Multi-Residue Detection of Eight Glucocorticoids by Nano-Au/Fluticasone Propionate Electrochemical Immunosensor
Abstract
:1. Introduction
2. Results and Discussion
2.1. Detection Principle of Nano-Au/Fluticasone Propionate Immunosensor
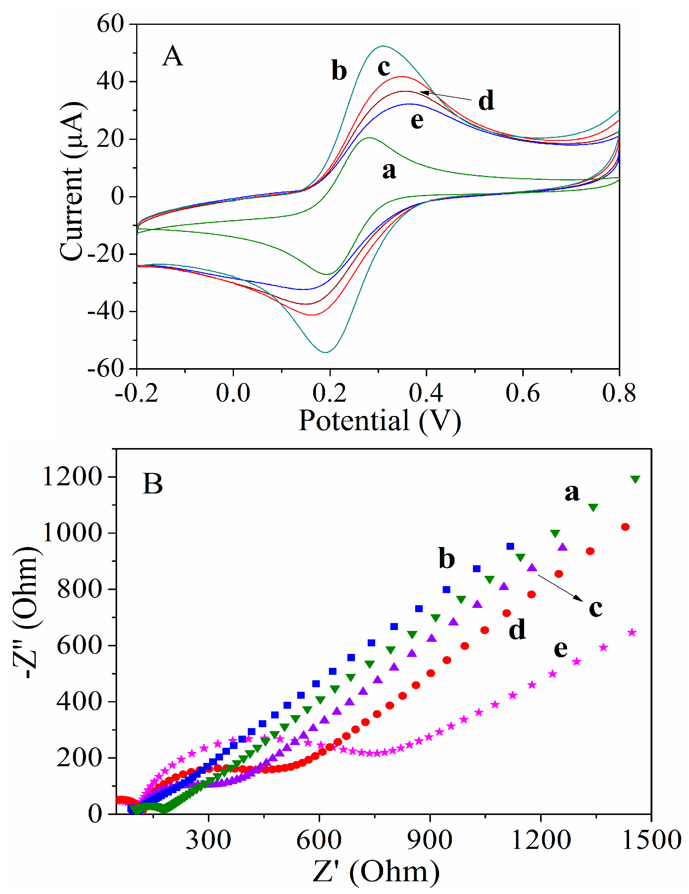
2.2. Electrochemical Characterization of Immunosensor
2.3. Optimization of Condition
2.4. DPV Detection of Glucocorticoids
2.5. Stability and Repeatability
2.6. Detection of Actual Samples
3. Experimental Section
3.1. Materials and Instruments
3.2. Preparation of Nano-Au/Fluticasone Propionate Immunosensor
3.3. Characterization
3.4. Optimization of Condition
3.5. Glucocorticoids Detection
4. Conclusions
Funding
Institutional Review Board Statement
Informed Consent Statement
Data Availability Statement
Conflicts of Interest
Sample Availability
References
- Chen, A.X.; Burt, M.G. Cardio-metabolic pathophysiology in mild glucocorticoid excess: Potential implications for management of adrenal incidentaloma. Clin. Endocrinol. 2023, 98, 153–164. [Google Scholar] [CrossRef] [PubMed]
- Scherholz, M.L.; Schlesinger, N.; Androulakis, I.P. Chronopharmacology of glucocorticoids. Adv. Drug Deliver. Rev. 2019, 151, 245–261. [Google Scholar] [CrossRef]
- Jeon, H.; Choi, Y.; Brannstrom, M.; Akin, J.W.; Curry, T.E.; Jo, M. Cortisol/glucocorticoid receptor: A critical mediator of the ovulatory process and luteinization in human periovulatory follicles. Hum. Reprod. 2023, 38, 671–685. [Google Scholar] [CrossRef]
- Pisetsky, D.S. In glucocorticoid-dependent polymyalgia rheumatica, tocilizumab improved a composite clinical outcome at 24 wk. Ann. Intern. Med. 2023, 176, JC5. [Google Scholar] [CrossRef] [PubMed]
- Ostler, J.B.; Jones, C. The bovine herpesvirus 1 latency-reactivation cycle, a chronic problem in the cattle industry. Viruses 2023, 15, 552. [Google Scholar] [CrossRef]
- Paul, B.; Buchholz, D.R. Glucocorticoid receptor signaling controls modulators of salt-water homeostasis in Xenopus tropicalis tadpoles. Integr. Comp. Biol. 2023, 62, 240–241. [Google Scholar]
- Sousa, A.R.; Lane, S.J.; Cidlowski, J.A.; Staynov, D.Z.; Lee, T.H. Glucocorticoid resistance in asthma is associated with elevated in vivo expression of the glucocorticoid receptor beta-isoform. J. Allergy Clin. Immun. 2000, 105, 943–950. [Google Scholar] [CrossRef]
- Bollag, W.B.; Isales, C.M. GRowing an epidermal tumor. J. Investig. Dermatol. 2013, 133, 2659–2662. [Google Scholar] [CrossRef]
- Perez, P. The mineralocorticoid receptor in skin disease. Brit. J. Pharmacol. 2022, 179, 3178–3189. [Google Scholar] [CrossRef]
- Martin, J.; Barja, I.; Rodriguez-Ruiz, G.; Recio, P.; Cuervo, J.J. Hidden but potentially stressed: A non-Invasive technique to quantify fecal glucocorticoid levels in a fossorial amphisbaenian reptile. Animals 2023, 13, 109. [Google Scholar] [CrossRef]
- Nishiyama, M.; Iwasaki, Y.; Makino, S. Animal models of Cushing’s syndrome. Endocrinology 2022, 163, 173. [Google Scholar] [CrossRef]
- Kino, T.; Burd, I.; Segars, J.H. Dexamethasone for severe COVID-19: How does it work at cellular and molecular levels? Int. J. Mol. Sci. 2021, 22, 6764. [Google Scholar] [CrossRef]
- Benlidayi, I.C. Denosumab in the treatment of glucocorticoid-induced osteoporosis. Rheumatol. Int. 2018, 38, 1975–1984. [Google Scholar] [CrossRef]
- Botker, S.; Birn, H.; Ozbay, L.A. Topical glucocorticoid use and the risk of posttransplant diabetes. Case Rep. Endocrinol. 2023, 2023, 3648178. [Google Scholar] [CrossRef]
- Barbosa-Moyano, H.; de Oliveira, C.A. Temperament traits and glucocorticoid metabolites in tropical screech owl (Megascops choliba). Appl. Anim. Behav. Sci. 2023, 260, 105866. [Google Scholar] [CrossRef]
- Kakaley, E.K.M.; Blackwell, B.R.; Cardon, M.C.; Conley, J.M.; Evans, N.; Feifarek, D.J.; Furlong, E.T.; Glassmeyer, S.T.; Gray, L.E.; Hartig, P.C.; et al. De facto water reuse: Bioassay suite approach delivers depth and breadth in endocrine active compound detection. Sci. Total Environ. 2020, 699, 134297. [Google Scholar] [CrossRef] [PubMed]
- GB/T 24800.2; Determination of 41 Glucocorticoids in Cosmetics by LC-MS-MS and TLC Method. National Standards of China: Beijing, China, 2009.
- Huang, Y.; Zheng, Z.Q.; Huang, L.Y.; Yao, H.; Wu, X.S.; Li, S.G.; Lin, D.D. Optimization of dispersive liquid-phase microextraction based on solidified floating organic drop combined with high-performance liquid chromatography for the analysis of glucocorticoid residues in food. J. Pharmaceut. Biomed. 2017, 138, 363–372. [Google Scholar] [CrossRef]
- Jin, P.F.; Liang, X.L.; Wu, X.J.; He, X.R.; Kuang, Y.M.; Hu, X. Screening and quantification of 18 glucocorticoid adulterants from herbal pharmaceuticals and health foods by HPLC and confirmed by LC-Q-TOF-MS/MS. Food Addit. Contam. A 2018, 35, 10–19. [Google Scholar] [CrossRef]
- Deceuninck, Y.; Bichon, E.; Monteau, F.; Antignac, J.P.; Le Bizec, B. Determination of MRL regulated corticosteroids in liver from various species using ultra high performance liquid chromatography–tandem mass spectrometry (UHPLC). Anal. Chim. Acta 2011, 700, 137–143. [Google Scholar] [CrossRef]
- Liu, X.D.; Feng, J.A.; Sun, X.N.; Li, Y.; Duan, G.L. Three-layer structure graphene/mesoporous silica composites incorporated with C8-modified interior pore-walls for residue analysis of glucocorticoids in milk by liquid chromatography–tandem mass spectrometry. Anal. Chim. Acta 2015, 884, 61–69. [Google Scholar] [CrossRef]
- Neal, S.P.; Wilson, K.M.; Velosa, D.C.; Chouinard, C.D. Targeted glucocorticoid analysis using ion mobility-mass spectrometry (IM-MS). J. Mass Spectrom. Adv. Clin. Lab 2022, 24, 50–56. [Google Scholar] [CrossRef]
- Zhao, C.M.; Yue, Z.F.; Wu, H.; Lai, F.R. Simultaneous determination of fourteen steroid hormone residues in beef samples by liquid chromatography-tandem mass spectrometry. Anal. Methods 2014, 6, 8030–8038. [Google Scholar] [CrossRef]
- Lu, W.B.; Wang, Y.P.; Cao, X.W. Advanced nanobiosensors for non-invasive disease diagnosis. Front. Bioeng. Biotech. 2023, 11, 1208679. [Google Scholar] [CrossRef]
- Tajik, S.; Beitollahi, H.; Torkzadeh-Mahani, M. Electrochemical immunosensor for the detection of anti-thyroid peroxidase antibody by gold nanoparticles and ionic liquid-modified carbon paste electrode. J. Nanostructure Chem. 2022, 12, 581–588. [Google Scholar] [CrossRef]
- Echeverri, D.; Orozco, J. Beta-1,4-galactosyltransferase-V colorectal cancer biomarker immunosensor with label-free electrochemical detection. Talanta 2022, 243, 123337. [Google Scholar] [CrossRef] [PubMed]
- Chanarsa, S.; Jakmunee, J.; Ounnunkad, K. A sandwich-like configuration with a signal amplification strategy using a methylene blue/aptamer complex on a heterojunction 2D MoSe2/2D WSe2 electrode: Toward a portable and sensitive electrochemical alpha-fetoprotein immunoassay. Front. Cell. Infect. Microbiol. 2022, 12, 916357. [Google Scholar] [CrossRef] [PubMed]
- Chen, D.; Luo, X.; Xi, F.N. Probe-integrated electrochemical immunosensor based on electrostatic nanocage array for reagentless and sensitive detection of tumor biomarker. Front. Chem. 2023, 11, 1121450. [Google Scholar] [CrossRef]
- Hou, Y.; Chen, R.P.; Wang, Z.G.; Lu, R.; Wang, Y.H.; Ren, S.Y.; Li, S.; Wang, Y.; Han, T.; Yang, S.P.; et al. Bio-barcode assay: A useful technology for ultrasensitive and logic-controlled specific detection in food safety: A review. Anal. Chim. Acta 2023, 1267, 341351–341363. [Google Scholar] [CrossRef]
- Rabbani, G.; Khan, M.E.; Ahmad, E.; Khan, M.V.; Ahmad, A.; Khan, A.U.; Ali, W.; Zamzami, M.A.; Bashiri, A.H.; Zakri, W. Serum CRP biomarker detection by using carbon nanotube field-effect transistor (CNT-FET) immunosensor. Bioelectrochemistry 2023, 153, 108493. [Google Scholar] [CrossRef] [PubMed]
- Huang, Z.Y.; Chen, H.; Ye, H.R.; Chen, Z.X.; Jaffrezic-Renault, N.; Guo, Z.Z. An ultrasensitive aptamer-antibody sandwich cortisol sensor for the noninvasive monitoring of stress state. Biosens. Bioelectron. 2021, 190, 113451. [Google Scholar] [CrossRef]
- Khan, M.S.; Dighe, K.; Wang, Z.; Srivastava, I.; Schwartz-Duval, A.S.; Misra, S.K.; Pan, D. Electrochemical-digital immunosensor with enhanced sensitivity for detecting human salivary glucocorticoid hormone. Analyst 2019, 144, 1448–1457. [Google Scholar] [CrossRef] [PubMed]
- Chang, H.F.; Wang, J.Q.; Wang, B.; Deng, A.P. An immunochromatographic assay for rapid and simultaneous detection of levonorgestrel and methylprednisolone in water samples. Chinese. Chem. Lett. 2013, 24, 937–940. [Google Scholar] [CrossRef]
- Zhou, S.Q.; Guo, C.C.; Shi, F.; Jiang, W.; Wang, L. Application of an ultrahigh-performance liquid chromatography coupled to quadrupole-orbitrap high-resolution mass spectrometry for the rapid screening, identification and quantification of illegal adulterated glucocorticoids in herbal medicines. J. Chromatogr. B 2016, 1038, 34–42. [Google Scholar] [CrossRef] [PubMed]





| Detection Object | Linear Relationship | Correlation Coefficient | Linear Range (ng⋅mL−1) | Detection Limit (ng⋅mL−1) |
|---|---|---|---|---|
| Fluticasone propionate | Y = 0.0161X + 11.2106 | R = 0.9938 | 0.1~1500 | 0.221 |
| Hydrocortisone | Y = 0.0157X + 18.3992 | R = 0.9955 | 0.072 | |
| Triamcinolone acetonide | Y = 0.0160X + 17.9102 | R = 0.9946 | 0.296 | |
| Cobetasol 17-propionate | Y = 0.0155X + 15.5987 | R = 0.9957 | 0.156 | |
| Prednisolone | Y = 0.0164X + 14.2092 | R = 0.9954 | 0.357 | |
| Cortisone | Y = 0.0171X + 13.3632 | R = 0.9967 | 0.091 | |
| Dexamethasone | Y = 0.0173X + 12.2203 | R = 0.9963 | 0.057 | |
| Triamcinolone | Y = 0.0167X + 16.5602 | R = 0.9952 | 0.278 |
| Amount Added (ng⋅mL−1) | Actual Concentration (ng⋅mL−1) | Recovery (%) | Average Recovery (%) | RSD (%) |
|---|---|---|---|---|
| 100 | 95.78 | 95.78 | 92.77 | 3.32 |
| 89.63 | 89.63 | |||
| 92.91 | 92.91 | |||
| 400 | 409.66 | 102.42 | 102.00 | 2.56 |
| 417.53 | 104.38 | |||
| 396.78 | 99.20 | |||
| 1000 | 936.82 | 93.68 | 94.20 | 3.66 |
| 978.71 | 97.87 | |||
| 910.40 | 91.04 |
| Amount Added (ng⋅mL−1) | Actual Concentration (ng⋅mL−1) | Recovery (%) | Average Recovery (%) | RSD (%) |
|---|---|---|---|---|
| 100 | 110.39 | 110.39 | 103.88 | 5.70 |
| 102.45 | 102.45 | |||
| 98.80 | 98.80 | |||
| 400 | 407.12 | 101.78 | 104.52 | 2.31 |
| 425.43 | 106.36 | |||
| 421.67 | 105.42 | |||
| 1000 | 950.32 | 95.03 | 93.08 | 2.13 |
| 931.50 | 93.15 | |||
| 910.70 | 91.07 |
Disclaimer/Publisher’s Note: The statements, opinions and data contained in all publications are solely those of the individual author(s) and contributor(s) and not of MDPI and/or the editor(s). MDPI and/or the editor(s) disclaim responsibility for any injury to people or property resulting from any ideas, methods, instructions or products referred to in the content. |
© 2023 by the author. Licensee MDPI, Basel, Switzerland. This article is an open access article distributed under the terms and conditions of the Creative Commons Attribution (CC BY) license (https://creativecommons.org/licenses/by/4.0/).
Share and Cite
Zhao, G. Multi-Residue Detection of Eight Glucocorticoids by Nano-Au/Fluticasone Propionate Electrochemical Immunosensor. Molecules 2023, 28, 6619. https://doi.org/10.3390/molecules28186619
Zhao G. Multi-Residue Detection of Eight Glucocorticoids by Nano-Au/Fluticasone Propionate Electrochemical Immunosensor. Molecules. 2023; 28(18):6619. https://doi.org/10.3390/molecules28186619
Chicago/Turabian StyleZhao, Guozheng. 2023. "Multi-Residue Detection of Eight Glucocorticoids by Nano-Au/Fluticasone Propionate Electrochemical Immunosensor" Molecules 28, no. 18: 6619. https://doi.org/10.3390/molecules28186619
APA StyleZhao, G. (2023). Multi-Residue Detection of Eight Glucocorticoids by Nano-Au/Fluticasone Propionate Electrochemical Immunosensor. Molecules, 28(18), 6619. https://doi.org/10.3390/molecules28186619
