Chemical and Biological Characterization of Green and Processed Coffee Beans from Coffea arabica Varieties
Abstract
1. Introduction
2. Results and Discussion
2.1. Nutritional Composition
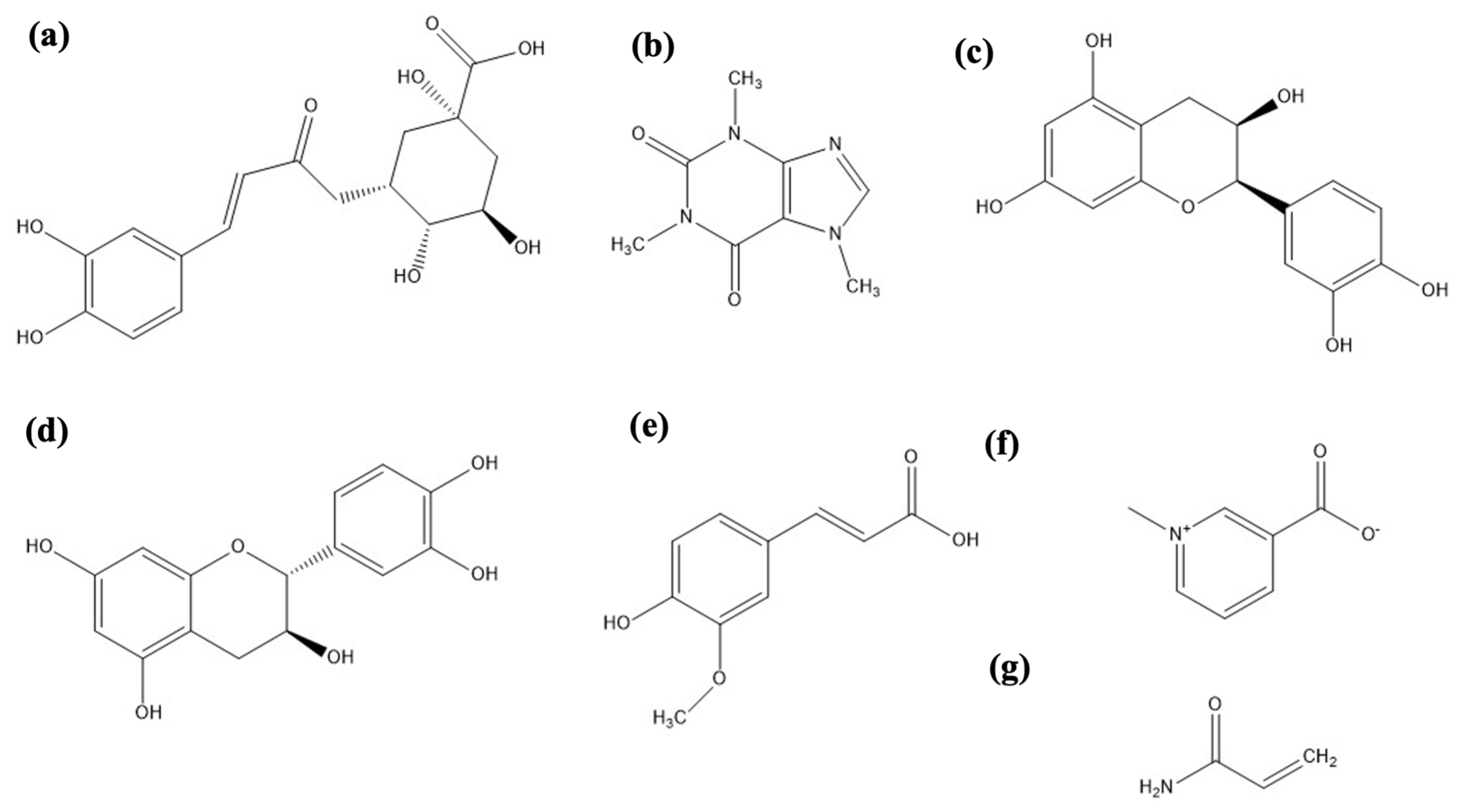
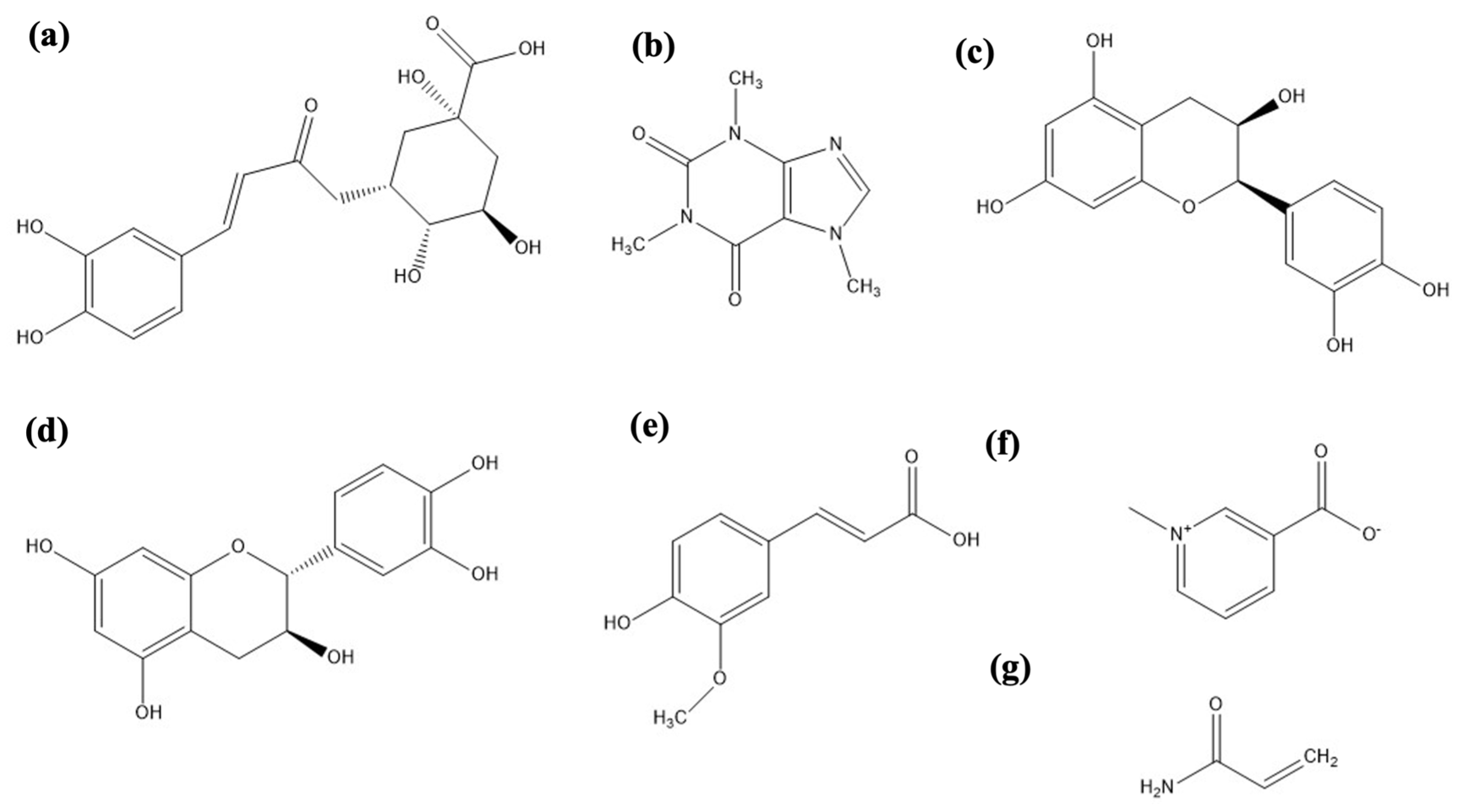
2.2. Chemical Analysis
2.3. Melanoidins
2.4. Sensory Evaluation
2.5. Biological Activities
2.5.1. Antioxidant Effect
2.5.2. Cytotoxic Activity
3. Materials and Methods
3.1. Biological Material
3.2. Bromatological Analysis
3.3. Chemical Analyses
3.3.1. Infusion Preparation
3.3.2. Chlorogenic Acid and Caffeine Quantification
3.3.3. Chemical Fractionation of MRC Infusion
3.4. Melanoidins
- (1)
- Serial dilutions (2.0–0.0625 mg/mL) were prepared from a solution of 10 mg/mL of each infusion, and the absorbance of each concentration was measured at λmax = 420 nm in a UV-VIS spectrophotometer (Genesys 20-Thermo Scientific, Waltham, MA, USA). The melanoidin content in the infusions was determined by the Lambert-Beer formula: C = A/cb, where C is concentration, A absorbance, b cell length (1 cm), and c extinction coefficient (1.1289 L/g cm) [28,46].
- (2)
- Extracts from 2 g of each infusion were dissolved in 20 mL distilled water, and they were filtrated through Acrodiscs Pall® (0.45 μm). The calibration curves for each coffee were built from dilutions with absorbances between 1.0 and 0.01. For melanoidin determination, 1 mL of the filtrate was diluted with water (1/5, v/v), and 1 mL of Carrez I and II solutions were added (Sigma-Aldrich). The solution was homogenized and completed to a volume of 10 mL. Then, each sample was centrifuged at 4000 rpm for 5 min, and the clarified samples were filtered through Acrodiscs Pall® (Pall Port Washington, NY, USA) (0.20 μm). The corresponding readings for melanoidins were carried out to obtain the content and the specific extinction coefficient (Kmix) determined by Lambert-Beer’s law.
3.5. Sensory Assessment
3.6. Biological Analyses
3.6.1. Antioxidant Activity Assays
Radical Scavenging of 2,2-Diphenyl-1-picrylhydrazyl (DPPH)
ABTS (2,2′-Azinobis (3-Ethylbenzothiazoline-6 sulfonic Acid) Radical
Ferric Reducing/Antioxidant Power (FRAP)
3.6.2. Cytotoxic Evaluation
4. Conclusions
Author Contributions
Funding
Institutional Review Board Statement
Informed Consent Statement
Data Availability Statement
Acknowledgments
Conflicts of Interest
Sample Availability
References
- International Coffee Organization. Exports of All Forms of Coffee by Exporting Countries to All Destinations. 2022. Available online: https://www.ico.org/prices/m1-exports.pdf (accessed on 10 May 2022).
- Comercio Internacional del Café, El Caso de México; Centro de Estudios para el Desarrollo Rural Sustentable y la Soberanía Alimentaria: Ciudad de México, México, 2019.
- Otero, A.; Elms, R. Coffee Anual Mexico; 2021. Available online: https://apps.fas.usda.gov/newgainapi/api/Report/DownloadReportByFileName?fileName=Coffee%20Annual_Mexico%20City_Mexico_MX2022-0031.pdf (accessed on 11 November 2022).
- Flores, V.F. La Producción de Café En México: Ventana de Oportunidad Para El Sector Agrícola de Chiapas. Rev. Espac. I+D Innovación Más Desarro. 2015, 4, 174–194. [Google Scholar] [CrossRef]
- Servicio de Información Agroalimentaria y Pesquera. Café: Datos Preliminares a 2017 Indican Una Producción Nacional de 839 Mil Toneladas. Available online: https://www.gob.mx/siap/articulos/cafe-datos-preliminares-a-2017-indican-una-produccion-nacional-de-839-mil-toneladas (accessed on 30 March 2023).
- Hidalgo-Espinosa, E. Coffee Origins: A Guide to Mexico—Perfect Daily Grind. Available online: https://perfectdailygrind.com/2020/03/coffee-origins-a-guide-to-mexico/ (accessed on 20 March 2022).
- Tablas González, I.; Guerrero Rodríguez, J.D.D.; Aceves Ruiz, E.; Álvarez Calderón, N.M.; Laínez-Loyo, E.; Olvera Hernández, J.I. El Cultivo de Café En Ojo de Agua de Cuauhtémoc, Malinaltepec, Guerrero. Rev. Mex. De Cienc. Agric. 2021, 12, 1031–1042. [Google Scholar] [CrossRef]
- Alianza Estratégica para el Desarrollo de la Región Pacífico Sur. Planeación Espacial Participativa y Diálogo Estratégico. Available online: http://adesur.centrogeo.org.mx/ms/guerrero/narrative/77 (accessed on 14 March 2023).
- El Café En México Diagnóstico y Perspectiva; Centro de Estudios para el Desarrollo Rural Sustentable y la Soberanía Alimentaria: Ciudad de México, México, 2018.
- Roman-Maldonado, Y.; Gutiérrez-Salomón, A.L.; Jaimez-Ordaz, J.; García-Barrón, S.E.; Barajas-Ramírez, J.A. Drivers of Liking to Predict Consumers’ Acceptance of Local Coffee from Indigenous Mexican Regions. Eur. Food Res. and Technol. 2022, 248, 467–475. [Google Scholar] [CrossRef]
- Hutachok, N.; Angkasith, P.; Chumpun, C.; Fucharoen, S.; Mackie, I.J.; Porter, J.B.; Srichairatanakool, S. Anti-Platelet Aggregation and Anti-Cyclooxygenase Activities for a Range of Coffee Extracts (Coffea arabica). Molecules 2020, 26, 10. [Google Scholar] [CrossRef] [PubMed]
- Nemzer, B.; Kalita, D.; Abshiru, N. Quantification of Major Bioactive Constituents, Antioxidant Activity, and Enzyme Inhibitory Effects of Whole Coffee Cherries (Coffea arabica) and Their Extracts. Molecules 2021, 26, 4306. [Google Scholar] [CrossRef]
- Gallardo-Ignacio, J.; Nicasio-Torres, P.; Santibáñez, A.; Cabrera-Hilerio, S.L.; Cruz-Sosa, F. Ethnopharmacological Study of the Genus Coffea and Compounds of Biological Importance. Rev. Mex. Ing. Quim. 2022, 21, Bio2856. [Google Scholar] [CrossRef]
- Khochapong, W.; Ketnawa, S.; Ogawa, Y.; Punbusayakul, N. Effect of In Vitro Digestion on Bioactive Compounds, Antioxidant and Antimicrobial Activities of Coffee (Coffea arabica L.) Pulp Aqueous Extract. Food Chem. 2021, 348, 129094. [Google Scholar] [CrossRef]
- Murai, T.; Matsuda, S. The Chemopreventive Effects of Chlorogenic Acids, Phenolic Compounds in Coffee, against Inflammation, Cancer, and Neurological Diseases. Molecules 2023, 28, 2381. [Google Scholar] [CrossRef]
- Duangjai, A.; Saokaew, S.; Goh, B.-H.; Phisalprapa, P. Shifting of Physicochemical and Biological Characteristics of Coffee Roasting Under Ultrasound-Assisted Extraction. Front. Nutr. 2021, 8, 724591. [Google Scholar] [CrossRef]
- Farah, A.; Donangelo, C.M. Phenolic Compounds in Coffee. Braz. J. Plant Physiol. 2006, 18, 23–36. [Google Scholar] [CrossRef]
- Xu, Y.; Zhang, J.; Pan, T.; Ren, F.; Luo, H.; Zhang, H. Synthesis, Characterization and Effect of Alkyl Chain Unsaturation on the Antioxidant Activities of Chlorogenic Acid Derivatives. LWT 2022, 162, 113325. [Google Scholar] [CrossRef]
- Jeszka-Skowron, M.; Sentkowska, A.; Pyrzyńska, K.; De Peña, M.P. Chlorogenic Acids, Caffeine Content and Antioxidant Properties of Green Coffee Extracts: Influence of Green Coffee Bean Preparation. Eur. Food Res. Technol. 2016, 242, 1403–1409. [Google Scholar] [CrossRef]
- Górecki, M.; Hallmann, E. The Antioxidant Content of Coffee and Its in Vitro Activity as an Effect of Its Production Method and Roasting and Brewing Time. Antioxidants 2020, 9, 308. [Google Scholar] [CrossRef] [PubMed]
- Tsai, C.-F.; Jioe, I.P.J. The Analysis of Chlorogenic Acid and Caffeine Content and Its Correlation with Coffee Bean Color under Different Roasting Degree and Sources of Coffee (Coffea arabica Typica). Processes 2021, 9, 2040. [Google Scholar] [CrossRef]
- Lazcano-Sánchez, E.; Trejo-Márquez, M.A.; Vargas-Martinez, M.G.; Pascual-Bustamante, S. Contenido de Fenoles, Cafeina y Capacidad Antioxidante de Granos de Café Verdes y Tostados de Diferentes Estados de México. Rev. Iberoam. Tecnol. Postcosecha 2015, 16, 293–298. [Google Scholar]
- Cwiková, O.; Komprda, T.; Šottníková, V.; Svoboda, Z.; Simonová, J.; Slováček, J.; Jůzl, M. Effects of Different Processing Methods of Coffee Arabica on Colour, Acrylamide, Caffeine, Chlorogenic Acid, and Polyphenol Content. Foods 2022, 11, 3295. [Google Scholar] [CrossRef]
- Król, K.; Gantner, M.; Tatarak, A.; Hallmann, E. The Content of Polyphenols in Coffee Beans as Roasting, Origin and Storage Effect. Eur. Food Res. Technol. 2020, 246, 33–39. [Google Scholar] [CrossRef]
- Endeshaw, H.; Belay, A. Optimization of the Roasting Conditions to Lower Acrylamide Content and Improve the Nutrient Composition and Antioxidant Properties of Coffea arabica. PLoS ONE 2020, 15, e0237265. [Google Scholar] [CrossRef]
- Várady, M.; Ślusarczyk, S.; Boržíkova, J.; Hanková, K.; Vieriková, M.; Marcinčák, S.; Popelka, P. Heavy-Metal Contents and the Impact of Roasting on Polyphenols, Caffeine, and Acrylamide in Specialty Coffee Beans. Foods 2021, 10, 1310. [Google Scholar] [CrossRef]
- Moreira, A.S.P.; Nunes, F.M.; Domingues, M.R.; Coimbra, M.A. Coffee Melanoidins: Structures, Mechanisms of Formation and Potential Health Impacts. Food Funct. 2012, 3, 903. [Google Scholar] [CrossRef]
- Pérez-Hernández, M.L.; Chávez-Quiroz, K.; Medina-Juárez, L.Á.; Gámez, M.N. Compuestos Fenólicos, Melanoidinas y Actividad Antioxidante de Café Verde y Procesados de Las Especies Coffea arabica y Coffea canephora. Rev. Cienc. Biológicas Salud 2013, 15, 51–56. [Google Scholar] [CrossRef]
- de Melo Pereira, G.v.; de Carvalho Neto, D.P.; Magalhães Júnior, A.I.; Vásquez, Z.S.; Medeiros, A.B.P.; Vandenberghe, L.P.S.; Soccol, C.R. Exploring the Impacts of Postharvest Processing on the Aroma Formation of Coffee Beans—A Review. Food Chem. 2019, 272, 441–452. [Google Scholar] [CrossRef] [PubMed]
- Stanek, N.; Zarębska, M.; Biłos, Ł.; Barabosz, K.; Nowakowska-Bogdan, E.; Semeniuk, I.; Błaszkiewicz, J.; Kulesza, R.; Matejuk, R.; Szkutnik, K. Influence of Coffee Brewing Methods on the Chromatographic and Spectroscopic Profiles, Antioxidant and Sensory Properties. Sci. Rep. 2021, 11, 21377. [Google Scholar] [CrossRef]
- Cortés-Macías, E.T.; López, C.F.; Gentile, P.; Girón-Hernández, J.; López, A.F. Impact of Post-Harvest Treatments on Physicochemical and Sensory Characteristics of Coffee Beans in Huila, Colombia. Postharvest Biol. Technol. 2022, 187, 111852. [Google Scholar] [CrossRef]
- Stefanello, N.; Spanevello, R.M.; Passamonti, S.; Porciúncula, L.; Bonan, C.D.; Olabiyi, A.A.; Teixeira da Rocha, J.B.; Assmann, C.E.; Morsch, V.M.; Schetinger, M.R.C. Coffee, Caffeine, Chlorogenic Acid, and the Purinergic System. Food Chem. Toxicol. 2019, 123, 298–313. [Google Scholar] [CrossRef]
- Bhandarkar, N.S.; Brown, L.; Panchal, S.K. Chlorogenic Acid Attenuates High-Carbohydrate, High-Fat Diet–Induced Cardiovascular, Liver, and Metabolic Changes in Rats. Nutr. Res. 2019, 62, 78–88. [Google Scholar] [CrossRef] [PubMed]
- de Souza, L.D.S.; Horta, I.P.C.; de Souza Rosa, L.; Lima, L.G.B.; da Rosa, J.S.; Montenegro, J.; da Silva Santos, L.; de Castro, R.B.N.; Freitas-Silva, O.; Teodoro, A.J. Effect of the Roasting Levels of Coffea arabica L. Extracts on Their Potential Antioxidant Capacity and Antiproliferative Activity in Human Prostate Cancer Cells. RSC Adv. 2020, 10, 30115–30126. [Google Scholar] [CrossRef]
- Acidri, R.; Sawai, Y.; Sugimoto, Y.; Handa, T.; Sasagawa, D.; Masunaga, T.; Yamamoto, S.; Nishihara, E. Phytochemical Profile and Antioxidant Capacity of Coffee Plant Organs Compared to Green and Roasted Coffee Beans. Antioxidants 2020, 9, 93. [Google Scholar] [CrossRef]
- Castaldo, L.; Narváez, A.; Izzo, L.; Graziani, G.; Ritieni, A. In vitro Bioaccessibility and Antioxidant Activity of Coffee Silverskin Polyphenolic Extract and Characterization of Bioactive Compounds Using UHPLC-Q-Orbitrap HRMS. Molecules 2020, 25, 2132. [Google Scholar] [CrossRef]
- Cordell, G.A.; Farnsworth, N.R.; Beecher, C.W.W.; Soejarto, D.D.; Kinghorn, A.D.; Pezzuto, J.M.; Wall, M.E.; Wani, M.C.; Cobb, R.R.; O’Neill, M.J.; et al. Novel Strategies for the Discovery of Plant-Derived Anticancer Agents. In Anticancer Drug Discovery and Development: Natural Products and New Molecular Models; Springer: Boston, MA, USA, 1994; pp. 63–83. [Google Scholar]
- Kocadağlı, T.; Gökmen, V. Formation of Acrylamide in Coffee. Curr. Opin. Food Sci. 2022, 45, 100842. [Google Scholar] [CrossRef]
- Caporaso, N.; Genovese, A.; Canela, M.D.; Civitella, A.; Sacchi, R. Neapolitan Coffee Brew Chemical Analysis in Comparison to Espresso, Moka and American Brews. Food Res. Int. 2014, 61, 152–160. [Google Scholar] [CrossRef]
- Farah, A.; de Paula Lima, J. Consumption of Chlorogenic Acids through Coffee and Health Implications. Beverages 2019, 5, 11. [Google Scholar] [CrossRef]
- Pietsch, A. Decaffeination-Process and Quality. In The Craft and Science of Coffee; Elsevier Inc.: Amsterdam, The Netherlands, 2017; pp. 225–243. ISBN 9780128035580. [Google Scholar]
- Awwad, S.; Issa, R.; Alnsour, L.; Albals, D.; Al-Momani, I. Quantification of Caffeine and Chlorogenic Acid in Green and Roasted Coffee Samples Using HPLC-DAD and Evaluation of the Effect of Degree of Roasting on Their Levels. Molecules 2021, 26, 7502. [Google Scholar] [CrossRef] [PubMed]
- Hu, G.L.; Wang, X.; Zhang, L.; Qiu, M.H. The Sources and Mechanisms of Bioactive Ingredients in Coffee. Food Funct. 2019, 10, 3113–3126. [Google Scholar] [CrossRef] [PubMed]
- Jung, S.; Gu, S.; Lee, S.H.; Jeong, Y. Effect of Roasting Degree on the Antioxidant Properties of Espresso and Drip Coffee Extracted from Coffea arabica Cv. Java. Appl. Sci. 2021, 11, 7025. [Google Scholar] [CrossRef]
- Cereals & Grains Association. Approved Methods of Analysis. Available online: https://www.cerealsgrains.org/resources/methods/Pages/default.aspx (accessed on 11 March 2023).
- Tagliazucchi, D.; Elena, V.; Angela, C. Effect of Dietary Melanoidins on Lipid Peroxidation during Simulated Gastric Digestion: Their Possible Role in the Prevention of Oxidative Damage. J. Agric. Food Chem. 2010, 58, 2513–2519. [Google Scholar] [CrossRef] [PubMed]
- Specialty Coffee Association of America SCAA. SCAA Protocols. Cupping Specialty Coffee; Specialty Coffee Association of America SCAA: Santa Ana, CA, USA, 2015. [Google Scholar]




| Coffee | Content in Percentage (%) | ||||
|---|---|---|---|---|---|
| Humidity | Ash | Fats | Proteins | Carbohydrates | |
| GCM | 8.48 ± 0.13 ** | 4.54 ± 0.06 ** | 5.09 ± 0.89 | 12.34 ± 0.29 | 69.56 ± 1.06 |
| MRC | 4.23 ± 0.14 * | 3.84 ± 0.11 | 6.48 ± 0.34 * | 13.04 ± 0.28 | 72.41 ± 1.26 |
| DRC | 3.59 ± 0.12 | 4.44 ± 0.08 ** | 8.15 ± 0.63 ** | 13.01 ± 0.38 | 70.81 ± 1.11 |
| Data of [18] | ||||
|---|---|---|---|---|
| C Atom | δ 1H-Experimental | δ 13C-Experimental | δ 1H | δ 13C |
| 1 | 70.24 | 71.06 | ||
| 2a b | 2.09 (m) 1.92 (dd,12.1, 12.4 Hz) | 39.44 | 2.21 (m) | 37.65 |
| 3 | 5.23 (ddd, 5.1,5.5, 10.2 Hz) | 71.29 | 5.17 | 71.06 |
| 4 | 3.62 (d, br, 10.1 Hz) | 72.97 | 4.89 | 68.48 |
| 5 | 4.12 (s, br) | 71.91 | 4.77 | 73.90 |
| 6a b | 1.98 (m) 1.98 (m) | 37.21 | 1.84 | 36.66 |
| 1′ | 126.03 | 126.05 | ||
| 2′ | 7.10 (d,1.4 Hz) | 115.06 | 7.00 | 114.99 |
| 3′ | 146.07 | 148.80 | ||
| 4′ | 148.80 | 145.71 | ||
| 5′ | 6.82 (d,8.1 Hz) | 116.25 | 6.98 | 116.20 |
| 6′ | 7.03 (dd,1.5, 8.1 Hz) | 121.68 | 7.00 | 114.99 |
| 7′ | 7.52 (d,15.8 Hz) | 145.18 | 7.42 | 145.71 |
| 8′ | 6.30 (d,15.9 Hz) | 115.20 | 6.15 | 114.99 |
| 9′ | 166.74 | 166.18 | ||
| COOH | 175.88 | 175.38 | ||
| Coffee Beans | CGA | Caffeine | Melanoidins | ||
|---|---|---|---|---|---|
| Unclarified | Clarified | ||||
| mg/g Coffee | Kmix Lg−1cm−1 | ||||
| GCM | 30.81 ± 2.22 | 0.87 ± 0.09 | 15.41 ± 1.15 | 2.04 ± 0.88 | 0.07 |
| Bourbon-GC | 55.75 ± 2.31 ** | 1.78 ± 0.12 ** | - | - | - |
| Oro Azteca-GC | 54.63 ± 2.43 ** | 1.77 ± 0.15 ** | - | - | - |
| Typica-GC | 36.81 ± 0.10 | 1.16 ± 0.18 | - | - | - |
| MRC | 30.26 ± 0.45 ** | 2.52 ± 0.17 * | 85.51 ± 5.99 * | 18.95 ± 1.9 ** | 1.586 |
| DRC | 14.52 ± 0.65 | 3.88 ± 0.23 ** | 96.79 ± 3.44 ** | 29.06 ± 7.7 ** | 1.614 |
| Coffee Beans | MRC | DRC |
|---|---|---|
| Aroma | 8.00 ± 0.16 * | 7.75 ± 0.20 |
| Taste | 7.75 ± 0.29 | 7.75 ± 0.29 |
| Aftertaste | 8.00 ± 0.20 | 8.00 ± 0.20 |
| Acidity | 8.00 ± 0.61 | 8.00 ± 0.13 |
| Body | 8.25 ± 0.20 * | 8.00 ± 0.13 |
| Balance | 8.00 ± 0.29 * | 7.25 ± 0.29 |
| Uniformity | 10 ± 0 | 10 ± 0 |
| Clean cup | 10 ± 0 | 10 ± 0 |
| Sweetness | 10 ± 0 | 10 ± 0 |
| Taster score | 8.25 ± 0.29 * | 7.5 ± 0.41 |
| Total Score | 86.25 | 84.25 |
| Sample | DPPH | ABTS | FRAP | ||||
|---|---|---|---|---|---|---|---|
| eq CGA | eq Trolox | eq CGA | eq Trolox | eq CGA | eq Trolox | eq FeSO4 | |
| MRC | 1.60 ± 0.27 * | 52.74 ± 4.84 * | 16.09 ± 0.33 * | 14.39 ± 1.16 | 16.22 ± 1.04 * | 14.59 ± 2.35 * | 54.68 ± 1.46 * |
| DRC | 1.12 ± 0.37 | 42.52 ± 1.91 | 12.49 ± 0.46 | 12.15 ± 0.49 | 8.82 ± 0.94 | 6.38 ± 1.40 | 33.30 ± 0.63 |
| Assay | IC50 | |||||
|---|---|---|---|---|---|---|
| MRC | DRC | MRC | DRC | CGA | Trolox | |
| mg/mL Extract | μg/mL CGA Content | μg/mL Standard | ||||
| DPPH | 2.22 ± 0.08 | 2.59 ± 0.05 * | 56.92 ± 1.90 | 66.20 ± 1.46 * | 28.18 ± 0.83 | 91.88 ± 3.75 * |
| ABTS | 0.38 ± 0.02 | 0.49 ± 0.02 * | 9.69 ± 0.35 | 12.67 ± 0.44 * | 6.51 ± 0.16 * | 6.29 ± 0.03 |
Disclaimer/Publisher’s Note: The statements, opinions and data contained in all publications are solely those of the individual author(s) and contributor(s) and not of MDPI and/or the editor(s). MDPI and/or the editor(s) disclaim responsibility for any injury to people or property resulting from any ideas, methods, instructions or products referred to in the content. |
© 2023 by the authors. Licensee MDPI, Basel, Switzerland. This article is an open access article distributed under the terms and conditions of the Creative Commons Attribution (CC BY) license (https://creativecommons.org/licenses/by/4.0/).
Share and Cite
Gallardo-Ignacio, J.; Santibáñez, A.; Oropeza-Mariano, O.; Salazar, R.; Montiel-Ruiz, R.M.; Cabrera-Hilerio, S.; Gonzáles-Cortazar, M.; Cruz-Sosa, F.; Nicasio-Torres, P. Chemical and Biological Characterization of Green and Processed Coffee Beans from Coffea arabica Varieties. Molecules 2023, 28, 4685. https://doi.org/10.3390/molecules28124685
Gallardo-Ignacio J, Santibáñez A, Oropeza-Mariano O, Salazar R, Montiel-Ruiz RM, Cabrera-Hilerio S, Gonzáles-Cortazar M, Cruz-Sosa F, Nicasio-Torres P. Chemical and Biological Characterization of Green and Processed Coffee Beans from Coffea arabica Varieties. Molecules. 2023; 28(12):4685. https://doi.org/10.3390/molecules28124685
Chicago/Turabian StyleGallardo-Ignacio, Javier, Anislada Santibáñez, Octavio Oropeza-Mariano, Ricardo Salazar, Rosa Mariana Montiel-Ruiz, Sandra Cabrera-Hilerio, Manasés Gonzáles-Cortazar, Francisco Cruz-Sosa, and Pilar Nicasio-Torres. 2023. "Chemical and Biological Characterization of Green and Processed Coffee Beans from Coffea arabica Varieties" Molecules 28, no. 12: 4685. https://doi.org/10.3390/molecules28124685
APA StyleGallardo-Ignacio, J., Santibáñez, A., Oropeza-Mariano, O., Salazar, R., Montiel-Ruiz, R. M., Cabrera-Hilerio, S., Gonzáles-Cortazar, M., Cruz-Sosa, F., & Nicasio-Torres, P. (2023). Chemical and Biological Characterization of Green and Processed Coffee Beans from Coffea arabica Varieties. Molecules, 28(12), 4685. https://doi.org/10.3390/molecules28124685

