Next Article in Journal
Identification of Antioxidative Hydrolyzable Tannins in Water Chestnut
Next Article in Special Issue
China Medicinal Plants of the Ampelopsis grossedentata—A Review of Their Botanical Characteristics, Use, Phytochemistry, Active Pharmacological Components, and Toxicology
Previous Article in Journal
Molecular Dynamics Simulation of Hydrogels Based on Phosphorylcholine-Containing Copolymers for Soft Contact Lens Applications
Previous Article in Special Issue
Screening the Extract of Laportea bulbifera (Sieb. et Zucc.) Wedd. Based on Active Component Content, Its Antioxidant Capacity and Exploration of Hepatoprotective Activity in Rats
 
 
Font Type:
Arial Georgia Verdana
Font Size:
Aa Aa Aa
Line Spacing:
Column Width:
Background:
Review

Phytochemistry and Pharmacology of Eleutherococcus sessiliflorus (Rupr. & Maxim.) S.Y.Hu: A Review

1
Green Medicinal Chemistry Laboratory, School of Pharmacy and Medicine, Tonghua Normal University, Tonghua 134002, China
2
College of Pharmacy, Yanbian University, Yanji 133000, China
3
Key Laboratory of Evaluation and Application of Changbai Mountain Biological Gerplasm Resources of Jilin Province, Tonghua 134002, China
*
Authors to whom correspondence should be addressed.
Molecules 2023, 28(18), 6564; https://doi.org/10.3390/molecules28186564
Submission received: 23 August 2023 / Revised: 7 September 2023 / Accepted: 9 September 2023 / Published: 11 September 2023
(This article belongs to the Special Issue Medicinal Value of Natural Bioactive Compounds and Plant Extracts)

Abstract

Eleutherococcus sessiliflorus (Rupr. & Maxim.) S.Y.Hu (E. sessiliflorus), a member of the Araliaceae family, is a valuable plant widely used for medicinal and dietary purposes. The tender shoots of E. sessiliflorus are commonly consumed as a staple wild vegetable. The fruits of E. sessiliflorus, known for their rich flavor, play a crucial role in the production of beverages and fruit wines. The root barks of E. sessiliflorus are renowned for their therapeutic effects, including dispelling wind and dampness, strengthening tendons and bones, promoting blood circulation, and removing stasis. To compile a comprehensive collection of information on E. sessiliflorus, extensive searches were conducted in databases such as Web of Science, PubMed, ProQuest, and CNKI. This review aims to provide a detailed exposition of E. sessiliflorus from various perspectives, including phytochemistry and pharmacological effects, to lay a solid foundation for further investigations into its potential uses. Moreover, this review aims to introduce innovative ideas for the rational utilization of E. sessiliflorus resources and the efficient development of related products. To date, a total of 314 compounds have been isolated and identified from E. sessiliflorus, encompassing terpenoids, phenylpropanoids, flavonoids, volatile oils, organic acids and their esters, nitrogenous compounds, quinones, phenolics, and carbohydrates. Among these, triterpenoids and phenylpropanoids are the primary bioactive components, with E. sessiliflorus containing unique 3,4-seco-lupane triterpenoids. These compounds have demonstrated promising properties such as anti-oxidative stress, anti-aging, antiplatelet aggregation, and antitumor effects. Additionally, they show potential in improving glucose metabolism, cardiovascular systems, and immune systems. Despite some existing basic research on E. sessiliflorus, further investigations are required to enhance our understanding of its mechanisms of action, quality assessment, and formulation studies. A more comprehensive investigation into E. sessiliflorus is warranted to delve deeper into its mechanisms of action and potentially expand its pharmaceutical resources, thus facilitating its development and utilization.

Graphical Abstract

1. Introduction

Eleutherococcus sessiliflorus (Rupr. & Maxim.) S.Y.Hu (E. sessiliflorus), also known as Acanthopanax sessiliflorus or “Ciguaibang” in Chinese, is a plant belonging to the Araliaceae family, specifically within the Eleutherococcus genus. It has a wide distribution across various regions of China, including Jilin, Heilongjiang, Liaoning, and Hebei. It is also dispersed in neighboring countries like North and South Korea, Japan, and the Russian Far East [1,2]. More recently, Poland has also shown interest in E. sessiliflorus and has started introducing and cultivating it [3]. E. sessiliflorus thrives in forests and shrublands at altitudes ranging from 200 to 1000 m (Figure 1). E. sessiliflorus plants resemble another medicinal plant called Eleutherococcus senticosus (E. senticosus) (also known as Siberian ginseng), often leading to confusion between the two. However, a notable distinction lies in the absence of thorns on E. sessiliflorus branches and the presence of short, nearly spherical fruit stalks.
The pharmacological effects of E. sessiliflorus have been recognized for centuries, with early records in ancient Chinese medicinal texts such as “Shennong’s Classic Materia Medica” (Shennong Bencao Jing) and the “Compendium of Materia Medica” (Bencao Gangmu) [4]. E. sessiliflorus has been revered as a high-quality herb, often described in phrases like “Prefer a handful of Eleutherococcus over a cartload of gold and jade.” Notably, the root barks of E. sessiliflorus are documented in the “Chinese Materia Medica” (Zhonghua Bencao) and “Dictionary of Traditional Chinese Medicine” (Zhongyao Dacidian) as a source of Wujia Pi. E. sessiliflorus is known for its properties in dispelling wind-dampness, strengthening tendons and bones, and promoting blood circulation while removing stasis [5]. It has been traditionally used to address conditions such as anemofrigid-damp arthralgia, sudden muscle contractions and spasms, lower back pain, impotence, weak lower limbs, delayed childhood mobility, edema, dermatophytosis, ulcers, abscesses, swellings, and traumatic injuries [5]. Furthermore, the tender stems of E. sessiliflorus hold culinary value and are consumed as a wild vegetable. With their crisp and tender texture, delightful taste, unique flavor, and abundant nutrition, they have been a part of the northeastern mountainous region’s diet for centuries.
Extensive research has investigated and isolated over 300 compounds from E. sessiliflorus, spanning a wide range of compound categories. These include monoterpenoids, sesquiterpenoids, and triterpenoids, as well as simple phenylpropanoids, lignans, coumarins, flavonoids, volatile oils, organic acids and their esters, nitrogenous compounds, quinones, phenolics, and carbohydrates. Notably, triterpenoids and lignans have gained significant attention in chemical composition research due to their remarkable potential for further research and development [6,7,8,9]. Since its approval as a new food resource by the Ministry of Health of the People’s Republic of China in 2008, E. sessiliflorus has become the foundation for a series of health products, such as tea, concentrated solutions, and wines, continuously entering the market. Modern pharmacological research has uncovered the remarkable properties of E. sessiliflorus, including its anti-inflammatory, antioxidant, antiplatelet aggregation, vasodilatory, cardioprotective, anti-aging, and anticancer effects [7,8,10,11,12]. Additionally, E. sessiliflorus can potentially improve glucose metabolism, cardiovascular function, and immune response.
Despite existing research that has summarized the phytochemistry and pharmacological effects of E. sessiliflorus, there are notable deficiencies in comprehensive coverage. These deficiencies include incomplete classification of components, partial listing of constituents, and a lack of chemical structure information for these components. Additionally, the mechanisms underlying the pharmacological effects are often inadequately detailed and clarified. Although there is a report that provides a good overview of the traditional uses, secondary metabolites, and pharmacology of Eleutherococcus species [13], the limited space may have resulted in the report only listing a few triterpenoids, certain lignins, and a limited number of flavonoids in E. sessiliflorus, totaling approximately 50 components. In contrast, our review reports a total of 314 components and provides structural information for each of these components.
Furthermore, our review focuses on a different classification of pharmacological research compared to the aforementioned report. Lastly, our review incorporates research findings on E. sessiliflorus from the past two years, offering a more up-to-date and comprehensive perspective. Therefore, this review aims to fill this gap by providing a comprehensive review of the phytochemistry and pharmacological effects of E. sessiliflorus. The goal of this endeavor is to serve as a valuable reference for future investigations into E. sessiliflorus, while also providing new insights for the rational utilization of E. sessiliflorus resources and the efficient development of related products.

2. Phytochemistry

There is a growing interest in utilizing E. sessiliflorus as a novel resource in the food industry, given the numerous bioactive compounds that have been successfully isolated and identified from its roots, stems, leaves, and fruits. The fact that it contains a large amount of triterpenoids, phenylpropanoids, and flavonoids highlights the rich potential of E. sessiliflorus as a valuable source of bioactive compounds for further exploration in functional food and nutraceutical applications.

2.1. Terpenoids

E. sessiliflorus primarily consists of triterpenoids and their saponins, with smaller amounts of monoterpenoids and sesquiterpenoids. The triterpenoids are predominantly isolated from the fruits and leaves, leading to the identification of seventy-six triterpenoids and their saponins (Table 1, Figure 2). These compounds mainly belong to the oleanane-type, lupane-type, and 3,4-seco-lupane triterpenoid categories. Notably, the 3,4-seco-lupane triterpenoids are unique to the Eleutherococcus genus, with the first 3,4-seco-lupane triterpenoid saponin being isolated in 1985 [14]. Later, this type of compound has been discovered in various Eleutherococcus species. Within E. sessiliflorus, thirty-six 3,4-seco-lupane triterpenoids have been isolated and identified, including compounds like chiisanogenin (2), chiisanoside (3), elesesterpene C (13), elesesterpene D (14), elesesterpene H (18), elesesterpene I (19) [15,16]. Chiisanogenin and chiisanoside produced significant anti-inflammatory effects at doses of 10 and 30 mg/kg, with the effect of chiisanogenin being superior to chiisanoside [17].
Among these triterpenoids, elesesterpenes A-K, isolated from the leaves, have garnered significant attention due to their remarkable anti-inflammatory activity. Moreover, these compounds exhibit significant anti-proliferative effects on various human cancer cell lines, including hepatocellular carcinomas (HepG2), lung adenocarcinoma (A549), and glioblastoma (LN229) [16]. On the other hand, acanthosessiliosides A-O, isolated from the fruits, have demonstrated inhibitory effects on lipopolysaccharide-induced RAW264.7 cells. Additionally, some of these compounds have exhibited inhibitory activities against six different human cancer cell lines, including colon adenocarcinoma, breast adenocarcinoma, ovarian adenocarcinoma, cervix adenocarcinoma, hepatoma, and melanoma [7,9]. The lupane-type compounds in E. sessiliflorus include betulin (44) and betulinic acid (45). Additionally, the oleanane-type compounds comprise oleanolic acid (4), 3-O-[(α-L-arabinopyranosyl)-(1→2)]-[β-D-glucuronopyranosyl-6-O-methyl ester]-olean-12-ene-28-olic acid (8), hederacoside D (23) [18,19,20] (Table 1, Figure 2), and numerous others. In cell-based studies, betulin, betulinic acid, and oleanolic acid potentiated β-cell function and mass and enhanced hepatic insulin sensitivity to regulate blood sugar [21].
Furthermore, the first identified ursane-type triterpenoid in E. sessiliflorus is ursolic acid (1), predominantly found in fruits [22]. Ursolic acid (100 mg/kg) reduces myocardial damage by inhibiting oxidative stress [23]. Triterpenoids have been extensively studied and have demonstrated remarkable pharmacological effects, including anti-inflammatory, antioxidant, anti-platelet aggregation, vasodilatory, and cardioprotective properties. Furthermore, pharmacokinetic studies have contributed to elucidating the mechanisms of action of E. sessiliflorus and have guided its clinical applications [24]. In comparison, research on monoterpenoids within E. sessiliflorus is relatively limited. Six monoterpenoids have been isolated from the ethanol extract of fruits, comprising five acyclic monoterpenoids and one cyclic monoterpenoid [25]. Additionally, two sesquiterpenoids, curcumenol (72), and nootkatone (73), have been identified from the leaves [20]. Curcumenol (2.5–20 μM) possesses potential anti-inflammatory activities by diminishing pro-inflammatory mediators and cytokines and suppressing the expression of regulatory proteins [26]. Nootkatone (10 mg/kg) could inhibit acute and chronic inflammatory responses in mice [27].
Table 1. Terpenoids isolated from Eleutherococcus sessiliflorus.
Table 1. Terpenoids isolated from Eleutherococcus sessiliflorus.
NO.NameFormulaThe exact Theoretical Molecular WeightSourceCharacterization MethodRefs.
1Ursolic acidC30H48O3456.3603fruits, leavesIR, 13C-NMR, 1H-NMR[22,28]
2ChiisanogeninC30H44O5484.3189fruits, leavesIR, 13C-NMR, 1H-NMR[15]
3ChiisanosideC48H74O19954.4824fruits, leavesIR, 13C-NMR, 1H-NMR[15]
4Oleanolic acidC30H48O3456.3603fruits, leaves, rootsHPLC, HPLC-MS[18,28,29]
522α-HydroxychiisanosideC48H74O20970.4773fruitsHPLC-MS, 13C-NMR, 1H-NMR[30]
6DivarosideC43H68O15824.4558leavesHPLC[10]
7Sessiloside-A1C36H54O10646.3717leavesHPLC, UV, IR, HR-MS[10,31]
83-O-[(α-L-Arabinopyranosyl)-(1→2)]-[β-D-glucuronopyranosyl-6-O-methyl ester]-olean-12-ene-28-olic acidC42H66O13778.4503fruitsMS, 13C-NMR, 1H-NMR, DEPT, HMBC, HMQC, NOESY[19]
9(1R,11α)-1,4-Epoxy-11-hydroxy-3,4-secolupane-20(30)-ene-3,28-Dioic acidC30H46O6502.3294fruitsMS, 13C-NMR, 1H-NMR, DEPT, HMBC, HMQC, NOESY[19]
10(1R,11α,22α)-1,4-Epoxy-11,22-hydroxy-3,4-secolupane-20(30)-ene-3,28-dioic acidC30H46O7518.3244fruitsMS, 13C-NMR, 1H-NMR, DEPT, HMBC, HMQC, NOESY[19]
11Elesesterpene AC30H46O6502.3294leavesX-ray, 13C-NMR, 1H-NMR [16]
12Elesesterpene BC31H48O5500.3502leavesX-ray, 13C-NMR, 1H-NMR[16]
13Elesesterpene CC50H80O19984.5294leavesX-ray, 13C-NMR, 1H-NMR[16]
14Elesesterpene DC49H78O18954.5188leaves, fruitsHR-MS, X-ray, 13C-NMR, 1H-NMR[9,16]
15Elesesterpene EC50H80O18968.5345leavesX-ray, 13C-NMR, 1H-NMR[16]
16Elesesterpene FC30H44O7516.3087leavesX-ray, 13C-NMR, 1H-NMR[16]
17Elesesterpene GC29H42O6486.2981leavesX-ray, 13C-NMR, 1H-NMR[16]
18Elesesterpene HC31H48O7532.3400leavesX-ray, 13C-NMR, 1H-NMR[16]
19Elesesterpene IC32H50O7546.3557leavesX-ray, 13C-NMR, 1H-NMR[16]
20Elesesterpene JC30H46O6502.3294leavesX-ray, 13C-NMR, 1H-NMR[16]
21Elesesterpene KC50H80O201000.5243leavesX-ray, 13C-NMR, 1H-NMR[16]
2224-HydroxychiisanosideC48H74O20970.4773leavesUPLC-Q-TOF-MS[20]
23Hederacoside DC53H86O221074.5611leavesUPLC-Q-TOF-MS[20]
24Cauloside DC53H86O221074.5611leavesUPLC-Q-TOF-MS[20]
25Nipponoside BC54H88O221088.5767leavesUPLC-Q-TOF-MS[20]
26Saniculoside NC55H88O221100.5767leavesUPLC-Q-TOF-MS[20]
27Guaianin NC41H66O12750.4554leavesUPLC-Q-TOF-MS[20]
28Eleutheroside IC41H66O11734.4605leavesUPLC-Q-TOF-MS[20]
29Hemsgiganoside BC48H76O19956.4981leavesUPLC-Q-TOF-MS[20]
301-DeoxyisochiisanosideC48H76O19956.4981leavesUPLC-Q-TOF-MS[20]
31Ciwujianoside C3C53H86O211058.5662leavesUPLC-Q-TOF-MS[20]
32Anhuienside CC53H86O211058.5662leavesUPLC-Q-TOF-MS[20]
33Ciwujianoside D1C55H88O221100.5767leavesUPLC-Q-TOF-MS[20]
34Ciwujianoside BC58H92O251188.5928leavesUPLC-Q-TOF-MS[20]
35Ciwujianoside D2C54H84O221084.5454leavesUPLC-Q-TOF-MS[20]
36Ciwujianoside EC40H62O11718.4292leavesUPLC-Q-TOF-MS[20]
37Ciwujianoside D3C55H88O231116.5716leavesUPLC-Q-TOF-MS[20]
38Alphitolic acidC30H48O4472.3553leavesNMR, MS[32]
3911-DeoxyisochiisanosideC48H76O19956.4981leavesIR, 13C-NMR, 1H-NMR [33]
40IsochiisanosideC48H76O19956.4981leavesIR, 13C-NMR, 1H-NMR[33]
413-Oxo-24-methylenecycloartanC31H50O438.3862fruitsMS, 13C-NMR, 1H-NMR[14]
42Schizandronic acidC30H46O3454.3447fruitsMS, 13C-NMR, 1H-NMR[14]
43Isomangiferolic acidC32H52O2468.3967fruitsMS, 13C-NMR, 1H-NMR[14]
44BetulinC30H50O2442.3811fruitsMS, 13C-NMR, 1H-NMR[14]
45Betulinic acidC30H48O3456.3603fruitsMS, 13C-NMR, 1H-NMR[14]
46Eleutheroside KC41H66O11734.4605fruitsMS, 13C-NMR, 1H-NMR[14]
4722-α-HydroxychiisanogeninC30H44O6500.3138fruitsMS, 13C-NMR, 1H-NMR[14]
48Acanthosessilioside FC36H54O11662.3666fruitsMS, 13C-NMR, 1H-NMR, DEPT, COSY, NOESY, HSQC, HMBC[7]
49Acanthosessiligenin IIC31H48O6516.3451fruitsMS, 13C-NMR, 1H-NMR, DEPT, COSY, NOESY, HSQC, HMBC[7]
50Acanthosessilioside BC37H58O11678.3979fruitsMS, 13C-NMR, 1H-NMR, DEPT, COSY, NOESY, HSQC, HMBC[7]
51Acanthosessilioside CC37H58O12694.3928fruitsMS, 13C-NMR, 1H-NMR, DEPT, COSY, NOESY, HSQC, HMBC[7]
52Acanthosessilioside EC36H56O11664.3823fruitsMS, 13C-NMR, 1H-NMR, DEPT, COSY, NOESY, HSQC, HMBC[7]
53Acanthosessilioside DC36H56O10648.3873fruitsMS, 13C-NMR, 1H-NMR, DEPT, COSY, NOESY, HSQC, HMBC[7]
54Acanthosessiligenin IC31H48O5500.3502fruitsMS, 13C-NMR, 1H-NMR, DEPT, COSY, NOESY, HSQC, HMBC[7]
55Acanthosessilioside AC36H56O9632.3924fruitsMS, 13C-NMR, 1H-NMR, DEPT, COSY, NOESY, HSQC, HMBC[7]
56SessilosideC48H76O20972.4930leaves, fruitsUPLC-MS, IR, 13C-NMR, 1H-NMR [9,33]
57Calenduloside E 6′-methyl esterC37H58O9646.4081fruitsIR, 13C-NMR, 1H-NMR, COSY, HSQC, HMBC[34]
58Acanthosessilioside GC42H66O15 810.4402fruitsUPLC-MS, 13C-NMR, 1H-NMR, IR[9]
59Acanthosessilioside H C48H76O19956.4981fruitsUPLC-MS, 13C-NMR, 1H-NMR, IR[9]
60Acanthosessilioside I C49H78O19970.5137fruitsUPLC-MS, 13C-NMR, 1H-NMR, IR[9]
61Acanthosessilioside OC49H78O211002.5036fruitsUPLC-MS, 13C-NMR, 1H-NMR, IR[9]
62Acanthosessilioside KC51H80O201012.5243fruitsUPLC-MS, 13C-NMR, 1H-NMR, IR[9]
63Acanthosessilioside LC49H78O19970.5137fruitsUPLC-MS, 13C-NMR, 1H-NMR, IR[9]
64Acanthosessilioside MC52H84O201028.5556fruitsUPLC-MS, 13C-NMR, 1H-NMR, IR[9]
65Acanthosessilioside NC49H78O211002.5036fruitsUPLC-MS, 13C-NMR, 1H-NMR, IR[9]
66(2E)-3,7-Dimethylocta-2,6-dienoate-6-O-α-L-arabinopyranosyl-(1→6)-β-D-glucopyranosideC21H34O11462.2101fruitsIR, HR-MS, 13C-NMR, 1H-NMR, DEPT, HMBC, HMQC, NOESY[25]
67(3Z,6E)-3,7-Dimethyl-3,6-octadiene-1,2,8-triolC10H18O3186.1256fruitsIR, HR-MS, 13C-NMR, 1H-NMR, DEPT, HMBC, HMQC, NOESY[25]
68(6E)-7-Methyl-3-methylene-6-octene-1,2,8-triolC10H18O3186.1256fruitsIR, HR-MS, 13C-NMR, 1H-NMR, DEPT, HMBC, [HMQC, NOESY[25]
69Kenposide AC21H36O10448.2308fruitsIR, HR-MS, 13C-NMR, 1H-NMR, DEPT, HMBC, HMQC, NOESY[25]
70Sacranoside BC21H36O10448.2308fruitsIR, HR-MS, 13C-NMR, 1H-NMR, DEPT, HMBC, HMQC, NOESY[25]
711-O-[(S)-Oleuropeyl]-β-D-glucopyranoseC16H26O8346.1628fruitsIR, HR-MS, 13C-NMR, 1H-NMR, DEPT, HMBC, HMQC, NOESY[25]
72CurcumenolC15H22O2234.1620leavesUPLC-MS[20]
73Nootkatone C15H22O218.1671leavesUPLC-MS[20]
74Icariside B1C19H30O8386.1941fruitsMS, 13C-NMR, 1H-NMR[14]
75Icariside B2C19H30O8386.1941fruitsMS, 13C-NMR, 1H-NMR[14]
76(6R,7E,9R)-9-Hydorxy-4,7-megastigmadien-3-one-9-O-β-D-apiofuranosyl-(1–6)-β-D-glucopyranosideC24H38O11502.2414fruitsMS, 13C-NMR, 1H-NMR[14]
IR: Infrared spectroscopy; 13C-NMR: Carbon-13 nuclear magnetic resonance spectrometry; 1H-NMR: Hydrogen-1 nuclear magnetic resonance spectrometry; HPLC: High-performance liquid chromatography; HPLC-MS: High-performance liquid chromatography-mass spectrometry; UV: Ultraviolet spectrophotometry; IR: Infrared spectroscopy; NMR: Nuclear magnetic resonance spectrometry; HR-MS: High-resolution mass spectrometry; MS: Mass spectrometry; DEPT: Distortionless enhancement by polarization transfer; HMBC: 1H Detected heteronuclear multiple bond correlation, HMQC: 1H Detected heteronuclear multiple quantum coherence, NOESY: Nuclear overhauser effect spectroscopy; X-ray: X-ray crystallographic analysis; UPLC-MS: Ultra performance liquid chromatography-mass spectrometry; COSY: (Homonuclear chemical shift) correlation spectroscopy; HSQC: Heteronuclear single quantum coherence.

2.2. Phenylpropanoids

E. sessiliflorus is rich in phenylpropanoids, with a total of sixty-three compounds identified, including simple phenylpropanoids, lignans, and coumarins (Table 2, Figure 3). A notable discovery in E. sessiliflorus was scoparone (lignans), which was isolated for the first time from its fruits, marking a novel finding within the Eleutherococcus genus [22]. Scoparone has anti-inflammatory, analgesic, and anti-coagulant effects. Recent research has found that it (500 μM) inhibits breast cancer cell viability through the NF-κB signaling pathway [35].
Starting with the roots of E. sessiliflorus, eight phenylpropanoid compounds were successfully isolated from the ethyl acetate fraction of the 70% ethanol extract. Among these compounds, lignans like (+)-episesamin (79), helioxanthin (80), and (−)-syringaresinol (82), alongside caffeic acid methyl ester (111) and p-hydrocoumaric acid (112) were found [36]. It is important to highlight that both (+)-episesamin and caffeic acid methyl ester represent newly discovered compounds within the Eleutherococcus genus. Moving on to the fruits, a total of nine lignan compounds were isolated from the ethanol extract. Among them, acanthosessilin A (92), a novel lignan, was identified for the first time in the Eleutherococcus genus. Additionally, other compounds like (+)-piperitol (90), (+)-xanthoxylol (91), and simplexoside (93) were observed, further enhancing our understanding of the repertoire of lignans in E. sessiliflorus. Interestingly, hinokinin (87) and (+)-pinoresinol (89) (Table 2, Figure 3) were also first discovered within E. sessiliflorus [37]. Hinokinin (20 or 40 mg/kg) protects against high-fat diet/streptozotocin-induced cardiac injury in mice by alleviating oxidative stress, inflammation, and apoptosis [38].
A comparative analysis was conducted to investigate the differences in the chemical composition among the roots of E. sessiliflorus, Eleutherococcus nodiflorus, and E. senticosus. Notably, the compounds taiwanin C (97) and taiwanin E (96) (Table 2, Figure 3) were found to be unique to E. sessiliflorus, highlighting its distinct chemical profile. Normal oral cells N28 and oral cancer cells T28 were treated with different concentrations of taiwanin C at 0, 1, 5, 10, 30, and 60 μM. Results showed the therapeutic potential of taiwanin C against arecoline-induced oral cancer and no significant cytotoxicity for normal oral cells [39]. Taiwanin E (0.5, 1, 5, 10, and 20 μM) inhibits cell migration in human lovo colon cancer cells by suppressing MMP-2/9 expression through the p38 MAPK pathway [40]. Moreover, a comparative analysis was carried out to examine the variation in the chemical composition among the roots of E. sessiliflorus, Eleutherococcus nodiflorus, and E. senticosus. It was discovered that fourteen components were common to E. senticosus and E. sessiliflorus. A comparative analysis was conducted to explore the differences in chemical composition among the roots of E. sessiliflorus, Eleutherococcus nodiflorus, and E. senticosus. Interestingly, it was observed that E. senticosus contained various phenolic glycosides that were not detected in both E. sessiliflorus and Eleutherococcus nodiflorus, suggesting a higher similarity in chemical composition between E. sessiliflorus and Eleutherococcus nodiflorus [6]. This finding supports considering E. sessiliflorus as a potential substitute for Eleutherococcus nodiflorus.
To examine the changes in content, a study employed HPLC to simultaneously measure six components in the green and mature fruits of E. sessiliflorus. The study observed that as the fruits of E. sessiliflorus matured, there was an increasing trend in the content of (−)-pinoresinol-4,4′-di-O-β-D-glucopyranoside (84), acanthoside D (85), acanthoside B (86), and scopolin (107) (Table 2, Figure 3). This suggests a gradual elevation in the concentration of active compounds during fruit growth, indicating the potential for higher medicinal properties [41]. Another investigation focused on determining the content of eleutheroside E and eleutheroside B in different parts (roots, stems, leaves, and fruits) of E. sessiliflorus through a 50% methanol extract. The results revealed that the fruits and stems had the highest contents of eleutheroside B and E. Importantly, no cytotoxic effects were observed on the normal cell line (DC2.4), and the roots extract exhibited a 23% inhibition rate on the stomach cancer cell line (SNU-719), highlighting its potential as a health food [42]. Furthermore, since the initial discovery of scoparone (105), a coumarin in E. sessiliflorus fruits, subsequent research has identified six coumarins from various parts of the plant, including the roots, stems, fruits, and leaves. Among these, seopoletin (108) and isofraxidin (109) (Table 2, Figure 3) have been identified in E. sessiliflorus, with contents of 30.5 μg/g and 7.90 μg/g, respectively [43]. Isofraxidin (3 and 15 mg/kg) possesses significant analgesic and anti-inflammatory activities that may be mediated by regulating pro-inflammatory cytokines, TNF-α and the phosphorylation of p38 and ERK1/2 [44].
Coumarins exhibit a diverse range of pharmacological effects, including but not limited to anti-inflammatory, anti-coagulant, antimicrobial, anticancer, antihypertensive, antituberculous, anticonvulsant, and antihyperglycemic activities. Additionally, they possess antioxidant and neuroprotective properties [45]. Notably, scoparone demonstrates anti-inflammatory, antioxidant, anti-apoptotic, anti-fibrotic, and lipid-lowering properties, making it a compound with multiple potential therapeutic benefits [46]. On the other hand, esculin (110), another coumarin found in E. sessiliflorus, exhibits anti-diabetic effects, promoting improvements in pancreatic damage, enhanced insulin secretion, and glucose homeostasis. In addition, esculin, a coumarin compound found in E. sessiliflorus, has several therapeutic properties, including anticancer, antibacterial, antiviral, neuroprotective, antithrombotic, and ophthalmic effects [47] (Table 2, Figure 3).
Simple phenylpropanoids in E. sessiliflorus have been extensively studied in fruits and roots (Table 2, Figure 3). Two specific phenylpropanoids, p-hydroxycoumaric acid (112) and caffeic acid (113), were identified in the 70% ethanol extract of the fruits [48]. Both p-Hydroxycoumaric acid and caffeic acid showed good antioxidant capacities [49]. Furthermore, 3,5-dihydroxycinnamic acid (122) was also isolated from the same extract, marking its first-time identification in E. sessiliflorus. This compound displayed potent ABTS and DPPH radical scavenging abilities, indicating its strong antioxidant properties [50]. Additionally, HPLC analysis was conducted to determine the content of seven organic acids (caffeic acid, chlorogenic acid, neochlorogenic acid, 1,3-dicaffeoylquinic acid, isochlorogenic acid A-C (113119) in the root at different growth stages ranging from four to eight years. The content of each organic acid increased with the age of the plant, with the 8th year showing the highest levels. Notably, chlorogenic acid was the most abundant [51].
Table 2. Phenylpropanoids isolated from Eleutherococcus sessiliflorus.
Table 2. Phenylpropanoids isolated from Eleutherococcus sessiliflorus.
NO.NameFormulaExact Theoretical Molecular WeightSourceCharacterization methodRefs.
77(−)-SesaminC20H18O6354.1103fruits, rootsIR, 13C-NMR, 1H-NMR, MS[22,36]
78LiriodendrinC34H46O18742.2684stem barksUnspecified[52]
79(+)-EpisesaminC20H18O6354.1103roots13C-NMR, 1H-NMR, MS[36]
80HelioxanthinC20H12O6348.0634roots13C-NMR, 1H-NMR, MS[36]
81SavininC20H16O6352.0947roots, leavesUPLC-MS, 13C-NMR, 1H-NMR, MS[20,36]
82(−)-SyringaresinolC22H26O8418.1628roots13C-NMR, 1H-NMR, MS[36]
83Eleutheroside EC34H46O18742.2684roots, stems, fruitsHPLC[42]
84(−)-Pinoresinol-4,4′-di-O-β-D-glucopyranosideC32H42O16682.2473fruitsHPLC[41]
85Acanthoside DC34H46O18742.2684fruits, roots, root barksUPLC- MS, HPLC, 13C-NMR, 1H-NMR[6,41,53]
86Acanthoside BC28H36O13580.2156fruits, roots, root barksUPLC- MS, HPLC, 13C-NMR, 1H-NMR[6,41,53]
87HinokininC20H18O6354.1103fruitsHR-MS, 13C-NMR, 1H-NMR, DEPT, COSY, HSQC, HMBC, NOESY, IR[37]
88(+)-SyringaresinolC22H26O8418.1628fruitsHR-EI-MS, 13C-NMR, 1H-NMR, DEPT, COSY, HSQC, HMBC, NOESY, IR[37]
89(+)-PinoresinolC20H22O6358.1416fruits, roots13C-NMR, 1H-NMR, MS, HR-MS, DEPT, COSY, HSQC, HMBC, NOESY, IR[36,37]
90(+)-PiperitolC20H20O6356.1260fruitsHR-MS, 13C-NMR, 1H-NMR, DEPT, COSY, HSQC, HMBC, NOESY, IR[37]
91(+)-XanthoxylolC20H20O6356.1260fruitsHR-MS, 13C-NMR, 1H-NMR, DEPT, COSY, HSQC, HMBC, NOESY, IR[37]
92Acanthosessilin AC20H24O6360.1573fruitsHR-EI-MS, 13C-NMR, 1H-NMR, DEPT, COSY, HSQC, HMBC, NOESY, IR[37]
93SimplexosideC26H30O11518.1788fruits, rootsUPLC- MS, HR-MS, 13C-NMR, 1H-NMR, DEPT, COSY, HSQC, HMBC, NOESY, IR[6,37]
94(+)-Pinoresinol di-O-β-D-glucopyranosideC32H42O16682.2473rootsUPLC-MS[6]
95Pluviatolide C20H20O6356.1260rootsUPLC-MS[6]
96Taiwanin EC20H12O7364.0583rootsUPLC-MS[6]
97Taiwanin CC20H12O6348.0634rootsUPLC-MS[6]
983-(3,4-Dimethoxybenzyl)-2-(3,4-methylenedioxybenzyl) butyrolactoneC21H22O6370.1416rootsUPLC-MS[6]
99(+)-l-Hydroxypinoresinol-l-O-β-D-glucosideC26H32O12536.1894fruitsMS, 13C-NMR, 1H-NMR[14]
100BalanophoninC20H20O6356.1260fruitsMS, 13C-NMR, 1H-NMR[14]
101Berchemol-4’-O-β-D-glucosideC26H34O12538.2050fruitsMS, 13C-NMR, 1H-NMR[14]
102Lariciresinol-4,4’-di-O-β-D-glucopyranosideC32H34O11594.2101fruitsMS, 13C-NMR, 1H-NMR[14]
103Icariside E3C26H36O11524.2258fruitsMS, 13C-NMR, 1H-NMR[14]
104(7S,8R)-Erythro-7,9,9’-trihydroxy-3,3’-dimethoxy-8-O-4’-neolignan-4-O-β-D-glucopyranosideerythroC26H36O12540.2207fruitsMS, 13C-NMR, 1H-NMR[14]
105ScoparoneC11H10O4206.0579fruitsIR, 13C-NMR, 1H-NMR[22]
106Isofraxidin-7-O-α-D-glucosideC13H12O5248.0685stemsIR, 13C-NMR, 1H-NMR[54]
107ScopolinC16H18O9354.0951fruitsHPLC[41]
108ScopoletinC10H8O4192.0423fruitsHPLC-MS, 13C-NMR, 1H-NMR[30]
109IsofraxidinC11H10O5222.0528roots, fruits, leavesUPLC-MS, HPLC-MS, HPLC[20,29,43]
110EsculinC15H16O9340.0794leavesUPLC-MS[20]
111Caffeic acid methyl esterC10H10O4194.0579roots13C-NMR, 1H-NMR, MS[36]
112p-Hydrocoumaric acidC9H10O3166.0630roots, fruits13C-NMR, 1H-NMR, MS[36,48]
113Caffeic acidC9H8O4180.0423roots, fruits13C-NMR, 1H-NMR, MS, HPLC[48,51]
114Chlorogenic acidC16H18O9354.0951rootsHPLC[51]
115Neochlorogenic acidC16H18O9354.0951rootsHPLC[51]
1161,3-Dicaffeoylquinic acidC25H24O12516.1268rootsHPLC[51]
117Isochlorogenic acid BC25H24O12516.1268rootsHPLC[51]
118Isochlorogenic acid AC25H24O12516.1268rootsHPLC[51]
119Isochlorogenic acid CC25H24O12516.1268rootsHPLC[51]
120SyringinC17H24O9372.1420root barks, stemsHPLC[42,55]
121Caffeoylquinic acidC16H18O9354.0951roots, leavesUPLC-MS, UPLC-MS[6,20]
1223,5-Dihydroxycinnamic acidC9H8O4180.0423fruitsNMR, MS, IR[50]
123Chlorogenic acid methyl esterC17H20O9368.1107root barks13C-NMR, 1H-NMR[53]
124Cryptochlorogenic acidC16H18O9354.0951leavesUPLC-MS[20]
1253-Feruloylquinic acid C17H20O9368.1107leavesUPLC-MS[20]
1264-Feruloylquinic acidC17H20O9368.1107leavesUPLC-MS[20]
1271,4-Dicaffeoylquinic acidC25H24O12516.1268leavesUPLC-MS[20]
1283-Feruloyl-5-caffeoylquinic acidC26H26O12530.1424leavesUPLC-MS[20]
129Angoroside CC36H48O19784.2790leavesUPLC-MS[20]
130Ferulic acidC10H10O4194.0579leaves, rootsUPLC-MS, HPLC-MS[20,29]
131Cinnamic acidC9H8O2148.0524rootsHPLC-MS[29]
132(7S,8R) Dihydrodehydrodiconiferyl alcohol 4-O-β-D-glucopyranosideC26H34O11522.2101fruitsMS, 13C-NMR, 1H-NMR[14]
133ConiferinC16H22O8342.1315fruitsMS, 13C-NMR, 1H-NMR[14]
1344-O-(2-O-β-D-Glucopyranosyl-1-hydroxymethylethly)-dihydroconiferyl alcoholC19H30O10418.1839fruitsMS, 13C-NMR, 1H-NMR[14]
1351-Allyl-3-methoxyhenyl-6-O-β-D-apiofuranosyl-(1′′-6′)-β-D-glucopyranosideC21H30O11458.1788fruitsMS, 13C-NMR, 1H-NMR[14]
136Hovetrichoside GC21H30O12474.1737fruitsMS, 13C-NMR, 1H-NMR[14]
137Eugenyl β-rutinosideC22H32O11472.1945fruitsMS, 13C-NMR, 1H-NMR[14]
138CiwujiatoneC22H26O9434.1577root barks13C-NMR, 1H-NMR[53]
139Cnidimol DC15H16O6292.0947leavesUPLC-MS[20]
IR: Infrared spectroscopy; 13C-NMR: Carbon-13 nuclear magnetic resonance spectrometry; 1H-NMR: Hydrogen-1 nuclear magnetic resonance spectrometry; MS: Mass spectrometry; UPLC-MS: Ultra performance liquid chromatography-mass spectrometry; HPLC: High-performance liquid chromatography; HR-MS: High-resolution mass spectrometry; DEPT: Distortionless enhancement by polarization transfer; COSY: (Homonuclear chemical shift) correlation spectroscopy; HMBC: 1H Detected heteronuclear multiple bond correlation, HMQC: 1H Detected heteronuclear multiple quantum coherence, NOESY: Nuclear overhauser effect spectroscopy; HPLC-MS: High-performance liquid chromatography-mass spectrometry.

2.3. Flavonoids

To date, twenty-five flavonoids have been identified from E. sessiliflorus (Table 3, Figure 4). These include three flavones, thirteen flavonols, two flavanones, three flavanonols, one chalcone (butein, (162)), one biphenylketone (mangiferin, (163)), one flavan-3-ol (catechin-7-O-β-glucopyranoside, (164)), and one anthocyanin (cyanidin 3-xylosyl-galactoside, (165)) [14,20,32,56]. Butein is a promising anticancer molecule, and its major modes of action in different cancer cells are apoptosis and interference with cell cycle [57]. Mangiferin (40, 80, and 120 mg/kg) decreased macrophage phagocytosis but increased NK cell activities in vivo. Meanwhile, it increased the survival rate of leukemia mice in vivo [58]. Six flavonoids have been isolated and purified from the 70% extract of E. sessiliflorus leaves. Among them, dihydromyricetin (158), taxifolin (159), and butein (161) were identified for the first time within the Eleutherococcus genus. Furthermore, researchers confirmed that these compounds exhibited relatively weak cytotoxic activity against the cell line A549 (IC50 < 88.2 μM), suggesting their potential as advantageous candidates for anticancer drugs [32].
E. sessiliflorus is recognized as a novel functional food with a rich content of protein, fiber, and minerals within its fruits. Presently, E. sessiliflorus is being cultivated in Poland and has gained appreciation from vegetarian enthusiasts [59]. Additionally, an analysis of flavonoid content was conducted across four Eleutherococcus species, namely Eleutherococcus henryi, Eleutherococcus koreanum, E. senticosus and E. sessiliflorus. Notably, both the roots and stems and the fruits of E. senticosus and E. sessiliflorus exhibit elevated levels of total flavonoids. Moreover, hyperin is the most abundant flavonoid within E. sessiliflorus [60,61]. Hyperin has proven effective in various domains, such as anti-inflammatory, antibacterial, antiviral, neuroprotective, antidepressant, and organ-protective properties. Its broad application in the field of anti-tumor treatments is particularly noteworthy, showing efficacy against lung cancer, cervical cancer, gastric cancer, colorectal cancer, pancreatic cancer, breast cancer, and ovarian cancer [62]. Therefore, the flavonoid-rich E. sessiliflorus presents a promising avenue in the domains of medicinal natural products, dietary supplements, and beverages, serving as a potential source of agricultural and industrial innovation.
Table 3. Flavonoids isolated from Eleutherococcus sessiliflorus.
Table 3. Flavonoids isolated from Eleutherococcus sessiliflorus.
NO.NameFormulaExact Theoretical Molecular WeightSourceCharacterization MethodRefs.
140HyperinC21H20O12464.0955fruits, roots IR, 13C-NMR, 1H-NMR, HPLC-MS[22,29]
141OmbuinC17H14O7330.0740stemsIR, 13C-NMR, 1H-NMR[54]
142AcacetinC16H12O5284.0685stemsIR, 13C-NMR, 1H-NMR[54]
143QuercetinC15H10O7302.0427stems, fruits, roots, leaves HPLC-MS, MS, IR, 13C-NMR, 1H-NMR, HPLC[29,32,54,61]
144KaempferolC15H10O6286.0477stems, roots,HPLC-MS, IR, 13C-NMR, 1H-NMR[29,54]
145KaempferitrinC27H30O14578.1636stemsIR, 13C-NMR, 1H-NMR[54]
146RutinC27H30O16610.1534stems, roots, fruits HPLC[60,61]
147AfzelinC21H20O10432.1056stems, roots, fruitsHPLC[60,61]
148AntosideC29H36O15624.2054rootsUPLC-MS[6]
149KaempferideC16H12O6300.0634fruitsHPLC[63]
150MyricitrinC21H20O12464.0955leavesUPLC-MS[20]
151IsorhamnetinC16H12O7316.0583leavesUPLC-MS[20]
152AstragalinC21H20O11448.1006leavesUPLC-MS[20]
153LuteolinC15H10O6286.0477rootsHPLC-MS[29]
154IsooirenitnC21H20O11448.1006fruits13C-NMR, 1H-NMR[14]
155Isorhamnetin-3-O-rutinosideC28H32O16624.1690fruits13C-NMR, 1H-NMR[14]
156CatechinC15H14O6290.0790leaves, rootsUPLC-MS, HPLC-MS[20,29]
157DihydromyricetinC15H12O8320.0532leaves13C-NMR, 1H-NMR, MS[32]
158TaxifolinC15H12O7304.0583leaves13C-NMR, 1H-NMR, MS[32]
159NaringeninC15H12O5272.0685leaves13C-NMR, 1H-NMR, MS[32]
160LiquiritigeninC15H12O4256.0736leaves13C-NMR, 1H-NMR, MS[32]
161ButeinC15H12O5272.0685leaves13C-NMR, 1H-NMR, MS[32]
162MangiferinC19H18O11422.0849leavesUPLC-MS[20]
163Catechin-7-O-β-glucopyranosideC21H24O11452.1319fruits13C-NMR, 1H-NMR[14]
164Cyanidin-3-xylosyl-galactosideC21H21ClO11484.0772fruits13C-NMR, 1H-NMR[56]
IR: Infrared spectroscopy; 13C-NMR: Carbon-13 nuclear magnetic resonance spectrometry; 1H-NMR: Hydrogen-1 nuclear magnetic resonance spectrometry; MS: Mass spectrometry; HPLC-MS: High-performance liquid chromatography-mass spectrometry; HPLC: High-performance liquid chromatography; UPLC-MS: Ultra performance liquid chromatography-mass spectrometry.

2.4. Volatile Oils

Regarding volatile oils, the volatile oils of E. sessiliflorus are well-known for their anti-inflammatory and stomach-invigorating properties. Traditional medicine has utilized these oils to treat ailments such as rheumatism and sprains. Not only are these volatile oils beneficial for medicinal purposes, but they can also be used for blending various kinds of perfume. Extensive research has identified fifty-five components from volatile oils, the majority being terpenoids and their derivatives. Among these components, farnesol (176) (Table 4, Figure 5) has been found to have the highest content [64,65]. Determination of the volatile oil content is crucial for optimizing extraction techniques and refining processes. Previous research serves as a valuable reference for the development and utilization of volatile oils from E. sessiliflorus [59,66].

2.5. Organic Acids (Esters)

A comprehensive analysis has identified thirty-two organic acids (esters) in E. sessiliflorus (Table 5, Figure 6). These natural organic acids possess significant antioxidant and anti-inflammatory properties and immunomodulatory effects. The content of organic acids may vary depending on geographic location or plant parts. Utilizing these variations can serve as a basis for evaluating the quality of E. sessiliflorus [68]. Furthermore, organic acids, important secondary metabolites, are often used as evaluative indicators to explore differences among various plants. In a comparative analysis conducted on the chemical composition and sedative-hypnotic activity of the leaves of E. sessiliflorus and E. senticosus, various organic acids (esters) were identified in both plants [20].
To gain insights into the primary metabolites of the leaves, a metabolomic analysis of E. senticosus and E. sessiliflorus was conducted using gas chromatography-mass spectrometry technology. This analysis included components such as amino acids, organic acids, and fatty acids. Interestingly, the study revealed minimal differences in the composition changes between the leaves of both plants across different periods from May to October. The accumulation of organic acids predominantly occurred during the vigorous growth and senescence phases of the leaves. The above findings provide a reliable basis for dynamically detecting leaf changes using organic acids [67].

2.6. Nitrogenous Compounds

Nitrogenous compounds are vital molecules widely distributed in nature and hold significant biological importance. Many organic compounds containing nitrogen exhibit notable biological activities, including alkaloids and amino acids. In the case of E. sessiliflorus, twenty nitrogenous compounds have been identified, with the majority being found in the leaves (Table 6, Figure 7). The discovery of sessiline (252) in the fruits has expanded our understanding of nitrogenous compounds in E. sessiliflorus [70]. Advanced techniques such as ultra-performance liquid chromatography-mass spectrometry have been employed to identify eight nitrogenous compounds [20]. Additionally, four alkaloids have been identified, namely perlolyrine (264), flazine (265), 1-methyl-1,2,3,4-tetrahydro-β-carboline-3-carboxylic acid (266), and adenosine (269) [14]. Perlolyrine (20 mg/kg) has a strong anti-platelet effect and a certain degree of antithrombotic effect [71]. Adenosine (10 mg/L in distilled water) induces the activation of AMPK in skeletal muscle and mitigates insulin resistance in mice with high-fat diet-induced diabetes [72].
One noteworthy nitrogenous compound is palmitoylethanolamide (253), an endogenous mediator. It has demonstrated favorable tolerability and lacks adverse effects on the body. Palmitoylethanolamide exhibits a broad spectrum of effects, including anti-inflammatory, analgesic, antibacterial, immunomodulatory, and neuroprotective properties [73]. Another compound of interest is oleamide (255), which has shown efficacy in sleep enhancement, temperature regulation, and analgesia [74]. However, research on the amino acids present in E. sessiliflorus has been limited. Only five amino acids have been identified in this plant, namely ethanolamine (263), 3-hydroxy-L-proline (267), γ-aminobutyric acid (268), phenylalanine (270), and L-norvaline (271) [14,20,67,75]. L-Norvaline (250 mg/L in animals’ water) reverses cognitive decline and synaptic loss in a murine model of Alzheimer’s disease [76].
Table 6. Nitrogenous compounds isolated from Eleutherococcus sessiliflorus.
Table 6. Nitrogenous compounds isolated from Eleutherococcus sessiliflorus.
NO.NameFormulaExact Theoretical Molecular Weight SourceCharacterization MethodRefs.
252SessilineC10H11NO4209.0688fruitsIR, 13C-NMR, 1H-NMR, COSY[70]
253PalmitoylethanolamideC18H37NO2299.2824leavesUPLC-MS[20]
254HexadecanamideC16H33NO255.2562leavesUPLC-MS[20]
255OleamideC18H35NO281.2719leavesUPLC-MS[20]
256Pheophorbide AC35H36N4O5592.2686leavesUPLC-MS[20]
257Pyropheophorbide AC33H34N4O3534.2631leavesUPLC-MS[20]
258StearamideC18H37NO283.2875leavesUPLC-MS[20]
259L-2-BenzylaminooctanolC15H25NO235.1936leavesGC-MS[67]
260IsoquinoliniumC9H8N+130.0651leavesGC-MS[67]
261CadaverineC5H14N2102.1157leavesGC-MS[67]
262n-ButylamineC4H11N73.0891leavesGC-MS[67]
263EthanolamineC2H7NO61.0528leavesGC-MS[67]
264PerlolyrineC16H12N2O2264.0899fruitsMS, 13C-NMR, 1H-NMR[14]
265FlazineC17H12N2O4308.0797fruitsMS, 13C-NMR, 1H-NMR[14]
2661-Methyl-1,2,3,4-tetrahydro-β-carboline-3-carboxylic acidC13H14N2O2230.1055fruitsMS, 13C-NMR, 1H-NMR[14]
2673-Hydroxy-L-prolineC5H9O3N131.0582fruitsMS, 13C-NMR, 1H-NMR[14]
268γ-Aminobutyric acidC4H9NO2103.0633aerial partHPLC[75]
269AdenosineC10H13N5O4267.0968leaves, fruitsMS, 13C-NMR, 1H-NMR, UPLC-MS[14,20]
270PhenylalanineC9H11NO2165.0790leavesUPLC-MS[20]
271L-NorvalineC5H11NO2117.0790leavesGC-MS[67]
IR: Infrared spectroscopy; 13C-NMR: Carbon-13 nuclear magnetic resonance spectrometry; 1H-NMR: Hydrogen-1 nuclear magnetic resonance spectrometry; COSY: (Homonuclear chemical shift) correlation spectroscopy; UPLC-MS: Ultra performance liquid chromatography-mass spectrometry; GC-MS: Gas chromatography-mass spectrometry; MS: Mass spectrometry; HPLC: High-performance liquid chromatography.

2.7. Others

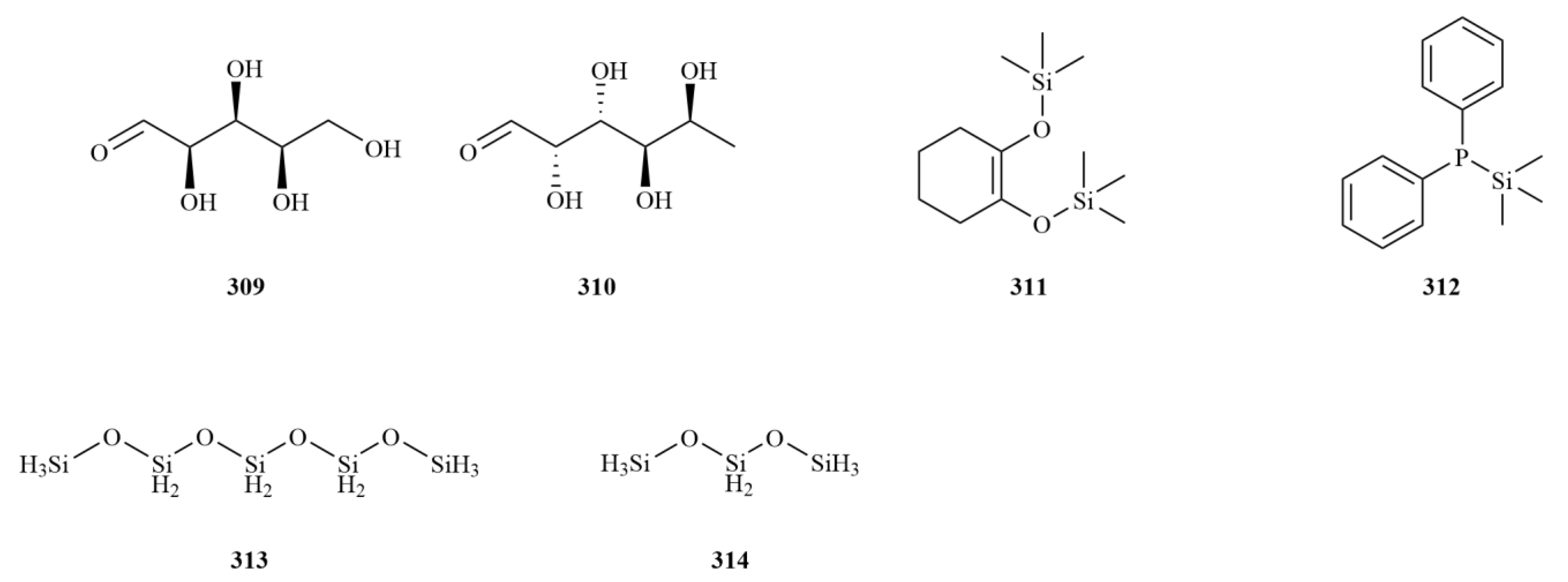
In addition to the abovementioned compounds, several others have been isolated from E. sessiliflorus. Currently, two quinones, frangulin B (272) and purpurin (273) have been identified. Purpurin shows antigenotoxic, anticancer, neuromodulatory, and antimicrobial potential associated with antioxidant action [77]. Seven phenolics and derivatives (274280), six steroids (281286), three alcohol compounds (287289), twenty-one glycosides (290310), and four silicon-containing compounds (311314) (Table 7, Figure 8) have also been identified. Most of these compounds are secondary metabolites found in the leaves of E. sessiliflorus.

3. Pharmacological Activities

In recent years, with the rapid development and widespread recognition of traditional Chinese medicine, pharmacological research focusing on E. sessiliflorus has surged [13]. This increased attention from scholars has resulted in significant progress in understanding the pharmacological properties of E. sessiliflorus. The therapeutic effects of E. sessiliflorus are closely tied to its chemical constituents, which comprise a diverse array of compounds, including terpenoids, flavonoids, and phenylpropanoids. These bioactive compounds contribute to various pharmacological benefits associated with E. sessiliflorus, including antioxidative, anti-aging, anti-stress, anti-platelet aggregation, and anti-tumor effects.

3.1. Antioxidant Activity

Antioxidants are known for their ability to reduce oxidative stress, slow down oxidation processes, and preserve food quality while preventing degenerative diseases. E. sessiliflorus exhibits potent antioxidant activity due to the synergistic effect of its chemical constituents [79]. The flavonoids present in E. sessiliflorus extract have shown a strong correlation with hydroxyl radical scavenging activity. E. sessiliflorus methanol extract has been found to possess the highest capacity for scavenging hydroxyl radicals (82.35 ± 1.54%) compared to other plants, including Astragalus membranaceus, Polygonatum stenophyllum, and Angelica gigas [80].
Moreover, the polyphenols found in E. sessiliflorus also exhibit notable antioxidant activity. The extracts derived from the roots, stems, leaves, and fruits of E. sessiliflorus have demonstrated significant nitrite-scavenging capacity (76.00–81.50%) at pH 1.2. Therefore, the aqueous extract of E. sessiliflorus has shown the ability to inhibit the formation of nitrosamines in food [81]. E. sessiliflorus fruit extract (2 mg/mL) has also been found to inhibit the production of TNF-α (decrease of 19 ± 6%) and IL-6 (decrease of 24 ± 3%) induced by lipopolysaccharide, as well as suppress COX-2 luciferase activity (decrease of 98 ± 2%) [82]. These antioxidant and anti-inflammatory effects have led to the incorporation of E. sessiliflorus as a functional food ingredient in products such as spicy chicken sauce and wine. For instance, in spicy chicken sauce, E. sessiliflorus extract is added at a concentration of 2%, resulting in a high total polyphenol content and strong DPPH and ABTS free radical scavenging activity (12.51 ± 0.33% and 8.43 ± 0.29%) along with anti-bacterial activity [83]. Another popular application of E. sessiliflorus is incorporating E. sessiliflorus seeds into pork meat Wanja. In this case, E. sessiliflorus seeds are added at a concentration of 0.5%, along with Cinnamomum lureitri at 1.0% and Angelica gigas Nakai at 0.5%. This combination significantly reduces the acidity and peroxide values of pork meat Wanja, extending its shelf life by up to ten days [84].
The antioxidant activities of E. sessiliflorus can also be harnessed in beverages and wine. The addition of E. sessiliflorus juice to fruit juice or E. sessiliflorus extract to wine not only enhances the antioxidant activity (scavenging rates of DPPH and ABTS were 64.80% and 73.30%) of the products but also improves their taste by reducing acidity and bitterness [85,86].

3.2. Anti-Aging Activity

The antioxidative activity of E. sessiliflorus is particularly noteworthy. Free radicals and oxidative stress play a crucial role in the aging process, and E. sessiliflorus has shown potential in combating these challenges. Cellular antioxidants, endogenous (such as glutathione and vitamin E) and derived from dietary sources, can scavenge free radicals and alleviate cellular oxidative stress. Recognizing the importance of identifying natural and safe plant sources with potent free radical scavenging capabilities, research has focused on exploring E. sessiliflorus extracts. These extracts have exhibited significant improvements in resistance to oxidative stress. For instance, E. sessiliflorus extract has been found to enhance the survival rate of Caenorhabditis elegans under oxidative stress conditions. The 500 mg/L stem extract has demonstrated a notable improvement in the thermotolerance of Caenorhabditis elegans, increasing their survival time after exposure to ultraviolet radiation by 13.3% [87].
Similarly, the leaf extract (500 mg/L) has been shown to enhance thermotolerance, increasing the survival of Caenorhabditis elegans up to 57.2 ± 5.30% without affecting their reproductive capacity [88]. Notably, the root extract has augmented the antioxidant capacity of mice, increasing their survival time after heat shock (77.7 ± 8.87%) and ultraviolet irradiation (31.1%). Additionally, the 500 mg/L root extract has shown a protective effect against human Aβ amyloid-induced toxicity in Caenorhabditis elegans (p < 0.001), suggesting a potential role in regulating the aging process in these nematodes [89]. It is worth noting that the effects of E. sessiliflorus extracts may vary among different plant parts. For instance, various parts’ extracts show varying resistances to ultraviolet radiation, with only the stems’ extract significantly reducing DNA oxidative damage in rat lymphocytes. Therefore, it is essential to study the distinct parts of E. sessiliflorus separately to further explore its medicinal and nutritional applications in the future.
Furthermore, investigations have been carried out to uncover the anti-aging effects of E. sessiliflorus using Drosophila melanogaster as a model organism. Results have indicated that the ethyl acetate extract fraction and n-butanol extract fraction of the alcohol extract from E. sessiliflorus leaves exhibited significant extensions in the lifespan of Drosophila melanogaster (8.20–21.43%) within the concentration range of 0.25 mg/mL to 2.5 mg/mL. Interestingly, a concentration-dependent trend was observed, where the extension rate initially increased with the rise in extract concentration. Drosophila melanogaster had the longest lifespan at 1.25 mg/mL, subsequently decreasing. The above findings provide additional evidence supporting the potential anti-aging properties of E. sessiliflorus [90]. However, the precise underlying mechanism of action behind these effects is yet to be fully elucidated.

3.3. Anti-Stress Activity

The fruits of E. sessiliflorus contain polymeric and glycosidic compounds composed of a series of monosaccharides, including mannose, rhamnose, and glucose. These compounds have demonstrated significant anti-stress effects, such as anti-fatigue properties, tolerance to hypoxia, and the enhancement of immune regulatory capacity. Notably, these effects have been observed at two different dosage levels of the fruit polysaccharides (200 mg/kg and 400 mg/kg), highlighting their pronounced anti-fatigue properties. Specifically, mice administered the 400 mg/kg dose showed a doubling of swimming time compared to the control group, indicating improved carbon particle clearance ability with enhanced swallow index (0.0613 ± 0.0067) and swallow coefficient (6.559 ± 0.518) in mice. Furthermore, a dose of 200 mg/kg significantly improved the survival time of mice under hypoxia (32.48 ± 2.99 min) [78,91].
Furthermore, the polyphenols present in E. sessiliflorus (100 mg/kg and 200 mg/kg) have been shown to significantly prolong the exhaustive swimming time of mice by 14.35 and 17.38 min, respectively. These polyphenols inhibit the depletion of liver glycogen, raising its levels from 2.53 mg/mL in the control group to 2.92 mg/mL and 3.03 mg/mL. Moreover, they increase muscle glycogen content by 28.82% and 35.08%, enhance the activity of glutathione peroxidase in mice (114.67 U/mL and 109.62 U/mL), and reduce lactate levels by 10.96% and 17.44% and creatine kinase levels by 26.43 ng/mL and 26.57 ng/mL. Collectively, these effects contribute to elevated resistance to fatigue in mice [92].
E. sessiliflorus also exhibits sedative and hypnotic effects. The combination of E. sessiliflorus fruit extract (1175 mg/kg and 585 mg/kg) with barbiturate drugs (60 mg/kg) synergistically prolongs the sleep time induced by pentobarbital sodium. In animals administered sub-threshold hypnotic doses (30 mg/kg) of pentobarbital sodium, E. sessiliflorus induces a sleep state. Additionally, E. sessiliflorus fruit extract (810 mg/kg) reduces animal locomotion and impairs motor coordination [93].
Similarly, the combined administration of the aqueous and alcohol extracts of E. sessiliflorus leaves and fruits with 5-hydroxytryptophan has been shown to induce sleep in mice. Notably, the ethanolic extract of the fruits (32 mg/kg) significantly increased the mice’s sleep onset rate. Additionally, the aqueous and alcoholic extracts of fruits or leaves (8 mg/kg) exhibited a synergistic effect with 5-hydroxytryptophan (2.5 mg/kg). This combination also alleviated insomnia induced by p-chlorophenoxyacetic acid. These extracts counteracted the stimulatory effects caused by flumazenil and thiosemicarbazide in mice, suggesting a correlation between their sedative effects and the neurotransmitter systems involving 5-hydroxytryptamine and γ-aminobutyric acid.
Moreover, the alcohol extract of E. sessiliflorus leaves and fruits exhibited stronger sedative and hypnotic activities than the aqueous extract. This difference can be attributed to higher levels of isofraxidin, a component known for its sedative and hypnotic effects, in the alcohol extract. Saponin components also significantly contributed to the sedative and hypnotic effects [94,95].
Network pharmacology analysis has identified the targets underlying the sedative and hypnotic effects of E. sessiliflorus. Enzymes constitute the highest proportion of these targets (17.44%), followed by receptors (25.00%), including 5-hydroxytryptamine and γ-aminobutyric acid-A receptors. This finding suggests that the sedative and hypnotic effects of E. sessiliflorus primarily involve modulating specific enzymes and receptors [20].

3.4. Anti-Platelet Aggregation Activity

Platelet aggregation, which occurs when platelets are exposed to external stimuli, is a crucial step in the formation of platelet thrombi, leading to thrombotic diseases. These diseases pose a significant threat to human health, with high mortality and disability rates. While various medications have been developed to treat thrombotic conditions, their adverse reactions, such as bleeding tendencies, gastrointestinal discomfort, and hepatotoxicity, have propelled researchers to focus on developing naturally safe therapeutic agents.
Studies have investigated the effects of water decoctions and active components (total saponins, total flavonoids, and lupane-type triterpenoid saponins) derived from the leaves of E. senticosus and E. sessiliflorus (concentrations of both 25 mg/kg and 100 mg/kg) on adenosine diphosphate-induced anti-platelet aggregation and antithrombotic activity. These investigations assessed toxicity-related parameters, including mouse platelet toxicity, prothrombin time, bleeding time, mouse tail length, and the occurrence rate of tail necrosis. The results revealed that the flavonoids in both E. senticosus and E. sessiliflorus leaves exhibited varying degrees of inhibition of thrombus formation induced by carrageenan in mice. This inhibition led to a reduction in the length of thrombus formation in the mouse tail. Moreover, the flavonoids (25 mg/kg and 100 mg/kg) increased the levels of serum cAMP (3.10 ± 0.22 nM and 3.19 ± 0.31 nM) in mice and suppressed the abnormally elevated serum TXB2 induced (1.28 ± 0.20 nM and 0.95 ± 0.12 nM) by carrageenan, with the most prominent effects observed with the total flavonoids from E. sessiliflorus leaves [96].
Furthermore, E. sessiliflorus fruits contain a significant amount of oleanolic acid, which has demonstrated a notable anti-platelet aggregation effect [18]. Additionally, three novel triterpenoids isolated from the fruits have exhibited similar anti-platelet aggregation effects to acetylsalicylic acid in vitro experiments. Administration of a 70% ethanol extract of E. sessiliflorus fruits at a dose of 1000 mg/kg in rats resulted in the highest inhibition of platelet aggregation, reaching 61.3%. Both in vitro and in vivo studies have confirmed the significant anti-platelet aggregation and antithrombotic effects of these compounds. Furthermore, they have been shown to influence the release of adenosine diphosphate, thus impacting platelet aggregation [97].
The above findings highlight the potential of E. sessiliflorus, particularly its flavonoids and triterpenoids, as effective natural agents for inhibiting platelet aggregation and preventing thrombotic diseases. Further research and exploration of the underlying mechanisms behind these effects are warranted to fully understand the therapeutic potential of E. sessiliflorus in the context of thrombotic conditions.

3.5. Effects on Glucose Metabolism

E. sessiliflorus roots (5 mg/kg) have shown promising effects in accelerating the decline in alimentary hyperglycemia concentration and increasing hepatic glycogen content [98]. Moreover, E. sessiliflorus leaves have demonstrated the ability to significantly lower blood glucose levels in diabetic rats, improve lipid metabolism, reduce total cholesterol and low-density lipoprotein levels, and elevate high-density lipoprotein levels. Notably, the concentration of triglycerides decreased by 60.80% compared to the control group [99]. Additionally, an herbal formulation containing E. sessiliflorus, along with Panax ginseng, Astragalus membranaceus, Glycyrrhiza uralensis, and other herbs, has exhibited remarkable improvements in blood glucose (442.50 ± 36.00 mg/dL), cholesterol (159.20 ± 18.40 mg/dL), blood glycated hemoglobin (6.30 ± 0.8 mg/dL), and plasma triglyceride levels (99.40 ± 15.00 mg/dL) in db/db mice (C57BL/Ks mice), which are commonly used as a model for diabetes. This formulation holds potential for the prevention and treatment of diabetes and its complications [100]. Further research has shown that the stems of E. sessiliflorus affect diabetes and its complications by inhibiting the activity of aldose reductase [101]. Moreover, the flavonoids present in the stems of E. sessiliflorus (100 mg/kg and 300 mg/kg) can regulate the upregulation of INSRR, HNF1A, and GLUT10 expression, thereby modulating blood glucose levels and alleviating disruptions in lipid metabolism [102].
The above findings emphasize the potential of E. sessiliflorus as a natural remedy for managing glucose metabolism and addressing issues associated with diabetes. However, further research is necessary to explore the underlying mechanisms and optimize the utilization of E. sessiliflorus in diabetes treatment.

3.6. Effects on the Cardiovascular System

The polyphenols extracted from E. sessiliflorus fruits (75 mg/kg and 150 mg/kg) have been found to significantly reduce the protein expression levels of intercellular cell adhesion molecule-1, vascular cell adhesion molecule-1, phospho-p38, and phospho-ERK1/2. As a result, they can effectively lower serum lipid levels, adhesion molecule levels, and inflammatory factor levels in rats, reducing lipid deposition in the aorta. This demonstrates a preventive effect against atherosclerosis [103].
Furthermore, the 3,4-seco-lupane triterpenoids (chiisanoside, divaroside, sessiloside-A, and chiisanogenin) found in E. sessiliflorus leaves exhibit potent antiarrhythmic activity. They are capable of reducing malondialdehyde levels, increasing serum superoxide dismutase levels, and maintaining the expression levels of Na+-K+-ATPase, Ca2+-Mg2+-ATPase, and apoptosis-related proteins. Among these, divaroside (41.6 mg/kg) has shown superior efficacy in treating ventricular arrhythmias induced by BaCl2. The unique glycosyl chain structure of divaroside may contribute to its effectiveness in sustaining the expression of PKA, thus improving its antiarrhythmic properties [104]. Other terpenoids found in E. sessiliflorus have also demonstrated potent inhibitory activity against ACE, ranging from 1.8 μg/mL to 2.9 μg/mL, enhancing blood flow and exerting antihypertensive effects [8].
Moreover, the ethanol extract of E. sessiliflorus fruits (2, 20, and 200 μg/mL) has shown the ability to enhance the expression of endothelial nitric oxide (NO) synthase, thereby increasing the production of endothelial NO. This was assessed by measuring the fluorescence intensity of 4-amino-5-methylamino-2′,7′-difluoro-luorescein diacetate (with the control group set at 100%), which showed values of 127.54 ± 14.10%, 141.47 ± 8.16%, and 167.54 ± 8.41%, respectively. This enhanced endothelium-dependent NO release is known to improve vasodilation and blood circulation, providing significant benefits to the cardiovascular system. The vasorelaxation capability of E. sessiliflorus fruits is similar to that of Ginkgo biloba leaf extract, further contributing to its potential cardiovascular benefits. Additionally, the ethanol extract of E. sessiliflorus fruits is similar to captopril, a commonly used ACE inhibitor, in significantly reducing ACE activity and improving vasodilation in spontaneously hypertensive rats, thereby lowering blood pressure. The hypotensive effect of a high-dose ethanol extract of E. sessiliflorus fruits (600 mg/kg) is comparable to that of captopril (100 mg/kg) [11,105].
During metabolomic investigations of E. sessiliflorus fruits, significant variations in the metabolic process have been observed. The hypotensive effect of E. sessiliflorus fruits is achieved through the amelioration of negative metabolic effects associated with hypertension. This mechanism differs slightly from the metabolic process induced by captopril, a commonly used hypotensive medication. Notably, the presence of succinate and betaine within the metabolic products of E. sessiliflorus fruits suggests their potential utility as biomarkers for its hypotensive effect [106].
In addition to its hypotensive effects, E. sessiliflorus demonstrates remarkable potential in ameliorating various parameters associated with metabolic health. Animal studies have revealed that the ethanol extract of E. sessiliflorus roots (500 mg/kg and 700 mg/kg) can effectively mitigate adverse changes induced by a high-fat diet. Specifically, E. sessiliflorus has been found to improve body weight management by preventing excessive weight gain. After administering 500 mg/kg to mice, their body weight decreased to 84.00 ± 7.00% (compared to the blank group) [107]. Moreover, the aqueous-alcohol extract of E. sessiliflorus fruits (3 mg) significantly influences lipid metabolism, as evidenced by its ability to reduce total cholesterol, triglyceride, and free fatty acid levels. This comprehensive modulation of lipid profiles contributes to the potential therapeutic role of E. sessiliflorus in combating hyperlipidemia [108]. The above findings highlight the diverse metabolic effects of E. sessiliflorus fruits, contributing to their potential therapeutic applications in managing hypertension, hyperlipidemia, and related cardiovascular conditions.

3.7. Effects on the Immune System

Polysaccharides are considered vital bioactive components in plants and hold immense research potential and economic value. E. sessiliflorus is rich in polysaccharides, which exhibit diverse effects, including scavenging free radicals, combating fatigue, enhancing tolerance to hypoxia, and boosting immune regulatory capabilities. Initial studies on E. sessiliflorus have isolated three polysaccharides that demonstrate varying degrees of immune regulatory activity within the concentration range of 25–200 μg/mL. These polysaccharides have shown the ability to stimulate lymphocyte proliferation, enhance phagocytosis in peritoneal macrophages, elevate NO release, and activate the cytokine TNF-α [109]. This comprehensive array of activities highlights their immunomodulatory effects, underscoring their vast prospects and economic significance.
In addition, E. sessiliflorus extracts have been found to positively affect the immune system in both normal and tumor-bearing mice. In normal animals, the roots of E. sessiliflorus extract (300 mg/kg) enhance the restoration of spleen and thymus weights after forced swimming experiments while increasing spleen cell counts and immune-related cytokine TNF-α levels. However, their impact on the expression of IFN-γ and IL-2 is comparatively less pronounced [110]. In tumor-bearing mice, the ethanol extract of E. sessiliflorus roots (500 mg/kg) demonstrates anticancer effects by promoting immune cell proliferation and enhancing macrophage NO production without adversely affecting the proliferation of normal mouse spleen cells [111].
The immunomodulatory effects of E. sessiliflorus are not limited to the pharmaceutical industry but also play a significant role in enhancing disease resistance in livestock. The ethanol extract of E. sessionliflorus fruits has been demonstrated to enhance the vitality and growth rate of 3D4/31 porcine macrophages in a concentration-dependent manner. At 120 μg/mL, it maximally increased cell viability by 11.73% ± 2.02% while upregulating intracellular reactive oxygen species (ROS) levels. Furthermore, pretreatment with the fruits’ ethanol extract augments the in vitro bactericidal activity of these cells against Escherichia coli. Intriguingly, the fruits’ ethanol extract, similar to phorbol 12-myristate 13-acetate, effectively improves the expression levels of NF-κB and TNF-α, which in turn influence lipid synthesis and fatty acid oxidation metabolism.
Moreover, the combination of both the fruits’ ethanol extract (120 μg/mL) and phorbol 12-myristate 13-acetate demonstrates therapeutic potential in restoring NF-κB, TNF-α, and lipid metabolism levels. This combination holds promise as an effective feed additive to enhance the immunity of livestock [112]. The above findings highlight the multifaceted immunomodulatory effects of E. sessiliflorus, not only in human health but also in the agricultural sector, showcasing its potential for commercial applications in medicine and livestock feed supplements.

3.8. Anti-Tumor Activity

E. sessiliflorus has been found to possess significant anti-tumor activity, primarily attributed to its diverse array of bioactive compounds. Triterpenoids isolated from E. sessiliflorus have shown promising anti-tumor effects. For instance, chiisanoside, derived from E. sessiliflorus, exhibits in vivo anti-tumor activity by promoting cell apoptosis and inhibiting angiogenesis. In mice bearing the H22 tumor, chiisanoside (120 mg/kg and 240 mg/kg) effectively suppresses tumor growth while upregulating the expression of cytokines such as IL-2, TNF-α, and IFN-γ. Furthermore, it demonstrates rapid absorption in vivo and shows targeting properties towards the liver and small intestine [113].
Another triterpenoid with anti-tumor potential in E. sessiliflorus fruits is calenduloside E 6′-methyl ester, an oleanane-type compound. This triterpenoid has been reported to induce apoptosis in CT-26 mouse colon cancer cells in the range of 2.5 to 25 µM. The number of cells in the sub-G1 population increased from 5.1% to 99.1%, respectively. Furthermore, it can inhibit tumor growth in the CT-26 animal model. The induction of apoptosis by calenduloside E 6′-methyl ester is mediated by activating the caspase cascade, which plays a crucial role in apoptotic mechanisms [34]. Similarly, sessiligenin, another compound found in E. sessiliflorus, exerts its effects by modulating multiple targets within the PI3K/AKT signaling pathway, ultimately leading to apoptosis induction in HepG2 cells [114].
E. sessiliflorus also contains other compounds that exhibit significant anti-tumor activities. Hyperoside, for example, stands out for its ability to inhibit ERK activity, which suppresses the transactivation of activator protein 1 and the phosphorylation of p90RSK, CREB, and STAT3 induced by ultraviolet radiation. Activator protein 1 is a key transcription factor involved in inflammation and various cancers, including skin, breast, and cervical [115]. Cyanidin-3-O-sambubioside, another compound in E. sessiliflorus, has been found to effectively reduce the secretion and expression of matrix metalloproteinase-9 within the concentration range of 1–30 μg/mL, thereby suppressing the metastatic process of breast cancer cells, particularly in aspects related to angiogenesis and invasion [12].
Furthermore, the stem bark extract of E. sessiliflorus (50 μg/mL) has demonstrated the ability to inhibit tumor growth and modulate immune activity through various pathways. On the one hand, it induces non-apoptotic cell death in human breast cancer cells (MDA-MB-231 and MCF-7) through ROS-dependent and ROS-independent mechanisms involving mitochondrial induction [116]. On the other hand, it (1 μg/mL and 10 μg/mL) exerts tumor-inhibitory effects by promoting NO production by macrophages, accelerating thymocyte proliferation, and inhibiting tumor cell proliferation [117]. The above findings highlight E. sessiliflorus as a valuable medicinal herb with diverse anti-tumor constituents, positioning it as a significant asset in anti-tumor therapies.

3.9. Other Pharmacological Effects

E. sessiliflorus possesses a wide range of pharmacological effects recognized in recent studies. One notable effect is its potential as an analgesic agent. E. sessiliflorus has shown the ability to ameliorate formalin-induced pain, making it suitable for relieving both general and neuropathic pain from nerve injury [118]. Triterpenoids and polyphenols in E. sessiliflorus have inhibited BV2 and RAW264.7 cells induced by lipopolysaccharides. These compounds effectively reduce the production of inflammatory mediators such as NO, PGE2, TNF-α, IL-1β, and IL-6, thereby exerting potent anti-inflammatory effects [9,16,83]. Additionally, the root barks of E. sessiliflorus have been found to inhibit osteoclast differentiation activated by RANKL in bone marrow macrophages and prevent bone loss induced by ovariectomy [119]. Moreover, E. sessiliflorus has demonstrated chondrogenic regulatory activity by enhancing the mRNA expression of markers associated with cartilage formation [120]. The above findings highlight the therapeutic potential of E. sessiliflorus in treating various bone-related disorders. Furthermore, E. sessiliflorus possesses neuroprotective effects [121], hepatoprotective effects [122], and protective effects on the gastrointestinal tract [123]. These additional pharmacological effects further broaden the potential applications of E. sessiliflorus in various health conditions.

4. Discussion

We have provided a comprehensive overview of the phytochemistry and biological activities of E. sessiliflorus, a traditional medicinal plant. With a total of 314 reported compounds, E. sessiliflorus exhibits a diverse range of phytochemicals, including triterpenoids, monoterpenoids, sesquiterpenoids, simple phenylpropanoids, lignans, coumarins, flavonoids, volatile oils, organic acids (esters), nitrogenous compounds, quinones, phenolics, and carbohydrates. We have also elucidated the various biological activities of these compounds and E. sessiliflorus extracts. An extensive review of the literature shows that E. sessiliflorus possesses antioxidant, anti-aging, anti-stress, antiplatelet aggregation, and anticancer effects. Additionally, it shows improvements in glucose metabolism, cardiovascular health, and immune system function. Triterpenoids and lignans, in particular, are identified as the primary constituents responsible for mediating these biological activities.
In addition, the root barks of E. sessiliflorus have long been renowned for their medicinal properties, prominently mentioned in the “Chinese Materia Medica” alongside Eleutherococcus nodiflorus as sources of Wujia Pi. Consequently, extensive scholarly research has been dedicated to unraveling the chemical composition of E. sessiliflorus root barks. In recent years, the approval of E. sessiliflorus as a new resource food has fueled a surge in demand from both domestic and international markets. As a result, large-scale cultivation of E. sessiliflorus has been initiated, inspiring researchers to explore different medicinal parts of the plant and broaden the scope of their investigations. Among these parts, the fruits of E. sessiliflorus have gained attention due to their distinct characteristics. With their blackberry-like appearance, they exhibit a diverse range of biological activities while maintaining a high safety profile. The fruits possess favorable taste qualities, making them an emerging resource for research and processing in the food industry. However, current studies on the chemical composition of E. sessiliflorus primarily focus on the isolation and identification of individual compounds, with limited research on variations in component content among different regions and plant parts. Moreover, the establishment of quality standards for E. sessiliflorus remains an area that requires further exploration. Emphasizing future research in these aspects is crucial to enhance the standardized application and quality control of E. sessiliflorus.
Of particular interest within E. sessiliflorus are the 3,4-seco-lupane triterpenoids, a unique class of compounds exclusively found in the Eleutherococcus genus. To date, researchers have discovered thirty-six compounds belonging to this class in E. sessiliflorus. These compounds exhibit variations in their chemical structures, such as hydroxyl substitutions, deoxidization, and glycoside linkage positions, while the basic structure revolves around chiisanoside. Notably, specific compounds found only in E. sessiliflorus, such as elesesterpene A-K and acanthosessilioside A-O, have been identified, adding to the distinct chemical profile of E. sessiliflorus. Exploring the biological activities of these 3,4-seco-lupane triterpenoids presents an exciting avenue for further in-depth investigations, potentially uncovering safe and effective compounds with potential therapeutic applications.
Furthermore, extensive research has revealed a wide range of pharmacological effects that E. sessiliflorus possesses. These effects mainly focus on its anti-tumor properties and ability to protect the cardiovascular system. However, it is worth noting that some studies have only used extracts of E. sessiliflorus instead of pure compounds. Furthermore, investigations into other biological activities of E. sessiliflorus are not sufficiently comprehensive, and many underlying mechanisms have not been elucidated. Therefore, there is a need for further in-depth exploration of the pharmacological activities of E. sessiliflorus.
Also, the tender leaves of E. sessiliflorus are popular as a wild vegetable and can be dried to make tea. This tea is known for its ability to replenish qi, strengthen the spleen, and calm the mind. The fruits of E. sessiliflorus are used in beverages and wines, while the seeds are employed as spice. Building upon the known pharmacological effects of E. sessiliflorus, its applications extend to pharmaceuticals for anti-inflammatory and antioxidant purposes and its use in feed additives with antimicrobial properties. Additionally, E. sessiliflorus serves as a food additive in beverages and wines. Given its notable safety profile and high pharmacological effect, E. sessiliflorus warrants an in-depth investigation of its various applications. It is essential to closely monitor the in vivo metabolic patterns of its bioactive constituents while ensuring the maintenance of therapeutic efficacy. Current research on the pharmacokinetics of E. sessiliflorus is limited, despite its significance in unraveling metabolic pathways. These investigations contribute to understanding its mechanisms of action but also aid in identifying quality markers for E. sessiliflorus.
Indeed, this review has certain limitations. Firstly, the methods used to collect literature and data were subject to limitations, which may have resulted in the exclusion of certain relevant studies. Additionally, the quality of research reports was not effectively evaluated, which may have impacted the reliability of the findings in this review. Another notable limitation is the lack of coverage of studies related to toxicity and clinical relevance. There is a scarcity of relevant reports, and the few toxicity research reports that do exist are relatively preliminary. Furthermore, there are no reports of clinical research on extracts or compounds from E. sessiliflorus. Moving forward, future researchers should aim to address these limitations and explore the uncharted territory of toxicity and clinical relevance.

5. Conclusions

E. sessiliflorus, a medicinal and edible plant belonging to the same botanical family as Panax ginseng and displaying chemical constituents similar to E. senticosus, presents promising prospects for extensive research. However, no comprehensive and detailed report is available on its components and pharmacological effects. Therefore, the primary objective of this review is to comprehensively elucidate the research conducted on E. sessiliflorus from two perspectives, phytochemistry and pharmacological effects, by conducting searches across multiple databases. The components are classified into seven categories, and their pharmacological effects are categorized into nine classifications for summary and discussion. This review aims to establish a strong foundation for further exploration into the potential uses of E. sessiliflorus and guides future research endeavours in this field.

Author Contributions

Conceptualization and original draft preparation: L.L., H.S., J.F., Y.S. and S.S.; reviewing and editing: H.Z.; supervision: H.Z. and J.Z. All authors have read and agreed to the published version of the manuscript.

Funding

This work was supported by the Science and Technology Development Plan Project of Jilin Province, China [No. YDZJ202301ZYTS171; No. YDZJ202201ZYTS186].

Institutional Review Board Statement

Not applicable.

Informed Consent Statement

Not applicable.

Data Availability Statement

All data presented in this study are available in the article.

Acknowledgments

We thank Junlin Yu from Tonghua Normal University for providing pictures of Eleutherococcus sessiliflorus.

Conflicts of Interest

The authors declare no conflict of interest.

References

  1. Li, H.; Hu, W.Z.; Jiang, A.L.; Liu, C.H.; Bai, X.; Li, X.B.; Yu, X. Research advance on the active constituents of different parts of Acanthopanax sessiliflorus and its edible and medicinal values. Sci. Technol. Food Ind. 2016, 37, 372–376. [Google Scholar] [CrossRef]
  2. Flora of China Editorial Committee of Chinese Academy of Sciences. The Flora of China; Science Press: Beijing, China, 1980; Volume 28, pp. 115–116. [Google Scholar]
  3. Zaluski, D.; Smolarz, H.D.; Gawlik-Dziki, U. Bioactive compounds and antioxidative, antileukemic and anti-MMPs activity of Eleutherococcus species cultivated in Poland. Nat. Prod. Commun. 2012, 7, 1483–1486. [Google Scholar] [CrossRef] [PubMed]
  4. Ren, Y.J.; Sun, Y.; Guo, X.R.; Xu, M.Y.; Shao, W.D.; Wu, K.X. Analysis of Metabolic Characteristics of Different Organs of Acanthopanax senticosus and Acanthopanax sessiliflorus Based on GC-MS. Bull. Bot. Res. 2023, 43, 439–446. [Google Scholar]
  5. Zhao, Y.; Guo, X.; Cai, E.B.; Gao, Y.G.; He, Z.M.; Zhu, H.Y.; Liu, S.L.; Yang, H.; Zhang, L.X. Research progress on chemical constituents and pharmacological effects of Acanthopanax sessiliflorus. Shanghai J. Tradit. Chin. Med. 2016, 50, 98–101. [Google Scholar] [CrossRef]
  6. Song, Y.; Feng, X.S. UPLC-MS/MS analysis of the constituents in the roots of A. sessiliflorus and comparison with A. gracilistylus and A. senticosus. Chin. J. Pharm. Anal. 2014, 34, 958–965. [Google Scholar] [CrossRef]
  7. Lee, D.Y.; Seo, K.H.; Lee, D.S.; Kim, Y.C.; Chung, I.S.; Kim, G.W.; Cheoi, D.S.; Baek, N.I. Bioactive 3,4-seco-triterpenoids from the fruits of Acanthopanax sessiliflorus. J. Nat. Prod. 2012, 75, 1138–1144. [Google Scholar] [CrossRef]
  8. Lee, J.W.; Baek, N.I.; Lee, D.Y. Inhibitory effects of seco-triterpenoids from Acanthopanax sessiliflorus fruits on HUVEC invasion and ACE activity. Nat. Prod. Commun. 2015, 10, 1517–1520. [Google Scholar] [CrossRef]
  9. Choi, B.R.; Kim, H.G.; Ko, W.; Dong, L.; Yoon, D.; Oh, S.M.; Lee, Y.S.; Lee, D.S.; Baek, N.I.; Lee, D.Y. Noble 3,4-seco-triterpenoid glycosides from the fruits of Acanthopanax sessiliflorus and their anti-neuroinflammatory effects. Antioxidants 2021, 10, 1334. [Google Scholar] [CrossRef]
  10. Wang, H.H.; Chen, C.; Liu, R.J.; Wang, X.; Zhao, Y.; Yan, Z.W.; Cai, E.B.; Zhu, H.Y. Potential myocardial protection of 3,4-seco-lupane triterpenoids from Acanthopanax sessiliflorus leaves. Chem. Biodiversity 2020, 18, e2000830. [Google Scholar] [CrossRef]
  11. Jung, I.H.; Kim, S.E.; Lee, Y.G.; Kim, D.H.; Kim, H.; Kim, G.S.; Baek, N.I.; Lee, D.Y. Antihypertensive effect of ethanolic extract from Acanthopanax sessiliflorus fruits and quality control of active compounds. Oxid. Med. Cell. Longev. 2018, 2018, 5158243. [Google Scholar] [CrossRef]
  12. Lee, S.J.; Hong, S.; Yoo, S.H.; Kim, G.W. Cyanidin-3-O-sambubioside from Acanthopanax sessiliflorus fruit inhibits metastasis by downregulating MMP-9 in breast cancer cells MDA-MB-231. Planta Med. 2013, 79, 1636–1640. [Google Scholar] [CrossRef]
  13. Huang, Y.H.; Li, J.T.; Zan, K.; Wang, J.; Fu, Q. The traditional uses, secondary metabolites, and pharmacology of Eleutherococcus species. Phytochem. Rev. 2022, 21, 1081–1184. [Google Scholar] [CrossRef]
  14. Du, P. Study on Anti-Inflammatory Constituents and Pharmacokinetics of Acanthopanax sessiliflorus fruits. Ph.D. Thesis, Soochow University, Suzhou, China, 2017. [Google Scholar]
  15. Ryoo, H.S.; Park, S.Y.; Chang, S.Y.; Yook, C.S. Triterpene components from the leaves of Acanthopanax sessiliflorus Seem. Korea J. Pharmacogn. 2003, 34, 269–273. [Google Scholar]
  16. Han, D.; Liu, Y.; Li, X.M.; Wang, S.Y.; Sun, Y.; Algradi, A.M.; Zou, H.D.; Pan, J.; Guan, W.; Kuang, H.X.; et al. Elesesterpenes A-K: Lupane-type triterpenoids from the leaves of Eleutherococcus sessiliflorus. Front. Chem. 2022, 9, 813764. [Google Scholar] [CrossRef] [PubMed]
  17. Jung, H.J.; Nam, J.H.; Choi, J.; Lee, K.T.; Park, H.J. Antiinflammatory effects of chiisanoside and chiisanogenin obtained from the leaves of Acanthopanax chiisanensis in the carrageenan- and Freund’s complete adjuvant-induced rats. J. Ethnopharmacol. 2005, 97, 359–367. [Google Scholar] [CrossRef]
  18. Wang, X.T.; Liu, Y.Q.; Cai, Q. Determination of oleanolic acid in fruit of Acanthopanax sessiliflorus by microwave digestion with HPLC. Chin. J. Exp. Tradit. Med. Formulae 2015, 21, 61–63. [Google Scholar] [CrossRef]
  19. Yang, C.; An, Q.; Xiong, Z.; Song, Y.; Yu, K.; Li, F. Triterpenes from Acanthopanax sessiliflorus fruits and their antiplatelet aggregation activities. Planta Med. 2009, 75, 656–659. [Google Scholar] [CrossRef]
  20. Liu, Y.; Wang, Z.; Wang, C.; Si, H.; Yu, H.; Li, L.; Fu, S.; Tan, L.; Li, P.; Liu, J.; et al. Comprehensive phytochemical analysis and sedative-hypnotic activity of two Acanthopanax species leaves. Food Funct. 2021, 12, 2292–2311. [Google Scholar] [CrossRef]
  21. Ko, B.S.; Kang, S.; Moon, B.R.; Ryuk, J.A.; Park, S. A 70% ethanol extract of mistletoe rich in betulin, betulinic acid, and oleanolic acid potentiated β-cell function and mass and enhanced hepatic insulin sensitivity. Evid. Based Complement. Altern. Med. 2016, 2016, 7836823. [Google Scholar] [CrossRef]
  22. Lee, S.; Kim, B.K.; Cho, S.H.; Shin, K.H. Phytochemical constituents from the fruits of Acanthopanax sessiliflorus. Arch. Pharm. Res. 2002, 25, 280–284. [Google Scholar] [CrossRef]
  23. Fu, Y.; Liu, T.; He, S.; Zhang, Y.; Tan, Y.; Bai, Y.; Shi, J.; Deng, W.; Qiu, J.; Wang, Z.; et al. Ursolic acid reduces oxidative stress injury to ameliorate experimental autoimmune myocarditis by activating Nrf2/HO-1 signaling pathway. Front. Pharmacol. 2023, 14, 1189372. [Google Scholar] [CrossRef]
  24. Song, Y.; Wang, Z.; Feng, X.; Deng, X.; Zhu, J. Simultaneous determination, and pharmacokinetics of four triterpenoids by ultra-high-performance liquid chromatography with tandem mass spectrometry after the oral administration of Acanthopanax sessiliflorus (Rupr. et Maxim) Seem extract. J. Sep. Sci. 2016, 39, 2229–2237. [Google Scholar] [CrossRef] [PubMed]
  25. Yang, C.J.; Wang, Z.B.; Song, P.Y.; Xiao, Y.; Meng, Y.H.; Wang, Y.Y.; Jiang, H.; Kuang, H.X. Monoterpenoids from Acanthopanax sessiliflorus fruits. Molecules 2013, 18, 3043–3049. [Google Scholar] [CrossRef] [PubMed]
  26. Lo, J.Y.; Kamarudin, M.N.; Hamdi, O.A.; Awang, K.; Kadir, H.A. Curcumenol isolated from Curcuma zedoaria suppresses Akt-mediated NF-κB activation and p38 MAPK signaling pathway in LPS-stimulated BV-2 microglial cells. Food Funct. 2015, 6, 3550–3559. [Google Scholar] [CrossRef] [PubMed]
  27. Bezerra Rodrigues Dantas, L.; Silva, A.L.M.; da Silva Júnior, C.P.; Alcântara, I.S.; Correia de Oliveira, M.R.; Oliveira Brito Pereira Bezerra Martins, A.; Ribeiro-Filho, J.; Coutinho, H.D.M.; Rocha Santos Passos, F.; Quintans-Junior, L.J.; et al. Nootkatone inhibits acute and chronic inflammatory responses in mice. Molecules 2020, 25, 2181. [Google Scholar] [CrossRef] [PubMed]
  28. Jin, J.L.; Lee, S.; Lee, Y.Y.; Kim, J.M.; Heo, J.E.; Yun-Choi, H.S. Platelet anti-aggregating triterpenoids from the leaves of Acanthopanax senticosus and the fruits of A. sessiliflorus. Planta Med. 2004, 70, 564–566. [Google Scholar] [CrossRef]
  29. Wu, K.X.; Liu, J.; Liu, Y.; Guo, X.R.; Mu, L.Q.; Hu, X.H.; Tang, Z.H. A comparative metabolomics analysis reveals the tissue-specific phenolic profiling in two Acanthopanax species. Molecules 2018, 23, 2078. [Google Scholar] [CrossRef]
  30. An, Q.; Yang, C.J.; Song, Y.; Yu, K.; Xiong, Z.L.; Li, F.M. Studies on the chemical constituents of the fruit of Acanthopanax. sessiliflorus (Rupr.et Maxim.) Seem. Nat. Prod. Res. Dev. 2008, 20, 765–769. [Google Scholar] [CrossRef]
  31. Chen, C.; Zhang, D.; Zhao, Y.; Cai, E.; Zhu, H.; Gao, Y. A new 3,4-seco-lupane triterpenene glycosyl ester from the leaves of Eleutherococcus sessiliflorus. Nat. Prod. Res. 2020, 34, 1927–1930. [Google Scholar] [CrossRef]
  32. Ma, Y.; Zhang, D.; Jiang, M. Chemical constituents of Eleutherococcus sessiliflorus (Rupr. & Maxim.). Nat. Prod. Commun. 2020, 15, 1–4. [Google Scholar] [CrossRef]
  33. Yoshizumi, K.; Hirano, K.; Ando, H.; Hirai, Y.; Ida, Y.; Tsuji, T.; Tanaka, T.; Satouchi, K.; Terao, J. Lupane-type saponins from leaves of Acanthopanax sessiliflorus and their inhibitory activity on pancreatic lipase. J. Agric. Food Chem. 2006, 54, 335–341. [Google Scholar] [CrossRef]
  34. Lee, B.; Lee, D.Y.; Yoo, K.H.; Baek, N.I.; Park, J.H.; Chung, I.S. Calenduloside E 6′-methyl ester induces apoptosis in CT-26 mouse colon carcinoma cells and inhibits tumor growth in a CT-26 xenograft animal model. Oncol. Lett. 2012, 4, 22–28. [Google Scholar] [CrossRef]
  35. Wu, X.; Li, X.; Li, J.; Zhao, X.; Cui, Y.; Eerdun, C. Scoparone inhibits breast cancer cell viability through the NF-κB signaling pathway. Exp. Ther. Med. 2023, 26, 328. [Google Scholar] [CrossRef]
  36. Yu, K.; Song, Y.; Lu, Y.; Xiong, Z.L.; Li, F.M. Phenylpropanoids from roots of Acanthopanax sessiliflorus (Rupr. Et Maxim.) Seem. Nat. Prod. Res. Dev. 2012, 24, 469–472. [Google Scholar] [CrossRef]
  37. Lee, D.Y.; Seo, K.H.; Jeong, R.H.; Lee, S.M.; Kim, G.S.; Noh, H.J.; Kim, S.Y.; Kim, G.W.; Kim, J.Y.; Baek, N.I. Anti-inflammatory lignans from the fruits of Acanthopanax sessiliflorus. Molecules 2013, 18, 41–49. [Google Scholar] [CrossRef]
  38. Lu, Q.; Zheng, R.; Zhu, P.; Bian, J.; Liu, Z.; Du, J. Hinokinin alleviates high-fat diet/streptozotocin-induced cardiac injury in mice through modulation in oxidative stress, inflammation, and apoptosis. Biomed. Pharmacother. 2021, 137, 111361. [Google Scholar] [CrossRef]
  39. Tsai, C.Y.; Fang, H.Y.; Shibu, M.A.; Lin, Y.M.; Chou, Y.C.; Chen, Y.H.; Day, C.H.; Shen, C.Y.; Ban, B.; Huang, C.Y. Taiwanin C elicits apoptosis in arecoline and 4-nitroquinoline-1-oxide-induced oral squamous cell carcinoma cells and hinders proliferation via epidermal growth factor receptor/PI3K suppression. Environ. Toxicol. 2019, 34, 760–767. [Google Scholar] [CrossRef] [PubMed]
  40. Hsu, H.H.; Kuo, W.W.; Day, C.H.; Shibu, M.A.; Li, S.Y.; Chang, S.H.; Shi, H.N.; Chen, R.J.; Viswanadha, V.P.; Kuo, Y.H.; et al. Taiwanin E inhibits cell migration in human lovo colon cancer cells by suppressing MMP-2/9 expression via p38 MAPK pathway. Environ. Toxicol. 2017, 32, 2021–2031. [Google Scholar] [CrossRef]
  41. Zhang, L.S.; An, Q.; Qin, F.; Xiong, A.L. Simultaneous determination of six constituents in the fruit of Acanthopanax sessiliflorus (Rupr. et Maxim.) Seem. by HPLC-UV. Nat. Prod. Res. 2014, 28, 500–502. [Google Scholar] [CrossRef]
  42. Choi, J.M.; Ahn, J.B. Functional properties of 50% methanol extracts from different parts of Acanthopanax sessiliflorus. Korean J. Food Sci. Technol. 2012, 44, 373–377. [Google Scholar] [CrossRef]
  43. Han, Y.; Li, Y.B.; Cui, L.C.; Pei, K.; Li, F.M. Determination of the contents of seopoletin and isofraxidin in fruit of Acanthopanax sessiliflorus (Rupr et Maxim) Seem by HPLC. J. Shenyang Pharm. Univ. 2006, 23, 573–576. [Google Scholar] [CrossRef]
  44. Niu, X.; Xing, W.; Li, W.; Fan, T.; Hu, H.; Li, Y. Isofraxidin exhibited anti-inflammatory effects in vivo and inhibited TNF-α production in LPS-induced mouse peritoneal macrophages in vitro via the MAPK pathway. Int. Immunopharmacol. 2012, 14, 164–171. [Google Scholar] [CrossRef] [PubMed]
  45. Sharifi-Rad, J.; Cruz-Martins, N.; López-Jornet, P.; Lopez, E.P.; Harun, N.; Yeskaliyeva, B.; Beyatli, A.; Sytar, O.; Shaheen, S.; Sharopov, F.; et al. Natural coumarins: Exploring the pharmacological complexity and underlying molecular mechanisms. Oxid. Med. Cell. Longev. 2021, 2021, 6492346. [Google Scholar] [CrossRef] [PubMed]
  46. Hui, Y.; Wang, X.; Yu, Z.; Fan, X.; Cui, B.; Zhao, T.; Mao, L.; Feng, H.; Lin, L.; Yu, Q.; et al. Scoparone as a therapeutic drug in liver diseases: Pharmacology, pharmacokinetics, and molecular mechanisms of action. Pharmacol. Res. 2020, 160, 105170. [Google Scholar] [CrossRef] [PubMed]
  47. Li, C.X.; Li, J.C.; Lai, J.; Liu, Y. The pharmacological and pharmacokinetic properties of esculin: A comprehensive review. Phytother. Res. 2022, 36, 2434–2448. [Google Scholar] [CrossRef] [PubMed]
  48. Xiao, Y.; Wang, L.B.; Jin, G.; Sun, R.; Hu, X.; Yang, C.J. Studies on phenolic acid constituents of Acanthopanax sessiliflorus Fruits. Chin. J. Med. Chem. 2012, 22, 223–226. [Google Scholar] [CrossRef]
  49. X11Song, J.; Seol, N.G.; Kim, M.J.; Lee, J. Riboflavin phototransformation on the changes of antioxidant capacities in phenolic compounds. J. Food Sci. 2016, 81, C1914–C1920. [Google Scholar] [CrossRef]
  50. In, S.J.; Lee, D.Y.; Seo, K.H.; Nam, T.G.; Kim, D.O.; Kim, G.S.; Noh, H.J.; Kim, G.W.; Seo, W.D.; Kang, H.C.; et al. Anti-oxidant activity of phenolic compound isolated from the fruits of Acanthopanax sessiliflorus Seeman. J. Appl. Biol. Chem. 2012, 55, 217–220. [Google Scholar] [CrossRef]
  51. Song, Y.; Feng, X.S. Quantity determination of 7 kinds of organic acid in Acanthopanax sessiliflorus and comparison among Acanthopanax sessiliflorus, Acanthopanax gracilistylus and Acanthopanax senticosus. J. Beijing Univ. Tradit. Chin. Med. 2014, 37, 259–262. [Google Scholar] [CrossRef]
  52. Ro, H.S.; Lee, S.Y.; Han, B.H. Studies on the lignan glycoside of Acanthopanax cortex. J. Pharm. Soc. Korea 1977, 21, 81–86. [Google Scholar]
  53. Kim, M.J.; Wang, H.S.; Lee, M.W. Anti-inflammatory effects of fermented bark of Acanthopanax sessiliflorus and its isolated compounds on lipopolysaccharide-treated RAW 264.7 macrophage cells. J. Evid.-Based Complement. Altern. Med. 2020, 2020, 6749425. [Google Scholar] [CrossRef] [PubMed]
  54. Lei, J.; Chen, P.; Xu, X.D.; Yang, J.S. Chemical constituents of the stem of Acanthopanax sessiliflorus (Rupr. Et Maxim.) Seem. Chin. Pharm. J. 2014, 49, 1595–1598. [Google Scholar] [CrossRef]
  55. Li, L.L.; Zheng, L.S.; Liu, X.Q.; Zhang, X.D.; Oh, S.W. Analysis of syringin content in new resource Acanthopanax. sessiliflorus (Rupr.et Maxim.) Seem and other seven species of Acanthopanax Miq. by RP-HPLC. Food Sci. 2009, 30, 140–143. [Google Scholar]
  56. Chen, L.; Xin, X.; Feng, H.; Li, S.; Cao, Q.; Wang, X.; Vriesekoop, F. Isolation and identification of anthocyanin component in the fruits of Acanthopanax sessiliflorus (Rupr. & Maxim.) Seem. by means of high-speed counter-current chromatography and evaluation of its antioxidant activity. Molecules 2020, 25, 1781. [Google Scholar] [CrossRef]
  57. Tuli, H.S.; Joshi, R.; Aggarwal, D.; Kaur, G.; Kaur, J.; Kumar, M.; Parashar, N.C.; Khan, M.A.; Sak, K. Molecular mechanisms underlying chemopreventive potential of butein: Current trends and future perspectives. Chem. Biol. Interact. 2021, 350, 109699. [Google Scholar] [CrossRef]
  58. Shang, H.S.; Chen, C.J.; Shih, Y.L.; Peng, S.F.; Chen, Y.L.; Liu, K.C.; Huang, H.C.; Hsueh, S.C.; Chen, K.W.; Lu, H.F.; et al. Mangiferin induces immune responses and evaluates the survival rate in WEHI-3 cell-generated mouse leukemia in vivo. Environ. Toxicol. 2020, 36, 77–85. [Google Scholar] [CrossRef]
  59. Song, Y. Optimization of the extraction process of volatile oil from the roots of Acanthopanax sessiliflorus and study of its chemical composition. Shanxi Med. J. 2014, 43, 487–489. [Google Scholar]
  60. Lee, J.M.; Lee, D.G.; Kim, J.; Lee, S. Content analysis of flavonoids in the stems and roots of Acanthopanax species in different countries. Asian J. Chem. 2014, 26, 3511–3514. [Google Scholar] [CrossRef]
  61. Lee, J.M.; Lee, D.G.; Lee, K.H.; Cho, S.H.; Park, C.G.; Lee, S.H. Analysis of flavonoid contents in the fruits of Acanthopanax species using HPLC. Nat. Prod. Sci. 2013, 19, 15–19. [Google Scholar]
  62. Wang, Q.; Wei, H.C.; Zhou, S.J.; Li, Y.; Zheng, T.T.; Zhou, C.Z.; Wan, X.H. Hyperoside: A review on its sources, biological activities, and molecular mechanisms. Phytother. Res. 2022, 36, 2779–2802. [Google Scholar] [CrossRef]
  63. Feng, S.; Liu, X.Q.; Zhu, X.D.; Zheng, L.S. Quantitative analysis comparison of primary active ingredients in four species of Acanthopanax Miq. by HPLC. Nat. Prod. Res. Dev. 2011, 23, 498–503, 529. [Google Scholar]
  64. Zhang, C.X.; Ma, X.J.; Cong, D.L.; Ju, H.Y.; Zheng, Y.L. Analysis of chemical constituents of Acanthopanax sessiliflorus (Rupr.et Maxim.) Seem. by GC-MS. Resour. Dev. Mark. 2010, 26, 577–578, 582. [Google Scholar]
  65. He, F.Y.; Li, T.C.; Li, F.M. Analysis of volatile constituents of stem of Acanthopanax sessiliforus (Rupr. et Maxim.) Seem. by gas chromatography-mass spectrometry. J. Chin. Mass Spectrom. Soc. 2004, 25, 103–106. [Google Scholar]
  66. Song, Y.; Deng, X.L.; Zhu, J.; Feng, X.S. Fingerprint of the volatile oil from the root of Acanthopanax sessiliflorus. West China J. Pharm. Sci. 2015, 30, 67–69. [Google Scholar] [CrossRef]
  67. Song, Y.; Wu, K.X.; Shao, W.D.; Liu, Y.L.; Liu, J.; Liu, Y.; Tang, Z.H. Development-specific investigation of leaf primary metabolism of Acanthopanax senticosus and Acanthopanax sessiliflorus. Bull. Bot. Res. 2022, 42, 268–277. [Google Scholar] [CrossRef]
  68. Jin, M.T.; Su, R.; Xu, X.; Zhang, S.T.; Fang, H.Z. Analysis of three phenolic acids in stems of Acanthopanax sessiliflorus by HPLCDAD-MS. Chin. Tradit. Pat. Med. 2012, 34, 93–97. [Google Scholar]
  69. Kim, S.Y.; Lee, D.Y.; Seo, K.H.; Rho, Y.D.; Kim, G.W.; Baek, N.I. Isolation and identification of lipids from the fruits of Acanthopanax sessiliflorus. J. Appl. Biol. Chem. 2012, 55, 103–107. [Google Scholar] [CrossRef]
  70. Lee, S.H.; Ji, J.; Shin, K.H.; Kim, B.K. Sessiline, a new nitrogenous compound from the fruits of Acanthopanax sessiliflorus. Planta Med. 2002, 68, 939–941. [Google Scholar] [CrossRef]
  71. Tang, G.H.; Jiang, G.H.; Wang, S.Z.; Zheng, L.F. Inhibitory effect on platelet aggregation and antithrombotic effect of perlolyrine and its analogues. Chin. J. Pharmacol. Toxicol. 2001, 15, 317–319. [Google Scholar]
  72. Ardiansyah Inagawa, Y.; Koseki, T.; Agista, A.Z.; Ikeda, I.; Goto, T.; Komai, M.; Shirakawa, H. Adenosine and adenosine-5′-monophosphate ingestion ameliorates abnormal glucose metabolism in mice fed a high-fat diet. BMC Complement. Altern. Med. 2018, 18, 304. [Google Scholar] [CrossRef]
  73. Clayton, P.; Hill, M.; Bogoda, N.; Subah, S.; Venkatesh, R. Palmitoylethanolamide: A natural compound for health management. Int. J. Mol. Sci. 2021, 22, 5305. [Google Scholar] [CrossRef] [PubMed]
  74. Mueller, G.P.; Driscoll, W.J. Vitamins & Hormones; Academic Press: Cambridge, MA, USA, 2009; Volume 81, pp. 55–78. [Google Scholar] [CrossRef]
  75. Lee, D.G.; Cho, S.H.; Lee, J.; Cho, S.H.; Lee, S. Analysis of γ-aminobutyric acid content in fermented plant products by HPLC/UV. J. Appl. Biol. Chem. 2015, 58, 303–309. [Google Scholar] [CrossRef]
  76. Polis, B.; Srikanth, K.D.; Elliott, E.; Gil-Henn, H.; Samson, A.O. L-Norvaline reverses cognitive decline and synaptic loss in a murine model of Alzheimer’s disease. Neurotherapeutics 2018, 15, 1036–1054. [Google Scholar] [CrossRef]
  77. Singh, J.; Hussain, Y.; Luqman, S.; Meena, A. Purpurin: A natural anthraquinone with multifaceted pharmacological activities. Phytother. Res. 2021, 35, 2418–2428. [Google Scholar] [CrossRef] [PubMed]
  78. Feng, Y.; Meng, X.J.; Wang, J.G.; Wang, J.J.; Zhang, Q. Study on constituents and biological activities of polyose from Acanthopanax sessiliflorus (Rupr. et Maxim.) fruit. Food Sci. 2008, 29, 378–380. [Google Scholar]
  79. Munteanu, I.G.; Apetrei, C. Analytical Methods Used in Determining Antioxidant Activity: A Review. Int. J. Mol. Sci. 2021, 22, 3380. [Google Scholar] [CrossRef] [PubMed]
  80. Min, S.H.; Lee, B.R. Antioxidant activity of medicinal plant extracts cultivated in Jecheon. Korean J. Food Cult. 2007, 22, 336–341. [Google Scholar]
  81. Choi, J.M.; Kim, K.Y.; Lee, S.H.; Ahn, J.B. Functional properties of water extracts from different parts of Acanthopanax sessiliflorus. Food Eng. Progress 2011, 15, 130–135. [Google Scholar]
  82. Jung, S.K.; Lee, H.J. Functional investigation of Ogaza Extract. Food Eng. Prog. 2010, 14, 183–187. [Google Scholar]
  83. Seo, K.M.; Mi, J.J. Quality characteristics and antioxidant activities of spicy chicken sauce prepared with different contents of Acanthopanax sessiliflorus extract. Culin. Sci. Hosp. Res. 2020, 26, 49–58. [Google Scholar] [CrossRef]
  84. Kim, H.A.; Park, H.J.; Lee, K.H. Antioxidant effects of oriental herbs in the reheated pork meat wanjas. J. East Asian Soc. Diet. Life 2008, 18, 234–241. [Google Scholar]
  85. Tan, C.; Li, J.X.; Xu, C.; Meng, H.W.; Feng, Y. Effects of raw materials proportions on the sensory quality and antioxidant activities of apple/berry juice. Food Sci. Technol. 2022, 42, e37621. [Google Scholar] [CrossRef]
  86. Oh, S.C. Antioxidant effects of herbal wine containing Acanthopanax sessiliflorus, Lycium chinense, Schizandra chinensis, Cuscutae semen, Rubus coreanum and Plantaginis semen. J. Korean Appl. Sci. Technol. 2016, 33, 693–697. [Google Scholar] [CrossRef]
  87. Park, J.K.; Kim, C.K.; Gong, S.K.; Yu, A.R.; Lee, M.Y.; Park, S.K. Acanthopanax sessiliflorus stem confers increased resistance to environmental stresses and lifespan extension in Caenorhabditis elegans. Nutr. Res. Pract. 2014, 8, 526–532. [Google Scholar] [CrossRef] [PubMed]
  88. Kim, C.K.; Park, S.K. Effect of Acanthopanax sessiliflorus extracts on stress response and aging in Caenorhabditis elegans. Food Sci. Technol. Res. 2013, 19, 439–444. [Google Scholar] [CrossRef][Green Version]
  89. Kim, C.K.; Park, J.K.; Lee, J.S.; Park, S.K. Increased resistance to stress and an anti-aging effect due to Acanthopanax sessiliflorus roots in Caenorhabditis elegans. Food Sci. Biotechnol. 2014, 23, 1653–1659. [Google Scholar] [CrossRef]
  90. Zheng, Y. Studies on Chemical Constituents of Acanthopanax sessiliflorus. Mater’s Thesis, Chinese Academy of Agricultural Sciences, Beijing, China, 2012.
  91. Feng, Y.; Meng, X.J.; Wang, J.G.; Wang, J.J.; Zhang, Q. Studies on polysaccharides and flavonoids from Acanthopanax sessiliflorus (Rupr. et Maxim.) Seem. fruit. Chem. Ind. For. Prod. 2007, 27, 51–54. [Google Scholar]
  92. Xiao, F.Y.; Gao, L.; Zhao, Z.J.; Luan, C.; Duan, C.C.; Zhao, Y.J.; Li, S.Y. Extraction and antifatigue effect of polyphenols from the fruits of Acanthopanax sessiliflorus (Rupr. et Maxim.) Seem. Food Sci. 2018, 39, 235–240. [Google Scholar]
  93. He, X.L.; Zhang, R.; Sun, M.L.; Zhou, L.B. Experimental study on the sedative and hypnotic effects of fructus Acanthopanax sessiliflorus (Rupr. et Maxim.) Seem. J. Chin. Med. Mater. 2013, 36, 1329–1331. [Google Scholar] [CrossRef]
  94. Rui, S. Study on Sedative and Hypnotic Effects of Roots and Rhizomes of Acanthopanax senticosus and Acanthopanax sessiliflorus. Mater’s Thesis, Jilin Agricultural University, Changchun, China, 2020. [Google Scholar] [CrossRef]
  95. Wang, J.Y. Study on Sedative and Hypnotic Effects of Fruits and Leaves of Acanthopanax senticosus and Acanthopanax sessiliflorus. Mater’s Thesis, Jilin Agricultural University, Changchun, China, 2020. [Google Scholar] [CrossRef]
  96. Li, R.J. Quality Evaluation and Pharmacological Activity of Eleutherococcus senticosus Leaf and E. sessiliflorus Leaf. Mater’s Thesis, Jilin Agricultural University, Changchun, China, 2020. [Google Scholar] [CrossRef]
  97. Yang, C.J. Studies on Chemical Constituents of Acanthopanax sessiliflorus Fruits and Pharmacokinetics of Chiisanogenin. Ph.D., Thesis, Shenyang Pharmaceutical University, Shenyang, China, 2009. [Google Scholar]
  98. Kazakevich, V.M.; Ryabtsova, E.G. Effect of the preparations from the roots and leaves of Acanthopanax sessiliflorus on some indices of carbohydrate metabolites in rats. Rastit. Resur. 1985, 21, 469–471. [Google Scholar]
  99. Lim, S.H.; Park, Y.H.; Kwon, C.J.; Ham, H.J.; Jeong, H.N.; Kim, K.H.; Ahn, Y.S. Anti-diabetic and hypoglycemic effect of Eleutherococcus spp. J. Korean Soc. Food Sci. Nutr. 2010, 39, 1761–1768. [Google Scholar] [CrossRef]
  100. Kim, J. Amelioration of plasma glucose and cholesterol levels in db/db mice by a mixture of Chinese herbs. Korean J. Med. Crop Sci. 2008, 16, 225–230. [Google Scholar]
  101. Kim, Y.S.k; Kim, J.H.; Kim, J.S. Screening of Korean herbal medicines with inhibitory effect on aldose reductase (IX). Korean J. Pharmacogn. 2014, 45, 354–358. [Google Scholar]
  102. Hua, Y. Study on the hypoglycemic effect of flavonoid of Acanthopanax sessiliflorus Seem on type-2 diabetic mice model. Shanxi Med. J. 2018, 47, 1091–1094, 1112. [Google Scholar]
  103. He, Z.M.; Li, C.e.; Duan, C.C.; Zhao, Y.J.; Gao, L.; Luan, C.; Zhang, L.X.; Li, S.Y. Preventive effect of polyphenols isolated from Acanthopanax sessiliflorus fruits on atherosclerosis in rats. Food Sci. 2018, 39, 200–206. [Google Scholar]
  104. Zhao, Y.; Wang, X.; Chen, C.; Shi, K.; Li, J.; Du, R. Protective effects of 3,4-seco-lupane triterpenes from food raw materials of the leaves of Eleutherococcus Senticosus and Eleutherococcus Sessiliflorus on arrhythmia induced by barium chloride. Chem. Biodivers. 2021, 18, e2001021. [Google Scholar] [CrossRef]
  105. Kim, H.M.; Baek, N.I. Anti-hypertensive effects of DHP1501, ethanolic extracts from Eleutherococcus sessiliflorus fruits, via inhibition of angiotensin converting enzyme and activation of endothelial nitric oxide synthase. Korean J. Pharmacogn. 2018, 49, 240–245. [Google Scholar]
  106. Yoon, D.; Choi, B.R.; Lee, Y.S.; Han, K.S.; Kim, D.; Lee, D.Y. Serum metabonomic research of the anti-hypertensive effects of ogaja on spontaneously hypertensive rats. Metabolites 2020, 10, 404. [Google Scholar] [CrossRef]
  107. Kim, H.W.; Kim, K.Y.; Lee, S.Y.; Kim, G.Y.; Jeon, B.G.; Lee, S.J.; Jeong, H.W. Immuno-stimulating effects of BS-01 made using extract of Acanthopanax sessiliflorus on the body weight and serum lipid level in obesity-induced mice. Korean J. Orient. Physiol. Pathol. 2008, 22, 1152–1157. [Google Scholar]
  108. Choi, B.R.; Yoon, D.; Kim, H.G.; Oh, S.M.; Yoo, Y.C.; Lee, Y.S.; Kim, K.W.; Yi, T.H.; Lee, D.Y. NMR-based metabolomics approach to investigate the effects of fruits of Acanthopanax sessiliflorus in a high-fat diet-induced mouse model. Metabolites 2021, 11, 505. [Google Scholar] [CrossRef]
  109. Zheng, R. Extraction, Isolation, Biological Activity and Structure Analysis of Polysaccharides from Acanthopanax sessiliflorus. Mater’s Thesis, Changchun University of Chinese Medicine, Changchun, China, 2022. [Google Scholar] [CrossRef]
  110. Kim, J.H.; Shin, E.H.; Lee, H.Y.; Lee, B.G.; Park, S.H.; Moon, D.I.; Goo, G.C.; Kwon, D.Y.; Yang, H.J.; Kim, O.J.; et al. Immunostimulating effects of extract of Acanthopanax sessiliflorus. Exp. Anim. 2013, 62, 247–253. [Google Scholar] [CrossRef] [PubMed][Green Version]
  111. Kim, H.W.; Kim, G.Y.; Jeon, B.G.; Choi, J.S.; Jeong, H.W.; Cho, S.I. Effects of Acanthopanax sessiliflorus on immune cells such as thymocytes, splenocytes and macrophages in mice. Korean J. Orient. Int. Med. 2007, 28, 379–386. [Google Scholar]
  112. Hwang, E.; Kim, G.W.; Song, K.D.; Lee, H.K.; Kim, S.J. The enhancing effect of Acanthopanax sessiliflorus fruit extract on the antibacterial activity of porcine alveolar 3D4/31 macrophages via NF-κB1 and lipid metabolism regulation. Asian-Australas. J. Anim. Sci. 2019, 32, 1776–1788. [Google Scholar] [CrossRef] [PubMed]
  113. Bian, X.B.; Zhao, Y.; Guo, X.; Zhang, L.X.; Li, P.Y.; Fu, T.H.; Wang, W.D.; Yin, Y.X.; Chen, G.L.; Liu, J.P. Chiisanoside, a triterpenoid saponin, exhibits anti-tumor activity by promoting apoptosis and inhibiting angiogenesis. RSC Adv. 2017, 7, 41640–41650. [Google Scholar] [CrossRef]
  114. Wang, H.; Yu, W.; Zhang, D.; Zhao, Y.; Chen, C.; Zhu, H.; Cai, E.; Yan, Z. Cytotoxic and anti-tumor effects of 3,4-seco-lupane triterpenoids from the leaves of Eleutherococcus sessiliflorus against hepatocellular carcinoma. Nat. Prod. Res. 2022, 36, 1062–1066. [Google Scholar] [CrossRef]
  115. Jung, S.K.; Lim, T.G.; Kim, J.E.; Byun, S.; Kim, G.W.; Choi, J.N.; Lee, C.H.; Kim, B.Y.; Lee, K.W.; Lee, H.J. Inhibitory effect of ERK1/2 and AP-1 by hyperoside isolated from Acanthopanax sessiliflorus. Food Chem. 2012, 130, 915–920. [Google Scholar] [CrossRef]
  116. Thamizhiniyan, V.; Young-Woong, C.; Young-Kyoon, K. The cytotoxic nature of Acanthopanax sessiliflorus stem bark extracts in human breast cancer cells. Saudi J. Biol. Sci. 2015, 22, 752–759. [Google Scholar] [CrossRef]
  117. Kim, H.W.; Jeong, S.; Cho, S.I.; Jeon, B.G.; Kim, G.Y.; Cho, Y.L.; Jeong, H.W. Therapeutic efficacy of extracts from root of Acnthopanax Sessiliflorus as anti-cancer drug: In vivo and in vitro study. Korean J. Orient. Physiol. Pathol. 2007, 21, 518–522. [Google Scholar]
  118. Kim, J.H.; Chang, G.T.; Kang, M.S. The effect of Acanthopanax sessiliflorus using the model of neuropathic pain and formalin-induced pain. J. Korean Orient. Med. 2007, 28, 261–272. [Google Scholar]
  119. Han, S.Y.; Kim, J.H.; Jo, E.H.; Kim, Y.K. Eleutherococcus sessiliflorus inhibits receptor activator of nuclear factor kappa-B ligand (RANKL)-induced osteoclast differentiation and prevents ovariectomy (OVX)-induced bone loss. Molecules 2021, 26, 1886. [Google Scholar] [CrossRef]
  120. Shrestha, S.K.; Song, J.; Lee, S.H.; Lee, D.; Kim, H.; Soh, Y. Eleutherococcus sessiliflorus induces differentiation of prechondrogenic ATDC5 Cells. Korea J. Herbol. 2022, 37, 51–59. [Google Scholar] [CrossRef]
  121. Lee, P.J.; Lee, S.H.; Choi, S.Y.; Son, D.W. Neuroprotective effect of Acanthopanax sessiliflorus against toxicity induced by N-methyl-D-aspartate in rat organotypic hippocampal slice culture. Nat. Prod. Sci. 2005, 11, 179–182. [Google Scholar]
  122. Bian, X.; Liu, X.; Liu, J.; Zhao, Y.; Li, H.; Zhang, L.; Li, P.; Gao, Y. Hepatoprotective effect of chiisanoside from Acanthopanax sessiliflorus against LPS/D-GalN-induced acute liver injury by inhibiting NF-κB and activating Nrf2/HO-1 signaling pathways. J. Sci. Food Agric. 2019, 99, 3283–3290. [Google Scholar] [CrossRef] [PubMed]
  123. Kang, Y.J.; Moon, H.S.; Kim, H.J.; Seo, H.G.; Lee, J.H.; Chang, K.C. Induction of heme oxygenase-1 by traditional herb mix extract improves MKN-74 cell survival and reduces stomach bleeding in rats by ethanol and aspirin in vivo. Korean J. Physiol. Pharmacol. 2007, 11, 65–70. [Google Scholar]
Figure 1. Whole plant (A), fruits (B), leaves (C), and roots (D) of Eleutherococcus sessiliflorus.
Figure 1. Whole plant (A), fruits (B), leaves (C), and roots (D) of Eleutherococcus sessiliflorus.
Molecules 28 06564 g001
Figure 2. Chemical structures of terpenoids isolated from Eleutherococcus sessiliflorus. Chemical structures were drawn using Chemdraw Professional 15.0 software.
Figure 2. Chemical structures of terpenoids isolated from Eleutherococcus sessiliflorus. Chemical structures were drawn using Chemdraw Professional 15.0 software.
Molecules 28 06564 g002aMolecules 28 06564 g002bMolecules 28 06564 g002c
Figure 3. Chemical structures of phenylpropanoids isolated from Eleutherococcus sessiliflorus. Chemical structures were drawn using Chemdraw Professional 15.0 software.
Figure 3. Chemical structures of phenylpropanoids isolated from Eleutherococcus sessiliflorus. Chemical structures were drawn using Chemdraw Professional 15.0 software.
Molecules 28 06564 g003aMolecules 28 06564 g003bMolecules 28 06564 g003cMolecules 28 06564 g003d
Figure 4. Chemical structures of flavonoids isolated from Eleutherococcus sessiliflorus. Chemical structures were drawn using ChemDraw Professional 15.0 software.
Figure 4. Chemical structures of flavonoids isolated from Eleutherococcus sessiliflorus. Chemical structures were drawn using ChemDraw Professional 15.0 software.
Molecules 28 06564 g004
Figure 5. Chemical structures of volatile oils isolated from Eleutherococcus sessiliflorus. Chemical structures were drawn using ChemDraw Professional 15.0 software.
Figure 5. Chemical structures of volatile oils isolated from Eleutherococcus sessiliflorus. Chemical structures were drawn using ChemDraw Professional 15.0 software.
Molecules 28 06564 g005aMolecules 28 06564 g005bMolecules 28 06564 g005c
Figure 6. Chemical structures of organic acids (esters) isolated from Eleutherococcus sessiliflorus. Chemical structures were drawn using Chemdraw Professional 15.0 software.
Figure 6. Chemical structures of organic acids (esters) isolated from Eleutherococcus sessiliflorus. Chemical structures were drawn using Chemdraw Professional 15.0 software.
Molecules 28 06564 g006aMolecules 28 06564 g006b
Figure 7. Chemical structures of nitrogenous compounds isolated from Eleutherococcus sessiliflorus. Chemical structures were drawn using Chemdraw Professional 15.0 software.
Figure 7. Chemical structures of nitrogenous compounds isolated from Eleutherococcus sessiliflorus. Chemical structures were drawn using Chemdraw Professional 15.0 software.
Molecules 28 06564 g007
Figure 8. Chemical structures of others isolated from Eleutherococcus sessiliflorus. Chemical structures were drawn using Chemdraw Professional 15.0 software.
Figure 8. Chemical structures of others isolated from Eleutherococcus sessiliflorus. Chemical structures were drawn using Chemdraw Professional 15.0 software.
Molecules 28 06564 g008aMolecules 28 06564 g008bMolecules 28 06564 g008c
Table 4. Volatile oils isolated from Eleutherococcus sessiliflorus.
Table 4. Volatile oils isolated from Eleutherococcus sessiliflorus.
NO.NameFormulaExact Theoretical Molecular WeightSourceCharacterization MethodRefs.
165Hexanoic acidC6H12O2116.0837rootsGC[66]
166Octanoic acidC8H16O2144.1150rootsGC[66]
167Methyl salicylateC8H8O3152.0473rootsGC[66]
168AromadendreneC15H24204.1878rootsGC[66]
169NerolidolC15H26O222.1984roots, stem barksGC-MS, GC[64,66]
170LedolC15H26O222.1984rootsGC[66]
171(−)-SpathulenolC15H24O220.1827roots, stem barksGC-MS, GC[64,66]
172LevomenolC15H26O222.1984roots, stem barksGC-MS, GC[64,66]
173TetradecanalC14H28O212.2140rootsGC[66]
174EspatulenolC15H24O220.1827rootsGC[66]
175HeptadecaneC17H36240.2817rootsGC[66]
176(E,E)-FarnesolC15H26O222.1984roots, stem barksGC-MS, GC[64,66]
177FarnesalC15H24O220.1827roots, stem barksGC-MS, GC[64,66]
178Diisobutyl phthalateC16H22O4278.1518rootsGC[66]
179Methyl hexadecanoateC17H34O2270.2559rootsGC[66]
180OctadecaneC18H38254.2974rootsGC[66]
181(R)-(−)-FalcarinolC17H24O244.1827rootsGC[66]
182TricosaneC23H48324.3756rootsGC[66]
183OctanalC8H16O128.1201stem barksGC-MS[64]
1844-Isopropenyl-1-methylcyclohexeneC10H16136.1252stem barksGC-MS[64]
185(R)-3,7-Dimethyloct-6-en-1-olC10H20O156.1514stem barksGC-MS[64]
186(E)-2-DecenalC10H18O154.1358stem barksGC-MS[64]
187(1S-Endo)-1,7,7-trimethyl-bicyclo [2.2.1]heptan-2-ol-acetate C12H20O2196.1463stem barksGC-MS[64]
188(E,E)-2,4-DecadienalC10H16O152.1201stem barksGC-MS[64]
1892,6-Dimethyl-2,6-octadieneC10H18138.1409stem barksGC-MS[64]
190(E)-3,7-Dimethyl-2,6-octadien-1-ol acetateC12H20O2196.1463stem barksGC-MS[64]
191(−)-Trans-myrtanyl acatateC12H20O2196.1463stem barksGC-MS[64]
192GeranylacetoneC13H22O194.1671stem barksGC-MS[64]
1931-(1,5-Dimethyl-4-hexenyl)-4-methylbenzeneC15H22202.1722stem barksGC-MS[64]
194(E,E)-3,7,11-Trimethyl-1,3,6,10-dodecatetraeneC15H24204.1878stem barksGC-MS[64]
195S-1-Methyl-4-(5-methyl-1-methylene-4-hexenyl)cyclohexeneC15H24204.1878stem barksGC-MS[64]
196[1R-(1α,3aβ,4α,7β)]-1,2,3,3a,4,5,6,7-Octahydro-7-isopropenyl-1,4-dimethylazulenC15H24204.1878stem barksGC-MS[64]
197E,E-3,7,11,15-Tetramethyl-1,6,10,14-hexadecatetraen-3-olC20H34O290.2610stem barksGC-MS[64]
198(E,E)-3,7,11-Trimethyl-2,6,10-dodecatrien-1-ol acetateC17H28O2264.2089stem barksGC-MS[64]
199HentriacontaneC31H64436.5008stem barksGC-MS[64]
200HexatriacontaneC36H74506.5791stem barksGC-MS[64]
201OctacosaneC28H58394.4539stem barksGC-MS[64]
2029-Octyl-heptadecaneC25H52352.4069stem barksGC-MS[64]
2038-Heptyl-pentadecaneC22H46310.3600stem barksGC-MS[64]
204BorneolC10H18O154.1358stemsGC-MS[65]
205Butylated hydroxytolueneC15H24O220.1827stemsGC-MS[65]
206NonadecaneC19H40268.3130stemsGC-MS[65]
207Dibutyl phthalateC16H22O4278.1518stemsGC-MS[65]
208α-BergamoteneC15H24204.1878rootsGC[66]
209β-Caryophyllene oxideC15H24O220.1827rootsGC[66]
210α-GurjuneneC15H24204.1878rootsGC[66]
2119,17-Diene-octodecaneC18H34250.2661rootsGC[66]
2125-Methyl-2-(1-methylethyl)-cyclohexanolC10H20O156.1514rootsGC[66]
213α-NeocloveneC15H24204.1878rootsGC[66]
2143,7,11,15-Tetramethyl-2,6,10,14-hexadecatetraene-1-olC20H34O290.2610rootsGC[66]
2151,5,5-Trimethyl-6-(2-butenyl)-1-cyclohexeneC13H22178.1722stemsGC-MS[65]
216β-Cedren-9-α-olC15H24O220.1827stemsGC-MS[65]
217[1aR-(1αa, 4αa, 7a, 7aβ, 7bα)]-1a,2,3,5,6,7,7a,7b-Octahydro-1,1,4,7-tetramethyl-1H-cycloprop[e]azuleneC15H24204.1878stem barksGC-MS[64]
218UndecaneC11H24156.1878leavesGC-MS[67]
219OctaneC8H18114.1409leavesGC-MS[67]
GC: Gas chromatography; GC-MS: Gas chromatography-mass spectrometry.
Table 5. Organic acids (esters) isolated from Eleutherococcus sessiliflorus.
Table 5. Organic acids (esters) isolated from Eleutherococcus sessiliflorus.
NO.NameFormulaExact Theoretical Molecular WeightSourceCharacterization methodRefs.
220Protocatechuic acidC7H6O4154.0266fruits, root barksIR, 13C-NMR, 1H-NMR[22,53]
221Benzoic acidC7H6O2122.0368fruits13C-NMR, 1H-NMR, MS[48]
222Gallic acidC7H6O5170.0215stemsIR, 13C-NMR, 1H-NMR[54]
223Protocatechuicacid methyl esterC8H8O4168.0423fruitsHPLC-MS, 13C-NMR, 1H-NMR[30]
224Niduloic acidC15H16O5276.0998fruitsHPLC-MS, 13C-NMR, 1H-NMR[30]
225Linoleic acidC18H32O2280.2402fruits, leaves, stem barksUPLC-MS, IR, 13C-NMR, 1H-NMR GC-MS[20,64,69]
226Quinic acidC7H12O6192.0634leavesUPLC-MS[20]
227Azelaic acidC9H16O4188.1049leavesUPLC-MS[20]
228Malyngic acidC18H32O5328.2250leavesUPLC-MS[20]
229Stearidonic acidC18H28O2276.2089leavesUPLC-MS[20]
230Parinaric acidC18H28O2276.2089leavesUPLC-MS[20]
231Eleostearic acidC18H30O2278.2246leavesUPLC-MS[20]
232Pinolenic acidC18H30O2278.2246leavesUPLC-MS[20]
233Palmitoleic acidC16H30O2254.2246leavesUPLC-MS[20]
2341-MonopalmitinC19H38O4330.2770leavesGC-MS[67]
235o-Toluic acidC8H8O2136.0524leavesGC-MS[67]
236Lactic acidC3H6O390.0317leavesGC-MS[67]
237Butenedioic acidC4H4O4116.0110leavesGC-MS[67]
238D-Gluconic acidC6H12O7196.0583leavesGC-MS[67]
239Isophthalic acidC8H6O4166.0266leavesGC-MS[67]
240Palmitic acidC16H32O2256.2402leaves, stem barksGC-MS[64,67]
241Stearic acidC18H36O2284.2715leavesGC-MS[67]
242Glycerol monostearateC21H42O4358.3083leavesGC-MS[67]
243Erythrono-1,4-lactoneC4H6O4118.0266leavesGC-MS[67]
244Vanillic acid-4-O-β-D-glucopysideC14H18O9330.0951fruitsMS, 13C-NMR, 1H-NMR[14]
2454-O-β-D-Glucopyranosyl-3,5-dimethoxygallic acidC14H18O9330.0951fruitsMS, 13C-NMR, 1H-NMR[14]
246Vanillate glucosideC14H18O9330.0951fruitsMS, 13C-NMR, 1H-NMR[14]
247Syringic acidC9H10O5198.0528rootsHPLC-MS[29]
248Vanillic acidC8H8O4168.0423rootsHPLC-MS[29]
2494-Hydroxybenzoic acidC7H6O3138.0317leavesGC-MS[67]
250Hydroxybenzoic acidC7H6O3138.0317leavesGC-MS[67]
251Dimethylbenzoic acidC9H10O2150.0681leavesGC-MS[67]
IR: Infrared spectroscopy; 13C-NMR: Carbon-13 nuclear magnetic resonance spectrometry; 1H-NMR: Hydrogen-1 nuclear magnetic resonance spectrometry; MS: Mass spectrometry; HPLC-MS: High-performance liquid chromatography-mass spectrometry; UPLC-MS: Ultra performance liquid chromatography-mass spectrometry; GC-MS: Gas chromatography-mass spectrometry.
Table 7. Others isolated from Eleutherococcus sessiliflorus.
Table 7. Others isolated from Eleutherococcus sessiliflorus.
NO.NameFormulaExact Theoretical Molecular WeightSourceCharacterization MethodRefs.
272Frangulin BC20H18O9402.0951leavesUPLC-MS[20]
273PurpurinC14H8O5256.0372leavesUPLC-MS[20]
274TyrosolC8H10O2138.0681fruits13C-NMR, 1H-NMR, MS[48]
275Protocatechuic aldehydeC7H6O3138.0317fruits13C-NMR, 1H-NMR, MS[48]
276PyrocatecholC6H6O2110.0368fruits13C-NMR, 1H-NMR, MS[48]
277PhenolC6H6O94.0419leaves13C-NMR, 1H-NMR, MS[48]
278SalidrosideC14H20O7300.1209fruitsMS, 13C-NMR, 1H-NMR[14]
2794-Hydroxybenzyl-β-D-glucopyranosideC13H18O7286.1053fruitsMS, 13C-NMR, 1H-NMR[14]
2802-Hydroxy-5-(2-hydroxyethyl) phenyl-O-β-D-glucopyranosideC14H20O8316.1158fruitsMS, 13C-NMR, 1H-NMR[14]
281β-SitosterolC29H50O414.3862stems, fruitsIR, 13C-NMR, 1H-NMR, GC-MS[54,69]
282DaucosterolC35H60O6576.4390stems, fruits, root barks, leavesUPLC-MS, IR, 13C-NMR, 1H-NMR[20,53,54]
283Stigmasterol-3-O-β-D-glucopyranosideC35H58O6574.4233stemsIR, 13C-NMR, 1H-NMR[54]
284StigmasterolC29H48O412.3705fruitsIR, 13C-NMR, 1H-NMR, GC-MS[69]
285Stigmast-5-en-3β,7β-diolC29H50O2430.3811fruitsIR, 13C-NMR, 1H-NMR, GC-MS[69]
28619-NortestosteroneC18H26O2274.1933leavesUPLC-MS[20]
287FalcarindiolC17H24O2260.1776root barks13C-NMR, 1H-NMR[53]
288Cuminyl alcoholC10H14O150.1045leaves13C-NMR, 1H-NMR, MS[48]
2895-HydroxymethylfurfuralC6H6O3126.0317fruitsIR, 13C-NMR, 1H-NMR[22]
290RaffinoseC18H32O16504.1690leavesUPLC-MS[20]
291SucroseC12H22O11342.1162leavesUPLC-MS, GC-MS[20,67]
292MaltolC6H6O3126.0317leavesUPLC-MS[20]
293β-GentiobioseC12H22O11342.1162leavesGC-MS[67]
294D-CellobioseC12H22O11342.1162leavesGC-MS[67]
295D-FructoseC6H12O6180.0634leavesGC-MS[67]
296D-GalactoseC6H12O6180.0634leavesGC-MS[67]
297Galactose oximeC6H13NO6195.0743leavesGC-MS[67]
298D-MannoseC6H12O6180.0634leavesGC-MS[67]
299D-Gluconic acidC6H12O7196.0583leavesGC-MS[67]
300LevoglucosanC6H10O5162.0528leavesGC-MS[67]
301ArabinofuranoseC5H10O5150.0528leavesGC-MS[67]
302L-SorbopyranoseC6H12O6180.0634leavesGC-MS[67]
303Methyl-α-D-ribofuranosideC6H12O5164.0685leavesGC-MS[67]
304D-GlucosamineC6H13NO5179.0794fruitsIR, HPLC[78]
305RhamnoseC6H12O5164.0685fruitsIR, HPLC[78]
306D-Glucuronic acidC6H10O7194.0427fruitsIR, HPLC[78]
307D-Galacturonic acidC6H10O7194.0427fruitsIR, HPLC[78]
308GlucoseC6H12O6180.0634fruitsIR, HPLC[78]
309(+)-XyloseC5H10O5150.0528fruitsIR, HPLC[78]
310FucoseC6H12O5164.0685fruitsIR, HPLC[78]
3111,2-Bis(trimethylsiloxy)cyclohexeneC12H26O2Si2258.1471leavesGC-MS[67]
312Diphenyl(trimethylsilyl)phosphineC15H19PSi258.0994leavesGC-MS[67]
313PentasiloxaneH12O4Si5215.9582leavesGC-MS[67]
314TrisiloxaneH8O2Si3123.9832leavesGC-MS[67]
UPLC-MS: Ultra performance liquid chromatography-mass spectrometry; 13C-NMR: Carbon-13 nuclear magnetic resonance spectrometry; 1H-NMR: Hydrogen-1 nuclear magnetic resonance spectrometry; MS: Mass spectrometry; IR: Infrared spectroscopy; GC-MS: Gas chromatography-mass spectrometry; HPLC: High-performance liquid chromatography.
Disclaimer/Publisher’s Note: The statements, opinions and data contained in all publications are solely those of the individual author(s) and contributor(s) and not of MDPI and/or the editor(s). MDPI and/or the editor(s) disclaim responsibility for any injury to people or property resulting from any ideas, methods, instructions or products referred to in the content.

Share and Cite

MDPI and ACS Style

Sun, H.; Feng, J.; Sun, Y.; Sun, S.; Li, L.; Zhu, J.; Zang, H. Phytochemistry and Pharmacology of Eleutherococcus sessiliflorus (Rupr. & Maxim.) S.Y.Hu: A Review. Molecules 2023, 28, 6564. https://doi.org/10.3390/molecules28186564

AMA Style

Sun H, Feng J, Sun Y, Sun S, Li L, Zhu J, Zang H. Phytochemistry and Pharmacology of Eleutherococcus sessiliflorus (Rupr. & Maxim.) S.Y.Hu: A Review. Molecules. 2023; 28(18):6564. https://doi.org/10.3390/molecules28186564

Chicago/Turabian Style

Sun, Hui, Jiaxin Feng, Yue Sun, Shuang Sun, Li Li, Junyi Zhu, and Hao Zang. 2023. "Phytochemistry and Pharmacology of Eleutherococcus sessiliflorus (Rupr. & Maxim.) S.Y.Hu: A Review" Molecules 28, no. 18: 6564. https://doi.org/10.3390/molecules28186564

APA Style

Sun, H., Feng, J., Sun, Y., Sun, S., Li, L., Zhu, J., & Zang, H. (2023). Phytochemistry and Pharmacology of Eleutherococcus sessiliflorus (Rupr. & Maxim.) S.Y.Hu: A Review. Molecules, 28(18), 6564. https://doi.org/10.3390/molecules28186564

Article Metrics

Back to TopTop