Recovery of Precious Metals: A Promising Process Using Supercritical Carbon Dioxide and CO2-Soluble Complexing Polymers for Palladium Extraction from Supported Catalysts
Abstract
:1. Introduction
2. Results and Discussion
2.1. Presentation of the Catalysts Cat D and Cat A
2.1.1. Catalyst Cat D
2.1.2. Catalyst Cat A
2.2. Pd Extraction from Catalysts Cat D and Cat A with scCO2-Soluble (co)Polymers
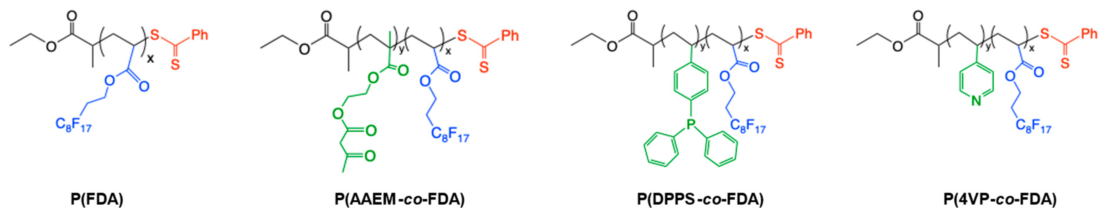
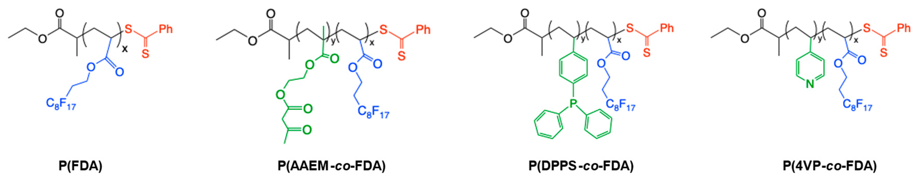
2.2.1. Synthesis of the Fluorinated scCO2-Soluble (co)Polymers Capable of Complexing with Pd
2.2.2. Pd Extraction from Catalysts Cat D with scCO2-Soluble (co)Polymers
2.2.3. Pd Extraction from Catalysts Cat A with scCO2-Soluble (co)Polymers
2.3. Recovery of the Pd from the Polymer/Pd Complex
2.4. Technological and Economical Assessment
3. Materials and Methods
4. Conclusions
Supplementary Materials
Author Contributions
Funding
Institutional Review Board Statement
Informed Consent Statement
Data Availability Statement
Conflicts of Interest
Sample Availability
References
- Dong, H.; Zhao, J.; Chen, J.; Wu, Y.; Li, B. Recovery of Platinum Group Metals from Spent Catalysts: A Review. Int. J. Miner. Process. 2015, 145, 108–113. [Google Scholar] [CrossRef]
- Ding, Y.; Zhang, S.; Liu, B.; Zheng, H.; Chang, C.; Ekberg, C. Recovery of Precious Metals from Electronic Waste and Spent Catalysts: A Review. Resour. Conserv. Recycl. 2019, 141, 284–298. [Google Scholar] [CrossRef]
- USGS. Advance Relaease. Available online: https://minerals.usgs.gov/minerals/pubs/commodity/platinum/ar-2021-plati.pdf (accessed on 15 January 2022).
- Tanaka Platinum and Palladium Survey 2019. 2019. Available online: https://newagemetals.com/wp-content/uploads/GFMS_PGM_Survey_2019.pdf (accessed on 3 February 2022).
- PGM Market Report May 2023. Available online: https://technology.matthey.com/article/67/3/361-363 (accessed on 28 June 2023).
- Minerals Yearbook of PGMs. Available online: https://minerals.usgs.gov/minerals/pubs/commodity/platinum/myb1-2021-plati.pdf (accessed on 15 January 2022).
- KITCO. Available online: https://www.kitco.com/charts/livepalladium.html (accessed on 15 January 2022).
- Hagelüken, C.; Goldmann, D. Recycling and Circular Economy—Towards a Closed Loop for Metals in Emerging Clean Technologies. Miner. Econ. 2022, 35, 539–562. [Google Scholar] [CrossRef]
- Jadhav, U.; Hocheng, H. A Review of Recovery of Metals from Industrial Waste. J. Achiev. Mater. Manuf. Eng. 2012, 54, 159–167. [Google Scholar]
- Fröhlich, P.; Lorenz, T.; Martin, G.; Brett, B.; Bertau, M. Valuable Metals—Recovery Processes, Current Trends, and Recycling Strategies. Angew. Chem. Int. Ed. 2017, 56, 2544–2580. [Google Scholar] [CrossRef]
- Rene, E.R.; Sethurajan, M.; Kumar Ponnusamy, V.; Kumar, G.; Bao Dung, T.N.; Brindhadevi, K.; Pugazhendhi, A. Electronic Waste Generation, Recycling and Resource Recovery: Technological Perspectives and Trends. J. Hazard. Mater. 2021, 416, 125664. [Google Scholar] [CrossRef]
- Nose, K.; Okabe, T.H. Chapter 2.10—Platinum Group Metals Production. In Treatise on Process Metallurgy; Seetharaman, S., Ed.; Elsevier: Boston, MA, USA, 2014; pp. 1071–1097. ISBN 978-0-08-096988-6. [Google Scholar]
- Ilie, S.; Miuţescu, A.; Stoianovici, M.; Mitran, G. Recovery of Precious Metals from Catalytic Converters of Automobiles by Hydrometallurgical Solid-Liquid Extraction Processes. Adv. Mater. Res. 2014, 837, 105–109. [Google Scholar] [CrossRef]
- Zimmermann, Y.-S.; Niewersch, C.; Lenz, M.; Kül, Z.Z.; Corvini, P.F.-X.; Schäffer, A.; Wintgens, T. Recycling of Indium From CIGS Photovoltaic Cells: Potential of Combining Acid-Resistant Nanofiltration with Liquid–Liquid Extraction. Environ. Sci. Technol. 2014, 48, 13412–13418. [Google Scholar] [CrossRef]
- Barrueto, Y.; Hernández, P.; Jiménez, Y.P.; Morales, J. Properties and Application of Ionic Liquids in Leaching Base/Precious Metals from e-Waste. A Review. Hydrometallurgy 2022, 212, 105895. [Google Scholar] [CrossRef]
- Abbott, A.P.; Frisch, G.; Hartley, J.; Ryder, K.S. Processing of Metals and Metal Oxides Using Ionic Liquids. Green Chem. 2011, 13, 471–481. [Google Scholar] [CrossRef]
- Al Hamouz, O.C.S.; Ali, S.A. Removal of Heavy Metal Ions Using a Novel Cross-Linked Polyzwitterionic Phosphonate. Sep. Purif. Technol. 2012, 98, 94–101. [Google Scholar] [CrossRef]
- Gomes, C.P.; Almeida, M.F.; Loureiro, J.M. Gold Recovery with Ion Exchange Used Resins. Sep. Purif. Technol. 2001, 24, 35–57. [Google Scholar] [CrossRef]
- Nan, J.; Han, D.; Zuo, X. Recovery of Metal Values from Spent Lithium-Ion Batteries with Chemical Deposition and Solvent Extraction. J. Power Sources 2005, 152, 278–284. [Google Scholar] [CrossRef]
- Lei, S.; Sun, W.; Yang, Y. Solvent Extraction for Recycling of Spent Lithium-Ion Batteries. J. Hazard. Mater. 2022, 424, 127654. [Google Scholar] [CrossRef] [PubMed]
- Li, W.S.J.; Gasc, F.; Pinot, J.; Causse, J.; Poirot, H.; Pinaud, J.; Bouilhac, C.; Simonaire, H.; Barth, D.; Lacroix-Desmazes, P. Extraction of Palladium from Alumina-Supported Catalyst in Supercritical CO 2 Using Functional Fluorinated Polymers. J. Supercrit. Fluids 2018, 138, 207–214. [Google Scholar] [CrossRef]
- Ruiu, A.; Bauer-Siebenlist, B.; Senila, M.; Jänisch, T.; Foix, D.; Seaudeau-Pirouley, K.; Lacroix-Desmazes, P. Promising Polymer-Assisted Extraction of Palladium from Supported Catalysts in Supercritical Carbon Dioxide. J. CO2 Util. 2020, 41, 101232. [Google Scholar] [CrossRef]
- Ruiu, A.; Bauer-Siebenlist, B.; Senila, M.; Li, W.S.J.; Seaudeau-Pirouley, K.; Lacroix-Desmazes, P.; Jänisch, T. Supercritical CO2 Extraction of Palladium Oxide from an Aluminosilicate-Supported Catalyst Enhanced by a Combination of Complexing Polymers and Piperidine. Molecules 2021, 26, 684. [Google Scholar] [CrossRef]
- Stoychev, I.; Peters, F.; Kleiner, M.; Clerc, S.; Ganachaud, F.; Chirat, M.; Fournel, B.; Sadowski, G.; Lacroix-Desmazes, P. Phase Behavior of Poly(Dimethylsiloxane)-Poly(Ethylene Oxide) Amphiphilic Block and Graft Copolymers in Compressed Carbon Dioxide. J. Supercrit. Fluids 2012, 62, 211–218. [Google Scholar] [CrossRef]
- Parzuchowski, P.G.; Gregorowicz, J.; Fraś, Z.; Wawrzyńska, E.P.; Brudzyńska, E.; Rokicki, G. Hyperbranched Poly(Ether-Siloxane) Amphiphiles of Surprisingly High Solubility in Supercritical Carbon Dioxide. J. Supercrit. Fluids 2014, 95, 222–227. [Google Scholar] [CrossRef]
- Tapriyal, D.; Wang, Y.; Enick, R.M.; Johnson, J.K.; Crosthwaite, J.; Thies, M.C.; Paik, I.H.; Hamilton, A.D. Poly(Vinyl Acetate), Poly((1-O-(Vinyloxy) Ethyl-2,3,4,6-Tetra-O-Acetyl-β-d-Glucopyranoside) and Amorphous Poly(Lactic Acid) Are the Most CO2-Soluble Oxygenated Hydrocarbon-Based Polymers. J. Supercrit. Fluids 2008, 46, 252–257. [Google Scholar] [CrossRef]
- Zhang, S.; Luo, Y.; Yang, H.; Yang, H.-J.; Tan, B. Functional Oligo(Vinyl Acetate) Bearing Bipyridine Moieties by RAFT Polymerization and Extraction of Metal Ions in Supercritical Carbon Dioxide. Polym. Chem. 2013, 4, 3507–3513. [Google Scholar] [CrossRef]
- Shen, Z.; McHugh, M.A.; Xu, J.; Belardi, J.; Kilic, S.; Mesiano, A.; Bane, S.; Karnikas, C.; Beckman, E.; Enick, R. CO2-Solubility of Oligomers and Polymers That Contain the Carbonyl Group. Polymer 2003, 44, 1491–1498. [Google Scholar] [CrossRef]
- Hu, D.; Zhang, Y.; Su, M.; Bao, L.; Zhao, L.; Liu, T. Effect of Molecular Weight on CO2-Philicity of Poly(Vinyl Acetate) with Different Molecular Chain Structure. J. Supercrit. Fluids 2016, 118, 96–106. [Google Scholar] [CrossRef]
- Lacroix-Desmazes, P.; Andre, P.; Desimone, J.M.; Ruzette, A.-V.; Boutevin, B. Macromolecular Surfactants for Supercritical Carbon Dioxide Applications: Synthesis and Characterization of Fluorinated Block Copolymers Prepared by Nitroxide-Mediated Radical Polymerization. J. Polym. Sci. Part A Polym. Chem. 2004, 42, 3537–3552. [Google Scholar] [CrossRef]
- André, P.; Lacroix-Desmazes, P.; Taylor, D.K.; Boutevin, B. Solubility of Fluorinated Homopolymer and Block Copolymer in Compressed CO2. J. Supercrit. Fluids 2006, 37, 263–270. [Google Scholar] [CrossRef]
- Ribaut, T.; Oberdisse, J.; Annighofer, B.; Fournel, B.; Sarrade, S.; Haller, H.; Lacroix-Desmazes, P. Solubility and Self-Assembly of Amphiphilic Gradient and Block Copolymers in Supercritical CO2. J. Phys. Chem. B 2011, 115, 836–843. [Google Scholar] [CrossRef]
- Ruiu, A.; Bouilhac, C.; Gimello, O.; Seaudeau-Pirouley, K.; Senila, M.; Jänisch, T.; Lacroix-Desmazes, P. Synthesis and Phase Behavior of a Platform of CO2-Soluble Functional Gradient Copolymers Bearing Metal-Complexing Units. Polymers 2022, 14, 2698. [Google Scholar] [CrossRef]
- Pereira, E.B.; Suliman, A.L.; Tanabe, E.H.; Bertuol, D.A. Recovery of Indium from Liquid Crystal Displays of Discarded Mobile Phones Using Solvent Extraction. Miner. Eng. 2018, 119, 67–72. [Google Scholar] [CrossRef]
- Wai, C.M.; Wang, S.; Yu, J.-J. Solubility Parameters and Solubilities of Metal Dithiocarbamates in Supercritical Carbon Dioxide. Anal. Chem. 1996, 68, 3516–3519. [Google Scholar] [CrossRef]
- Özel, M.Z.; Burford, M.D.; Clifford, A.A.; Bartle, K.D.; Shadrin, A.; Smart, N.G.; Tinker, N.D. Supercritical Fluid Extraction of Cobalt with Fluorinated and Non-Fluorinated β-Diketones. Anal. Chim. Acta 1997, 346, 73–80. [Google Scholar] [CrossRef]
- Halili, J.; Mele, A.; Arbneshi, T.; Mazreku, I. Supercritical CO2 Extraction of Heavy Metals Cu, Zn and Cd from Aqueous Solution Using D Ithizone as Chelating Agent. Am. J. Appl. Sci. 2015, 12, 284–289. [Google Scholar] [CrossRef]
- Mochizuki, S.; Wada, N.; Smith, R.L., Jr.; Inomata, H. Supercritical Fluid Extraction of Alkali Metal Ions Using Crown Ethers with Perfluorocarboxylic Acid from Aqueous Solution. Anal. Commun. 1999, 36, 51–52. [Google Scholar] [CrossRef]
- van Dyk, L.D.; Mawire, G.; Potgieter, J.H.; Dworzanowski, M. Selection of a Suitable Ligand for the Supercritical Extraction of Gold from a Low-Grade Refractory Tailing. J. Supercrit. Fluids 2022, 179, 105415. [Google Scholar] [CrossRef]
- Wang, J.S.; Chiu, K. Metal Extraction from Solid Matrices Using a Two-Surfactant Microemulsion in Neat Supercritical Carbon Dioxide. Microchim. Acta 2009, 167, 61. [Google Scholar] [CrossRef]
- Wang, J.S.; Koh, M.; Wai, C.M. Nuclear Laundry Using Supercritical Fluid Solutions. Ind. Eng. Chem. Res. 2004, 43, 1580–1585. [Google Scholar] [CrossRef]
- Ribaut, T. Etude de La Synthèse et de l’auto-Assemblage de Copolymères CO2-Philes Comportant Des Motifs Complexants: Application à La Décontamination En Milieu CO2 Supercritique; Université Montpellier II Sciences et Techniques du Languedoc: Montpellier, France, 2009. [Google Scholar]
- Chirat, M. Synthèse de Nouveaux Tensioactifs Macromoléculaires Complexants et Étude de Leurs Interactions Avec Le Cobalt Pour Le Développement d’un Procédé de Décontamination Des Textiles En Milieu CO2 Dense; Ecole Nationale Supérieure de Chimie de Montpellier: Montpellier, France, 2012. [Google Scholar]
- Moad, G.; Rizzardo, E.; Thang, S.H. Living Radical Polymerization by the RAFT Process—A Third Update. Aust. J. Chem. 2012, 65, 985. [Google Scholar] [CrossRef]
- Guyot, B.; Boutevin, B. Détermination Des Coefficients d’Alfrey et Price de Monomères Acryliques Fluorés et Du Méthacrylate de Morpholinoéthyle. Eur. Polym. J. 1996, 32, 751–756. [Google Scholar] [CrossRef]
- Odian, G. Principles of Polymerization, 4th ed.; John Wiley & Sons, Inc.: Hoboken, NJ, USA, 2004. [Google Scholar]
- Eastman Chemical Company. Acetoacetoxyethyl Methacrylate (AAEM) Acetoacetyl Chemistry; Publication N-319C; Eastman Chemical Company: Kingsport, TN, USA, 1999. [Google Scholar]
- Kondo, S.; Ohtsuka, T.; Ogura, K.; Tsuda, K. Convenient Synthesis and Free-Radical Copolymerization of p-Chloromethylstyrene. J. Macromol. Sci. Part A Chem. 1979, 13, 767–775. [Google Scholar] [CrossRef]
- Gasc, F.; Clerc, S.; Gayon, E.; Campagne, J.-M.; Lacroix-Desmazes, P. Supercritical CO2-Mediated Design of Pd Supported Catalysts Using an Amphiphilic Functional Copolymer. J. Supercrit. Fluids 2015, 105, 136–145. [Google Scholar] [CrossRef]
- Ribaut, T.; Lacroix-Desmazes, P.; Fournel, B.; Sarrade, S. Synthesis of Gradient Copolymers with Complexing Groups by RAFT Polymerization and Their Solubility in Supercritical CO2. J. Polym. Sci. Part A Polym. Chem. 2009, 47, 5448–5460. [Google Scholar] [CrossRef]
- Lack, E.; Seidlitz, H. Commercial Scale Decaffeination of Coffee and Tea Using Supercritical CO2. In Extraction of Natural Products Using Near-Critical Solvents; Springer: Dordrecht, The Netherlands, 1993; pp. 101–139. [Google Scholar]
- Dey, S.; Jain, V.K.; Singh, J.; Trehan, V.; Bhasin, K.K.; Varghese, B. Pyridine- and 3-/6-Methylpyridine-2-Tellurolate Complexes of Palladium(II) and Platinum(II). Eur. J. Inorg. Chem. 2003, 2003, 744–750. [Google Scholar] [CrossRef]
- Thompson, A.M.W.C.; Batten, S.R.; Jeffery, J.C.; Rees, L.H.; Ward, M.D. Some Coordination Chemistry of the Bidentate Nitrogen-Donor Ligand 2-(2-Aminophenyl)Pyridine. Aust. J. Chem. 1997, 50, 109–114. [Google Scholar] [CrossRef]
- Ye, Z.; Zhang, B.; Shao, L.; Xing, G.; Qi, C.; Tao, H. Palladium Nanoparticles Embedded Chitosan/Poly(Vinyl Alcohol) Composite Nanofibers as an Efficient and Stable Heterogeneous Catalyst for Heck Reaction. J. Appl. Polym. Sci. 2019, 136, 48026. [Google Scholar] [CrossRef]
- Solodenko, U.; Messinger, J.; Glinschert, A.; Kirschning, A.W.S. Microwave-Assisted Suzuki-Miyaura Reactions with an Insoluble Pyridine-Aldoxime Pd-Catalyst. Synlett 2004, 2004, 1699–1702. [Google Scholar] [CrossRef]
- Ha, K. A Second Monoclinic Polymorph of (Pyridine-2-Carboxaldehyde Oximato-κN,N’)(Pyridine-2-Carboxaldehyde Oxime-κN,N’)Palladium(II) Chloride. Acta Crystallogr. Sect. E 2012, 68, m176–m177. [Google Scholar] [CrossRef]
- Molnár, Á.; Papp, A. Catalyst Recycling—A Survey of Recent Progress and Current Status. Coord. Chem. Rev. 2017, 349, 1–65. [Google Scholar] [CrossRef]
- Miceli, M.; Frontera, P.; Macario, A.; Malara, A. Recovery/Reuse of Heterogeneous Supported Spent Catalysts. Catalysts 2021, 11, 591. [Google Scholar] [CrossRef]
- Pietsch, E. Gmelin Handbook of Inorganic Chemistry; Springer: Berlin, Germany, 1942. [Google Scholar]
- Meyer, H.; Grehl, M. Verfahren Zur Herstellung von Zumindest Nahezu Palladiumoxidfreiem Palladium, Insbesondere Palladiumschwamm. DE10249521B4, 23 October 2002. [Google Scholar]
- Otto, K.; Haack, L.P.; de Vries, J.E. Identification of two types of oxidized palladium on γ-alumina by X-ray photoelectron spectroscopy. Appl. Catal. B. Environ. 1992, 1, 1–12. [Google Scholar] [CrossRef]
- Militello, M.C.; Simko, S.J. Elemental Palladium by XPS. Surf. Sci. Spectra. 1994, 3, 387–394. [Google Scholar] [CrossRef]
- Severac, R.; Lacroix-Desmazes, P.; Boutevin, B. Reversible addition-fragmentation chain-transfer (RAFT) copolymerization of vinylidene chloride and methyl acrylate. Polym. Int. 2002, 51, 1117–1122. [Google Scholar] [CrossRef]








| Run | Catalyst | (Co)polymer | Complexing Group | Additive | Polymer/Pd Molar Ratio | Complexing Group/Pd Molar Ratio | Additive/Pd Molar Ratio | Additive/ Complexing Group Ratio | Extracted Pd from the Support of the Catalyst [%] (b) |
|---|---|---|---|---|---|---|---|---|---|
| E1 (e) | Cat D | None | - | - | - | - | - | - | 0.6 |
| E2 (e) | Cat D-red | None | - | - | - | - | - | - | 3.2 |
| E3 (e) | Cat D-red-ox | None | - | - | - | - | - | - | 1.5 |
| E4 | Cat D | P(FDA11) (c) | RAFT end group | - | 5.735 | 5.735 | - | - | 7.6 |
| E5 | Cat D-red | P(FDA11) (c) | RAFT end group | - | 10.116 | 10.116 | - | - | 19.1 |
| E6 | Cat D-red-ox | P(FDA11) (c) | RAFT end group | - | 4.482 | 4.482 | - | - | 26.9 |
| E7 | Cat D | P(AAEM19-co-FDA18) (a) | AAEM | - | 0.445 | 8.450 | - | - | 0.0 |
| E8 | Cat D | P(AAEM19-co-FDA18) (a) | AAEMactivated | TMG | 0.461 | 8.754 | 10.002 | 1.143 | 11.4 |
| E9 | Cat D-red | P(AAEM19-co-FDA18) (a) | AAEM | - | 0.481 | 9.134 | - | - | 2.6 |
| E10 | Cat D-red | P(AAEM19-co-FDA18) (a) | AAEMactivated | TMG | 0.481 | 9.142 | 10.446 | 1.143 | 4.5 |
| E11 | Cat D-red-ox | P(AAEM19-co-FDA18) (a) | AAEM | - | 0.465 | 8.831 | - | - | 9.1 |
| E12 | Cat D-red-ox | P(AAEM19-co-FDA18) (a) | AAEMactivated | TMG | 0.449 | 8.532 | 10.244 | 1.201 | 44.5 |
| E13 | Cat D | P(DPPS7-co-FDA18) (d) | DPPS | - | 2.086 | 14.600 | - | - | 24.8 |
| E14 | Cat D-red | P(DPPS7-co-FDA18) (d) | DPPS | - | 2.065 | 14.457 | - | - | 14.2 |
| E15 | Cat D-red-ox | P(DPPS7-co-FDA18) (d) | DPPS | - | 2.093 | 14.654 | - | - | 69.5 |
| E16 (e) | Cat D | P(4VP20-co-FDA18) (a) | 4VP | - | 0.557 | 11.148 | - | - | 19.8 |
| E17 (e) | Cat D-red | P(4VP20-co-FDA18) (a) | 4VP | - | 0.553 | 11.068 | - | - | 24.1 |
| E18 (e) | Cat D-red-ox | P(4VP20-co-FDA18) (a) | 4VP | - | 0.560 | 11.201 | - | - | 73.3 |
| Run | Catalyst | (Co)polymer | Complexing Group | Additive | Polymer/Pd Molar Ratio | Complexing Group/Pd Molar Ratio | Additive/Pd Molar Ratio | Additive/Complexing Group Ratio | Extracted Pd from the Support of the Catalyst [%] (b) |
|---|---|---|---|---|---|---|---|---|---|
| E19 (c) | Cat A | P(DPPS7-co-FDA18) | DPPS | - | 1.68 | 11.75 | - | - | 5.6 |
| E20 (d) | Cat A-red-ox | - | - | - | - | - | - | - | 7.0 |
| E21 (e) | Cat A-red-ox | P(DPPS8-co-FDA24) | DPPS | - | 1.33 | 48.22 | - | - | 61.0 |
| E22 (f) | Cat A-red-ox | P(4VP20-co-FDA18) | 4VP | - | 0.48 | 9.65 | - | - | 44.5 |
Disclaimer/Publisher’s Note: The statements, opinions and data contained in all publications are solely those of the individual author(s) and contributor(s) and not of MDPI and/or the editor(s). MDPI and/or the editor(s) disclaim responsibility for any injury to people or property resulting from any ideas, methods, instructions or products referred to in the content. |
© 2023 by the authors. Licensee MDPI, Basel, Switzerland. This article is an open access article distributed under the terms and conditions of the Creative Commons Attribution (CC BY) license (https://creativecommons.org/licenses/by/4.0/).
Share and Cite
Ruiu, A.; Li, W.S.J.; Senila, M.; Bouilhac, C.; Foix, D.; Bauer-Siebenlist, B.; Seaudeau-Pirouley, K.; Jänisch, T.; Böringer, S.; Lacroix-Desmazes, P. Recovery of Precious Metals: A Promising Process Using Supercritical Carbon Dioxide and CO2-Soluble Complexing Polymers for Palladium Extraction from Supported Catalysts. Molecules 2023, 28, 6342. https://doi.org/10.3390/molecules28176342
Ruiu A, Li WSJ, Senila M, Bouilhac C, Foix D, Bauer-Siebenlist B, Seaudeau-Pirouley K, Jänisch T, Böringer S, Lacroix-Desmazes P. Recovery of Precious Metals: A Promising Process Using Supercritical Carbon Dioxide and CO2-Soluble Complexing Polymers for Palladium Extraction from Supported Catalysts. Molecules. 2023; 28(17):6342. https://doi.org/10.3390/molecules28176342
Chicago/Turabian StyleRuiu, Andrea, W. S. Jennifer Li, Marin Senila, Cécile Bouilhac, Dominique Foix, Bernhard Bauer-Siebenlist, Karine Seaudeau-Pirouley, Thorsten Jänisch, Sarah Böringer, and Patrick Lacroix-Desmazes. 2023. "Recovery of Precious Metals: A Promising Process Using Supercritical Carbon Dioxide and CO2-Soluble Complexing Polymers for Palladium Extraction from Supported Catalysts" Molecules 28, no. 17: 6342. https://doi.org/10.3390/molecules28176342
APA StyleRuiu, A., Li, W. S. J., Senila, M., Bouilhac, C., Foix, D., Bauer-Siebenlist, B., Seaudeau-Pirouley, K., Jänisch, T., Böringer, S., & Lacroix-Desmazes, P. (2023). Recovery of Precious Metals: A Promising Process Using Supercritical Carbon Dioxide and CO2-Soluble Complexing Polymers for Palladium Extraction from Supported Catalysts. Molecules, 28(17), 6342. https://doi.org/10.3390/molecules28176342

