Inhibition Mechanism of Chitooligosaccharide-Polyphenol Conjugates toward Polyphenoloxidase from Shrimp Cephalothorax
Abstract
1. Introduction
2. Results and Discussion
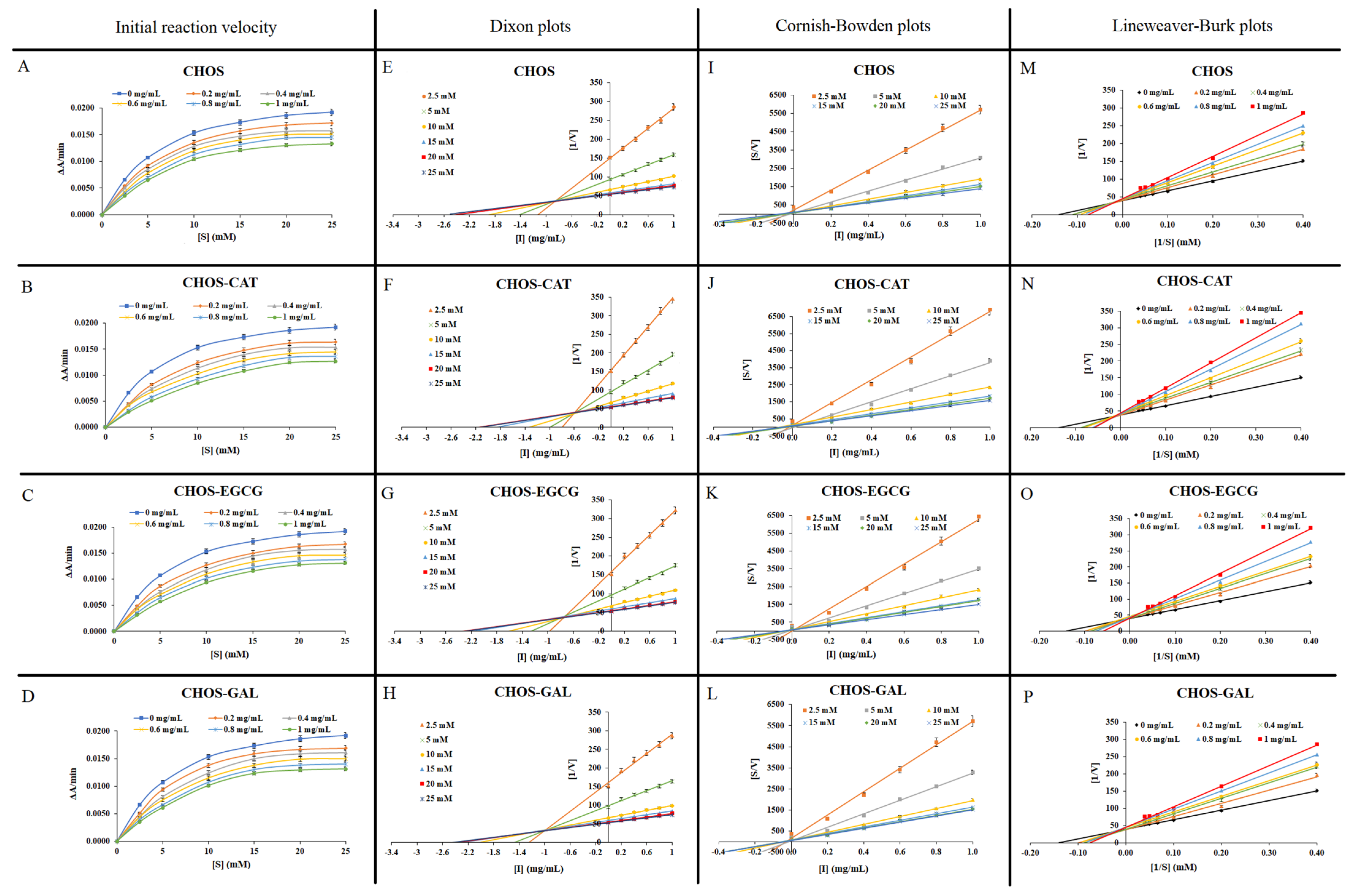
2.1. Inhibitory Effect of CHOS or Different CHOS-PPN Conjugates on Shrimp PPO
2.2. Thermodynamic for Interaction Forces between PPO and CHOS or CHOS-PPN Conjugates
2.3. Molecular Docking of proPPO with CHOS and Different CHOS-PPN Conjugates
3. Materials and Methods
3.1. Chemicals
3.2. Extraction of PPO from the Shrimp Cephalothorax and Activity Assay
3.3. Impact of CHOS and Different CHOS-PPN Conjugates on PPO Inhibition
3.3.1. Preparation of CHOS and Various CHOS-PPN Conjugates
3.3.2. Inhibitory Effect of CHOS and Different CHOS-PPN Conjugates on PPO Activity
3.4. Study on Inhibition Kinetics and Mode of Action of CHOS and Various CHOS-PPN Conjugates toward PPO
3.4.1. Inhibition Kinetics
3.4.2. Intrinsic Fluorescence Spectra
3.4.3. Thermodynamic Parameters
3.4.4. Molecular Docking Studies
3.5. Statistical Analysis
4. Conclusions
Supplementary Materials
Author Contributions
Funding
Institutional Review Board Statement
Informed Consent Statement
Data Availability Statement
Acknowledgments
Conflicts of Interest
Sample Availability
References
- Arias, E.; González, J.; Oria, R.; Lopez-Buesa, P. Ascorbic acid and 4-hexylresorcinol effects on pear PPO and PPO catalyzed browning reaction. J. Food Sci. 2007, 72, C422–C429. [Google Scholar] [CrossRef] [PubMed]
- Tian, X.; Rao, L.; Zhao, L.; Wang, Y.; Liao, X. Multispectroscopic and computational simulation insights into the inhibition mechanism of epigallocatechin-3-gallate on polyphenol oxidase. Food Chem. 2022, 393, 133415. [Google Scholar] [CrossRef] [PubMed]
- Lin, D.; Sun, L.C.; Chen, Y.L.; Liu, G.M.; Miao, S.; Cao, M.J. Shrimp spoilage mechanisms and functional films/coatings used to maintain and monitor its quality during storage. Trends Food Sci. Technol. 2022, 129, 25–37. [Google Scholar] [CrossRef]
- Sae-leaw, T.; Benjakul, S. Prevention of melanosis in crustaceans by plant polyphenols: A review. Trends Food Sci. Technol. 2019, 85, 1–9. [Google Scholar] [CrossRef]
- Nirmal, N.P.; Benjakul, S.; Ahmad, M.; Arfat, Y.A.; Panichayupakaranant, P. Undesirable enzymatic browning in crustaceans: Causative effects and its inhibition by phenolic compounds. Crit. Rev. Food Sci. Nutr. 2015, 55, 1992–2003. [Google Scholar] [CrossRef]
- Nirmal, N.P.; Benjakul, S. Effect of green tea extract in combination with ascorbic acid on the retardation of melanosis and quality changes of Pacific white shrimp during iced storage. Food Bioprocess Technol. 2012, 5, 2941–2951. [Google Scholar] [CrossRef]
- Shiekh, K.A.; Benjakul, S.; Sae-Leaw, T. Effect of Chamuang (Garcinia cowa Roxb.) leaf extract on inhibition of melanosis and quality changes of Pacific white shrimp during refrigerated storage. Food Chem. 2019, 270, 554–561. [Google Scholar] [CrossRef]
- Olatunde, O.O.; Della Tan, S.L.; Shiekh, K.A.; Benjakul, S.; Nirmal, N.P. Ethanolic guava leaf extracts with different chlorophyll removal processes: Anti-melanosis, antibacterial properties and the impact on qualities of Pacific white shrimp during refrigerated storage. Food Chem. 2021, 341, 128251. [Google Scholar] [CrossRef]
- Kim, S. Antioxidant compounds for the inhibition of enzymatic browning by polyphenol oxidases in the fruiting body extract of the edible mushroom Hericium erinaceus. Foods 2020, 9, 951. [Google Scholar] [CrossRef]
- Laura, A.; Arianna, G.; Francesca, C.; Carlo, C.; Carla, M.; Giampaolo, R. Hypersensitivity reactions to food and drug additives: Problem or myth? Acta Biomed. 2019, 90, 80–90. [Google Scholar]
- Kerch, G.; Sabovics, M.; Kruma, Z.; Kampuse, S.; Straumite, E. Effect of chitosan and chitooligosaccharide on vitamin C and polyphenols contents in cherries and strawberries during refrigerated storage. Eur. Food Res. Technol. 2011, 233, 351–358. [Google Scholar] [CrossRef]
- Wu, S. Effect of chitosan-based edible coating on preservation of white shrimp during partially frozen storage. Int. J. Biol. Macromol. 2014, 65, 325–328. [Google Scholar] [CrossRef]
- Mittal, A.; Singh, A.; Zhang, B.; Visessanguan, W.; Benjakul, S. Chitooligosaccharide conjugates prepared using several phenolic compounds via ascorbic acid/H2O2 free radical grafting: Characteristics, antioxidant, antidiabetic, and antimicrobial activities. Foods 2022, 11, 920. [Google Scholar] [CrossRef]
- Sae-Leaw, T.; Benjakul, S.; Simpson, B.K. Effect of catechin and its derivatives on inhibition of polyphenoloxidase and melanosis of Pacific white shrimp. J. Food Sci. Technol. 2017, 54, 1098–1107. [Google Scholar] [CrossRef]
- Nirmal, N.P.; Benjakul, S. Effect of ferulic acid on inhibition of polyphenoloxidase and quality changes of Pacific white shrimp (Litopenaeus vannamei) during iced storage. Food Chem. 2009, 116, 323–331. [Google Scholar] [CrossRef]
- Nguyen, T.T.; Moon, Y.H.; Ryu, Y.B.; Kim, Y.M.; Nam, S.H.; Kim, M.S.; Kimura, A.; Kim, D. The influence of flavonoid compounds on the in vitro inhibition study of a human fibroblast collagenase catalytic domain expressed in E. coli. Enzym. Microb. Technol. 2013, 52, 26–31. [Google Scholar] [CrossRef]
- Farrokhnia, M.; Karimi, S.; Askarian, S. Strong hydrogen bonding of gallic acid during synthesis of an efficient AgNPs colorimetric sensor for melamine detection via dis-synthesis strategy. ACS Sustain. Chem. Eng. 2019, 7, 6672–6684. [Google Scholar] [CrossRef]
- Latos-Brozio, M.; Masek, A. Structure-activity relationships analysis of monomeric and polymeric polyphenols (quercetin, rutin and catechin) obtained by various polymerization methods. Chem. Biodivers. 2019, 16, e1900426. [Google Scholar] [CrossRef]
- Mittal, A.; Singh, A.; Benjakul, S. α-amylase inhibitory activity of chitooligosaccharide from shrimp shell chitosan and its epigallocatechin gallate conjugate: Kinetics, fluorescence quenching and structure–activity relationship. Food Chem. 2023, 403, 134456. [Google Scholar] [CrossRef]
- Zhu, Y.; Elliot, M.; Zheng, Y.; Chen, J.; Chen, D.; Deng, S. Aggregation and conformational change of mushroom (Agaricus bisporus) polyphenol oxidase subjected to atmospheric cold plasma treatment. Food Chem. 2022, 386, 132707. [Google Scholar] [CrossRef]
- Callis, P.R. Binding phenomena and fluorescence quenching. I: Descriptive quantum principles of fluorescence quenching using a supermolecule approach. J. Mol. Struct. 2014, 1077, 14–21. [Google Scholar] [CrossRef]
- Doose, S.; Neuweiler, H.; Sauer, M. Fluorescence quenching by photoinduced electron transfer: A reporter for conformational dynamics of macromolecules. ChemPhysChem 2009, 10, 1389–1398. [Google Scholar] [CrossRef] [PubMed]
- Zhu, J.; Chen, X.; Luo, J.; Liu, Y.; Wang, B.; Liang, Z.; Li, L. Insight into the binding modes and mechanisms of inhibition between soybean-peptides and α-amylase based on spectrofluorimetry and kinetic analysis. LWT-Food Sci. Technol. 2021, 142, 110977. [Google Scholar] [CrossRef]
- Jiang, H.; Zhou, L.; Sun, Y.; Yu, K.; Yu, W.; Tian, Y.; Liu, J.; Zou, L.; Liu, W. Polyphenol oxidase inhibited by 4-hydroxycinnamic acid and naringenin: Multi-spectroscopic analyses and molecular docking simulation at different pH. Food Chem. 2022, 396, 133662. [Google Scholar] [CrossRef] [PubMed]
- He, Y.; Yeo, I.K.; Guo, C.; Kai, Y.; Lu, Y.; Yang, H. Elucidating the inhibitory mechanism on polyphenol oxidase from mushroom and melanosis formation by slightly acid electrolysed water. Food Chem. 2023, 404, 134580. [Google Scholar] [CrossRef] [PubMed]
- Tomer, R.; Biswas, P. Reaction kinetics study and the estimation of thermodynamic parameters for the conversion of glucose to 5-hydroxymethylfurfural (5-HMF) in a dimethyl sulfoxide (DMSO) medium in the presence of a mesoporous TiO2 catalyst. J. Taiwan Inst. Chem. Eng. 2022, 136, 104427. [Google Scholar] [CrossRef]
- Masuda, T.; Momoji, K.; Hirata, T.; Mikami, B. The crystal structure of a crustacean prophenoloxidase provides a clue to understanding the functionality of the type 3 copper proteins. FEBS J. 2014, 281, 2659–2673. [Google Scholar] [CrossRef]
- Choudhary, D.K.; Mishra, A. In vitro and in silico interaction of porcine α-amylase with Vicia faba crude seed extract and evaluation of antidiabetic activity. Bioengineered 2017, 8, 393–403. [Google Scholar] [CrossRef]
- Mittal, A.; Singh, A.; Hong, H.; Benjakul, S. Chitooligosaccharides from shrimp shell chitosan prepared using H2O2 or ascorbic acid/H2O2 redox pair hydrolysis: Characteristics, antioxidant and antimicrobial activities. Int. J. Food Sci. Technol. 2022, 58, 2645–2660. [Google Scholar] [CrossRef]
- Wang, Y.; Zhang, G.; Yan, J.; Gong, D. Inhibitory effect of morin on tyrosinase: Insights from spectroscopic and molecular docking studies. Food Chem. 2014, 163, 226–233. [Google Scholar] [CrossRef]








| Samples | Concentration (mg/mL) | Inhibition Type | Kic# (mg/mL) | Kiu## (mg/mL) | ||||||
|---|---|---|---|---|---|---|---|---|---|---|
| 0 | 0.2 | 0.4 | 0.6 | 0.8 | 1.0 | |||||
| CHOS | Vmax * | 0.0254 d | 0.0253 c | 0.0252 c | 0.0240 b | 0.0239 b | 0.0228 a | Mixed | 0.94 d | 0.04 b |
| Km ** | 7.0695 a | 11.0882 b | 11.7029 b | 12.1849 c | 14.5262 d | 16.1448 e | ||||
| CHOS-CAT | Vmax | 0.0254 e | 0.0245 d | 0.0235 c | 0.0227 b | 0.0216 a | 0.0215 a | Mixed | 0.58 b | 0.02 a |
| Km | 7.0695 a | 9.6703 b | 10.2809 c | 10.6803 c | 12.0666 d | 13.1848 e | ||||
| CHOS-EGCG | Vmax | 0.0254 e | 0.0246 d | 0.0245 d | 0.0230 c | 0.0224 b | 0.0216 a | Mixed | 0.72 c | 0.02 a |
| Km | 7.0695 a | 9.8739 b | 11.1338 c | 11.3412 c | 12.2422 d | 13.5389 e | ||||
| CHOS-GAL | Vmax | 0.0254 f | 0.0251 e | 0.0250 d | 0.0239 c | 0.0229 b | 0.0221 a | Mixed | 0.83 a | 0.02 a |
| Km | 7.0695 a | 10.1118 b | 10.9176 c | 11.1418 d | 13.1848 e | 14.9964 f | ||||
| Samples | Temperature (°C) | KSV (×105 L/mol) | Kq (×1013 L/mol/s) | Kb (×103 L/mol) | n | ΔH° (kJ/mol) | ΔS° (J/mol/K) | ΔG° (kJ/mol) |
|---|---|---|---|---|---|---|---|---|
| CHOS | 25 | 0.0147 cA | 0.0147 cA | 0.68 aA | 0.87 | 30.23 | 125.06 | −7.057 |
| 31 | 0.0133 bA | 0.0133 bA | 1.61 bA | 0.97 | −7.807 | |||
| 37 | 0.0114 aA | 0.0114 aA | 2.00 cA | 1.09 | −8.557 | |||
| CHOS-CAT | 25 | 0.1456 cD | 0.1456 cD | 14.68 aD | 1.01 | 38.12 | 161.95 | −10.165 |
| 31 | 0.1213 bD | 0.1213 bD | 21.90 bD | 1.33 | −11.137 | |||
| 37 | 0.0987 aD | 0.0987 aD | 57.40 cD | 1.33 | −12.11 | |||
| CHOS-EGCG | 25 | 0.1077 cC | 0.1077 cC | 6.86 aC | 0.97 | 37.92 | 159.82 | −9.73 |
| 31 | 0.0942 bC | 0.0942 bC | 15.33 bC | 1.10 | −10.69 | |||
| 37 | 0.0819 aC | 0.0819 aC | 27.03 cC | 1.25 | −11.468 | |||
| CHOS-GAL | 25 | 0.0368 cB | 0.0368 cB | 4.18 aB | 1.03 | 36.21 | 151.52 | −8.966 |
| 31 | 0.0309 bB | 0.0309 bB | 7.43 bB | 1.03 | −9.875 | |||
| 37 | 0.0254 aB | 0.0254 aB | 15.39 cB | 1.25 | −10.784 |
Disclaimer/Publisher’s Note: The statements, opinions and data contained in all publications are solely those of the individual author(s) and contributor(s) and not of MDPI and/or the editor(s). MDPI and/or the editor(s) disclaim responsibility for any injury to people or property resulting from any ideas, methods, instructions or products referred to in the content. |
© 2023 by the authors. Licensee MDPI, Basel, Switzerland. This article is an open access article distributed under the terms and conditions of the Creative Commons Attribution (CC BY) license (https://creativecommons.org/licenses/by/4.0/).
Share and Cite
Mittal, A.; Singh, A.; Zhang, B.; Zhao, Q.; Benjakul, S. Inhibition Mechanism of Chitooligosaccharide-Polyphenol Conjugates toward Polyphenoloxidase from Shrimp Cephalothorax. Molecules 2023, 28, 5560. https://doi.org/10.3390/molecules28145560
Mittal A, Singh A, Zhang B, Zhao Q, Benjakul S. Inhibition Mechanism of Chitooligosaccharide-Polyphenol Conjugates toward Polyphenoloxidase from Shrimp Cephalothorax. Molecules. 2023; 28(14):5560. https://doi.org/10.3390/molecules28145560
Chicago/Turabian StyleMittal, Ajay, Avtar Singh, Bin Zhang, Qiancheng Zhao, and Soottawat Benjakul. 2023. "Inhibition Mechanism of Chitooligosaccharide-Polyphenol Conjugates toward Polyphenoloxidase from Shrimp Cephalothorax" Molecules 28, no. 14: 5560. https://doi.org/10.3390/molecules28145560
APA StyleMittal, A., Singh, A., Zhang, B., Zhao, Q., & Benjakul, S. (2023). Inhibition Mechanism of Chitooligosaccharide-Polyphenol Conjugates toward Polyphenoloxidase from Shrimp Cephalothorax. Molecules, 28(14), 5560. https://doi.org/10.3390/molecules28145560

