Abstract
Simmons–Smith cyclopropanation is a widely used reaction in organic synthesis for stereospecific conversion of alkenes into cyclopropane. The utility of this reaction can be realized by the fact that the cyclopropane motif is a privileged synthetic intermediate and a core structural unit of many biologically active natural compounds such as terpenoids, alkaloids, nucleosides, amino acids, fatty acids, polyketides and drugs. The modified form of Simmons–Smith cyclopropanation involves the employment of Et2Zn and CH2I2 (Furukawa reagent) toward the total synthesis of a variety of structurally complex natural products that possess broad range of biological activities including anticancer, antimicrobial and antiviral activities. This review aims to provide an intriguing glimpse of the Furukawa-modified Simmons–Smith cyclopropanation, within the year range of 2005 to 2022.
1. Introduction
Simmons–Smith reagent [Et2Zn, CH2I2 or Zn, CH2I2=ICH2ZnI] is one of the metal carbenoids that has been widely used in the cyclopropanation of olefins and allylic alcohols [1,2,3,4,5]. Simmons–Smith reagent was discovered by Simmons and Smith in 1958, when they performed stereospecific synthesis of cyclopropanes in high yield by reacting alkenes with diiodomethane in the presence of zinc [6]. This zinc carbenoid reagent is a powerful synthetic tool for the stereoselective addition of a methylene unit to chiral olefins [7]. The utility of this reaction in organic chemistry is due to the high stereospecific nature and efficient chiral version (>90% ee) that avoids the use of covalently bonded chiral auxiliaries [3,7,8,9]. More particularly, Simmons–Smith cyclopropanation is a well-suited protocol for the conversion of cationically polymerizable olefins (such as vinyl ethers) into the corresponding cyclopropanes [4,8]. The enantiopure synthesis of various allylic alcohols has been reported in the literature by employing asymmetric Simmons–Smith cyclopropanation [3]. The mechanistic studies of Simmons–Smith cyclopropanation postulated that iodomethylzinc iodide and alkene reacts to form a butterfly-shaped transition state and proceeds in a concerted fashion to produce cyclopropanes (Figure 1) [2,6,7,8].
Figure 1.
Transition state of Simmons–Smith cyclopropanation.
The rate of the Simmons–Smith cyclopropanation reaction depends upon various factors such as solvent [7], substituents present on the substrate [8,9,10,11] and the nature of substituent present on the zinc carbenoid [8,12,13,14]. The choice of solvent in this reaction has an important role because of the electrophilic nature of zinc carbenoid and the Lewis acidity of the reagent. The rate of Simmons–Smith cyclopropanation decreases as the basicity of the solvent increases. The generally used solvents for this reaction include dichloromethane, 1,2-dichloroethane [7] and cyclopentyl methyl ether (CPME) [15], as these are non-basic and unreactive toward zinc reagent. Furthermore, these are polar enough to stabilize the substrates [7]. The presence of various heteroatoms in substrates (acting as a directing group) increases the rate of reaction by creating an orderly transition state to achieve an effective stereocontrol. The electron-rich olefins react faster with carbenoids than those of electron-poor olefins. A variety of chiral auxiliaries/functionalities, namely, ketals, allylic ethers, enol ethers, chiral enamides and vinyl boronic esters, are well compatible toward the asymmetric Simmons–Smith cyclopropanation [2,8,9,10,11,16].
Initially, only CH2I2 and Zn-Cu were used for cyclopropanation but were not much reactive, although they were a stable reagent. With the passage of time, various modifications have been made in this reagent [6,7]. Wittig modified the original Simmons–Smith reagent by reacting ZnX2 with CH2N2 to form Zn(CH2X)2. In 1966, the Furukawa modification was performed by reacting Et2Zn and CH2I2 while performing cyclopropanation on a series of polymerizable olefins. The syntheses of bicyclo[4.1.0]heptane and many other cyclopropanated products have been reported by using this methodology [8]. Denmark disclosed that the chloro-substituted reagent (generated from Et2Zn and ClCH2I) is more reactive than the Iodo-substituted one (Et2Zn and CH2I2) [16]. According to Charette, bipy. Zn(CH2I)2 complex is very efficient, as it can be isolated easily and stored in a freezer for a long time [3]. In the continuation of this work, several (halomethyl)zinc compounds and their complexes have been studied by Denmark and Charette [3,16]. The use of acidic additives such as substituted phenols and CF3CO2H, in addition to Et2Zn and CH2I2, is also considered efficient, especially for the cyclopropanation of less reactive alkenes (Figure 2).
Figure 2.
Various modifications for Simmons–Smith cyclopropanation [9].
The cyclopropyl unit exists as a core structural unit in a large family of natural and biologically active compounds such as alkaloids, terpenoids, amino acids, nucleosides, polyketides, fatty acids and drugs. These cyclopropane rings containing natural compounds exhibit a remarkable pharmaceutical profile and a broad range of biological activities including antifungal, antiviral, anti-inflammatory, antihypertensive, anticancer, antibiotic and antibacterial activities [10,11,17,18]. Simmons–Smith cyclopropanation is well suited for the diastereoselective and enantioselective synthesis of these natural products with the exact incorporation of desired stereogenic centers. (+)-Trans-chrysanthemic acid 1, (+)-curacin A 2, 1-aminocyclopropanecarboxylic acid (ACC) 3, saxagliptin 4, lenvatinib 5 and tasimelteon 6 are examples of some biologically active natural products, whose total synthesis involve Simmons–Smith cyclopropanation as the main step. The structures of these heterocyclic scaffolds are given below (Figure 3) [19,20,21,22,23].
Figure 3.
Some biologically active natural compounds.
Moreover, Simmons–Smith reagent is also involved in the efficient asymmetric cyclopropanations of various other heterocyclic scaffolds, such as bicyclic olefins (e.g., bicyclo [2.2.l] heptene and bicyclo [2.2.ll] heptadiene) [8] and a variety of chiral auxiliaries including chiral ketals, allylic alcohols, allylic ethers, enol ethers, chiral enamides and vinyl boronic esters [3,24,25]. However, in this review, we have summarized the scope of the Furukawa variant of Simmons–Smith cyclopropanation toward the synthesis of natural products and some drugs.
2. Review of Literature
2.1. Synthesis of Alkaloids Based Natural Products
2.1.1. Bisindole Alkaloids
Vinblastine and vincristine (former derivative of vinblastine) belong to the class of “bisindole” alkaloids, also known as dimeric alkaloids. These are isolated from the Madagascar periwinkle plant Catharanthus roseus. Two monomers of these alkaloids are vindoline and catharanthine. Both vinblastine and vincistine are anti-microtubule drugs, used in the treatment of various kinds of cancer, which is a leading cause of death worldwide [26,27,28]. Vinblastine is used for the treatment of head and neck cancer, breast cancer, testicular cancer and Hodgkin’s lymphoma. Vincristine is specialized for the treatment of acute lymphoblastic leukemia, Hodgkin’s and non-Hodgkin’s lymphoma and nephroblastoma [29]. The attractive pharmacological profile of these two dimeric alkaloids prompted researchers to synthesize their derivatives and evaluate their biological activities. Keglevich et al. in 2015 synthesized amino acid derivatives of both vinblastine and vincristine by coupling a cyclopropanated (C14 and C15 position) vindoline part with (D)- and (L)-tryptophan methyl esters (at C16 position) [30]. In their synthetic route, vindoline 7 was brominated by treating with NBS to produce bromovindoline 8. Compound 8 was then cyclopropanated in a stereospecific manner by using Simmons–Smith reagent, i.e., diethylzinc, diiodomethane and dichloromethane at 0 °C, and then raising the temperature up to 25 °C, which furnished vindoline derivative 9 with a successfully installed cyclopropane ring. Compound 9 was then treated with N2H4.H2O in the presence of EtOH to form hydrazide, followed by azide formation by using NaNO2 and HCl in methanol to produce an intermediate, which was proceeded further for coupling with tryptophan methyl ester at 4 °C to afford compounds 10a and 10b, which on subsequent reduction resulted in 11a and 11b. The antitumor activities of the synthesized derivatives (10a, 10b, 11a and 11b) were evaluated in vitro against an HL-60 human leukemic cell line by MIT assay. The IC50 values of 10a, 10b, 11a and 11b against this cell line were 75.3 μm, 72.6 μm, 77.1 μm and >100 μm, respectively (Scheme 1).
Scheme 1.
Synthesis of amino acid derivative of vindoline.
In another route, the cyclopropanated derivative 9 was reduced by using a palladium catalyst in the presence of sodium borohydrate to produce 14,15-cyclopropanovindoline 12. Compound 12 was then allowed to couple with catharanthine 13 to produce compound 14 in a 51% yield [30]. The treatment of compound 14 with oxalate salt and Fe2(ox)3 resulted in 14,15-cyclopropanaovinblastine 15, which after chromatographic purification produced a 13% yield. The oxidation of compound 15 by using chromium oxide furnished 14,15-cyclopropanovincristine 16 in a 52% yield (Scheme 2). Compounds 15 and 16 were evaluated against 56 different cancer cell lines. Compound 15 showed the best inhibiting effects in the cases of colon cancer, lung cancer, breast cancer, melanoma and leukemia. Compound 16 showed better results against melanoma, prostate cancer, colon cancer and ovarian cancer cell lines.
Scheme 2.
Synthesis of 14,15-cyclopropanaovinblastine 15 and 14,15-cyclopropanovincristine 16.
In 2018, Keglevich et al., as a continuation of their work, accomplished the stereospecific synthesis of halogenated cyclopropanovindoline derivatives by using the Simmons–Smith protocol [31]. In this synthesis, vindoline derivative 8b was allowed to react with bromoform and iodoform in the presence of diethyl zinc and dichloromethane to furnish 14,15-bromocyclopropanovindoline 17 and 14,15-iodocyclopropanovindoline 18 in 40% and 22% yields, respectively (Scheme 3).
Scheme 3.
Synthesis of halogenated cyclopropanovindoline derivatives 14,15-bromocyclopropanovindoline 17 and 14,15-iodocyclopropanovindoline 18.
2.1.2. Kopsia Alkaloids
Lundurines A-D belongs to the class of Kopsia alkaloids. These are isolated from the plants of Kopsia tenuis, which are found in Malaysia [32]. These show structural similarity with indoline alkaloids. The unique molecular architecture of lundurines consists of a hexacyclic ring, an indole ring, an assembly of a three-membered ring (A), a six-membered ring (B) and a seven-membered ring (C) with three stereodefined quaternary centers. Lundurines are effective against the KB cell line with IC50 = 4.6–14.2 µg mL−1 [33]. This attractive heterocyclic scaffold has been the synthetic target of various researchers. Intensive attempts involving the synthesis of lundurine have been reported in the literature; however, none of the synthetic strategies provided lundurine with an absolute configuration of three quaternary stereocenters. Pioneering in this work, Jin et al. in 2014 disclosed the synthetic route toward the efficient and concise synthesis of (−)-lundurine A 26 in a 15-step sequence with a 2% overall yield [34]. The key step in their synthetic route involved Simmons–Smith cyclopropanation, which carefully controlled the stereochemistry at the C2 and C7 positions with simultaneous formation of ring B (six-membered) and ring C (seven-membered). In the first step, the easily available starting material (S)-pyrrolidinone 19 was treated with vinyl magnesium bromide to produce enone 20 in a 72% yield. The enone 20 was then allowed to react with bromo indole 21 under Heck conditions via 4 h reflux to furnish compound 22. The modification of compound 22 in a few steps resulted in a mixture of products 23a and 23b (dr = 1:2.5), among which compound 23b (as a major product after chromatographic separation) was made to react with diethyl zinc and dichloromethane at 25 °C for 20 h via Simmons–Smith cyclopropanation to furnish compound 24 (with a successfully installed cyclopropane ring) in a 63% yield. As the Simmons–Smith reaction proceeded from the upper side of the double bond in the indole ring, the configuration of C2 and C7 was deduced as 2R and 7R, respectively. In the next step, deprotection of compound 24 in the presence of TBAF and THF generated compound 25, followed by subsequent treatment with Martin sulfurane in dichloromethane as a solvent, successfully resulted in the synthesis of our desired (−)-lundurine A 26 with a double bond at the C14 and C15 positions (Scheme 4).
Scheme 4.
Total synthesis of (−)-lundurine A.
2.1.3. Limonoid Alkaloids
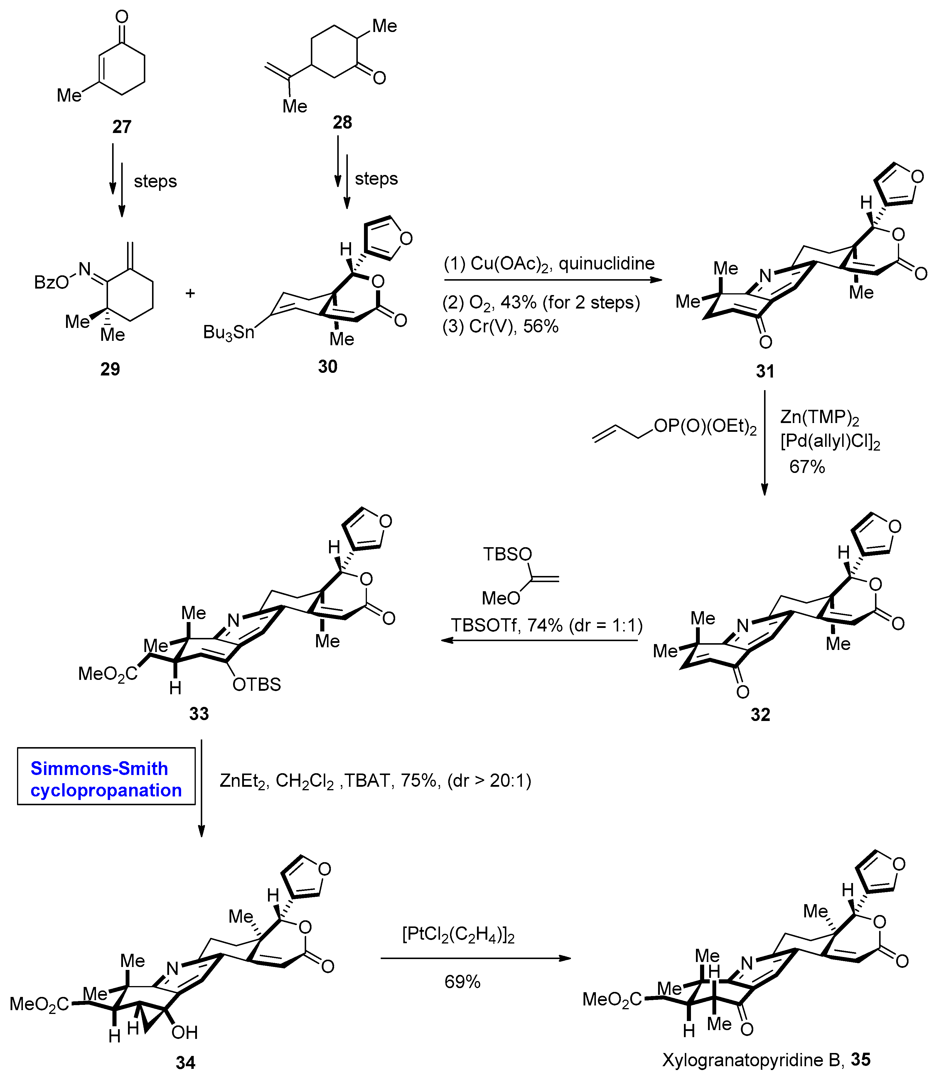
Xylogranatopyridine B 35 belongs to the class of limonoid alkaloids. These are isolated from the leaves of Xylocarpus granatum, found in China [35]. These contain a pyridine ring incorporated in their basic skeleton. This sophisticated heterocyclic scaffold shows fascinating biological activities, among which their role as phosphatase inhibitor is important [36]. Keeping in view the importance of this natural product, Schuppe et al. in 2018 adopted a biomimetic strategy (based on the synthesis of Liebeskind pyridine) toward the synthesis of xylogranatopyridine B 35 and performed its total synthesis in 11 steps from a commercially available and inexpensive starting material such as dihydrocarvone [37]. The key steps entailed a Chan–Lam coupling reaction, benzylic oxidation, a Mukaiyama−Michael reaction and Simmons–Smith cyclopropanation. The oxime 29 (synthesized from 3-methyl-2-cyclohexenone 27) and stannane fragment 30 (synthesized from dihydrocarvone 28) were allowed to react in the Chan–Lam coupling conditions (Cu(OAc)2 and quinuclidine) [38], followed by selective oxidation supported by the addition of Cr(V) complex, which generated ketone 31 in a 56% yield. The α,β-dehydrogenation of ketone 31, on 1 g scale produced intermediate 32 with a 67% yield. Furthermore, the Mukaiyama−Michael reaction of compound 32 afforded compound 33. The next step required selective methylation, for which Simmons–Smith cyclopropanation protocol is well suited. Thus, treating 33 with diethylzinc and CH2I2 with simultaneous deprotection of siloxycyclopropane in the presence of TBSOTf resulted in compound 34, with high diastereoselectivity (>20:1 dr), in a 74% yield. In the last step, compound 34 was treated with Zeise’s dimer, i.e., [PtCl2(C2H4)]2 furnished xylogranatopyridine B 35 in a 69% yield (Scheme 5).
Scheme 5.
Synthesis of xylogranatopyridine B 35.
2.1.4. Daphniphyllum Alkaloids
Daphniphyllum alkaloids are isolated from genus Daphniphyllum. These alkaloids are famous for exhibiting anti-HIV activities and are further classified into more than 35 sub-families. Daphnimacropodines A–C belong to the daphniglaucin-C-type sub-family of the daphniphyllum alkaloids. Their dynamic structure is based on a tetracyclic ring system with two vicinal quaternary stereodefined centers [39]. As part of the ongoing research on antiviral studies, various groups of researchers including Gao [40] and Hanessian [41] attempted the total synthesis of daphnimacropodines. Chen et al. in 2021 also performed the total synthesis of the tricyclic core skeleton of daphnimacropodine B 43 [42]. The key steps in their synthetic route entailed Robinson annulation, Simmons–Smith cyclopropanation and Horner–Wadsworth–Emmons (HWE) reaction. In their synthetic route, 1,3-cycloheptanedione 36 was allowed to react with aldehyde 37 in the presence of Hantzch ester, L-proline and DCM to produce compound 38. The reaction of compound 38 with methyl vinyl ketone and subsequent treatment with proline (to achieve maximum enantioselectivity) produced an intermediate, which was proceeded further for reaction with CH(OMe)3, and subsequent reduction resulted in compound 39. Compound 39 was oxygenated by using oxone and, after suitable protection, produced compound 40 in an excellent yield. In the next step, compound 40 underwent Simmons–Smith cyclopropanation in the presence of CH2I2, Et2Zn and DCM acting as a solvent, resulting in bicyclic intermediate 41 (in a 77% yield) with successful installation of two vicinal quaternary stereocenters. Intermediate 41 was then made to undergo a few steps to complete the total synthesis of our desired tricyclic core skeleton 42 of daphnimacropodine B 43 in a 62% yield (Scheme 6).
Scheme 6.
Synthesis of tricyclic skeleton of daphnimacropodine B 43.
2.2. Synthesis of Terpenoid-Based Natural Products
2.2.1. Indole Terpenoids
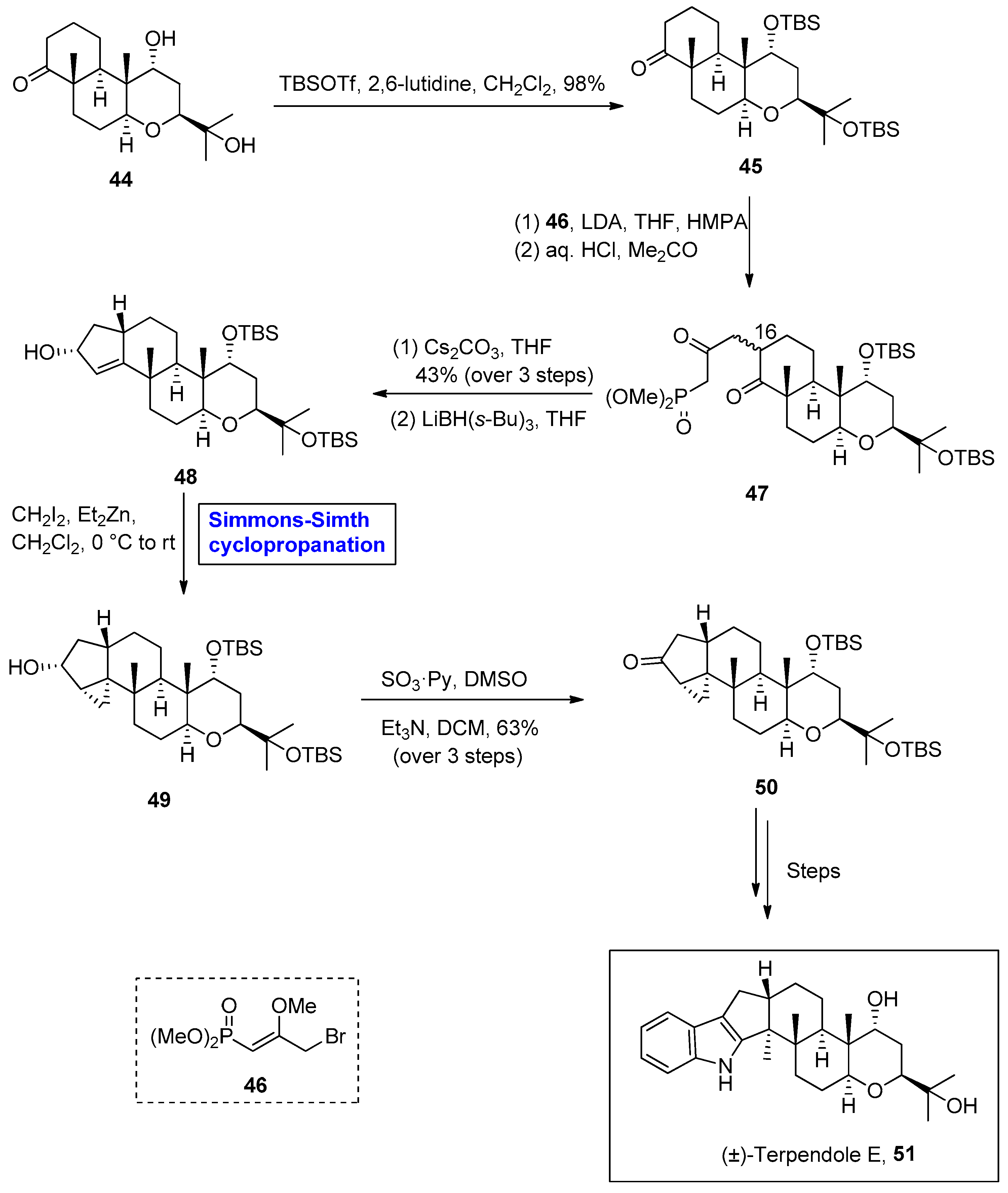
Terpendole E 51 belongs to the class of indole diterpenes and is isolated from fungus Albophoma yamanashiensis. It is the first natural mitotic kinesin Eg5 inhibitor [43], which acts as a weak ACAT (acyl-CoA: cholesterol acyltransferase) inhibitor [44]. Teranishi et al. in 2014 performed the first synthesis of the racemate of terpendole E over 13 steps, with a 13% yield [45]. In their methodology, compound 44 was silylated using TBSOTf to result in the desilylated product 45 (in an 89% yield over two steps). The reaction of compound 45 with reagent 46, followed by hydrolysis at C16, produced compound 47. In the next step, cyclization occurred, followed by reduction, to yield compound 48. The Simmons–Smith cyclopropanation of allylic alcohol 48 in the presence of Et2Zn and CH2Cl2 resulted in the successful installation of a stereocenter at the C3 position of compound 49, proceeding oxidation to yield intermediate 50 with a 64% yield. This intermediate was further modified in a few steps to yield the final product, (±)-terpendole E 51 (Scheme 7).
Scheme 7.
Synthesis of (±)-terpendole E 51.
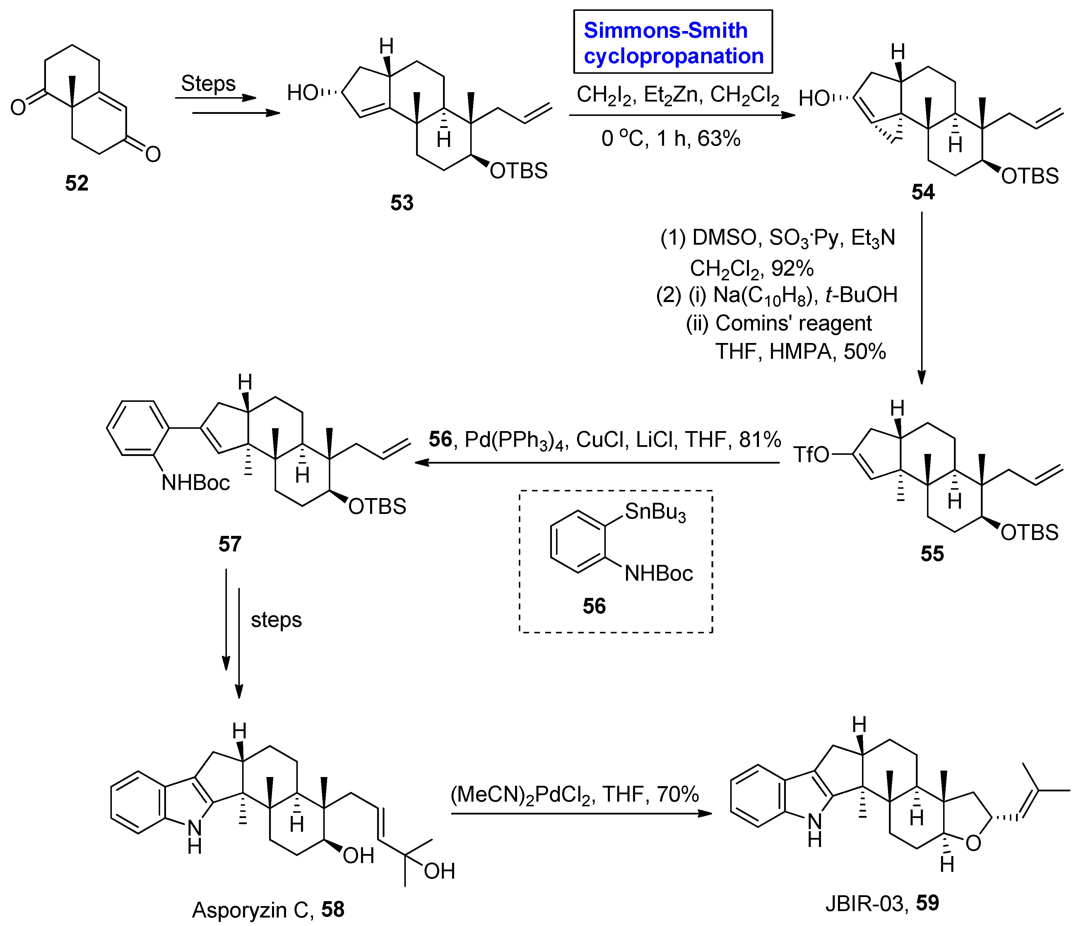
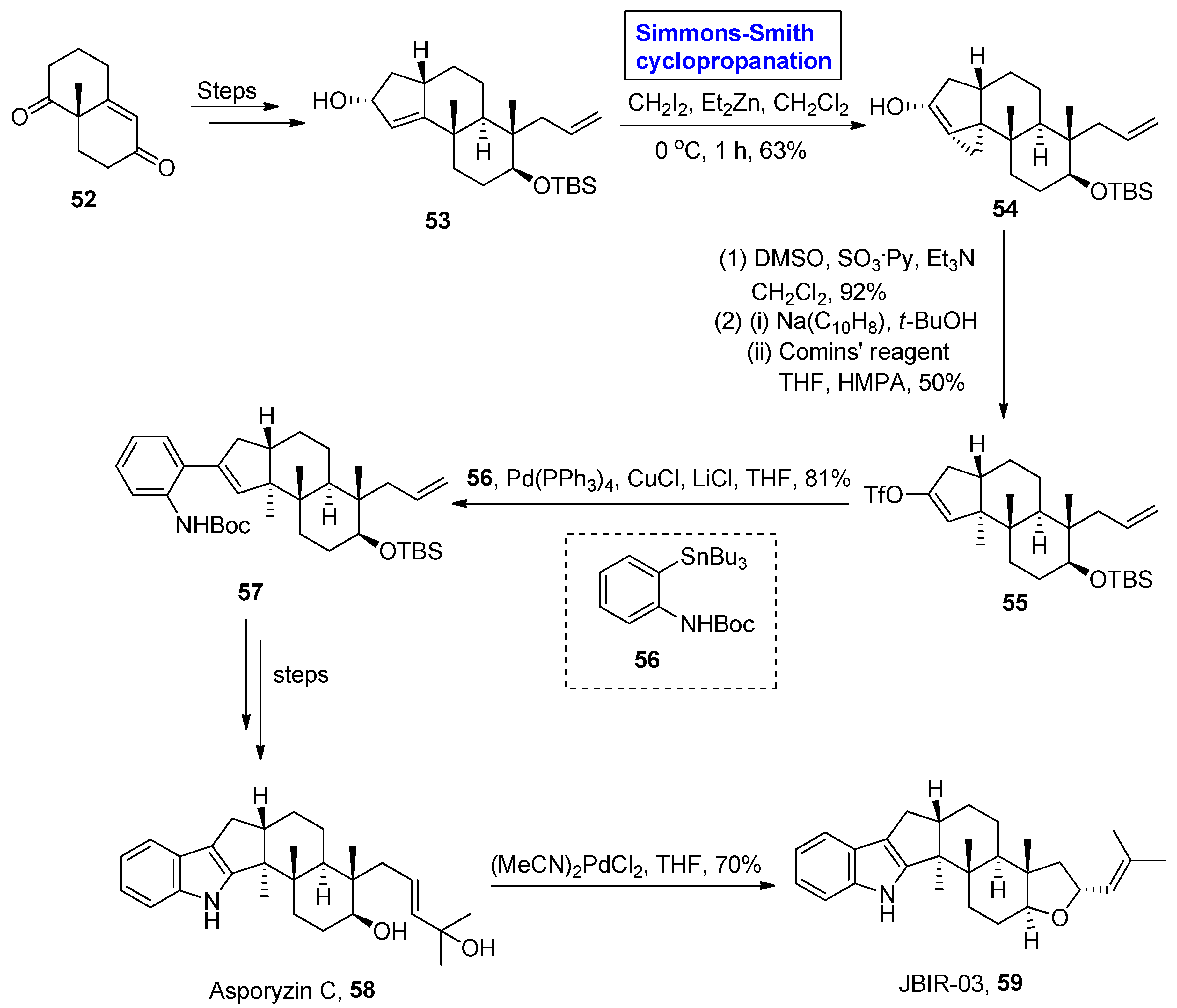
JBIR-03 59 and asporyzin C 58 both belong to the class of indole diterpenes. These are isolated from Aspergillus oryzae. The molecular architecture of JBIR-03 contains a tetrahydrofuran ring adjacent to its hexacyclic ring. It exhibits antifungal, anti-MRSA and insecticidal activities. It does not show any cytotoxicity against fibrosarcoma cells of a human cell line (HT-1080). Asporyzin C specifically shows antibacterial activity against E. coli [46,47]. No synthetic strategy has previously been designed for the synthesis of these two attractive pharmacologically important compounds. In 2018, Murokawa et al. for the first time performed the synthesis of JBIR-03 59 and asporyzin C 58 in 13 to 14 steps [48]. The intermediate in the synthesis of these compounds contains a cyclopropane ring. In their synthetic strategy, bicyclic keto alcohol 52 was used as the starting material and modified into compound 53 in a few steps. The installation of a cyclopropane ring by using the Simmons–Smith protocol was directed by a hydroxy group. For this purpose, compound 53 was treated with CH2I2, Et2Zn and CH2Cl2 as a solvent at 0 °C for 1 h to produce compound 54 with a 63% yield. For the installation of a methyl group at the C3 position, Parikh–Doering oxidation of compound 54 was performed, followed by the reductive cleavage of the cyclopropane ring by reacting it with sodium naphthalenide in THF as a solvent, furnishing compound 55. The Stille coupling of compound 55 with stannane 56, followed by a Pd-catalyzed indole ring formation, resulted in the synthesis of compound 57. Asporyzin C 58 was formed by treating compound 57 over numerous steps. After that, the palladium-catalyzed ring closure of compound 58 yielded JBIR-03 59 in a 70% yield (Scheme 8).
Scheme 8.
Synthesis of asporyzin C 58 and JBIR-03 59.
2.2.2. Sesquiterpenes
(+)-Omphadiol 62 belongs to the class of sesquiterpenes, which possess antibacterial properties, and can be isolated from Omphalotus illudosin. (+)-Omphadiol 62 has a tricyclic structure, and it contains six adjacent stereogenic centers [49]. The total synthesis of (+)-omphadiol was for the first time performed by Romo and his colleagues in a 12-step sequence and an 18% yield [50]. Various other attempts at the synthesis of this heterocycle have also been reported. However, the introduction of six adjacent chiral centers has always remained a challenging task. In 2016, Parthasarathy et al. performed the synthesis of (+)-omphadiol starting from norbornene derivative 60, which after a series of steps yielded intermediate 61 [51]. The stereoselective Simmons–Smith cyclopropanation of the C2−C4 double bond of intermediate 61 in the presence of Et2Zn and CH2Cl2 at 0 °C produced (+)-omphadiol 62 in a 70% overall yield (Scheme 9).
Scheme 9.
Total synthesis of (+)-omphadiol 62.
(+)-Pyxidatol C 65 is also a sesquiterpene. It was isolated from Clavicorona pyxidate, which is a mushroom. It is a widely used medicine for the treatment of dyspepsia, gastric pain and heat toxicity. It has four adjoining stereogenic centers [52,53]. Parthasarathy et al. performed the synthesis of (+)-pyxidatol C 65 starting from diol 63, which (in a series of steps) was converted into intermediate 64 [51]. The Simmons–Smith cyclopropanation of allylic alcohol 64 produced (+)-pyxidatol C 65 in a 33% overall yield (Scheme 10).
Scheme 10.
Total synthesis of (+)-pyxidatol C 65.
Considering the pharmaceutical importance of pyxidatol C 65, another group, Osler et al. in 2016, also disclosed a synthetic strategy for its synthesis [54]. In their methodology, gem-dimethyl-substituted divinyl cyclopropanes were used as starting materials. The Cope rearrangement of compound 66 produced a substituted cycloheptadiene 67. The oxidation of diol 67, followed by treatment with DBU and THF at 0 °C and subsequent reduction by using NaBH4, produced compound 68. In the next step, the installation of a cyclopropane ring was achieved by using the Simmons–Smith protocol in the presence of diethyl zinc, dichloromethane and diiodomethane at 0 °C, successfully producing a diastereomeric mixture of compounds 69a and 69b with 32% and 27% respective yields. These compounds act as precursors for the total synthesis of pyxidatol C 65 (Scheme 11).
Scheme 11.
Synthesis of cycloheptadiene intermediate (69a and 69b) toward the total synthesis of pyxidatol C.
Hirsutene 77 and 1-desoxyhypnophilin 79 are linear triquinanes, which belong to the class of sesquiterpenoids [55]. Their natural sources are plants, microbes and marine organisms. Their tricyclic skeletons exhibit numerous biological activities [56]. In 2007, Jiao et al. disclosed an efficient, concise and straightforward strategy for the diastereoselective synthesis of hirsutene 77 and 1-desoxyhypnophilin 79 in eight-step (11% overall yield) and nine-step (13% overall yield) sequences, respectively [57]. The key steps for the synthesis of intermediate 75 (with desired stereochemistry at two quaternary stereodefined centers) entailed HWE olefination, Simmons–Smith cyclopropanation and rhodium-catalyzed cycloaddition reaction. Their synthesis commenced with the Horner–Wadsworth–Emmons (HWE) reaction of dimethylhexenal 70 (as an easily available starting material) with phosphonate carbanion 71, which afforded compound 72 in an 87% yield. Compound 72 was then silylated to produce compound 73, which proceeded further toward chemoselective cyclopropanation in the presence of diethyl zinc and diiodomethane (Simmons–Smith protocol) to obtain compound 74 in an 86% yield. In the next step, Rh-catalyzed (5+2+1) cycloaddition of compound 74, followed by aldol condensation, resulted in intermediate 75 in a 62% yield. For the synthesis of hirsutene 77, intermediate 75 proceeded to acylation (in the presence of methyl oxalyl chloride and DMAP) to produce compound 76 in a 92% yield. Deoxygenation of compound 76 and a subsequent Wittig reaction completed the total synthesis of our desired compound 77 in a quantitative yield. In another route, a Wittig reaction of intermediate 76 afforded compound 78 in an 85% yield. The modification of compound 78 was performed in a number of steps to complete the total synthesis of 1-desoxyhypnophilin 79 (Scheme 12).
Scheme 12.
Synthesis of hirsutene 77 and 1-desoxyhypnophilin 79.
Chlorahololide A 86 belongs to the class of sesquiterpenoid dimers. It was first isolated by Yue and his colleagues from Chloranthus holostegius in 2007 [58]. It is a rectifier potassium ion current inhibitor (IC50 = 10.9 μM) and is important for the treatment of many diseases [59]. In 2010, Qian and Zhao disclosed the synthesis of key intermediate 85 toward the synthesis of chlorahololide A 86 by employing Simmons–Smith cyclopropanation as a key step [60]. Their synthesis began with the reduction of Hajos Parrish ketone 80 (starting material), then treatment with Dess–Martin periodinane and subsequent protection via (TMSOCH2)2, resulting in compound 81 in a 92% yield. Saegusa oxidation of ketone 81, followed by epoxidation and subsequent Wharton transposition, furnished compound 82 in a 60% yield. In the next step, the stereochemistry at the C-10 methyl group was carefully controlled by hydroxyl-induced Simmons–Smith cyclopropanation in the presence of diethyl zinc and diiodomethane to furnish compound 83 with excellent diastereoselectivity and successful installation of five stereocenters. Furthermore, desilylation in the presence of TBSOTf and removal of the glycol group transformed compound 83 into compound 85, which over a few steps furnished our desired compound (Scheme 13).
Scheme 13.
Synthesis of intermediate 85 toward the total synthesis of chlorahololide A 86.
(+)-Chloranthalactone F 89 belongs to the class of lindenane sesquiterpenoids (dimers). These are isolated from the chloranthus glaber plant [61]. Their structural framework comprises two cyclopropane rings, a cyclobutane ring, two double bonds present outside the ring and twelve stereogenic centers [62]. In 2012, Qian and Zhao revealed the enantioselective synthesis of (+)-chloranthalactone F 89 in 14 steps [63]. The main steps of their synthetic scheme involved Simmons–Smith cyclopropanation and chromium-trioxide-catalyzed oxidative lactonization followed by oxidative enol-lactonization. The cyclopropanated compound 83 (which was synthesized via employment of Simmons–Smith cyclopropanation, as shown in Scheme 13) was oxidized in the presence of Dess–Martin periodinane and NaHCO3, followed by methylation in the presence of reagent 87 to obtain compound 88. After a few steps, successful synthesis of the final product 89 (with a 92% overall yield) was achieved (Scheme 14).
Scheme 14.
Synthesis of intermediate 88 toward the total synthesis of (+)-chloranthalactone F 89.
Repraesentin F 96 belongs to the class of sesquiterpenes. It was first isolated in 2006 from the fruiting bodies of an endemic fungus, Lactarius repraesentaneus, found in Japan [64]. This tricyclic scaffold plays an important role in regulating plant growth [65]. In 2018, Ferrer and Echavarren [66] proposed the first total synthesis of repraesentin F 96 over 16 steps, in a 2% overall yield, by employing Simmons–Smith cyclopropanation and gold-catalyzed cyclization as key steps. The synthesis commenced with dimethyl malonate 90 as a starting material, which was modified into 1,6-enyne 91 over a few steps. Compound 91 was then treated with TBSOTf and triethyl amine, followed by the addition of Simmons–Smith reagent, i.e., diethyl zinc, diiodomethane and dichloromethane, at a temperature below 0 °C, which furnished compound 92 with the successful incorporation of a cyclopropane ring. In the next step, deprotection in the presence of the base and subsequent acylation produced compound 93 (in a 68% yield), which proceeded further via gold-catalyzed cyclization by adding 5 mol% of catalyst 94 to furnish compounds 95a and 95b in 72% and 75% respective yields (with d.r = 7.2:1). The modification of compound 95a over a few steps completed the tricyclic core synthesis of repraesentin F 96 (Scheme 15).
Scheme 15.
Total synthesis of repraesentin F 96.
2.2.3. Diterpenoids
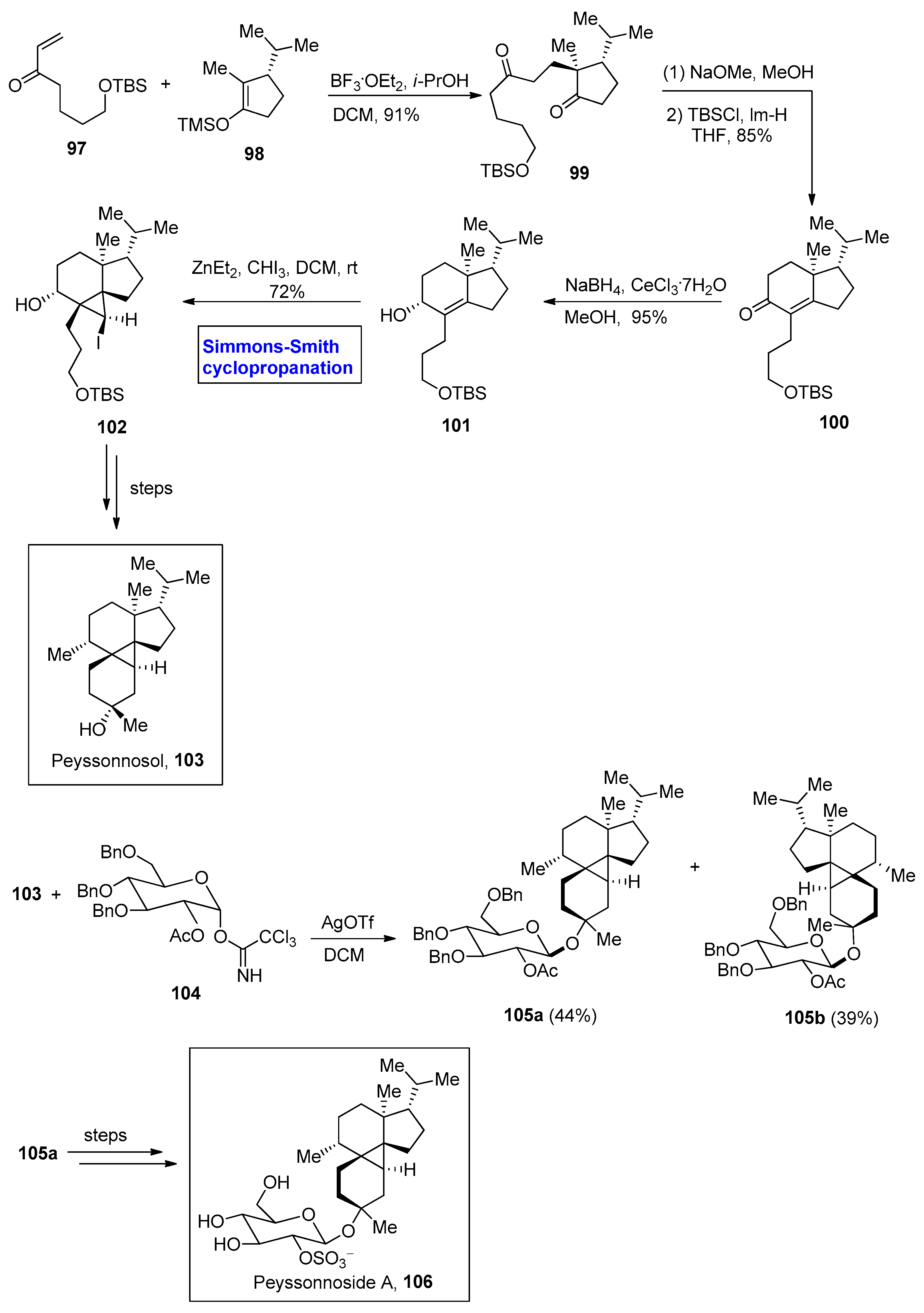
Peyssonnoside A 106 is a marine sulfated β-linked diterpenoid glucoside. It was first isolated from Peyssonnelia sp. of a red alga by Kubanek and coworkers in 2019 [67]. This sulfated diterpenoid glucoside has a tetracyclic structure that contains two hexacyclic rings, one pentacyclic ring and a sterically embedded (pentasubstituted) cyclopropane ring. It contains six out of seven adjoining stereogenic centers and three quaternary stereocenters. It is used for the treatment of liver diseases and shows potent biological activities against Staphylococcus aureus and Plasmodium berghei [68]. In 2019, Chesnokov and Gademann [69] performed the total synthesis of peyssonnoside A 106 for the first time in a very efficient, concise and diastereoselective fashion. It was achieved in 12 steps with a 21% overall yield from easily available starting materials (compounds 97 + 98). In their methodology, compounds 97 and 98 were processed through a Mukaiyama-type Michael addition to produce compound 99. In the next step, treatment of compound 99 with NaOMe and MeOH completed the construction of a six-membered ring via Robinson annulation followed by desilylation in the presence of TBSCl and imidazole, which resulted in the synthesis of bicyclic enone 100 in an 85% yield. Compound 100 was then reduced in the presence of NaOMe and MeOH to produce allylic alcohol 101 in a 95% yield. In order to construct a three-membered ring, compound 101 was cyclopropanated by using Simmons–Smith reagent, i.e., diethyl zinc in DCM as a solvent. The directing effect of alkoxide was carefully controlled by the addition of iodoform at room temperature, which yielded the single isomer 102 in a 72% yield. Compound 102 was modified in a few steps to furnish racemic peyssonnosol 103 (Scheme 16), which was then processed through β-selective Schmidt glucosylation with compound 104 to produce a diastereomeric mixture of 105a and 105b. The mixture of both these glucosides was separated, after which compound 105a was processed further for modification over a few steps to complete the synthesis of our desired peyssonnoside A 106 (Scheme 16).
Scheme 16.
Synthesis of peyssonnosol 103 and peyssonnoside A 106.
Sordarin 118 was first isolated from Sordaria araneosa, a fungus, in 1971. It exhibits antifungal activities against Candida albicans [70]. The complex molecular architecture of sordarin 118 consists of a tetracyclic core, named sordaricin 115. Sordaricin 115 belongs to the class of diterpenes. Its structure is based on a norbornene framework with three adjacent stereogenic centers [71]. Considering the unique structural features and interesting biological activities of sordarin 118, in 2006, Chiba et al. planned and reported its total synthesis [72]. To perform this task, optically active cyclohexanone (+)-107 was allowed to react with 3-butenylmagnesium bromide 108 under given conditions to produce compound 109. In the next step, Simmons–Smith cyclopropanation of compound 109 (in the presence of diethyl zinc and diiodomethane) and subsequent treatment with the base for desilylation resulted in cyclopropanol 110 in an 82% yield. Compound 110 was processed further for a cyclopropanol ring opening and oxidative radical cyclization in the presence of silver nitrate and 1,4 cyclohexadiene to furnish compound 111 in an 85% yield. The synthesis of tricyclic intermediate 113 (in a 70% yield) involved reaction of ketone 111 with N,N-dimethylhydrazine to produce N,N-dimethylhydrazone (intermediate), processed by reaction with compound 112 followed by acetonide deprotection and subsequent condensation in the presence of sodium ethanoate. Over a few steps, intermediate 113 was transformed into compound 114, which upon deethylation resulted in sordaricin 115. For the synthesis of sordarin 118, Mukaiyama’s coupling of sordaricin ethyl ester 114 with glycosyl fluoride 116 and subsequent treatment with DDQ was performed, which furnished a mixture of α-117 and β-117 as a major product in 12% and 79% yields, respectively, with a good diastereoselective ratio (dr = 6.5:1). In the next step, β-117 was subjected to deprotection in the presence of EtONa, and subsequent deethylation completed the synthesis of sordarin 118 (Scheme 17).
Scheme 17.
Total synthesis of sordaricin 115 and sordarin 118.
Trachylobanes (125a and 125b), kaurane 127, atisane 128 and beyerane 129 belong to the class of polycyclic diterpenes [73,74]. These tetracyclic diterpenes exhibit promising biological activities. In 2006, Abad et al. revealed a synthetic route toward the synthesis of these fascinating heterocycles [75]. Their methodology was based on the synthesis of common intermediate 124 by employing Simmons–Smith cyclopropanation as a key step. In the first step, the (R)-carvone 119 (as a starting material) was reacted with acetaldehyde, which then underwent Swern oxidation to produce β-diketone 120 (in a 93% yield). Compound 120 was processed by treatment with NaH and Bu4NHSO4 in DMF, followed by alkylation and subsequent acidic hydrolysis in the presence of PPTS, resulting in compound 121. In the next step, a Wittig reaction of compound 121 followed by Wittig methylation and a subsequent Diels Alder reaction furnished compound 122 in a 95% yield. Compound 122 was then transformed into compound 123 under the given conditions. In the next step, the well-suited Simmons–Smith cyclopropanation protocol was applied by adding diethyl zinc and diiodomethane in the presence of toluene, furnishing the desired intermediate 124. For the synthesis of trachylobanes (125a and 125b), regioselective reduction of intermediate 124 was performed by using hydrogen gas in the presence of platinum as a catalyst and AcOH as a solvent, thus resulting in a mixture of 125a and 125b in a 95% (combined) yield. In the following step, compound 125a was modified into compound 126 under the given conditions. Compound 126 was processed by oxidation in the presence of Dess–Martin periodinane, followed by hydrolysis and treatment with liquid ammonia in the presence of THF, and subsequent acetylation furnished kaurane 127 in an excellent yield. For the synthesis of atisane 128, compound 125a was reduced in the presence of lithium aluminum hydride and then subsequently mesylated, while in another route, 125a was treated with liquid ammonia to furnish the desired beyerane 129 in an 85% yield (Scheme 18).
Scheme 18.
Synthesis of trachylobane (125a and 125b), kaurane 127, atisane 128 and beyerane framework 129.
2.2.4. Triterpenoids
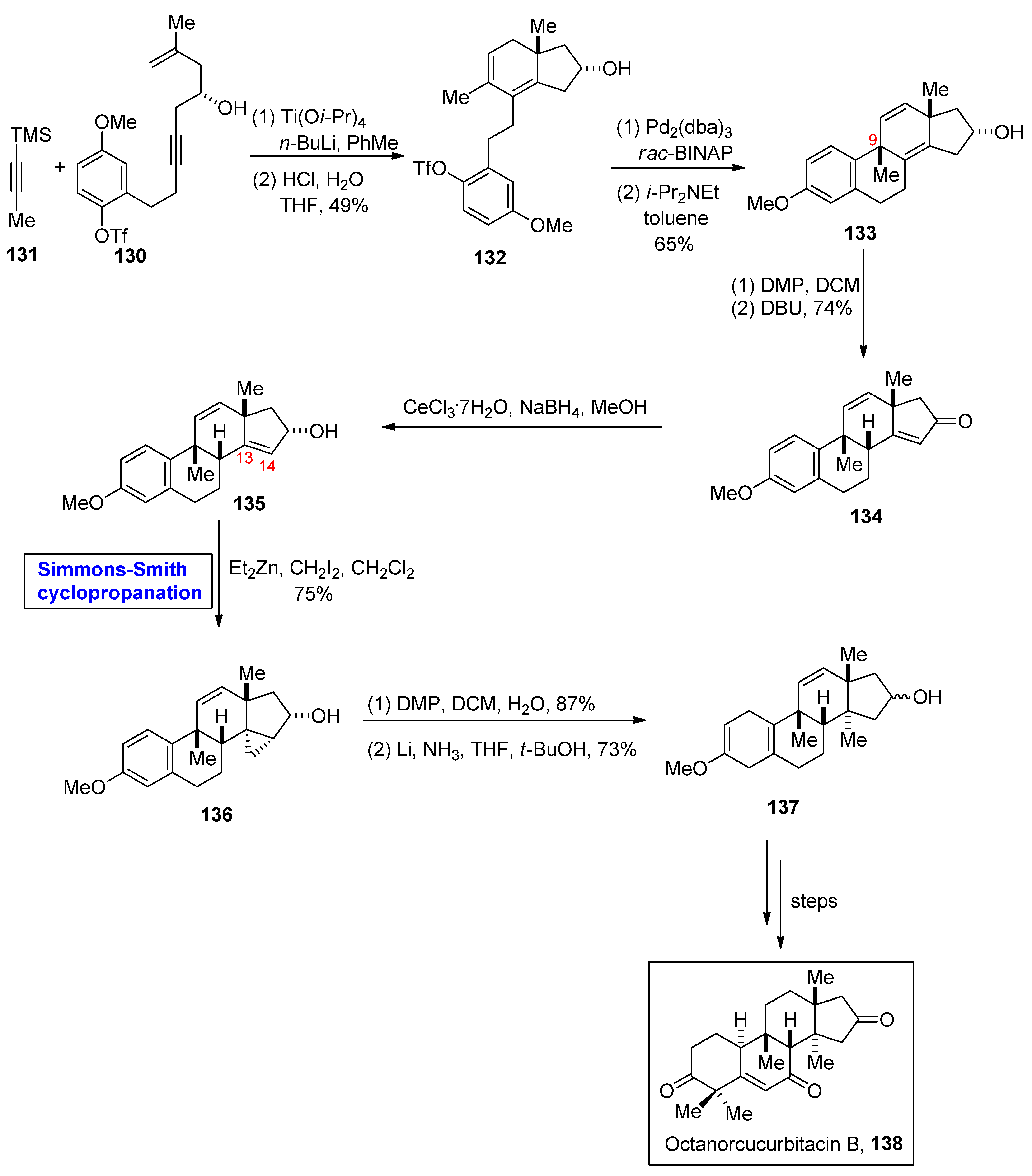
Octanorcucurbitacin B 138 belongs to the class of cucurbitane triterpenoids. These are isolated from the plants of Momordica charantia [76]. The cucurbitane class of triterpenoids are important for exhibiting anti-inflammatory, antitumor and anti-HIV activities. These show structural similarity with euphanes and lanostanes as far as possessing tetracyclic skeletons with three stereocenters. In the case of cucurbitanes, these three quaternary centers are present at the C9, C13 and C14 positions [77,78]. Previous approaches toward the synthesis of octanocucurbitacin were based on cationic-rearrangement-mediated derivatization of lanostanes. However, lanostanes were not readily available starting materials. In 2022, Bucknam et al. accomplished the stereoselective synthesis of octanorcucurbitacin B 138 from readily available chiral enyne 130 in 12 steps with a 0.8% overall yield [79]. In their synthetic strategy, compound 130 was allowed to react with TMS-propyne 131, and then protodesilylation produced compound 132. In order to generate a stereocenter at the C9 position, compound 132 underwent a Heck reaction to produce polyunsaturated tetracycle 133. In the next three steps, oxidation (by using Dess–Martin periodinane), isomerization (in the presence of DBU) and subsequent reduction (in the presence of NaBH4) were performed to furnish compound 135 with a stereocenter at C8. The development of a C14 stereocenter was somehow difficult; hence, the Simmons–Smith cyclopropanation strategy was employed to achieve this task. Compound 135 was reacted with diethylzinc and diiodomethane to produce compound 136 as a single regioisomer in a 75% yield. In the next step, oxidation of compound 136 and subsequent reduction (in the presence of lithium in ammonia) successfully generated compound 137 with a chiral center at C14. In the next few steps, a series of oxidation and reduction reactions were performed to furnish our desired natural product 138 in a good yield (Scheme 19).
Scheme 19.
Synthesis of octanorcucurbitacin B 138.
2.3. Synthesis of Amino-Acid-Based Natural Products
The tricyclopropylamino acid derivative is an active pharmaceutical ingredient (API) 145 consisting of proline and tricyclopropylamino acid. It is expected to be used in the treatment of hepatitis C [80]. Previously, tricyclopropylamino acid was synthesized by palladium-catalyzed cyclopropanation reactions in the presence of diazomethane. However, using diazomethane on a kilogram scale was not a good choice because of its hazardous nature. Another common problem faced by many researchers during API 145 synthesis was incomplete cyclopropanation that resulted in alkene impurity [81]. Young et al. investigated many strategies for large-scale synthesis of compound 145 in high purity [82]. In 2016, they designed a useful strategy by employing the use of well-suited Simmons–Smith cyclopropanation as a key step with an additional aminoacetoxylation process. In their synthetic route, compound 139 underwent Simmons–Smith cyclopropanation by using 3.39 equivalents of diethyl zinc and 3.20 equivalents of diiodomethane and dichloroacetic acid to produce compound 140 (or 141) at −15 to 15 °C with a 70–80% yield. Compound 140/141 was then reacted with a Boc-protected proline derivative in the given conditions to obtain compound 143/144 and processed by treatment with PhI(OAc)2, Pd(OAc)2 and N(Bu)4OAc, and the subsequent addition of N-methyl thiourea resulted in the desired compound API 145 in an 85–90% yield. This amino acid derivative caused a reduction in alkene impurity from 20 to 0.12 AP (Scheme 20).
Scheme 20.
Synthesis of tricyclopropylamino acid derivative as an active pharmaceutical ingredient (API) 145.
Cyclopropane-ring-based amino acids are important in medicinal chemistry because of their wide biological activities. (6S)-5-azaspio[2.4]heptane-6-carboxylic acid 151 is a cyclopropane containing L-proline [83,84]. In 2012, Tymtsunik et al. disclosed the enantiomeric synthesis of Boc-protected 5-azaspiro[2.4]heptane-6-carboxylic acid 150 in six steps by using (2S,4R)-4-hydroxyproline 146 as a starting material and by employing Simmons–Smith cyclopropanation as a key step [85]. The overall yield was 5% with good control of chirality. In their methodology, compound 146, under the given conditions (a Wittig reaction and treatment with Tebbe’s reagent), was modified into compound (S)-147 in a 25% yield with ee > 98%. In the next step, the Simmons–Smith protocol was employed, for which compound 147 was treated with ZnEt2, CH2I2 and trifluoroacetic acid as a solvent, furnishing a mixture of compound (S)-148 (in a 34% yield) and compound (S)-149. In the last step, Boc protection and subsequent hydrolysis (in the presence of NaOH) of compound 148 completed the synthesis of compound (S)-150 as a single enantiomer (Scheme 21).
Scheme 21.
Synthesis of Boc-protected 5-azaspiro[2.4]heptane-6-carboxylic acid (S)-150.
Boc-protected 4,5-methano-β-proline (157a & 157b) is another analogue of β-amino acid. It is used in the synthesis of antidiabetic drugs, i.e., saxagliptin [86,87]. In 2014, Tymtsunik et al. [88] performed the diastereomeric synthesis of Boc-protected 4,5-methano-β-proline (157a & 157b) by employing the Furukawa variation of Simmons–Smith cyclopropanation as a key step. Itaconic acid 152 was used as a starting material, and the overall yields of resulting cis and trans isomers were 11% and 38%, respectively (total of 49%). In the first step, itaconic acid 152 was allowed to react with O-benzylhydroxylamine 153 (acting as nucleophile) to produce compound 154. Over a few steps, compound 155 was allowed to react with 2.5 moles of ZnEt2 and 2.55 moles of ClCH2I in CH2Cl2 acting as a solvent, followed by hydrolysis and reaction with allyl bromide to produce a diastereoisomeric mixture of compounds 156a and 516b (after chromatographic separation). In the last step, deprotection of compounds 156a and 156b in the presence of Pd2(dba)3 and PPh3 furnished Boc-protected proline derivatives 157a (87%) and 157b (92%), respectively (Scheme 22).
Scheme 22.
Synthesis of Boc-protected 4,5-methano-β-proline (157a and 157b).
3,4-methanonipecotic acid 163 is a cyclopropyl ring containing non-proteinogenic β-amino acid [89]. This compound is rarely present in higher organisms and is usually isolated from plants and bacterial sources. β-amino acids, after incorporation into peptides, show interesting conformational behavior, which prompted researchers to design the various structural analogues of these amino acids. Compound 164 (a derivative of 3,4-methanonipecotic acid 163) is an antagonist of the NK1 receptor; thus, it exhibits potent biological activities [90]. In 2015, Tymtsunik et al. developed a novel approach for the synthesis of racemic 3,4-methanonipecotic acid 163 by using 3-pyridinylmethanol 158 as a starting material [91]. The synthesis was performed via an eight-step sequence (in a 38% overall yield) by employing Simmons–Smith cyclopropanation as a key step. The treatment of alcohol 158 with Grignard reagent and subsequent reduction produced alcohol 159. In the next step, compound 159 was processed by treatment with 4 moles of ZnEt2 and 4 moles of CH2I2 to yield compound 160 (with a successfully installed cyclopropane ring) in a 53% yield. In the next step, compound 160 was converted into compound 162 (in a 73% yield) over three steps involving reduction, followed by treatment with Dess–Martin periodinane and subsequent Pinnick oxidation (in the presence of 2-methyl-2-butene, NaClO2 and NaH2PO4). In the final step, deprotection of compound 162 via HCl furnished 3,4-methanonipecotic acid 163 in a 98% yield (Scheme 23).
Scheme 23.
Synthesis of racemic 3,4-methanonipecotic acid 163.
JP4-039 is an isostere dipeptide comprised of leucine and glycine residue [92]. Its structure possesses peptidomimetic properties and has the ability to interact with mitochondria and operate as a bioprotective and anti-oxidant agent [93]. In 2011, Frantz et al. designed an efficient and easily scaled route toward the synthesis of β, γ-cyclopropylamine isosteres 172 (analogue of JP4-039) [94]. In their synthetic route, compound (S)-169 was obtained by hydrozirconation of alkyne 165 and simultaneous transmetalation, followed by reaction with chiral imine (R)-168 (from isovaleraldehyde). In the next step, Cbz protection of allylic sulfinyl amine was performed to produce (S)-170. For cyclopropanation, compound (S)-170 was treated with diethyl zinc and dichloromethane (Simmons–Smith reagent) at −20 °C and then with slight heating up to room temperature, followed by chromatographic separation, resulting in compound 171 in a 65% yield with dr >20:1. In the following step, compound 171 was treated with TBAF, followed by Jones oxidation and subsequent 4-AT coupling, furnishing our desired JP4-039 analogue 172 (over three steps) in a 68% yield (Scheme 24).
Scheme 24.
Synthesis of JP4-039 analogue 172.
Methanoprolines belong to the class of amino acids; they have great medicinal importance and are expected to show anti-HCV activities [95,96]. In 2013, Wang et al. devised a new and efficient synthetic route for the synthesis of trans-methanoproline 177a in high stereoselectivity [97]. Their synthesis commenced with readily available starting material 173, which was modified into compound 174 in a few steps. In order to introduce a cyclopropane ring, a well-suited Simmons–Smith cyclopropanation was performed by treating compound 174 with Et2Zn and ICH2Cl in toulene at −17 °C to furnish a mixture of compounds 175a and 175b in an 84% yield. In the next step, silyl group deprotection of compounds 175a and 175b, followed by oxidation in the presence of sodium periodate and ruthenium chloride, furnished compounds 177a, 177b and 178 in a 1.0:0.04:0.18 mol ratio, respectively. After that, recrystallization was performed in order to achieve the desired compound 177a in high stereoselectivity (Scheme 25).
Scheme 25.
Synthesis of trans-methanoproline 177a.
2.4. Synthesis of Nucleosides
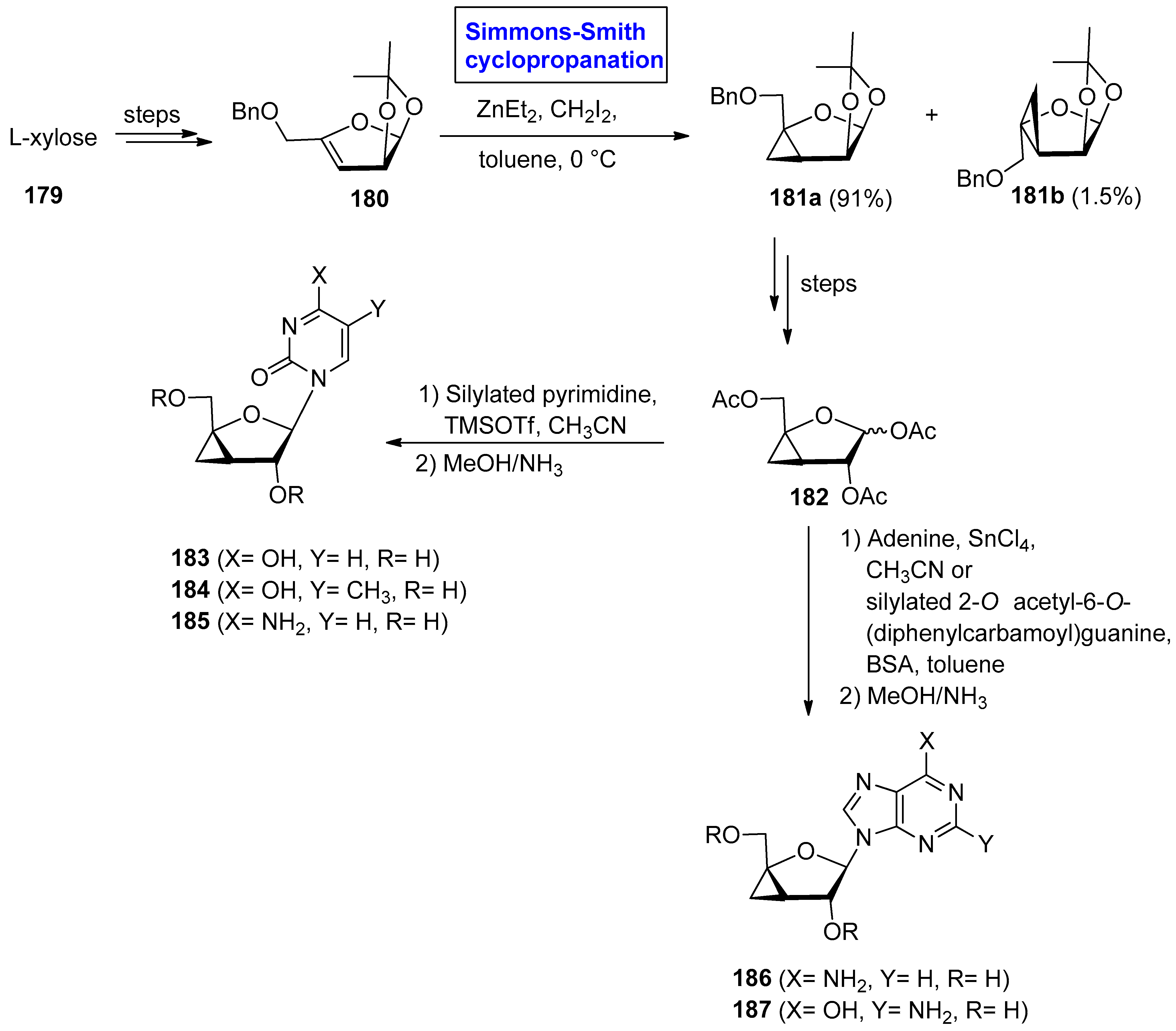
2-oxabicyclo[3.1.0]hexane is a basic heterocyclic scaffold for the synthesis of various nucleoside analogues, as these show potent biological activities. The synthesis of these nucleosides involve glycosylation reactions between sugars bearing 2-oxabicyclo[3.1.0]hexane and nitrogenous bases. Conformational studies of these nucleosides and sugar-puckering phenomena are important, as these effect the metabolic behavior and interaction of these nucleosides with various polymerases [98]. Keeping in view the biological importance of nucleosides, Gangeron et al. in 2005 performed the synthesis of five 2-oxabicyclo[3.1.0]hexane-based natural nucleic acid bases [99]. Their synthesis involved glycosylation reactions between sugars bearing 2-oxabicyclo[3.1.0]hexane and nitrogenous bases starting from L-xylose 179. Compound 180 was obtained after the modification of L-xylose. Then, the Simmons–Smith cyclopropanation of compound 180 resulted in a mixture of major product 181a (91% yield) and minor product 181b (1.5% yield). Compound 181a after modification over a few steps produced compound 182. The glycosylation reaction of compound 182 in the presence of pyrimidine at 0 °C followed by deprotection in the presence of MeOH and NH3 produced nucleosides 183, 184 and 185. In another route, glycosylation reaction of compound 182 in the presence of adenine and tin chloride followed by deprotection produced nucleoside 186, while guanosine nucleoside 187 was prepared by condensation of 182 with 2-N-acetyl-6-O-(diphenylcarbamoyl)guanine in the presence of toluene and subsequent deprotection in the presence of MeOH and NH3. Conformational studies of these nucleosides confirmed their restriction toward oT1 conformation (Scheme 26).
Scheme 26.
Synthesis of five 2-oxabicyclo[3.1.0]hexane-based nucleoside analogues.
Methanocarba nucleosides contain bicyclo[3.1.0]hexane carbasugar and are able to mimic furanose ring puckering and are effective PPAR dual modulators [100]. The role of peroxisome proliferator-activated receptor (PPAR) dual modulators have previously been reported. These modulators can be used in the treatment of hypoadiponectinemia (a metabolic disease) and cancer [101,102]. These PPARδ antagonists and PPARγ partial agonists work by interacting with polymerases and adenosine receptors and inactivating them. Considering the importance of PPAR modulators, various attempts have been made for the synthesis of methanocarba nucleosides, but previous approaches for the synthesis of these nucleosides faced the problem of low yield. However, Hyuan et al. in 2021 performed the stereoselective synthesis of homologated (S)- and (N)-methanocarba nucleosides on a bicyclo[3.1.0]hexane template and observed the conformational behavior of these analogues for binding with PPAR [103]. The key step in the synthesis of (N) conformer involved Simmons−Smith cyclopropanation and a Mitsunobu reaction [104]. In their synthetic route, D-Ribose 188 was used as the starting material, which after few modifications produced compound 189. The substrate-controlled Simmons–Smith cyclopropanation of diol 189 in the presence of diethyl zinc, diiodomethane and dichloromethane at 0 °C to rt produced compound 190 with a 40% yield. Compound 190 was then acetylated by treating with Ac2O, Et3N and DMAP in the presence of dichloromethane at 0 °C to 23 °C, yielding compound 191 in a 76% yield. After a few steps, the synthesis of homologated (N)-methanocarba nucleosides 192 was completed with 58% overall yield, respectively (Scheme 27).
Scheme 27.
Synthesis of homologated (N)-methanocarba nucleoside 192.
20-deoxy-20-fluoro-20-C-methyl spiro cyclopentyl carbocyclic uridine belongs to the class of carbocyclic nucleosides, which are well known for their anticancer properties [105]. These nucleosides are generated by substituting oxygen in a furanose ring with carbon, and subsequent condensation with a base results in more stable nucleosides [106]. In 2020, Singh and Chu performed the synthesis of 1-(4 R,5S,6R,7R)-5,6-dihydroxy-7-(hydroxymethyl)-spiro[2.4]heptan-4-yl)pyrimidine-2,4(1H,3H)-dione 199 and its analogues and evaluated their anti-HCV activity [107]. Triol 193 (as a starting material) was modified into β-allylic alcohol 194 over a few steps. The oxidation of β-allylic alcohol 194 in the presence of Dess–Martin periodinane and dichloromethane produced α-allylic alcohol 195 (in an 88% yield), which upon subsequent reduction in the presence of sodium borohydride and cesium chloride produced compound 196 in an 87% yield. Compound 196 was cyclopropanated under the Simmons–Smith conditions, i.e., diethyl zinc, diiodomethane and diethyl ether, to furnish compound 197 in a 93% yield. Compound 197 was treated with Mitsunobu conditions [104], i.e., DPPA, DIAD and TPP in THF, to produce β-azide, which on subsequent reduction and then treatment with β-methoxy acryloyl isocyanate produced compound 198 in an 81% yield. The cyclization of compound 198 was performed in the presence of 2 N sulfuric acid to produce uridine analogue 199 successfully in a 37% yield. The phosphoramidate-containing derivative 200 and analogue 201 were synthesized from intermediate 199. Compound 201 was further modified into analogue 202 (Scheme 28).
Scheme 28.
Synthesis of 1-(4R,5S,6R,7R)-5,6-dihydroxy-7-(hydroxymethyl)-.
Spiro[2.4]heptan-4-yl)pyrimidine-2,4(1H,3H)-dione and analogues (200–202), 2′-C-methyl-uridine and 3′-C-hydroxymethyl-uridine, have been previously synthesized and evaluated for anti-HCV NS5B polymerase activity. A few works on the synthesis of 2′,3′-cyclopropane-bearing uridine have been reported in the literature [108,109]. The synthesis and stereochemical confirmation of 2′,3′-cyclopropane nucleoside, i.e., 3′-deoxy-3′-C-hydroxymethyl-2′,3′-methylene-uridine 207, as an anti-HCV agent was reported by Komsta et al. in 2014 [110]. The synthesis was performed in 16 steps by using a readily available starting material, i.e., D-xylose derivative 203. This acetonide-protected derivative 203, after modifications in a few steps, produced protected 3-hydroxymethyl 2-ketofuranoside 204. In the next step, the carbonyl group of derivative 204 was subjected to silyl protection in the presence of LDA, TBSCl, Et3N and THF at −30 °C to rt to produce benzyl-protected silyl enol ether in an 80% yield. Furthermore, Simmons–Smith cyclopropanation was performed according to the previously devised method of Gerber and Vogel, in which compound 205 was treated with diethyl zinc, ClCH2I and DCE to furnish compound 206 in a 60% yield and dr = 8:1. The modification of compound 206 over a few steps completed the synthesis of uridine 207 (Scheme 29).
Scheme 29.
Synthesis of 3′-deoxy3′-C-hydroxymethyl-2′,3′-methylene-uridine 207.
There has been a great deal of interest in the synthesis of nucleoside derivatives and their use as antiviral agents against a broad range of viruses such as influenza, HIV-1, CMV, hepatitis C virus and human respiratory syncytial virus (HRSV). HRSV is a common cause of disease in both children and adults and in persons with weak immunity [111]. Keeping in view the role of nucleosides and the synthesis of their derivatives, 4′/5′-methylene spirocyclopropanated uridine has also been synthesized, but these synthetic procedures produced low yield [112]. In 2019, Kollmann et al. successfully synthesized 4′/5′-spirocyclopropanated uridine derivatives with a 5′ hydroxy substitution pattern using Furukawa-modified Simmons–Smith cyclopropanation as a key step [113]. In their methodology, O-silylated nucleoside 208 (as a starting material) was treated with six equivalents of BOMCl and five equivalents of NiPr2Et at about 0 °C to room temperature, and subsequent treatment with TBAF produced compound 209 over two steps with an 87% yield. Oxidation of compound 209 by using IBX followed by enolization with K2CO3 produced compound 210. After this, compound 210 underwent Simmons–Smith cyclopropanation in the presence of diethyl zinc, diiodomethane and DCE at 50 °C to produce compound 211 (in a 54% yield). In the following step, compound 211 was reduced by using Pd/C and methanol, which successfully yielded intermediate 212. This spirocyclopropanated derivative 212 acted as a precursor for the synthesis of many other derivatives such as spirocyclopropanated uridine monophosphate (cpUMP) 216, spirocyclopropanated D-xylouridine 214, D-xylo nucleoside 215 and D-ribo nucleoside 213. Compound 215 was synthesized by the esterification of compound 214 in the presence of isobutyric anhydride and pyridine (Scheme 30). All the synthesized derivatives, 212, 213, 214, 215 and 216, were evaluated for anti-HRSV activity. Among these synthesized compounds, two derivatives showed moderate anti-HRSV activity (Scheme 30).
Scheme 30.
Synthesis of 4′/5′-spirocyclopropanated uridine and D-xylouridine derivatives (213–216).
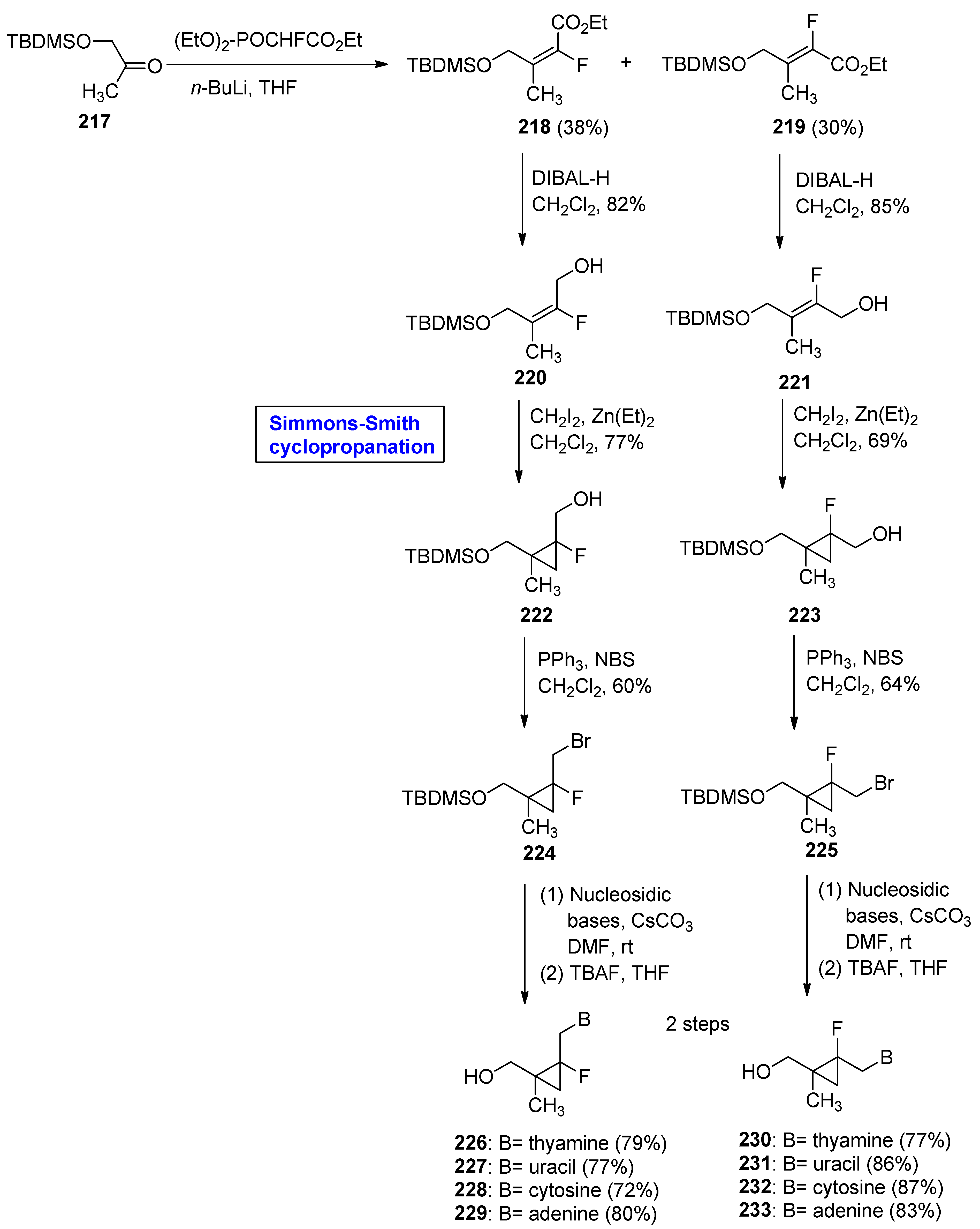
The introduction of a cyclopropyl ring within nucleosides is the source of improving their antiviral activities [114]. Pioneering the antiviral studies of nucleoside derivatives in 2007, Kim and Hong synthesized C-1 or C-3 fluoro-substituted cyclopropyl rings containing nucleosides and evaluated their antiviral activities [115]. The synthesis involved Simmons–Smith cyclopropanation as the main step. In their methodology, readily available starting material acetal 217 was treated with (EtO)2-POCHFCO2Et in the presence of butyl lithium and THF to produce fluoroesters 218 and 219 in 38% and 30% yields, respectively. In the next step, reduction in carbonyl functionality was undertaken by using DIBAL-H in the presence of CH2Cl2 to produce fluoro-substituted allylic alcohols 220 and 221 in 82% and 85% yields, respectively. After this, cyclopropanation was performed by using the Simmons–Smith protocol in the presence of ZnEt2 and CH2Cl2, resulting in compounds 222 and 223 in 77% and 69% yields, respectively. In the next step, a nucleophilic substitution reaction was performed by using PPh3 and NBS to produce compounds 224 and 225 in high yield. In the last two steps, condensation of compounds 224 and 225 with nucleosidic bases in the presence of cesium carbonate and DMF followed by deprotection (in the presence of TBDMS and THF) successfully furnished the desired nucleosides 226 to 233 in high yield (Scheme 31). The synthesized compounds showed anti-HCMV activity. Uracil derivative 227 showed the most potent activity with EC50 = 10.61 μg/mL (Scheme 31).
Scheme 31.
Synthesis of C-fluoro-branched cyclopropyl nucleosides (226–233).
Oligonucleotides are renowned for their use as therapeutic agents against various diseases. The functions of oligonucleotides depend directly on the conformation and structural arrangement of their sugar molecules [116]. The role of tricyclo-DNA-based oligonucleotides for the treatment of Huntington’s disease and Duchenne muscular dystrophy is also being explored [117,118]. Considering the importance of oligonucleotides, Yamaguchi et al. [119] in 2021 performed the synthesis of 4′,5′ -BNA phosphoramidite 238 in 11 steps and incorporated it into oligonucleotides and evaluated its duplex-forming ability with RNA and DNA. In their methodology, thyamine 234 (as a starting material) was modified to produce compound 235 over a few steps. Simmons–Smith cyclopropanation of compound 235 in the presence of diethyl zinc and diiodomethane, at room temperature, resulted in the diastereomeric mixture of 236a and 236b (in dr = 10:3). Subsequent deprotection was performed to produce compound 237. Compound 237 was reacted over a number of steps to successfully furnish 4′,5′-BNA phosphoramidite 238 (Scheme 32).
Scheme 32.
Synthesis of 4′,5′-BNA phosphoramidite 238.
2.5. Synthesis of γ-Pyrone-Based Natural Product
Brevipolides A–F were first isolated from the plants of Hyptis brevipes Douglas Kinghorn in 2009. These are famous for exhibiting antifungal, antibacterial and anticancer activities. Brevipolide H 246, in particular, was isolated from Lippia alva (a Peruvian plant) [120]. It shows anti-HIV activity and possesses an attractive biological profile, which prompted researchers toward its total synthesis. The Hou group reported the enantiomeric synthesis of brevipolide H 246 [121]. In 2015, Mohapatra et al. disclosed the diastereoselective synthesis of the C1 to C15 skeleton of brevipolide H 246 via the readily available trans-crotonaldehyde 239 over 18 steps in a 12.5% overall yield [122]. The main steps entailed asymmetric Jorgensen’s epoxidation, the Pd-catalyzed opening of epoxide, Simmons–Smith cyclopropanation, Mitsunobu reaction [104], Brown allylation and Grubb’s catalyzed metathesis. Their synthesis commenced with epoxidation of trans-crotonaldehyde 239 in the presence of chiral catalyst 240 followed by Wittig reaction to produce epoxide 241 in a 78% yield with excellent diastereoselectivity and enantioselectivity (dr = 95:5 & ee = 93:7). The palladium-catalyzed ring opening of compound 241, followed by TBS protection and subsequent reduction provided primary alcohol 242 (in a 95% yield), which was processed further by TBDPS protection and treatment with DDQ to produce allylic alcohol 243. In order to install a cyclopropane ring, a well-suited Simmons–Smith protocol was applied in the following steps of adding diethyl zinc, diiodomethane and dichloromethane at −78 °C and slightly increasing the temperature up to 0 °C, successfully generating compound 244 in a 97% yield as a single diastereomer. By reacting compound 244 over a few steps, the synthesis of the desired fragment 245 was achieved in good yield (Scheme 33).
Scheme 33.
Synthesis of C1 to C12 fragment 245 of brevipolide H 246.
2.6. Synthesis of Polyketide-Based Natural Product
Clavosolide A 251 belongs to the class of polyketides. Polyketides are natural metabolites, having large structural diversity and being renowned for exhibiting a large number of biological activities. Various synthetic strategies have previously been employed for the synthesis of the core structure of these metabolites, involving double Sakurai allylation [123], Mitsunobu reaction [104] and alkyne metathesis [124,125], but these strategies produced a large amount of waste and were not considered appropriate with respect to atom economy. In 2015, Haydl and Breit introduced a new, atom-economical, regioselective strategical procedure for the synthesis of a 16-membered skeleton of clavosolide A in eight steps [126]. The key steps involved the rhodium-catalyzed addition of carboxylic acid to alkene, cross metathesis and late-stage Simmons–Smith cyclopropanation. Compounds 247 and 248 were reacted over a few steps to produce allenyl-substituted carboxylic acid 249. Fragment 300 underwent head-to-tail rhodium-catalyzed dimerization to produce compound 250 in an 82% yield with good diastereoselectivity. In the next step, cross metathesis of compound 250 was performed in the presence of Grubbs catalyst in (Z)-butene to produce an intermediate in an 89% yield (E/Z = 83/17), which was processed by Simmons–Smith cyclopropanation in the presence of diethyl zinc, ICH2Cl and CH2Cl2 to result in the successful synthesis of clavosolide A 251 in a 63% yield (Scheme 34).
Scheme 34.
Synthesis of clavosolide A 251.
2.7. Synthesis of Fatty-Acid-Based Natural Products
Cascarillic acid 255 or grenadamide 258 are cyclopropane rings containing natural metabolites. Cascarillic acid is isolated from cascarilla essential oil, while grenadamide is isolated from marine cyanobacterium Lyngbia majuscula. In 2007, Salim and Piva performed the enantiomeric synthesis of cascarillic acid 255 and grenadamide 258 by employing cross metathesis and Simmons–Smith cyclopropanation as key steps [127]. In their methodology, a one-pot synthetic procedure was adopted, which proved to be time saving and effective in terms of obtaining good yield. For the synthesis of cascarillic acid 255, a readily available starting material, i.e., vinyl acetic acid 253, was allowed to react with 1-octene 252 in the presence of a ruthenium catalyst and dichloromethane as a solvent. The reaction mixture was heated for 24 h and then cooled to 0 °C. After that, diethyl zinc and diiodomethane was added in the same flask and kept stirred for 5 h, which resulted in a diastereomeric mixture of the desired product 255 in a 90% yield (after chromatographic separation) with E/Z = 88/12 (Scheme 35).
Scheme 35.
Total synthesis of (+/−)-cascarillic acid 255.
The same procedure was adopted for the total synthesis of (+/−)-grenadamide 258, in which amide 257 was allowed to react with 1-nonene 256 in the presence of ruthenium catalyst 254. After cross metathesis, sequential Simmons–Smith cyclopropanation was employed by adding diethyl zinc and diiodomethane in the same pot at 0 °C, which furnished the mixture of 258 in a 98% yield with E/Z = 75/25 (Scheme 36).
Scheme 36.
Total synthesis of (+/−)-grenadamide 258.
Solandelactones A–H are complex marine fatty-acid metabolites that were first discovered by Shin and his colleagues in 1996. These were isolated from the Solanderia secunda present on Jaeju Island, Korea. Solandelactones A–H are also referred to as oxylipins. These metabolites have unique structural features with cyclopropane rings at C-9 and C-10. Different members of this class show diversity in their configurational behaviors, which makes their synthesis challenging and curious. According to Shin’s structural elucidation, the C-11 configuration of solendelactones A, C, E and G is assigned as R, while the C-11 configuration of solendelactones B, D, F and H is S [128]. In 2008, White et al. reported the synthesis of solandelactones A, B, E and F (268a–269b) by adopting a concise and efficient route [129]. Their methodology commenced with the Nozaki–Hiyama–Kishi coupling of aldehyde 259 with compound 260 in the presence of titanium chloride to yield compound 261 in a 94% yield. The treatment of hydroxyl amine 261 with N, O-dimethylhydroxylamine yielded compound 262. After that, the hydroxyl-directed Simmons–Smith cyclopropanation was performed by adding diethyl zinc and diiodomethane in the presence of dichloromethane to produce compound 263 in a 97% yield with perfect control of stereochemistry. A few steps later, compounds 264 and 265 were allowed to react with aldehyde 266 in the presence of chromium chloride and nickel chloride in DMSO, which resulted in a stereoisomeric mixture of solandelactone A 268a and solandelactone B 268b in 3.5:1 from 264 in a 68% yield, as well as solandelactone E 269a and solandelactone F 269b in 1.5:1 from 265 in a 41% yield, respectively (Scheme 37). The stereochemical confirmation of the synthesized derivatives was confirmed by NMR spectroscopy, and the results showed that the C-11 configuration of the synthesized derivatives was opposite to the configuration that was actually assigned by Shin.
Scheme 37.
Synthesis of solandelactones A, B, E and F (268a–269b).
(±)-17-methyl-trans-4,5-methyleneoctadecanoic acid 278 is a marine cyclopropane fatty acid. It was first isolated from Pseudospongosorites suberitoides, a Caribbean sponge [130]. In 2010, Carballeira et al. performed the first total synthesis of (±)-17-methyl-trans-4,5-methyleneoctadecanoic acid 278 and its analogue, (±)-17-methyl-cis-4,5-methyleneoctadecanoic acid 279, in eight steps (9.1% overall yield) and seven steps (16.4% overall yield), respectively, by employing Simmons–Smith cyclopropanation as a key step. 1-Bromo-12-methyltridecane 270 was used as the starting material, and both the synthesized isomers were evaluated for anti-leishmanial activity [131]. In the first step of their synthetic route, 1-bromo-12-methyltridecane 270 was allowed to react with trimethylsilyl acetylene 271 in the presence of n-BuLi and subsequently desilylated to produce 14-methylpentadec-1-yne 272 (in a 100% yield), which was processed by reaction with 273, followed by deprotection by using p-TSA and subsequent reduction, to furnish compound 274 in a 94% yield. For the synthesis of 278, cyclopropanation of compound 274 was performed by adding well-suited Simmons–Smith reagent, i.e., diethyl zinc, diiodomethane and 1,2-dichloroethane, as a solvent to furnish compound 276 (in a 38% yield). Compound 276 was processed further for oxidation via pyridinium dichromate to produce the desired product 278 in a 50% yield. In another route, the compound 274 was treated with nitric acid and sodium nitrate to produce compound 275, which was then cyclopropanated by providing the Simmons–Smith conditions to produce compound 277 in a 69% yield. In the final step, oxidation of compound 277 furnished compound 279 (Scheme 38).
Scheme 38.
Synthesis of compound 278 and compound 279.
2.8. Synthesis of Drugs
Octahydropyrrolo[1,2-a]pyrazine A 288 is an effective anticancer agent, as it is an IAP (inhibitor of apoptosis proteins) antagonist. IAPs cause resistance to several chemotherapeutic drugs [132]. The tricyclic framework of octahydropyrrolo[1,2-a]pyrazine A has the ability to interact with IAPs via van der Waal forces, which promote cell death. However, octahydropyrrolo[1,2-a]pyrazine A 288 was found to be metabolically less stable [133]. The interesting biomimetic behavior of this heterocyclic scaffold prompted synthetic efforts toward the synthesis of its derivatives with improved metabolic stability. In 2013, Asano et al. disclosed the enantioselective synthesis of a cyclopropane ring containing derivatives of octahydropyrrolo[1,2-a]pyrazine A with an improved PK profile and better cytotoxic activities against cancer cells [134]. Their methodology commenced with the synthesis of the methyl ester derivative 281 of proline from the readily available starting material 280. In order to install a cyclopropane ring, compound 281 was treated with Simmons–Smith conditions, i.e., diethyl zinc and dichloromethane in the presence of toluene. The temperature was initially kept at 0 °C and then raised slowly to room temperature, resulting in a diastereomeric mixture of compounds 282 and 283 in 39% and 7% yields, respectively (after chromatographic separation). After that, 282 and 283 were reduced in the presence of lithium aluminum hydride and subsequent oxidation in the presence of sulfur trioxide and pyridine complex, followed by reduction with benzyl amine, resulting in intermediates 284 and 285 in 85% and 68% yields, respectively. Over a few steps, intermediates 284 and 285 were converted into octahydro-1H-cyclopropa[4,5]pyrrolo[1,2a]pyrazine derivatives 286 and 287 in quantitative yields (Scheme 39). Both of the synthesized derivatives showed better metabolic stability. Moreover, derivative 287 exhibited antiproliferative activity against human breast cancer cells.
Scheme 39.
Synthesis of octahydropyrrolo[1,2-a]pyrazine A derivatives 286 and 287.
Carbamazepine analogues belong to the class of tricyclic antidepressants (TCAs) and are used in the treatment of neuropathic pain and epilepsy [135,136]. Werth and Ueyda [137] in 2018 performed a single step, highly regioselective synthesis of carbamazepine analogue from parent 5H-dibenz-s[b,f]azepine 289 by employing cobalt-catalyzed Simmons–Smith conditions. Compound 289 was treated with 10 mol% of [2-t-BuPDI]CoBr2, 0.14 mmol of 1,3-diene, 2 eq. of Me2CCl2, 2 eq. of Zn and 1 eq. ZnBr2 to produce compound 290 with a 96% yield. In the next step, derivatization of compound 290 was performed by using chlorosulfonyl isocyanate, furnishing compound 291 in a 64% yield (Scheme 40).
Scheme 40.
Synthesis of carbamazepine analogue 291.
Profol is a GABAA (γ-aminobutyric acid) receptor agonist, widely used as an anesthesia and in the treatment of many psychological diseases. Ciprofol is also a GABAA receptor of equal importance, having the fewest side effects (such as low blood pressure or respiratory depression) [138,139]. Zhang et al. [140] in 2022 evaluated and optimized the kilogram-scale route for the synthesis of Ciprofol, with 12–14% overall yield. The first route that they adopted for the synthesis faced some limitations, such as the use of organometallic reagents that caused toxic impurities and low-yield problems. The second-generation route was based on five steps by utilizing easily available starting material such as 2-isopropylphenol 292. The treatment of phenol 292 with 3-chlorobutene 293 in the presence of NaOH as a base and DMF as a solvent resulted in a stereoisomeric mixture of compounds 254 and 253. After that, compound 295 was separated from the unwanted compound 294 by column chromatography in a 95% yield and underwent Claisen rearrangement to produce an isomeric mixture of compound 296 and unwanted compound 297. After chromatographic separation, compound 296 was obtained in a 53% yield. In the next step, compound 296 was allowed to react with compound phenyl ethyl isocyanate 298 in the presence of heptane to produce carbamate 299 in an excellent yield (91%). The Simmons–Smith cyclopropanation of compound 299 in the presence of diethyl zinc, CF3COOH and CH2I2 in 3:4:3 (optimized equivalents) resulted in racemic product 300/ (99% conversion). In the next step, recrystallization was performed to produce the desired product 300 with a 30 to 35% yield and a diastereomeric excess greater than 90%, followed by subsequent hydrolysis in the presence of NaOH and heptane, and then finally, distillation produced the desired ciprofol 301 (Scheme 41).
Scheme 41.
Kilogram-scale synthesis of ciprofol 301.
(+)-Cis-4-(N-adamantyl-N-methylamino)-2,3-methano-2-phenylbutan-1-ol (+)-AMMP) 309 is a sigma receptor agonist. Sigma agonists control numerous cognitive brain functions to prevent dementia and memory-loss problems. Therefore, (+)-AMMP 309 is expected to be an interesting candidate for the treatment of Alzheimer’s disease [141]. The synthesis of (+)-AMMP 309 has been reported in the literature by using (+)-2,3-methano 2-phenyllactone, an expensive starting material, and only a 9% yield was achieved [142]. As a part of ongoing research, Kawahima et al. [143], in 2016, performed the enantioselective synthesis of compound 309 with a 35% overall yield by using readily available starting material and cheap reagents. The key steps entail PPL-induced acetylation, catalytic Simmons–Smith cyclopropanation and amidation. In the first step of their synthetic route, (Z)-3-phenylbut-2-en-1,4-diol 302 was protected in the presence of vinyl acetate 303 and 1,4 dioxane to yield compound 304 with a 91% yield. Then, silyl protection of compound 304 in the presence of pyridine produced compound 305 in a 97% yield, followed by subsequent acetyl deprotection in the presence of MeONa and MeOH to produce compound 306 in a 68% yield. In the next step, compound 306 underwent catalytic Simmons–Smith cyclopropanation by using two equivalents of diethyl zinc, three equivalents diiodomethane and one equivalent of compound 307 as a catalyst at 0 °C, furnishing compound 308 in a quantitative yield and 71% ee. A few steps completed the synthesis of (+)-AMMP 309 with a 35% overall yield (Scheme 42).
Scheme 42.
Synthesis of (+)-AMMP 309.
Oxaspiro[n,3,3]propellanes are attractive heterocyclic scaffolds in medicinal chemistry. Their tricyclic structure is present in many natural compounds such as marasmic acid, modhephene and bukittinggine. Many synthetic attempts have been made for the synthesis of oxaspiro[n,3,3]propellanes, but it was still a challenge for many researchers [144,145]. Nassar and Piva [146] in 2021 presented a valuable synthetic route toward the synthesis of oxaspiro[n,3,3]propellane (317). The key steps involved hydroxymethylation (either photochemical or alternative routes consisting of three steps), metal-catalyzed cyclization and Simmons–Smith cyclopropanation. For the synthesis of 315 in high yield, a synthetic route was adopted in which compound 310 was allowed to react with propargyl bromide 311 in the presence of a base under reflux for 4 h to produce compound 312 in 95% and 80% yields, respectively. In the next step, a Wittig reaction was performed to produce compound 313, followed by oxidation in the presence of m-CPBA and dichloromethane, which furnished an inseparable mixture of diastereomers (314 and 314/). Subsequently, compound 314 was treated with HCl, water and DCM to furnish the bicyclic lactone 315. Later, silver-catalyzed cyclization of compound 315 in the presence of benzene at 60 °C yielded compound 316 in a 64% yield. In the last step, the Simmons–Smith cyclopropanation of compound 316 in the presence of diethylzinc and diiodomethane at 40 °C, under reflux condition, furnished our desired compound 317 in a 79% yield (Scheme 43).
Scheme 43.
Synthesis of oxaspiro[n,3,3]propellane 317.
Cibenzoline 321 is an anti-arrhythmic drug. Its structure contains two benzene rings, one imidazoline ring and a cyclopropane ring with a stereogenic carbon [147]. Considering its biological importance, Miura et al. [148] in 2006 performed the synthesis of cibenzoline and its analogues by employing sulfonamide-catalyzed enantioselective Simmons–Smith cyclopropanation. In their methodology, 3,3-diphenyl-2-propen-1-ols 318 was treated with diethyl zinc, diiodomethane and dichloromethane in the presence of a catalytic amount of (S)-phenylalanine-derived disulfonamide 319 to furnish cyclopropylmethanol 320 in an 82% yield with 76% enantioselectivity. Over a few steps, compound 320 was modified into (+)-cibenzoline 321 with a 55% yield (Scheme 44).
Scheme 44.
Synthesis of (+)-cibenzoline 321.
Tranylcypromine and milnacipran (cyclopropane-based amines) are strong antidepressants. Tranylcypromine is also an anxiolytic agent, thus is effective for the treatment of anxiety and mood disorders [149]. Milnacipran is a serotonin and norepinephrine reuptake inhibitor (SNRI). The stereospecific analogues of both these compounds are expected to show more interesting biological and therapeutic activities [150]. In 2013, Ishizuka et al. performed the asymmetric synthesis of (+)-tranylcypromine 326 (in a 22% overall yield) and (−)-milnacipran hydrochloride 331 (in a 14% overall yield) by employing sulfonamide-catalyzed enantioselective Simmons–Smith cyclopropanation as a key step [151]. For the synthesis of (+)-tranylcypromine 326, trans-cinnamyl alcohol 322 (as a starting material) was treated with two equivalents of diethyl zinc, three equivalents of diiodomethane in the presence of sulfonamide catalyst 323 and diiodomethane as a solvent at 0 °C to furnish compound 324 in an 87% yield with 84% ee. After asymmetric sulfonamide Simmons–Smith cyclopropanation, compound 324 was oxidized by using Jones reagent, followed by treatment with diphenylphosphoryl azide to furnish compound 325. The deprotection of compound 325 in the presence of TMSCl resulted in the final product 326 in a 34% yield with 74% ee (Scheme 45).
Scheme 45.
Synthesis of (+)-tranylcypromine 326.
The synthesis of (−)-milnacipran hydrochloride 331 was undertaken by using diol 327 as a starting material. After modification of compound 327 over a few steps, the asymmetric sulfonamide Simmons–Smith cyclopropanation of 328 was performed under the previously mentioned conditions (as for (+)-tranylcypromine 326) to furnish compound 329 in an 87% yield (with 59% ee). The OH group of 329 was converted into the azide, followed by deprotection with tetra butyl ammonium fluoride and subsequent Jones oxidation resulting in compound 330 in a 72% yield. In the next step, the carboxylic functionality of compound 330 was transformed into amide and processed by hydrogenation and subsequent treatment with HCl to produce the desired final product 331 in a 56% yield with 72% ee (Scheme 46).
Scheme 46.
Synthesis of (−)-milnacipran hydrochloride 331.
3. Conclusions
The concise and stereospecific synthesis of cyclopropane-based natural products with exact configuration of their stereogenic centers by employing Simmons–Smith cyclopropanation has been highlighted throughout this review. Previous strategies for Simmons–Smith cyclopropanation were limited to the use of zinc metal along with diiodomethane. With the passage of time, various modifications have been made and reported in the Simmons–Smith reagent, such as the Denmark modification (Et2Zn and ClCH2Cl), Furukawa modification (Et2Zn and CH2Cl2) and Charette modification (bipy. Zn(CH2I)2 complex). However, the synthetic strategies discussed in this review are based on the Furukawa modification (Et2Zn and CH2Cl2). Furukawa-modified Simmons–Smith cyclopropanation is efficient and is the most preferred strategy in modern organic synthesis, as it retains all characteristics (that are present in classical ones) and can be applied over a wide range of temperature. The panoramic features of this reaction entail a broad range of substrate compatibility, hydroxyl-substituted directing effect, good enantiocontrol, minimum handling and purification difficulties, maximum yield and the generation of a complex molecular architecture with desired stereochemistry. The enantioselective synthesis of some polycyclic structures has also been reported by employing Simmons–Smith cyclopropanation via a one-pot synthetic strategy. Although much effort has been put into methodology development, as well as the synthetic applications of Simmons–Smith cyclopropanation, by various research groups, the authors nevertheless believe that there is still a great vacuum in its applications toward pharmaceutically important molecules. Moreover, the Simmons–Smith-cyclopropanation-based synthetic schemes discussed herein would open up new routes toward the synthesis of novel heterocyclic compounds in medicinal chemistry.
Author Contributions
Conceptualization, A.F.Z.; resources, A.F.Z. and A.I. (Ali Irfan) data curation, A.I. (Ali Irfan); writing—original draft preparation, R.M.; writing—review and editing, A.F.Z., A.M., S.J., B.P., A.I. (Ahmad Irfan), S.G.K., A.I. (Ali Irfan), M.M. and K.K.-M.; supervision, A.F.Z.; project administration, A.F.Z.; funding acquisition, M.M. and K.K.-M. All authors have read and agreed to the published version of the manuscript.
Funding
The research was partly financed by research projects: Siedlce University of Natural Sciences and Humanities (UPH/WNSP/ICH/zadaniebadawcze/143/23/B), Medical University of Lublin (DS 730).
Institutional Review Board Statement
Not applicable.
Informed Consent Statement
Not applicable.
Data Availability Statement
All data are contained in the manuscript.
Acknowledgments
Ahmad Irfan extends his appreciation to the Deanship of Scientific Research at King Khalid University for funding through large-group Research Project under grant number RGP2/265/44.
Conflicts of Interest
The authors declare no conflict of interest.
References
- Nakamura, M.; Hirai, A.; Nakamura, E. Reaction pathways of the Simmons−Smith reaction. J. Am. Chem. Soc. 2003, 125, 2341–2350. [Google Scholar] [CrossRef] [PubMed]
- Denmark, S.E.; Edwards, J.P.; Wilson, S.R. Solution and solid-state structure of the “Wittig-Furukawa” cyclopropanation reagent. J. Am. Chem. Soc. 1991, 113, 723–725. [Google Scholar] [CrossRef]
- Charette, A.B.; Juteau, H. Design of amphoteric bifunctional ligands: Application to the enantioselective Simmons-Smith cyclopropanation of allylic alcohols. J. Am. Chem. Soc. 1994, 116, 2651–2652. [Google Scholar] [CrossRef]
- Ukaji, Y.; Sada, K.; Inomata, K. Synthesis of silicon substituted cyclopropylmethyl alcohols in optically active form via asymmetric Simmons-Smith reaction of γ-silicon substituted allylic alcohols. Chem. Lett. 1993, 22, 1227–1230. [Google Scholar] [CrossRef]
- Gonzalez, J.; Gonzalez, J.; Perez-Calleja, C.; Lopez, L.A.; Vicente, R. Zinc-Catalyzed Synthesis of Functionalized Furans and Triarylmethanes from Enynones and Alcohols or Azoles: Dual X–H Bond Activation by Zinc. Angew. Chem. Int. Ed. 2013, 52, 5853–5857. [Google Scholar] [CrossRef]
- Simmons, H.E.; Smith, R.D. A new synthesis of cyclopropanes from olefins. J. Am. Chem. Soc. 1958, 80, 5323–5324. [Google Scholar] [CrossRef]
- Simmons, H.E.; Smith, R.D. A new synthesis of cyclopropanes1. J. Am. Chem. Soc. 1959, 81, 4256–4264. [Google Scholar] [CrossRef]
- Furukawa, J.; Kawabata, N.; Nishimura, J. Synthesis of cyclopropanes by the reaction of olefins with dialkylzinc and methylene iodide. Tetrahedron 1968, 24, 53–58. [Google Scholar] [CrossRef]
- Long, J.; Du, H.; Li, K.; Shi, Y. Catalytic asymmetric Simmons–Smith cyclopropanation of unfunctionalized olefins. Tetrahedron Lett. 2005, 46, 2737–2740. [Google Scholar] [CrossRef]
- Sawada, S.; Oda, J.; Inouye, Y. Partial asymmetric synthesis in the Simmons-Smith reaction. II. J. Org. Chem. 1968, 33, 2141–2143. [Google Scholar] [CrossRef]
- Fujii, K.; Misaki, T.; Sugimura, T. Another Role of Copper in the Simmons–Smith Reaction: Copper-catalyzed Nucleophilic Michael-type Cyclopropanation of α, β-Unsaturated Ketones. Chem. Lett. 2014, 43, 634–636. [Google Scholar] [CrossRef]
- Simmons, H.E.; Blanchard, E.P.; Smith, R.D. Cyclopropane synthesis from methylene iodide, zinc-copper couple, and olefins. III. The methylene-transfer reaction. J. Am. Chem. Soc. 1964, 86, 1347–1356. [Google Scholar] [CrossRef]
- Imamoto, T.; Takeyama, T.; Koto, H. The reaction of carbonyl compounds with diiodomethane in the presence of samarium: Novel syntheses of iodohydrins and cyclopropanols. Tetrahedron Lett. 1985, 27, 3243–3246. [Google Scholar] [CrossRef]
- Friedrich, E.C.; Biresaw, G. Zinc dust-cuprous chloride promoted cyclopropanations of allylic alcohols using ethylidene iodide. J. Org. Chem. 1982, 47, 1615–1618. [Google Scholar] [CrossRef]
- Fujii, K.; Shiine, K.; Misaki, T.; Sugimura, T. Efficient Simmons–Smith cyclopropanation with Zn/Cu and CH2I2. Appl. Organomet. Chem. 2013, 27, 69–72. [Google Scholar] [CrossRef]
- Denmark, S.E.; Edwards, J.P.; Wilson, S.R. Solution-and solid-state structural studies of (halomethyl) zinc reagents. J. Am. Chem. Soc. 1992, 114, 2592–2602. [Google Scholar] [CrossRef]
- Donaldson, W. Synthesis of cyclopropane containing natural products. Tetrahedron 2011, 27, 8589–8627. [Google Scholar] [CrossRef]
- Lu, T.; Hayashi, R.; Hsung, R.P.; DeKorver, K.A.; Lohse, A.G.; Song, Z.; Tang, Y. Synthesis of amido-spiro [2.2] pentanes via Simmons–Smith cyclopropanation of allenamides. Org. Biomol. Chem. 2009, 7, 3331–3337. [Google Scholar] [CrossRef]
- Mali, M.; Sharma, G.V.; Ghosh, S.; Roisnel, T.; Carboni, B.; Berree, F. Simmons–Smith Cyclopropanation of Alkenyl 1, 2-Bis (boronates): Stereoselective Access to Functionalized Cyclopropyl Derivatives. J. Org. Chem. 2022, 87, 7649–7657. [Google Scholar] [CrossRef] [PubMed]
- Pietruszka, J. Synthesis and properties of oligocyclopropyl-containing natural products and model compounds. Chem. Rev. 2003, 103, 1051–1070. [Google Scholar] [CrossRef]
- Wessjohann, L.A.; Brandt, W.; Thiemann, T. Biosynthesis and metabolism of cyclopropane rings in natural compounds. Chem. Rev. 2003, 103, 1625–1648. [Google Scholar] [CrossRef]
- Salaun, J. Cyclopropane derivatives and their diverse biological activities. In Small Ring Compounds in Organic Synthesis; Springer: Berlin/Heidelberg, Germany, 2000; Volume 207, ISBN 978-3-540-48255-0. [Google Scholar] [CrossRef]
- Kim, H.Y.; Walsh, P.J. Tandem catalytic enantio-and diastereoselective synthesis of cyclopropyl alcohols using aryl aldehydes. J. Phys. Org. Chem. 2012, 25, 933–938. [Google Scholar] [CrossRef]
- Long, J.; Yuan, Y.; Shi, Y. Asymmetric Simmons−Smith Cyclopropanation of Unfunctionalized Olefins. J. Am. Chem. Soc. 2003, 125, 13632–13633. [Google Scholar] [CrossRef] [PubMed]
- Arai, I.; Mori, A.; Yamamoto, H. An asymmetric Simmons-Smith reaction. J. Am. Chem. Soc. 1985, 107, 8254–8256. [Google Scholar] [CrossRef]
- Verpoorte, R.; van der Heijden, R.; Moreno, P.R. Biosynthesis of terpenoid indole alkaloids in Catharanthus roseus cells. In The Alkaloids: Chemistry and Pharmacology; Academic Press: Cambridge, MA, USA, 1997; Volume 49, pp. 221–299. [Google Scholar] [CrossRef]
- Sarfraz, I.; Rasul, A.; Hussain, G.; Shah, M.A.; Zahoor, A.F.; Asrar, M.; Selamoglu, Z.; Ji, X.Y.; Adem, S.; Sarker, S.D. 6-Phosphogluconate dehydrogenase fuels multiple aspects of cancer cells: From cancer initiation to metastasis and chemoresistance. BioFactors 2020, 46, 550–562. [Google Scholar] [CrossRef] [PubMed]
- Shahzadi, I.; Zahoor, A.F.; Parveen, B.; Rasul, A.; Raza, Z.; Ahmad, S.; Irfan, A.; El-Hiti, G.A. Acefylline derivatives as a new class of anticancer agents: Synthesis, molecular docking, and anticancer, hemolytic, and thrombolytic activities of acefylline-triazole hybrids. J. Chem. 2022, 2022, 3502872. [Google Scholar] [CrossRef]
- Sears, J.E.; Boger, D.L. Total synthesis of vinblastine, related natural products, and key analogues and development of inspired methodology suitable for the systematic study of their structure–function properties. Acc. Chem. Res. 2015, 48, 653–662. [Google Scholar] [CrossRef]
- Keglevich, P.; Hazai, L.; Kalaus, G.; Szántay, C. Cyclopropanation of some alkaloids. Period. Polytech. Chem. Eng. 2015, 59, 3–15. [Google Scholar] [CrossRef]
- Keglevich, A.; Mayer, S.; Pspai, R.; Szigetvsri, A.; Santa, Z.; Dekany, M.; Szantay, C.; Keglevich, P.; Hazai, L. Attempted synthesis of vinca alkaloids condensed with three-membered rings. Molecules 2018, 23, 2574. [Google Scholar] [CrossRef]
- Kam, T.S.; Yoganathan, K.; Chuah, C.H. Lundurines A, B and C, new indole alkaloids with a novel carbon skeleton containing a cyclopropyl moiety. Tetrahedron Lett. 1995, 36, 759–762. [Google Scholar] [CrossRef]
- Kam, T.S.; Lim, K.H.; Yoganathan, K.; Hayashi, M.; Komiyama, K. Lundurines A–D, cytotoxic indole alkaloids incorporating a cyclopropyl moiety from Kopsia tenuis and revision of the structures of tenuisines A–C. Tetrahedron 2004, 60, 10739–10745. [Google Scholar] [CrossRef]
- Jin, S.; Gong, J.; Qin, Y. Total Synthesis of (−)-Lundurine A and Determination of its Absolute Configuration. Angew. Chem. Int. Ed. 2015, 127, 2256–2259. [Google Scholar] [CrossRef]
- Zhou, Z.F.; Liu, H.L.; Zhang, W.; Kurtan, T.; Mandi, A.; Benyei, A.; Li, J.; Taglialatela-Scafati, O.; Guo, Y.W. Bioactive rearranged limonoids from the Chinese mangrove Xylocarpus granatum Koenig. Tetrahedron 2014, 70, 6444–6449. [Google Scholar] [CrossRef]
- Pan, J.Y.; Chen, S.L.; Li, M.Y.; Li, J.; Yang, M.H.; Wu, J. Limonoids from the Seeds of a Hainan Mangrove, Xylocarpus granatum. J. Nat. Prod. 2010, 73, 1672–1679. [Google Scholar] [CrossRef]
- Schuppe, A.W.; Huang, D.; Chen, Y.; Newhouse, T.R. Total synthesis of (−)-Xylogranatopyridine B via a Palladium-catalyzed oxidative stannylation of enones. J. Am. Chem. Soc. 2018, 140, 2062–2066. [Google Scholar] [CrossRef]
- Munir, I.; Zahoor, A.F.; Rasool, N.; Naqvi, S.A.R.; Zia, K.M.; Ahmad, R. Synthetic applications and methodology development of Chan–Lam coupling: A review. Mol. Divers. 2019, 23, 215–259. [Google Scholar] [CrossRef] [PubMed]
- Zhong, J.; Chen, K.; Qiu, Y.; He, H.; Gao, S. A unified strategy to construct the tetracyclic ring of calyciphylline A alkaloids: Total synthesis of himalensine A. Org. Lett. 2019, 21, 3741–3745. [Google Scholar] [CrossRef] [PubMed]
- Chen, Y.; Hu, J.; Guo, L.D.; Tian, P.; Xu, T.; Xu, J. Synthesis of the core structure of Daphnimacropodines. Org. Lett. 2019, 21, 4309–4312. [Google Scholar] [CrossRef]
- Hanessian, S.; Dorich, S.; Menz, H. Concise and stereocontrolled synthesis of the tetracyclic core of daphniglaucin C. Org. Lett. 2013, 15, 4134–4137. [Google Scholar] [CrossRef]
- Chen, Y.; Guo, L.D.; Xu, J. Synthesis of the tricyclic skeleton of Daphniphyllum alkaloids daphnimacropodines. Tetrahedron Lett. 2021, 71, 153030. [Google Scholar] [CrossRef]
- Nakazawa, J.; Yajima, J.; Usui, T.; Ueki, M.; Takatsuki, A.; Imoto, M.; Toyoshima, Y.Y.; Osada, H. A novel action of terpendole E on the motor activity of mitotic Kinesin Eg5. Chem. Biol. 2003, 10, 131–137. [Google Scholar] [CrossRef]
- Tarui, Y.; Chinen, T.; Nagumo, Y.; Motoyama, T.; Hayashi, T.; Hirota, H.; Muroi, M.; Ishii, Y.; Kondo, H.; Osada, H.; et al. Terpendole E and its Derivative Inhibit STLC-and GSK-1-Resistant Eg5. ChemBioChem 2014, 15, 934–938. [Google Scholar] [CrossRef] [PubMed]
- Teranishi, T.; Murokawa, T.; Enomoto, M.; Kuwahara, S. Synthesis of (±)-terpendole E. Biosci. Biotechnol. Biochem. 2015, 79, 11–15. [Google Scholar] [CrossRef]
- Ogata, M.; Ueda, J.Y.; Hoshi, M.; Hashimoto, J.; Nakashima, T.; Anzai, K.; Takagi, M.; Shin-ya, K. A novel indole-diterpenoid, JBIR-03 with anti-MRSA activity from Dichotomomyces cejpii var. cejpii NBRC 103559. J. Antibiot. 2007, 60, 645–648. [Google Scholar] [CrossRef] [PubMed]
- Qiao, M.F.; Ji, N.Y.; Liu, X.H.; Li, K.; Zhu, Q.M.; Xue, Q.Z. Indoloditerpenes from an algicolous isolate of Aspergillus oryzae. Bioorg. Med. Chem. Lett. 2010, 20, 5677–5680. [Google Scholar] [CrossRef] [PubMed]
- Tetsuro, M.; Masaru, E.; Takaaki, T.; Yusuke, O.; Shigefumi, K. Total synthesis of JBIR-03 and asporyzin C. Tetrahedron Lett. 2018, 59, 4107–4109. [Google Scholar] [CrossRef]
- Liu, G.; Romo, D. Cover Picture: Total Synthesis of (+)-Omphadiol. Angew. Chem. Int. Ed. 2011, 50, 7449. [Google Scholar] [CrossRef]
- Zhou, L.; Yao, Y.; Xu, W.; Liang, G. Total syntheses of (±)-omphadiol and (±)-pyxidatol C through a cis-fused 5, 7-carbocyclic common intermediate. J. Org. Chem. 2014, 79, 5345–5350. [Google Scholar] [CrossRef]
- Parthasarathy, G.; Eggert, U.; Kalesse, M. Synthesis of (+)-Omphadiol and (+)-Pyxidatol C. Org. Lett. 2016, 18, 2320–2322. [Google Scholar] [CrossRef]
- McMorris, T.C.; Lira, R.; Gantzel, P.K.; Kelner, M.J.; Dawe, R. Sesquiterpenes from the Basidiomycete Omphalotus i lludens. J. Nat. Prod. 2000, 63, 1557–1559. [Google Scholar] [CrossRef]
- Zheng, Y.B.; Lu, C.H.; Zheng, Z.H.; Lin, X.J.; Su, W.J.; Shen, Y.M. New sesquiterpenes from edible fungus Clavicorona pyxidata. Helv. Chim. Acta 2008, 91, 2174–2180. [Google Scholar] [CrossRef]
- Osler, J.D.; Unsworth, W.P.; Taylor, R.J. Synthetic Studies towards the Africanane Sesquiterpenes via the Cope Rearrangement of gem-Dimethyl-Substituted Divinyl Cyclopropanes. Synlett 2016, 27, 70–74. [Google Scholar] [CrossRef]
- Singh, V.; Thomas, B. Recent developments in general methodologies for the synthesis of linear triquinanest. Tetrahedron 1998, 54, 3647–3692. [Google Scholar] [CrossRef]
- Mehta, G.; Srikrishna, A. Synthesis of polyquinane natural products: An update. Chem. Rev. 1997, 97, 671–720. [Google Scholar] [CrossRef] [PubMed]
- Jiao, L.; Yuan, C.; Yu, Z.X. Tandem Rh (I)-catalyzed [(5+ 2)+ 1] cycloaddition/aldol reaction for the construction of linear triquinane skeleton: Total syntheses of (±)-hirsutene and (±)-1-desoxyhypnophilin. J. Am. Chem. Soc. 2008, 130, 4421–4430. [Google Scholar] [CrossRef] [PubMed]
- Yang, S.P.; Gao, Z.B.; Wang, F.D.; Liao, S.G.; Chen, H.D.; Zhang, C.R.; Hu, G.Y.; Yue, J.M. Chlorahololides A and B, two potent and selective blockers of the potassium channel isolated from Chloranthus holostegius. Org. Lett. 2007, 9, 903–906. [Google Scholar] [CrossRef]
- Liu, Y.; Nan, F.J. Synthetic studies towards Chlorahololides A: Practical synthesis of a lindenane-type sesquiterpenoid core framework with a 5, 6-double bond. Tetrahedron Lett. 2010, 51, 1374–1376. [Google Scholar] [CrossRef]
- Qian, S.; Zhao, G. Synthetic studies toward the total synthesis of Chlorahololide A. Synlett 2011, 722–724. [Google Scholar] [CrossRef]
- Zhan, Z.J.; Ying, Y.M.; Ma, L.F.; Shan, W.G. Natural disesquiterpenoids. Nat. Prod. Rep. 2011, 28, 594–629. [Google Scholar] [CrossRef]
- Takeda, Y.; Yamashita, H.; Matsumoto, T.; Terao, H. Chloranthalactone F, a sesquiterpenoid from the leaves of Chloranthus glaber. Phytochemistry 1993, 33, 713–715. [Google Scholar] [CrossRef]
- Qian, S.; Zhao, G. Total synthesis of (+)-chloranthalactone F. Chem. Commun. 2012, 48, 3530–3532. [Google Scholar] [CrossRef] [PubMed]
- Kashiwabara, M.; Kamo, T.; Makabe, H.; Shibata, H.; Hirota, M. Repraesentins D, E and F, new plant growth promoters from Lactarius repraesentaneus. Biosci. Biotechnol. Biochem. 2006, 70, 1502–1505. [Google Scholar] [CrossRef] [PubMed]
- Hirota, M.; Shimizu, Y.; Kamo, T.; Makabe, H.; Shibata, H. New plant growth promoters, repraesentins A, B and C, from Lactarius repraesentaneus. Biosci. Biotechnol. Biochem. 2003, 67, 1597–1600. [Google Scholar] [CrossRef] [PubMed]
- Ferrer, S.; Echavarren, A.M. Total synthesis of repraesentin F and configuration reassignment by a gold (I)-catalyzed cyclization cascade. Org. Lett. 2018, 20, 5784–5788. [Google Scholar] [CrossRef]
- Khatri Chhetri, B.; Lavoie, S.; Sweeney-Jones, A.M.; Mojib, N.; Raghavan, V.; Gagaring, K.; Dale, B.; McNamara, C.W.; Soapi, K.; Quave, C.L.; et al. Peyssonnosides A–B, unusual diterpene glycosides with a sterically encumbered cyclopropane motif: Structure elucidation using an integrated spectroscopic and computational workflow. J. Org. Chem. 2019, 84, 8531–8541. [Google Scholar] [CrossRef]
- Ebner, C.; Carreira, E.M. Cyclopropanation strategies in recent total syntheses. Chem. Rev. 2017, 117, 11651–11679. [Google Scholar] [CrossRef] [PubMed]
- Chesnokov, G.A.; Gademann, K. Concise Total Synthesis of Peyssonnoside A. J. Am. Chem. Soc. 2021, 143, 14083–14088. [Google Scholar] [CrossRef]
- Justice, M.C.; Hsu, M.J.; Tse, B.; Ku, T.; Balkovec, J.; Schmatz, D.; Nielsen, J. Elongation factor 2 as a novel target for selective inhibition of fungal protein synthesis. J. Biol. Chem. 1998, 273, 3148–3151. [Google Scholar] [CrossRef]
- Quesnelle, C.A.; Gill, P.; Dodier, M.; Laurent, D.S.; Serrano-Wu, M.; Marinier, A.; Martel, A.; Mazzucco, C.E.; Stickle, T.M.; Barrett, J.F.; et al. Sordaricin antifungal agents. Bioorg. Med. Chem. Lett. 2003, 13, 519–524. [Google Scholar] [CrossRef] [PubMed]
- Chiba, S.; Kitamura, M.; Narasaka, K. Synthesis of (−)-sordarin. J. Am. Chem. Soc. 2006, 128, 6931–6937. [Google Scholar] [CrossRef]
- Block, S.; Gerkens, P.; Peulen, O.; Jolois, O.; Mingeot-Leclercq, M.P.; De Pauw-gillet, M.C.; Quetin-Leclercq, J. Induction of apoptosis in human promyelocytic leukemia cells by a natural trachylobane diterpene. Anticancer Res. 2005, 25, 363–368. [Google Scholar] [PubMed]
- Block, S.; Baccelli, C.; Tinant, B.; Van Meervelt, L.; Rozenberg, R.; Jiwan, J.L.H.; Llabres, G.; Pauw-Gillet, M.C.D.; Quetin-Leclercq, J. Diterpenes from the leaves of Croton zambesicus. Phytochemistry 2004, 65, 1165–1171. [Google Scholar] [CrossRef]
- Abad, A.; Agullo, C.; Cunat, A.C.; de Alfonso Marzal, I.; Navarro, I.; Gris, A. A unified synthetic approach to trachylobane-, beyerane-, atisane-and kaurane-type diterpenes. Tetrahedron 2006, 62, 3266–3283. [Google Scholar] [CrossRef]
- Eddy, N.A.; Fenteany, G. Model studies directed to the synthesis of cucurbitacin IC/D rings. Tetrahedron Lett. 2015, 56, 5079–5081. [Google Scholar] [CrossRef]
- Chen, J.C.; Chiu, M.H.; Nie, R.L.; Cordell, G.A.; Qiu, S.X. Cucurbitacins and cucurbitane glycosides: Structures and biological activities. Nat. Prod. Rep. 2005, 22, 386–399. [Google Scholar] [CrossRef] [PubMed]
- Ramalhete, C.; Molnar, J.; Mulhovo, S.; Rosario, V.E.; Ferreira, M.J.U. New potent P-glycoprotein modulators with the cucurbitane scaffold and their synergistic interaction with doxorubicin on resistant cancer cells. Bioorg. Med. Chem. 2009, 17, 6942–6951. [Google Scholar] [CrossRef] [PubMed]
- Bucknam, A.R.; Micalizio, G.C. Asymmetric de novo synthesis of a cucurbitane triterpenoid: Total synthesis of octanorcucurbitacin B. J. Am. Chem. Soc. 2022, 144, 8493–8497. [Google Scholar] [CrossRef] [PubMed]
- Ghany, M.G.; Strader, D.B.; Thomas, D.L.; Seeff, L.B. Diagnosis, management, and treatment of hepatitis C: An update. Hepatology 2009, 49, 1335–1374. [Google Scholar] [CrossRef] [PubMed]
- Johannsen, F.R.; Levinskas, G.J. Subchronic toxicity of tetramethylsuccinonitrile. Fundam. Appl. Toxicol. 1986, 7, 41–48. [Google Scholar] [CrossRef]
- Young, I.S.; Qiu, Y.; Smith, M.J.; Hay, M.B.; Doubleday, W.W. Preparation of a tricyclopropylamino acid derivative via Simmons–Smith cyclopropanation with downstream intramolecular aminoacetoxylation for impurity control. Org. Process Res. Dev. 2016, 20, 2108–2115. [Google Scholar] [CrossRef]
- Tandon, M.; Wu, M.; Begley, T.P.; Myllyharju, J.; Pirskanen, A.; Kivirikko, K. Substrate specificity of human prolyl-4-hydroxylase. Bioorg. Med. Chem. Lett. 1998, 8, 1139–1144. [Google Scholar] [CrossRef] [PubMed]
- Grygorenko, O.O.; Radchenko, D.S.; Volochnyuk, D.M.; Tolmachev, A.A.; Komarov, I.V. Bicyclic conformationally restricted diamines. Chem. Rev. 2011, 111, 5506–5568. [Google Scholar] [CrossRef] [PubMed]
- Tymtsunik, A.V.; Bilenko, V.A.; Ivon, Y.M.; Grygorenko, O.O.; Komarov, I.V. Synthesis of a novel Boc-protected cyclopropane-modified proline analogue. Tetrahedron Lett. 2012, 53, 3847–3849. [Google Scholar] [CrossRef]
- Savage, S.A.; Jones, G.S.; Kolotuchin, S.; Ramrattan, S.A.; Vu, T.; Waltermire, R.E. Preparation of saxagliptin, a novel DPP-IV inhibitor. Org. Process Res. Dev. 2009, 13, 1169–1176. [Google Scholar] [CrossRef]
- Oliveira, D.F.; Miranda, P.C.; Correia, C.R. Efficient and expeditious protocols for the synthesis of racemic and enantiomerically pure endocyclic enecarbamates from N-acyl lactams and N-acyl pyrrolidines. J. Org. Chem. 1999, 64, 6646–6652. [Google Scholar] [CrossRef]
- Tymtsunik, A.V.; Ivon, Y.M.; Komarov, I.V.; Grygorenko, O.O. Synthesis of Boc-protected 4, 5-methano-β-proline. Tetrahedron Lett. 2014, 55, 3312–3315. [Google Scholar] [CrossRef]
- Rizzo, S.; Waldmann, H. Development of a Natural-Product-Derived Chemical Toolbox for Modulation of Protein Function. Chem. Rev. 2014, 114, 4621–4639. [Google Scholar] [CrossRef]
- Spiteller, P.; Von Nussbaum, F. β-Amino Acids in Natural Products. In Enantioselective Synthesis of β-Amino Acids; John Wiley & Sons: Hoboken, NJ, USA, 2005; pp. 19–91. [Google Scholar] [CrossRef]
- Tymtsunik, A.V.; Ivon, Y.M.; Komarov, I.V.; Grygorenko, O.O. Synthesis of racemic and enantiopure 3, 4-methanonipecotic acid. Tetrahedron Asymmetry 2015, 26, 1268–1272. [Google Scholar] [CrossRef]
- Frantz, M.C.; Wipf, P. Mitochondria as a target in treatment. Environ. Mol. Mutagen. 2010, 51, 462–475. [Google Scholar] [CrossRef]
- Epperly, M.W.; Goff, J.P.; Li, S.; Gao, X.; Wipf, P.; Dixon, T.; Wang, H.; Franicola, D.; Shen, H.; Rwigema, J.C.M.; et al. Intraesophageal administration of GS-nitroxide (JP4-039) protects against ionizing irradiation-induced esophagitis. In Vivo 2010, 24, 811–819. [Google Scholar]
- Frantz, M.C.; Pierce, J.G.; Pierce, J.M.; Kangying, L.; Qingwei, W.; Johnson, M.; Wipf, P. Large-scale asymmetric synthesis of the bioprotective agent JP4-039 and analogs. Org. Lett. 2011, 13, 2318–2321. [Google Scholar] [CrossRef] [PubMed]
- Tkachenko, A.N.; Radchenko, D.S.; Mykhailiuk, P.K.; Grygorenko, O.O.; Komarov, I.V. 4-Fluoro-2, 4-methanoproline. Org. Lett. 2009, 11, 5674–5676. [Google Scholar] [CrossRef] [PubMed]
- Gao, M.; Nettles, R.E.; Belema, M.; Snyder, L.B.; Nguyen, V.N.; Fridell, R.A.; Serrano-Wu, M.H.; Langley, D.R.; Sun, J.H.; O’Boyle, D.R.; et al. Chemical genetics strategy identifies an HCV NS5A inhibitor with a potent clinical effect. Nature 2010, 465, 96–100. [Google Scholar] [CrossRef] [PubMed]
- Wang, G.; James, C.A.; Meanwell, N.A.; Hamann, L.G.; Belema, M. A scalable synthesis of (1R, 3S, 5R)-2-(tert-butoxycarbonyl)-2-azabicyclo [3.1. 0] hexane-3-carboxylic acid. Tetrahedron Lett. 2013, 54, 6722–6724. [Google Scholar] [CrossRef]
- Saenger, W. Defining terms for the nucleic acids. In Principles of Nucleic Acid Structure; Springer: New York, NY, USA, 1984; pp. 9–28. [Google Scholar] [CrossRef]
- Gagneron, J.; Gosselin, G.; Mathe, C. Synthesis of nucleoside analogues bearing the five naturally occurring nucleic acid bases built on a 2-oxabicylo [3.1. 0] hexane scaffold. J. Org. Chem. 2005, 70, 6891–6897. [Google Scholar] [CrossRef]
- Toti, K.S.; Osborne, D.; Ciancetta, A.; Boison, D.; Jacobson, K.A. South (S)-and North (N)-methanocarba-7-deazaadenosine analogues as inhibitors of human adenosine kinase. J. Med. Chem. 2016, 59, 6860–6877. [Google Scholar] [CrossRef]
- An, S.; Kim, G.; Kim, H.J.; Ahn, S.; Kim, H.Y.; Ko, H.; Hyun, Y.E.; Nguyen, M.; Joeng, J.; Liu, Z.; et al. Discovery and structure–activity relationships of novel template, truncated 1′-homologated adenosine derivatives as pure dual PPARγ/δ modulators. J. Med. Chem. 2020, 63, 16012–16027. [Google Scholar] [CrossRef]
- Rasool, I.; Ahmad, M.; Khan, Z.A.; Mansha, A.; Maqbool, T.; Zahoor, A.F.; Aslam, S. Recent advancements in oxadiazole-based anticancer agents. Trop. J. Pharm. Res. 2017, 16, 723–733. [Google Scholar] [CrossRef]
- Hyun, Y.E.; Kim, H.R.; Jeong, L.S. Stereoselective Synthesis of (S)-and (N)-Cyclopropyl-Fused Carbocyclic Nucleosides using stereoselective cyclopropanation. J. Org. Chem. 2021, 86, 9828–9837. [Google Scholar] [CrossRef]
- Munawar, S.; Zahoor, A.F.; Ali, S.; Javed, S.; Irfan, M.; Irfan, A.; Mojzych, K.K.; Mojzych, M. Mitsunobu Reaction: A Powerful Tool for the Synthesis of Natural Products: A Review. Molecules 2022, 27, 6953. [Google Scholar] [CrossRef]
- Bessieres, M.; Chevrier, F.; Roy, V.; Agrofoglio, L.A. Recent progress for the synthesis of selected carbocyclic nucleosides. Future Med. Chem. 2015, 7, 1809–1828. [Google Scholar] [CrossRef]
- Singh, U.S.; Mulamoottil, V.A.; Chu, C.K. 2′-Fluoro-6′-methylene carbocyclic adenosine and its phosphoramidate prodrug: A novel anti-HBV agent, active against drug-resistant HBV mutants. Med. Res. Rev. 2018, 38, 977–1002. [Google Scholar] [CrossRef]
- Singh, U.S.; Chu, C.K. Synthesis of 2′-deoxy-2′-fluoro-2′-C-methyl spiro cyclopentyl carbocyclic uridine analog as potential inhibitors of HCV NS5B polymerase. Nucleosides Nucleotides Nucleic Acids 2020, 39, 52–68. [Google Scholar] [CrossRef] [PubMed]
- Lee, L.Y.; Tong, C.Y.W.; Wong, T.; Wilkinson, M. New therapies for chronic hepatitis C infection: A systematic review of evidence from clinical trials. Int. J. Clin. Pract. 2012, 66, 342–355. [Google Scholar] [CrossRef]
- Suhara, Y.; Nihei, K.I.; Kurihara, M.; Kittaka, A.; Yamaguchi, K.; Fujishima, T.; Kommo, K.; Miyata, N.; Takayama, H. Efficient and versatile synthesis of novel 2α-substituted 1α, 25-dihydroxyvitamin D3 analogues and their docking to vitamin D receptors. J. Org. Chem. 2001, 66, 8760–8771. [Google Scholar] [CrossRef] [PubMed]
- Komsta, Z.; Mayes, B.A.; Moussa, A.; Shelbourne, M.; Stewart, A.; Tyrrell, A.J.; Wallis, L.L.; Weymouth-Wilson, A.C.; Yurek-George, A. Stereoselective Cyclopropanation in the Synthesis of 3′-Deoxy-3′-C-hydroxymethyl-2′, 3′-methylene-uridine. Org. Lett. 2014, 16, 4878–4880. [Google Scholar] [CrossRef] [PubMed]
- Chaudhuri, S.; Symons, J.A.; Deval, J. Innovation and trends in the development and approval of antiviral medicines: 1987–2017 and beyond. Antivir. Res. 2018, 155, 76–88. [Google Scholar] [CrossRef]
- Panayides, J.L.; Mathieu, V.; Banuls, L.M.Y.; Apostolellis, H.; Dahan-Farkas, N.; Davids, H.; Harmse, L.; Rey, M.E.C.; Green, I.R.; Pelly, S.C.; et al. Synthesis and in vitro growth inhibitory activity of novel silyl-and trityl-modified nucleosides. Bioorg. Med. Chem. 2016, 24, 2716–2724. [Google Scholar] [CrossRef]
- Kollmann, C.; Wiechert, S.M.; Jones, P.G.; Pietschmann, T.; Werz, D.B. Synthesis of 4′/5′-Spirocyclopropanated Uridine and d-Xylouridine Derivatives and Their Activity against the Human Respiratory Syncytial Virus. Org. Lett. 2019, 21, 6966–6971. [Google Scholar] [CrossRef]
- Qiu, Y.L.; Ksebati, M.B.; Ptak, R.G.; Fan, B.Y.; Breitenbach, J.M.; Lin, J.S.; Cheng, Y.C.; Kern, E.R.; Drach, J.C.; Zemlicka, J. (Z)-and (E)-2-((hydroxymethyl) cyclopropylidene) methyladenine and-guanine. New nucleoside analogues with a broad-spectrum antiviral activity. J. Med. Chem. 1998, 41, 10–23. [Google Scholar] [CrossRef]
- Kim, A.; Hong, J.H. Synthesis and antiviral activity of C-fluoro-branched cyclopropyl nucleosides. Eur. J. Med. Chem. 2007, 42, 487–493. [Google Scholar] [CrossRef] [PubMed]
- Giacometti, R.D.; Salinas, J.C.; Ostergaard, M.E.; Swayze, E.E.; Seth, P.P.; Hanessian, S. Design, synthesis, and duplex-stabilizing properties of conformationally constrained tricyclic analogues of LNA. Org. Biomol. Chem. 2016, 14, 2034–2040. [Google Scholar] [CrossRef] [PubMed]
- Khvorova, A.; Watts, J.K. The chemical evolution of oligonucleotide therapies of clinical utility. Nat. Biotechnol. 2017, 35, 238–248. [Google Scholar] [CrossRef] [PubMed]
- Hari, Y.; Osawa, T.; Obika, S. Synthesis and duplex-forming ability of oligonucleotides containing 4′-carboxythymidine analogs. Org. Biomol. Chem. 2012, 10, 9639–9649. [Google Scholar] [CrossRef]
- Yamaguchi, T.; Yamamoto, C.; Horiba, M.; Aoyama, H.; Obika, S. Synthesis and duplex-forming ability of oligonucleotides modified with 4′-C, 5′-C-methylene-bridged nucleic acid (4′, 5′-BNA). Bioorg. Med. Chem. 2021, 46, 116359. [Google Scholar] [CrossRef]
- Mohapatra, D.K.; Guguloth, N.; Yadav, J.S. The first asymmetric total syntheses of 3 ((1R, 2R)-and 3 ((1S, 2R)-2-(12-methyltridecyl) cyclopropyl) propanoic acid. Tetrahedron Lett. 2012, 53, 6718–6720. [Google Scholar] [CrossRef]
- Hegde, V.R.; Pu, H.; Patel, M.; Das, P.R.; Strizki, J.; Gullo, V.P.; Chou, C.C.; Buevich, A.V.; Chan, T.M. Three new compounds from the plant Lippia alva as inhibitors of chemokine receptor 5 (CCR5). Bioorg. Med. Chem. Lett. 2004, 14, 5339–5342. [Google Scholar] [CrossRef]
- Mohapatra, D.K.; Kanikarapu, S.; Naidu, P.R.; Yadav, J.S. Toward the synthesis of brevipolide H. Tetrahedron Lett. 2016, 56, 1041–1044. [Google Scholar] [CrossRef]
- Gesinski, M.R.; Rychnovsky, S.D. Total synthesis of the cyanolide A aglycon. J. Am. Chem. Soc. 2011, 133, 9727–9729. [Google Scholar] [CrossRef]
- Trost, B.M.; Quintard, A. Asymmetric Catalytic Alkynylation of Acetaldehyde: Application to the Synthesis of (+)-Tetrahydropyrenophorol. Angew. Chem. Int. Ed. 2012, 124, 6808–6812. [Google Scholar] [CrossRef]
- Ralston, K.J.; Ramstadius, H.C.; Brewster, R.C.; Niblock, H.S.; Hulme, A.N. Self-Assembly of Disorazole C1 through a One-Pot Alkyne Metathesis Homodimerization Strategy. Angew. Chem. Int. Ed. 2015, 127, 7192–7196. [Google Scholar] [CrossRef][Green Version]
- Haydl, A.M.; Breit, B. Atom-Economical Dimerization Strategy by the Rhodium-Catalyzed Addition of Carboxylic Acids to Allenes: Protecting-Group-Free Synthesis of Clavosolide A and Late-Stage Modification. Angew. Chem. Int Ed. 2015, 127, 15750–15754. [Google Scholar] [CrossRef]
- Salim, H.; Piva, O. Sequential cross-metathesis/cyclopropanation: Short syntheses of (+/−)-cascarillic acid and (+/−)-grenadamide. Tetrahedron Lett. 2007, 48, 2059–2062. [Google Scholar] [CrossRef]
- Seo, Y.; Cho, K.W.; Rho, J.R.; Shin, J.; Kwon, B.M.; Bok, S.H.; Song, J.I. Solandelactones AI, lactonized cyclopropyl oxylipins isolated from the hydroid Solanderia secunda. Tetrahedron 1996, 52, 10583–10596. [Google Scholar] [CrossRef]
- White, J.D.; Lincoln, C.M.; Yang, J.; Martin, W.H.; Chan, D.B. Total Synthesis of Solandelactones A, B, E, and F Exploiting a Tandem Petasis− Claisen Lactonization Strategy. J. Org. Chem. 2008, 73, 4139–4150. [Google Scholar] [CrossRef]
- Carballeira, N.M.; Montano, N.; Vicente, J.; Rodriguez, A.D. Novel cyclopropane fatty acids from the phospholipids of the Caribbean sponge Pseudospongosorites suberitoides. Lipids 2007, 42, 519–524. [Google Scholar] [CrossRef]
- Carballeira, N.M.; Montano, N.; Reguera, R.M.; Balana-Fouce, R. The first total synthesis of the (±)-17-methyl-trans-4, 5-methyleneoctadecanoic acid and related analogs with antileishmanial activity. Tetrahedron Lett. 2010, 51, 6153–6155. [Google Scholar] [CrossRef][Green Version]
- Deveraux, Q.L.; Reed, J.C. IAP family proteins—Suppressors of apoptosis. Genes Dev. 1999, 13, 239–252. [Google Scholar] [CrossRef]
- Erdogan, M.; Daştan, A. Synthesis of N-substituted dibenzoazepine–pyridazine derivatives as potential neurologically active drugs. Synth. Commun. 2020, 50, 3845–3853. [Google Scholar] [CrossRef]
- Asano, M.; Hashimoto, K.; Saito, B.; Shiokawa, Z.; Sumi, H.; Yabuki, M.; Yoshimatsu, M.; Aoyama, K.; Hamada, T.; Morishita, N.; et al. Design, stereoselective synthesis, and biological evaluation of novel tri-cyclic compounds as inhibitor of apoptosis proteins (IAP) antagonists. Bioorg. Med. Chem. 2013, 21, 5725–5737. [Google Scholar] [CrossRef]
- Singh, H.; Gupta, N.; Kumar, P.; Dubey, S.K.; Sharma, P.K. A new industrial process for 10-methoxyiminostilbene: Key intermediate for the synthesis of oxcarbazepine. Org. Process Res. Dev. 2009, 13, 870–874. [Google Scholar] [CrossRef]
- Tian, M.; Abdelrahman, A.; Weinhausen, S.; Hinz, S.; Weyer, S.; Dosa, S.; El-Tayeb, A.; Muller, C.E. Carbamazepine derivatives with P2X4 receptor-blocking activity. Bioorg. Med. Chem. 2014, 22, 1077–1088. [Google Scholar] [CrossRef]
- Werth, J.; Uyeda, C. Cobalt-catalyzed Reductive Dimethylcyclopropanation of 1, 3-dienes. Angew. Chem. Int. Ed. 2018, 57, 13902–13906. [Google Scholar] [CrossRef] [PubMed]
- Bali, M.; Akabas, M.H. Defining the propofol binding site location on the GABAA receptor. Mol. Pharm. 2004, 65, 68–76. [Google Scholar] [CrossRef]
- White, P.F.; Warner, D.S. Propofol: Its role in changing the practice of anesthesia. Anesthesiologists 2008, 109, 1132–1136. [Google Scholar] [CrossRef]
- Zhang, X.; Yu, S.; Liu, Z.; Long, Y.; Zhao, J.; Xu, W.; Zhang, H. Development of a Kilogram-Scale Route for Clinical Sample Production of the Intravenous Anesthetic Cipepofol. Org. Process Res. Dev. 2022, 26, 1054–1062. [Google Scholar] [CrossRef]
- Majounie, E.; Abramzon, Y.; Renton, A.E.; Perry, R.; Bassett, S.S.; Pletnikova, O.; Traynor, B.J. Repeat expansion in C9ORF72 in Alzheimer’s disease. N. Engl. J. Med. 2012, 366, 283–284. [Google Scholar] [CrossRef] [PubMed]
- Marrazzo, A.; Prezzavento, O.; Pappalardo, M.S.; Bousquet, E.; Iadanza, M.; Pike, V.W.; Ronsisvalle, G. Synthesis of (+)-and (−)-cis-2-[(1-adamantylamino)-methyl]-1-phenylcyclopropane derivatives as high affinity probes for σ1 and σ2 binding sites. Il Farm. 2002, 57, 45–53. [Google Scholar] [CrossRef]
- Kawashima, Y.; Ezawa, T.; Yamamura, M.; Harada, T.; Noguchi, T.; Imai, N. Convenient synthesis of (+)-cis-4-(N-adamantyl-N-methylamino)-2, 3-methano-2-phenylbutan-1-ol as a candidate of anti-Alzheimer’s medicine via catalytic enantioselective Simmons–Smith reaction using l-phenylalanine-derived disulfonamide. Tetrahedron Lett. 2016, 57, 668–671. [Google Scholar] [CrossRef]
- Dilmaç, A.M.; Wezeman, T.; Bsr, R.M.; Brase, S. Occurrence, synthesis and applications of natural and designed [3.3. 3] propellanes. Nat. Prod. Rep. 2020, 37, 224–245. [Google Scholar] [CrossRef]
- Belzner, J.; Gareib, B.; Polborn, K.; Schmid, W.; Semmler, K.; Szeimies, G. Synthesen substituierter [1.1. 1] Propellane. Chem. Berichte 1989, 122, 1509–1529. [Google Scholar] [CrossRef]
- Nassar, Y.; Piva, O. A short route to access oxaspiro [n, 3, 3] propellanes. Org. Biomol. Chem. 2020, 18, 5811–5815. [Google Scholar] [CrossRef] [PubMed]
- Martin, E.; Quinke, K.; Spahn, H.; Mutschler, E. (−)-(S)-Flunoxaprofen and (−)-(S)-naproxen isocyanate: Two new fluorescent chiral derivatizing agents for an enantiospecific determination of primary and secondary amines. Chirality 1989, 1, 223–234. [Google Scholar] [CrossRef] [PubMed]
- Miura, T.; Murakami, Y.; Imai, N. Syntheses of (R)-(+)-cibenzoline and analogues via catalytic enantioselective cyclopropanation using (S)-phenylalanine-derived disulfonamide. Tetrahedron Asymmetry 2006, 17, 3067–3069. [Google Scholar] [CrossRef]
- Burger, A.; Yost, W.L. Arylcycloalkylamines. I. 2-phenylcyclopropylamine. J. Am. Chem. Soc. 1948, 70, 2198–2201. [Google Scholar] [CrossRef]
- Alliot, J.; Gravel, E.; Pillon, F.; Buisson, D.A.; Nicolas, M.; Doris, E. Enantioselective synthesis of levomilnacipran. Chem. Commun. 2012, 48, 8111–8113. [Google Scholar] [CrossRef]
- Ishizuka, Y.; Fujimori, H.; Noguchi, T.; Kawasaki, M.; Kishida, M.; Nagai, T.; Imai, N.; Kirihara, M. Asymmetric Syntheses of Pharmaceuticals Containing a Cyclopropane Moiety Using Catalytic Asymmetric Simmons–Smith Reactions of Allylalcohols: Syntheses of Optically Active Tranylcypromine and Milnacipran. Chem. Lett. 2013, 42, 1311–1313. [Google Scholar] [CrossRef]
Disclaimer/Publisher’s Note: The statements, opinions and data contained in all publications are solely those of the individual author(s) and contributor(s) and not of MDPI and/or the editor(s). MDPI and/or the editor(s) disclaim responsibility for any injury to people or property resulting from any ideas, methods, instructions or products referred to in the content. |
© 2023 by the authors. Licensee MDPI, Basel, Switzerland. This article is an open access article distributed under the terms and conditions of the Creative Commons Attribution (CC BY) license (https://creativecommons.org/licenses/by/4.0/).
















































