Comparative Analysis of Chemical Composition of Zanthoxylum myriacanthum Branches and Leaves by GC-MS and UPLC-Q-Orbitrap HRMS, and Evaluation of Their Antioxidant Activities
Abstract
1. Introduction
2. Results
2.1. GC-MS Analysis of Volatile Components from Branches and Leaves of Z. myriacanthum
2.2. UPLC-Q-Orbitrap HRMS Analysis of Non-Volatile Components from Branches and Leaves of Z. myriacanthum
2.3. Comparison of Constituents of Branches and Leaves of Z. myriacanthum
2.3.1. Comparison of Volatile Components
2.3.2. Comparison of Non-Volatile Components
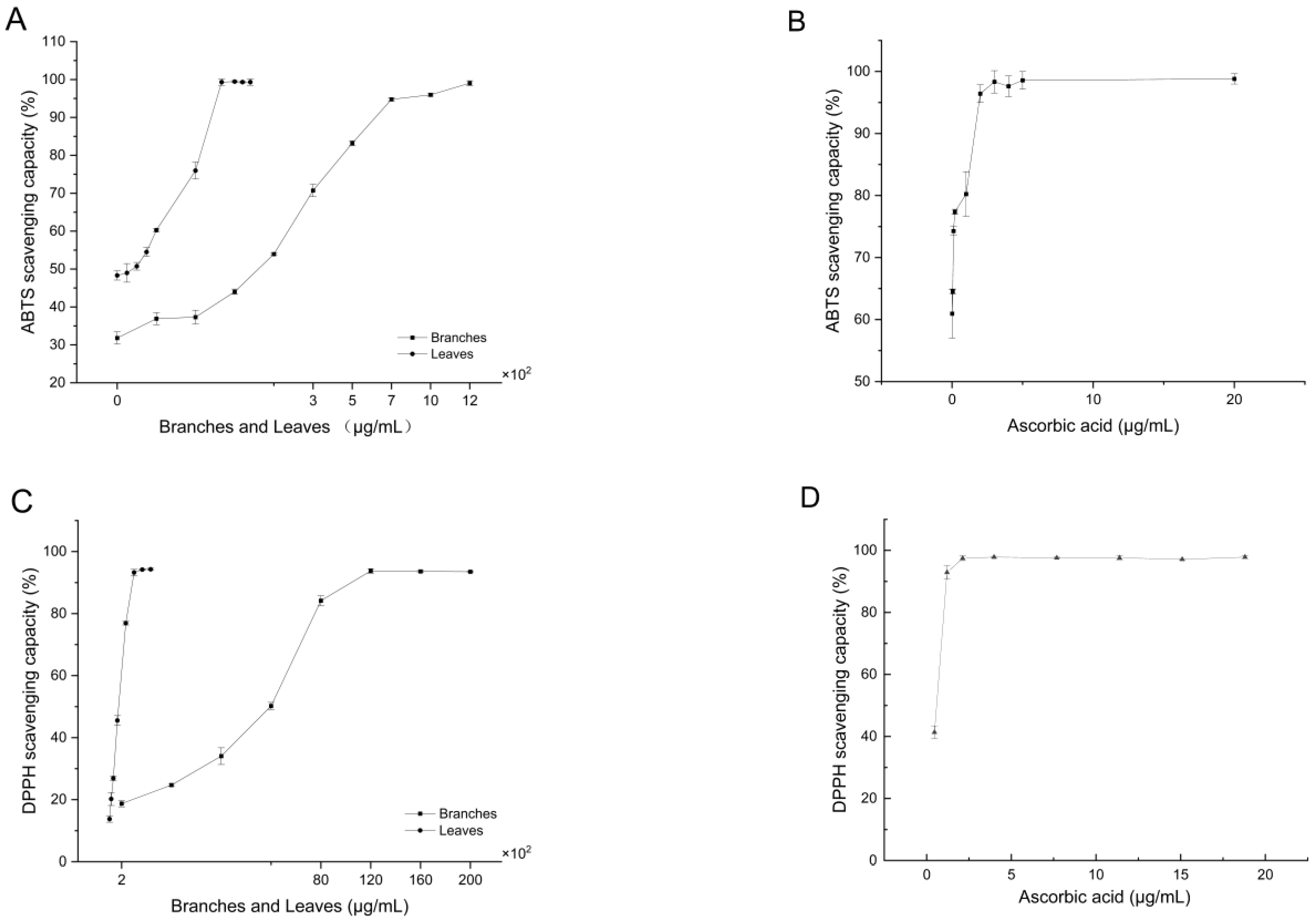
2.4. Antioxidant Activity
3. Discussion
4. Materials and Methods
4.1. Plant Material and Extraction
4.1.1. Plant Material
4.1.2. Hydro-Distillation of Volatile Components and Preparation of Methanol Extracts
4.2. The Main Chemicals and Reagents
4.3. GC-MS Analysis
4.3.1. Instrumentation and Conditions
4.3.2. Data Analysis and Identification of Compounds
4.4. UPLC-Q-Orbitrap HRMS Analysis
4.4.1. Instrumentation and Conditions
4.4.2. Data Analysis and Identification of Compounds
4.5. Antioxidant Activity
4.5.1. ABTS Radical Scavenging Assay
4.5.2. DPPH Radical Scavenging Assay
4.5.3. Statistical Analysis
5. Conclusions
Supplementary Materials
Author Contributions
Funding
Institutional Review Board Statement
Informed Consent Statement
Data Availability Statement
Conflicts of Interest
Sample Availability
References
- Editorial Committee of Flora of China, Chinese Academy of Sciences. Flora of China, 1st ed.; Science Press: Beijing, China, 1997; Volume 43, pp. 36–37. [Google Scholar]
- Dong, L.H.; Guo, J.; Zhang, H.X. Chemical Composition and Anti–Inflammatory Effects of Essential Oil of Maqian (Zanthoxylum myriacanthum var. pubescens Huang) Collected in Three Locations of Xishuangbanna, Yunnan. Nat. Prod. Res. Dev. 2017, 29, 425–430. [Google Scholar]
- Zhang, H.L.; Gan, X.Q.; Fan, Q.F.; Yang, J.J.; Zhang, P.; Hu, H.B.; Song, Q.S. Chemical constituents and anti-inflammatory activities of Maqian (Zanthoxylum myriacanthum var. pubescens) bark extracts. Sci. Rep. 2017, 7, 45805. [Google Scholar] [PubMed]
- Suksathan, R.; Trisonthi, C.; Trisonthi, P.; Wangpakapattanawong, P. Notes on spice plants in the genus Zanthoxylum (Rutaceae) in northern Thailand. Thai For. Bull. 2009, 37, 197–204. [Google Scholar]
- Sriwichai, T.; Sookwong, P.; Siddiqui, M.W.; Sommano, S.R. Aromatic profiling of Zanthoxylum myriacanthum (makwhaen) essential oils from dried fruits using different initial drying techniques. Ind. Crops Prod. 2019, 133, 284–291. [Google Scholar] [CrossRef]
- Li, R.; Yang, J.J.; Shi, Y.X.; Zhao, M.; Ji, K.L.; Zhang, P.; Xu, Y.K.; Hu, H.B. Chemical composition, antimicrobial and anti–inflammatory activities of the essential oil from Magian (Z. myriacanthum var. pubescens) in Xishuangbanna, SW China. J. Ethnopharmacol. 2014, 158, 43–48. [Google Scholar] [CrossRef]
- Wongsrisom, N.; Jinata, J.; Manosan, B.; Kuntakhoo, J.; Wankuan, S.; Sriyam, S. Anti-bacterial activities of essential oils from Mah-Khwuaen (Zanthoxylum limonella Alston). Kmutt Res. Dev. J. 2014, 37, 3–15. [Google Scholar]
- Dahab, M.; Xu, Y.K.; Hu, H.B.; Zhang, P. The essential oil of Zanthoxylum myriacanthum var. pubescens attenuates diabetic nephropathy by reducing oxidative stress and inflammation. Eur. J. Immunol. 2019, 49, P0556. [Google Scholar]
- Yang, J.; Zhao, L.; Li, R.; Yan, Y.; Yin, J.; Dai, Q.; Guo, X.; Li, W.; Li, Y.; Liu, M.; et al. In vitro and in vivo antiviral activity of Maqian (Zanthoxylum myriacanthum var. pubescens) essential oil and its major constituents against strains of influenza virus. Ind. Crops Prod. 2022, 177, 114524. [Google Scholar] [CrossRef]
- Kruewong, W.; Auamcharoen, W. Acaricidal and Repellent Activity of Zanthoxylum myriacanthum (Rutaceae) Fruit Extracts Against Tetranychus urticae and Tetranychus truncatus (Acari: Tetranychidae). J. Entomol. Sci. 2023, 58, 119–134. [Google Scholar] [CrossRef]
- Li, B.Y.; Zhang, J.W.; Zheng, Y.; Wang, D.; Wan, C.F.; Du, S.S. Insecticidal and Repellent Effects of the Essential Oils Extract from Zanthoxylum myriacanthum against Three Storage Pests. Chem. Biodivers. 2023, 20, e202200493. [Google Scholar] [CrossRef]
- Sukari, M.A.; Salim, W.S.W.; Ibrahim, N.H.; Rahmani, M.; Aimi, N.; Kitajima, M. Phenanthridine alkaloids from Zanthoxylum myriacanthum. Fitoterapia 1999, 70, 197–199. [Google Scholar] [CrossRef]
- Waterman, P.G. Alkaloids from the root bark of Zanthoxylum myriacanthum. Phytochemistry 1975, 14, 2530. [Google Scholar] [CrossRef]
- Piccinelli, A.L.; Pagano, I.; Esposito, T.; Mencherini, T.; Porta, A.; Petrone, A.M.; Gazzerro, P.; Picerno, P.; Sansone, F.; Rastrelli, L.; et al. HRMS Profile of a Hazelnut Skin Proanthocyanidin–rich Fraction with Antioxidant and Anti–Candida albicans Activities. J. Agric. Food Chem. 2016, 64, 585–595. [Google Scholar] [CrossRef]
- Xiong, Y.Z.; Zhao, Z.; Cheng, J.; Li, J.Y.; Luo, L.; Li, P.; Li, M.Q.; Liu, X. Analysis and identification of main chemical components in ethanol extract of ramie seeds based on UPLC–orbitrap–HRMS technology. Mod. Food Sci. Technol. 2022, 38, 245–255. [Google Scholar]
- Yerra, N.V.; Dadinaboyina, S.B.; Vigjna Abbaraju, L.; Kumar Talluri, M.; Reddy Thota, J. Identification and characterization of degradation products of indacaterol using liquid chromatography/mass spectrometry. Eur. J. Mass Spectrom. 2020, 26, 425–431. [Google Scholar] [CrossRef] [PubMed]
- Zhou, J.; Fang, T.F.; Li, W.; Jiang, Z.D.; Zhou, T.S.; Zhang, L.; Yu, Y.B. Widely targeted metabolomics using UPLC–QTRAP–MS/MS reveals chemical changes during the processing of black tea from the cultivar Camellia sinensis (L.) O. Kuntze cv. Huangjinya. Food Res. Int. 2022, 162, 112169. [Google Scholar] [CrossRef] [PubMed]
- Coimbra, P.P.S.; Silva-e-Silva, A.C.A.G.; Antonio, A.S.; Pereira, H.M.G.; Veiga-Junior, V.F.; Felzenszwalb, I.; Araujo-Lima, C.F.; Teodoro, A.J. Antioxidant Capacity, Antitumor Activity and Metabolomic Profile of a Beetroot Peel Flour. Metabolites 2023, 13, 277. [Google Scholar] [CrossRef]
- Ke, J.P.; Dai, W.T.; Zheng, W.J.; Wu, H.Y.; Hua, F.; Hu, F.L.; Chu, G.X.; Bao, G.H. Two Pairs of Isomerically New Phenylpropanoidated Epicatechin Gallates with Neuroprotective Effects on H2O2–Injured SH–SY5Y Cells from Zijuan Green Tea and Their Changes in Fresh Tea Leaves Collected from Different Months and Final Product. J. Agric. Food Chem. 2019, 67, 4831–4838. [Google Scholar] [CrossRef] [PubMed]
- Xu, H.R.; Niu, H.B.; He, B.S.; Cui, C.; Li, Q.; Bi, K.S. Comprehensive qualitative ingredient profiling of Chinese herbal formula Wu–Zhu–Yu decoction via a mass defect and fragment filtering approach using high resolution mass spectrometry. Molecules 2016, 21, 664. [Google Scholar] [CrossRef] [PubMed]
- Wang, F.Y.; Zhang, Q.Q.; Lu, Z.W.; Wang, Q.; Wang, M.L.; Liu, Y.H.; Fu, S.; Gao, X.Y.; Tang, X.D. Identification of chemical constituents in traditional Chinese medicine formula using HPLC coupled with linear ion trap–Orbitrap MS from high doses of medicinal materials to equivalent doses of formula: Study on Xiang–Sha–Liu–Jun–Zi–Jia–Jian granules. J. Sep. Sci. 2016, 39, 1619–1627. [Google Scholar] [CrossRef]
- Charalambous, D.; Eliades, N.H.; Christoforou, M.; Kakouri, E.; Kanakis, C.; Tarantilis, P.A.; Pantelidou, M. Chemical Characterization, Antioxidant and Antimicrobial Properties of Different Types of Tissue of Cedrus brevifolia Henry Extracts. Molecules 2022, 27, 2717. [Google Scholar] [CrossRef] [PubMed]
- De Rosso, M.; Tonidandel, L.; Larcher, R.; Nicolini, G.; Dalla Vedova, A.; De Marchi, F.; Gardiman, M.; Giust, M.; Flamini, R. Identification of new flavonols in hybrid grapes by combined liquid chromatography–mass spectrometry approaches. Food Chem. 2014, 163, 244–251. [Google Scholar] [CrossRef]
- Zuniga-Lopez, M.C.; Maturana, G.; Campmajo, G.; Saurina, J.; Nunez, O. Determination of Bioactive Compounds in Sequential Extracts of Chia Leaf (Salvia hispanica L.) Using UHPLC–HRMS (Q–Orbitrap) and a Global Evaluation of Antioxidant In Vitro Capacity. Antioxidants 2021, 10, 1151. [Google Scholar] [CrossRef] [PubMed]
- Castaldo, L.; Narvaez, A.; Izzo, L.; Graziani, G.; Ritien, A. In vitro bioaccessibility and antioxidant activity of coffee silverskin polyphenolic extract and characterization of bioactive compounds using UHPLC–Q–Orbitrap HRMS. Molecules 2020, 25, 2132. [Google Scholar] [CrossRef] [PubMed]
- Sharif, S.; Nabais, P.; Melo, M.J.; Conceicao Oliveir, M. Traditional yellow dyes used in the 21st century in central Iran: The knowledge of master dyers revealed by HPLC–DAD and UHPLC–HRMS/MS. Molecules 2020, 25, 908. [Google Scholar] [CrossRef]
- Zhang, C.T.; Ma, Y.L.; Zhao, Y.X.; Hong, Y.Q.; Cai, S.B.; Pang, M.J. Phenolic composition, antioxidant and pancreatic lipase inhibitory activities of Chinese sumac (Rhus chinensis Mill.) fruits extracted by different solvents and interaction between myricetin–3–O–rhamnoside and quercetin–3–O–rhamnoside. Int. J. Food Sci. Technol. 2018, 53, 1045–1053. [Google Scholar] [CrossRef]
- Wang, Y.F.; Vorsa, N.; Harrington, P.B.; Chen, P. Nontargeted Metabolomic Study on Variation of Phenolics in Different Cranberry Cultivars Using UPLC–IM—HRMS. J. Agric. Food Chem. 2018, 66, 12206–12216. [Google Scholar] [CrossRef]
- Stander, M.A.; Van Wyk, B.; Taylor, M.J.C.; Long, H.S. Analysis of Phenolic Compounds in Rooibos Tea (Aspalathus linearis) with a Comparison of Flavonoid–Based Compounds in Natural Populations of Plants from Different Regions. J. Agric. Food Chem. 2017, 65, 10270–10281. [Google Scholar] [CrossRef]
- Hao, C.Y.; Yu, Y.T.; Zhang, X.T.; Dong, G.Q.; Liu, Y.; Chen, S. Nontarget metabolites of rhizomes of edible sacred lotus provide new insights into rhizome browning. J. Food Qual. 2022, 2022, 3943052. [Google Scholar] [CrossRef]
- Regueiro, J.; Sanchez-Gonzalez, C.; Vallverdu-Queralt, A.; Simal-Gandara, J.; Lamuela-Raventos, R.; Izquierdo-Pulido, M. Comprehensive identification of walnut polyphenols by liquid chromatography coupled to linear ion trap–Orbitrap mass spectrometry. Food Chem. 2014, 152, 340–348. [Google Scholar] [CrossRef]
- Mansour, A.; Celano, R.; Mencherini, T.; Picerno, P.; Piccinelli, A.L.; Foudil-Cherif, Y.; Csupor, D.; Rahili, G.; Yahi, N.; Nabavi, S.M.; et al. A new cineol derivative, polyphenols and norterpenoids from Saharan myrtle tea (Myrtus nivellei): Isolation, structure determination, quantitative determination and antioxidant activity. Fitoterapia 2017, 119, 32–39. [Google Scholar] [CrossRef] [PubMed]
- Jerman Klen, T.; Golc Wondra, A.; Vrhovsek, U.; Mozetic Vodopivec, B. Phenolic Profiling of Olives and Olive Oil Process–Derived Matrices Using UPLC–DAD–ESI–QTOF–HRMS Analysis. J. Agric. Food Chem. 2015, 63, 3859–3872. [Google Scholar] [CrossRef] [PubMed]
- Uysal, S.; Gevrenova, R.; Sinan, K.; Bayarslan, A.U.; Altunoglu, Y.C.; Zheleva-Dimitrova, D.; Ak, G.; Baloglu, M.C.; Etienne, O.K.; Lobine, D.; et al. New perspectives into the chemical characterization of Sida acuta Burm. f. extracts with respect to its anti–cancer, antioxidant and enzyme inhibitory effects. Process Biochem. 2021, 105, 91–101. [Google Scholar] [CrossRef]
- He, C.M.; Cheng, Z.H.; Chen, D.F. Qualitative and quantitative analysis of flavonoids in Sophora tonkinensis by LC/MS and HPLC. Chin. J. Nat. Med. 2013, 11, 690–698. [Google Scholar] [CrossRef] [PubMed]
- Yang, L.; Li, A.P.; Chen, M.; Yan, Y.; Liu, Y.T.; Li, K.; Jia, J.P.; Qin, X.M. Comprehensive investigation of mechanism and effective ingredients of Fangji Huangqi Tang by serum pharmacochemistry and network pharmacology. Biomed. Chromatogr. 2020, 34, e4785. [Google Scholar] [CrossRef]
- Zhong, J.Y.; Ren, D.B.; Shang, Y.; Huang, S.C.; Li, Y.; Hu, Y.D.; Yi, L.Z. Targeted identification of glycosylated flavones and isomers in green tea through integrated ion–filtering strategy and mass–fragmentation characteristics based on the UPLC–Q–Orbitrap–MS/MS platform. Food Chem. 2022, 377, 131901. [Google Scholar] [CrossRef]
- Nijat, D.; Abdulla, R.; Liu, G.; Luo, Y.; Aisa, H.A. Identification and quantification of Meiguihua oral solution using liquid chromatography combined with hybrid quadrupole–orbitrap and triple quadrupole mass spectrometers. J. Chromatogr. B 2020, 1139, 121992. [Google Scholar] [CrossRef]
- Zhong, J.S.; Huang, Y.Y.; Ding, W.J.; Wu, X.F.; Wan, J.Z.; Luo, H.B. Chemical constituents of Aloe barbadensis Miller and their inhibitory effects on phosphodiesterase–4D. Fitoterapia 2013, 91, 159–165. [Google Scholar] [CrossRef]
- Pagliari, S.; Cannavacciuolo, C.; Celano, R.; Carabetta, S.; Russo, M.; Labra, M.; Campone, L. Valorisation, Green Extraction Development, and Metabolomic Analysis of Wild Artichoke By–Product Using Pressurised Liquid Extraction UPLC–HRMS and Multivariate Data Analysis. Molecules 2022, 27, 7157. [Google Scholar] [CrossRef]
- Yu, F.J.; Qian, H.; Zhang, J.Y.; Sun, J.; Ma, Z.G. Simultaneous quantification of eight organic acid components in Artemisia capillaris Thunb (Yinchen) extract using high–performance liquid chromatography coupled with diode array detection and high–resolution mass spectrometry. J. Food Drug Anal. 2018, 26, 788–795. [Google Scholar] [CrossRef]
- Navarro-Hoyos, M.; Arnaez-Serrano, E.; Quesada-Mora, S.; Azofeifa-Cordero, G.; Wilhelm-Romero, K.; Quiros-Fallas, M.I.; Alvarado-Corella, D.; Vargas-Huertas, F.; Sanchez-Kopper, A. HRMS Characterization, Antioxidant and Cytotoxic Activities of Polyphenols in Malus domestica Cultivars from Costa Rica. Molecules 2021, 26, 7367. [Google Scholar] [CrossRef]
- Kritikou, E.; Kalogiouri, N.P.; Kolyvira, L.; Thomaidis, N.S. Target and suspect HRMS metabolomics for the determination of functional ingredients in 13 varieties of olive leaves and drupes from Greece. Molecules 2020, 25, 4889. [Google Scholar] [CrossRef]
- He, C.M.; Huang, W.B.; Xue, X.M.; Liang, Z.K.; Ye, H.; Li, K.P.; Yuan, X.J. UPLC–MS fingerprints, phytochemicals and quality evaluation of flavonoids from Abrus precatorius leaves. J. Food Compos. Anal. 2022, 110, 104585. [Google Scholar] [CrossRef]
- Tian, F.; He, X.; Sun, J.; Liu, X.; Zhang, Y.; Cao, H.; Wu, M.; Ma, Z. Simultaneous quantitative analysis of nine constituents in six Chinese medicinal materials from Citrus genus by high–performance liquid chromatography and high–resolution mass spectrometry combined with chemometric methods. J. Sep. Sci. 2020, 43, 736–747. [Google Scholar] [CrossRef] [PubMed]
- Fan, Z.F.; Wang, Y.D.; Yang, M.L.; Cao, J.X.; Khan, A.; Cheng, G.G. UHPLC–ESI–HRMS/MS analysis on phenolic compositions of different E Se tea extracts and their antioxidant and cytoprotective activities. Food Chem. 2020, 318, 126512. [Google Scholar] [CrossRef] [PubMed]
- Chiriac, E.R.; Chitescu, C.L.; Borda, D.; Lupoae, M.; Gird, C.E.; Geana, E.; Blaga, G.; Boscencu, R. Comparison of the polyphenolic profile of Medicago sativa L. and Trifolium pratense L. sprouts in different germination stages using the UHPLC–Q exactive hybrid quadrupole Orbitrap high–resolution mass spectrometry. Molecules 2020, 25, 2321. [Google Scholar] [CrossRef]
- Xiao, X.; Ren, W.; Zhang, N.; Bing, T.; Liu, X.J.; Zhao, Z.W.; Shangguan, D.H. Comparative study of the chemical constituents and bioactivities of the extracts from fruits, leaves and root barks of Lycium barbarum. Molecules 2019, 24, 1585. [Google Scholar] [CrossRef] [PubMed]
- Gao, X.X.; Wang, N.; Jia, J.P.; Wang, P.Y.; Zhang, A.R.; Qin, X.M. Chemical profiling of Dingkun Dan by ultra High performance liquid chromatography Q exactive orbitrap high resolution mass spectrometry. J. Pharmaceut. Biomed. 2020, 177, 112732. [Google Scholar] [CrossRef] [PubMed]
- Fu, L.; Sun, Y.Q.; Ding, L.; Wang, Y.Y.; Gao, Z.; Wu, Z.; Wang, S.M.; Li, W.; Bi, Y.F. Mechanism evaluation of the interactions between flavonoids and bovine serum albumin based on multi–spectroscopy, molecular docking and Q–TOF HR–MS analyses. Food Chem. 2016, 203, 150–157. [Google Scholar] [CrossRef]
- Xu, L.; Xu, J.; Zhong, K.; Shang, Z.; Wang, F.; Wang, R.; Zhang, L.; Zhang, J.; Liu, B. Analysis of non–volatile chemical constituents of menthae haplocalycis herba by ultra–high performance liquid chromatography–high resolution mass spectrometry. Molecules 2017, 22, 1756. [Google Scholar] [CrossRef]
- Ma, T.C.; Lin, J.P.; Gan, A.; Sun, Y.X.; Sun, Y.; Wang, M.S.; Wan, M.Q.; Yan, T.X.; Jia, Y. Qualitative and quantitative analysis of the components in flowers of Hemerocallis citrina Baroni by UHPLC–Q–TOF–MS/MS and UHPLC–QQQ–MS/MS and evaluation of their antioxidant activities. J. Food Compos. Anal. 2023, 120, 105329. [Google Scholar] [CrossRef]
- Ockey, D.A.; Dotson, J.L.; Struble, M.E.; Stults, J.T.; Bourell, J.H.; Clark, K.R.; Gadek, T.R. Structure–activity relationships by mass spectrometry: Identification of novel MMP–3 inhibitors. Bioorg. Med. Chem. 2004, 12, 37–44. [Google Scholar] [CrossRef] [PubMed]
- Li, B.H.; Fu, Y.J.; Xi, H.; Liu, S.; Zhao, W.D.; Li, P.; Fan, W.; Wang, D.Z.; Sun, S.H. Untargeted Metabolomics Using UHPLC–HRMS Reveals Metabolic Changes of Fresh–Cut Potato during Browning Process. Molecules 2023, 28, 3375. [Google Scholar] [CrossRef] [PubMed]
- Tkalec, Z.; Codling, G.; Tratnik, J.S.; Mazej, D.; Klanova, J.; Horvat, M.; Kosjek, T. Suspect and non–targeted screening–based human biomonitoring identified 74 biomarkers of exposure in urine of Slovenian children. Environ. Pollut. 2022, 313, 120091. [Google Scholar] [CrossRef]
- Angelini, P.; Girometta, C.; Tirillini, B.; Moretti, S.; Covino, S.; Cipriani, M.; D’Ellena, E.; Angeles, G.; Federici, E.; Savino, E.; et al. A comparative study of the antimicrobial and antioxidant activities of Inonotus hispidus fruit and their mycelia extracts. Int. J. Food Prop. 2019, 22, 768–783. [Google Scholar] [CrossRef]
- Ming, Q.L.; Dong, X.; Wu, S.J.; Zhu, B.; Jia, M.; Zheng, C.J.; Rahman, K.; Han, T.; Qin, L.P. UHPLC–HRMSn analysis reveals the dynamic metabonomic responses of Salvia miltiorrhiza hairy roots to polysaccharide fraction from Trichoderma atroviride. Biomolecules 2019, 9, 541. [Google Scholar] [CrossRef]
- Mohammadi, M.; Kharazian, N. Untargeted metabolomics study and identification of potential biomarkers in the six sections of the genus Stachys L. (Lamiaceae) using HPLC–MQ–API–MS/MS. Phytochem. Anal. 2022, 33, 915–942. [Google Scholar] [CrossRef]
- Onghena, M.; Van Hoeck, E.; Van Loco, J.; Ibanez, M.; Cherta, L.; Portoles, T.; Pitarch, E.; Hernandez, F.; Lemiere, F.; Covaci, A. Identification of substances migrating from plastic baby bottles using a combination of low–resolution and high–resolution mass spectrometric analysers coupled to gas and liquid chromatography. J. Mass Spectrom. 2015, 50, 1234–1244. [Google Scholar] [CrossRef]
- Chen, Y.; Chen, P.; Wang, Y.; Yang, C.; Wu, X.; Wu, C.; Luo, L.; Wang, Q.; Niu, C.; Yao, J. Structural characterization and anti–inflammatory activity evaluation of chemical constituents in the extract of Trifolium repens L. J. Food Biochem. 2019, 43, e12981. [Google Scholar] [CrossRef]
- Radman, S.; Cizmek, L.; Babic, S.; Cikos, A.; Coz-Rakovac, R.; Jokic, S.; Jerkovic, I. Bioprospecting of Less–Polar Fractions of Ericaria crinita and Ericaria amentacea: Developmental Toxicity and Antioxidant Activity. Mar. Drugs 2022, 20, 57. [Google Scholar] [CrossRef]
- Kildgaard, S.; Mansson, M.; Dosen, I.; Klitgaard, A.; Frisvad, J.C.; Larsen, T.O.; Nielsen, K.F. Accurate dereplication of bioactive secondary metabolites from marine–derived fungi by UHPLC–DAD–QTOFMS and a MS/HRMS library. Mar. Drugs 2014, 12, 3681–3705. [Google Scholar] [CrossRef] [PubMed]
- Yu, L.; Hu, X.L.; Xu, R.R.; Ba, Y.Y.; Chen, X.Q.; Wang, X.; Cao, B.; Wu, X. Amide alkaloids characterization and neuroprotective properties of Piper nigrum L.: A comparative study with fruits, pericarp, stalks and leaves. Food Chem. 2022, 368, 130832. [Google Scholar] [CrossRef] [PubMed]
- Lago, M.A.; Ackerman, L.K. Identification of print–related contaminants in food packaging. Food Addit. Contam. A 2016, 33, 518–529. [Google Scholar] [CrossRef]
- Dwiwibangga, Y.; Safitri, A.; Fatchiyah, F. Profiling of phytochemical compounds of east java red rice bran has the high–value biological activities as antioxidant and antidiabetic. Indones. J. Chem. 2022, 22, 1304–1320. [Google Scholar] [CrossRef]
- Jia, W.; Wang, X.; Wu, X.X.; Shi, L. Monitoring contamination of perchlorate migrating along the food chain to dairy products poses risks to human health. Food Chem. 2022, 374, 131633. [Google Scholar] [CrossRef] [PubMed]
- Shapira, S.; Pleban, S.; Kazanov, D.; Tirosh, P.; Arber, N. Terpinen–4–ol: A novel and promising therapeutic agent for human gastrointestinal cancers. PLoS ONE 2016, 11, e0156540. [Google Scholar] [CrossRef]
- Ramalho, T.R.O.; Pacheco de Oliveira, M.T.; Lima, A.L.A.; Bezerra–Santos, C.R.; Piuvezam, M.R. Gamma–Terpinene Modulates Acute Inflammatory Response in Mice. Planta Med. 2015, 81, 1248–1254. [Google Scholar] [CrossRef]
- Lappas, C.M.; Lappas, N.T. D–Limonene modulates T lymphocyte activity and viability. Cell. Immunol. 2012, 279, 30–41. [Google Scholar] [CrossRef]
- Huwait, E.; Mobashir, M. Potential and Therapeutic Roles of Diosmin in Human Diseases. Biomedicines 2022, 10, 1076. [Google Scholar] [CrossRef]
- Rehman, M.U.; Tahir, M.; Quaiyoom Khan, A.; Khan, R.; Lateef, A.; Hamiza, O.O.; Ali, F.; Sultana, S. Diosmin protects against trichloroethylene–induced renal injury in Wistar rats: Plausible role of p53, Bax and caspases. Br. J. Nutr. 2013, 110, 699–710. [Google Scholar] [CrossRef]
- Nadon, S.; Leksawasdi, N.; Jantanasakulwong, K.; Rachtanapun, P.; Ruksiriwanich, W.; Sommano, S.R.; Khaneghah, A.M.; Castagnini, J.M.; Barba, F.J.; Phimolsiripol, Y. Antioxidant and Antimicrobial Properties and GC-MS Chemical Compositions of Makwaen Pepper (Zanthoxylum myriacanthum) Extracted Using Supercritical Carbon Dioxide. Plants 2023, 12, 2211. [Google Scholar] [CrossRef] [PubMed]
- Liu, G.Y.; Zhu, W.Q.; Zhang, J.; Song, D.D.; Zhuang, L.W.; Ma, Q.; Yang, X.; Liu, X.F.; Zhang, J.X.; Zhang, H.J.; et al. Antioxidant capacity of phenolic compounds separated from tea seed oil in vitro and in vivo. Food Chem. 2022, 371, 131122. [Google Scholar] [CrossRef] [PubMed]
- Almeida, D.; Pinto, D.; Santos, J.; Vinha, A.F.; Palmeira, J.; Ferreira, H.N.; Rodrigues, F.; Oliveira, M.; Beatriz, P.P. Hardy kiwifruit leaves (Actinidia arguta): An extraordinary source of value–added compounds for food industry. Food Chem. 2018, 259, 113–121. [Google Scholar] [CrossRef] [PubMed]

| No. | RT/min | m/z | Compound | Molecular Formula | Compound Types | % Composition | ||
|---|---|---|---|---|---|---|---|---|
| Branches | Leaves | Branches | Leaves | |||||
| 1 | 3.431 | – | 114.1 | heptane | C8H18 | aliphatic compounds | 0.24 | – |
| 2 | 4.810 | 4.833 | 128.1 | 2,4-dimethylheptane | C9H20 | aliphatic compounds | 1.30 | 0.63 |
| 3 | 6.194 | – | 128.1 | 4-methyloctane | C9H20 | aliphatic compounds | 0.36 | – |
| 4 | 7.098 | 7.110 | 104.0 | styrene | C8H8 | aromatic compounds | 2.12 | 1.00 |
| 5 | 8.346 | – | 136.1 | β-thujene | C10H16 | terpenoids | 0.44 | – |
| 6 | 8.552 | 8.558 | 136.1 | α-pinene | C10H16 | terpenoids | 5.01 | 0.84 |
| 7 | 9.599 | – | 142.1 | 2-methylnonane | C10H22 | aliphatic compounds | 0.23 | – |
| 8 | 9.879 | 9.879 | 136.1 | bicyclo[3.1.0]hexane | C10H16 | terpenoids | 20.65 | 0.68 |
| 9 | 9.959 | – | 136.1 | β-pinene | C10H16 | terpenoids | 0.79 | – |
| 10 | 10.469 | 10.474 | 136.1 | β-myrcene | C10H16 | aliphatic compounds | 0.77 | 2.19 |
| 11 | 10.846 | 10.852 | 136.1 | α-phellandrene | C10H16 | terpenoids | 0.51 | 0.59 |
| 12 | 11.184 | – | 156.2 | 2,5-dimethylnonane | C11H24 | aliphatic compounds | 0.30 | – |
| 13 | 11.235 | 11.236 | 136.1 | α-terpinene | C10H16 | terpenoids | 2.06 | 0.29 |
| 14 | 11.441 | 11.361 | 156.2 | 4-methyldecane | C11H24 | aliphatic compounds | 0.97 | 0.48 |
| 15 | 11.607 | – | 136.1 | pseudolimonen | C10H16 | terpenoids | 2.06 | 1.16 |
| 16 | – | 11.630 | 136.1 | d-limonene | C10H16 | terpenoids | – | 23.42 |
| 17 | 11.682 | – | 154.1 | eucalyptol | C10H18O | terpenoids | 1.64 | – |
| 18 | 12.220 | – | 136.1 | β-cis-ocimene | C10H16 | aliphatic compounds | 0.58 | – |
| 19 | – | 12.220 | 136.1 | β-ocimene | C10H16 | aliphatic compounds | – | 1.39 |
| 20 | 12.511 | – | 136.1 | γ-terpinene | C10H16 | terpenoids | 5.03 | – |
| 21 | 12.649 | – | 155.0 | 2,4,6-trimethyldecane | C13H28 | aliphatic compounds | 0.51 | – |
| 22 | 13.364 | 13.370 | 136.1 | α-terpinolen | C10H16 | terpenoids | 0.73 | 0.57 |
| 23 | 13.696 | 13.707 | 156.1 | β-linalool | C10H18O | aliphatic compounds | 0.40 | 5.69 |
| 24 | 13.759 | – | 155.1 | undecane | C11H24 | aliphatic compounds | 0.43 | – |
| 25 | 14.285 | 14.285 | 154.1 | trans-p-menth-2-en-1-ol | C10H18O | terpenoids | 0.65 | 1.64 |
| 26 | 15.796 | 15.802 | 154.1 | terpinen-4-ol | C10H18O | terpenoids | 13.34 | 7.97 |
| 27 | – | 16.031 | 150.1 | 2,6a-methano-6aH-indeno[4,5-b]oxirene | C10H14O | terpenoids | – | 0.31 |
| 28 | 16.128 | 16.134 | 136.1 | α-terpineol | C10H18O | terpenoids | 1.93 | 2.07 |
| 29 | – | 16.254 | 154.1 | trans-piperitol | C10H18O | terpenoids | – | 0.37 |
| 30 | – | 16.443 | 154.1 | bicyclo[2.2.1]heptan-2-ol | C10H18O | terpenoids | – | 0.50 |
| 31 | 16.563 | 16.254 | 154.1 | piperitol | C10H18O | terpenoids | 0.30 | 0.87 |
| 32 | 16.689 | – | 184.2 | 2,6-dimethylundecane | C13H28 | aliphatic compounds | 0.29 | – |
| 33 | 16.740 | – | 134.0 | isoxylaldehyde | C9H10O | aromatic compounds | 0.34 | – |
| 34 | – | 16.832 | 152.1 | cis-Carveol | C10H16O | terpenoids | – | 0.35 |
| 35 | 16.889 | – | 184.2 | 4,8-dimethylundecane | C13H28 | aliphatic compounds | 0.26 | – |
| 36 | – | 17.055 | 154.1 | 2,6-octadien-1-ol | C10H18O | aliphatic compounds | – | 0.27 |
| 37 | – | 17.684 | 154.1 | 2,7-dimethyl-2,6-octadien-1-ol | C10H18O | aliphatic compounds | – | 0.89 |
| 38 | 17.907 | 17.907 | 198.2 | tetradecane | C14H30 | aliphatic compounds | 0.76 | 0.35 |
| 39 | 18.497 | – | 169.1 | pentadecane | C15H32 | aliphatic compounds | 0.39 | – |
| 40 | 18.623 | – | 198.2 | 4,6-dimethyldodecane | C14H30 | aliphatic compounds | 0.31 | – |
| 41 | 18.806 | – | 198.2 | 2,3,5,8-tetramethyldecane | C14H30 | aliphatic compounds | 0.24 | – |
| 42 | 19.361 | 19.361 | 212.2 | 2,6,11-trimethyldodecane | C15H32 | aliphatic compounds | 0.45 | 0.56 |
| 43 | – | 19.967 | 204.1 | α-cubebene | C15H24 | terpenoids | – | 0.30 |
| 44 | – | 20.591 | 204.1 | copaene | C15H24 | terpenoids | – | 0.49 |
| 45 | 21.587 | – | 183.2 | nonadecane | C19H40 | aliphatic compounds | 0.29 | – |
| 46 | 21.667 | 21.678 | 204.2 | caryophyllene | C15H24 | terpenoids | 4.19 | 9.74 |
| 47 | 22.531 | 22.531 | 204.2 | α-caryophyllene | C15H24 | terpenoids | 0.85 | 1.87 |
| 48 | 22.588 | – | 226.2 | 2,6,10-trimethyltridecane | C16H34 | aliphatic compounds | 0.46 | – |
| 49 | – | 23.258 | 204.1 | β-cubebene | C15H24 | terpenoids | – | 0.98 |
| 50 | 23.263 | – | 204.2 | β-copaene | C15H24 | terpenoids | 1.80 | – |
| 51 | 23.349 | 23.349 | 240.2 | 2,6,10-trimethyltetradecane | C17H36 | aliphatic compounds | 0.43 | 0.26 |
| 52 | 23.515 | 23.515 | 281.0 | heptadecane | C21H44 | aliphatic compounds | 1.12 | 0.59 |
| 53 | 23.675 | – | 204.1 | elixene | C15H24 | terpenoids | 0.21 | – |
| 54 | – | 23.681 | 204.1 | γ-elemene | C15H24 | terpenoids | – | 0.49 |
| 55 | 23.887 | – | 204.1 | α-farnesene | C15H24 | aliphatic compounds | 0.32 | – |
| 56 | 23.967 | 23.973 | 206.2 | 2,4-di-tert-butylphenol | C14H22O | aromatic compounds | 1.08 | 0.75 |
| 57 | 24.396 | – | 204.2 | β-cadinene | C15H24 | terpenoids | 0.47 | – |
| 58 | – | 24.396 | 204.1 | cadina-1(10),4-diene | C15H24 | terpenoids | – | 1.26 |
| 59 | – | 24.906 | 220.1 | α-copaen-11-ol | C15H24O | terpenoids | – | 0.31 |
| 60 | – | 25.134 | 222.1 | cyclohexanemethanol | C15H26O | terpenoids | – | 2.24 |
| 61 | 25.420 | – | 221.0 | (−)-globulol | C15H26O | terpenoids | 0.26 | – |
| 62 | 25.495 | 25.501 | 222.1 | 1,6,10-dodecatrien-3-ol | C15H26O | aliphatic compounds | 1.90 | 3.81 |
| 63 | 26.210 | – | 222.1 | globulol | C15H26O | terpenoids | 0.37 | – |
| 64 | – | 26.210 | 222.1 | epiglobulol | C15H26O | terpenoids | – | 0.48 |
| 65 | – | 26.611 | 222.1 | guaiol | C15H26O | terpenoids | – | 1.82 |
| 66 | – | 26.822 | 222.1 | 1H-cycloprop[e]azulen-4-ol | C15H26O | terpenoids | – | 0.48 |
| 67 | – | 27 | 340.2 | 2,2′-Methylenebis(6-tert-butyl-p-cresol) | C23H32O2 | aromatic compounds | – | 0.26 |
| 68 | – | 27.566 | 222.1 | 1,10-Di-epi-Cubenol | C15H26O | terpenoids | – | 0.44 |
| 69 | – | 27.675 | 222.1 | (+)-γ-Eudesmol | C15H26O | terpenoids | – | 0.76 |
| 70 | – | 28.007 | 222.1 | τ-Cadinol | C15H26O | terpenoids | – | 0.69 |
| 71 | 28.115 | – | 222.1 | cubebol | C15H26O | terpenoids | 0.30 | – |
| 72 | – | 28.259 | 222.1 | 2-naphthalenemethanol | C15H26O | terpenoids | – | 0.4 |
| 73 | – | 28.362 | 222.1 | maaliol | C15H26O | terpenoids | – | 1.21 |
| 74 | 28.373 | – | 222.1 | epi-α-Muurolol | C15H26O | terpenoids | 1.15 | – |
| 75 | – | 28.728 | 222.1 | 5-azulenemethanol | C15H26O | terpenoids | – | 1.13 |
| 76 | – | 29.643 | 220.1 | aromadendrene oxide-(1) | C15H24O | terpenoids | – | 1.95 |
| 77 | 29.666 | – | 380.4 | heptacosane | C27H56 | aliphatic compounds | 1.01 | – |
| 78 | 31.840 | – | 294.2 | (3E,12Z)-1,3,12-nonadecatriene-5,14-diol | C19H34O2 | aliphatic compounds | 0.31 | – |
| Total | 82.91 | 87.79 | ||||||
| No. | RT/min | Compound | Molecular Formula | Error/ppm | m/z | Ion Mode | Compound Types | References | |
|---|---|---|---|---|---|---|---|---|---|
| Branches | Leaves | ||||||||
| 1 | – | 2.260 | epigallocatechin | C15H14O7 | −1.48 | 305.06622 | [M − H]− | flavonoids | [14] |
| 2 | 2.960 | – | trans-3-indoleacrylic acid | C11H9NO2 | −0.4 | 188.07054 | [M + H]+ | alkaloids | [15] |
| 3 | – | 3.086 | 8-hydroxyquinoline | C9H7NO | 0.34 | 146.06009 | [M + H]+ | alkaloids | [16] |
| 4 | – | 3.092 | indole-3-acrylic acid | C11H9NO2 | −0.24 | 188.07056 | [M + H]+ | fatty acids | [17] |
| 5 | 3.464 | 3.515 | kynurenic acid | C10H7NO3 | −0.18 | 190.04984 | [M + H]+ | alkaloids | [18] |
| 6 | – | 4.086 | catechin | C15H14O6 | −0.47 | 289.07162 | [M − H]− | phenols | [19] |
| 7 | 4.249 | 4.236 | d-(−)-quinic acid | C7H12O6 | −0.34 | 191.05605 | [M − H]− | fatty acids | [20] |
| 8 | – | 4.408 | p-coumaric acid glucoside | C15H18O8 | −0.73 | 325.09265 | [M − H]− | fatty acids | [21] |
| 9 | – | 5.317 | dihydromyricetin | C15H12O8 | −0.53 | 319.04578 | [M − H]− | flavonoids | [22] |
| 10 | – | 5.399 | 4-[3-(3,4-Dihydroxyphenyl)acryloyloxy]-2,3-dihydroxy-2-methylbutyric acid | C14H16O8 | −0.78 | 311.077 | [M − H]− | phenylpropanoids | |
| 11 | – | 5.575 | myricetin | C15H10O8 | 0.44 | 319.04498 | [M + H]+ | flavonoids | [23] |
| 12 | – | 5.622 | orientin | C21H20O11 | 0.3 | 449.10797 | [M + H]+ | flavonoids | [24] |
| 13 | – | 5.969 | 3-O-feruloylquinic acid | C17H20O9 | −0.58 | 367.10324 | [M − H]− | phenylpropanoids | [25] |
| 14 | – | 5.986 | cynaroside | C21H20O11 | −0.8 | 447.09293 | [M − H]− | flavonoids | [26] |
| 15 | – | 6.012 | myricetin-3-O-galactoside | C21H20O13 | −1.17 | 479.08255 | [M − H]− | flavonoids | [27] |
| 16 | 6.051 | 6.046 | 3-(benzoyloxy)-2-hydroxypropyl-β-d-glucopyranosiduronic acid | C16H20O10 | −1.02 | 371.09799 | [M − H]− | esters | [28] |
| 17 | – | 6.252 | vitexin | C21H20O10 | 0.36 | 433.11307 | [M + H]+ | flavonoids | [29] |
| 18 | 6.395 | – | N-acetyl-d-phenylalanine | C11H13NO3 | −0.77 | 206.08211 | [M − H]− | amino acids | [30] |
| 19 | – | 6.455 | quercetin | C15H10O7 | 0.5 | 303.05008 | [M + H]+ | flavonoids | [31] |
| 20 | – | 6.456 | isoquercetin | C21H20O12 | 0.38 | 465.10291 | [M + H]+ | flavonoids | [29] |
| 21 | – | 6.681 | myricetin-3-xyloside | C20H18O12 | −0.77 | 449.0722 | [M − H]− | flavonoids | [32] |
| 22 | – | 6.876 | apigetrin | C21H20O10 | −0.73 | 431.09805 | [M − H]− | flavonoids | [33] |
| 23 | 7.154 | 7.157 | N-acetyltryptophan | C13H14N2O3 | −0.42 | 245.09306 | [M − H]− | alkaloids | [34] |
| 24 | – | 7.162 | sphaerobioside | C27H30O14 | 0.69 | 579.1712 | [M + H]+ | flavonoids | [35] |
| 25 | 7.472 | – | corydine | C20H23NO4 | 0.26 | 342.17007 | [M + H]+ | alkaloids | [36] |
| 26 | – | 7.613 | trifolin | C21H20O11 | −0.6 | 447.09302 | [M − H]− | flavonoids | [37] |
| 27 | – | 7.628 | avicularine | C20H18O11 | −0.49 | 433.07742 | [M − H]− | flavonoids | [38] |
| 28 | 7.814 | – | chromone | C27H32O14 | −0.25 | 579.17163 | [M − H]− | flavonoids | [39] |
| 29 | – | 7.889 | isorhoifolin | C27H30O14 | −0.89 | 577.15576 | [M − H]− | flavonoids | [40] |
| 30 | 7.948 | – | isochlorogenic acid A | C25H24O12 | −0.46 | 515.11926 | [M − H]− | phenylpropanoids | [41] |
| 31 | – | 8.241 | phloretin | C15H14O5 | 0 | 275.0914 | [M + H]+ | phenols | [42] |
| 32 | 8.343 | 8.346 | diosmin | C28H32O15 | −1.66 | 607.16583 | [M − H]− | flavonoids | [43] |
| 33 | 8.475 | – | hispidulin 4′-O-β-d-glucopyranoside | C22H22O11 | 1.03 | 463.12396 | [M + H]+ | flavonoids | [44] |
| 34 | – | 8.485 | neohesperidin | C28H34O15 | −1.4 | 609.18164 | [M − H]− | flavonoids | [45] |
| 35 | – | 9.107 | phloridzin | C21H24O10 | −0.6 | 435.12939 | [M − H]− | phenols | [46] |
| 36 | – | 9.737 | glycitein | C16H12O5 | −0.13 | 285.07571 | [M + H]+ | flavonoids | [47] |
| 37 | 10.057 | – | paprazine | C17H17NO3 | 0.29 | 284.1282 | [M + H]+ | alkaloids | [48] |
| 38 | 10.192 | – | dihydrosanguinarine | C20H15NO4 | 0.48 | 334.10754 | [M + H]+ | alkaloids | [49] |
| 39 | 10.891 | – | biochanin A 7-O-rutinoside | C28H32O14 | −0.36 | 637.17719 | [M + FA − H]− | flavonoids | |
| 40 | – | 10.891 | acaciin | C28H32O14 | −1.23 | 637.17664 | [M + FA − H]− | flavonoids | [50] |
| 41 | 11.254 | 11.065 | didymin | C28H34O14 | −0.2 | 593.1875 | [M − H]− | flavonoids | [51] |
| 42 | 11.670 | – | N-(4-benzoylphenyl)propanamide | C16H15NO2 | −0.01 | 254.11755 | [M + H]+ | alkaloids | |
| 43 | – | 12.310 | (11E,15Z)-9,10,13-trihydroxy-11,15-octadecadienoic acid | C18H32O5 | −0.61 | 327.2175 | [M − H]− | fatty acids | |
| 44 | 12.317 | – | (10E,15Z)-9,12,13-trihydroxy-10,15-octadecadienoic acid | C18H32O5 | −0.23 | 327.21762 | [M − H]− | fatty acids | [52] |
| 45 | 12.848 | 12.833 | (9Z)-5,8,11-trihydroxy-9-octadecenoic acid | C18H34O5 | −0.4 | 329.23322 | [M − H]− | fatty acids | |
| 46 | – | 13.658 | bis(4-ethylbenzylidene)sorbitol | C24H30O6 | 0.7 | 415.21176 | [M + H]+ | ethers | |
| 47 | 13.938 | – | N-[2-(4-methoxyphenyl)ethyl]-3-methyl-2-butenamide | C14H19NO2 | −0.22 | 234.1488 | [M + H]+ | alkaloids | |
| 48 | – | 14.631 | 5,7-dihydroxy-2-(4-hydroxyphenyl)-4-oxo-4h-chromen-3-yl 6-deoxy-3,4-bis-O-[(2E)-3-(4-hydroxyphenyl)-2-propenoyl]-α-l-mannopyranoside | C39H32O14 | −0.07 | 723.17188 | [M − H]− | flavonoids | |
| 49 | 14.820 | – | N-phenethyl-4-methoxybenzamide | C16H17NO2 | −0.1 | 256.13318 | [M + H]+ | alkaloids | [53] |
| 50 | – | 14.986 | 12-OPDA | C18H28O3 | −0.04 | 293.21109 | [M + H]+ | fatty acids | [54] |
| 51 | 15.279 | – | dicyclohexylurea | C13H24N2O | −0.29 | 225.19608 | [M + H]+ | alkaloids | [55] |
| 52 | 15.874 | – | amphoteric L | C19H38N2O3 | 0.22 | 343.29559 | [M + H]+ | alkaloids | [56] |
| 53 | – | 15.921 | cis,cis-muconic acid | C6H6O4 | 0.01 | 141.01933 | [M − H]− | fatty acids | [57] |
| 54 | 16.527 | – | isopongaflavone | C21H18O4 | 0.25 | 335.12787 | [M + H]+ | flavonoids | [58] |
| 55 | 16.965 | – | 4-ethylbenzaldehyde | C9H10O | −0.21 | 135.08041 | [M + H]+ | aromatic aldehydes | [58] |
| 56 | 16.975 | – | 4-ethoxy ethylbenzoate | C11H14O3 | 0.19 | 195.10161 | [M + H]+ | esters | [59] |
| 57 | 17.105 | – | coriolic acid | C18H32O3 | −0.18 | 295.22782 | [M − H]− | fatty acids | [60] |
| 58 | – | 17.875 | erucamide | C22H43NO | 0.62 | 338.34195 | [M + H]+ | alkaloids | [61] |
| 59 | 18.131 | – | asperphenamate | C32H30N2O4 | 0.35 | 507.228 | [M + H]+ | alkaloids | [62] |
| 60 | 18.668 | – | (+)-isopetasol | C15H22O2 | −0.03 | 235.16925 | [M + H]+ | terpenes | |
| 61 | 19.659 | – | kalecide | C16H29NO | 0.07 | 252.23221 | [M + H]+ | alkaloids | [63] |
| 62 | – | 19.925 | 2,2′-Methylenebis(4-methyl-6-tert-butylphenol) | C23H32O2 | −1.38 | 339.23248 | [M − H]− | phenols | [64] |
| 63 | 20.329 | – | linoleoyl ethanolamide | C20H37NO2 | 0.28 | 324.28979 | [M + H]+ | alkaloids | [65] |
| 64 | 21.622 | – | muscone | C16H30O | 0.11 | 239.23697 | [M + H]+ | ketones | [66] |
| 65 | 21.763 | – | stearamide | C18H37NO | −0.4 | 284.29468 | [M + H]+ | alkaloids | [63] |
| 66 | 21.770 | – | 1-stearoylglycerol | C21H42O4 | 0.76 | 359.31583 | [M + H]+ | esters | |
| Samples | IC50 (μg/mL) | |
|---|---|---|
| ABTS | DPPH | |
| Leaves | 7.12 ± 0.257 ※ | 1.22 × 102 ± 5.01 ※ |
| Branches | 5.54 × 101 ± 4.34 ※ | 2.93 × 103 ± 8.43 × 101 ※ |
| Ascorbic acid | 6.12 × 10−3 ± 1.76 × 10−3 ∆ | 8.12 ± 4.20 × 10−2 ∆ |
Disclaimer/Publisher’s Note: The statements, opinions and data contained in all publications are solely those of the individual author(s) and contributor(s) and not of MDPI and/or the editor(s). MDPI and/or the editor(s) disclaim responsibility for any injury to people or property resulting from any ideas, methods, instructions or products referred to in the content. |
© 2023 by the authors. Licensee MDPI, Basel, Switzerland. This article is an open access article distributed under the terms and conditions of the Creative Commons Attribution (CC BY) license (https://creativecommons.org/licenses/by/4.0/).
Share and Cite
Dai, W.; Zhang, L.; Dai, L.; Tian, Y.; Ye, X.; Wang, S.; Li, J.; Wang, Q. Comparative Analysis of Chemical Composition of Zanthoxylum myriacanthum Branches and Leaves by GC-MS and UPLC-Q-Orbitrap HRMS, and Evaluation of Their Antioxidant Activities. Molecules 2023, 28, 5631. https://doi.org/10.3390/molecules28155631
Dai W, Zhang L, Dai L, Tian Y, Ye X, Wang S, Li J, Wang Q. Comparative Analysis of Chemical Composition of Zanthoxylum myriacanthum Branches and Leaves by GC-MS and UPLC-Q-Orbitrap HRMS, and Evaluation of Their Antioxidant Activities. Molecules. 2023; 28(15):5631. https://doi.org/10.3390/molecules28155631
Chicago/Turabian StyleDai, Wei, Liangqian Zhang, Liping Dai, Yuan Tian, Xinger Ye, Sina Wang, Jingtao Li, and Qi Wang. 2023. "Comparative Analysis of Chemical Composition of Zanthoxylum myriacanthum Branches and Leaves by GC-MS and UPLC-Q-Orbitrap HRMS, and Evaluation of Their Antioxidant Activities" Molecules 28, no. 15: 5631. https://doi.org/10.3390/molecules28155631
APA StyleDai, W., Zhang, L., Dai, L., Tian, Y., Ye, X., Wang, S., Li, J., & Wang, Q. (2023). Comparative Analysis of Chemical Composition of Zanthoxylum myriacanthum Branches and Leaves by GC-MS and UPLC-Q-Orbitrap HRMS, and Evaluation of Their Antioxidant Activities. Molecules, 28(15), 5631. https://doi.org/10.3390/molecules28155631

