Catalytic Gasification of Petroleum Coke with Different Ratios of K2CO3 and Evolution of the Residual Coke Structure
Abstract
:1. Introduction
2. Results and Discussion
2.1. Catalytic Gasification Reactivity of Petroleum Coke
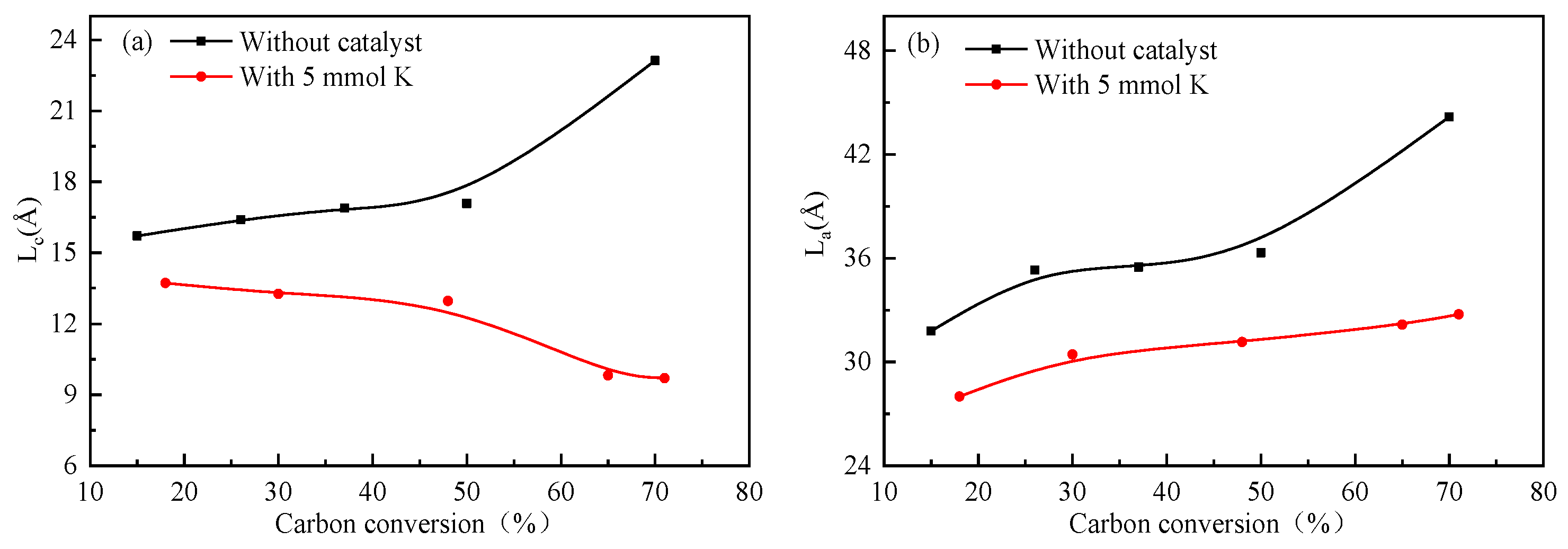
2.2. XRD Analysis of the Residual Coke
2.3. Raman Spectra of the Residual Coke
2.4. Pore Structure Analysis of the Residual Coke
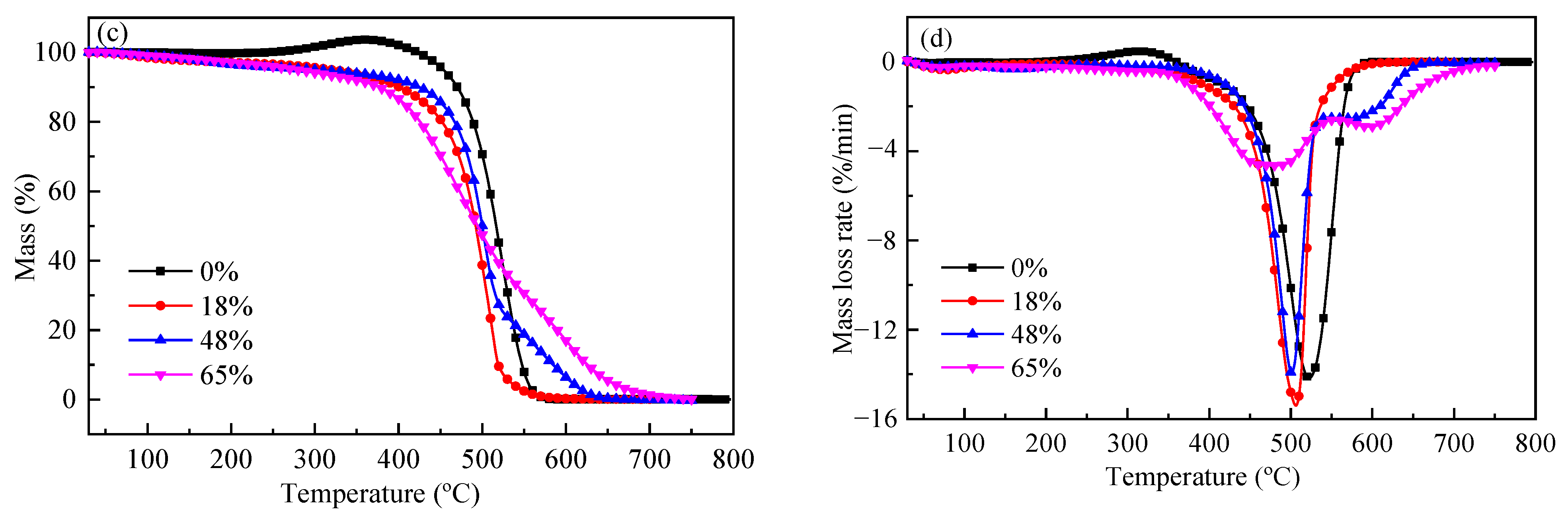
2.5. Residual Coke Reactivity Analysis
3. Materials and Methods
3.1. Samples
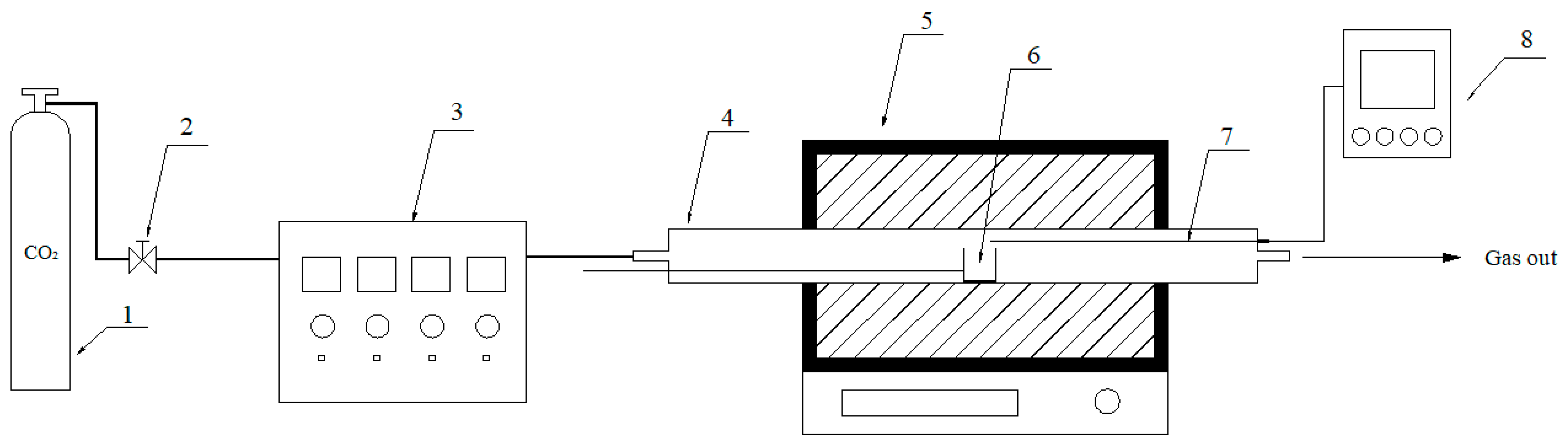
3.2. CO2 Gasification
3.3. Residual Coke Preparation
3.4. X-ray Diffraction Analysis
3.5. Raman Spectroscopy
3.6. Pore Structure
3.7. Residual Coke Activity Evaluation
4. Conclusions
Author Contributions
Funding
Institutional Review Board Statement
Informed Consent Statement
Data Availability Statement
Acknowledgments
Conflicts of Interest
Sample Availability
References
- Wang, B.; Li, W.; Ma, C.; Yang, W.; Pudasainee, D.; Gupta, R.; Sun, L. Synergistic effect on the co-gasification of petroleum coke and carbon-based feedstocks: A state-of-the-art review. J. Energy Inst. 2022, 102, 1–13. [Google Scholar] [CrossRef]
- Peng, D.; Zhang, S.; Wang, K.; Dong, T.; Zhang, M.; Dong, G. Preparation of a chitosan/coal gasification slag composite membrane and its adsorption and removal of Cr (VI) and RhB in water. Molecules 2022, 27, 7173. [Google Scholar] [CrossRef] [PubMed]
- Zhang, Q.; Li, Q.; Zhang, L.; Wang, Z.; Jing, X.; Yu, Z.; Song, S.; Fang, Y. Preliminary study on co-gasification behavior of deoiled asphalt with coal and biomass. Appl. Energy 2014, 132, 426–434. [Google Scholar] [CrossRef]
- Li, J.; Wang, Y.; Zhu, L.; Zhang, Z.; Xiao, H. Experimental study on co-pyrolysis of petroleum coke and coals: Synergy effects and co-gasification reactivity. Fuel 2020, 279, 118368. [Google Scholar] [CrossRef]
- Spiewak, K.; Czerski, G.; Porada, S. Effect of K, Na and Ca-based catalysts on the steam gasification reactions of coal. Part I: Type and amount of one-component catalysts. Chem. Eng. Sci. 2021, 229, 116024. [Google Scholar] [CrossRef]
- Kopyscinski, J.; Rahman, M.; Gupta, R.; Mims, C.A.; Hill, J.M. K2CO3 catalyzed CO2 gasification of ash-free coal. Interactions of the catalyst with carbon in N2 and CO2 atmosphere. Fuel 2014, 117, 1181–1189. [Google Scholar] [CrossRef]
- Ding, L.; Zhang, Y.; Wang, Z.; Huang, J.; Fang, Y. Interaction and its induced inhibiting or synergistic effects during co-gasification of coal char and biomass char. Bioresour. Technol. 2014, 173, 11–20. [Google Scholar] [CrossRef]
- Li, W.; Yu, Z.; Guan, G. Catalytic coal gasification for methane production: A review. Carbon Resour. Convers. 2021, 4, 89–99. [Google Scholar] [CrossRef]
- Sergeev, D.; Yazhenskikh, E.; Kobertz, D.; Müller, M. Vaporization behavior of Na2CO3 and K2CO3. Calphad 2019, 65, 42–49. [Google Scholar] [CrossRef]
- Roncancio, R.; Gore, J.P. CO2 char gasification: A systematic review from 2014 to 2020. Energy Convers. Manag. X 2020, 10, 100060. [Google Scholar] [CrossRef]
- Yang, H.; Song, H.; Zhao, C.; Hu, J.; Li, S.; Chen, H. Catalytic gasification reactivity and mechanism of petroleum coke at high temperature. Fuel 2021, 293, 120469. [Google Scholar] [CrossRef]
- Zhang, Q.; Yuan, Q.; Wang, H.; Wang, Z.; Yu, Z.; Liang, L.; Fang, Y.; Huang, W. Evaluation of gas switch effect on isothermal gas-solid reactions in a thermogravimetric analyzer. Fuel 2019, 239, 1173–1178. [Google Scholar] [CrossRef]
- Lv, X.; Xiao, J.; Shen, L.; Zhou, Y. Experimental study on the optimization of parameters during biomass pyrolysis and char gasification for hydrogen-rich gas. Int. J. Hydrog. Energy 2016, 41, 21913–21925. [Google Scholar] [CrossRef]
- Kramb, J.; Gómez-Barea, A.; DeMartini, N.; Romar, H.; Doddapaneni, T.R.K.; Konttinen, J. The effects of calcium and potassium on CO2 gasification of birch wood in a fluidized bed. Fuel 2017, 196, 398–407. [Google Scholar] [CrossRef]
- Jiang, L.; Hu, S.; Xu, K.; Wang, Y.; Syed-Hassan, S.S.A.; Su, S.; Liu, C.; Xiang, J. Formation, fates and roles of catalytic precursors generated from the K2CO3-carbon interactions in the K2CO3-catalyzed CO2 gasification of coal char. J. Anal. Appl. Pyrolysis 2016, 124, 384–392. [Google Scholar] [CrossRef]
- Qin, S.; Zhang, X.; Wang, M.; Cui, H.; Li, Z.; Yi, W. Comparison of BGL and Lurgi gasification for coal to liquid fuels (CTL): Process modeling, simulation and thermodynamic analysis. Energy 2021, 229, 120697. [Google Scholar] [CrossRef]
- Li, Y.; Yang, H.; Hu, J.; Wang, X.; Chen, H. Effect of catalysts on the reactivity and structure evolution of char in petroleum coke steam gasification. Fuel 2014, 117, 1174–1180. [Google Scholar] [CrossRef]
- Liu, M.; He, Q.; Bai, J.; Yu, J.; Kong, L.; Bai, Z.; Li, H.; He, C.; Cao, X.; Ge, Z.; et al. Char reactivity and kinetics based on the dynamic char structure during gasification by CO2. Fuel Process. Technol. 2021, 211, 106583. [Google Scholar] [CrossRef]
- Zhang, J.; Zhang, R.; Bi, J. Effect of catalyst on coal char structure and its role in catalytic coal gasification. Catal. Commun. 2016, 79, 1–5. [Google Scholar] [CrossRef]
- Zhang, H.; Bai, J.; Li, W.; Cheng, F. Comprehensive evaluation of inherent mineral composition and carbon structure parameters on CO2 reactivity of metallurgical coke. Fuel 2019, 235, 647–657. [Google Scholar] [CrossRef]
- Yu, J.; Guo, Q.; Ding, L.; Gong, Y.; Yu, G. Studying effects of solid structure evolution on gasification reactivity of coal chars by in-situ Raman spectroscopy. Fuel 2020, 270, 117603. [Google Scholar] [CrossRef]
- Zhu, B.; Dong, X.; Fan, Y.; Ma, X.; Yao, S.; Fu, Y.; Chen, R.; Chang, M. Structural characterization and molecular model construction of high-ash coal from northern China. Molecules 2023, 28, 5593. [Google Scholar] [CrossRef] [PubMed]
- Li, X.; Hayashi, J.-I.; Li, C.-Z. FT-Raman spectroscopic study of the evolution of char structure during the pyrolysis of a Victorian brown coal. Fuel 2006, 85, 1700–1707. [Google Scholar] [CrossRef]
- Fan, C.; Jin, H.; Shang, F.; Feng, H.; Sun, J. Study on the surface structure development of porous char particles in catalytic supercritical water gasification process. Fuel Process. Technol. 2019, 193, 73–81. [Google Scholar] [CrossRef]
- Vejahati, F.; Gupta, R. Intrinsic gasification rate of oil sands fluid coke with carbon dioxide and steam. Can. J. Chem. Eng. 2017, 95, 1045–1053. [Google Scholar] [CrossRef]
- Hu, F.; Li, P.; Zhang, T.; Li, W.; Wang, K.; Guo, J.; Mi, J.; Liu, Z. Reaction characteristics and mild combustion of residual char in a pilot-scale furnace. Energy Fuels 2019, 33, 12791–12800. [Google Scholar] [CrossRef]
- Bai, R.; Li, N.; Liu, Q.; Chen, S.; Liu, Q.; Zhou, X. Effect of steam on carbonation of CaO in Ca-Looping. Molecules 2023, 28, 4910. [Google Scholar] [CrossRef]
- Tong, W.; Liu, Q.; Yang, C.; Cai, Z.; Wu, H.; Ren, S. Effect of pore structure on CO2 gasification reactivity of biomass chars under high-temperature pyrolysis. J. Energy Inst. 2020, 93, 962–976. [Google Scholar] [CrossRef]










| Sample | Temperature (°C) | ||
|---|---|---|---|
| Ti | Tm | Tf | |
| Without catalyst | 930 | 1163 | 1250 |
| With 0.1 mmol K | 940 | 1136 | 1213 |
| With 0.5 mmol K | 892 | 1117 | 1199 |
| With 1 mmol K | 773 | 945 | 988 |
| With 2 mmol K | 739 | 918 | 958 |
| With 3 mmol K | 717 | 852 | 966 |
| With 5 mmol K | 702 | 830 | 931 |
| With 10 mmol K | 700 | 809 | 905 |
| With 12 mmol K | 700 | 805 | 908 |
| With 14 mmol K | 700 | 812 | 894 |
| Sample | Temperature (°C) | Conversion (%) | d002 (Å) | Lc (Å) | La (Å) |
|---|---|---|---|---|---|
| Without catalyst | 842 | 15 | 3.50 | 15.71 | 31.80 |
| 1059 | 26 | 3.51 | 16.40 | 35.32 | |
| 1111 | 37 | 3.50 | 16.89 | 35.49 | |
| 1144 | 50 | 3.51 | 17.09 | 36.32 | |
| 1172 | 70 | 3.49 | 23.12 | 44.18 | |
| With 5 mmol K | 758 | 18 | 3.49 | 13.72 | 28.00 |
| 792 | 30 | 3.49 | 13.26 | 30.43 | |
| 820 | 48 | 3.49 | 12.96 | 31.16 | |
| 842 | 65 | 3.49 | 9.82 | 32.16 | |
| 851 | 71 | 3.52 | 9.70 | 32.76 |
| Sample | Temperature (°C) | Conversion (%) | Surface Area (m2/g) | Total Pore Volume (cm3/g) | Average Pore Size (nm) |
|---|---|---|---|---|---|
| Without catalyst | 718 | 13 | 1.81 | 0.008 | 27.39 |
| 842 | 15 | 2.44 | 0.008 | 19.95 | |
| 1059 | 26 | 101.93 | 0.030 | 2.71 | |
| 1144 | 50 | 99.90 | 0.121 | 5.08 | |
| With 5 mmol K | 714 | 13 | 4.01 | 0.013 | 13.61 |
| 758 | 18 | 6.90 | 0.017 | 9.48 | |
| 792 | 30 | 41.58 | 0.024 | 3.63 | |
| 820 | 48 | 72.17 | 0.054 | 3.63 |
| Conversion (%) | Without Catalyst | Conversion (%) | With 5 mmol K | ||||
|---|---|---|---|---|---|---|---|
| Ti (°C) | Tm (°C) | Tf (°C) | Ti (°C) | Tm (°C) | Tf (°C) | ||
| 0 | 378 | 523 | 560 | 0 | 378 | 523 | 560 |
| 15 | 522 | 626 | 680 | 18 | 343 | 506 | 525 |
| 50 | 523 | 633 | 686 | 48 | 343 | 501 | 535 |
| 70 | 515 | 626 | 684 | 65 | 340 | 481 | 600 |
| Sample | Proximate Analysis (wt.%, ad) | Ultimate Analysis (wt.%, daf) | |||||||
|---|---|---|---|---|---|---|---|---|---|
| M | A | V | FC | C | H | O * | N | St | |
| ZH | 0.28 | 0.12 | 9.98 | 89.62 | 92.15 | 3.93 | 0.79 | 1.38 | 1.75 |
| Sample Name | Mass Ratio of K2CO3 on per Gram of ZH/(g/g) | Molar Ratio of K+ on per Gram of ZH/(mmol/g) | Mass Fraction of K2CO3 on per Gram of Blends (ZH + K2CO3)/(g/g) |
|---|---|---|---|
| Without catalyst | 0 | 0 | 0 |
| With 0.1 mmol K | 0.0069 | 0.1 | 0.69% |
| With 0.5 mmol K | 0.0345 | 0.5 | 3.33% |
| With 1 mmol K | 0.069 | 1 | 6.45% |
| With 2 mmol K | 0.138 | 2 | 12.13% |
| With 3 mmol K | 0.207 | 3 | 17.15% |
| With 5 mmol K | 0.345 | 5 | 25.65% |
| With 10 mmol K | 0.69 | 10 | 40.83% |
| With 12 mmol K | 0.828 | 12 | 45.30% |
| With 14 mmol K | 0.966 | 14 | 49.14% |
Disclaimer/Publisher’s Note: The statements, opinions and data contained in all publications are solely those of the individual author(s) and contributor(s) and not of MDPI and/or the editor(s). MDPI and/or the editor(s) disclaim responsibility for any injury to people or property resulting from any ideas, methods, instructions or products referred to in the content. |
© 2023 by the authors. Licensee MDPI, Basel, Switzerland. This article is an open access article distributed under the terms and conditions of the Creative Commons Attribution (CC BY) license (https://creativecommons.org/licenses/by/4.0/).
Share and Cite
Zhang, M.; Ban, H.; Wang, Z.; Xiang, X.; Wang, X.; Zhang, Q. Catalytic Gasification of Petroleum Coke with Different Ratios of K2CO3 and Evolution of the Residual Coke Structure. Molecules 2023, 28, 6779. https://doi.org/10.3390/molecules28196779
Zhang M, Ban H, Wang Z, Xiang X, Wang X, Zhang Q. Catalytic Gasification of Petroleum Coke with Different Ratios of K2CO3 and Evolution of the Residual Coke Structure. Molecules. 2023; 28(19):6779. https://doi.org/10.3390/molecules28196779
Chicago/Turabian StyleZhang, Man, Hongyu Ban, Zhiqing Wang, Xinning Xiang, Xiaolei Wang, and Qian Zhang. 2023. "Catalytic Gasification of Petroleum Coke with Different Ratios of K2CO3 and Evolution of the Residual Coke Structure" Molecules 28, no. 19: 6779. https://doi.org/10.3390/molecules28196779
APA StyleZhang, M., Ban, H., Wang, Z., Xiang, X., Wang, X., & Zhang, Q. (2023). Catalytic Gasification of Petroleum Coke with Different Ratios of K2CO3 and Evolution of the Residual Coke Structure. Molecules, 28(19), 6779. https://doi.org/10.3390/molecules28196779
