From Bench to Bedside: What Do We Know about Imidazothiazole Derivatives So Far?
Abstract
1. Introduction
2. Bench Study: Exploration of the Pharmacological Activity of Imidazothiazole
2.1. Antitumor
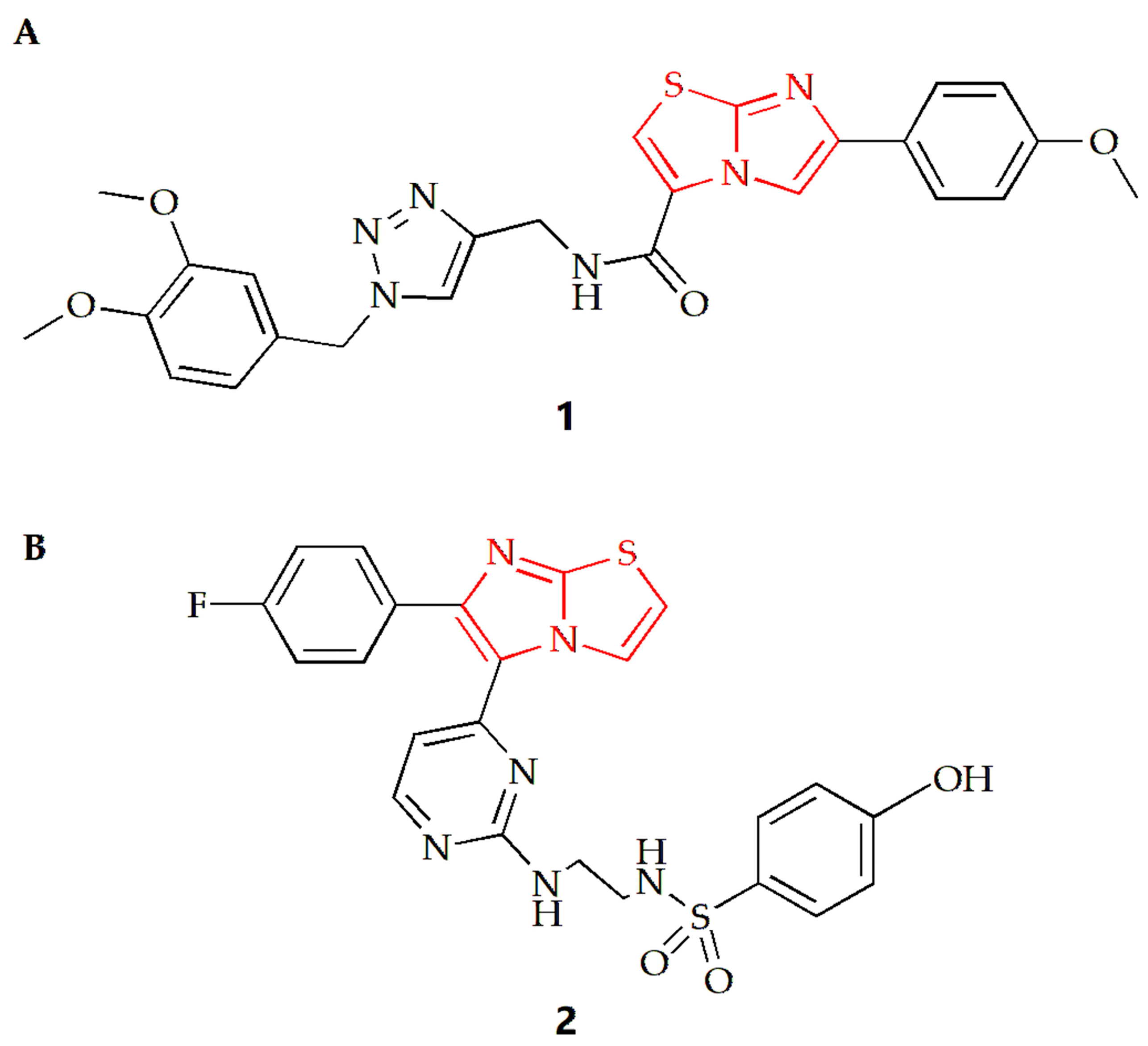
2.1.1. Effect towards Lung Cancer
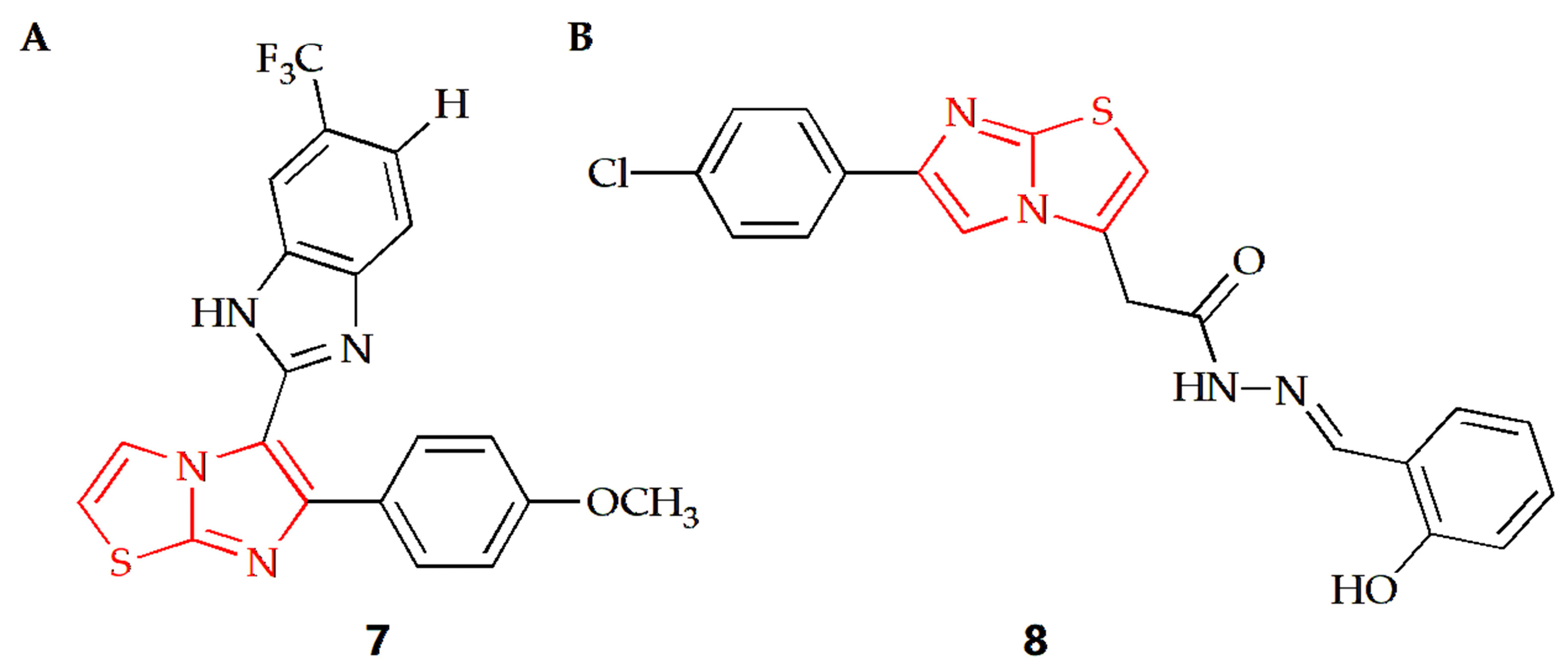
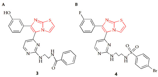
2.1.2. Effect towards Melanoma
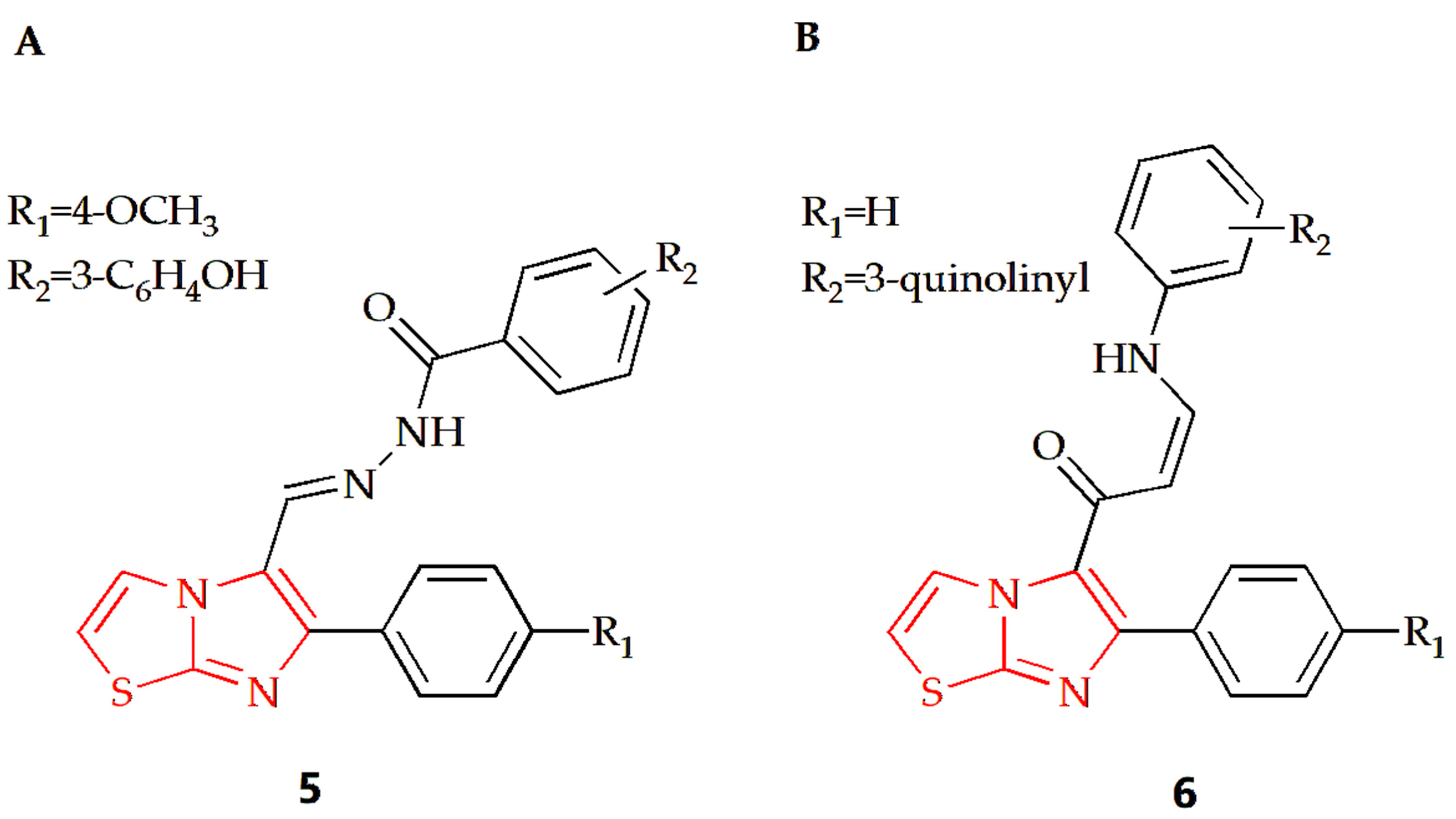
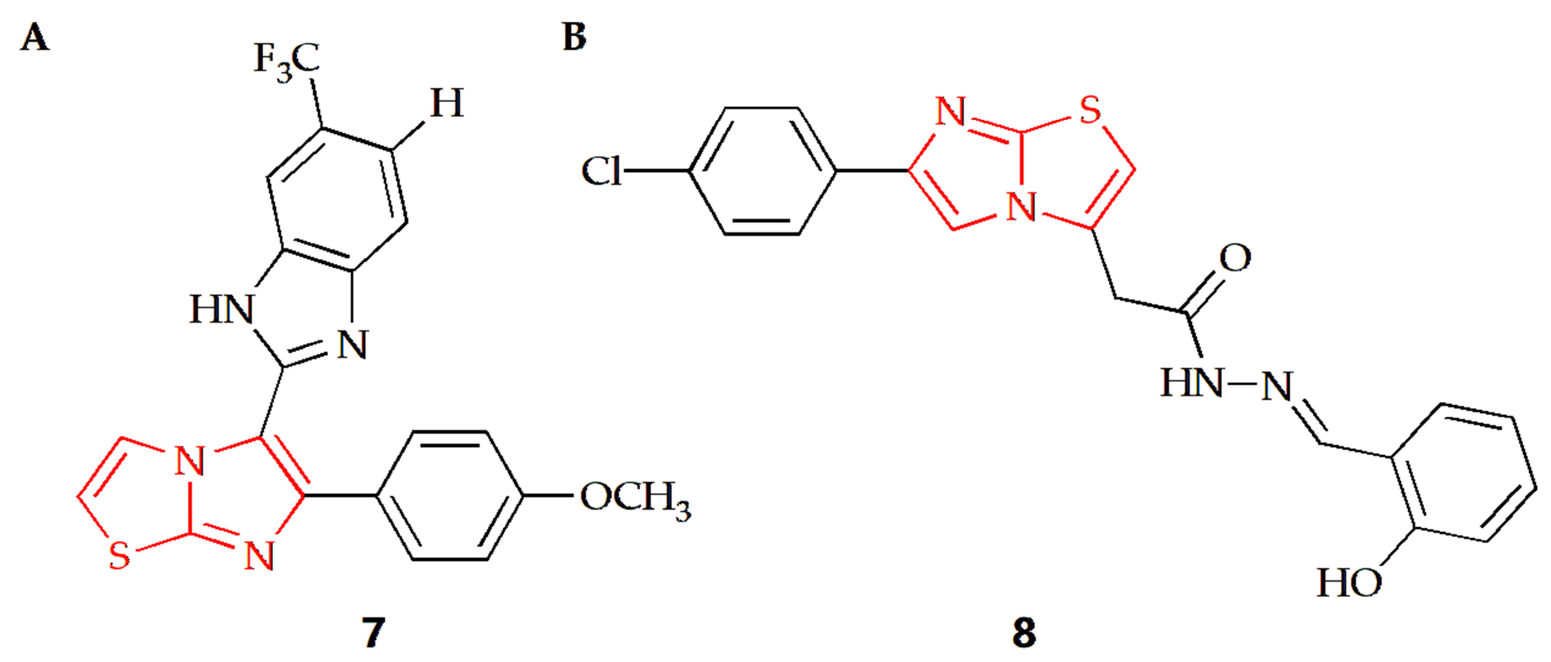
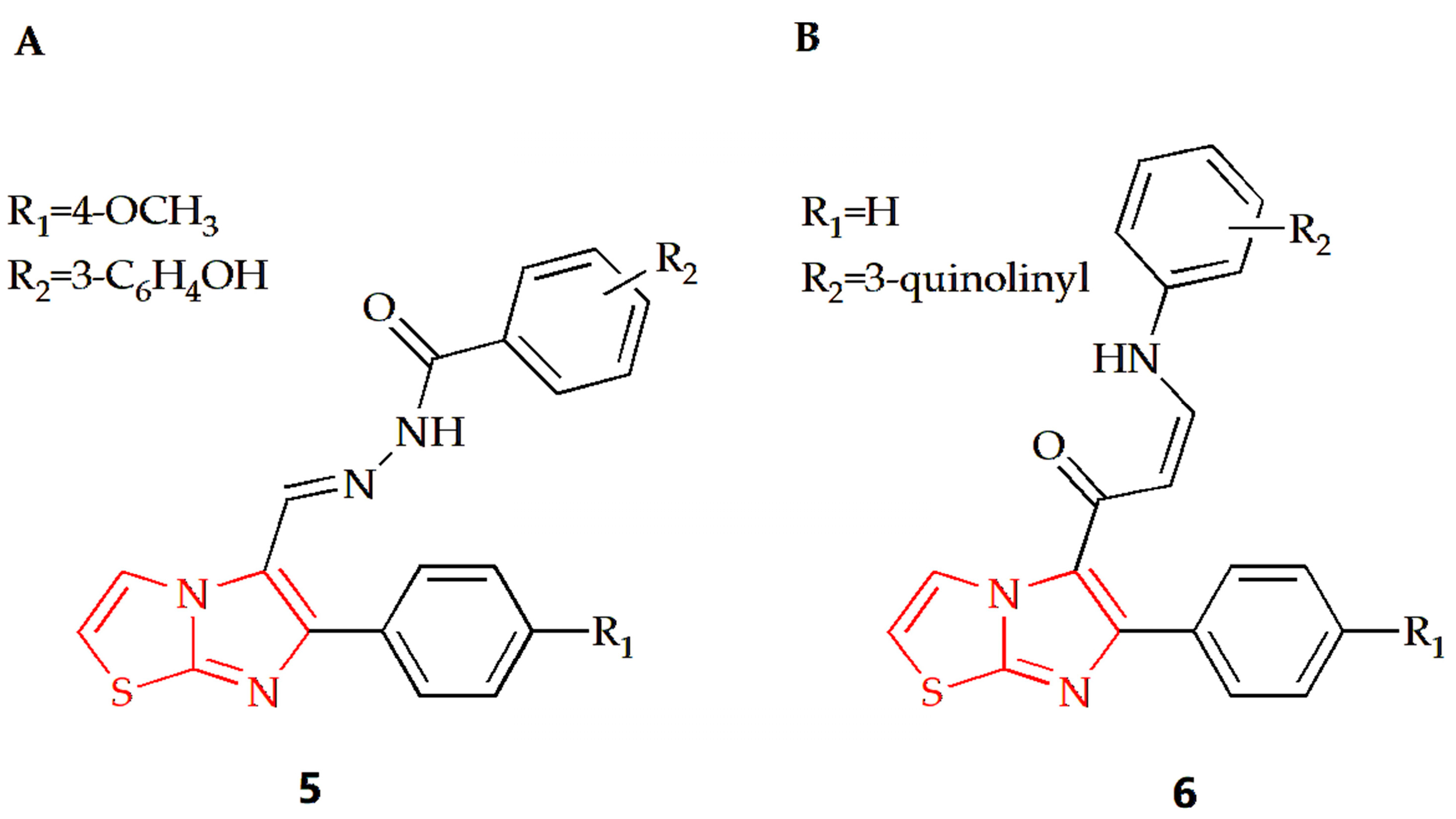
2.1.3. Effect towards Breast Cancer
2.1.4. Effect towards Other Tumors
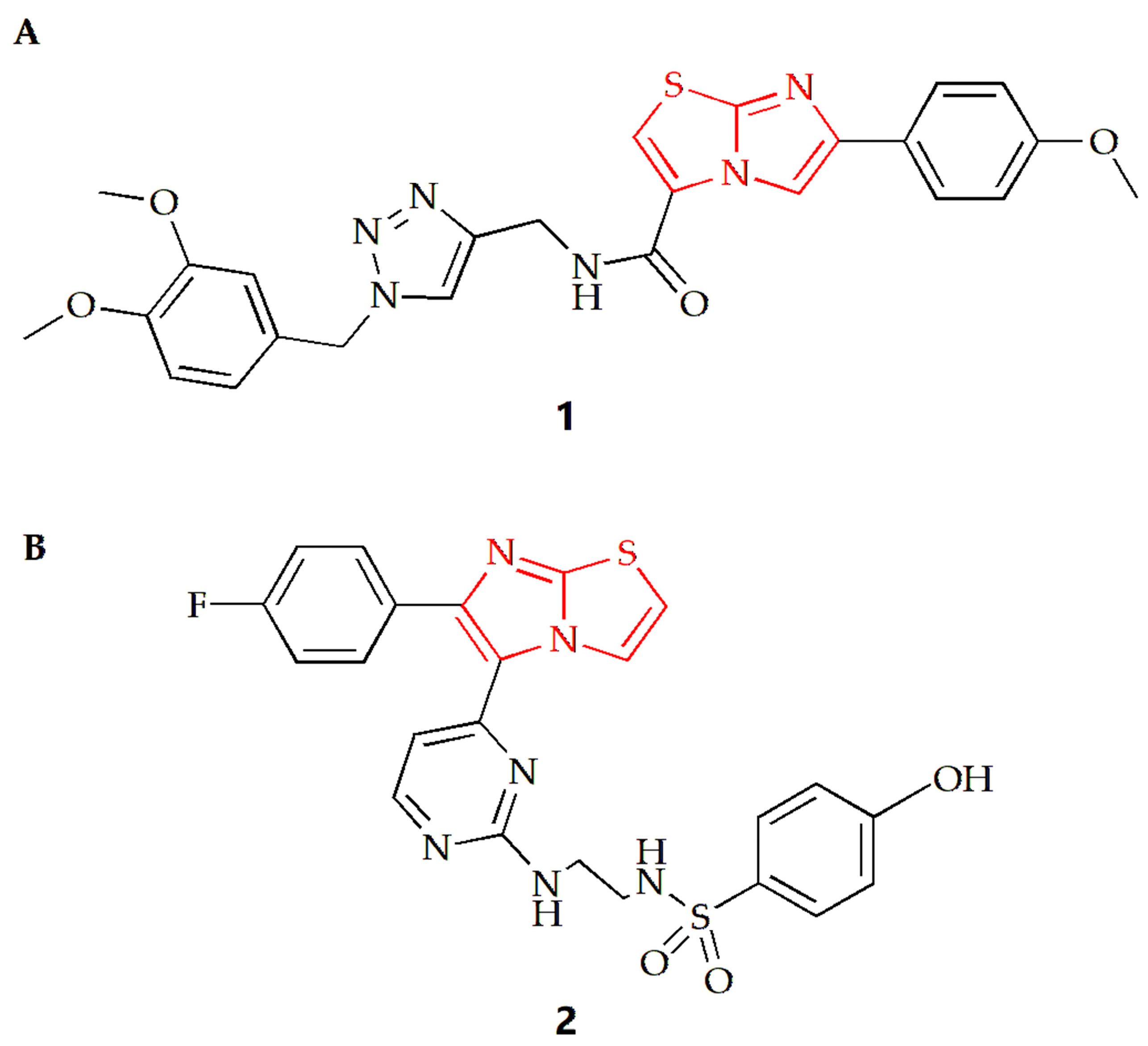
2.2. Anti-Infection
2.2.1. Antiviral Activity
2.2.2. Antibacterial Activity
2.2.3. Anti-Parasitic Activity
2.3. Anti-Inflammatory
2.3.1. Cellular Level Anti-Inflammatory Effect
2.3.2. Paw Edema Mitigation
2.3.3. Neuroprotection Activity
2.3.4. Gastrointestinal Protection
2.4. Antioxidant Activity
3. Bedside Study: The Distinguished Clinically Pharmacological Activity of Imidazothiazoles Makes It an Excellent Druggable Candidate
3.1. Levamisole
3.2. Quizartinib
3.3. WAY-181187
4. Conclusions
Author Contributions
Funding
Institutional Review Board Statement
Informed Consent Statement
Data Availability Statement
Acknowledgments
Conflicts of Interest
Sample Availability
References
- Nalwaya, R.; Sahai, A.; Chander, S.; Sharma, M.; Malik, R.; Sarsodia, G. Synthesis, characterization, and pharmacological evaluation of benzothiopyran derivatives as a novel class of calcium channel blockers. Med. Chem. Res. 2013, 22, 2188–2195. [Google Scholar] [CrossRef]
- Li, Y.; Bionda, N.; Fleeman, R.; Wang, H.; Ozawa, A.; Houghten, R.A.; Shaw, L. Identification of 5,6-dihydroimidazo [2,1-b]thiazoles as a new class of antimicrobial agents. Bioorg. Med. Chem. 2016, 24, 5633–5638. [Google Scholar] [CrossRef] [PubMed]
- Verma, A.; Joshi, S.; Singh, D. Imidazole: Having Versatile Biological Activities. J. Chem. 2013, 2013, 329412. [Google Scholar] [CrossRef]
- Salah, A.M.B.; Fendri, L.B.; Bataille, T.; Herrera, R.P.; Naïli, H. Synthesis, structural determination and antimicrobial evaluation of two novel CoII and ZnII halogenometallates as efficient catalysts for the acetalization reaction of aldehydes. Chem. Cent. J. 2018, 12, 24. [Google Scholar] [CrossRef] [PubMed]
- Şenkardeş, S.; Kulabaş, N.; Bingöl Özakpinar, Ö.; Kalayci, S.; Şahin, F.; Küçükgüzel, İ.; Küçükgüzel, Ş.G. Synthesis and Anticancer and Antimicrobial Evaluation of Novel Ether-linked Derivatives of Ornidazole. Turk. J. Pharm. Sci. 2020, 17, 81–93. [Google Scholar] [CrossRef]
- Slassi, S.; Zaki, H.; Amine, A.; Yamni, K.; Bouachrine, M. Quantum Chemical and Molecular Docking Studies of Imidazole and Its Derivatives as the Active Antifungal Components against C. Albicans. Phys. Chem. Res. 2020, 8, 457–469. [Google Scholar] [CrossRef]
- Jakovleva, E.E.; Foksha, S.P.; Brusina, M.A.; Kubarskaja, L.G.; Piotrovskij, L.B.; Bychkov, E.R.; Shabanov, P.D. Studying the anticonvulsive activity of new ligands of NDMA-receptor complex—Imidazole-4,5-dicarbonic acid derivatives. Rev. Clin. Pharm. Drug Ther. 2020, 18, 149–154. [Google Scholar] [CrossRef]
- Abdelhamid, A.A.; Salah, H.A.; Marzouk, A.A. Synthesis of imidazole derivatives: Ester and hydrazide compounds with antioxidant activity using ionic liquid as an efficient catalyst. J. Heterocycl. Chem. 2020, 57, 676–685. [Google Scholar] [CrossRef]
- Bae, S.H.; Park, J.H.; Choi, H.G.; Kim, H.; Kim, S.H. Imidazole Antifungal Drugs Inhibit the Cell Proliferation and Invasion of Human Breast Cancer Cells. Biomol. Ther. 2018, 26, 494–502. [Google Scholar] [CrossRef]
- Adeyemi, O.S.; Eseola, A.O.; Plass, W.; Atolani, O.; Sugi, T.; Han, Y.; Batiha, G.E.-S.; Kato, K.; Awakan, O.J.; Olaolu, T.D.; et al. Imidazole derivatives as antiparasitic agents and use of molecular modeling to investigate the structure–activity relationship. Parasitol. Res. 2020, 119, 1925–1941. [Google Scholar] [CrossRef]
- Margutti, S.; Laufer, S.A. Are MAP Kinases Drug Targets? Yes, but Difficult Ones. ChemMedChem 2007, 2, 1116–1140. [Google Scholar] [CrossRef] [PubMed]
- Lal, K.; Bermeo, R.; Cramer, J.; Vasile, F.; Ernst, B.; Imberty, A.; Bernardi, A.; Varrot, A.; Belvisi, L. Prediction and Validation of a Druggable Site on Virulence Factor of Drug Resistant Burkholderia cenocepacia**. Chem. A Eur. J. 2021, 27, 10341–10348. [Google Scholar] [CrossRef] [PubMed]
- Borcea, A.-M.; Ionuț, I.; Crișan, O.; Oniga, O. An Overview of the Synthesis and Antimicrobial, Antiprotozoal, and Antitumor Activity of Thiazole and Bisthiazole Derivatives. Molecules 2021, 26, 624. [Google Scholar] [CrossRef]
- Thore, S.N.; Gupta, S.V.; Baheti, K.G. Docking, synthesis, and pharmacological investigation of novel substituted thiazole derivatives as non-carboxylic, anti-inflammatory, and analgesic agents. Med. Chem. Res. 2013, 22, 3802–3811. [Google Scholar] [CrossRef]
- Wan, Y.; Long, J.; Gao, H.; Tang, Z. 2-Aminothiazole: A privileged scaffold for the discovery of anti-cancer agents. Eur. J. Med. Chem. 2021, 210, 112953. [Google Scholar] [CrossRef] [PubMed]
- Gomha, S.M.; Kheder, N.A.; Abdelaziz, M.R.; Mabkhot, Y.N.; Alhajoj, A.M. A facile synthesis and anticancer activity of some novel thiazoles carrying 1,3,4-thiadiazole moiety. Chem. Cent. J. 2017, 11, 25. [Google Scholar] [CrossRef]
- Liu, J.; Zhou, W.; Wu, F. Biological Evaluation and Synthesis of Thiazole Schiff Base Derivatives. Heterocycles 2021, 102, 1337. [Google Scholar] [CrossRef]
- Pricopie, A.-I.; Focșan, M.; Ionuț, I.; Marc, G.; Vlase, L.; Găină, L.-I.; Vodnar, D.C.; Simon, E.; Barta, G.; Pîrnău, A.; et al. Novel 2,4-Disubstituted-1,3-Thiazole Derivatives: Synthesis, Anti-Candida Activity Evaluation and Interaction with Bovine Serum Albumine. Molecules 2020, 25, 1079. [Google Scholar] [CrossRef]
- Liaras, K.; Geronikaki, A.; Glamočlija, J.; Ćirić, A.; Soković, M. Thiazole-based chalcones as potent antimicrobial agents. Synthesis and biological evaluation. Bioorg. Med. Chem. 2011, 19, 3135–3140. [Google Scholar] [CrossRef]
- Drapak, I.; Perekhoda, L.; Demchenko, N.; Suleiman, M.; Rakhimova, M.; Demchuk, I.; Taran, S.; Seredynska, N.; Gerashchenko, I. Cardioprotective Activity of Some 2-Arylimino-1,3-Thiazole Derivatives. Sci. Pharm. 2019, 87, 7. [Google Scholar] [CrossRef]
- Cao, S.; Zhou, X.-B.; Zhang, H.; Li, S.; Zhong, W. Novel cross-link breaker based on zwitterion structure: Synthesis, structure and druggability studies. Eur. J. Med. Chem. 2013, 68, 89–95. [Google Scholar] [CrossRef]
- Ammar, U.M.; Abdel-Maksoud, M.S.; Mersal, K.I.; Ali, E.M.H.; Yoo, K.H.; Choi, H.S.; Lee, J.K.; Cha, S.Y.; Oh, C.-H. Modification of imidazothiazole derivatives gives promising activity in B-Raf kinase enzyme inhibition; synthesis, in vitro studies and molecular docking. Bioorg. Med. Chem. Lett. 2020, 30, 127478. [Google Scholar] [CrossRef]
- Shehata, M.K.; Uzair, M.; Zaraei, S.O.; Shahin, A.I.; Shah, S.J.A.; Ullah, S.; Iqbal, J.; El–Gamal, M.I. Synthesis, biological evaluation, and molecular modeling studies of a new series of imidazothiazole or imidazooxazole derivatives as inhibitors of ectonucleoside triphosphate diphosphohydrolases (NTPDases). Med. Chem. Res. 2023, 32, 314–325. [Google Scholar] [CrossRef]
- Serafini, M.; Torre, E.; Aprile, S.; Massarotti, A.; Fallarini, S.; Pirali, T. Synthesis, Docking and Biological Evaluation of a Novel Class of Imidazothiazoles as IDO1 Inhibitors. Molecules 2019, 24, 1874. [Google Scholar] [CrossRef] [PubMed]
- Wu, B.; Chien, E.Y.; Mol, C.D.; Fenalti, G.; Liu, W.; Katritch, V.; Abagyan, R.; Brooun, A.; Wells, P.; Bi, F.C.; et al. Structures of the CXCR4 chemokine GPCR with small-molecule and cyclic peptide antagonists. Science 2010, 330, 1066–1071. [Google Scholar] [CrossRef]
- Saliyeva, L.; Diachenko, I.; Vas’kevich, R.; Slyvka, N.; Vovk, M. Imidazothiazoles and their Hydrogenated Analogs: Methods of Synthesis and Biomedical Potential. Chem. Heterocycl. Compd. 2020, 56, 1394–1407. [Google Scholar] [CrossRef]
- Shaik, S.P.; Nayak, V.L.; Sultana, F.; Rao, A.V.S.; Shaik, A.B.; Babu, K.S.; Kamal, A. Design and synthesis of imidazo[2,1-b]thiazole linked triazole conjugates: Microtubule-destabilizing agents. Eur. J. Med. Chem. 2017, 126, 36–51. [Google Scholar] [CrossRef]
- Abdel-Maksoud, M.S.; Kim, M.-R.; El-Gamal, M.I.; Gamal El-Din, M.M.; Tae, J.; Choi, H.S.; Lee, K.-T.; Yoo, K.H.; Oh, C.-H. Design, synthesis, in vitro antiproliferative evaluation, and kinase inhibitory effects of a new series of imidazo[2,1-b]thiazole derivatives. Eur. J. Med. Chem. 2015, 95, 453–463. [Google Scholar] [CrossRef] [PubMed]
- Anbar, H.S.; El-Gamal, M.I.; Tarazi, H.; Lee, B.S.; Jeon, H.R.; Kwon, D.; Oh, C.H. Imidazothiazole-based potent inhibitors of V600E-B-RAF kinase with promising anti-melanoma activity: Biological and computational studies. J. Enzym. Inhib. Med. Chem. 2020, 35, 1712–1726. [Google Scholar] [CrossRef]
- Abdel-Maksoud, M.S.; Ammar, U.M.; Oh, C.H. Anticancer profile of newly synthesized BRAF inhibitors possess 5-(pyrimidin-4-yl)imidazo[2,1-b]thiazole scaffold. Bioorg. Med. Chem. 2019, 27, 2041–2051. [Google Scholar] [CrossRef]
- Shareef, M.A.; Devi, G.P.; Rani Routhu, S.; Kumar, C.G.; Kamal, A.; Babu, B.N. New imidazo[2,1-b]thiazole-based aryl hydrazones: Unravelling their synthesis and antiproliferative and apoptosis-inducing potential. RSC Med. Chem. 2020, 11, 1178–1184. [Google Scholar] [CrossRef]
- Bin Sayeed, I.; Garikapati, K.R.; Makani, V.K.K.; Nagarajan, A.; Shareef, M.A.; Alarifi, A.; Pal-Bhadra, M.; Kamal, A. Development and Biological Evaluation of Imidazothiazole propenones as Tubulin Inhibitors that Effectively Triggered Apoptotic Cell Death in Alveolar Lung Cancer Cell Line. ChemistrySelect 2017, 2, 6480–6487. [Google Scholar] [CrossRef]
- Baig, M.F.; Nayak, V.L.; Budaganaboyina, P.; Mullagiri, K.; Sunkari, S.; Gour, J.; Kamal, A. Synthesis and biological evaluation of imidazo[2,1-b]thiazole-benzimidazole conjugates as microtubule-targeting agents. Bioorg. Chem. 2018, 77, 515–526. [Google Scholar] [CrossRef]
- Karaman, B.; Ulusoy Güzeldemirci, N. Synthesis and biological evaluation of new imidazo[2,1-b]thiazole derivatives as anticancer agents. Med. Chem. Res. 2016, 25, 2471–2484. [Google Scholar] [CrossRef]
- Al-Kuraishy, H.M.; Al-Gareeb, A.I.; Alkazmi, L.; Alexiou, A.; Batiha, G.E. Levamisole Therapy in COVID-19. Viral. Immunol. 2021, 34, 722–725. [Google Scholar] [CrossRef] [PubMed]
- Roostaei Firozabad, A.; Meybodi, Z.A.; Mousavinasab, S.R.; Sahebnasagh, A.; Jelodar, M.G.; Karimzadeh, I.; Habtemariam, S.; Saghafi, F. Efficacy and safety of Levamisole treatment in clinical presentations of non-hospitalized patients with COVID-19: A double-blind, randomized, controlled trial. BMC Infect. Dis. 2021, 21, 297. [Google Scholar] [CrossRef] [PubMed]
- Uyaroğlu, O.A.; Güven, G.S.; Güllü, İ. Can Levamisole be used in the treatment of COVID-19 patients presenting with diarrhea? J. Infect. Dev. Ctries. 2020, 14, 844–846. [Google Scholar] [CrossRef]
- Gürsoy, E.; Dincel, E.D.; Naesens, L.; Ulusoy Güzeldemirci, N. Design and synthesis of novel Imidazo[2,1-b]thiazole derivatives as potent antiviral and antimycobacterial agents. Bioorg. Chem. 2020, 95, 103496. [Google Scholar] [CrossRef]
- Barradas, J.S.; Errea, M.I.; D’Accorso, N.B.; Sepúlveda, C.S.; Damonte, E.B. Imidazo[2,1-b]thiazole carbohydrate derivatives: Synthesis and antiviral activity against Junin virus, agent of Argentine hemorrhagic fever. Eur. J. Med. Chem. 2011, 46, 259–264. [Google Scholar] [CrossRef]
- Ulusoy, N.; Gürsoy, E. Synthesis and evaluation of new imidazo[2,1-b]thiazoles as antituberculosis agents. Marmara Pharm. J. 2016, 21, 102–109. [Google Scholar] [CrossRef]
- Syed, M.; Yiragamreddy, P.; Chandrasekhar, K. Synthesis and Biological Evaluation New Imidazo[2,1-b]thiazoles. Indian J. Heterocycl. Chem. 2018, 27, 329–338. [Google Scholar]
- Moraski, G.C.; Seeger, N.; Miller, P.A.; Oliver, A.G.; Boshoff, H.I.; Cho, S.; Mulugeta, S.; Anderson, J.R.; Franzblau, S.G.; Miller, M.J. Arrival of Imidazo[2,1-b]thiazole-5-carboxamides: Potent Anti-tuberculosis Agents That Target QcrB. ACS Infect. Dis. 2016, 2, 393–398. [Google Scholar] [CrossRef] [PubMed]
- Shareef, M.A.; Sirisha, K.; Sayeed, I.B.; Khan, I.; Ganapathi, T.; Akbar, S.; Ganesh Kumar, C.; Kamal, A.; Nagendra Babu, B. Synthesis of new triazole fused imidazo[2,1-b]thiazole hybrids with emphasis on Staphylococcus aureus virulence factors. Bioorg. Med. Chem. Lett. 2019, 29, 126621. [Google Scholar] [CrossRef] [PubMed]
- Akbar, N.; El-Gamal, M.I.; Saeed, B.Q.; Oh, C.-H.; Abdel-Maksoud, M.S.; Khan, N.A.; Alharbi, A.M.; Alfahemi, H.; Siddiqui, R. Antiamoebic Activity of Imidazothiazole Derivatives against Opportunistic Pathogen Acanthamoeba castellanii. Antibiotics 2022, 11, 1183. [Google Scholar] [CrossRef] [PubMed]
- Anto, E.J.; Nugraha, S.E. Efficacy of Albendazole and Mebendazole With or Without Levamisole for Ascariasis and Trichuriasis. Open Access Maced. J. Med. Sci. 2019, 7, 1299–1302. [Google Scholar] [CrossRef]
- Soyer Can, O.; Ünlü, S.; Ocak, H.; Çöldür, E.Ç.; Sipahi, H.; Bilgin Eran, B. Synthesis of new imidazothiazole derivatives and investigation of their anti-inflammatory and analgesic activities. J. Iran. Chem. Soc. 2022, 19, 579–587. [Google Scholar] [CrossRef]
- Powers, L.J.; Fogt, S.W.; Ariyan, Z.S.; Rippin, D.J.; Heilman, R.D.; Matthews, R.J. Effect of structural change on acute toxicity and antiinflammatory activity in a series of imidazothiazoles and thiazolobenzimidazoles. J. Med. Chem. 1981, 24, 604–609. [Google Scholar] [CrossRef]
- Andreani, A.; Rambaldi, M.; Leoni, A.; Locatelli, A.; Morigi, R.; Traniello, S.; Cariani, A.; Rizzuti, O.; Spisani, S. 6-(Hydroxyphenyl)imidazo[2,1-b]thiazoles as Potential Antiinflammatory Agents: Effects on Human Neutrophil Functions. Collect. Czechoslov. Chem. Commun. 2000, 65, 267–279. [Google Scholar] [CrossRef]
- Shetty, N.; Imtiyaz, A.; Khazi, C.; Ahn, C. Synthesis, Anthelmintic and Anti-inflammatory Activities of Some Novel Imidazothiazole Sulfides and Sulfones. Bull. Korean Chem. Soc. 2010, 31, 2337–2340. [Google Scholar] [CrossRef]
- Leoni, A.; Frosini, M.; Locatelli, A.; Micucci, M.; Carotenuto, C.; Durante, M.; Cosconati, S.; Budriesi, R. 4-Imidazo[2,1-b]thiazole-1,4-DHPs and neuroprotection: Preliminary study in hits searching. Eur. J. Med. Chem. 2019, 169, 89–102. [Google Scholar] [CrossRef]
- Shahrasbi, M.; Azami Movahed, M.; Ghorban Dadras, O.; Daraei, B.; Zarghi, A. Design, Synthesis and Biological Evaluation of New Imidazo[2,1-b]Thiazole Derivatives as Selective COX-2 Inhibitors. Iran. J. Pharm. Res. 2018, 17, 1288–1296. [Google Scholar] [CrossRef] [PubMed]
- Dincel, E.D.; Hasbal-Celikok, G.; Yilmaz-Ozden, T.; Ulusoy-Güzeldemirci, N. Design, synthesis, biological evaluation, molecular docking, and dynamic simulation study of novel imidazo[2,1-b]thiazole derivatives as potent antioxidant agents. J. Mol. Struct. 2022, 1258, 132673. [Google Scholar] [CrossRef]
- Andreani, A.; Leoni, A.; Locatelli, A.; Morigi, R.; Rambaldi, M.; Cervellati, R.; Greco, E.; Kondratyuk, T.P.; Park, E.-J.; Huang, K.; et al. Chemopreventive and antioxidant activity of 6-substituted imidazo[2,1-b]thiazoles. Eur. J. Med. Chem. 2013, 68, 412–421. [Google Scholar] [CrossRef] [PubMed]
- Hugon, B.; Rubat, C.; Coudert, P.; Leal, F.; Fialip, J.; Couquelet, J. Synthesis of N-substituted 4,6-dioxo-imidazo[3,4-c] thiazoles and their analgesic activity in mice. J. Pharm. Pharmacol. 2001, 53, 1117–1123. [Google Scholar] [CrossRef] [PubMed]
- Budriesi, R.; Ioan, P.; Locatelli, A.; Cosconati, S.; Leoni, A.; Ugenti, M.; Andreani, A.; Toro, R.; Bedini, A.; Spampinato, S.; et al. Imidazo[2,1-b]thiazole System: A Scaffold Endowing Dihydropyridines with Selective Cardiodepressant Activity. J. Med. Chem. 2008, 51, 1592–1600. [Google Scholar] [CrossRef]
- Locatelli, A.; Cosconati, S.; Micucci, M.; Leoni, A.; Marinelli, L.; Bedini, A.; Ioan, P.; Spampinato, S.M.; Novellino, E.; Chiarini, A.; et al. Ligand based approach to L-type calcium channel by imidazo[2,1-b]thiazole-1,4-dihydropyridines: From heart activity to brain affinity. J. Med. Chem. 2013, 56, 3866–3877. [Google Scholar] [CrossRef]
- Zhang, X.; Kang, Y.; Huo, T.; Tao, R.; Wang, X.; Li, Z.; Guo, Q.; Zhao, L. GL-V9 induced upregulation and mitochondrial localization of NAG-1 associates with ROS generation and cell death in hepatocellular carcinoma cells. Free Radic. Biol. Med. 2017, 112, 49–59. [Google Scholar] [CrossRef]
- Bray, F.; Ferlay, J.; Soerjomataram, I.; Siegel, R.L.; Torre, L.A.; Jemal, A. Global cancer statistics 2018: GLOBOCAN estimates of incidence and mortality worldwide for 36 cancers in 185 countries. CA Cancer J. Clin. 2018, 68, 394–424. [Google Scholar] [CrossRef]
- Feng, R.M.; Zong, Y.N.; Cao, S.M.; Xu, R.H. Current cancer situation in China: Good or bad news from the 2018 Global Cancer Statistics? Cancer Commun. 2019, 39, 22. [Google Scholar] [CrossRef]
- Woodman, C.; Vundu, G.; George, A.; Wilson, C.M. Applications and strategies in nanodiagnosis and nanotherapy in lung cancer. Semin. Cancer Biol. 2021, 69, 349–364. [Google Scholar] [CrossRef]
- Davis, L.E.; Shalin, S.C.; Tackett, A.J. Current state of melanoma diagnosis and treatment. Cancer Biol. Ther. 2019, 20, 1366–1379. [Google Scholar] [CrossRef]
- Yang, H.; Higgins, B.; Kolinsky, K.; Packman, K.; Go, Z.; Iyer, R.; Kolis, S.; Zhao, S.; Lee, R.; Grippo, J.; et al. RG7204 (PLX4032), a Selective BRAF(V600E) Inhibitor, Displays Potent Antitumor Activity in Preclinical Melanoma Models. Cancer Res. 2010, 70, 5518–5527. [Google Scholar] [CrossRef] [PubMed]
- Poudel, M.; Kim, G.; Bhattarai, P.Y.; Shin, S.; Zaraei, S.O.; Oh, C.H.; Choi, H.S. Potent Imidazothiazole-based Inhibitor of BRAF V600E Overcomes Acquired Resistance via Inhibition of RAF Dimerization in PLX4032-resistant Melanoma. Anticancer Res. 2022, 42, 2911–2921. [Google Scholar] [CrossRef] [PubMed]
- Holderfield, M.; Deuker, M.; McCormick, F.; McMahon, M. Targeting RAF kinases for cancer therapy: BRAF-mutated melanoma and beyond. Nat. Rev. Cancer 2014, 14, 455–467. [Google Scholar] [CrossRef] [PubMed]
- Rahman, M.A.; Salajegheh, A.; Smith, R.A.; Lam, A.K.-Y. Multiple proliferation-survival signalling pathways are simultaneously active in BRAF V600E mutated thyroid carcinomas. Exp. Mol. Pathol. 2015, 99, 492–497. [Google Scholar] [CrossRef] [PubMed]
- Qin, J.; Xie, P.; Ventocilla, C.; Zhou, G.; Vultur, A.; Chen, Q.; Liu, Q.; Herlyn, M.; Winkler, J.; Marmorstein, R. Identification of a Novel Family of BRAFV600E Inhibitors. J. Med. Chem. 2012, 55, 5220–5230. [Google Scholar] [CrossRef]
- Zhang, B.; Lyu, J.; Yang, E.J.; Liu, Y.; Wu, C.; Pardeshi, L.; Tan, K.; Chen, Q.; Xu, X.; Deng, C.X.; et al. Class I histone deacetylase inhibition is synthetic lethal with BRCA1 deficiency in breast cancer cells. Acta Pharm. Sin. B 2020, 10, 615–627. [Google Scholar] [CrossRef]
- Habibi-Yangjeh, A.; Asadzadeh-Khaneghah, S.; Feizpoor, S.; Rouhi, A. Review on heterogeneous photocatalytic disinfection of waterborne, airborne, and foodborne viruses: Can we win against pathogenic viruses? J. Colloid Interface Sci. 2020, 580, 503–514. [Google Scholar] [CrossRef]
- Kang, Y.; Mai, Z.T.; Yau, L.F.; Li, R.F.; Tong, T.T.; Yang, C.G.; Chan, K.M.; Jiang, Z.H.; Wang, Y.; Yang, Z.F.; et al. Glycomic Analysis Reveals That Sialyltransferase Inhibition Is Involved in the Antiviral Effects of Arbidol. J. Virol. 2022, 96, e0214121. [Google Scholar] [CrossRef]
- Nikaeen, G.; Abbaszadeh, S.; Yousefinejad, S. Application of nanomaterials in treatment, anti-infection and detection of coronaviruses. Nanomedicine 2020, 15, 1501–1512. [Google Scholar] [CrossRef]
- Müller, I.B.; Hyde, J.E. Antimalarial drugs: Modes of action and mechanisms of parasite resistance. Future Microbiol. 2010, 5, 1857–1873. [Google Scholar] [CrossRef] [PubMed]
- Feuer, R.; Ruller, C.M.; An, N.; Tabor-Godwin, J.M.; Rhoades, R.E.; Maciejewski, S.; Pagarigan, R.R.; Cornell, C.T.; Crocker, S.J.; Kiosses, W.B.; et al. Viral persistence and chronic immunopathology in the adult central nervous system following Coxsackievirus infection during the neonatal period. J. Virol. 2009, 83, 9356–9369. [Google Scholar] [CrossRef] [PubMed]
- Gómez, R.M.; Jaquenod de Giusti, C.; Sanchez Vallduvi, M.M.; Frik, J.; Ferrer, M.F.; Schattner, M. Junín virus. A XXI century update. Microbes Infect. 2011, 13, 303–311. [Google Scholar] [CrossRef] [PubMed]
- Garcia-Gutierrez, E.; Mayer, M.J.; Cotter, P.D.; Narbad, A. Gut microbiota as a source of novel antimicrobials. Gut Microbes 2019, 10, 1–21. [Google Scholar] [CrossRef]
- Wang, Y.; Fu, H.; Li, Y.; Jiang, J.; Song, D. Synthesis and biological evaluation of 8-substituted berberine derivatives as novel anti-mycobacterial agents. Acta Pharm. Sin. B 2012, 2, 581–587. [Google Scholar] [CrossRef]
- Jaradat, Z.W.; Ababneh, Q.O.; Sha’aban, S.T.; Alkofahi, A.A.; Assaleh, D.; Al Shara, A. Methicillin Resistant Staphylococcus aureus and public fomites: A review. Pathog. Glob. Health 2020, 114, 426–450. [Google Scholar] [CrossRef]
- Shing, B.; Balen, M.; Debnath, A. Evaluation of Amebicidal and Cysticidal Activities of Antifungal Drug Isavuconazonium Sulfate against Acanthamoeba T4 Strains. Pharmaceuticals 2021, 14, 1294. [Google Scholar] [CrossRef]
- Okolie, N. Evaluation of Levamisole Activity on Ascaris lumbricoides and Hookworm Infections—A Therapeutic Trial. J. Med. Lab. Sci. 2009, 16. [Google Scholar] [CrossRef]
- Reis, R.; Sipahi, H.; Zeybekoğlu, G.; Çelik, N.; Kırmızıbekmez, H.; Kaklıkkaya, N.; Aydın, A. Hydroxytyrosol: The Phytochemical Responsible for Bioactivity of Traditionally used Olive Pits. Euroasian J. Hepatogastroenterol. 2018, 8, 126–132. [Google Scholar] [CrossRef]
- Panaro, M.A.; Mitolo, V. Cellular responses to FMLP challenging: A mini-review. Immunopharmacol. Immunotoxicol. 1999, 21, 397–419. [Google Scholar] [CrossRef]
- Wright, H.L.; Moots, R.J.; Bucknall, R.C.; Edwards, S.W. Neutrophil function in inflammation and inflammatory diseases. Rheumatology 2010, 49, 1618–1631. [Google Scholar] [CrossRef] [PubMed]
- Mansouri, M.T.; Hemmati, A.A.; Naghizadeh, B.; Mard, S.A.; Rezaie, A.; Ghorbanzadeh, B. A study of the mechanisms underlying the anti-inflammatory effect of ellagic acid in carrageenan-induced paw edema in rats. Indian J. Pharmacol. 2015, 47, 292–298. [Google Scholar] [CrossRef] [PubMed]
- Vazquez, E.; Navarro, M.; Salazar, Y.; Crespo, G.; Bruges, G.; Osorio, C.; Tortorici, V.; Vanegas, H.; López, M. Systemic changes following carrageenan-induced paw inflammation in rats. Inflamm. Res. 2015, 64, 333–342. [Google Scholar] [CrossRef] [PubMed]
- Giménez, V.M.M.; Sanz, R.L.; Marón, F.J.M.; Ferder, L.; Manucha, W. Vitamin D-RAAS Connection: An Integrative Standpoint into Cardiovascular and Neuroinflammatory Disorders. Curr. Protein Pept. Sci. 2020, 21, 948–954. [Google Scholar] [CrossRef] [PubMed]
- Rajendran, P.S.; Hanna, P.; Zhu, C.; Shivkumar, K. Neuroinflammation as a mechanism for cardiovascular diseases. Int. J. Cardiol. 2019, 288, 128–129. [Google Scholar] [CrossRef]
- Bertolini, A.; Ottani, A.; Sandrini, M. Selective COX-2 inhibitors and dual acting anti-inflammatory drugs: Critical remarks. Curr. Med. Chem. 2002, 9, 1033–1043. [Google Scholar] [CrossRef]
- Everts, B.; Währborg, P.; Hedner, T. COX-2-Specific inhibitors--the emergence of a new class of analgesic and anti-inflammatory drugs. Clin. Rheumatol. 2000, 19, 331–343. [Google Scholar] [CrossRef]
- Singh, S.; Singh, R.P. In Vitro Methods of Assay of Antioxidants: An Overview. Food Rev. Int. 2008, 24, 392–415. [Google Scholar] [CrossRef]
- Kedare, S.B.; Singh, R.P. Genesis and development of DPPH method of antioxidant assay. J. Food Sci. Technol. 2011, 48, 412–422. [Google Scholar] [CrossRef]
- Amery, W.K.; Bruynseels, J.P. Levamisole, the story and the lessons. Int. J. Immunopharmacol. 1992, 14, 481–486. [Google Scholar] [CrossRef]
- Kang, Y.; Jin, H.; Zheng, G.; Xie, Q.; Yin, J.; Yu, Y.; Xiao, C.; Zhang, X.; Chen, A.; Wang, B. The adjuvant effect of levamisole on killed viral vaccines. Vaccine 2005, 23, 5543–5550. [Google Scholar] [CrossRef] [PubMed]
- Renoux, G. The general immunopharmacology of levamisole. Drugs 1980, 20, 89–99. [Google Scholar] [CrossRef] [PubMed]
- Jagdale, S.; Gattani, M.; Bhavsar, D.; Kuchekar, B.; Chabukswar, A. Formulation and evaluation of chewable tablet of levamisole. Int. J. Res. Pharm. Sci. 2010, 1, 282–289. [Google Scholar]
- Kadam, S.V.; Rane, N.U.; Magdum, C.S. Formulation and Evaluation of Orodispersible Tablets of Levamisole Hydrochloride. Asian J. Pharm. Technol. 2019, 9, 63–68. [Google Scholar] [CrossRef]
- Das, B.; Dash, S.; Choudhury, R.C.; Chakraborty, J. Formulation and evaluation of mucoadhesive gastro retentive tablet of levamisole by using purified polysaccharide isolated from terminalia bellerica gum. J. Drug Deliv. Ther. 2014, 4, 24–33. [Google Scholar] [CrossRef]
- Gawale, K.; Syed, S.M.; Farooqui, Z. Formulation Development and Evaluation of Gastro Retentive Matrix Tablet of Levamisole Hydrochloride. Pharm. Biosci. J. 2021, 9, 50–70. [Google Scholar] [CrossRef]
- Kreeftmeijer-Vegter, A.R.; de Meijer, M.; Wegman, K.A.; van Veldhuizen, C.K. Development and evaluation of age-appropriate film-coated tablets of levamisole for paediatric use (2–18 years). Expert Opin. Drug Deliv. 2013, 10, 293–300. [Google Scholar] [CrossRef]
- Kambayashi, A.; de Meijer, M.; Wegman, K.; van Veldhuizen, C.; Abrahamsson, B.; Cristofoletti, R.; Langguth, P.; Mehta, M.; Parr, A.; Polli, J.E.; et al. Biowaiver monograph for immediate-release dosage Forms: Levamisole hydrochloride. J. Pharm. Sci. 2023, 112, 634–639. [Google Scholar] [CrossRef]
- Dickinson, N.A.; Hudson, H.E.; Taylor, P.J. Levamisole: Its stability in aqueous solutions at elevated temperatures. Part III. A chromatographic and polarimetric study of the kinetics of degradation. Analyst 1971, 96, 248–253. [Google Scholar] [CrossRef]
- Kouassi, E.; Caillé, G.; Léry, L.; Larivière, L.; Vézina, M. Novel assay and pharmacokinetics of levamisole and p-hydroxylevamisole in human plasma and urine. Biopharm. Drug Dispos. 1986, 7, 71–89. [Google Scholar] [CrossRef]
- Luyckx, M.; Rousseau, F.; Cazin, M.; Brunet, C.; Cazin, J.C.; Haguenoer, J.M.; Devulder, B.; Lesieur, I.; Lesieur, D.; Gosselin, P.; et al. Pharmacokinetics of levamisole in healthy subjects and cancer patients. Eur. J. Drug Metab. Pharmacokinet. 1982, 7, 247–254. [Google Scholar] [CrossRef] [PubMed]
- Campillo, J.T.; Eiden, C.; Boussinesq, M.; Pion, S.D.S.; Faillie, J.L.; Chesnais, C.B. Adverse reactions with levamisole vary according to its indications and misuse: A systematic pharmacovigilance study. Br. J. Clin. Pharmacol. 2022, 88, 1094–1106. [Google Scholar] [CrossRef] [PubMed]
- Scheinfeld, N.; Rosenberg, J.D.; Weinberg, J.M. Levamisole in Dermatology. Am. J. Clin. Dermatol. 2004, 5, 97–104. [Google Scholar] [CrossRef]
- Larocque, A.; Hoffman, R.S. Levamisole in cocaine: Unexpected news from an old acquaintance. Clin. Toxicol. 2012, 50, 231–241. [Google Scholar] [CrossRef] [PubMed]
- Chang, A.; Osterloh, J.; Thomas, J. Levamisole: A dangerous new cocaine adulterant. Clin. Pharmacol. Ther. 2010, 88, 408–411. [Google Scholar] [CrossRef]
- Zhou, F.; Ge, Z.; Chen, B. Quizartinib (AC220): A promising option for acute myeloid leukemia. Drug Des. Dev. Ther. 2019, 13, 1117–1125. [Google Scholar] [CrossRef]
- Cortes, J.E.; Khaled, S.; Martinelli, G.; Perl, A.E.; Ganguly, S.; Russell, N.; Krämer, A.; Dombret, H.; Hogge, D.; Jonas, B.A.; et al. Quizartinib versus salvage chemotherapy in relapsed or refractory FLT3-ITD acute myeloid leukaemia (QuANTUM-R): A multicentre, randomised, controlled, open-label, phase 3 trial. Lancet Oncol. 2019, 20, 984–997. [Google Scholar] [CrossRef]
- Swaminathan, M.; Kantarjian, H.M.; Levis, M.; Guerra, V.; Borthakur, G.; Alvarado, Y.; DiNardo, C.D.; Kadia, T.; Garcia-Manero, G.; Ohanian, M.; et al. A phase I/II study of the combination of quizartinib with azacitidine or low-dose cytarabine for the treatment of patients with acute myeloid leukemia and myelodysplastic syndrome. Haematologica 2021, 106, 2121–2130. [Google Scholar] [CrossRef]
- Carr, G.V.; Schechter, L.E.; Lucki, I. Antidepressant and anxiolytic effects of selective 5-HT6 receptor agonists in rats. Psychopharmacology 2011, 213, 499–507. [Google Scholar] [CrossRef] [PubMed]
- West, P.J.; Marcy, V.R.; Marino, M.J.; Schaffhauser, H. Activation of the 5-HT(6) receptor attenuates long-term potentiation and facilitates GABAergic neurotransmission in rat hippocampus. Neuroscience 2009, 164, 692–701. [Google Scholar] [CrossRef] [PubMed]










| Pharmacological Activity | Function Target | Ref. |
|---|---|---|
| Antitumor | Lung cancer | [27,28] |
| Melanoma | [29,30] | |
| Breast cancer | [31,32] | |
| Other cancer | [33,34] | |
| Anti-infection | Virus | [35,36,37,38,39] |
| Bacteria | [2,40,41,42,43] | |
| Parasite | [44,45] | |
| Anti-inflammatory | Inflammatory cells | [46,47,48] |
| Paw edema model | [49] | |
| Nerves and cardiovascular system | [50] | |
| Cyclooxygenase-2 (COX-2) | [51] | |
| Antioxidant activity | Excessive free radicals | [52,53] |
| Analgesic activity | Opioid µ-receptors | [54] |
| Therapeutic effect of cardiovascular disease | Voltage-gated Ca2+ channels | [55,56] |
Disclaimer/Publisher’s Note: The statements, opinions and data contained in all publications are solely those of the individual author(s) and contributor(s) and not of MDPI and/or the editor(s). MDPI and/or the editor(s) disclaim responsibility for any injury to people or property resulting from any ideas, methods, instructions or products referred to in the content. |
© 2023 by the authors. Licensee MDPI, Basel, Switzerland. This article is an open access article distributed under the terms and conditions of the Creative Commons Attribution (CC BY) license (https://creativecommons.org/licenses/by/4.0/).
Share and Cite
Guo, M.; Yu, X.; Zhu, Y.Z.; Yu, Y. From Bench to Bedside: What Do We Know about Imidazothiazole Derivatives So Far? Molecules 2023, 28, 5052. https://doi.org/10.3390/molecules28135052
Guo M, Yu X, Zhu YZ, Yu Y. From Bench to Bedside: What Do We Know about Imidazothiazole Derivatives So Far? Molecules. 2023; 28(13):5052. https://doi.org/10.3390/molecules28135052
Chicago/Turabian StyleGuo, Mu, Xiangbin Yu, Yi Zhun Zhu, and Yue Yu. 2023. "From Bench to Bedside: What Do We Know about Imidazothiazole Derivatives So Far?" Molecules 28, no. 13: 5052. https://doi.org/10.3390/molecules28135052
APA StyleGuo, M., Yu, X., Zhu, Y. Z., & Yu, Y. (2023). From Bench to Bedside: What Do We Know about Imidazothiazole Derivatives So Far? Molecules, 28(13), 5052. https://doi.org/10.3390/molecules28135052

