Chemometric Approach Based on Explainable AI for Rapid Assessment of Macronutrients in Different Organic Fertilizers Using Fusion Spectra
Abstract
1. Introduction
2. Results and Discussion
2.1. Descriptive Analysis
2.2. LIBS and Vis-NIR Spectra
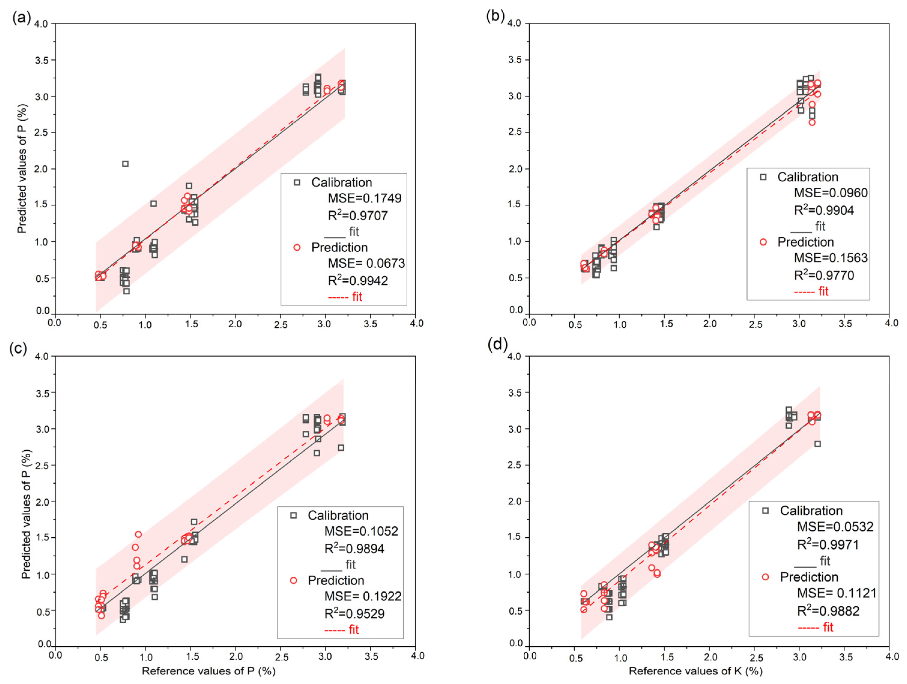
2.3. Prediction of P and K Using Full Spectra
2.4. Prediction of PK with the Selected Wavelength of LIBS and Vis-NIR, and Their FUSION
2.5. Discussion
3. Material and Methods
3.1. Samples
3.2. Chemical Reference Values Measurement through ICP-MS
3.3. Spectral Measurement and Preprocessing
3.3.1. LIBS Measurement and Preprocessing
3.3.2. Vis-NIR Measurement and Preprocessing
3.4. Chemometrics
3.4.1. Conventional Machine Learning
3.4.2. Ensemble Machine Learning
3.5. Wavelength Selection through Shapley Additive Explanation Values
3.6. Data Fusion Approach
4. Conclusions
Author Contributions
Funding
Institutional Review Board Statement
Informed Consent Statement
Data Availability Statement
Conflicts of Interest
References
- Kang, Y.; Hao, Y.; Shen, M.; Zhao, Q.; Li, Q.; Hu, J. Impacts of supplementing chemical fertilizers with organic fertilizers manufactured using pig manure as a substrate on the spread of tetracycline resistance genes in soil. Ecotoxicol. Environ. Saf. 2016, 130, 279–288. [Google Scholar] [CrossRef] [PubMed]
- Nadarajan, S.; Sukumaran, S. Chapter 12—Chemistry and toxicology behind chemical fertilizers. In Controlled Release Fertilizers for Sustainable Agriculture; Lewu, F.B., Volova, T., Thomas, S., KR, R., Eds.; Academic Press: New York, NY, USA, 2021; pp. 195–229. [Google Scholar]
- Puckett, L.J. Identifying the major sources of nutrient water pollution. Environ. Sci. Technol. 1995, 29, 408A–414A. [Google Scholar] [CrossRef]
- Butler, H.J.; Adams, S.; McAinsh, M.R.; Martin, F.L. Detecting nutrient deficiency in plant systems using synchrotron Fourier-transform infrared microspectroscopy. Vib. Spectrosc. 2017, 90, 46–55. [Google Scholar] [CrossRef]
- Huang, J.; Glaesner, N.; Triolo, J.; Bekiaris, G.; Bruun, S.; Liu, F. Application of Fourier transform mid-infrared photoacoustic spectroscopy for rapid assessment of phosphorus availability in digestates and digestate-amended soils. Sci. Total Environ. 2022, 832, 155040. [Google Scholar] [CrossRef] [PubMed]
- Markiewicz-Keszycka, M.; Cama-Moncunill, X.; Casado-Gavalda, M.P.; Dixit, Y.; Cama-Moncunill, R.; Cullen, P.J.; Sullivan, C. Laser-induced breakdown spectroscopy (LIBS) for food analysis: A review. Trends Food Sci. Technol. 2017, 65, 80–93. [Google Scholar] [CrossRef]
- Zhao, Y.; Guindo, M.L.; Xu, X.; Sun, M.; Peng, J.; Liu, F.; He, Y. Deep learning associated with laser-induced breakdown spectroscopy (LIBS) for the prediction of lead in soil. Appl. Spectrosc. 2019, 73, 565–573. [Google Scholar] [CrossRef]
- Nicolodelli, G.; Cabral, J.; Menegatti, C.R.; Marangoni, B.; Senesi, G.S. Recent advances and future trends in LIBS applications to agricultural materials and their food derivatives: An overview of developments in the last decade (2010–2019). Part I. Soils and fertilizers. TrAC Trends Anal. Chem. 2019, 115, 70–82. [Google Scholar] [CrossRef]
- Guindo, M.L.; Kabir, M.H.; Chen, R.; Liu, F. Potential of Vis-NIR to measure heavy metals in different varieties of organic-fertilizers using Boruta and deep belief network. Ecotoxicol. Environ. Saf. 2021, 228, 112996. [Google Scholar] [CrossRef]
- Bellon-Maurel, V.; Fernandez-Ahumada, E.; Palagos, B.; Roger, J.-M.; McBratney, A. Critical review of chemometric indicators commonly used for assessing the quality of the prediction of soil attributes by NIR spectroscopy. TrAC Trends Anal. Chem. 2010, 29, 1073–1081. [Google Scholar] [CrossRef]
- Kabir, M.H.; Guindo, M.L.; Chen, R.; Liu, F. Geographic origin discrimination of millet using Vis-NIR spectroscopy combined with machine learning techniques. Foods 2021, 10, 2767. [Google Scholar] [CrossRef]
- Zhang, B.; Ling, P.; Sha, W.; Jiang, Y.; Cui, Z. Univariate and multivariate analysis of phosphorus element in fertilizers using laser-induced breakdown spectroscopy. Sensors 2019, 19, 1727. [Google Scholar] [CrossRef] [PubMed]
- Nicolodelli, G.; Senesi, G.S.; de Oliveira Perazzoli, I.L.; Marangoni, B.S.; De Melo Benites, V.; Milori, D.M.B.P. Double pulse laser induced breakdown spectroscopy: A potential tool for the analysis of contaminants and macro/micronutrients in organic mineral fertilizers. Sci. Total Environ. 2016, 565, 1116–1123. [Google Scholar] [CrossRef] [PubMed]
- Sha, W.; Li, J.; Xiao, W.; Ling, P.; Lu, C. Quantitative analysis of elements in fertilizer using laser-induced breakdown spectroscopy coupled with support vector regression model. Sensors 2019, 19, 3277. [Google Scholar] [CrossRef]
- Lin, Z.; Wang, R.; Wang, Y.; Wang, L.; Lu, C.; Liu, Y.; Zhang, Z.; Zhu, L. Accurate and rapid detection of soil and fertilizer properties based on visible/near-infrared spectroscopy. Appl. Opt. 2018, 57, D69–D73. [Google Scholar] [CrossRef] [PubMed]
- Shen, J.; Qiao, W.; Chen, H.; Zhou, J.; Liu, F. Application of visible/near infrared spectrometers to quickly detect the nitrogen, phosphorus, and potassium content of chemical fertilizers. Appl. Sci. 2021, 11, 5103. [Google Scholar] [CrossRef]
- Zhang, Y.; Hartemink, A.E. Data fusion of vis–NIR and PXRF spectra to predict soil physical and chemical properties. Eur. J. Soil Sci. 2020, 71, 316–333. [Google Scholar] [CrossRef]
- Sanaeifar, A.; Li, X.; He, Y.; Huang, Z.; Zhan, Z. A data fusion approach on confocal Raman microspectroscopy and electronic nose for quantitative evaluation of pesticide residue in tea. Biosyst. Eng. 2021, 210, 206–222. [Google Scholar] [CrossRef]
- Sánchez-Esteva, S.; Knadel, M.; Kucheryavskiy, S.; de Jonge, L.W.; Rubæk, G.H.; Hermansen, C.; Heckrath, G. Combining Laser-Induced Breakdown Spectroscopy (LIBS) and Visible Near-Infrared Spectroscopy (Vis-NIRS) for Soil Phosphorus Determination. Sensors 2020, 20, 5419. [Google Scholar] [CrossRef]
- Bricklemyer, R.S.; Brown, D.J.; Turk, P.J.; Clegg, S. Comparing vis–NIRS, LIBS, and combined vis–NIRS-LIBS for intact soil core soil carbon measurement. Soil Sci. Soc. Am. J. 2018, 82, 1482–1496. [Google Scholar] [CrossRef]
- Wang, H.; Zhang, P.; Xu, Z.; Cheng, W.; Li, X.; Yang, Y.; Wu, Y.; Wang, Q. An authenticity method for determining hybrid rice varieties using fusion of LIBS and NIRS. Microw. Opt. Technol. Lett. 2022, 1–10. [Google Scholar] [CrossRef]
- Ercioglu, E.; Velioglu, H.M.; Boyaci, I.H. Chemometric evaluation of discrimination of aromatic plants by Using NIRS, LIBS. Food Anal. Methods 2018, 11, 1656–1667. [Google Scholar] [CrossRef]
- Jiménez-Luna, J.; Grisoni, F.; Schneider, G. Drug discovery with explainable artificial intelligence. Nat. Mach. Intell. 2020, 2, 573–584. [Google Scholar] [CrossRef]
- Zhang, Y.; Weng, Y.; Lund, J. Applications of Explainable Artificial Intelligence in Diagnosis and Surgery. Diagnostics 2022, 12, 237. [Google Scholar] [CrossRef] [PubMed]
- Bussmann, N.; Giudici, P.; Marinelli, D.; Papenbrock, J. Explainable AI in fintech risk management. Front. Artif. Intell. 2020, 3, 26. [Google Scholar] [CrossRef] [PubMed]
- Brito, L.C.; Susto, G.A.; Brito, J.N.; Duarte, M.A. An explainable artificial intelligence approach for unsupervised fault detection and diagnosis in rotating machinery. Mech. Syst. Signal Process. 2022, 163, 108105. [Google Scholar] [CrossRef]
- Kaur, H.; Künnemeyer, R.; McGlone, A. Correction of temperature variation with independent water samples to predict soluble solids content of kiwifruit juice using NIR spectroscopy. Molecules 2022, 27, 504. [Google Scholar] [CrossRef] [PubMed]
- Dib, S.R.; Senesi, G.S.; Gomes Neto, J.A.; Ribeiro, C.A.; Ferreira, E.C. Phosphorous determination in biochar-based fertilizers by spark discharge-laser-induced breakdown spectroscopy. Chemosensors 2021, 9, 337. [Google Scholar] [CrossRef]
- Liao, S.Y.; Wu, X.L.; Li, G.H.; Wei, M.; Zhang, M. Quantitative analysis of P in Fertilizer by laser-induced breakdown spectroscopy with multivariate nonlinear method. Spectrosc. Spectr. Anal. 2018, 38, 271–275. [Google Scholar]
- Song, W.; Hou, Z.; Gu, W.; Afgan, M.S.; Cui, J.; Wang, H.; Wang, Y.; Wang, Z. Incorporating domain knowledge into machine learning for laser-induced breakdown spectroscopy quantification. Spectrochim. Acta Part B At. Spectrosc. 2022, 195, 106490. [Google Scholar] [CrossRef]
- Geurts, P.; Ernst, D.; Wehenkel, L. Extremely randomized trees. Mach. Learn. 2006, 63, 3–42. [Google Scholar] [CrossRef]
- Scalzo, F.; Hamilton, R.; Asgari, S.; Kim, S.; Hu, X. Intracranial hypertension prediction using extremely randomized decision trees. Med. Eng. Phys. 2012, 34, 1058–1065. [Google Scholar] [CrossRef] [PubMed]
- Ahmad, M.W.; Reynolds, J.; Rezgui, Y. Predictive modelling for solar thermal energy systems: A comparison of support vector regression, random forest, extra trees and regression trees. J. Clean. Prod. 2018, 203, 810–821. [Google Scholar] [CrossRef]
- Adadi, A.; Berrada, M. Peeking inside the black-box: A survey on explainable artificial intelligence (XAI). IEEE Access 2018, 6, 52138–52160. [Google Scholar] [CrossRef]
- Gholizadeh, A.; Saberioon, M.; Ben-Dor, E.; Rossel, R.A.V.; Borůvka, L. Modelling potentially toxic elements in forest soils with vis–NIR spectra and learning algorithms. Environ. Pollut. 2020, 267, 115574. [Google Scholar] [CrossRef]
- Mohamed, E.S.; Baroudy, A.A.E.; El-beshbeshy, T.; Emam, M.; Belal, A.A.; Elfadaly, A.; Aldosari, A.A.; Ali, A.M.; Lasaponara, R. Vis-NIR spectroscopy and satellite landsat-8 OLI data to map soil nutrients in arid conditions: A Case Study of the Northwest Coast of Egypt. Remote Sens. 2020, 12, 3716. [Google Scholar] [CrossRef]
- Marangoni, B.S.; Silva, K.S.G.; Nicolodelli, G.; Senesi, G.S.; Cabral, J.S.; Villas-Boas, P.R.; Silva, C.S.; Teixeira, P.C.; Nogueira, A.R.A.; Benites, V.M.; et al. Phosphorus quantification in fertilizers using laser induced breakdown spectroscopy (LIBS): A methodology of analysis to correct physical matrix effects. Anal. Methods 2016, 8, 78–82. [Google Scholar] [CrossRef]
- Samek, O.; Krzyžánek, V.; Beddows, D.C.S.; Telle, H.H.; Kaiser, J.; Liška, M. Material Identification Using Laser Spectroscopy and Pattern Recognition Algorithms. In Proceedings of the International Conference on Computer Analysis of Images and Patterns, Warsaw, Poland, 5–7 September 2001; Springer: Berlin/Heidelberg, Germany, 2001; pp. 443–450. [Google Scholar]
- Vervack, R.J.; McClintock, W.E.; Killen, R.M.; Sprague, A.L.; Anderson, B.J.; Burger, M.H.; Bradley, E.T.; Mouawad, N.; Solomon, S.C.; Izenberg, N.R. Mercury’s Complex Exosphere: Results from MESSENGER’s Third Flyby. Science 2010, 329, 672–675. [Google Scholar] [CrossRef] [PubMed]
- Fageria, V.D. Nutrient interactions in crop plants. J. Plant Nutr. 2001, 24, 1269–1290. [Google Scholar] [CrossRef]
- Weih, M.; Liu, H.; Colombi, T.; Keller, T.; Jäck, O.; Vallenback, P.; Westerbergh, A. Evidence for magnesium–phosphorus synergism and co-limitation of grain yield in wheat agriculture. Sci. Rep. 2021, 11, 9012. [Google Scholar] [CrossRef]
- Martin, W.C. Atomic Energy Levels and Spectra of Neutral and Singly Ionized Phosphorus (P i and P ii). J. Opt. Soc. Am. 1959, 49, 1071–1085. [Google Scholar] [CrossRef]
- Leffler, T.; Brackmann, C.; Weng, W.; Gao, Q.; Aldén, M.; Li, Z. Experimental investigations of potassium chemistry in premixed flames. Fuel 2017, 203, 802–810. [Google Scholar] [CrossRef]
- Dai, Y.; Song, C.; Gao, X.; Chen, A.; Hao, Z.; Lin, J. Quantitative determination of Al–Cu–Mg–Fe–Ni aluminum alloy using laser-induced breakdown spectroscopy combined with LASSO–LSSVM regression. J. Anal. At. Spectrom. 2021, 36, 1634–1642. [Google Scholar] [CrossRef]
- Liang, J.; Li, M.; Du, Y.; Yan, C.; Zhang, Y.; Zhang, T.; Zheng, X.; Li, H. Data fusion of laser induced breakdown spectroscopy (LIBS) and infrared spectroscopy (IR) coupled with random forest (RF) for the classification and discrimination of compound salvia miltiorrhiza. Chemom. Intell. Lab. Syst. 2020, 207, 104179. [Google Scholar] [CrossRef]
- Gholizadeh, A.; Borůvka, L.; Saberioon, M.; Vašát, R. A Memory-based learning approach as compared to other data mining algorithms for the prediction of soil texture using diffuse reflectance spectra. Remote Sens. 2016, 8, 341. [Google Scholar] [CrossRef]
- Guidotti, R.; Monreale, A.; Ruggieri, S.; Turini, F.; Giannotti, F.; Pedreschi, D. A survey of methods for explaining black box models. ACM Comput. Surv. (CSUR) 2018, 51, 1–42. [Google Scholar] [CrossRef]
- Lundberg, S.M.; Erion, G.; Chen, H.; DeGrave, A.; Prutkin, J.M.; Nair, B.; Katz, R.; Himmelfarb, J.; Bansal, N.; Lee, S.-I. From local explanations to global understanding with explainable AI for trees. Nat. Mach. Intell. 2020, 2, 56–67. [Google Scholar] [CrossRef]
- Trumbelj, E.; Kononenko, I. Explaining prediction models and individual predictions with feature contributions. Knowl. Inf. Syst. 2013, 41, 647–665. [Google Scholar] [CrossRef]
- Ribeiro, M.T.; Singh, S.; Guestrin, C. “Why should i trust you?” Explaining the predictions of any classifier. In Proceedings of the 22nd ACM SIGKDD International Conference on Knowledge Discovery and Data Mining, San Francisco, CA, USA, 13–17 August 2016; pp. 1135–1144. [Google Scholar]






| Calibration | Prediction | ||||||
|---|---|---|---|---|---|---|---|
| Data | Elements | Models | R2c | RMSEc | R2p | RMSEp | RPD |
| LIBS | P | SVR | 0.9774 | 0.1535 | 0.9736 | 0.1439 | 6.15 |
| P | PLSR | 0.9547 | 0.2174 | 0.8787 | 0.3086 | 2.87 | |
| P | EXTRA | 0.9707 | 0.1749 | 0.9942 | 0.0673 | 13.15 | |
| K | SVR | 0.9618 | 0.1918 | 0.8430 | 0.4086 | 2.52 | |
| K | PLSR | 0.7406 | 0.4998 | 0.8379 | 0.4152 | 2.48 | |
| K | EXTRA | 0.9904 | 0.0960 | 0.9770 | 0.1563 | 6.59 | |
| Vis-NIR | P | SVR | 0.9849 | 0.1255 | 0.9466 | 0.2047 | 4.32 |
| P | PLSR | 0.9806 | 0.1424 | 0.9008 | 0.2790 | 3.17 | |
| P | EXTRA | 0.9894 | 0.1052 | 0.9529 | 0.1922 | 4.60 | |
| K | SVR | 0.9866 | 0.1135 | 0.9722 | 0.1719 | 5.99 | |
| K | PLSR | 0.9862 | 0.1152 | 0.8894 | 0.3429 | 3.00 | |
| K | EXTRA | 0.9971 | 0.0532 | 0.9882 | 0.1121 | 9.19 | |
| Calibration | Prediction | ||||||
|---|---|---|---|---|---|---|---|
| Data | Elements | Models | R2c | RMSEc | R2p | RMSEp | RPD |
| LIBS-Shap | P | SVR | 0.9806 | 0.1423 | 0.9732 | 0.1450 | 6.11 |
| P | PLSR | 0.9369 | 0.2566 | 0.8812 | 0.3054 | 2.90 | |
| P | EXTRA | 0.9843 | 0.1282 | 0.9943 | 0.0668 | 13.26 | |
| K | SVR | 0.9798 | 0.1396 | 0.9500 | 0.2306 | 4.47 | |
| K | PLSR | 0.8729 | 0.3498 | 0.7987 | 0.4626 | 2.22 | |
| K | EXTRA | 0.9967 | 0.0562 | 0.9870 | 0.1177 | 8.75 | |
| Vis-NIR-Shap | P | SVR | 0.9881 | 0.1114 | 0.9605 | 0.1762 | 5.02 |
| P | PLSR | 0.9564 | 0.2134 | 0.8531 | 0.3396 | 2.60 | |
| P | EXTRA | 0.9961 | 0.0637 | 0.9719 | 0.1486 | 5.96 | |
| K | SVR | 0.9917 | 0.0893 | 0.9838 | 0.1311 | 7.86 | |
| K | PLSR | 0.9832 | 0.1273 | 0.8871 | 0.3465 | 2.97 | |
| K | EXTRA | 0.9981 | 0.0429 | 0.9941 | 0.0792 | 13.01 | |
| FUSION | P | SVR | 0.9843 | 0.1280 | 0.9784 | 0.1416 | 6.48 |
| P | PLSR | 0.9664 | 0.1873 | 0.9046 | 0.2737 | 3.23 | |
| P | EXTRA | 0.9909 | 0.0975 | 0.9946 | 0.0649 | 13.65 | |
| K | SVR | 0.9915 | 0.0903 | 0.9872 | 0.1168 | 8.82 | |
| K | PLSR | 0.9746 | 0.1564 | 0.8838 | 0.3515 | 2.93 | |
| K | EXTRA | 0.9966 | 0.0576 | 0.9976 | 0.0508 | 20.28 |
Disclaimer/Publisher’s Note: The statements, opinions and data contained in all publications are solely those of the individual author(s) and contributor(s) and not of MDPI and/or the editor(s). MDPI and/or the editor(s) disclaim responsibility for any injury to people or property resulting from any ideas, methods, instructions or products referred to in the content. |
© 2023 by the authors. Licensee MDPI, Basel, Switzerland. This article is an open access article distributed under the terms and conditions of the Creative Commons Attribution (CC BY) license (https://creativecommons.org/licenses/by/4.0/).
Share and Cite
Guindo, M.L.; Kabir, M.H.; Chen, R.; Huang, J.; Liu, F.; Li, X.; Fang, H. Chemometric Approach Based on Explainable AI for Rapid Assessment of Macronutrients in Different Organic Fertilizers Using Fusion Spectra. Molecules 2023, 28, 799. https://doi.org/10.3390/molecules28020799
Guindo ML, Kabir MH, Chen R, Huang J, Liu F, Li X, Fang H. Chemometric Approach Based on Explainable AI for Rapid Assessment of Macronutrients in Different Organic Fertilizers Using Fusion Spectra. Molecules. 2023; 28(2):799. https://doi.org/10.3390/molecules28020799
Chicago/Turabian StyleGuindo, Mahamed Lamine, Muhammad Hilal Kabir, Rongqin Chen, Jing Huang, Fei Liu, Xiaolong Li, and Hui Fang. 2023. "Chemometric Approach Based on Explainable AI for Rapid Assessment of Macronutrients in Different Organic Fertilizers Using Fusion Spectra" Molecules 28, no. 2: 799. https://doi.org/10.3390/molecules28020799
APA StyleGuindo, M. L., Kabir, M. H., Chen, R., Huang, J., Liu, F., Li, X., & Fang, H. (2023). Chemometric Approach Based on Explainable AI for Rapid Assessment of Macronutrients in Different Organic Fertilizers Using Fusion Spectra. Molecules, 28(2), 799. https://doi.org/10.3390/molecules28020799

