Chlorambucil-Bearing Hybrid Molecules in the Development of Potential Anticancer Agents
Abstract
1. Introduction
2. Cancer Update
3. Hybrid Drug Strategy for the Treatment of Cancer
4. About Chlorambucil
5. Chlorambucil-Based Hybrid Compounds with Anticancer Activity
5.1. Chlorambucil–Estradiol Hybrids
5.2. Chlorambucil–Tyrosine Hybrids
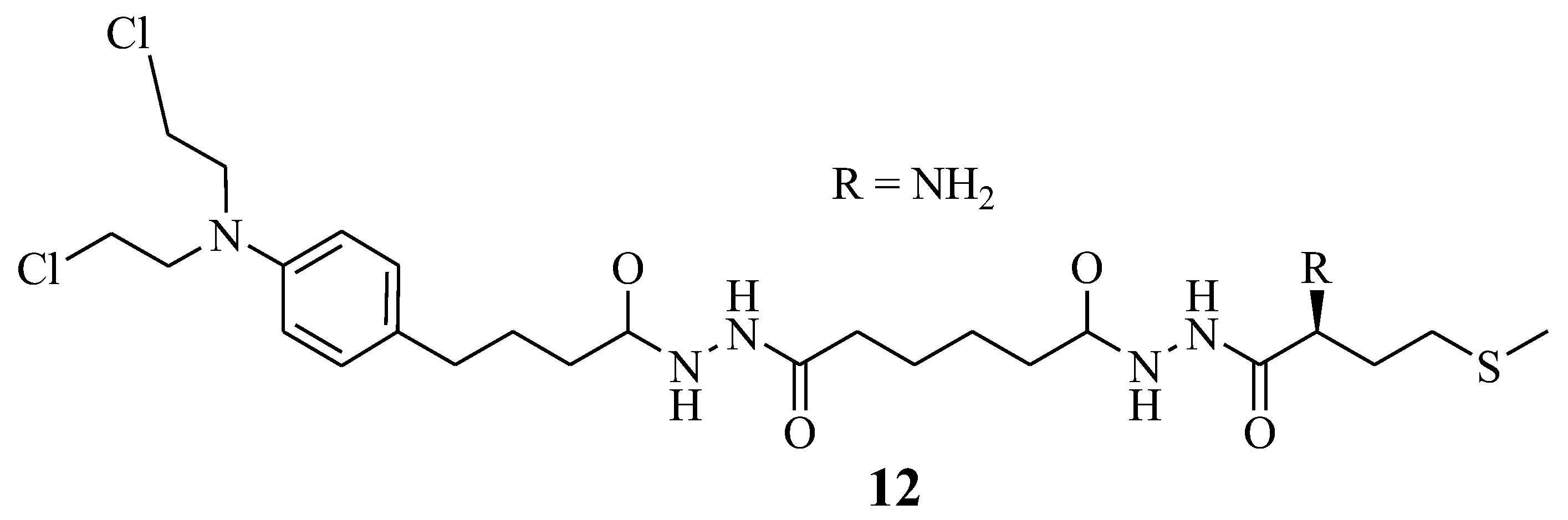
5.3. Chlorambucil–Methionine Hybrid
5.4. Chlorambucil–7α-Testosterone Hybrid
5.5. Chlorambucil–Platinum Hybrids
5.6. Chlorambucil Hybridized with Long-Chained Hydrocarbons and Fluorocarbon Chains
5.7. Chlorambucil–Asparagine Hybrid
5.8. Chlorambucil–Lipid Hybrids
5.9. Chlorambucil Hybridized with DNA/ HDAC Inhibitors
5.10. Chlorambucil–Triphenylphosphonium Hybrids
5.11. Chlorambucil–Honokiol Hybrid
5.12. Chlorambucil–Polyamide Hybrids
5.13. Chlorambucil–Phenosafranin Hybrid
5.14. Chlorambucil–Artemisinin Hybrids
5.15. Chlorambucil–Evodiamine Hybrids
5.16. Chlorambucil–Brefeldin Hybrids
6. Future Perspectives and Conclusions
Author Contributions
Funding
Institutional Review Board Statement
Informed Consent Statement
Data Availability Statement
Conflicts of Interest
References
- Wende, M.; Sithole, S.; Chi, G.F.; Stevens, M.Y.; Mukanganyama, S. The Effects of Combining Cancer Drugs with Compounds Isolated from Combretum zeyheri Sond. and Combretum platypetalum Welw. ex M.A. Lawson (Combretaceae) on the Viability of Jurkat T Cells and HL-60 Cells. Biomed. Res. Int. 2021, 2021, 6049728. [Google Scholar] [CrossRef]
- Rashid, M.; Afzal, O.; Altamimi, S.A.S. Benzimidazole molecule hybrid with oxadiazole ring as antiproliferative agents: In-silico analysis, synthesis and biological evaluation. J. Chil. Chem. Soc. 2021, 66, 5164–5182. [Google Scholar] [CrossRef]
- Chhikara, B.S.; Parang, K. Global Cancer Statistics 2022: The trends projection analysis. Chem. Biol. Letter. 2022, 10, 451. [Google Scholar]
- Siegel, R.L.; Miller, K.D.; Wagle, N.S.; Jemal, A. Cancer statistics, 2023. CA Cancer J. Clin. 2023, 73, 17–48. [Google Scholar] [CrossRef] [PubMed]
- Andrgie, A.T.; Birhan, Y.S.; Mekonnen, T.W.; Hanurry, E.Y.; Darge, H.F.; Lee, R.H.; Chou, H.Y.; Tsai, H.C. Redox-Responsive Heparin–Chlorambucil Conjugate Polymeric Prodrug for Improved Anti-Tumor Activity. Polymers 2019, 12, 43. [Google Scholar] [CrossRef]
- Peter, S.; Aderibigbe, B.A. Ferrocene-based compounds with antimalaria/anticancer activity. Molecules 2019, 24, 3604. [Google Scholar] [CrossRef] [PubMed]
- Giaquinto, A.N.; Miller, K.D.; Tossas, K.Y.; Winn, R.A.; Jemal, A.; Siegel, R.L. Cancer statistics for African American/Black People 20220. CA Cancer J. Clin. 2022, 72, 202–229. [Google Scholar] [CrossRef] [PubMed]
- Mahdi, H.; Mula-Hussain, L.; Ramzi, Z.S.; Tolba, M.; Abdel-Rahman, O.; Abu-Gheida, I.; Khorshid, O.; Al Sukhun, S.; Siddiqi, N.P.; Al Mandhari, Z.; et al. Cancer Burden Among Arab-World Females in 2020: Working Toward Improving Outcomes. JCO Glob. Oncol. 2022, 8, 2100415. [Google Scholar] [CrossRef]
- Peter, S.; Jama, S.; Alven, S.; Aderibigbe, B.A. Artemisinin and Derivatives-Based Hybrid Compounds: Promising Therapeutics for the Treatment of Cancer and Malaria. Molecules 2021, 26, 7521. [Google Scholar] [CrossRef]
- Singh, R.K.; Kumar, S.; Prasad, D.N.; Bhardwaj, T.R. Therapeutic Journery of Nitrogen Mustard as Alkylating Anticancer Agents: Historic to Future Perspectives. Eur. J. Med. Chem. 2018, 151, 401–433. [Google Scholar] [CrossRef]
- Krishnasamy, M.; Hyatt, A.; Chung, H.; Gough, K.; Fitch, M. Refocusing cancer supportive care: A framework for integrated cancer care. Support. Care Cancer 2023, 31, 14. [Google Scholar] [CrossRef] [PubMed]
- Burton, J.H.; Knych, H.K.; Stanley, S.D.; Rebhun, R.B. Potency and stability of compounded formulations of chlorambucil, melphalan and cyclophosphamide. Vet. Comp. Oncol. 2017, 15, 1558–1563. [Google Scholar] [CrossRef] [PubMed]
- Catovsky, D.; Else, M.; Richards, S. Chlorambucil—Still not bad: A reappraisal. Clin. Lymphoma Myeloma Leuk. 2011, 11, S2–S6. [Google Scholar] [CrossRef] [PubMed]
- Omoomi, F.D.; Siadat, S.D.; Nourmohammadi, Z.; Tabasi, M.A.; Pourhoseini, S.; Babaei, R.A.; Saffari, M.; Ardestani, M.S. Molecular Chlorambucil-Methionine Conjugate: Novel Anti-cancer Agent against Breast MCF-7 Cell Model. J. Cancer Sci. Ther. 2013, 5, 75–84. [Google Scholar] [CrossRef]
- Fortin, S.; Bérubé, G. Advances in the development of hybrid anticancer drugs. Expert Opin. Drug Discov. 2013, 8, 1029–1047. [Google Scholar] [CrossRef]
- Szumilak, M.; Wiktorowska-Owczarek, A.; Stanczak, A. Hybrid Drugs-A Strategy for Overcoming Anticancer Drug Resistance. Molecules 2021, 26, 2601. [Google Scholar] [CrossRef]
- Kucuksayan, E.; Ozben, T. Hybrid Compounds as Multitarget Directed Anticancer Agents. Curr. Top. Med. Chem. 2016, 17, 907–918. [Google Scholar] [CrossRef]
- Allen, T.; Razavi, G.S.E.; Mnv, G. A Review Article on Emerging Role of Hybrid Molecules in Treatment of Breast Cancer. Austin J. Clin. Immunol. 2020, 1, 1022. [Google Scholar]
- Chen, Y.; Jia, Y.; Song, W.; Zhang, L. Therapeutic Potential of Nitrogen Mustard Based Hybrid Molecules. Front. Pharmacol. 2018, 9, 1453. [Google Scholar] [CrossRef]
- Beger, H.G.; Rau, B.; Gansauge, F.; Leder, G.; Schwarz, M.; Poch, B. Pancreatic cancer--low survival rates. Dtsch. Arztebl. Int. 2008, 105, 255–262. [Google Scholar] [CrossRef]
- National Cancer Institute. Statistics at a Glance: The Burden of Cancer in the United States. Cancer Statistics 2017, 0925-0642. Available online: https://www.cancer.gov/about-cancer/understanding/statistics (accessed on 23 May 2023).
- International Agency for Research on Cancer. 2017. Available online: https://gco.iarc.fr/today/ (accessed on 23 May 2023).
- Xia, C.; Dong, X.; Li, H.; Cao, M.; Sun, D.; He, S.; Yang, F.; Yan, X.; Zhang, S.; Li, N.; et al. Cancer statistics in China and United States, 2022: Profiles, trends, and determinants. Chin. Med. J. 2022, 135, 584–590. [Google Scholar] [CrossRef]
- Alkhzem, A.H.; Woodman, T.J.; Blagbrough, I.S. Design and synthesis of hybrid compounds as novel drugs and medicines. RSC Adv. 2022, 12, 19470–19484. [Google Scholar] [CrossRef] [PubMed]
- Singh, A.K.; Kumar, A.; Singh, H.; Sonawane, P.; Paliwal, H.; Thareja, S.; Pathak, P.; Grishina, M.; Jaremko, M.; Emwas, A.; et al. Concept of Hybrid Drugs and Recent Advancements in Anticancer Hybrids. Pharmaceuticals 2022, 15, 1071. [Google Scholar] [CrossRef] [PubMed]
- Guo, Q.; Liu, Y.; Mu, G.; Yang, L.; Wang, W.; Liu, J. A peptide-drug hydrogel to enhance the anti-cancer activity of chlorambucil. R. Soc. Chem. 2020, 8, 5638–5646. [Google Scholar] [CrossRef]
- Di Antonio, M.; McLuckie, K.L.; Balasubramanian, S. Reprogramming the mechanism of action of chlorambucil by coupling to a G-quadruplex ligand. J. Am. Chem. Soc. 2014, 136, 5860–5863. [Google Scholar] [CrossRef] [PubMed]
- Lehmann, F.; Wennerberg, J. Evolution of Nitrogen-Based Alkylating Anticancer Agents. Processes 2021, 9, 377. [Google Scholar] [CrossRef]
- Krassnig, S.C.; Maser, M.; Probst, N.A.; Werner, J.; Schlett, C.; Schumann, N.; Scheven, G.; Mangerich, M.; Bürkle, A. Comparative analysis of chlorambucil-induced DNA lesion formation and repair in a spectrum of different human cell systems. Toxicol. Rep. 2023, 10, 171–189. [Google Scholar] [CrossRef]
- Descôteaux, C.; Brasseur, K.; Leblanc, V.; Parent, S.; Asselin, E.; Bérubé, G. SAR study of tyrosine-chlorambucil hybrid regioisomers; synthesis and biological evaluation against breast cancer cell lines. Amino Acids 2012, 43, 923–935. [Google Scholar] [CrossRef]
- Gupta, A.; Saha, P.; Descôteaux, C.; Leblanc, V.; Asselin, E.; Bérubé, G. Design, synthesis and biological evaluation of estradiol-chlorambucil hybrids as anticancer agents. Bioorg. Med. Chem. Lett. 2010, 20, 1614–1618. [Google Scholar] [CrossRef]
- Descôteaux, C.; Leblanc, V.; Brasseur, K.; Gupta, A.; Asselin, E.; Bérubé, G. Synthesis of D- and L-tyrosine-chlorambucil analogs active against breast cancer cell lines. Bioorg. Med. Chem. Lett. 2010, 20, 7388–7392. [Google Scholar] [CrossRef]
- Pocasap, P.; Weerapreeyakul, N.; Timonen, J.; Järvinen, J.; Leppänen, J.; Kärkkäinen, J.; Rautio, J. Tyrosine-Chlorambucil Conjugates Facilitate Cellular Uptake through L-Type Amino Acid Transporter 1 (LAT1) in Human Breast Cancer Cell Line MCF-7. Int. J. Mol. Sci. 2020, 21, 2132. [Google Scholar] [CrossRef] [PubMed]
- Bastien, D.; Hanna, R.; Leblanc, V.; Asselin, E.; Bérubé, G. Synthesis and preliminary in vitro biological evaluation of 7 a -testosterone e chlorambucil hybrid designed for the treatment of prostate cancer. Eur. J. Med. Chem. 2013, 64, 442–447. [Google Scholar] [CrossRef] [PubMed]
- Pathak, R.K.; Wen, R.; Kolishetti, N.; Dhar, S. A Prodrug of two approved Drugs, Cisplatin and Chlorambucil, for Chemo War Against Cancer. Mol. Cancer Ther. 2017, 16, 625–636. [Google Scholar] [CrossRef] [PubMed]
- Pathak, R.K.; Dhar, S. Unique Use of Alkylation for Chemo-Redox Activity by a Pt(IV) Prodrug. Chemistry 2016, 22, 3029–3036. [Google Scholar] [CrossRef] [PubMed]
- Montagner, D.; Tolan, D.; Andriollo, E.; Gandin, V.; Marzano, C.A. Pt(IV) prodrug combining chlorambucil and cisplatin: A dual-acting weapon for targeting DNA in cancer cells. Int. J. Mol. Sci. 2018, 19, 3775. [Google Scholar] [CrossRef]
- Chen, F.; Xu, G.; Qin, X.; Jin, X.; Gou, S. Hybrid of DNA-targeting chlorambucil with Pt(IV) species to reverse drug resistance. J. Pharmacol. Exp. Ther. 2017, 363, 221–239. [Google Scholar] [CrossRef]
- Qin, X.D.; Fang, L.; Chen, F.H.; Gou, S.H. Conjugation of platinum(IV) complexes with chlorambucil to overcome cisplatin resistance via a “joint action” mode toward DNA. Eur. J. Med. Chem. 2017, 137, 167–175. [Google Scholar] [CrossRef]
- Nowak-Sliwinska, P.; Weiss, A.; PǍunescu, E.; Clavel, C.M.; Griffioen, A.W.; Dyson, P.J. Anti-angiogenic properties of chlorambucil derivatives with fluorous and hydrocarbon appendages. MedChemComm 2016, 7, 1596–1603. [Google Scholar] [CrossRef]
- Clavel, C.M.; Zava, O.; Schmitt, F.; Kenzaoui, B.H.; Nazarov, A.A.; Juillerat-Jeanneret, L.; Dyson, P.J. Thermoresponsive chlorambucil derivatives for tumour targeting. Angew. Chem. Int. Ed. Engl. 2011, 50, 7124–7127. [Google Scholar] [CrossRef]
- Shafiee Ardestani, M.; Pourhoseini, S.; Akhavan Tabasi, M.; Davachi Omoomi, F.; Bamadi, M.; Hekmat, S. Chlorambucil-Asparagine, a Novel Chemotherapeutic Agent. Middle East J. Sci. Res. 2014, 21, 320–327. [Google Scholar] [CrossRef]
- Idowu, T.; Samadder, P.; Arthur, G.; Schweizer, F. Design, synthesis and antitumor properties of glycosylated antitumor ether lipid (GAEL)-chlorambucil-hybrids. Chem. Phys. Lipids 2016, 194, 139–148. [Google Scholar] [CrossRef]
- Xie, R.; Tang, P.; Yuan, Q. Rational design and characterization of a DNA/HDAC dual-targeting inhibitor containing nitrogen mustard and 2-aminobenzamide moieties. MedChemComm 2018, 9, 344–352. [Google Scholar] [CrossRef] [PubMed]
- Song, Y.; Park, S.Y.; Wu, Z.; Liu, K.H.; Seo, Y.H. Hybrid inhibitors of DNA and HDACs remarkably enhance cytotoxicity in leukaemia cells. J. Enzym. Inhib. Med. Chem. 2020, 35, 1069–1079. [Google Scholar] [CrossRef]
- Qin, H.; Zhang, J.; Zhao, Y.; Zhang, L.; Feng, J.; Zhang, L. Discovery of a potent olaparib–chlorambucil hybrid inhibitor of PARP1 for the treatment of cancer. Front. Pharmacol. 2023, 13, 1054616. [Google Scholar] [CrossRef] [PubMed]
- Millard, M.; Gallagher, J.D.; Olenyuk, B.Z.; Neamati, N. A selective mitochondrial-targeted chlorambucil with remarkable cytotoxicity in breast and pancreatic cancers. J. Med. Chem. 2013, 56, 9170–9179. [Google Scholar] [CrossRef] [PubMed]
- Woodbury, A.; Yu, S.P.; Wei, L.; García, P. Neuro-modulating effects of honokiol: A review. Front. Neurol. 2013, 4, 130. [Google Scholar] [CrossRef]
- Rauf, A.; Patel, S.; Imran, M.; Maalik, A.; Arshad, M.U.; Saeed, F.; Mabkhot, Y.N.; Al-Showiman, S.S.; Ahmad, N.; Elsharkawy, E. Honokiol: An anticancer lignan. Biomed. Pharmacother. 2018, 107, 555–562. [Google Scholar] [CrossRef]
- Lin, D.; Yan, Z.; Chen, A.; Ye, J.; Hu, A.; Liu, J.; Peng, J.; Wu, X. Anti-proliferative activity and structure-activity relationship ofhonokiol derivatives. Bioorg. Med. Chem. 2019, 27, 3729–3734. [Google Scholar] [CrossRef]
- Xia, L.; Kang, D.; Wan, D.; Chu, C.; Chen, M.; Zhang, S.; Li, X.; He, L.; Yan, J.; Liu, T.; et al. Honokiol-Chlorambucil Co-Prodrugs Selectively Enhance the Killing Effect through STAT3 Binding on Lymphocytic Leukemia Cells in Vitro and in Vivo. ACS Omega 2020, 5, 19844–19852. [Google Scholar] [CrossRef]
- Funakoshi, D.; Obinata, D.; Fujiwara, K.; Yamamoto, S.; Takayama, K.; Hara, M.; Takahashi, S.; Inoue, S. Antitumor effects of pyrrole-imidazole polyamide modified with alkylating agent on prostate cancer cells. Biochem. Biophys. Res. Commun. 2022, 623, 9–16. [Google Scholar] [CrossRef]
- Hirose, Y.; Hashiya, K.; Bando, T.; Sugiyama, H. Evaluation of the DNA Alkylation Properties of a Chlorambucil-Conjugated Cyclic Pyrrole-Imidazole Polyamide. Chemistry 2021, 27, 2782–2788. [Google Scholar] [CrossRef] [PubMed]
- Miksa, B.; Sierant, M.; Skorupska, E.; Michalski, A.; Kazmierski, S.; Steinke, U.; Rozanski, A.; Uznanski, P. Chlorambucil labelled with the phenosafranin scaffold as a new chemotherapeutic for imaging and cancer treatment. Colloids Surf. 2017, 159, 820–828. [Google Scholar] [CrossRef] [PubMed]
- Dai, T.; Lin, L.; Chen, H.; Lu, W.; Yang, X.; Yang, L.; Liu, Y.; Cui, J.; Sun, D. Novel nitrogen mustard-artemisinin hybrids with potent anti-leukemia action through DNA damage and activation of GPx. Eur. J. Med. Chem. 2022, 244, 114783. [Google Scholar] [CrossRef] [PubMed]
- Yu, H.; Jin, H.; Gong, W.; Wang, Z.; Liang, H. Pharmacological actions of multi-target-directed evodiamine. Molecules 2013, 18, 1826–1843. [Google Scholar] [CrossRef]
- Zhang, Y.; Wang, J.; Wang, C.; Li, Z.; Liu, X.; Zhang, J.; Lu, J.; Wang, D. Pharmacological Basis for the Use of Evodiamine in Alzheimer’s Disease: Antioxidation and Antiapoptosis. Int. J. Mol. Sci. 2018, 19, 1527. [Google Scholar] [CrossRef]
- Hu, C.Y.; Wu, H.T.; Su, Y.C.; Lin, C.H.; Chang, C.J.; Wu, C.L. Evodiamine Exerts an Anti-Hepatocellular Carcinoma Activity through a WWOX-Dependent Pathway. Molecules 2017, 22, 1175. [Google Scholar] [CrossRef]
- Hu, X.; Li, D.; Chu, C.; Li, X.; Wang, X.; Jia, Y.; Hua, H.; Xu, F. Antiproliferative Effects of Alkaloid Evodiamine and Its Derivatives. Int. J. Mol. Sci. 2018, 19, 3403. [Google Scholar] [CrossRef]
- Hu, X.; Wang, Y.; Xue, J.; Han, T.; Jiao, R.; Li, Z.; Liu, W.; Xu, F.; Hua, H.; Li, D. Design and synthesis of novel nitrogen mustard-evodiamine hybrids with selective antiproliferative activity. Bioorg. Med. Chem. Lett. 2017, 27, 4989–4993. [Google Scholar] [CrossRef]
- Han, T.; Tian, K.; Pan, H.; Liu, Y.; Xu, F.; Li, Z.; Uchita, T.; Gao, M.; Hua, H.; Li, D. European Journal of Medicinal Chemistry Novel hybrids of brefeldin A and nitrogen mustards with improved antiproliferative selectivity: Design, synthesis and antitumor biological evaluation. Eur. J. Med. Chem. 2018, 150, 53–63. [Google Scholar] [CrossRef]
- Moon, J.L.; Kim, S.Y.; Shin, S.W.; Park, J.W. Regulation of brefeldin A-induced ER stress and apoptosis by mitochondrial NADPþ-dependent isocitrate de- hydrogenase. Biochem. Biophys. Res. Commun. 2012, 417, 760–764. [Google Scholar] [CrossRef]
- Huang, H.R.; Liu, T.; Guo, J.X.; Yu, L.; Wu, X.F.; He, Y.; Li, D.L.; Liu, J.L.; Zhang, K.; Zheng, X.; et al. Brefeldin A enhances docetaxel-induced growth inhibition and apoptosis in prostate cancer cells in monolayer and 3D cultures, Bioorg. Med. Chem. Lett. 2017, 27, 2286–2291. [Google Scholar] [CrossRef] [PubMed]
- Grose, C.; Klionsky, D.J. Alternative autophagy, brefeldin A and viral trafficking pathways. Autophagy 2016, 12, 1429–1430. [Google Scholar] [CrossRef] [PubMed][Green Version]



























| Compound | Cell Lines | |
|---|---|---|
| PC3 | A2780/CP70 | |
| T-Platin-Chlorambucil–NPs | 0.22 ± 0.04 | 1.0 ± 0.50 |
| NT-Platin-Chlorambucil–NPs | 0.46 ± 0.42 | 1.30 ± 0.02 |
| Hybrid 14 | 0.60 ± 0.06 | 5.2 ± 0.80 |
| 2Chlorambucil + Cisplatin | 14.00 ± 5.00 | 12.00 ± 5.00 |
| Cisplatin | 13.50 ± 2.00 | 13.50 ± 4.00 |
| Chlorambucil | 181.00 ± 15.00 | 200.00 ± 40.00 |
| Cancer Cell Lines | Compound | ||
|---|---|---|---|
| 15 | Platinum | Chlorambucil | |
| BCPAP | 0.51 ± 0.20 | 7.31 ± 1.20 | >100 |
| HCT-15 | 0.39 ± 0.10 | 15.28 ± 2.60 | 44.52 ± 9.50 |
| BxPC3 | 1.74 ± 0.50 | 7.22 ± 2.20 | >100 |
| A431 | 0.41 ± 0.10 | 2.21 ± 0.40 | 74.48 ± 8.2 > 100 |
| LoVo | 0.98 ± 0.10 | 9.15 ± 2.10 | >100 |
| C13 | 0.28 ± 0.10 | 22.11 ± 3.20 | >100 |
| 2008 | 0.31 ± 0.10 | 2.18 ± 0.90 | 34.58 ± 16.50 |
| PSN1 | 0.42 ± 0.10 | 18.11 ± 3.20 | >100 |
| Cancer Cell Lines | Compound | |||
|---|---|---|---|---|
| GDG | 20a | 20b | 20d | |
| PC3 | 13.5 | 12.0 | 11.5 | 14.5 |
| DU145 | 10.0 | 6.0 | 11.0 | 15.0 |
| BT474 | Not Tested | 12.5 | 12.5 | 13.5 |
| MDA-MB-231 | 7.1 | 8.5 | 10.5 | 13.5 |
| JIMT1 | 9.0 | 8.5 | 7.5 | 11.0 |
| MiaPaCa2 | 9.0 | 16.0 | 20.0 | 10.0 |
| Compound | Dose (µM) | Apoptotic Rate (%) |
|---|---|---|
| 23 | 1 & 2 | 10.96 & 12.69 |
| olaparib | 5 & 10 | 1.53 & 1.91 |
| chlorambucil | 5 & 10 | 2.49 & 2.96 |
Disclaimer/Publisher’s Note: The statements, opinions and data contained in all publications are solely those of the individual author(s) and contributor(s) and not of MDPI and/or the editor(s). MDPI and/or the editor(s) disclaim responsibility for any injury to people or property resulting from any ideas, methods, instructions or products referred to in the content. |
© 2023 by the authors. Licensee MDPI, Basel, Switzerland. This article is an open access article distributed under the terms and conditions of the Creative Commons Attribution (CC BY) license (https://creativecommons.org/licenses/by/4.0/).
Share and Cite
Peter, S.; Aderibigbe, B.A. Chlorambucil-Bearing Hybrid Molecules in the Development of Potential Anticancer Agents. Molecules 2023, 28, 6889. https://doi.org/10.3390/molecules28196889
Peter S, Aderibigbe BA. Chlorambucil-Bearing Hybrid Molecules in the Development of Potential Anticancer Agents. Molecules. 2023; 28(19):6889. https://doi.org/10.3390/molecules28196889
Chicago/Turabian StylePeter, Sijongesonke, and Blessing Atim Aderibigbe. 2023. "Chlorambucil-Bearing Hybrid Molecules in the Development of Potential Anticancer Agents" Molecules 28, no. 19: 6889. https://doi.org/10.3390/molecules28196889
APA StylePeter, S., & Aderibigbe, B. A. (2023). Chlorambucil-Bearing Hybrid Molecules in the Development of Potential Anticancer Agents. Molecules, 28(19), 6889. https://doi.org/10.3390/molecules28196889

