Abstract
Acyl(imidoyl)ketenes are highly reactive heterocumulenes that enable diversity-oriented synthesis of various drug-like heterocycles. Such ketenes, bearing heterocyclic substituents, afford angularly fused pyridin-2(1H)-ones in their [4+2]-cyclodimerization reactions. We have utilized this property for the development of a new synthetic approach to pharmaceutically interesting pyrido[2,1-b][1,3]benzothiazol-1-ones via the [4+2]-cyclodimerization of acyl(1,3-benzothiazol-2-yl)ketenes generated in situ. The thermal behaviors of 3-aroylpyrrolo[2,1-c][1,4]benzothiazine-1,2,4-triones and 3-benzoylpyrrolo[2,1-b][1,3]benzothiazole-1,2-dione (two new types of [e]-fused 1H-pyrrole-2,3-diones reported by us recently) have been studied by thermal analysis and HPLC to elucidate their capability to be a source of acyl(1,3-benzothiazol-2-yl)ketenes. As a result, we have found that only 3-aroylpyrrolo[2,1-c][1,4]benzothiazine-1,2,4-triones are suitable for this. The experimental results are supplemented with computational studies that demonstrate that thermolysis of 3-aroylpyrrolo[2,1-c][1,4]benzothiazine-1,2,4-triones proceeds through an unprecedented cascade of two thermal decarbonylations. Based on these studies, we discovered a novel mode of thermal transformation of [e]-fused 1H-pyrrole-2,3-diones and developed a new pot, atom, and step economic synthetic approach to pyrido[2,1-b][1,3]benzothiazol-1-ones. The synthesized drug-like pyrido[2,1-b][1,3]benzothiazol-1-ones are of interest to pharmaceutics, since their close analogs show significant antiviral activity.
1. Introduction
Pyrido[2,1-b][1,3]benzothiazol-1-ones (Figure 1) are valuable scaffolds for medicinal chemistry. For example, their derivatives were found to be useful in the development of antiviral (anti-dengue [1], anti-flavivirus [2,3], inhibitors of NS5B polymerase of hepatitis C virus [4], antivirals against respiratory syncytial, influenza (Flu-V), and herpes simplex viruses [5]), antimicrobial (against Gram-positive bacteria (Bacillus subtilis, Bacillus thuringiensis) [6]), and anticancer (against HepG2 liver cancer cells [7] and Ehrlich-Lettre ascites carcinoma cells [8]) agents (Figure 1).
Figure 1.
Selected examples of biologically active pyrido[2,1-b][1,3]benzothiazol-1-ones [2,6,7].
Acyl(imidoyl)ketenes are versatile synthetic platforms that enable diversity-oriented synthesis (DOS) of various drug-like heterocyclic systems on their basis [9]. These compounds are highly reactive chemical species and can only be used in organic synthesis if generated in situ [9]. Nevertheless, their reactions tend to have high yields, short reaction times, high selectivity, pot, atom and step economy (PASE), and simple purification procedures [9].
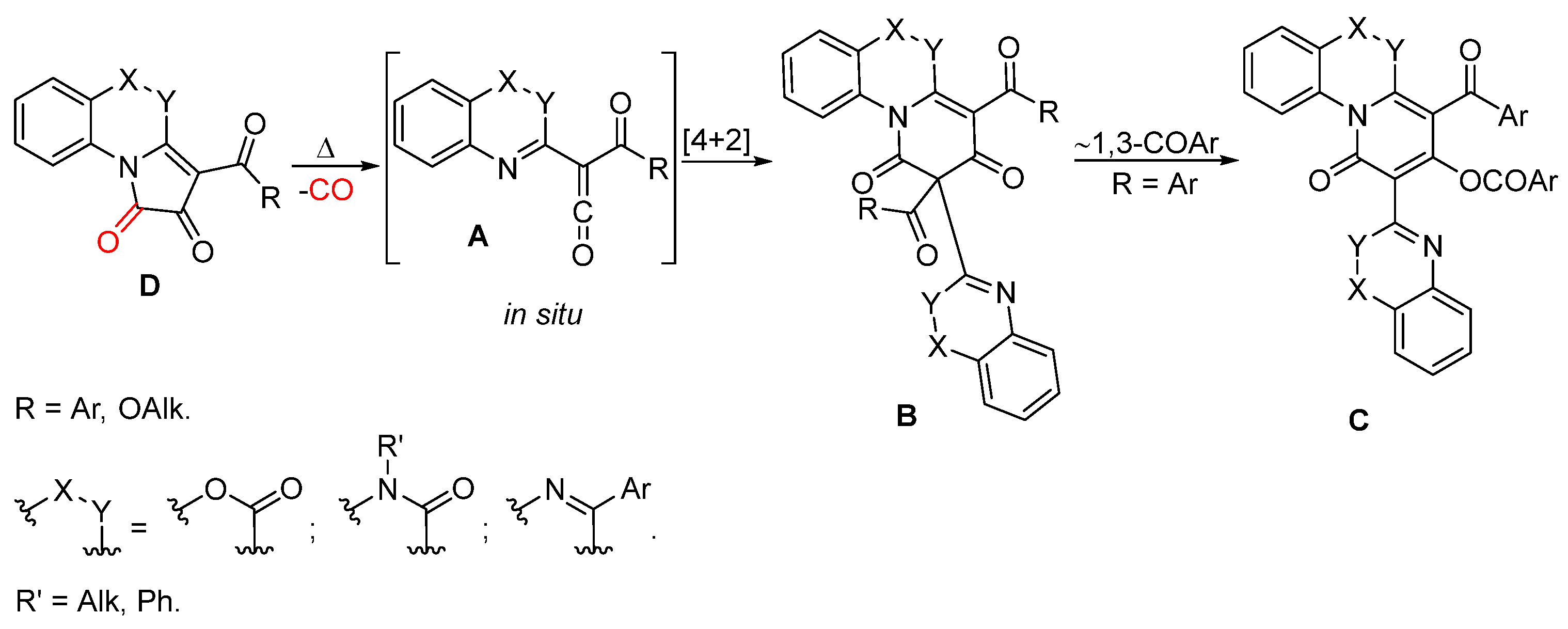
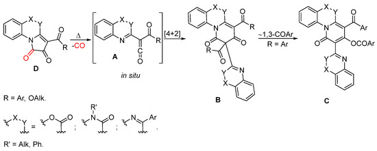
At the same time, acyl(imidoyl)ketenes A bearing heterocyclic substituents are known to afford angular heterocycles B or C in their [4+2]-cyclodimerization reactions (Scheme 1) [9]. Obviously, heterocycles C have in their structures angularly fused pyridin-2(1H)-one moiety, which, in principle, can open up the possibility of synthesis of pyrido [2,1-b][1,3]benzothiazol-1-ones on their basis. At present, only one method of generation in situ of acyl(imidoyl)ketenes A bearing heterocyclic substituents is known, thermal decarbonylation of [e]-fused 1H-pyrrole-2,3-diones (FPDs) D (Scheme 1) [9].
Scheme 1.
[4+2]-Cyclodimerization of acyl(imidoyl)ketenes A bearing heterocyclic substituents generated from FPDs D.
Recently, we have reported [10] a new type of FPDs, 3-aroylpyrrolo [2,1-c][1,4]benzothiazine-1,2,4-triones (APBTTs) 1, prone to undergo a 1,4-thiazine ring contraction reaction to afford corresponding 1,3-thiazole derivatives under certain conditions [11]. These seem to be a promising feature for the development of a synthetic strategy to pyrido [2,1-b][1,3]benzothiazol-1-ones through chemical transformations of APBTTs 1.
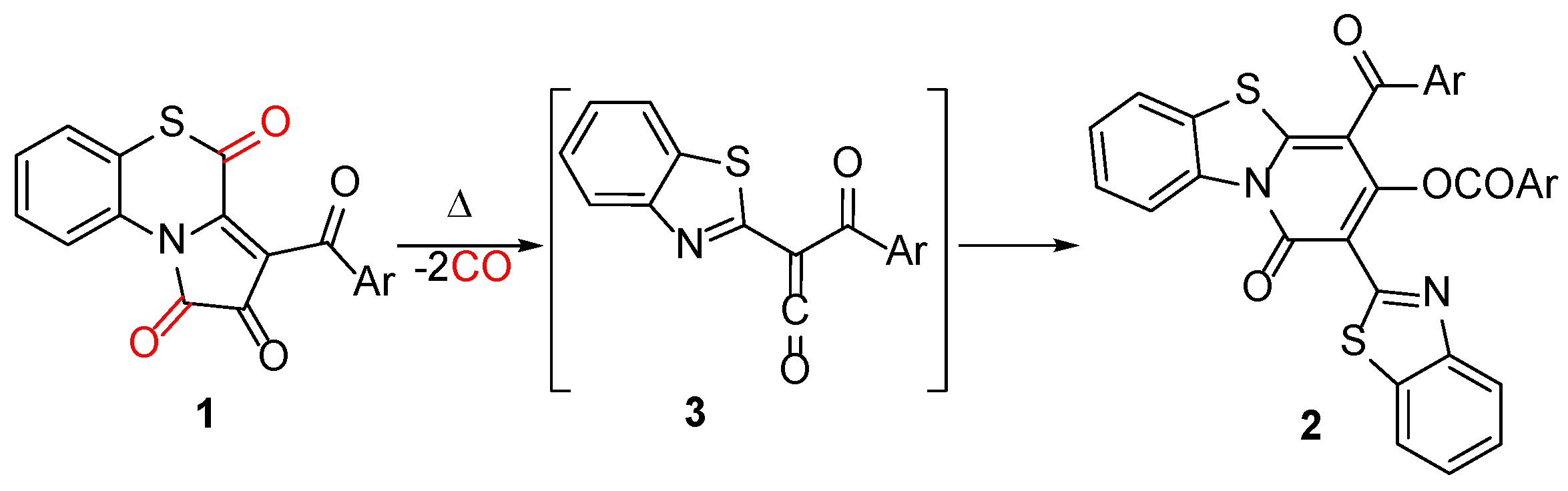
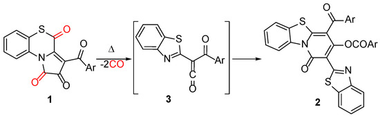
Considering the high pharmaceutical interest in pyrido [2,1-b][1,3]benzothiazol-1-ones, in this paper we report a new synthetic approach to novel derivatives of pyrido [2,1-b][1,3]benzothiazol-1-ones 2 via the [4+2]-cyclodimerization of acyl(1,3-benzothiazol-2-yl)ketenes 3 generated in situ from APBTTs 1 (Scheme 2). The experimental results were supplemented with computational studies to elucidate the reaction mechanism.
Scheme 2.
[4+2]-Cyclodimerization of acyl(1,3-benzothiazol-2-yl)ketenes 3 generated in situ from APBTTs 1 to afford pyrido [2,1-b][1,3]benzothiazol-1-ones 2.
2. Results and Discussion
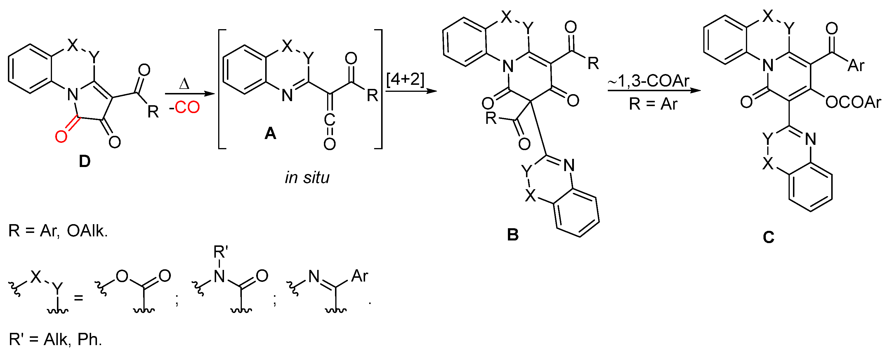
For the development of the approach to pyrido [2,1-b][1,3]benzothiazol-1-ones 2, we considered two types of potent sources of acyl(1,3-benzothiazol-2-yl)ketenes 3, APBTTs 1 [10,11] and 3-benzoylpyrrolo [2,1-b][1,3]benzothiazole-1,2-dione 4 (Scheme 3) [11]. Compound 4 was assumed to undergo a classical pattern for FPDs of thermal decarbonylation [9], cheletropic elimination of CO from C1=O position, affording the desired ketene 3a. Compounds 1 were hypothesized to undergo elimination of two molecules of CO from C1=O (as a classical pattern of thermal decarbonylation for FPDs [9]) and C4=O positions (as a reactivity feature of APBTTs 1, observed by us earlier in nucleophilic reactions [11]), affording the desired ketenes 3.
Scheme 3.
Two ways of generating acyl(1,3-benzothiazol-2-yl)ketenes 3.
To check our assumptions, we studied the thermal decomposition of compounds 1a–g, 4 by simultaneous thermal analysis (STA) (Table 1, Figure 2 and Figure 3, Supplementary Materials). According to the data obtained, APBTTs 1a–g underwent thermal decomposition with a weight loss accompanied by an exothermic effect (Figure 2). The values of the weight loss corresponded to the elimination of two CO molecules from APBTTs 1a–g (Table 1), which was in a good accordance with our assumptions about the thermolysis pattern of these compounds. In the case of compound 4, it underwent thermal decomposition with a weight loss accompanied by an exothermic effect consisting of two peaks (Figure 3). The value of the weight loss was one and a half times more than the calculated one for the elimination of CO molecules from compound 4 (Table 1). Apparently, compound 4 took a different pathway of thermolysis from that proposed by us.
Table 1.
STA of compounds 1a–g, 4.
Figure 2.
STA plot of thermolysis of APBTT 1a. Blue solid curve: differential scanning calorimetry (DSC); green solid curve: thermogravimetry (TG); greed dashed curve: derivative thermogravimetry (dTG); heating rate: 10 K/min; argon atmosphere.
Figure 3.
STA plot of thermolysis of compound 4. Blue solid curve: differential scanning calorimetry (DSC); green solid curve: thermogravimetry (TG); greed dashed curve: derivative thermogravimetry (dTG); heating rate: 10 K/min; argon atmosphere.
Examination by HPLC-UV (Supplementary Materials) of the products of thermolysis of compounds 1a–g, 4, obtained by measuring their melting points in a capillary, revealed that thermolysis of APBTTs 1a–g resulted in the formation of a single product, and thermolysis of compound 4 resulted in a complex mixture of products, among which only trace amounts of thermolysis product corresponding to APBTT 1a were observed. In addition, compounds 1a–d decomposed without melting (visually dark violet solid turned to a yellow solid), and compounds 1e–g, 4 melted with decomposition.
Thus, the results of STA and HPLC-UV (Supplementary Materials) clearly indicated that APBTTs 1a–g could be suitable candidates for the synthesis of compounds 2a–g, while compound 4 was not.
Then, we successfully scaled up the thermolysis of APBTTs 1a–g under solvent-free conditions to 0.3 mmol (about 100 mg) and isolated products 2a–g in good yields (58-91%) by simple recrystallization of the reaction mixtures. The structures of compounds 2a,f were unequivocally proved by single crystal X-ray analyses (CCDC 2277018 (2a), 2277017 (2f), Supplementary Materials). It should be mentioned that compounds 2a–g had very poor solubility, and there were problems with the acquisition of their NMR spectra; therefore, their 13C NMR spectra were obtained involving solid-state (ssNMR) and cryoprobe NMR techniques (Supplementary Materials).
Since the structures of compounds 2a,f were proved by single crystal X-ray analyses, they can be considered as reference structures for the establishment of the structures of other compounds 2 by comparison of their spectral characteristics.
So, 1H NMR spectra of compounds 2 show a set of signals of aromatic protons, one of which has a segregate signal in the region of 9.51 ppm (for spectra recorded in CDCl3) or 9.35–9.31 ppm (for spectra recorded in DMSO-d6) (Figure 4, Section 3.2, Supplementary Materials). This characteristic signal is produced by C9H moiety, which is deshielded by the carbonyl group C1=O of the pyridinone moiety. In 13C NMR spectra of compounds 2, nine characteristic signals (with the exception of signals of substituents in aromatic rings) are segregated from a set of aromatic signals. In compound 2a, they are the signal of the carbon atom of an aroyl carbonyl group C(Ar)=O at 191.8 ppm, the signal of the carbon atom of an ester carbonyl group OC(Ar)=O at 163.6 ppm, the signal of the carbon atom C1′ of a 2-(1,3-benzothiazol-2-yl) substituent at 161.2 ppm, the signal of the carbon atom of a carbonyl group C1=O at 158.3 ppm, the signal of the carbon atom of a pyridinone moiety C4a at 156.0 ppm, the signal of the carbon atom of a pyridinone moiety C3 at 155.2 ppm, the signal of the carbon atom C3a′ of a 2-(1,3-benzothiazol-2-yl) substituent at 152.0 ppm, and two signals of carbon atoms of a pyridinone moiety C2 and C4 at 108.6 and 108.7 ppm (Figure 4, Section 3.2, Supplementary Materials). NMR spectra of compounds 2b–g show similar characteristic signals (Section 3.2, Supplementary Materials). In IR spectra of compounds 2, there are two characteristic bands. One of them corresponds to vibrations of an ester carbonyl group OC(Ar)=O at 1735–1756 cm−1, and the other one, a joint band, corresponds to vibrations of a ketone aroyl carbonyl group C(Ar)=O and a lactam carbonyl group C1=O of the pyridinone moiety at 1654–1665 cm−1 (Section 3.2, Supplementary Materials).
Figure 4.
Characteristic signals in NMR spectra (CDCl3) (left structure: red is for 1H NMR signals; blue is for 13C NMR signals in the downfield; and green is for 13C NMR signals in the upfield) and atom numbering (right structure) of compound 2a, whose structure was proved by single crystal X-ray analysis.
To elucidate the possible mechanism of the investigated reaction, we performed computational DFT studies (Supplementary Materials).
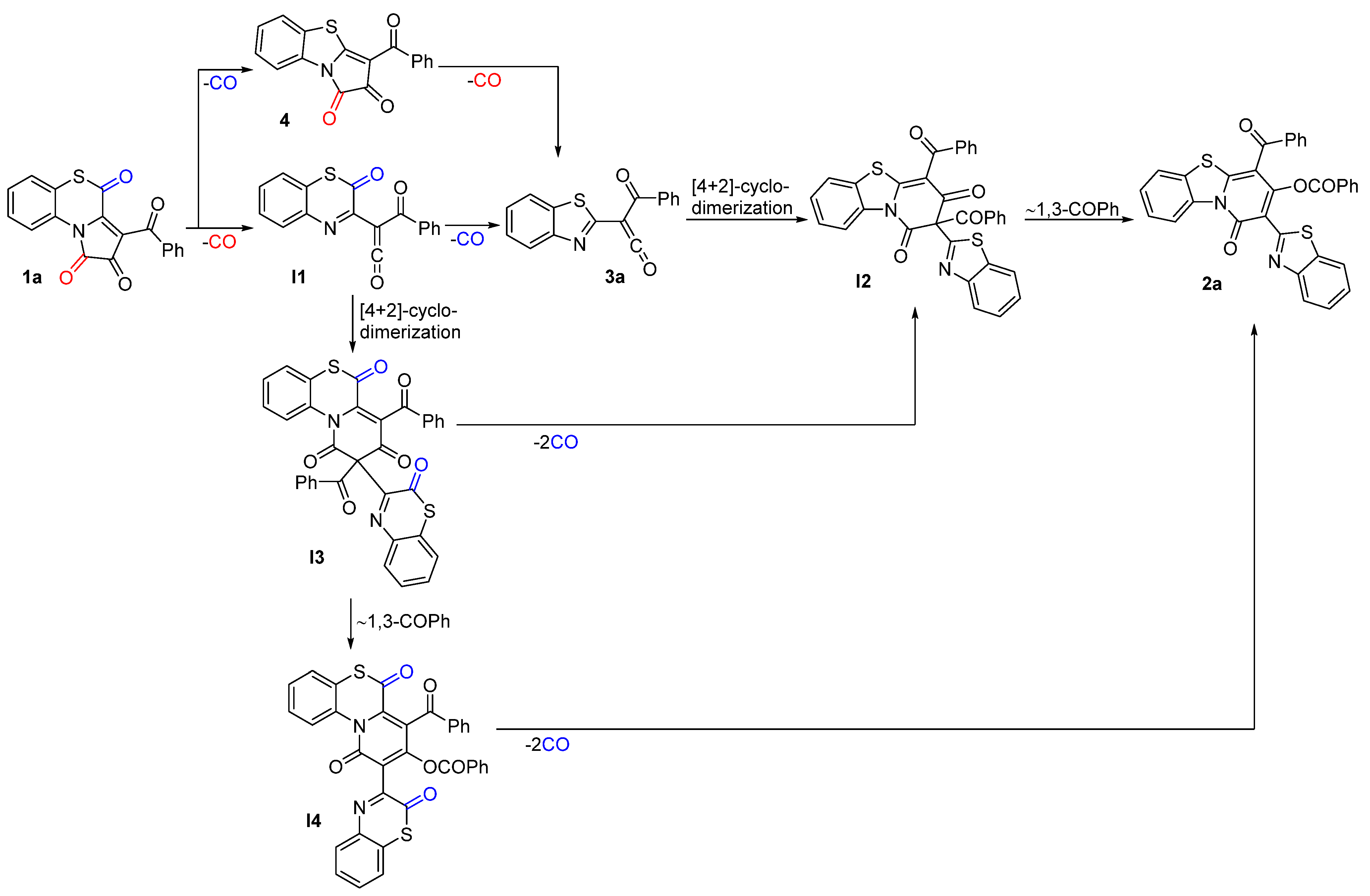
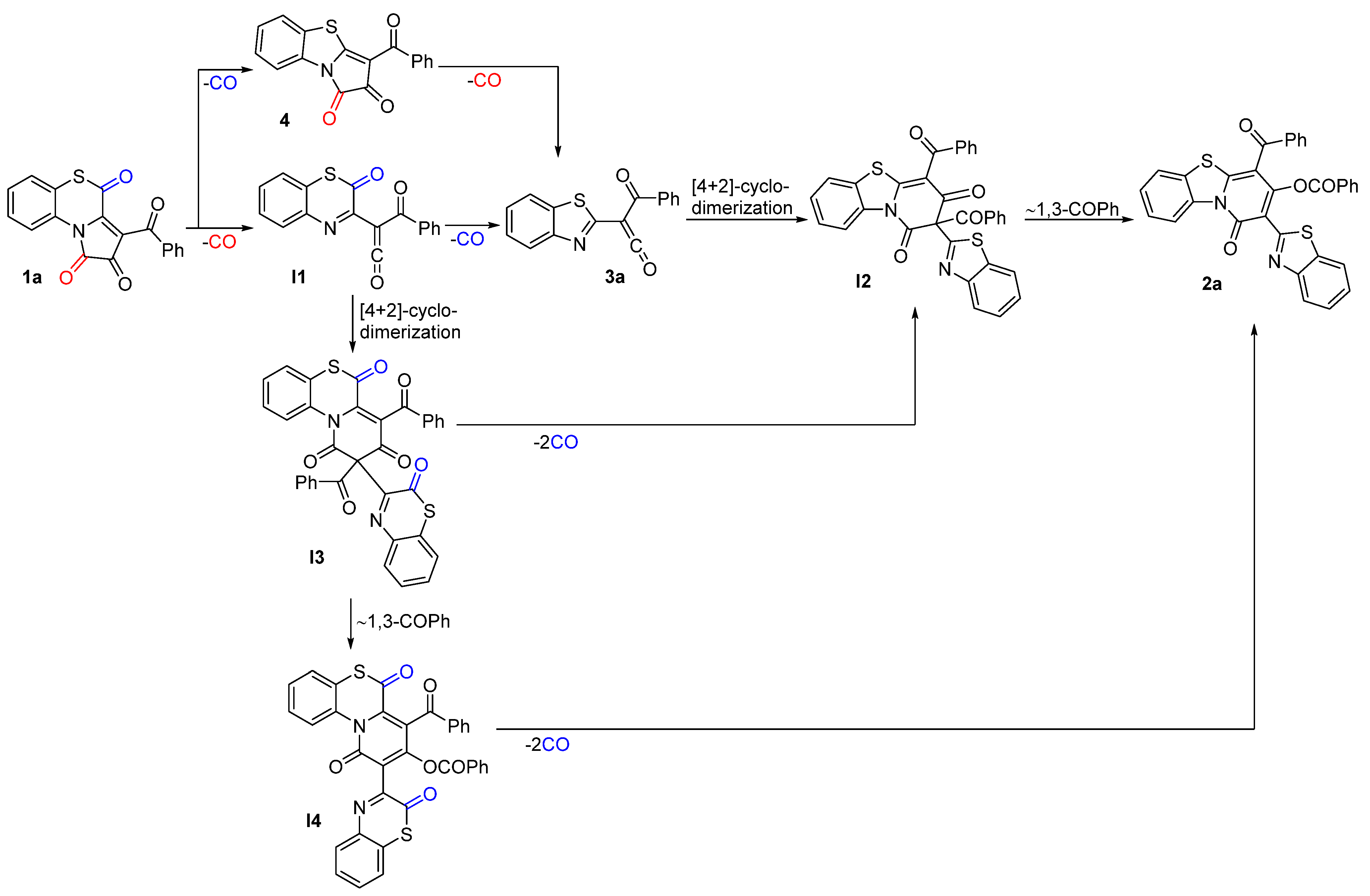
So, transformation of APBTT 1a to pyrido [2,1-b][1,3]benzothiazol-1-one 2a could proceed through several pathways, which are different combinations of two decarbonylations, [4+2]-cyclodimerization, and 1,3-acylotropic shift (Scheme 4). At the initial stage, APBTT 1a could undergo two patterns of decarbonylation, a classical variant of elimination of C1=O to afford ketene I1 [9], and an unusual variant of elimination of C4=O to give 3-benzoylpyrrolo [2,1-b][1,3]benzothiazole-1,2-dione 4. Then, intermediates I1, 4 could decarbonylate again to result in ketene 3a, which could undergo a [4+2]-cyclodimerization→1,3-acylotropic shift cascade, or intermediate I1 could undergo a classical pathway of [4+2]-cyclodimerization with a subsequent 1,3-acylotropic shift→decarbonylation or decarbonylation→1,3-acylotropic shift cascade.
Scheme 4.
Elementary stages of different pathways for 1a → 2a transformation.
We were most interested in the first stage of the process under study, since experimentally we observed that thermolysis of compound 4 did not afford the target compound 2a (results of STA and HPLC-UV studies).
Results of DFT calculations of total electronic energies, enthalpies, and Gibbs free energies of reaction for elementary stages of different pathways for 1a → 2a transformation (Table 2) revealed that transformation 1a → 3a occurred via intermediate 4 (an unprecedented pathway), whereas the formation of alternative intermediate I1 was found to be highly thermodynamically unfavorable. So, according to these calculations, 1a → 2a transformation proceeded through 1a → 4 → 3a → I2 → 2a sequence.
Table 2.
Calculated values of total electronic energies, enthalpies, and Gibbs free energies (ΔE, ΔH, and ΔG) of reaction for elementary stages of different pathways for 1a → 2a transformation 1.
Note that results of DFT calculations of total electronic energies, enthalpies, and Gibbs free energies of activation for elementary stages of different pathways for 1a → 3a transformation (Figure 5, Table 3) also revealed that transformation 1a → 3a occurred via intermediate 4, whereas the formation of alternative intermediate I1 was found to be highly thermodynamically and kinetically unfavorable.
Figure 5.
Energy profile for elementary stages of different pathways for 1a → 3a transformation.
Table 3.
Calculated values of total electronic energies, enthalpies, and Gibbs free energies of activation (ΔE≠, ΔH≠, and ΔG≠) for elementary stages of different pathways for 1a → 3a transformation 1.
Thus, we observed a discrepancy between theoretical calculations and experimental observations. So, keeping the obtained results in mind, we suppose that when individual compound 4 was heated slowly and gradually from room temperature in our experiments, it underwent another way of decomposition from that we assumed above (Scheme 3). This makes thermolytic transformations of 3-benzoylpyrrolo [2,1-b][1,3]benzothiazole-1,2-dione 4 an intriguing object for further studies.
3. Materials and Methods
3.1. General Information
1H and 13C NMR spectra (Supplementary Materials) were acquired on a Bruker Avance III 400 HD spectrometer (Bruker BioSpin AG, Faellanden, Switzerland) (at 400 and 100 MHz, respectively) or on a Bruker Avance 500 Neo (Bruker BioSpin AG, Faellanden, Switzerland) equipped with a Prodigy (BBO) broadband cryoprobe (at 125 MHz for 13C nuclei) in CDCl3 (stab. with Ag) or DMSO-d6 using solvent residual signals (in 13C NMR, 77.00 for CDCl3, 39.51 for DMSO-d6; in 1H NMR, 7.26 for CDCl3, 2.50 for DMSO-d6) as internal standards. 19F NMR spectrum (Supplementary Materials) was acquired on a Bruker Avance III 400 HD spectrometer (Bruker BioSpin AG, Faellanden, Switzerland) (at 376 MHz) in DMSO-d6 using C6H5CF3 signals as internal standard. 13C ssNMR spectra (Supplementary Materials) were acquired on a Bruker Avance III 400 WB NMR spectrometer (Bruker BioSpin AG, Faellanden, Switzerland) (at 100 MHz). IR spectra were recorded on a Perkin–Elmer Spectrum Two spectrometer (PerkinElmer Inc., Waltham, MA, USA) from mulls in mineral oil. Melting points were measured on a Mettler Toledo MP70 apparatus (Mettler-Toledo (MTADA), Schwerzenbach, Switzerland). Elemental analyses were carried out on a Vario MICRO Cube analyzer (Elementar Analysensysteme GmbH, Langenselbold, Germany). The reaction conditions were optimized using HPLC-UV [Hitachi Chromaster (Hitachi High-Technologies Corporation, Tokyo, Japan); NUCLEODUR C18 Gravity column (particle size 3 μm; eluent acetonitrile–water, flow rate 1.5 mL/min); Hitachi Chromaster 5430 diode array detector (λ 210–750 nm)]. STA (Supplementary Materials) was performed using a Netzsch STA 449 F1 Jupiter (Netzsch - Gerätebau GmbH, Wittelsbacherstraße, Germany) with temperature programs 10 K/min under an argon atmosphere (20 mL/min). The single crystal X-ray analyses of compounds 2a,f were performed on an Xcalibur Ruby diffractometer (Agilent Technologies) (Oxfordshire, UK). The empirical absorption correction was introduced by multi-scan method using SCALE3 ABSPACK algorithm [12]. Using OLEX2 [13], the structures were solved with the SHELXS [14] program and refined by the full-matrix least-squares minimization in the anisotropic approximation for all non-hydrogen atoms with the SHELXL [15] program. Hydrogen atoms were positioned geometrically and refined using a riding model. HPLC-UV chromatograms were analyzed in MultiChrom program for Windows [16]. Thin-layer chromatography (TLC) was performed on Merck silica gel 60 F254 plates using EtOAc/toluene, 1:5 v/v, toluene, and EtOAc as eluents. Starting compounds 1a–g, 4 were obtained according to reported procedures [10,11]. All other solvents and reagents were purchased from commercial vendors and used as received. Procedures involving compounds 1a–g, 4 were carried out in oven-dried glassware.
General Procedure for Compounds 2a–g
The corresponding APBTT 1 (0.3 mmol) was put into an oven-dried test tube and pressed slightly. Then, it was heated at 220 °C on a metal bath for 3 min. The reaction mixture was cooled to room temperature and scrubbed with toluene (5 mL). The resulting precipitate was filtered off and recrystallized from toluene to afford an appropriate pyrido [2,1-b][1,3]benzothiazol-1-one 2.
- 2-(1,3-Benzothiazol-2-yl)-4-benzoyl-1-oxo-1H-pyrido [2,1-b][1,3]benzothiazol-3-yl benzoate (2a). Yield: 71 mg (85%); yellow solid; mp 299–301 °C. 1H NMR (400 MHz, CDCl3): δ = 9.51 (m, 1 H), 7.90 (m, 2 H), 7.68–7.48 (m, 8 H), 7.37–7.13 (m, 6 H), 7.00 (m, 1 H) ppm. 13C NMR (100 MHz, CDCl3): δ = 191.8, 163.6, 161.2, 158.3, 156.0, 155.2, 152.0, 140.4, 137.5, 135.4, 133.2, 131.1, 130.3 (2C), 129.1, 128.8, 128.2 (2C), 127.8 (2C), 127.8, 127.7 (2C), 127.6, 125.6, 124.8, 122.4, 121.9, 121.0 (2C), 108.7, 108.6 ppm. IR (mineral oil): 1742, 1657 cm−1. Anal. Calcd (%) for 3C32H18N2O4S2 · C7H7: C 69.97; H 3.53; N 4.75. Found: C 69.68; H 3.43; N 5.18. The crystal structure of compound 2a was deposited at the Cambridge Crystallographic Data Centre with the deposition number CCDC 2277018. Crystal Data: C32H18N2O4S2, M = 558.60, triclinic, a = 7.2896(13) Å, b = 16.634(3) Å, c = 21.579(2) Å, α = 80.604(11)°, β = 88.828(11)°, γ = 85.776(14)°, V = 2574.4(7) Å3, T = 295(2), space group P–1, Z = 2, μ(MoKα) = 0.251 mm−1. The final refinement parameters: R1 = 0.0842 [for observed 5887 reflections with I > 2σ(I)], wR2 = 0.2491 (for all independent 12279 reflections, Rint = 0.0619), S = 1.059. Largest diff. peak and hole, 0.434 and −0.531 ēÅ−3.
- 2-(1,3-Benzothiazol-2-yl)-4-(4-methylbenzoyl)-1-oxo-1H-pyrido [2,1-b][1,3]benzothiazol-3-yl 4-methylbenzoate (2b). Yield: 88 mg (89%); yellow solid; mp 311–313 °C. 1H NMR (400 MHz, CDCl3): δ = 9.51 (m, 1 H), 8.04–7.85 (m, 3 H), 7.72–7.44 (m, 7 H), 7.34–7.01 (m, 5 H), 2.44 (s, 3 H), 2.17 (s, 3 H) ppm. 13C NMR (125 MHz, CDCl3): δ = 191.7, 163.6, 161.2, 158.4, 156.0, 155.0, 152.0, 143.9, 141.9, 137.4, 135.3, 130.4 (2C), 129.0, 128.8 (2C), 128.7, 128.4 (2C), 128.0 (2C), 127.7, 127.5, 126.2, 125.5, 125.3, 124.7, 122.5, 121.9, 121.0, 120.9, 108.8, 21.8, 21.3 ppm. IR (mineral oil): 1742, 1654 cm−1. Anal. Calcd (%) for C34H22N2O4S2: C 69.61; H 3.78; N 4.78. Found: C 70.00; H 3.73; N 4.64.
- 2-(1,3-Benzothiazol-2-yl)-4-(4-chlorobenzoyl)-1-oxo-1H-pyrido [2,1-b][1,3]benzothiazol-3-yl 4-chlorobenzoate (2c). Yield: 94 mg (81%); yellow solid; mp 312–314 °C. 1H NMR (400 MHz, CDCl3): δ = 9.51 (m, 1 H), 8.07 (m, 2 H), 7.92 (m, 2 H), 7.73–7.08 (m, 11 H) ppm. 13C ssNMR (100 MHz): δ = 191.6, 161.8, 159.5, 153.7, 150.1, 138.3, 136.5, 132.8, 129.5, 126.2, 122.5, 118.6, 110.5 ppm. IR (mineral oil): 1751, 1663 cm−1. Anal. Calcd (%) for C32H16Cl2N2O4S2: C 61.25; H 2.57; N 4.46. Found: C 61.39; H 2.63; N 4.29.
- 2-(1,3-Benzothiazol-2-yl)-4-(4-bromobenzoyl)-1-oxo-1H-pyrido [2,1-b][1,3]benzothiazol-3-yl 4-bromobenzoate (2d). Yield: 97 mg (91%); yellow solid; mp 318–320 °C. 1H NMR (400 MHz, CDCl3): δ = 9.51 (m, 1 H), 8.00–7.89 (m, 4 H), 7.79–7.30 (m, 10 H), 7.12 (m, 1 H) ppm. 13C ssNMR (100 MHz): δ = 191.6, 162.1, 159.5, 154.4, 150.2, 138.7, 136.6, 132.8, 129.7, 126.3, 122.8, 121.0, 118.7, 110.5, 107.2 ppm. IR (mineral oil): 1752, 1665 cm−1. Anal. Calcd (%) for C32H16Br2N2O4S2: C 53.65; H 2.25; N 3.91. Found: C 53.31; H 2.08; N 3.77.
- 2-(1,3-Benzothiazol-2-yl)-4-(4-fluorobenzoyl)-1-oxo-1H-pyrido [2,1-b][1,3]benzothiazol-3-yl 4-fluorobenzoate (2e). Yield: 65 mg (73%); yellow solid; mp 283–285 °C. 1H NMR (400 MHz, DMSO-d6): δ = 9.35 (m, 1 H), 8.30 (m, 1 H), 8.11 (m, 1 H), 7.82–7.67 (m, 5 H), 7.61–7.43 (m, 1 H), 7.39–7.28 (m, 4 H), 7.19–7.12 (m, 2 H), 6.96 (m, 1 H) ppm. 13C NMR (125 MHz, CDCl3): δ = 190.2, 167.0, 165.5, 165.0, 163.5, 162.5, 161.0, 158.1, 155.5, 155.3, 151.9, 137.3, 136.4, 136.4, 135.2, 132.9, 132.8, 130.4, 130.3, 128.6, 127.9, 127.7, 125.7, 125.1, 125.1, 124.9, 122.3, 122.0, 121.0, 120.9, 115.4, 115.4, 115.2, 115.2, 108.5, 108.3 ppm. 19F NMR (376 MHz, DMSO-d6): δ = -107.18, -110.75 ppm. IR (mineral oil): 1747, 1661 cm−1. Anal. Calcd (%) for C32H16F2N2O4S2: C 64.64; H 2.71; N 4.71. Found: C 64.52; H 2.73; N 4.65.
- 2-(1,3-Benzothiazol-2-yl)-4-(furan-2-carbonyl)-1-oxo-1H-pyrido [2,1-b][1,3]benzothiazol-3-yl furan-2-carboxylate (2f). Yield: 47 mg (58%); yellow solid; mp 272–274 °C. 1H NMR (400 MHz, DMSO-d6): δ = 9.31 (m, 1 H), 8.23 (m, 1 H), 8.13 (m, 1 H), 8.08 (m, 1 H), 8.01 (m, 1 H), 7.77–7.69 (m, 2 H), 7.51 (m, 1 H), 7.40 (m, 2 H), 7.34 (m, 1 H), 7.13 (m, 1 H), 6.81 (m, 1 H), 6.69 (m, 1 H) ppm. 13C NMR (125 MHz, CDCl3): δ = 177.5, 160.9, 154.8, 154.5, 154.0, 152.2, 151.9, 147.0, 146.8, 144.3, 137.5, 136.5, 135.3, 128.1, 127.8, 127.6, 125.7, 125.0, 124.9, 122.4, 121.8, 121.1, 120.9, 119.6, 119.3, 112.2, 112.2, 108.4 ppm. IR (mineral oil): 1756, 1660 cm−1. Anal. Calcd (%) for C28H14N2O6S2: C 62.45; H 2.62; N 5.20. Found: C 62.59; H 2.43; N 5.28. The crystal structure of compound 2f was deposited at the Cambridge Crystallographic Data Centre with the deposition number CCDC 2277017. Crystal Data: 2(C28H14N2O6S2)∙C7H8, M = 1169.20, triclinic, a = 9.4943(16) Å, b = 12.3983(17) Å, c = 12.9210(16) Å, α = 111.584(13)°, β = 92.997(14)°, γ = 107.840(15)°, V = 1322.7(4) Å3, T = 295(2), space group P–1, Z = 1, μ(MoKα) = 0.253 mm−1. The final refinement parameters: R1 = 0.0579 [for observed 3726 reflections with I > 2σ(I)], wR2 = 0.1505 (for all independent 6240 reflections, Rint = 0.0481), S = 1.035. Largest diff. peak and hole, 0.234 and −0.274 ēÅ−3.
- 2-(1,3-Benzothiazol-2-yl)-4-(thiophene-2-carbonyl)-1-oxo-1H-pyrido [2,1-b][1,3]benzothiazol-3-yl thiophene-2-carboxylate (2g). Yield: 60 mg (70%); yellow solid; mp 278–280 °C. 1H NMR (400 MHz, DMSO-d6): δ = 9.33 (m, 1 H), 8.22 (m, 1 H), 8.12 (m, 1 H), 8.06 (m, 1 H), 8.00 (m, 1 H), 7.92 (m, 1 H), 7.78–7.69 (m, 3 H), 7.40–7.33 (m, 2 H), 7.25 (m, 1 H), 7.20 (m, 1 H), 7.05 (m, 1 H) ppm. 13C NMR (125 MHz, CDCl3): δ = 182.6, 160.9, 158.7, 158.2, 154.2, 154.1, 152.0, 143.1, 137.6, 135.3, 135.0, 134.1, 133.8, 133.7, 132.5, 128.1, 127.8, 127.7, 127.6, 127.5, 125.7, 124.8, 122.4, 121.8, 121.0, 121.0, 109.2, 108.8 ppm. IR (mineral oil): 1735, 1655 cm−1. Anal. Calcd (%) for C28H14N2O4S4: C 58.93; H 2.47; N 4.91. Found: C 58.67; H 2.04; N 4.82.
3.2. Computational Details
The DFT calculations for all model structures were carried out at the M06-2X/6-31G* level of theory with the help of the Gaussian-09 program package [17]. No symmetry restrictions have been applied during the geometry optimization procedure. The Hessian matrices were calculated analytically for all optimized model structures to prove the location of the correct minimum or saddle point (transition state) on the potential energy surface. The Cartesian atomic coordinates for all model structures are presented in attached xyz-files (Supplementary Materials).
4. Conclusions
The thermal decomposition of 3-aroylpyrrolo [2,1-c][1,4]benzothiazine-1,2,4-triones 1 and 3-benzoylpyrrolo [2,1-b][1,3]benzothiazole-1,2-dione 4 was investigated to elucidate their ability to generate acyl(1,3-benzothiazol-2-yl)ketenes 3. Based on these results, a series of novel pyrido [2,1-b][1,3]benzothiazol-1-ones 2 was prepared from compounds 1 in a high yield of up to 91%. According to computational studies, the thermolysis of compounds 1 proceeded via an unprecedented cascade of two thermal decarbonylations 1→4→acyl(1,3-benzothiazol-2-yl)ketenes 3. The developed pyrido [2,1-b][1,3]benzothiazol-1-ones 2 are of interest to medicine and pharmaceutics.
Supplementary Materials
The following supporting information can be downloaded at: https://www.mdpi.com/article/10.3390/molecules28145495/s1, copies of NMR spectra for new compounds 2a–g, STA plots for compounds 1a–g, 4, details of DFT calculations, Cartesian atomic coordinates for all model structures, HPLC-UV chromatograms, and ORTEP images of X-ray crystal structures.
Author Contributions
Conceptualization, E.E.K.; methodology, E.E.K. and E.A.L.; investigation, E.E.K. and E.A.L. (synthetic chemistry), M.V.D. (X-ray analysis), and A.S.N. (DFT calculations); writing—original draft preparation, E.E.K. and A.S.N.; writing—review and editing, E.E.K., E.A.L., A.S.N. and M.V.D.; supervision, E.E.K.; project administration, E.E.K.; funding acquisition A.N.M., E.E.K. and A.S.N. All authors have read and agreed to the published version of the manuscript.
Funding
This research was funded by the Ministry of Science and Higher Education of the Russian Federation (FSNF-2023-0004), Russian Foundation for Basic Research (project 20-43-596008), and the government of Perm Krai. The DFT calculations were supported by the RUDN University Strategic Academic Leadership Program. E.E.K. is thankful for the Scholarship of the President of the Russian Federation for young scientists and graduate students (project no. SP-838.2022.4).
Institutional Review Board Statement
Not applicable.
Informed Consent Statement
Not applicable.
Data Availability Statement
The presented data are available in this article.
Acknowledgments
The authors sincerely thank Ivan G. Mokrushin (Perm State University, Perm, Russia) for help with STA experiments. The authors cordially thank Aleksey Y. Dubovtsev (Saint Petersburg State University, Saint Petersburg, Russia) for help with elemental analyses and NMR spectra.
Conflicts of Interest
The authors declare no conflict of interest.
Sample Availability
Samples of all compounds are available from the authors.
References
- Cannalire, R.; Chan, K.W.K.; Burali, M.S.; Gwee, C.P.; Wang, S.; Astolfi, A.; Massari, S.; Sabatini, S.; Tabarrini, O.; Mastrangelo, E.; et al. Pyridobenzothiazolones Exert Potent Anti-Dengue Activity by Hampering Multiple Functions of NS5 Polymerase. ACS Med. Chem. Lett. 2020, 11, 773–782. [Google Scholar] [CrossRef] [PubMed]
- Cannalire, R.; Tarantino, D.; Piorkowski, G.; Carletti, T.; Massari, S.; Felicetti, T.; Barreca, M.L.; Sabatini, S.; Tabarrini, O.; Marcello, A.; et al. Broad spectrum anti-flavivirus pyridobenzothiazolones leading to less infective virions. Antivir. Res. 2019, 167, 6–12. [Google Scholar] [CrossRef]
- Tarantino, D.; Cannalire, R.; Mastrangelo, E.; Croci, R.; Querat, G.; Barreca, M.L.; Bolognesi, M.; Manfroni, G.; Cecchetti, V.; Milani, M. Targeting flavivirus RNA dependent RNA polymerase through a pyridobenzothiazole inhibitor. Antivir. Res. 2016, 134, 226–235. [Google Scholar] [CrossRef]
- Manfroni, G.; Meschini, F.; Barreca, M.L.; Leyssen, P.; Samuele, A.; Iraci, N.; Sabatini, S.; Massari, S.; Maga, G.; Neyts, J.; et al. Pyridobenzothiazole derivatives as new chemotype targeting the HCV NS5B polymerase. Bioorg. Med. Chem. 2012, 20, 866–876. [Google Scholar] [CrossRef] [PubMed]
- Shigeta, S.; Hosoya, M.; Mochizuki, S.; Chiba, T. Studies on Antiviral Agents. I. Antiviral Activity of Pyridobenzoazoles. Yakugaku Zasshi 1988, 108, 856–859. [Google Scholar] [CrossRef] [PubMed]
- Fadda, A.A.; Soliman, N.N.; Bayoumy, N.M. Antimicrobial Properties of Some New Synthesized Benzothiazole Linked Carboxamide, Acetohydrazide, and Sulfonamide Systems. J. Heterocycl. Chem. 2019, 56, 2369–2378. [Google Scholar] [CrossRef]
- Youssef, A.M.; Malki, A.; Badr, M.H.; Elbayaa, R.Y.; Sultan, A.S. Synthesis and Anticancer Activity of Novel Benzimidazole and Benzothiazole Derivatives against HepG2 Liver Cancer Cells. Med. Chem. 2012, 8, 151–162. [Google Scholar] [CrossRef] [PubMed]
- Youssef, A.M.; Noaman, E. Synthesis and Evaluation of Some Novel Benzothiazole Derivatives as Potential Anticancer and Antimicrobial Agents. Arzneimittelforschung 2007, 57, 547–553. [Google Scholar] [CrossRef] [PubMed]
- Lystsova, E.A.; Khramtsova, E.E.; Maslivets, A.N. Acyl(imidoyl)ketenes: Reactive Bidentate Oxa/Aza-Dienes for Organic Synthesis. Symmetry 2021, 13, 1509. [Google Scholar] [CrossRef]
- Khramtsova, E.E.; Lystsova, E.A.; Dmitriev, M.V.; Maslivets, A.N.; Jasiński, R. Reaction of Aroylpyrrolobenzothiazinetriones with Electron-Rich Dienophiles. ChemistrySelect 2021, 6, 6295–6301. [Google Scholar] [CrossRef]
- Lystsova, E.A.; Dmitriev, M.V.; Maslivets, A.N.; Khramtsova, E.E. Nucleophile-induced ring contraction in pyrrolo[2,1-c][1,4]benzothiazines: Access to pyrrolo[2,1-b][1,3]benzothiazoles. Beilstein J. Org. Chem. 2023, 19, 646–657. [Google Scholar] [CrossRef] [PubMed]
- CrysAlisPro, Version 1.171.37.33 (release 27-03-2014 CrysAlis171.NET); Agilent Technologies: Santa Clara, CA, USA, 2014.
- Dolomanov, O.V.; Bourhis, L.J.; Gildea, R.J.; Howard, J.A.K.; Puschmann, H. OLEX2: A complete structure solution, refinement and analysis program. J. Appl. Cryst. 2009, 42, 339–341. [Google Scholar] [CrossRef]
- Sheldrick, G.M. A short history of SHELX. Acta Crystallogr. Sect. A Found. Crystallogr. 2008, 64, 112. [Google Scholar] [CrossRef] [PubMed]
- Sheldrick, G.M. Crystal structure refinement with SHELXL. Acta Crystallogr. Sect. C Struct. Chem. 2015, 71, 3–8. [Google Scholar] [CrossRef] [PubMed]
- MultiChrom for Windows (© 1993-2015 Ampersand Ltd.), Version 3.4.01468; Ampersand Ltd.: Moscow, Russia, 2015.
- Frisch, M.J.; Trucks, G.W.; Schlegel, H.B.; Scuseria, G.E.; Robb, M.A.; Cheeseman, J.R.; Scalmani, G.; Barone, V.; Mennucci, B.; Petersson, G.A.; et al. Gaussian 09, Revision, C.01; Gaussian, Inc.: Wallingford, CT, USA, 2010. [Google Scholar]
Disclaimer/Publisher’s Note: The statements, opinions and data contained in all publications are solely those of the individual author(s) and contributor(s) and not of MDPI and/or the editor(s). MDPI and/or the editor(s) disclaim responsibility for any injury to people or property resulting from any ideas, methods, instructions or products referred to in the content. |
© 2023 by the authors. Licensee MDPI, Basel, Switzerland. This article is an open access article distributed under the terms and conditions of the Creative Commons Attribution (CC BY) license (https://creativecommons.org/licenses/by/4.0/).








