Palladium Iodide Catalyzed Multicomponent Carbonylative Synthesis of 2-(4-Acylfuran-2-yl)acetamides
Abstract
:1. Introduction
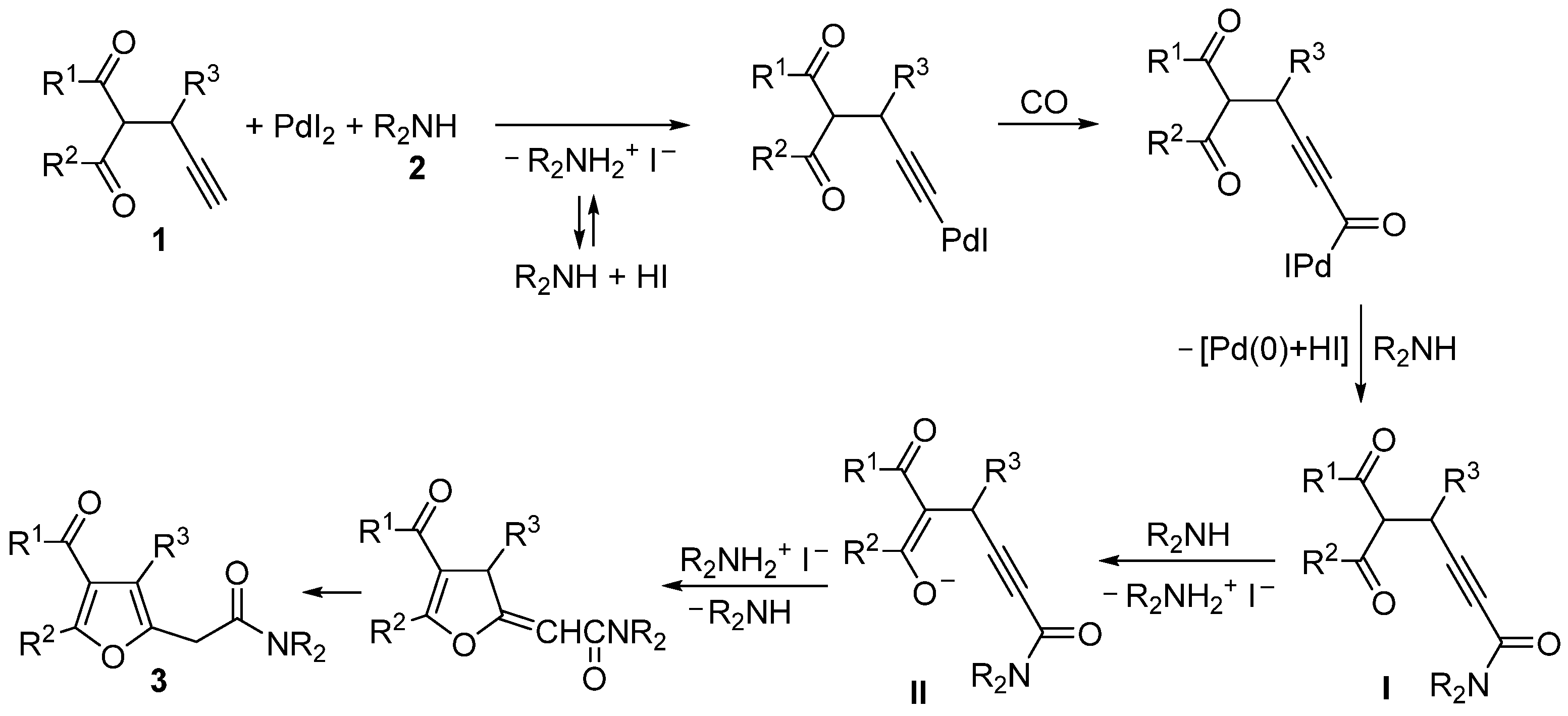
2. Results and Discussion
3. Materials and Methods
3.1. General Experimental Methods
3.2. Preparation of Substrates
3.3. General Procedure for the Synthesis of 2-(4-Acylfuran-2-yl)acetamides 3
3.3.1. 2-(4-Acetyl-5-methylfuran-2-yl)-N,N-diethylacetamide (3aa)
3.3.2. 2-(4-Acetyl-5-methylfuran-2-yl)-N,N-dimethylacetamide (3ab)
3.3.3. 2-(4-Acetyl-5-methylfuran-2-yl)-N,N-dibutylacetamide (3ac)
3.3.4. 2-(4-Acetyl-5-methylfuran-2-yl)-N-cyclohexyl-N-ethylacetamide (Mixture of Rotamers A + B, Deriving from Hindered Rotation around the Amide Bond: A/B ca 1.2 by 1H NMR) (3ad)
3.3.5. 2-(4-Acetyl-5-methylfuran-2-yl)-N,N-diisopropylacetamide (3ae)
3.3.6. 2-(4-Acetyl-5-methylfuran-2-yl)-1-morpholinoethan-1-one (3af)
3.3.7. N,N-Diethyl-2-(5-ethyl-4-propionylfuran-2-yl)acetamide (3ba)
3.3.8. N,N-Diethyl-2-(4-oxo-4,5,6,7-tetrahydrobenzofuran-2-yl)acetamide (3ca)
3.3.9. 2-(4-Acetyl-3,5-dimethylfuran-2-yl)-1-morpholinoethan-1-one (3df)
3.3.10. 2-(4-Benzoyl-5-phenylfuran-2-yl)-N,N-diethylacetamide (3ea)
3.3.11. 2-(4-Benzoyl-3,5-diphenylfuran-2-yl)-N,N-diethylacetamide (3fa)
3.3.12. 2-(4-Benzoyl-5-methylfuran-2-yl)-1-morpholinoethan-1-one (3gf)
3.3.13. 2-(4-Acetyl-5-phenylfuran-2-yl)-1-morpholinoethan-1-one (3gf′)
3.3.14. Methyl 5-(2-(Diethylamino)-2-oxoethyl)-2-methylfuran-3-carboxylate (3ha)
3.3.15. Ethyl 5-(2-(Diethylamino)-2-oxoethyl)-2-methylfuran-3-carboxylate (3ia)
3.3.16. Ethyl 5-(2-(Diethylamino)-2-oxoethyl)-2-propylfuran-3-carboxylate (3ja)
3.3.17. Ethyl 5-(2-(Diethylamino)-2-oxoethyl)-2-isopropylfuran-3-carboxylate (3ka)
3.3.18. Benzyl 5-(2-(Diethylamino)-2-oxoethyl)-2-methylfuran-3-carboxylate (3la)
3.3.19. 5-(2-(Diethylamino)-2-oxoethyl)-N,N-diethyl-2-methylfuran-3-carboxamide (3ma)
3.3.20. N,N-Dibutyl-2-(5-phenyl-4-tosylfuran-2-yl)acetamide (3nc)
3.4. Synthesis of 2-(4-Benzoyl-5-phenylfuran-2-yl)-N,N-diethylacetamide (3ea) in Larger Scale
4. Conclusions
Supplementary Materials
Author Contributions
Funding
Institutional Review Board Statement
Informed Consent Statement
Data Availability Statement
Conflicts of Interest
Sample Availability
References
- Furan Derivatives: Recent Advances and Applications; Khan, A.; Rahman, M.M.; Ramesh, M.; Khan, S.; Asiri, A.M. (Eds.) IntechOpen: London, UK, 2022. [Google Scholar]
- Alizadeh, M.; Jalal, M.; Hamed, K.; Saber, A.; Kheirouri, S.; Tabrizi, F.P.F.; Kamari, N. Recent Updates on Anti-Inflammatory and Antimicrobial Effects of Furan Natural Derivatives. J. Inflamm. Res. 2020, 13, 451–463. [Google Scholar] [CrossRef]
- Sperry, J.B.; Wright, D.L. Furans, Thiophenes and Related Heterocycles in Drug Discovery. Curr. Opin. Drug Discov. Dev. 2005, 8, 723–740. [Google Scholar] [CrossRef]
- Zhang, B.; Huo, L.J. Recent Advances of Furan and Its Derivatives Based Semiconductor Materials for Organic Photovoltaics. Small Methods 2021, 5, 2100493. [Google Scholar] [CrossRef]
- Deepthi, A.; Babu, B.P.; Balachandran, A.L. Synthesis of Furans—Recent Advances. Org. Prep. Proced. Int. 2019, 51, 409–442. [Google Scholar] [CrossRef]
- Zhang, W.; Xu, W.; Zhang, F.; Li, Y. Recent Progress in Synthesis of Polysubstituted Furans. Chin. J. Org. Chem. 2019, 39, 1277–1283. [Google Scholar] [CrossRef]
- Duc, D.X. Recent Progress in the Synthesis of Furan. Mini-Rev. Org. Chem. 2019, 16, 422–452. [Google Scholar] [CrossRef]
- Nejrotti, S.; Prandi, C. Gold Catalysis and Furans: A Powerful Match for Synthetic Connections. Synthesis 2021, 53, 1046–1060. [Google Scholar] [CrossRef]
- Wang, Y.; Zhang, C.; Li, S. Progress in Cyclizations of 4-Acetylenic Ketones: Synthesis of Furans and Pyrroles. ChemistrySelect 2020, 5, 8656–8668. [Google Scholar] [CrossRef]
- Wu, X.-F. Transition Metal Catalyzed Furans Synthesis; Elsevier: Amsterdam, The Netherlands, 2015. [Google Scholar]
- Pandey, S.; Shukla, R.K.; Volla, C.M.R. Access to Polysubstituted Furan Derivatives via Cascade Oxypalladation and Hydrocarbofunctionalization of Unactivated Alkenes. Org. Lett. 2023, 25, 4694–4699. [Google Scholar] [CrossRef]
- Carbon Monoxide in Organic Synthesis: Carbonylation Chemistry; Gabriele, B. (Ed.) Wiley-VCH: Weinheim, Germany, 2021; ISBN 978-3527347957. [Google Scholar]
- Gabriele, B. Chapter 3—Synthesis of Heterocycles by Palladium-Catalyzed Carbonylative Reactions. In Advances in Transition-Metal Mediated Heterocyclic Synthesis; Solé, D., Fernández, I., Eds.; Academic Press-Elsevier: London, UK, 2018; pp. 55–127. [Google Scholar]
- Feng, J.-B.; Wu, X.-F. Palladium-Catalyzed Synthesis of Heterocycles. In Advances in Heterocyclic Chemistry; Scriven, E.F.V., Ramsden, C.A., Eds.; Academic Press: Cambridge, MA, USA, 2017; Volume 121, pp. 207–246. [Google Scholar]
- Transition Metal Catalyzed Carbonylative Synthesis of Heterocycles; Wu, X.-F.; Beller, M. (Eds.) Topics in Heterocyclic Chemistry; Springer: Cham, Switzerland, 2016; Volume 42. [Google Scholar]
- Yin, Z.; Xu, J.; Wu, X.-F. No Making without Breaking: Nitrogen-Centered Carbonylation Reactions. ACS Catal. 2020, 10, 6510–6531. [Google Scholar] [CrossRef]
- Peng, J.-B.; Wu, F.-P.; Wu, X.-F. First-row Transition-Metal-Catalyzed Carbonylative Transformations of Carbon Electrophiles. Chem. Rev. 2019, 119, 2090–2127. [Google Scholar] [CrossRef]
- Ma, K.; Martin, B.S.; Yin, X.; Dai, M. Natural Product Syntheses via Carbonylative Cyclizations. Nat. Prod. Rep. 2019, 36, 174–219. [Google Scholar] [CrossRef]
- Perrone, S.; Troisi, L.; Salomone, A. Heterocycle Synthesis through Pd-Catalyzed Carbonylative Coupling. Eur. J. Org. Chem. 2019, 2019, 4626–4643. [Google Scholar] [CrossRef]
- Albano, G.; Aronica, L.A. Potentiality and Synthesis of O- and N-Heterocycles: Pd-Catalyzed Cyclocarbonylative Sonogashira Coupling as a Valuable Route to Phthalans, Isochromans, and Isoindolines. Eur. J. Org. Chem. 2017, 2017, 7204–7221. [Google Scholar] [CrossRef]
- Shen, C.R.; Wu, X.-F. Palladium-Catalyzed Carbonylative Multicomponent Reactions. Chem. Eur. J. 2017, 23, 2973–2987. [Google Scholar] [CrossRef]
- Wu, X.-F.; Neumann, H.; Beller, M. Synthesis of Heterocycles via Palladium-Catalyzed Carbonylations. Chem. Rev. 2013, 113, 1–35. [Google Scholar] [CrossRef]
- Gabriele, B.; Mancuso, R.; Salerno, G. Oxidative Carbonylation as a Powerful Tool for the Direct Synthesis of Carbonylated Heterocycles. Eur. J. Org. Chem. 2012, 2012, 6825–6839. [Google Scholar] [CrossRef]
- Gabriele, B.; Costa, M.; Salerno, G.; Chiusoli, G.P. A New Synthesis of Trimethyl Aconitate by Palladium-Catalysed Triple Carbonylation of Propynyl Alcohol. J. Chem. Soc. Chem. Commun. 1992, 1992, 1007–1008. [Google Scholar] [CrossRef]
- Gabriele, B.; Costa, M.; Salerno, G.; Chiusoli, G.P. An Efficient and Selective Palladium-Catalysed Oxidative Dicarbonylation of Alkynes to Alkyl- or Aryl-maleic Esters. J. Chem. Soc. Perkin Trans. 1994, 1, 83–87. [Google Scholar] [CrossRef]
- Mancuso, R.; Della Ca’, N.; Veltri, L.; Ziccarelli, I.; Gabriele, B. PdI2-Based Catalysis for Carbonylation Reactions: A Personal Account. Catalysts 2019, 9, 610. [Google Scholar] [CrossRef]
- Gabriele, B.; Salerno, G.; Veltri, L.; Costa, M. Synthesis of 2-Ynamides by Direct Palladium-Catalyzed Oxidative Aminocarbonylation of Alk-1-ynes. J. Organomet. Chem. 2001, 622, 84–88. [Google Scholar] [CrossRef]
- Ziccarelli, I.; Mancuso, R.; Giacalone, F.; Calabrese, C.; La Parola, V.; De Salvo, A.; Della Ca’, N.; Gruttadauria, M.; Gabriele, B. Heterogenizing Palladium Tetraiodide Catalyst for Carbonylation Reactions. J. Catal. 2022, 413, 1098–1110. [Google Scholar] [CrossRef]
- Veltri, L.; Amuso, R.; Prestia, T.; Vitale, P.; Gabriele, B. A Multicomponent Approach to Imidazo[2,1-b]thiazole Derivatives by Sequential PdI2/KI-Catalyzed Deprotective Oxidative Aminocarbonylation—Dearomative Cyclization—Aromatization. Eur. J. Org. Chem. 2022, 2022, e202200916. [Google Scholar] [CrossRef]
- Gabriele, B.; Salerno, G.; Mancuso, R.; Costa, M. Efficient Synthesis of Ureas by Direct Palladium-Catalyzed Oxidative Carbonylation of Amines. J. Org. Chem. 2004, 69, 4741–4750. [Google Scholar] [CrossRef]
- Mancuso, R.; Della Ca’, N.; Fini, F.; Carfagna, C.; Gabriele, B. Catalytic Oxidative Carbonylation of Amino Moieties to Ureas, Oxamides, 2-Oxazolidinones, and Benzoxazolones. ChemSusChem 2015, 8, 2204–2211. [Google Scholar] [CrossRef]
- Pickersgill, F.; Marchington, A.P.; Rayner, C.M. Selective Alkylation of β-Ketoester Enolates Using O-Methyl Aminosulfoxonium Salts; the First Example of C-alkylation Using Sulfoxonium Salt Electrophiles. J. Chem. Soc. Chem. Commun. 1994, 1994, 2597–2598. [Google Scholar] [CrossRef]
- Misztalewska, I.; Wilczewska, A.Z.; Wojtasik, O.K.; Markiewicz, H.; Kuchlewski, P.; Majcher, A.M. New Acetylacetone-Polymer Modified Nanoparticles as Magnetically Separable Complexing Agents. RSC Adv. 2015, 5, 100281–100289. [Google Scholar] [CrossRef]
- Chang, M.-Y.; Cheng, Y.-C.; Lu, W.-J. Bi(OTf)3-Mediated Cycloisomerization of γ-Alkynyl Arylketones: Application to the Synthesis of Substituted Furans. Org. Lett. 2015, 17, 1264–1267. [Google Scholar] [CrossRef]
- Schneider, L.M.; Schmiedel, V.M.; Pecchioli, T.; Lentz, D.; Merten, C.; Christmann, M. Asymmetric Synthesis of Carbocyclic Propellanes. Org. Lett. 2017, 19, 2310–2313. [Google Scholar] [CrossRef]
- Gree, R.; Park, H.; Paquette, L.A. Regio- and Stereoselective 1,2 Wagner-Meerwein Shifts during Trifluoroacetic acid Catalyzed Isomerization of Unsymmetrically Substituted Tricyclo[3.2.0.02,4]heptanes. J. Am. Chem. Soc. 1980, 102, 4397–4403. [Google Scholar] [CrossRef]
- Sanz, R.; Miguel, D.; Martínez, A.; Álvarez-Gutiérrez, J.M.; Rodriguez, F. Brønsted Acid Catalyzed Propargylation of 1,3-Dicarbonyl Derivatives. Synthesis of Tetrasubstituted Furans. Org. Lett. 2007, 9, 727–730. [Google Scholar] [CrossRef] [PubMed]
- Ruengsangtongkul, S.; Chaisan, N.; Thongsornkleeb, C.; Tummatorn, J.; Ruchirawat, S. Rate Enhancement in CAN-Promoted Pd(PPh3)2Cl2-Catalyzed Oxidative Cyclization: Synthesis of 2-Ketofuran-4-carboxylate Esters. Org. Lett. 2019, 21, 2514–2517. [Google Scholar] [CrossRef] [PubMed]
- Li, W.; Wang, J.; Hu, X.; Shen, K.; Wang, W.; Chu, Y.; Lin, L.; Liu, X.; Feng, X. Catalytic Asymmetric Roskamp Reaction of α-Alkyl-α-diazoesters with Aromatic Aldehydes: Highly Enantioselective Synthesis of α-Alkyl-β-keto Esters. J. Am. Chem. Soc. 2010, 132, 8532–8533. [Google Scholar] [CrossRef]
- Barabe, F.; Levesque, P.; Korobkov, I.; Barriault, L. Synthesis of Fused Carbocycles via a Selective 6-Endo Dig Gold(I)-Catalyzed Carbocyclization. Org. Lett. 2011, 13, 5580–5583. [Google Scholar] [CrossRef]
- Katrun, P.; Songsichan, T.; Soorukram, D.; Pohmakotr, M.; Reutrakul, V.; Kuhakarn, C. o-Iodoxybenzoic Acid (IBX)–Iodine Mediated One-Pot Deacylative Sulfonylation of 1,3-Dicarbonyl Compounds: A Synthesis of β-Carbonyl Sulfones. Synthesis 2017, 49, 1109–1121. [Google Scholar]


![]() | ||||||||
|---|---|---|---|---|---|---|---|---|
| Entry | Solvent | KI (Equiv) | 2a (Equiv) | Substrate Concn. b | T (°C) | PCO (atm) | Pair (atm) | Yield of 3aa (%) c |
| 1 | MeCN | 1 | 3 | 0.10 | 100 | 16 | 4 | 61 |
| 2 | dioxane | 1 | 3 | 0.10 | 100 | 16 | 4 | 56 |
| 3 | DMA d | 1 | 3 | 0.10 | 100 | 16 | 4 | 41 |
| 4 | MeCN | 0.5 | 3 | 0.10 | 100 | 16 | 4 | 45 |
| 5 | MeCN | 1 | 2 | 0.10 | 100 | 16 | 4 | 29 |
| 6 | MeCN | 1 | 4 | 0.10 | 100 | 16 | 4 | 68 |
| 7 | MeCN | 1 | 5 | 0.10 | 100 | 16 | 4 | 66 |
| 8 | MeCN | 1 | 3 | 0.20 | 100 | 16 | 4 | 63 |
| 9 | MeCN | 1 | 3 | 0.05 | 100 | 16 | 4 | 51 |
| 10 | MeCN | 1 | 3 | 0.10 | 100 | 32 | 8 | 53 |
| 11 e | MeCN | 1 | 3 | 0.10 | 80 | 16 | 4 | 54 |
| 12 | MeCN | 1 | 4 | 0.20 | 100 | 16 | 4 | 72 |
| 13 f | MeCN | 1 | 4 | 0.20 | 100 | 16 | 4 | 55 |
![]() | |||||
|---|---|---|---|---|---|
| Entry | PdI2 (mol%) | 1 | 2 | 3 | Yield of 3 (%) b |
| 1 | 1 | ![]() | ![]() | ![]() | 72 |
| 2 | 0.33 | 1a | 2a | 3aa | 55 |
| 3 | 1 | 1a | ![]() | ![]() | 67 |
| 4 | 0.33 | 1a | 2b | 3ab | 55 |
| 5 | 1 | 1a | ![]() | ![]() | 75 |
| 6 | 0.33 | 1a | 2c | 3ac | 58 |
| 7 | 1 | 1a | ![]() | ![]() | 74 |
| 8 | 0.33 | 1a | 2d | 3ad | 59 |
| 9 | 1 | 1a | ![]() | ![]() | 54 |
| 10 | 1 | 1a | ![]() | ![]() | 74 |
| 11 | 0.33 | 1a | 2f | 3af | 61 |
| 12 | 1 | ![]() | 2a | ![]() | 81 |
| 13 | 0.33 | 1b | 2a | 3ba | 68 |
| 14 | 1 | ![]() | 2a | ![]() | 67 |
| 15 | 0.33 | 1c | 2a | 3ca | 58 |
| 16 | 1 | ![]() | 2f | ![]() | 66 |
| 17 | 1 | ![]() | 2a | ![]() | 68 |
| 18 | 0.33 | 1e | 2a | 3ea | 62 |
| 19 | 1 | ![]() | 2a | ![]() | 54 |
| 20 | 1 | ![]() | 2f | ![]() | 48 |
![]() | 25 | ||||
| 21 | 1 | ![]() | 2a | ![]() | 70 |
| 22 | 0.33 | 1h | 2a | 3ha | 58 |
| 23 | 1 | ![]() | 2a | ![]() | 69 |
| 24 | 0.33 | 1i | 2a | 3ia | 58 |
| 25 | 1 | ![]() | 2a | ![]() | 68 |
| 26 | 0.33 | 1j | 2a | 3ja | 63 |
| 27 | 1 | ![]() | 2a | ![]() | 71 |
| 28 | 0.33 | 1k | 2a | 3ka | 60 |
| 29 | 1 | ![]() | 2a | ![]() | 67 |
| 30 | 0.33 | 1l | 2a | 3la | 56 |
| 31 | 1 | ![]() | 2a | ![]() | 57 |
| 32 | 1 | ![]() | 2c | ![]() | 72 |
| 33 | 0.33 | 1n | 2c | 3nc | 67 |
Disclaimer/Publisher’s Note: The statements, opinions and data contained in all publications are solely those of the individual author(s) and contributor(s) and not of MDPI and/or the editor(s). MDPI and/or the editor(s) disclaim responsibility for any injury to people or property resulting from any ideas, methods, instructions or products referred to in the content. |
© 2023 by the authors. Licensee MDPI, Basel, Switzerland. This article is an open access article distributed under the terms and conditions of the Creative Commons Attribution (CC BY) license (https://creativecommons.org/licenses/by/4.0/).
Share and Cite
Ziccarelli, I.; Veltri, L.; Prestia, T.; Amuso, R.; Chiacchio, M.A.; Mancuso, R.; Gabriele, B. Palladium Iodide Catalyzed Multicomponent Carbonylative Synthesis of 2-(4-Acylfuran-2-yl)acetamides. Molecules 2023, 28, 6764. https://doi.org/10.3390/molecules28196764
Ziccarelli I, Veltri L, Prestia T, Amuso R, Chiacchio MA, Mancuso R, Gabriele B. Palladium Iodide Catalyzed Multicomponent Carbonylative Synthesis of 2-(4-Acylfuran-2-yl)acetamides. Molecules. 2023; 28(19):6764. https://doi.org/10.3390/molecules28196764
Chicago/Turabian StyleZiccarelli, Ida, Lucia Veltri, Tommaso Prestia, Roberta Amuso, Maria A. Chiacchio, Raffaella Mancuso, and Bartolo Gabriele. 2023. "Palladium Iodide Catalyzed Multicomponent Carbonylative Synthesis of 2-(4-Acylfuran-2-yl)acetamides" Molecules 28, no. 19: 6764. https://doi.org/10.3390/molecules28196764
APA StyleZiccarelli, I., Veltri, L., Prestia, T., Amuso, R., Chiacchio, M. A., Mancuso, R., & Gabriele, B. (2023). Palladium Iodide Catalyzed Multicomponent Carbonylative Synthesis of 2-(4-Acylfuran-2-yl)acetamides. Molecules, 28(19), 6764. https://doi.org/10.3390/molecules28196764











































