The Transfer Hydrogenation of Cinnamaldehyde Using Homogeneous Cobalt(II) and Nickel(II) (E)-1-(Pyridin-2-yl)-N-(3-(triethoxysilyl)propyl)methanimine and the Complexes Anchored on Fe3O4 Support as Pre-Catalysts: An Experimental and In Silico Approach
Abstract
1. Introduction
2. Results and Discussion
2.1. Syntheses and Characterization of the Ligand and Homogeneous Pre-Catalysts
Crystal Structure Determination of C1
2.2. Characterization of Magnetite and the Supported Pre-Catalysts
2.3. Catalytic Evaluation
2.3.1. Effect of Temperature on Catalyst Activity and Selectivity of C1, C2, Fe3O4@C1 and Fe3O4@C2
2.3.2. Catalyst Reusability Studies
Recyclability of Pre-Catalysts C1, C2, Fe3O4@C1 and Fe3O4@C2
Characterization of the Used Fe3O4@C1 and Fe3O4@C2
2.3.3. Metal Leaching and Homogeneity Tests
Homogeneity Studies for Pre-Catalysts C1 and C2
Leaching Test for Pre-Catalyst Fe3O4@C1 and Fe3O4@C2
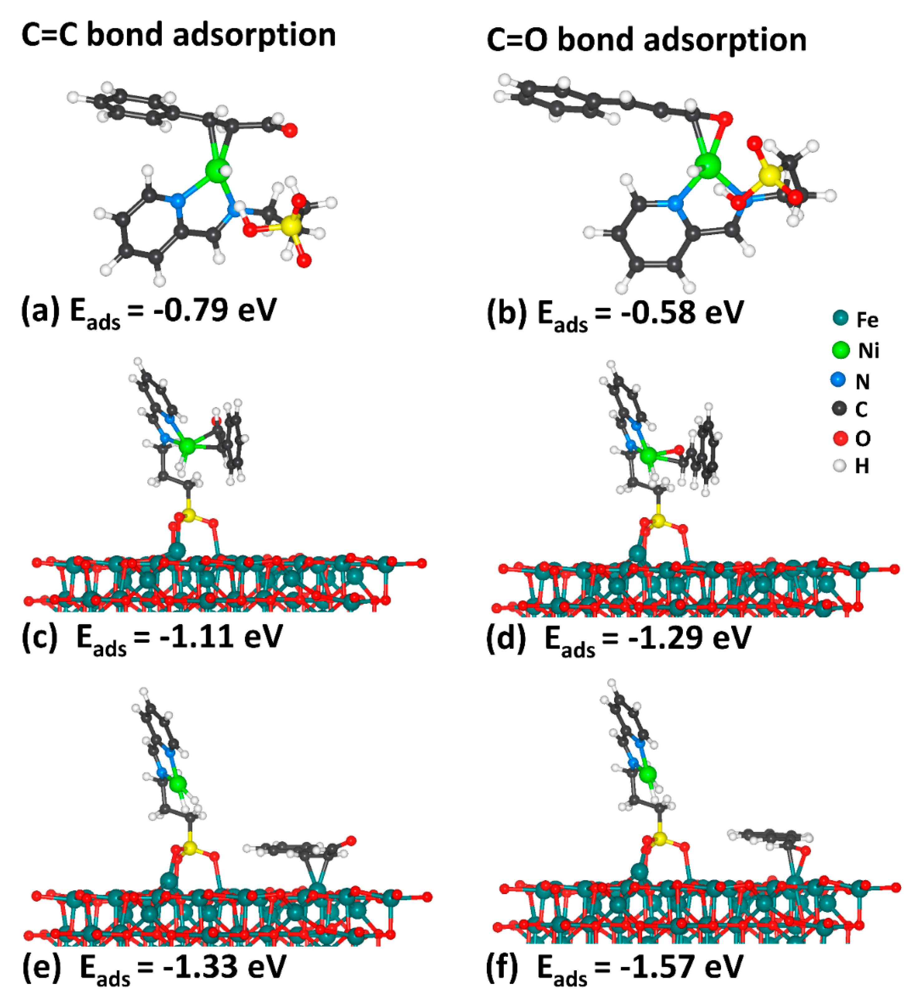
2.3.4. In Silico Studies of the Selectivity of the Catalysts
3. Materials and Methods
3.1. Characterization Techniques
3.2. Synthesis of (E)-1-(Pyridin-2-yl)-N-(3-(triethoxysilyl)propyl) Methanimino Cobalt Chloride (C1)
3.3. Synthesis of the Supported Catalysts Fe3O4@C1 and Fe3O4@C2
3.4. Catalytic Selectivity and Activity Tests
Transfer Hydrogenations Studies
3.5. Computational Details
4. Conclusions
Supplementary Materials
Author Contributions
Funding
Institutional Review Board Statement
Informed Consent Statement
Data Availability Statement
Acknowledgments
Conflicts of Interest
References
- Sobhani, S.; Ramezani, Z. Synthesis of Arylphosphonates Catalyzed by Pd-Imino-Py-γ-Fe2O3 as a New Magnetically Recyclable Heterogeneous Catalyst in Pure Water without Requiring Any Additive. RSC Adv. 2016, 6, 29237–29244. [Google Scholar] [CrossRef]
- Michalska, Z.M.; Webster, D.E. Supported Homogeneous Catalysts. Chem. Tech. 1975, 117–122. [Google Scholar] [CrossRef]
- Sobhani, S.; Falatooni, Z.M.; Asadi, S.; Honarmand, M. Palladium-Schiff Base Complex Immobilized Covalently on Magnetic Nanoparticles as an Efficient and Recyclable Catalyst for Heck and Suzuki Cross-Coupling Reactions. Catal. Lett. 2016, 146, 255–268. [Google Scholar] [CrossRef]
- Jiang, F.; Cai, J.; Liu, B.; Xu, Y.; Liu, X. Particle Size Effects in the Selective Hydrogenation of Cinnamaldehyde over Supported Palladium Catalysts. RSC Adv. 2016, 6, 75541–75551. [Google Scholar] [CrossRef]
- Ide, M.S.; Hao, B.; Neurock, M.; Davis, R.J. Mechanistic Insights on the Hydrogenation of α,β-Unsaturated Ketones and Aldehydes to Unsaturated Alcohols over Metal Catalysts. ACS Catal. 2012, 2, 671–683. [Google Scholar] [CrossRef]
- Liu, H.; Li, Z.; Li, Y. Chemoselective Hydrogenation of Cinnamaldehyde over a Pt-Lewis Acid Collaborative Catalyst under Ambient Conditions. Ind. Eng. Chem. Res. 2015, 54, 1487–1497. [Google Scholar] [CrossRef]
- López-Linares, F.; Gonzalez, M.G.; Páez, D.E. The Regioselective Biphasic Hydrogenation of Trans-Cinnaldehyde by Meta Sulfonatophenyl-Diphenylphosphine (TPPMS) Ru(II) and Os(II) Species. The Influence of Ionic Strength, Ligand Tensoactivity and Metal Nature in the Selective Production of the Unsatura. J. Mol. Catal. A Chem. 1999, 145, 61–68. [Google Scholar] [CrossRef]
- Chen, Z.; Chen, J.; Li, Y. Metal–Organic-Framework-Based Catalysts for Hydrogenation Reactions. Chin. J. Catal. 2017, 38, 1108–1126. [Google Scholar] [CrossRef]
- Kostas, I.D.; Antonopoulou, G.; Potamitis, C.; Raptopoulou, C.P.; Psycharis, V. Platinum Complexes with a Methoxy-Amino Phosphine or a Nitrogen-Containing Bis(Phosphine) Ligand. Synthesis, Characterization and Application to Hydrogenation of Trans-Cinnamaldehyde. J. Organomet. Chem. 2017, 828, 133–141. [Google Scholar] [CrossRef]
- Zhang, L.; Chen, X.; Peng, Z.; Liang, C. Chemoselective Hydrogenation of Cinnamaldehyde over MOFs-Derived M2Si@C (M = Fe, Co, Ni) Silicides Catalysts. Mol. Catal. 2018, 449, 14–24. [Google Scholar] [CrossRef]
- Bhogeswararao, S.; Srinivas, D. Chemoselective Hydrogenation of Cinnamaldehyde over Pd/CeO2-ZrO2 Catalysts. Catal. Lett. 2010, 140, 55–64. [Google Scholar] [CrossRef]
- Li, R.; Yao, W.; Jin, Y.; Jia, W.; Chen, X.; Chen, J.; Zheng, J.; Hu, Y.; Han, D.; Zhao, J. Selective Hydrogenation of the C=C Bond in Cinnamaldehyde over an Ultra-Small Pd-Ag Alloy Catalyst. Chem. Eng. J. 2018, 351, 995–1005. [Google Scholar] [CrossRef]
- Wu, B.; Huang, H.; Yang, J.; Zheng, N.; Fu, G. Selective Hydrogenation of α,β-Unsaturated Aldehydes Catalyzed by Amine-Capped Platinum-Cobalt Nanocrystals. Angew. Chem. Int. Ed. 2012, 51, 3440–3443. [Google Scholar] [CrossRef] [PubMed]
- Chai, M.; Liu, X.; Li, L.; Pei, G.; Ren, Y.; Su, Y.; Cheng, H.; Wang, A.; Zhang, T. SiO2-Supported Au-Ni Bimetallic Catalyst for the Selective Hydrogenation of Acetylene. Cuihua Xuebao/Chin. J. Catal. 2017, 38, 1338–1346. [Google Scholar] [CrossRef]
- Lv, X.; Zhang, L.; Xing, F.; Lin, H. Controlled Synthesis of Monodispersed Mesoporous Silica Nanoparticles: Particle Size Tuning and Formation Mechanism Investigation. Microporous Mesoporous Mater. 2016, 225, 238–244. [Google Scholar] [CrossRef]
- Leng, F.; Gerber, I.C.; Axet, M.R.; Serp, P. Selectivity Shifts in Hydrogenation of Cinnamaldehyde on Electron-Deficient Ruthenium Nanoparticles. C. R. Chim. 2018, 21, 346–353. [Google Scholar] [CrossRef]
- Feng, X.; Chen, J.L.; Bai, R.F.; Wang, L.Y.; Wei, J.T.; Chen, X.X. Two Unique Cobalt-Organic Frameworks Based on Substituted Imidazole-Dicarboxylate and Dipyridyl-Type Ancillary Ligands: Crystal Structures and Magnetic Properties. Inorg. Chem. Commun. 2016, 66, 41–46. [Google Scholar] [CrossRef]
- Feng, X.; Liu, J.; Li, J.; Ma, L.F.; Wang, L.Y.; Ng, S.W.; Qin, G.Z. Series of Coordination Polymers Based on 4-(5-Sulfo-Quinolin-8-Yloxy) Phthalate and Bipyridinyl Coligands: Structure Diversity and Properties. J. Solid State Chem. 2015, 230, 80–89. [Google Scholar] [CrossRef]
- Kumar, K.; Godeto, T.; Darkwa, J. Tandem Ethylene Dimerization and Friedel-Crafts Alkylation of Toluene Catalyzed by Homo- and Heterogeneous Nickel(II) and Palladium(II) Pre-Catalysts. J. Organomet. Chem. 2016, 818, 137–144. [Google Scholar] [CrossRef]
- Griffith, G.W. Quantitation of Silanol in Silicones by FTIR Spectroscopy. Ind. Eng. Chem. Prod. Res. Dev. 1984, 23, 590–593. [Google Scholar] [CrossRef]
- da Silva, F.P.; Rossi, L.M. Palladium on Magnetite: Magnetically Recoverable Catalyst for Selective Hydrogenation of Acetylenic to Olefinic Compounds. Tetrahedron 2014, 70, 3314–3318. [Google Scholar] [CrossRef]
- Jin, X.; Zhang, K.; Sun, J.; Wang, J.; Dong, Z.; Li, R. Magnetite Nanoparticles Immobilized Salen Pd (II) as a Green Catalyst for Suzuki Reaction. Catal. Commun. 2012, 26, 199–203. [Google Scholar] [CrossRef]
- GHORBANI-VAGHEI, R.; HEMMATI, S.; HEKMATI, M. Pd Immobilized on Modified Magnetic Fe3O4 Nanoparticles: Magnetically Recoverable and Reusable Pd Nanocatalyst for Suzuki-Miyaura Coupling Reactions and Ullmann-Type N-Arylation of Indoles. J. Chem. Sci. 2016, 128, 1157–1162. [Google Scholar] [CrossRef]
- Halligudra, G.; Paramesh, C.C.; Mudike, R.; Ningegowda, M.; Rangappa, D.; Shivaramu, P.D. PdII on Guanidine-Functionalized Fe3O4 Nanoparticles as an Efficient Heterogeneous Catalyst for Suzuki–Miyaura Cross-Coupling and Reduction of Nitroarenes in Aqueous Media. ACS Omega 2021, 6, 34416–34428. [Google Scholar] [CrossRef] [PubMed]
- Lara, L.R.S.; Zottis, A.D.; Elias, W.C.; Faggion, D.; Maduro de Campos, C.E.; Acuña, J.J.S.; Domingos, J.B. The Catalytic Evaluation of in Situ Grown Pd Nanoparticles on the Surface of Fe3O4@dextran Particles in the P-Nitrophenol Reduction Reaction. RSC Adv. 2015, 5, 8289–8296. [Google Scholar] [CrossRef]
- Shard, A.G. Practical Guides for X-ray Photoelectron Spectroscopy: Quantitative XPS. J. Vac. Sci. Technol. A 2020, 38, 041201. [Google Scholar] [CrossRef]
- Biesinger, M.C.; Hart, B.R.; Polack, R.; Kobe, B.A.; Smart, R.S.C. Analysis of Mineral Surface Chemistry in Flotation Separation Using Imaging XPS. Miner. Eng. 2007, 20, 152–162. [Google Scholar] [CrossRef]
- Liang, H.-W.; Wei, W.; Wu, Z.-S.; Feng, X.; Müllen, K. Mesoporous Metal–Nitrogen-Doped Carbon Electrocatalysts for Highly Efficient Oxygen Reduction Reaction. J. Am. Chem. Soc. 2013, 135, 16002–16005. [Google Scholar] [CrossRef]
- Casanovas, J.; Ricart, J.M.; Rubio, J.; Illas, F.; Jiménez-Mateos, J.M. Origin of the Large N 1s Binding Energy in X-ray Photoelectron Spectra of Calcined Carbonaceous Materials. J. Am. Chem. Soc. 1996, 118, 8071–8076. [Google Scholar] [CrossRef]
- Zhao, P.; Nie, H.; Yu, J.; Wang, J.; Cheng, G. A Facile Synthesis of Porous N-Doped Carbon with Hybridization of Fe3C Nanoparticle-Encased CNTs for an Advanced Oxygen Reduction Reaction Electrocatalyst. Inorg. Chem. Front. 2018, 5, 2546–2553. [Google Scholar] [CrossRef]
- Yamashita, T.; Hayes, P. Analysis of XPS Spectra of Fe2+ and Fe3+ Ions in Oxide Materials. Appl. Surf. Sci. 2008, 254, 2441–2449. [Google Scholar] [CrossRef]
- Zhang, Y.C.; Tang, J.Y.; Hu, X.Y. Controllable Synthesis and Magnetic Properties of Pure Hematite and Maghemite Nanocrystals from a Molecular Precursor. J. Alloys Compd. 2008, 462, 24–28. [Google Scholar] [CrossRef]
- He, H.; Zhong, Y.; Liang, X.; Tan, W.; Zhu, J.; Wang, C.Y. Natural Magnetite: An Efficient Catalyst for the Degradation of Organic Contaminant. Sci. Rep. 2015, 5, 10139. [Google Scholar] [CrossRef] [PubMed]
- Wang, W.; Xie, Y.; Zhang, S.; Liu, X.; Haruta, M.; Huang, J. Selective Hydrogenation of Cinnamaldehyde Catalyzed by ZnO-Fe2O3 Mixed Oxide Supported Gold Nanocatalysts. Catalysts 2018, 8, 60. [Google Scholar] [CrossRef]
- Chen, Y.Z.; Wei, S.W.; Wu, K.J. Effect of Promoter on Selective Hydrogenation of α,β-Unsaturated Aldehydes over Cobalt Borides. Appl. Catal. A Gen. 1993, 99, 85–96. [Google Scholar] [CrossRef]
- Ponec, V. On the Role of Promoters in Hydrogenations on Metals; α, β-Unsaturated Aldehydes and Ketones. Appl. Catal. A Gen. 1997, 149, 27–48. [Google Scholar] [CrossRef]
- Patel, A.; Patel, K. Tetranuclear Mn(II) Substituted Sandwich Complex as a Recyclable Homogeneous Catalyst for Selective Oxidation of Styrene to Benzaldehyde: Effect of Reaction Parameters and Kinetics. Inorg. Chim. Acta 2014, 419, 130–134. [Google Scholar] [CrossRef]
- Chernyshev, V.M.; Astakhov, A.V.; Chikunov, I.E.; Tyurin, R.V.; Eremin, D.B.; Ranny, G.S.; Khrustalev, V.N.; Ananikov, V.P. Pd and Pt Catalyst Poisoning in the Study of Reaction Mechanisms: What Does the Mercury Test Mean for Catalysis? ACS Catal. 2019, 9, 2984–2995. [Google Scholar] [CrossRef]
- Oklu, N.K.; Makhubela, B.C.E. Highly Selective and Efficient Solvent-Free Transformation of Bio-Derived Levulinic Acid to γ-Valerolactone by Ru (II) Arene Catalyst Precursors. Inorg. Chim. Acta 2018, 482, 460–468. [Google Scholar] [CrossRef]
- Gruber-Woelfler, H.; Radaschitz, P.F.; Feenstra, P.W.; Haas, W.; Khinast, J.G. Synthesis, Catalytic Activity, and Leaching Studies of a Heterogeneous Pd-Catalyst Including an Immobilized Bis(Oxazoline) Ligand. J. Catal. 2012, 286, 30–40. [Google Scholar] [CrossRef]
- Kresse, G.; Hafner, J. Ab Initio Molecular Dynamics for Liquid Metals. Phys. Rev. B Condens. Matter 1993, 47, 558–561. [Google Scholar] [CrossRef]
- Kresse, G.; Hafner, J. Ab Initio Molecular-Dynamics Simulation of the Liquid-Metal-Amorphous-Semiconductor Transition in Germanium. Phys. Rev. B Condens. Matter 1994, 49, 14251–14269. [Google Scholar] [CrossRef] [PubMed]
- Kresse, G.; Furthmüller, J. Efficient Iterative Schemes for Ab Initio Total-Energy Calculations Using a Plane-Wave Basis Set. Phys. Rev. B Condens. Matter 1996, 54, 11169–11186. [Google Scholar] [CrossRef] [PubMed]
- Perdew, J.P.; Burke, K.; Ernzerhof, M. Generalized Gradient Approximation Made Simple. Phys. Rev. Lett. 1996, 77, 3865–3868. [Google Scholar] [CrossRef] [PubMed]
- Dudarev, S.L.; Botton, G.A.; Savrasov, S.Y.; Humphreys, C.J.; Sutton, A.P. Electron-Energy-Loss Spectra and the Structural Stability of Nickel Oxide: An LSDA+U Study. Phys. Rev. B 1998, 57, 1505–1509. [Google Scholar] [CrossRef]
- Anisimov, V.I.V.I.; Korotin, M.A.; Zaanen, J.; Andersen, O.K. Spin Bags, Polarons, and Impurity Potentials in La2-XSrxCuO4 from First Principles. Phys. Rev. Lett. 1992, 68, 345–348. [Google Scholar] [CrossRef]
- Santos-Carballal, D.; Roldan, A.; Grau-Crespo, R.; de Leeuw, N.H. A DFT Study of the Structures, Stabilities and Redox Behaviour of the Major Surfaces of Magnetite Fe3O4. Phys. Chem. Chem. Phys. 2014, 16, 21082–21097. [Google Scholar] [CrossRef] [PubMed]
- Grimme, S.; Antony, J.; Ehrlich, S.; Krieg, H. A Consistent and Accurate Ab Initio Parametrization of Density Functional Dispersion Correction (DFT-D) for the 94 Elements H-Pu. J. Chem. Phys. 2010, 132, 154104. [Google Scholar] [CrossRef]
- Monkhorst, H.J.; Pack, J.D. Special Points for Brillouin-Zone Integrations. Phys. Rev. B 1976, 13, 5188–5192. [Google Scholar] [CrossRef]












| (a) | ||||||
| Identification Code | C1 | |||||
| Empirical formula | C30H52Cl2CoN4O6Si2 | |||||
| Formula weight | 750.76 | |||||
| Temperature/K | 150.00(10) | |||||
| Crystal system | monoclinic | |||||
| Space group | P21/c | |||||
| a/Å | 19.0910(7) | |||||
| b/Å | 12.7328(4) | |||||
| c/Å | 17.5010(6) | |||||
| α/° | 90 | |||||
| β/° | 115.307(5) | |||||
| γ/° | 90 | |||||
| Volume/Å3 | 3845.9(3) | |||||
| Z | 4 | |||||
| ρcalcmg/mm3 | 1.297 | |||||
| μ/mm−1 | 0.69 | |||||
| F(000) | 1588 | |||||
| 2Θ range for data collection | 5.15 to 61.856° | |||||
| Index ranges | −26 ≤ h ≤ 26, −17 ≤ k ≤ 16, −23 ≤ l ≤ 23 | |||||
| Reflections collected | 65540 | |||||
| Independent reflections | 8989[R(int) = 0.1308] | |||||
| Data/restraints/parameters | 8989/0/406 | |||||
| Goodness-of-fit on F2 | 0.969 | |||||
| Final R indexes [I >= 2σ (I)] | R1 = 0.0391, wR2 = 0.0799 | |||||
| Final R indexes [all data] | R1 = 0.0642, wR2 = 0.0871 | |||||
| Largest diff. peak/hole/e Å−3 | 0.43/−0.31 | |||||
| (b) | ||||||
| Atom | Atom | Length/Å | Atom | Atom | Atom | Angle/˚ |
| Co1 | N1 | 2.1808(12) | N1 | Co1 | N2 | 76.82(5) |
| Co1 | N2 | 2.1332(12) | N1 | Co1 | N3 | 169.36(5) |
| Co1 | N4 | 2.1361(12) | N3 | Co1 | N4 | 76.80(5) |
| Co1 | N3 | 2.1660(13) | ||||
| Entry | Cat | Temp (°C) | Conv (%) | TOF | Selectivity (%) | ||
|---|---|---|---|---|---|---|---|
| HCAL | COL | HCOL | |||||
| 1 | C2 | 40 | 0.0 | 0 | 0.0 | 0.0 | 0.0 |
| 2 | C2 | 60 | 49.1 | 20.45 | 87.3 | 0.0 | 12.7 |
| 3 | C2 | 80 | 75.3 | 31.37 | 87.1 | 0.0 | 12.9 |
| 4 | C2 | 100 | 82.9 | 34.54 | 86.9 | 0.0 | 13.1 |
| 5 | C2 | 120 | 89.9 | 37.45 | 92.6 | 0.0 | 7.40 |
| 6 | C1 | 80 | 38.5 | 16.04 | 91.9 | 0.0 | 8.11 |
| 7 | C1 | 100 | 43.3 | 18.04 | 89.8 | 0.0 | 10.2 |
| 8 | C1 | 120 | 48.8 | 20.33 | 88.7 | 0.0 | 11.3 |
| 9 * | Fe3O4@C2 | 100 | 86.5 | 4.282 | 12.9 | 87.1 | 0.0 |
| 10 * | Fe3O4@C2 | 120 | 99.8 | 4.940 | 12.3 | 87.7 | 0.0 |
| 11 * | Fe3O4@C2 | 140 | 100 | 4.950 | 11.9 | 88.1 | 0.0 |
| 12 * | Fe3O4@C1 | 120 | 68.7 | 3.454 | 10.2 | 89.7 | 0.0 |
| 13 * | Fe3O4@C1 | 140 | 73.9 | 3.848 | 9.1 | 90.9 | 0.0 |
| 14 | Fe3O4 | 120 | 0.0 | 0 | 0.0 | 0.0 | 0.0 |
Disclaimer/Publisher’s Note: The statements, opinions and data contained in all publications are solely those of the individual author(s) and contributor(s) and not of MDPI and/or the editor(s). MDPI and/or the editor(s) disclaim responsibility for any injury to people or property resulting from any ideas, methods, instructions or products referred to in the content. |
© 2023 by the authors. Licensee MDPI, Basel, Switzerland. This article is an open access article distributed under the terms and conditions of the Creative Commons Attribution (CC BY) license (https://creativecommons.org/licenses/by/4.0/).
Share and Cite
Sejie, F.P.; Oyetunji, O.A.; Darkwa, J.; Beas, I.N.; Makhubela, B.C.E.; Dzade, N.Y.; de Leeuw, N.H. The Transfer Hydrogenation of Cinnamaldehyde Using Homogeneous Cobalt(II) and Nickel(II) (E)-1-(Pyridin-2-yl)-N-(3-(triethoxysilyl)propyl)methanimine and the Complexes Anchored on Fe3O4 Support as Pre-Catalysts: An Experimental and In Silico Approach. Molecules 2023, 28, 659. https://doi.org/10.3390/molecules28020659
Sejie FP, Oyetunji OA, Darkwa J, Beas IN, Makhubela BCE, Dzade NY, de Leeuw NH. The Transfer Hydrogenation of Cinnamaldehyde Using Homogeneous Cobalt(II) and Nickel(II) (E)-1-(Pyridin-2-yl)-N-(3-(triethoxysilyl)propyl)methanimine and the Complexes Anchored on Fe3O4 Support as Pre-Catalysts: An Experimental and In Silico Approach. Molecules. 2023; 28(2):659. https://doi.org/10.3390/molecules28020659
Chicago/Turabian StyleSejie, Fortunate P., Olayinka A. Oyetunji, James Darkwa, Isaac N. Beas, Banothile C. E. Makhubela, Nelson Y. Dzade, and Nora H. de Leeuw. 2023. "The Transfer Hydrogenation of Cinnamaldehyde Using Homogeneous Cobalt(II) and Nickel(II) (E)-1-(Pyridin-2-yl)-N-(3-(triethoxysilyl)propyl)methanimine and the Complexes Anchored on Fe3O4 Support as Pre-Catalysts: An Experimental and In Silico Approach" Molecules 28, no. 2: 659. https://doi.org/10.3390/molecules28020659
APA StyleSejie, F. P., Oyetunji, O. A., Darkwa, J., Beas, I. N., Makhubela, B. C. E., Dzade, N. Y., & de Leeuw, N. H. (2023). The Transfer Hydrogenation of Cinnamaldehyde Using Homogeneous Cobalt(II) and Nickel(II) (E)-1-(Pyridin-2-yl)-N-(3-(triethoxysilyl)propyl)methanimine and the Complexes Anchored on Fe3O4 Support as Pre-Catalysts: An Experimental and In Silico Approach. Molecules, 28(2), 659. https://doi.org/10.3390/molecules28020659

