Fusarium sp. | 28 38 | 7 >99 | |||
| Trichoderma sp. | 16 98 | 21 >99 | |||
| Whole Cell Biocatalyst | Recovered Products | |||
|---|---|---|---|---|
| (1S,5R,6S)-endo-ol | (1R,5S,6S)-exo-ol | |||
| Yield % | e.e.% | Yield % | e.e.% | |
| Phomopsis FE86 | 30 | 95 | 20 | >99 |
| Pestalolta | 40 | 75 | 7 | >99 |
| Phomopsis F290 | 14 | 72 | 46 | >99 |
| Epicoccum | 55 | 74 | 14 | >99 |
| Sample Time (min) Post-Inoculation | % of the Assayed Sample (GC Peak Area) | ||
|---|---|---|---|
| Ketone | Alcohol | Lactone | |
| 30 | 85 | 12 | 0 |
| 60 | 65 | 31 | 2 |
| 90 | 44 | 51 | 3 |
| 120 | 39 | 56 | 3 |
| 150 | 20 | 75 | 4 |
| 300 | 60 | 25 | 13 |
| 600 | 55 | 20 | 23 |
| 960 | 50 | 6 | 43 |
| 1320 | 47 | 1 | 48 |
| Sample Time (min) Post-Inoculation | % of the Assayed Sample (GC Peak Area) | ||
|---|---|---|---|
| Ketone | Alcohol | Lactone | |
| 30 | 7 | 90 | 1 |
| 60 | 36 | 59 | 3 |
| 90 | 64 | 29 | 4 |
| 120 | 72 | 21 | 6 |
| 150 | 76 | 12 | 9 |
| 300 | 79 | 5 | 13 |
| 600 | 55 | 3 | 23 |
| 960 | 52 | 2 | 40 |
| 1320 | 46 | 1 | 49 |
| Time after Inoculation (h) | OD Culture (A500nm) | Specific Activity (U mg−1) | |
|---|---|---|---|
| Cyclohexanol | Cyclohexanone | ||
| Dehydrogenase | Monooxygenase | ||
| 0.5 | 0.03 | 0.45 | 0.06 |
| 1 | 0.10 | 0.90 | 0.15 |
| 2 | 0.21 | 1.05 | 0.33 |
| 3 | 0.33 | 1.14 | 0.42 |
| 4 | 0.45 | 0.91 | 0.45 |
| 5 | 0.88 | 0.57 | 0.67 |
| 6 | 1.04 | 0.18 | 0.93 |
| 7 | 1.13 | 0 | 0.36 |
| 8 | 1.18 | 0 | 0.14 |
| Substrate | Enzyme | Products e.e.% | Products Ratio (Conversion %) | |
|---|---|---|---|---|
| (+)-3-oxa | (+)-2-oxa | |||
| 2,5-DKCMO | >99 | 89 | 1:1.3 (100) | |
| (rac)-bicyclo- [3.2.0]ketone | ||||
| 3,6-DKCMO | 72 | 10 | 1:1.3 (100) | |
| % Composition of the Assayed Sample (GC Peak Area) | ||||
|---|---|---|---|---|
| Time (min) | 6-endo-ester | 6-endo-alcohol | Ketone | Lactones |
| 0 | 100 | 0 | 0 | 0 |
| 30 | 55 | 24 | 16 | 4 |
| 60 | 52 | 16 | 11 | 19 |
| 90 | 52 | 11 | 8 | 29 |
| 120 | 51 | 2 | 4 | 41 |
| Cycle | Time (Days) | Conversion (Total %) | e.e.% Lactones | |
|---|---|---|---|---|
| 3-oxa | 2-oxa | |||
| 1 | 1 | >99 | 98 | 72 |
| 2 | 1 | >99 | 97 | 72 |
| 3 | 1 | 97 | 97 | 71 |
| 4 | 1 | 89 | 95 | 72 |
| 5 | 1 | 75 | 97 | 70 |
| 6 | 1 | 60 | 95 | 68 |
| 7 | 1 | 38 | 94 | 69 |
| Recharge | ||||
| 8 | 1 | 92 | 95 | 70 |
| 9 | 1 | 68 | 94 | 68 |
| 10 | 1 | 50 | 93 | 63 |
| 11 | 1 | 38 | 93 | 62 |
| 12 | 1 | 21 | 92 | 60 |
| Cycle | Time (min) | Relative Activity (%) of the Co-Immobilised Enzymes (PDH + CHMO) |
|---|---|---|
| Pre-cycle | 0 | 100 |
| 1 | 60 | 100 |
| 2 | 120 | 39 |
| 3 | 180 | 20 |
| 4 | 240 | 12 |
| 5 | 300 | 8 |
| BVMO Tested | (rac)-Ketone Biotransformed (%) | Chiral 2-Oxa-lactone | |
|---|---|---|---|
| Yield | e.e.% | ||
| CHMOArthro CHMOBrevi-1 | 89 69 | 59 | n.d. n.d. |
| CHMO(MO14) | 57 | 0 | n.d. |
| CHMORhodo | 100 | 25 | >99 |
Disclaimer/Publisher’s Note: The statements, opinions and data contained in all publications are solely those of the individual author(s) and contributor(s) and not of MDPI and/or the editor(s). MDPI and/or the editor(s) disclaim responsibility for any injury to people or property resulting from any ideas, methods, instructions or products referred to in the content. |
© 2023 by the author. Licensee MDPI, Basel, Switzerland. This article is an open access article distributed under the terms and conditions of the Creative Commons Attribution (CC BY) license (https://creativecommons.org/licenses/by/4.0/).
Share and Cite
Willetts, A. Bicyclo[3.2.0]carbocyclic Molecules and Redox Biotransformations: The Evolution of Closed-Loop Artificial Linear Biocatalytic Cascades and Related Redox-Neutral Systems. Molecules 2023, 28, 7249. https://doi.org/10.3390/molecules28217249
Willetts A. Bicyclo[3.2.0]carbocyclic Molecules and Redox Biotransformations: The Evolution of Closed-Loop Artificial Linear Biocatalytic Cascades and Related Redox-Neutral Systems. Molecules. 2023; 28(21):7249. https://doi.org/10.3390/molecules28217249
Chicago/Turabian StyleWilletts, Andrew. 2023. "Bicyclo[3.2.0]carbocyclic Molecules and Redox Biotransformations: The Evolution of Closed-Loop Artificial Linear Biocatalytic Cascades and Related Redox-Neutral Systems" Molecules 28, no. 21: 7249. https://doi.org/10.3390/molecules28217249
APA StyleWilletts, A. (2023). Bicyclo[3.2.0]carbocyclic Molecules and Redox Biotransformations: The Evolution of Closed-Loop Artificial Linear Biocatalytic Cascades and Related Redox-Neutral Systems. Molecules, 28(21), 7249. https://doi.org/10.3390/molecules28217249

