Synthesis, Optical Properties, and Fluorescence Cell Imaging of Novel Mixed Fluorinated Subphthalocyanines
Abstract
1. Introduction
2. Results and Discussion
2.1. Synthesis of SubPcs
2.2. Mass Spectra
2.3. NMR Spectra
2.4. UV/Vis Absorption and Emission
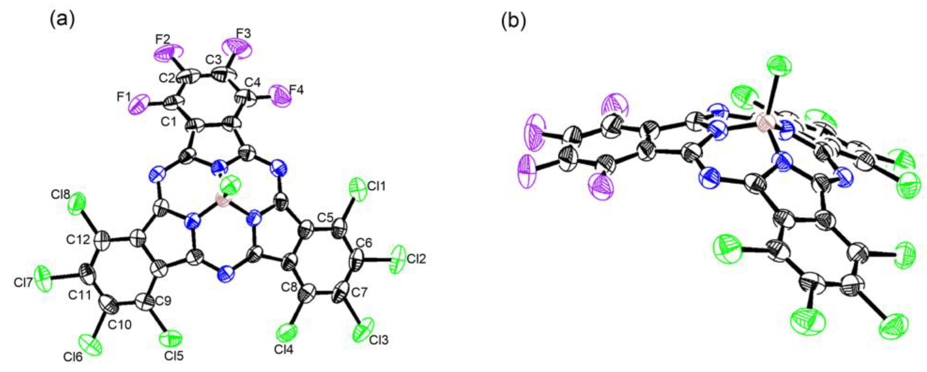
2.5. Crystal Structure
2.6. Electrochemistry
2.7. Molecular Orbital Calculations
2.8. Cell Fluorescence Imaging
3. Materials and Methods
4. Conclusions
Supplementary Materials
Author Contributions
Funding
Institutional Review Board Statement
Informed Consent Statement
Data Availability Statement
Conflicts of Interest
References
- Meller, A.; Ossko, A. Phthalocyaninartige Bor-Komplexe. Monatsh. Chem. 1972, 103, 150–155. [Google Scholar] [CrossRef]
- Claessens, C.G.; González-Rodríguez, D.; Torres, T. Subphthalocyanines: Singular nonplanar aromatic compounds-synthesis, reactivity, and physical properties. Chem. Rev. 2002, 102, 835–854. [Google Scholar] [CrossRef]
- Claessens, C.G.; González-Rodríguez, D.; Rodríguez-Morgade, M.S.; Medina, A.; Torres, T. Subphthalocyanines, subporphyrazines, and subporphyrins: Singular nonplanar aromatic systems. Chem. Rev. 2014, 114, 2192–2277. [Google Scholar] [CrossRef] [PubMed]
- Kasuga, K.; Idehara, T.; Handa, M.; Ueda, Y.; Fujiwara, T.; Isa, K. Structure and some properties of (Alkoxo) (subphthalocyaninato) boron III. Bull. Chem. Soc. Jpn. 1996, 69, 2559–2563. [Google Scholar] [CrossRef]
- Huang, X.S.; Hu, M.; Zhao, X.H.; Li, C.; Yuan, Z.Y.; Liu, X.; Cai, C.S.; Zhang, Y.D.; Hu, Y.; Chen, Y.W. Subphthalocyanine triimides: Solution processable bowl-shaped acceptors for bulk heterojunction solar cells. Org. Lett. 2019, 21, 3382–3386. [Google Scholar] [CrossRef] [PubMed]
- Josey, D.S.; Nyikos, S.R.; Garner, R.K.; Dovijarski, A.; Castrucci, J.S.; Wang, J.M.; Evans, G.J.; Bender, T.P. Outdoor performance and stability of boron subphthalocyanines applied as electron acceptors in fullerene-free organic photovoltaics. ACS Energy Lett. 2017, 2, 726–732. [Google Scholar] [CrossRef]
- Winckel, E.; Mascaraque, M.; Zamarrón, A.; Juarranz de la Fuente, Á.; Torres, T.; Escosura, A. Dual role of subphthalocyanine dyes for optical imaging and therapy of cancer. Adv. Funct. Mater. 2018, 28, 1705938. [Google Scholar] [CrossRef]
- Demuth, J.; Gallego, L.; Kozlikova, M.; Machacek, M.; Kucera, R.; Torres, T.; Martinez-Diaz, M.V.; Novakova, V. Subphthalocyanines as efficient photosensitizers with nanomolar photodynamic activity against cancer cells. J. Med. Chem. 2021, 64, 17436–17447. [Google Scholar] [CrossRef]
- Dubbert, J.; Hoing, A.; Riek, N.; Knauer, S.K.; Voskuhl, J. Supramolecular subphthalocyanine complexes-cellular uptake and phototoxicity. Chem. Commun. 2020, 56, 7653–7656. [Google Scholar] [CrossRef] [PubMed]
- Arockiam, J.B.; Park, J.S. Fluorescence turn-on chemodosimetric sensing of cyanide by cyanovinylterpyridine modified phthalonitrile and subphthalocyanine. Spectrochim. Acta A Mol. Biomol. Spectrosc. 2019, 207, 112–117. [Google Scholar] [CrossRef]
- Li, Y.; Xu, S.; Li, X.; Chen, K.C.; Tian, H. An axial subphthalocyanine as ratiometric fluoride ion sensor. Chem. Lett. 2007, 36, 664–665. [Google Scholar] [CrossRef]
- Ros-Lis, J.V.; Martínez-Máñez, R.; Soto, J. Subphthalocyanines as fluoro-chromogenic probes for anions and their application to the highly selective and sensitive cyanide detection. Chem. Commun. 2005, 14, 5260–5262. [Google Scholar] [CrossRef] [PubMed]
- Duan, C.H.; Zango, G.; García Iglesias, M.; Colberts, F.J.M.; Wienk, M.M.; Martínez-Díaz, M.V.; Janssen, R.A.; Torres, T. The role of the axial substituent in subphthalocyanine acceptors for bulk-heterojunction solar cells. Angew. Chem. Int. Ed. 2017, 56, 148–152. [Google Scholar] [CrossRef]
- Guilleme, J.; Martínez-Fernández, L.; Corral, I.; Yáñez, M.; González-Rodríguez, D.; Torres, T. Direct access to axially substituted subphthalocyanines from trimethylsilyl-protected nucleophiles. Org. Lett. 2015, 17, 4722–4725. [Google Scholar] [CrossRef] [PubMed]
- Chan, J.Y.M.; Kawata, T.; Kobayashi, N.; Ng, D.K.P. Boron(III) carbazosubphthalocyanines: Core-expanded antiaromatic boron(III) subphthalocyanine analogues. Angew. Chem. Int. Ed. 2019, 58, 2272–2277. [Google Scholar] [CrossRef]
- Shimizu, S.; Nakano, S.; Kojima, A.; Kobayashi, N. A core-expanded subphthalocyanine analogue with a significantly distorted conjugated surface and unprecedented properties. Angew. Chem. Int. Ed. 2014, 53, 2408–2412. [Google Scholar] [CrossRef]
- Wang, Y.M.; Uchihara, K.; Mori, S.; Furuta, H.; Shimizu, S. 1,3-Dithiole-2-one-Fused subphthalocyanine and subporphyrazine: Synthesis and properties arising from the 1,3-Dithiole-2-one Units. Org. Lett. 2019, 21, 3103–3107. [Google Scholar] [CrossRef]
- Huang, T.D.; Chen, H.; Feng, J.J.; Zhang, A.D.; Jiang, W.; He, F.; Wang, Z.H. Rylene annulated subphthalocyanine: A Promising cone-shaped non-fullerene acceptor for organic solar cells. ACS Mater. Lett. 2019, 1, 404–409. [Google Scholar] [CrossRef]
- Shimizu, S.; Miura, A.; Khene, S.; Nyokong, T.; Kobayashi, N. Chiral 1,2-Subnaphthalocyanines. J. Am. Chem. Soc. 2011, 133, 17322–17328. [Google Scholar] [CrossRef]
- Zhao, L.Y.; Wang, K.; Furuyama, T.; Jiang, J.Z.; Kobayashi, N. Synthesis and spectroscopic properties of chiral binaphthyl-linked subphthalocyanines. Chem. Commun. 2014, 50, 7663–7665. [Google Scholar] [CrossRef]
- Mayoral, M.J.; Guilleme, J.; Calbo, J.; Aragó, J.; Aparicio, F.; Ortí, E.; Torres, T.; González-Rodríguez, D. Dual-mode chiral self-assembly of cone-shaped subphthalocyanine aromatics. J. Am. Chem. Soc. 2020, 142, 21017–21031. [Google Scholar] [CrossRef] [PubMed]
- Winterfeld, K.A.; Lavarda, G.; Guilleme, J.; Guldi, D.M.; Torres, T.; Bottari, G. Subphthalocyanine-tetracyanobuta-1,3-diene-aniline conjugates: Stereoisomerism and photophysical properties. Chem. Sci. 2019, 10, 10997–11005. [Google Scholar] [CrossRef] [PubMed]
- González-Rodríguez, D.; Torres, T. Peripheral functionalization of subphthalocyanines. Eur. J. Org. Chem. 2009, 12, 1871–1879. [Google Scholar] [CrossRef]
- González-Rodríguez, D.; Martínez-Díaz, M.V.; Abel, J.; Perl, A.; Huskens, J.; Echegoyen, L.; Torres, T. Self-assembled monolayers of subphthalocyanines on gold substrates. Org. Lett. 2010, 12, 2970–2973. [Google Scholar] [CrossRef]
- González-Rodríguez, D.; Torres, T.; Herranz, M.A.; Echegoyen, L.; Carbonell, E.; Guldi, D.M. Screening electronic communication through ortho-, meta- and para-substituted linkers separating subphthalocyanines and C60. Chem. Eur. J. 2008, 14, 7670–7679. [Google Scholar] [CrossRef] [PubMed]
- Shimizu, S.; Nakano, S.; Hosoya, T.; Kobayashi, N. Pyrene-fused subphthalocyanine. Chem. Commun. 2011, 47, 316–318. [Google Scholar] [CrossRef] [PubMed]
- McAuliffe, K.J.; Kaster, M.A.; Szlag, R.G.; Trivedi, E.R. Low-symmetry mixed fluorinated subphthalocyanines as fluorescence imaging probes in MDA-MB-231 breast tumor cells. Int. J. Mol. Sci. 2017, 18, 1177. [Google Scholar] [CrossRef]
- Skvortsov, I.A.; Nikitin, I.A.; Lazovskiy, D.A.; Stuzhin, P.A. Low-symmetry phenyl substituted pyrazine analogues of subphthalocyanine type dyes. Dyes Pigments 2022, 202, 110282. [Google Scholar] [CrossRef]
- Tejerina, L.; Martinez-Díaz, M.V.; Torres, T. One-Pot Synthesis of π-Extended Fluorenone-Fused Subphthalocyanines. Org. Lett. 2019, 21, 2908–2912. [Google Scholar] [CrossRef]
- Wang, Y.M.; Mori, S.; Furuta, H.; Shimizu, S. Bis(1,3-dithiol-2-ylidene)-Substituted subtriazachlorin: A subphthalocyanine analogue with redox properties. Angew. Chem. Int. Ed. 2019, 58, 10975–10979. [Google Scholar] [CrossRef]
- Sejdarasi, L.; McAuliffe, K.J.; Corbin, B.A.; Trivedi, E.R. Synthesis and characterization of mixed fluorinated phenylthio-subphthalocyanines. Chemistryselect 2017, 2, 7417–7420. [Google Scholar] [CrossRef]
- Caldwell, R.A.; Jacobs, L.D.; Furlani, T.R.; Nalley, E.A.; Laboy, J. Conformationally dependent heavy atom effect of chlorine on alkene triplet lifetimes. J. Am. Chem. Soc. 1992, 114, 1623–1625. [Google Scholar] [CrossRef]
- Healy, E.F.; Manzer, S.; Gorman, J.; Jones, A.; Cristea, N. A dramatic heavy-atom effect in the quenching of dichlorosubstituted lucigenin fluorescence. Chem. Phys. Lett. 2010, 485, 258–261. [Google Scholar] [CrossRef]
- Moreno-Simoni, M.; Torres, T.; de la Torre, G. Subphthalocyanine capsules: Molecular reactors for photoredox transformations of fullerenes. Chem. Sci. 2022, 13, 9249–9255. [Google Scholar] [CrossRef] [PubMed]
- Liebold, M.; Sharikow, E.; Seikel, E.; Trombach, L.; Harms, K.; Zimcik, P.; Novakova, V.; Tonner, R.; Sundermeyer, J. An experimental and computational study on isomerically pure, soluble azaphthalocyanines and their complexes and boron azasubphthalocyanines of a varying number of aza units. Org. Biomol. Chem. 2018, 16, 6586–6599. [Google Scholar] [CrossRef]
- Morse, G.E.; Maka, J.F.; Lough, A.J.; Bender, T.P. Bromido(dodecafluorosubphthalo-cyaninato) boron (III). Acta Crystallogr. Sect. E Struct. Rep. Online 2010, 66, o3057–o3058. [Google Scholar] [CrossRef]
- Skvortsov, I.A.; Kovkova, U.P.; Zhabanov, Y.A.; Khodov, I.A.; Somov, N.V.; Pakhomov, G.L.; Stuzhin, P.A. Subphthalocyanine-type dye with enhanced electron affinity: Effect of combined azasubstitution and peripheral chlorination. Dyes Pigments 2021, 1855, 108944. [Google Scholar] [CrossRef]
- Morse, G.E.; Gong, I.; Kawar, Y.; Lough, A.J.; Bender, T.P. Crystal and Solid-State Arrangement Trends of Halogenated Boron Subphthalocyanines. Cryst. Growth Des. 2014, 14, 2138–2147. [Google Scholar] [CrossRef]
- Claessens, C.G.; Torres, T. Synthesis, Separation, and Characterization of the Topoisomers of Fused Bicyclic Subphthalocyanine Dimers. Angew. Chem. Int. Ed. 2002, 41, 2561–2565. [Google Scholar] [CrossRef]
- Biyiklioglu, Z.; Ozturk, I.; Arslan, T.; Tunçel, A.; Ocakoglu, K.; Hosgor-Limoncu, M.; Yurt, F. Synthesis and antimicrobial photodynamic activities of axially {4-[(1E)-3-oxo-3-(2-thienyl) prop-1-en-1-yl] phenoxy} groups substituted silicon phthalocyanine, subphthalocyanine on Gram-positive and Gram-negative bacteria. Dyes Pigments 2019, 166, 149–158. [Google Scholar] [CrossRef]
- Casellas, N.M.; Dai, G.; Xue, E.Y.; Fonseca, A.; Ng, D.K.P.; Garcia-Iglesias, M.; Torres, T. A self-assembled subphthalocyanine-based nanophotosensitiser for photodynamic therapy. Chem. Commun. 2022, 58, 669–672. [Google Scholar] [CrossRef] [PubMed]
- Sheldrick, G.M. Experimental phasing with SHELXC/D/E: Combining chain tracing with density modification. Acta Crystallogr. Sect. D Biol. Crystallogr. 2010, 66, 479–485. [Google Scholar] [CrossRef] [PubMed]
- Yoshioka, S.; Inokuma, Y.; Hoshino, M.; Sato, T.; Fujita, M. Absolute structure determination of compounds with axial and planar chirality using the crystalline sponge method. Chem. Sci. 2015, 6, 3765–3768. [Google Scholar] [CrossRef] [PubMed]
- Sheldrick, G.M. Crystal structure refinement with SHELXL. Acta Crystallogr. Sect. C Struct. Chem. 2015, 71, 3–8. [Google Scholar] [CrossRef]






| Oxidation | Reduction | H-L(V) b | ||||
|---|---|---|---|---|---|---|
| 1st | 1st | 2nd | 3rd | ∆ER a | ||
| 5 | 1.49 | −0.53 | −0.74 | −1.06 | 0.21 | 2.02 |
| 6 | 1.52 | −0.53 | −1.12 | −1.63 | 0.59 | 2.05 |
| 7 | 1.40 | −0.73 | −1.21 | 0.48 | 2.13 | |
Disclaimer/Publisher’s Note: The statements, opinions and data contained in all publications are solely those of the individual author(s) and contributor(s) and not of MDPI and/or the editor(s). MDPI and/or the editor(s) disclaim responsibility for any injury to people or property resulting from any ideas, methods, instructions or products referred to in the content. |
© 2023 by the authors. Licensee MDPI, Basel, Switzerland. This article is an open access article distributed under the terms and conditions of the Creative Commons Attribution (CC BY) license (https://creativecommons.org/licenses/by/4.0/).
Share and Cite
Zhou, S.; Lv, X.; Li, M.; Gao, Z.; Tu, S.; Qiao, S.; Mo, M.; Tang, X.; Wang, Y.; Sun, S. Synthesis, Optical Properties, and Fluorescence Cell Imaging of Novel Mixed Fluorinated Subphthalocyanines. Molecules 2023, 28, 725. https://doi.org/10.3390/molecules28020725
Zhou S, Lv X, Li M, Gao Z, Tu S, Qiao S, Mo M, Tang X, Wang Y, Sun S. Synthesis, Optical Properties, and Fluorescence Cell Imaging of Novel Mixed Fluorinated Subphthalocyanines. Molecules. 2023; 28(2):725. https://doi.org/10.3390/molecules28020725
Chicago/Turabian StyleZhou, Shutong, Xiaojuan Lv, Minghui Li, Zijian Gao, Shengnan Tu, Shanshan Qiao, Mengjia Mo, Xu Tang, Yemei Wang, and Shasha Sun. 2023. "Synthesis, Optical Properties, and Fluorescence Cell Imaging of Novel Mixed Fluorinated Subphthalocyanines" Molecules 28, no. 2: 725. https://doi.org/10.3390/molecules28020725
APA StyleZhou, S., Lv, X., Li, M., Gao, Z., Tu, S., Qiao, S., Mo, M., Tang, X., Wang, Y., & Sun, S. (2023). Synthesis, Optical Properties, and Fluorescence Cell Imaging of Novel Mixed Fluorinated Subphthalocyanines. Molecules, 28(2), 725. https://doi.org/10.3390/molecules28020725
