Indolocarbazoles with Sterically Unrestricted Electron-Accepting Anchors Showcasing Aggregation-Induced Thermally Activated Delayed Mechanoluminescence for Host-Free Organic Light-Emitting Diodes
Abstract
1. Introduction
2. Experimental Section
2.1. Materials
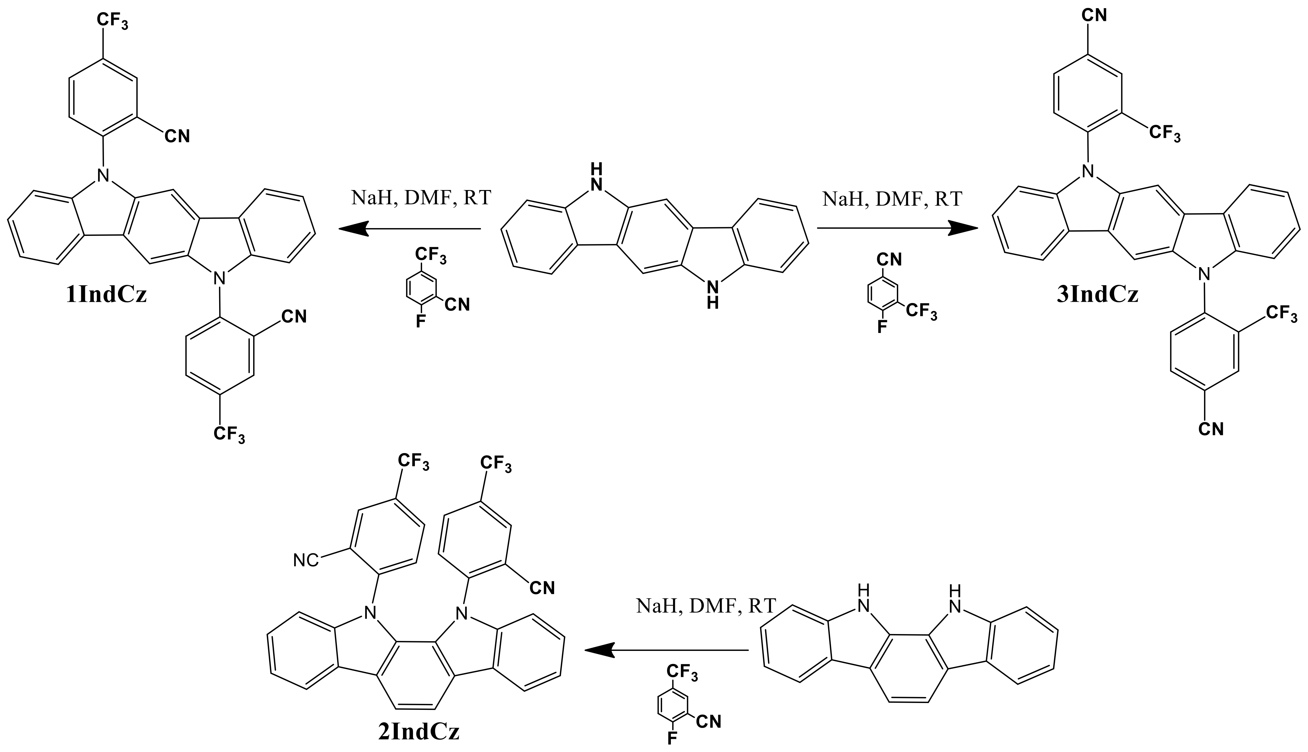
2.2. Synthesis and Identification
2.2.1. 6,6′-(Indolo[3,2-b]carbazole-5,11-diyl)bis(3-(trifluoromethyl)benzonitrile) (1IndCz)
2.2.2. 6,6′-(Indolo[2,3-a]carbazole-11,12-diyl)bis(3-(trifluoromethyl)benzonitrile) (2IndCz)
2.2.3. 4,4′-(Indolo[3,2-b]carbazole-5,11-diyl)bis(3-(trifluoromethyl)benzonitrile) (3IndCz)
2.3. Instrumentation
3. Results and Discussion
3.1. Synthesis
3.2. Theoretical Calculations
3.3. Thermal Characterization
3.4. Photophysical Properties
3.5. Mechanochromism of Photoluminescence
3.6. Electrochemical, Photoelectrical and Charge-Transporting Properties
3.7. Electroluminescent Properties
4. Conclusions
Supplementary Materials
Author Contributions
Funding
Data Availability Statement
Acknowledgments
Conflicts of Interest
Sample Availability
References
- Guo, F.; Karl, A.; Xue, Q.-F.; Tam, K.C.; Forberich, K.; Brabec, C.J. The Fabrication of Color-Tunable Organic Light-Emitting Diode Displays via Solution Processing. Light Sci. Appl. 2017, 6, e17094. [Google Scholar] [CrossRef] [PubMed]
- Xu, R.P.; Li, Y.Q.; Tang, J.X. Recent Advances in Flexible Organic Light-Emitting Diodes. J. Mater. Chem. C 2016, 4, 9116–9142. [Google Scholar] [CrossRef]
- Jou, J.H.; Kumar, S.; Agrawal, A.; Li, T.H.; Sahoo, S. Approaches for Fabricating High Efficiency Organic Light Emitting Diodes. J. Mater. Chem. C 2015, 3, 2974–3002. [Google Scholar] [CrossRef]
- Reineke, S. Complementary LED Technologies. Nat. Mater. 2015, 14, 459–462. [Google Scholar] [CrossRef]
- Birks, J.B. Photophysics of Aromatic Molecules. Berichte Der Bunsenges. Für Phys. Chem. 1970, 74, 1294–1295. [Google Scholar] [CrossRef]
- Hong, Y.; Lam, J.W.Y.; Tang, B.Z. Aggregation-Induced Emission. Chem. Soc. Rev. 2011, 40, 5361–5388. [Google Scholar] [CrossRef] [PubMed]
- Nie, H.; Huang, J.; Zhao, Z.; Tang, B.Z. Aggregation-Induced Emission Luminogens (AIEgens) for Non-Doped Organic Light-Emitting Diodes. Mater. Appl. 2016, 2, 173–198. [Google Scholar] [CrossRef]
- Hong, Y.; Lam, J.W.Y.; Tang, B.Z. Aggregation-Induced Emission: Phenomenon, Mechanism and Applications. Chem. Commun. 2009, 29, 4332–4353. [Google Scholar] [CrossRef]
- Wang, L.; Zheng, Z.; Yu, Z.; Zheng, J.; Fang, M.; Wu, J.; Tian, Y.; Zhou, H. Schiff Base Particles with Aggregation-Induced Enhanced Emission: Random Aggregation Preventing π–π Stacking. J. Mater. Chem. C 2013, 1, 6952–6959. [Google Scholar] [CrossRef]
- Shi, J.; Aguilar Suarez, L.E.; Yoon, S.-J.; Varghese, S.; Serpa, C.; Young Park, S.; Lu, L.; Roca-Sanjua, D.; Gierschner, J. Solid State Luminescence Enhancement in π-Conjugated Materials: Unraveling the Mechanism beyond the Framework of AIE/AIEE. J. Phys. Chem. C 2017, 121, 23166–23183. [Google Scholar] [CrossRef]
- Qin, A.; Lam, J.W.Y.; Mahtab, F.; Jim, C.K.W.; Tang, L.; Sun, J.; Sung, H.H.Y.; Williams, I.D.; Tang, B.Z. Pyrazine Luminogens with “Free” and “Locked” Phenyl Rings: Understanding of Restriction of Intramolecular Rotation as a Cause for Aggregation-Induced Emission. Appl. Phys. Lett. 2009, 94, 253308. [Google Scholar] [CrossRef]
- Gopikrishna, P.; Meher, N.; Krishnan Iyer, P. Functional 1,8-Naphthalimide AIE/AIEEgens: Recent Advances and Prospects. ACS Appl. Mater. Interfaces 2017, 10, 12081–12111. [Google Scholar] [CrossRef]
- Luo, J.; Song, K.; Gu, F.L.; Miao, Q. Switching of Non-Helical Overcrowded Tetrabenzoheptafulvalene Derivatives. Chem. Sci. 2011, 2, 2029–2034. [Google Scholar] [CrossRef]
- Chakraborty, M.; Prusti, B.; Chakravarty, M. Small Electron-Rich Isomeric Solid-State Emitters with Variation in Coplanarity and Molecular Packings: Rapid and Ultralow Recognition of TNT. ACS Appl. Electron. Mater. 2022, 4, 2481–2489. [Google Scholar] [CrossRef]
- Leung, N.L.C.; Xie, N.; Yuan, W.; Liu, Y.; Wu, Q.; Peng, Q.; Miao, Q.; Lam, J.W.Y.; Tang, B.Z. Restriction of Intramolecular Motions: The General Mechanism behind Aggregation-Induced Emission. Chem. A Eur. J. 2014, 20, 15349–15353. [Google Scholar] [CrossRef]
- Bu, F.; Duan, R.; Xie, Y.; Yi, Y.; Peng, Q.; Hu, R.; Qin, A.; Zhao, Z.; Tang, B.Z. Unusual Aggregation-Induced Emission of a Coumarin Derivative as a Result of the Restriction of an Intramolecular Twisting Motion. Angew. Chem. Int. Ed. 2015, 54, 14492–14497. [Google Scholar] [CrossRef]
- He, Z.; Zhao, E.; Lam, J.W.Y.; Tang, B.Z. New Mechanistic Insights into the AIE Phenomenon. ACS Symp. Ser. 2016, 1226, 5–20. [Google Scholar] [CrossRef]
- Mei, J.; Hong, Y.; Lam, J.W.Y.; Qin, A.; Tang, Y.; Tang, B.Z.; Mei, J.; Hong, Y.; Lam, J.W.Y.; Tang, B.Z.; et al. Aggregation-Induced Emission: The Whole Is More Brilliant than the Parts. Adv. Mater. 2014, 26, 5429–5479. [Google Scholar] [CrossRef]
- Lin, G.; Peng, H.; Chen, L.; Nie, H.; Luo, W.; Li, Y.; Chen, S.; Hu, R.; Qin, A.; Zhao, Z.; et al. Improving Electron Mobility of Tetraphenylethene-Based AIEgens to Fabricate Nondoped Organic Light-Emitting Diodes with Remarkably High Luminance and Efficiency. ACS Appl. Mater. Interfaces 2016, 8, 16799–16808. [Google Scholar] [CrossRef]
- Volyniuk, D.; Sutaite, J.; Tomkeviciene, A.; Kostiv, N.; Buika, G.; Grazulevicius, J.V. Organic Light-Emitting Diodes Exploiting Aggregation-Induced Exciton and Exciplex Emissions. J. Lumin. 2017, 192, 534–540. [Google Scholar] [CrossRef]
- Li, X.F.; Chi, Z.G.; Xu, B.J.; Li, H.Y.; Zhang, X.Q.; Zhou, W.; Zhang, Y.; Liu, S.W.; Xu, J.R. Synthesis and Characterization of Triphenylethylene Derivatives with Aggregation-Induced Emission Characteristics. J. Fluoresc. 2011, 21, 1969–1977. [Google Scholar] [CrossRef] [PubMed]
- Wang, W.; Lin, T.; Wang, M.; Liu, T.X.; Ren, L.; Chen, D.; Huang, S. Aggregation Emission Properties of Oligomers Based on Tetraphenylethylene. J. Phys. Chem. B 2010, 114, 5983–5988. [Google Scholar] [CrossRef]
- Zhao, Z.; He, B.; Tang, B.Z. Aggregation-Induced Emission of Siloles. Chem. Sci. 2015, 6, 5347–5365. [Google Scholar] [CrossRef] [PubMed]
- Xie, Z.; Chen, C.; Xu, S.; Li, J.; Zhang, Y.; Liu, S.; Xu, J.; Chi, Z. White-Light Emission Strategy of a Single Organic Compound with Aggregation-Induced Emission and Delayed Fluorescence Properties. Angew. Chem. Int. Ed. 2015, 54, 7181–7184. [Google Scholar] [CrossRef] [PubMed]
- Adachi, C.; Baldo, M.A.; Thompson, M.E.; Forrest, S.R. Nearly 100% Internal Phosphorescence Efficiency in an Organic Light Emitting Device. J. Appl. Phys. 2001, 90, 5048–5051. [Google Scholar] [CrossRef]
- Jankus, V.; Data, P.; Graves, D.; McGuinness, C.; Santos, J.; Bryce, M.R.; Dias, F.B.; Monkman, A.P. Highly Efficient TADF OLEDs: How the Emitter–Host Interaction Controls Both the Excited State Species and Electrical Properties of the Devices to Achieve Near 100% Triplet Harvesting and High Efficiency. Adv. Funct. Mater. 2014, 24, 6178–6186. [Google Scholar] [CrossRef]
- Chatterjee, T.; Wong, K.T. Perspective on Host Materials for Thermally Activated Delayed Fluorescence Organic Light Emitting Diodes. Adv. Opt. Mater. 2018, 7, 1800565. [Google Scholar] [CrossRef]
- Li, W.; Li, J.; Liu, D.; Wang, F.; Zhang, S. Bipolar Host Materials for High-Efficiency Blue Phosphorescent and Delayed-Fluorescence OLEDs. J. Mater. Chem. C 2015, 3, 12529–12538. [Google Scholar] [CrossRef]
- Zhang, L.; Cheah, K.W. Thermally Activated Delayed Fluorescence Host for High Performance Organic Light-Emitting Diodes. Sci. Rep. 2018, 8, 6–11. [Google Scholar] [CrossRef]
- Yang, Z.; Mao, Z.; Xie, Z.; Zhang, Y.; Liu, S.; Zhao, J.; Xu, J.; Chi, Z.; Aldred, M.P. Recent Advances in Organic Thermally Activated Delayed Fluorescence Materials. Chem. Soc. Rev. 2017, 46, 915–1016. [Google Scholar] [CrossRef]
- Yook, K.S.; Lee, J.Y. Bipolar Host Materials for Organic Light-Emitting Diodes. Chem. Rec. 2016, 16, 159–172. [Google Scholar] [CrossRef] [PubMed]
- Wang, Q.; Zhang, Y.X.; Yuan, Y.; Hu, Y.; Tian, Q.S.; Jiang, Z.Q.; Liao, L.S. Alleviating Efficiency Roll-Off of Hybrid Single-Emitting Layer WOLED Utilizing Bipolar TADF Material as Host and Emitter. ACS Appl. Mater. Interfaces 2019, 11, 2197–2204. [Google Scholar] [CrossRef] [PubMed]
- Phan Huu, D.K.A.; Saseendran, S.; Dhali, R.; Franca, L.G.; Stavrou, K.; Monkman, A.; Painelli, A. Thermally Activated Delayed Fluorescence: Polarity, Rigidity, and Disorder in Condensed Phases. J. Am. Chem. Soc. 2022, 144, 15211–15222. [Google Scholar] [CrossRef] [PubMed]
- Tanaka, M.; Auffray, M.; Nakanotani, H.; Adachi, C. Spontaneous Formation of Metastable Orientation with Well-Organized Permanent Dipole Moment in Organic Glassy Films. Nat. Mater. 2022, 21, 819–825. [Google Scholar] [CrossRef]
- Zhang, L.; Cole, J.M. Anchoring Groups for Dye-Sensitized Solar Cells. ACS Appl. Mater. Interfaces 2015, 7, 3427–3455. [Google Scholar] [CrossRef]
- Hladka, I.; Lytvyn, R.; Volyniuk, D.; Gudeika, D.; Grazulevicius, J.V. W-Shaped Bipolar Derivatives of Carbazole and Oxadiazole with High Triplet Energies for Electroluminescent Devices. Dye. Pigment. 2018, 149, 812–821. [Google Scholar] [CrossRef]
- Amorim, C.A.; Cavallari, M.R.; Santos, G.; Fonseca, F.J.; Andrade, A.M.; Mergulhão, S. Determination of Carrier Mobility in MEH-PPV Thin-Films by Stationary and Transient Current Techniques. J. Non. Cryst. Solids 2012, 358, 484–491. [Google Scholar] [CrossRef]
- Cui, L.S.; Gillett, A.J.; Zhang, S.F.; Ye, H.; Liu, Y.; Chen, X.K.; Lin, Z.S.; Evans, E.W.; Myers, W.K.; Ronson, T.K.; et al. Fast Spin-Flip Enables Efficient and Stable Organic Electroluminescence from Charge-Transfer States. Nat. Photonics 2020, 14, 636–642. [Google Scholar] [CrossRef]
- Zeng, X.; Wang, L.; Dai, H.; Huang, T.; Du, M.; Wang, D.; Zhang, D.; Duan, L. Orbital Symmetry Engineering in Fused Polycyclic Heteroaromatics toward Extremely Narrowband Green Emissions with an FWHM of 13 Nm. Adv. Mater. 2023, 35, 2211316. [Google Scholar] [CrossRef]
- Teng, J.M.; Wang, Y.F.; Chen, C.F. Recent Progress of Narrowband TADF Emitters and Their Applications in OLEDs. J. Mater. Chem. C 2020, 8, 11340–11353. [Google Scholar] [CrossRef]
- Skuodis, E.; Bezvikonnyi, O.; Tomkeviciene, A.; Volyniuk, D.; Mimaite, V.; Lazauskas, A.; Bucinskas, A.; Keruckiene, R.; Sini, G.; Grazulevicius, J.V.; et al. Aggregation, Thermal Annealing, and Hosting Effects on Performances of an Acridan-Based TADF Emitter. Org. Electron. 2018, 63, 29–40. [Google Scholar] [CrossRef]










| Compound | Tm, °C 1 | Tg, °C 2 | Td−5%, °C 3 |
|---|---|---|---|
| 1IndCz | - | 70 | 313 |
| 2IndCz | 284 | 133 | 301 |
| 3IndCz | - | 87 | 344 |
| Compound | Absorption, nm | PL, nm | PLQY, % | S1, eV | T1, eV | ΔEST, eV |
|---|---|---|---|---|---|---|
| Toluene/Toluene 1/THF/THF 1/Film/Hosted Film 2 | THF | |||||
| 1IndCz | 385/-/385/-/388/- | 492/-/528/-/499/501 | 38/68/5/6/40/11 | 2.91 (2.78) | 2.68 (2.61) | 0.23 (0.17) |
| 2IndCz | 352/-/352/-/356/- | 501/-/509/-/500/514 | 20/39/10/15/58/21 | 2.92 (2.62) | 2.83 (2.61) | 0.09 (0.01) |
| 3IndCz | 387/-/387/-/388/- | 480/-/543/-/483/485 | 35/49/6/8/31/10 | 2.95 (2.54) | 2.68 (2.53) | 0.27 (0.01) |
| Compound | IPCV/IPEP, eV | EACV/EAEP, eV | μh, cm2/Vs | μe, cm2/Vs | Degree of Crystallinity, % | Crystallite Size, nm 1 | ||
|---|---|---|---|---|---|---|---|---|
| at 6 × 105 V/cm | Initial | Ground | Initial | Ground | ||||
| Sample | Solutions/Neat Films | Neat Films | Powders | |||||
| 1IndCz | 5.58/5.78 | 2.77/3.05 | 1.6 × 10−5 | - | 58.5 | 23.7 | 72.8 | 53.8 |
| 2IndCz | 5.78/5.91 | 2.86/2.99 | - | - | 44.2 | 22.7 | 62.3 | 37.4 |
| 3IndCz | 5.47/5.99 | 2.61/3.19 | 1.2 × 10−4 | - | 46.4 | 41.5 | 63.1 | 61.8 |
| Device | Light Emitting Layer | Von, V 1 | Max Brightness, cd/m2 | CEmax, cd/A 2 | EQEmax, % 3 | λ, nm 4 | CIE 5 |
|---|---|---|---|---|---|---|---|
| Doping-free OLEDs: ITO/HAT-CN/NPB/mCBP/IndCz/TSPO1/TPBi/LiF:Al | |||||||
| n1 | 1IndCz | 4.6 | 12,861 | 7.8 | 2.6 | 515 | (0.25, 0.47) |
| n2 | 2IndCz | 4.1 | 24,807 | 12.5 | 4.8 | 514 | (0.24, 0.47) |
| n3 | 3IndCz | 4.4 | 13,395 | 6.8 | 2.9 | 489 | (0.19, 0.3) |
Disclaimer/Publisher’s Note: The statements, opinions and data contained in all publications are solely those of the individual author(s) and contributor(s) and not of MDPI and/or the editor(s). MDPI and/or the editor(s) disclaim responsibility for any injury to people or property resulting from any ideas, methods, instructions or products referred to in the content. |
© 2023 by the authors. Licensee MDPI, Basel, Switzerland. This article is an open access article distributed under the terms and conditions of the Creative Commons Attribution (CC BY) license (https://creativecommons.org/licenses/by/4.0/).
Share and Cite
Mahmoudi, M.; Urbonas, E.; Volyniuk, D.; Gudeika, D.; Dabrovolskas, K.; Simokaitiene, J.; Dabuliene, A.; Keruckiene, R.; Leitonas, K.; Guzauskas, M.; et al. Indolocarbazoles with Sterically Unrestricted Electron-Accepting Anchors Showcasing Aggregation-Induced Thermally Activated Delayed Mechanoluminescence for Host-Free Organic Light-Emitting Diodes. Molecules 2023, 28, 5999. https://doi.org/10.3390/molecules28165999
Mahmoudi M, Urbonas E, Volyniuk D, Gudeika D, Dabrovolskas K, Simokaitiene J, Dabuliene A, Keruckiene R, Leitonas K, Guzauskas M, et al. Indolocarbazoles with Sterically Unrestricted Electron-Accepting Anchors Showcasing Aggregation-Induced Thermally Activated Delayed Mechanoluminescence for Host-Free Organic Light-Emitting Diodes. Molecules. 2023; 28(16):5999. https://doi.org/10.3390/molecules28165999
Chicago/Turabian StyleMahmoudi, Malek, Ervinas Urbonas, Dmytro Volyniuk, Dalius Gudeika, Kestutis Dabrovolskas, Jurate Simokaitiene, Asta Dabuliene, Rasa Keruckiene, Karolis Leitonas, Matas Guzauskas, and et al. 2023. "Indolocarbazoles with Sterically Unrestricted Electron-Accepting Anchors Showcasing Aggregation-Induced Thermally Activated Delayed Mechanoluminescence for Host-Free Organic Light-Emitting Diodes" Molecules 28, no. 16: 5999. https://doi.org/10.3390/molecules28165999
APA StyleMahmoudi, M., Urbonas, E., Volyniuk, D., Gudeika, D., Dabrovolskas, K., Simokaitiene, J., Dabuliene, A., Keruckiene, R., Leitonas, K., Guzauskas, M., Skhirtladze, L., Stanitska, M., & Grazulevicius, J. V. (2023). Indolocarbazoles with Sterically Unrestricted Electron-Accepting Anchors Showcasing Aggregation-Induced Thermally Activated Delayed Mechanoluminescence for Host-Free Organic Light-Emitting Diodes. Molecules, 28(16), 5999. https://doi.org/10.3390/molecules28165999

