Enabling Quick Response to Nitrogen Dioxide at Room Temperature and Limit of Detection to Ppb Level by Heavily n-Doped Graphene Hybrid Transistor
Abstract
1. Introduction
2. Results and Discussions
2.1. Structural Characterizations of CN-PPV–G Films


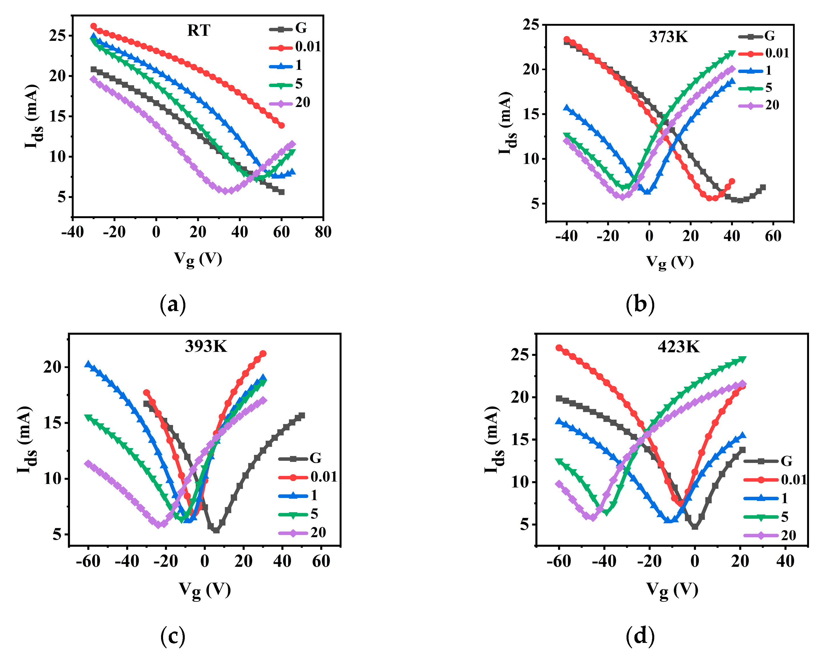
2.2. Doping Effect of CN-PPV to G Layers with Different Solution Concentrations and Annealing Temperatures


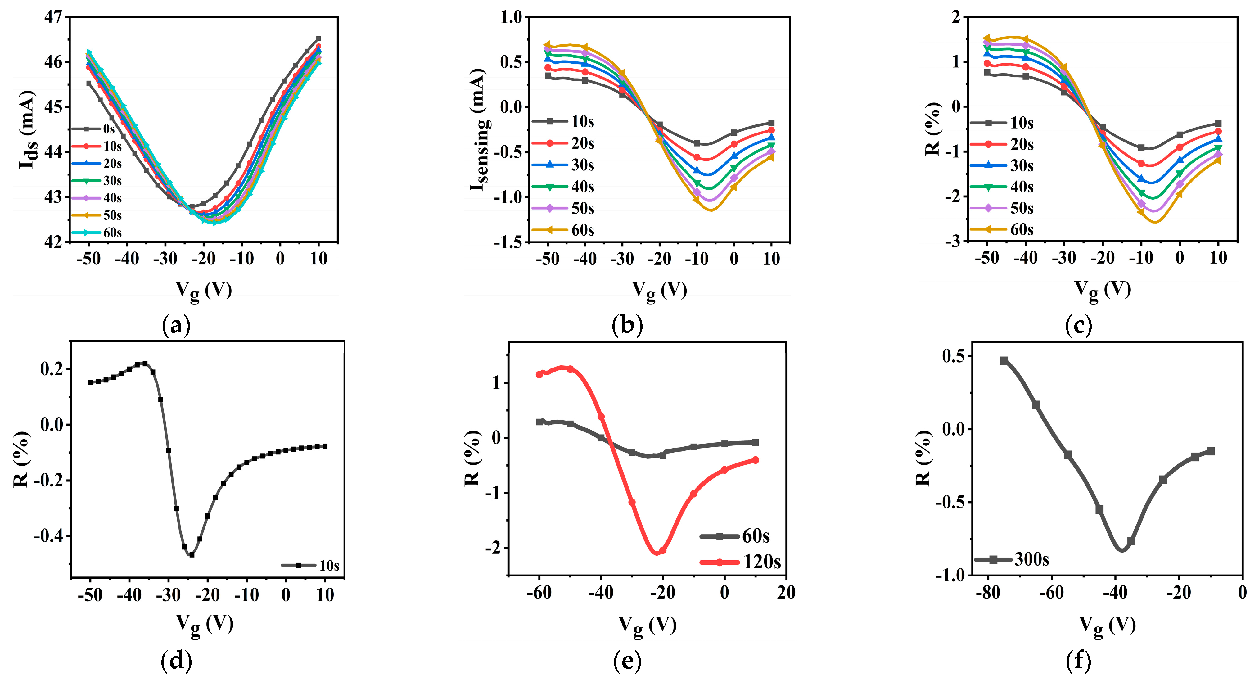
2.3. Quick and Sensitive Detection of NO2 Based on CN-PPV–G Films

3. Experiments and Methods
4. Conclusions
Supplementary Materials
Author Contributions
Funding
Institutional Review Board Statement
Informed Consent Statement
Data Availability Statement
Acknowledgments
Conflicts of Interest
Sample Availability
References
- Lv, Y.-K.; Li, Y.-Y.; Zhou, R.-H.; Pan, Y.-P.; Yao, H.-C.; Li, Z.-J. N-Doped Graphene Quantum Dot-Decorated Three-Dimensional Ordered Macroporous In2O3 for NO2 Sensing at Low Temperatures. ACS Appl. Mater. Interfaces 2020, 12, 34245–34253. [Google Scholar] [CrossRef] [PubMed]
- Cao, P.; Cai, Y.; Pawar, D.; Navale, S.T.; Rao, C.N.; Han, S.; Xu, W.; Fang, M.; Liu, X.; Zeng, Y.; et al. Down to Ppb Level NO2 Detection by ZnO/RGO Heterojunction Based Chemiresistive Sensors. Chem. Eng. J. 2020, 401, 125491. [Google Scholar] [CrossRef]
- Yan, X.; Wu, Y.; Li, R.; Shi, C.; Moro, R.; Ma, Y.; Ma, L. High-Performance UV-Assisted NO2 Sensor Based on Chemical Vapor Deposition Graphene at Room Temperature. ACS Omega 2019, 4, 14179–14187. [Google Scholar] [CrossRef]
- Bag, A.; Lee, N.-E. Gas Sensing with Heterostructures Based On Two Dimensional Nanostructured Materials: A Review. J. Mater. Chem. C 2019, 7, 13367–13383. [Google Scholar] [CrossRef]
- Chang, C.; Chen, W.; Chen, Y.; Chen, Y.; Chen, Y.; Ding, F.; Fan, C.; Fan, H.J.; Fan, Z.; Gong, C.; et al. Recent Progress on Two-Dimensional Materials. Acta Phys. Chim. Sin. 2021, 37, 2108017. [Google Scholar] [CrossRef]
- Alzate-Carvajal, N.; Luican-Mayer, A. Functionalized Graphene Surfaces for Selective Gas Sensing. ACS Omega 2020, 5, 21320–21329. [Google Scholar] [CrossRef] [PubMed]
- Qu, G.; Fan, G.; Zhou, M.; Rong, X.; Li, T.; Zhang, R.; Sun, J.; Chen, D. Graphene-Modified ZnO Nanostructures for Low-Temperature NO2 Sensing. ACS Omega 2019, 4, 4221–4232. [Google Scholar] [CrossRef]
- Rathi, K.; Pal, K. Fabrication of MoSe2–Graphene Hybrid Nanoflakes for Toxic Gas Sensor with Tunable Sensitivity. Adv. Mater. Interfaces 2020, 7, 2000140. [Google Scholar]
- Jiang, W.; Chen, X.; Wang, T.; Li, B.; Zeng, M.; Yang, J.; Hu, N.; Su, Y.; Zhou, Z.; Yang, Z. Enhancing Room-Temperature NO2 Gas Sensing Performance Based on a Metal Phthalocyanine/Graphene Quantum Dot Hybrid Material. RSC Adv. 2021, 11, 5618–5628. [Google Scholar] [CrossRef]
- Srivastava, S.; Pal, P.; Sharma, D.K.; Kumar, T.D.S.S.; Gupta, B.K. Ultrasensitive Boron-Nitrogen-Codoped CVD Graphene-Derived NO2 Gas Sensor. ACS Mater. Au 2022, 2, 356–366. [Google Scholar] [CrossRef]
- Zhang, L.; Zhang, J.; Huang, Y.; Xu, H.; Zhang, X.; Lu, H.; Xu, K.; Chu, P.K.; Ma, F. Stability and Sensing Enhancement by Nanocubic CeO2 with {100} Polar Facets on Graphene for NO2 at Room Temperature. ACS Appl. Mater. Interfaces 2020, 12, 4722–4731. [Google Scholar] [CrossRef]
- Lee, S.W.; Lee, W.; Hong, Y.; Lee, G.; Yoon, D.S. Recent Advances in Carbon Material-Based NO2 Gas Sensors. Sens. Actuators B Chem. 2018, 255, 1788–1804. [Google Scholar] [CrossRef]
- Wang, Y.; Liu, L.; Sun, F.; Li, T.; Zhang, T.; Qin, S. Humidity-Insensitive NO2 Sensors Based on SnO2/rGO Composites. Front. Chem. 2021, 9, 681313. [Google Scholar] [CrossRef]
- Cao, P.; Cai, Y.; Pawar, D.; Han, S.; Xu, W.; Fang, M.; Liu, X.; Zeng, Y.; Liu, W.; Lu, Y.; et al. Au@ZnO/RGO Nanocomposite-Based Ultra-Low Detection Limit Highly Sensitive and Selective NO2 Gas Sensor. J. Mater. Chem. C 2022, 10, 4295–4305. [Google Scholar] [CrossRef]
- Xia, Y.; Wang, J.; Xu, J.-L.; Li, X.; Xie, D.; Xiang, L.; Komarneni, S. Confined Formation of Ultrathin ZnO Nanorods/Reduced Graphene Oxide Mesoporous Nanocomposites for High-Performance Room-Temperature NO2 Sensors. ACS Appl. Mater. Interfaces 2016, 8, 35454–35463. [Google Scholar] [CrossRef] [PubMed]
- Wang, Z.; Gao, S.; Fei, T.; Liu, S.; Zhang, T. Construction of ZnO/SnO2 Heterostructure on Reduced Graphene Oxide for Enhanced Nitrogen Dioxide Sensitive Performances at Room Temperature. ACS Sens. 2019, 4, 2048–2057. [Google Scholar] [CrossRef]
- Lee, S.W.; Jung, H.G.; Kim, I.; Lee, D.; Kim, W.; Kim, S.H.; Lee, J.H.; Park, J.; Lee, J.H.; Lee, G.; et al. Highly Conductive and Flexible Dopamine-Graphene Hybrid Electronic Textile Yarn for Sensitive and Selective NO2 Detection. ACS Appl. Mater. Interfaces 2020, 12, 46629–46638. [Google Scholar] [CrossRef] [PubMed]
- Chi, H.; Xu, Z.; Duan, X.; Yang, J.; Wang, F.; Li, Z. High-Performance Colorimetric Room-Temperature NO2 Sensing Using Spin-Coated Graphene/Polyelectrolyte Reflecting Film. ACS Appl. Mater. Interfaces 2019, 11, 32390–32397. [Google Scholar] [CrossRef]
- Lee, S.W.; Lee, W.; Kim, I.; Lee, D.; Park, D.; Kim, W.; Park, J.; Lee, J.H.; Lee, G.; Yoon, D.S. Bio-Inspired Electronic Textile Yarn-Based NO2 Sensor Using Amyloid-Graphene Composite. ACS Sens. 2021, 6, 777–785. [Google Scholar] [CrossRef] [PubMed]
- Yi, N.; Cheng, Z.; Li, H.; Yang, L.; Zhu, J.; Zheng, X.; Chen, Y.; Liu, Z.; Zhu, H.; Cheng, H. Stretchable, Ultrasensitive, and Low-Temperature NO2 Sensors Based on MoS2@rGO Nanocomposites. Mater. Today Phys. 2020, 15, 100265. [Google Scholar] [CrossRef]
- Ghasemi, F. Vertically Aligned Carbon Nanotubes, MoS2–rGO Based Optoelectronic Hybrids for NO2 Gas Sensing. Sci. Rep. 2020, 10, 11306. [Google Scholar] [CrossRef]
- Anichini, C.; Czepa, W.; Pakulski, D.; Aliprandi, A.; Ciesielski, A.; Samor, P. Chemical Sensing With 2D Materials. Chem. Soc. Rev. 2018, 47, 4860–4908. [Google Scholar] [CrossRef] [PubMed]
- Yang, C.-M.; Chen, T.-C.; Yang, Y.-C.; Meyyappan, M. Annealing Effect on UV-Illuminated Recovery in Gas Response of Graphene-Based NO2 Sensors. RSC Adv. 2019, 9, 23343–23351. [Google Scholar] [CrossRef] [PubMed]
- Kumar, S.; Kaushik, S.; Pratap, R.; Raghavan, S. Graphene on Paper: A Simple, Low-Cost Chemical Sensing Platform. ACS Appl. Mater. Interfaces 2015, 7, 2189–2194. [Google Scholar] [CrossRef] [PubMed]
- Choi, H.; Choi, J.S.; Kim, J.-S.; Choe, J.-H.; Chung, K.H.; Shin, J.-W.; Kim, J.T.; Youn, D.H.; Kim, K.C.; Lee, J.I.; et al. Flexible and Transparent Gas Molecule Sensor Integrated with Sensing and Heating Graphene Layers. Small 2014, 10, 3685–3691. [Google Scholar] [CrossRef]
- Schedin, F.; Geim, A.K.; Morozov, S.V.; Hill, E.W.; Blake, P.; Katsnelson, M.I.; Novoselov, K.S. Detection Of Individual Gas Molecules Adsorbed on Graphene. Nat. Mater. 2007, 6, 652–655. [Google Scholar] [CrossRef]
- Banerjee, J.; Dutta, K. A Short Overview on the Synthesis, Properties and Major Applications of Poly(p-Phenylene Vinylene). Chem. Pap. 2021, 75, 5139–5151. [Google Scholar] [CrossRef]
- Abbas, N.K.; Ibrahim, I.M.; Saleh, M.A. Characteristics of MEH-PPV/Si and MEH-PPV/PS Heterojunctions as NO2 Gas Sensors. Silicon 2018, 10, 1345–1350. [Google Scholar] [CrossRef]
- Kim, Y.H.; Kim, S.J.; Kim, Y.-J.; Shim, Y.-S.; Kim, S.Y.; Hong, B.H.; Jang, H.W. Self-Activated Transparent All-Graphene Gas Sensor with Endurance to Humidity and Mechanical Bending. ACS Nano 2015, 9, 10453–10460. [Google Scholar] [CrossRef]
- Liu, S.; Yu, B.; Zhang, H.; Fei, T.; Zhan, T. Enhancing NO2 Gas Sensing Performances at Room Temperature Based on Reduced Graphene Oxide-ZnO Nanoparticles Hybrids. Sens. Actuators B Chem. 2014, 202, 272–278. [Google Scholar] [CrossRef]
- Su, P.-G.; Shieh, H.-C. Flexible NO2 Sensors Fabricated By Layer-by-Layer Covalent Anchoring and In Situ Reduction of Graphene Oxide. Sens. Actuators B Chem. 2014, 190, 865–872. [Google Scholar] [CrossRef]
- Yang, G.; Lee, C.; Kim, J.; Ren, F.; Pearton, S.J. Flexible Graphene-Based Chemical Sensors on Paper Substrates. Phys. Chem. Chem. Phys. 2013, 15, 1798–1801. [Google Scholar] [CrossRef]
- Liu, X.; Sun, J.; Zhang, X. Novel 3D Graphene Aerogel-ZnO Composites as Efficient Detection for NO2 at Room Temperature. Sens. Actuators B Chem. 2015, 211, 220–226. [Google Scholar] [CrossRef]
- Yuan, W.; Huang, L.; Zhou, Q.; Shi, G. Ultrasensitive and Selective Nitrogen Dioxide Sensor Based on Self-Assembled Graphene/Polymer Composite Nanofibers. ACS Appl. Mater. Interfaces 2014, 6, 17003–17008. [Google Scholar] [CrossRef] [PubMed]
- Matkovic, A.; Kratzer, M.; Kaufmann, B.; Vujin, J.; Gajic, R.; Teichert, C. Probing Charge Transfer Between Molecular Semiconductors and Graphene. Sci. Rep. 2017, 7, 9544. [Google Scholar] [CrossRef] [PubMed]
- Yu, M.; Chen, Y.; Chen, Y.-G.; Yang, Z.-Y.; Zhang, W.-F.; Yu, G. Synergy Between Fermi Level of Graphene and Morphology of Polymer Film Allows Broadband or Wavelength-Sensitive Photodetection. Adv. Mater. Interfaces 2021, 8, 2100770. [Google Scholar] [CrossRef]




| Environment | NO2 Concentration | ||||
|---|---|---|---|---|---|
| 50 ppm | 25 ppm | 1 ppm | 100 ppb | ||
| Response time | N2 | 10 s | 10 s | 60–120 s | 300 s |
| Dry air | 10 s | 10 s | 60–120 s | 300 s | |
| References | ~28 s to 25 ppm, MoSe2/G and ~70 s to 25 ppm, MoSe2, operated at RT [8] | ||||
| ~90 s to 50 ppm, Co (II) phthalocyanine/G quantum dot, operated at RT [9] | |||||
| ~300 s to 2 ppm, MoS2/RGO, operated at RT [20] | |||||
| 25 s to 25 ppm, PPV/porous silicon, operated at RT [28] | |||||
| ~300 s to 5 ppm, patterned G, operated above at RT (patterned G channel heated by bias voltage) [29] | |||||
| ~160 s to 5 ppm, ZnO/RGO, operated at RT [30] | |||||
| 420 s to 5 ppm, RGO, operated at RT [31] | |||||
| ~180 s to 200 ppm, GO, operated at RT [32] | |||||
| ~132 s to 50 ppm, ZnO/RGO aerogel, operated at RT [33] | |||||
Disclaimer/Publisher’s Note: The statements, opinions and data contained in all publications are solely those of the individual author(s) and contributor(s) and not of MDPI and/or the editor(s). MDPI and/or the editor(s) disclaim responsibility for any injury to people or property resulting from any ideas, methods, instructions or products referred to in the content. |
© 2023 by the authors. Licensee MDPI, Basel, Switzerland. This article is an open access article distributed under the terms and conditions of the Creative Commons Attribution (CC BY) license (https://creativecommons.org/licenses/by/4.0/).
Share and Cite
Song, S.-W.; Wang, Q.-M.; Yu, M.; Tian, Z.-Y.; Yang, Z.-Y. Enabling Quick Response to Nitrogen Dioxide at Room Temperature and Limit of Detection to Ppb Level by Heavily n-Doped Graphene Hybrid Transistor. Molecules 2023, 28, 5054. https://doi.org/10.3390/molecules28135054
Song S-W, Wang Q-M, Yu M, Tian Z-Y, Yang Z-Y. Enabling Quick Response to Nitrogen Dioxide at Room Temperature and Limit of Detection to Ppb Level by Heavily n-Doped Graphene Hybrid Transistor. Molecules. 2023; 28(13):5054. https://doi.org/10.3390/molecules28135054
Chicago/Turabian StyleSong, Si-Wei, Qian-Min Wang, Miao Yu, Zhi-Yuan Tian, and Zhi-Yong Yang. 2023. "Enabling Quick Response to Nitrogen Dioxide at Room Temperature and Limit of Detection to Ppb Level by Heavily n-Doped Graphene Hybrid Transistor" Molecules 28, no. 13: 5054. https://doi.org/10.3390/molecules28135054
APA StyleSong, S.-W., Wang, Q.-M., Yu, M., Tian, Z.-Y., & Yang, Z.-Y. (2023). Enabling Quick Response to Nitrogen Dioxide at Room Temperature and Limit of Detection to Ppb Level by Heavily n-Doped Graphene Hybrid Transistor. Molecules, 28(13), 5054. https://doi.org/10.3390/molecules28135054

