Identification of Chemical Constituents in Blumea balsamifera Using UPLC–Q–Orbitrap HRMS and Evaluation of Their Antioxidant Activities
Abstract
1. Introduction
2. Results
2.1. Identification of Chemical Constituents by UPLC–Q–Orbitrap HRMS
2.2. Identification and Fragmentation Patterns of Major Chemical Constituents
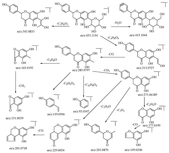
2.2.1. Identification and Fragmentation Patterns of Flavonoids
2.2.2. Identification and Fragmentation Patterns of Organic Acids
2.2.3. Identification and Fragmentation Pathways of Alkaloids
2.2.4. Identification and Fragmentation Pathways of Quinones
2.3. Antioxidant Activity Determination
2.3.1. DPPH Radical Scavenging Activity
2.3.2. ABTS Radical Scavenging Activity
2.3.3. Total Antioxidant Capacity Determination
2.3.4. Reducing Power Determination
3. Discussion
4. Materials and Methods
4.1. Plant Material and Extraction
4.2. The Main Chemicals and Reagents
4.3. UPLC–Q–Orbitrap HRMS Analysis
4.3.1. Instrumentation and Conditions
4.3.2. Data Analysis and Compound Identification
4.4. Antioxidative Activity Evaluation
4.4.1. DPPH Free Radical Scavenging Assay
4.4.2. ABTS Free Radical Scavenging Assay
4.4.3. Total Antioxidant Capacity Assay
4.4.4. Reducing Power Assay
4.5. Statistical Analysis
Supplementary Materials
Author Contributions
Funding
Institutional Review Board Statement
Informed Consent Statement
Data Availability Statement
Conflicts of Interest
Sample Availability
References
- Diniz Vilela, D.; Gomes Peixoto, L.; Teixeira, R.R.; Belele Baptista, N.; Carvalho Caixeta, D.; De Souza, A.V.; Machado, H.L.; Pereira, M.N.; Sabino–Silva, R.; Espindola, F.S. The Role of Metformin in Controlling Oxidative Stress in Muscle of Diabetic Rats. Oxid. Med. Cell Longev. 2016, 2016, 6978625. [Google Scholar] [CrossRef] [PubMed]
- Kasote, D.M.; Katyare, S.S.; Hegde, M.V.; Bae, H. Significance of antioxidant potential of plants and its relevance to therapeutic applications. Int. J. Biol. Sci. 2015, 11, 982–991. [Google Scholar] [CrossRef] [PubMed]
- Embuscado, M.E. Spices and herbs: Natural sources of antioxidants–a mini review. J. Funct. Foods 2015, 18, 811–819. [Google Scholar] [CrossRef]
- Xu, D.P.; Li, Y.; Meng, X.; Zhou, T.; Zhou, Y.; Zheng, J.; Zhang, J.J.; Li, H.B. Natural antioxidants in foods and medicinal plants: Extraction, assessment and resources. Int. J. Mol. Sci. 2017, 18, 96. [Google Scholar] [CrossRef]
- Editorial Committee of Flora of China, Chinese Academy of Sciences. Flora of China, 1st ed.; Science Press: Beijing, China, 1979; Volume 75, pp. 19–20. [Google Scholar]
- Pang, Y.; Wang, D.; Fan, Z.; Chen, X.; Yu, F.; Hu, X.; Wang, K.; Yuan, L. Blumea balsamifera–a phytochemical and pharmacological review. Molecules 2014, 19, 9453–9477. [Google Scholar] [CrossRef] [PubMed]
- Widhiantara, I.G.; Jawi, I.M. Phytochemical composition and health properties of Sembung plant (Blumea balsamifera): A review. Vet. World 2021, 14, 1185–1196. [Google Scholar] [CrossRef]
- Madjos, G.G.; Ramos, K.P. Ethnobotany, systematic review and field mapping on folkloric medicinal plants in the Zamboanga Peninsula, Mindanao, Philippines. J. Compl. Med. Res. 2021, 12, 21–61. [Google Scholar] [CrossRef]
- Jiang, Z.L.; Zhou, Y.; Ge, W.C.; Yuan, K. Phytochemical compositions of volatile oil from Blumea balsamifera and their biological activities. Pharmacogn. Mag. 2014, 10, 346–352. [Google Scholar] [CrossRef]
- Xiong, Y.; Yi, P.; Li, Y.; Gao, R.; Chen, J.; Hu, Z.; Lou, H.; Du, C.; Zhang, J.; Zhang, Y.; et al. New sesquiterpeniod esters form Blumea balsamifera (L.) DC. and their anti–influenza virus activity. Nat. Prod. Res. 2022, 36, 1151–1160. [Google Scholar] [CrossRef]
- Huang, X.L.; Wang, D.W.; Liu, Y.Q.; Cheng, Y.X. Diterpenoids from Blumea balsamifera and Their Anti–Inflammatory Activities. Molecules 2022, 27, 2890. [Google Scholar] [CrossRef]
- Osaki, N.; Koyano, T.; Kowithayakorn, T.; Hayashi, M.; Komiyama, K.; Ishibashi, M. Sesquiterpenoids and Plasmin–Inhibitory Flavonoids from Blumea balsamifera. J. Nat. Prod. 2005, 68, 447–449. [Google Scholar] [CrossRef]
- Chen, M.; Qin, J.J.; Fu, J.J.; Hu, X.J.; Liu, X.H.; Zhang, W.D.; Jin, H.Z. Blumeaenes A–J, sesquiterpenoid esters from Blumea balsamifera with NO inhibitory activity. Planta Med. 2010, 76, 897–902. [Google Scholar] [CrossRef]
- Xu, J.; Jin, D.Q.; Liu, C.; Xie, C.; Guo, Y.; Fang, L. Isolation, Characterization, and NO Inhibitory Activities of Sesquiterpenes from Blumea balsamifera. J. Agric. Food Chem. 2012, 60, 8051–8058. [Google Scholar] [CrossRef] [PubMed]
- Li, T.; Zeng, H.; Zeng, Y.; Zhang, X.; Ren, Y.; Gao, Y.; Huang, Q.; Tan, J. Characterization of the bioactive compounds with efficacy against gout in Guizhi Shaoyao Zhimu Decoction by UHPLC–Q–Orbitrap HRMS combined with network pharmacological analysis. Arab. J. Chem. 2021, 14, 103185. [Google Scholar] [CrossRef]
- Liu, R.; Su, C.; Xu, Y.; Shang, K.; Sun, K.; Li, C.; Lu, J. Identifying potential active components of walnut leaf that action diabetes mellitus through integration of UHPLC–Q–Orbitrap HRMS and network pharmacology analysis. J. Ethnopharmacol. 2020, 253, 112659. [Google Scholar] [CrossRef]
- Liu, R.; Zhao, Z.; Dai, S.; Che, X.; Liu, W. Identification and Quantification of Bioactive Compounds in Diaphragma juglandis Fructus by UHPLC–Q–Orbitrap HRMS and UHPLC–MS/MS. J. Agric. Food Chem. 2019, 67, 3811–3825. [Google Scholar] [CrossRef] [PubMed]
- Yang, L.; Gao, S.; Su, Z.; Qin, X.; Li, Z. Identification of the constituents and the cancer–related targets of the fruit of Solanum nigrum based on molecular docking and network pharmacology. J. Pharm. Biomed. Anal. 2021, 200, 114067. [Google Scholar] [CrossRef] [PubMed]
- Tao, Y.; Rossez, Y.; Bortolus, C.; Duma, L.; Dubar, F.; Merlier, F. Simultaneous Quantification of Trehalose and Trehalose 6–Phosphate by Hydrophilic Interaction Chromatography/Electrospray Accurate Mass Spectrometry with Application in Non–Targeted Metabolomics. Molecules 2023, 28, 3443. [Google Scholar] [CrossRef]
- Li, N.; Wang, J.; Wang, B.; Huang, S.; Hu, J.; Yang, T.; Asmutola, P.; Lan, H.Y.; Yu, Q.H. Identification of the carbohydrate and organic acid metabolism genes responsible for Brix in tomato fruit by transcriptome and metabolome analysis. Front. Genet. 2021, 12, 714942. [Google Scholar] [CrossRef]
- Kacem, N.; Hay, A.E.; Marston, A.; Zellagui, A.; Rhouati, S.; Hostettmann, K. Antioxidant compounds from Algerian Convolvulus tricolor (Convolvulaceae) seed husks. Nat. Prod. Commun. 2012, 7, 873–874. [Google Scholar] [CrossRef]
- Keckes, S.; Gasic, U.; Velickovic, T.C.; Milojkovic–Opsenica, D.; Natic, M.; Tesic, Z. The determination of phenolic profiles of Serbian unifloral honeys using ultra–high–performance liquid chromatography/high resolution accurate mass spectrometry. Food Chem. 2013, 138, 32–40. [Google Scholar] [CrossRef] [PubMed]
- Silva, M.F.S.; Silva, L.M.A.; Quintela, A.L.; Dos Santos, A.G.; Silva, F.A.N.; de Oliveira, F.D.C.E.; Alves Filho, E.G.; De Brito, E.S.; Canuto, K.M.; Pessoa, C. UPLC–HRMS and NMR applied in the evaluation of solid–phase extraction methods as a rational strategy of dereplication of Phyllanthus spp. aiming at the discovery of cytotoxic metabolites. J. Chromatogr. B 2019, 1120, 51–61. [Google Scholar] [CrossRef]
- Nunes Alves Paim, L.F.; dos Santos, P.R.; Patrocinio Toledo, C.A.; Minello, L.; Lima da Paz, J.R.; Castro Souza, V.; Salvador, M.; Moura, S. Four almost unexplored species of Brazilian Connarus (Connaraceae): Chemical composition by ESI–QTof–MS/MS–GNPS and a pharmacologic potential. Phytochem. Anal. 2022, 33, 286–302. [Google Scholar] [CrossRef] [PubMed]
- Chen, Y.Q.; Yu, H.L.; Wu, H.; Pan, Y.Z.; Wang, K.L.; Jin, Y.P.; Zhang, C.C. Characterization and quantification by LC–MS/MS of the chemical components of the heating products of the flavonoids extract in Pollen Typhae for transformation rule exploration. Molecules 2015, 20, 18352–18366. [Google Scholar] [CrossRef] [PubMed]
- He, X.J.; Liu, R.H. Phytochemicals of apple peels: Isolation, structure elucidation, and their antiproliferative and antioxidant activities. J. Agric. Food Chem. 2008, 56, 9905–9910. [Google Scholar] [CrossRef]
- Zhang, C.T.; Ma, Y.L.; Zhao, Y.X.; Hong, Y.Q.; Cai, S.B.; Pang, M.J. Phenolic composition, antioxidant and pancreatic lipase inhibitory activities of Chinese sumac (Rhus chinensis Mill.) fruits extracted by different solvents and interaction between myricetin–3–O–rhamnoside and quercetin–3–O–rhamnoside. Int. J. Food Sci. Tech. 2018, 53, 1045–1053. [Google Scholar] [CrossRef]
- Jerman Klen, T.; Golc Wondra, A.; Vrhovsek, U.; Mozetic Vodopivec, B. Phenolic Profiling of Olives and Olive Oil Process–Derived Matrices Using UPLC–DAD–ESI–QTOF–HRMS Analysis. J. Agric. Food Chem. 2015, 63, 3859–3872. [Google Scholar] [CrossRef]
- Duthen, S.; Gadea, A.; Trempat, P.; Boujedaini, N.; Fabre, N. Comparison of the Phytochemical Variation of Non–Volatile Metabolites within Mother Tinctures of Arnica montana Prepared from Fresh and Dried Whole Plant Using UHPLC–HRMS Fingerprinting and Chemometric Analysis. Molecules 2022, 27, 2737. [Google Scholar] [CrossRef]
- Vereshchagina, Y.V.; Bulgakov, V.P.; Grigorchuk, V.P.; Rybin, V.G.; Veremeichik, G.N.; Tchernoded, G.K.; Gorpenchenko, T.Y.; Koren, O.G.; Phan, N.H.T.; Minh, N.T. The rolC gene increases caffeoylquinic acid production in transformed artichoke cells. Appl. Microbiol. Biot. 2014, 98, 7773–7780. [Google Scholar] [CrossRef]
- Lin, L.Z.; Sun, J.H.; Chen, P.; Harnly, J. UHPLC–PDA–ESI/HRMS/MSn analysis of anthocyanins, flavonol glycosides, and hydroxycinnamic acid derivatives in red mustard greens (Brassica juncea Coss Variety). J. Agric. Food Chem. 2011, 59, 12059–12072. [Google Scholar] [CrossRef]
- Sumarah, M.W.; Puniani, E.; Sorensen, D.; Blackwell, B.A.; Miller, J.D. Secondary metabolites from anti–insect extracts of endophytic fungi isolated from Picea rubens. Phytochemistry 2010, 71, 760–765. [Google Scholar] [CrossRef] [PubMed]
- Shu, Y.S.; Liu, Z.L.; Zhao, S.Y.; Song, Z.Q.; He, D.; Wang, M.L.; Zeng, H.L.; Lu, C.; Lu, A.P.; Liu, Y.Y. Integrated and global pseudotargeted metabolomics strategy applied to screening for quality control markers of Citrus TCMs. Anal. Bioanal. Chem. 2017, 409, 4849–4865. [Google Scholar] [CrossRef]
- Mohammed, H.A.; Almahmoud, S.A.; El–Ghaly, E.M.; Khan, F.A.; Emwas, A.; Jaremko, M.; Almulhim, F.; Khan, R.A.; Ragab, E.A. Comparative Anticancer Potentials of Taxifolin and Quercetin Methylated Derivatives against HCT–116 Cell Lines: Effects of O–Methylation on Taxifolin and Quercetin as Preliminary Natural Leads. ACS Omega 2022, 7, 46629–46639. [Google Scholar] [CrossRef] [PubMed]
- Campone, L.; Celano, R.; Lisa Piccinelli, A.; Pagano, I.; Carabetta, S.; Sanzo, R.D.; Russo, M.; Ibanez, E.; Cifuentes, A.; Rastrelli, L. Response surface methodology to optimize supercritical carbon dioxide/co–solvent extraction of brown onion skin by–product as source of nutraceutical compounds. Food Chem. 2018, 269, 495–502. [Google Scholar] [CrossRef] [PubMed]
- Funari, C.S.; Passalacqua, T.G.; Rinaldo, D.; Napolitano, A.; Festa, M.; Capasso, A.; Piacente, S.; Pizza, C.; Young, M.C.M.; Durigan, G.; et al. Interconverting flavanone glucosides and other phenolic compounds in Lippia salviaefolia Cham. ethanol extracts. Phytochemistry 2011, 72, 2052–2061. [Google Scholar] [CrossRef]
- Trimech, I.; Weiss, E.K.; Chedea, V.S.; Marin, D.; Detsi, A.; Ioannou, E.; Roussis, V.; Kefalas, P. Evaluation of Anti–oxidant and Acetylcholinesterase Activity and Identification of Polyphenolics of the Invasive Weed Dittrichia viscosa. Phytochem. Anal. 2014, 25, 421–428. [Google Scholar] [CrossRef]
- Zhao, Y.Y.; Cao, J.L.; Zhao, J.J.; Wei, P.H.; Wu, R.; Zhang, J.X.; Wan, L. Chemical analysis of Chrysosplenium from different species by UPLC–Q exactive orbitrap HRMS and HPLC–DAD. J. Pharmaceut. Biomed. 2022, 218, 114861. [Google Scholar] [CrossRef]
- Zhou, L.; Kang, J.; Fan, L.; Ma, X.C.; Zhao, H.Y.; Han, J.; Wang, B.R.; Guo, D.A. Simultaneous analysis of coumarins and secoiridoids in Cortex Fraxini by high–performance liquid chromatography–diode array detection–electrospray ionization tandem mass spectrometry. J. Pharmaceut. Biomed. 2008, 47, 39–46. [Google Scholar] [CrossRef]
- Ahram, M.; Flaig, M.J.; Gillespie, J.W.; Duray, P.H.; Linehan, W.M.; Ornstein, D.K.; Niu, S.; Zhao, Y.M.; Petricoin, E.F., III; Emmert-Buck, M.R. Evaluation of ethanol–fixed, paraffin–embedded tissues for proteomic applications. Proteomics 2003, 3, 413–421. [Google Scholar] [CrossRef]
- Lopez-Gutierrez, N.; Romero-Gonzalez, R.; Garrido Frenich, A.; Martinez Vidal, J.L. Identification and quantification of the main isoflavones and other phytochemicals in soy based nutraceutical products by liquid chromatography–orbitrap high resolution mass spectrometry. J. Chromatogr. A 2014, 1348, 125–136. [Google Scholar] [CrossRef]
- Kongstad, K.T.; Wubshet, S.G.; Kjellerup, L.; Winther, A.L.; Staerk, D. Fungal plasma membrane H+–ATPase inhibitory activity of o–hydroxybenzylated flavanones and chalcones from Uvaria chamae P. Beauv. Fitoterapia 2015, 105, 102–106. [Google Scholar] [CrossRef] [PubMed]
- Sairafianpour, M.; Christensen, J.; Strk, D.; Budnik, B.A.; Kharazmi, A.; Bagherzadeh, K.; Jaroszewski, J.W. Leishmanicidal, antiplasmodial, and cytotoxic activity of novel diterpenoid 1,2–quinones from Perovskia abrotanoides: New source of tanshinones. J. Nat. Prod. 2001, 64, 1398–1403. [Google Scholar] [CrossRef] [PubMed]
- Xu, H.B.; Ma, Y.B.; Huang, X.Y.; Geng, C.A.; Wang, H.; Zhao, Y.; Yang, T.H.; Chen, X.L.; Yang, C.Y.; Zhang, X.M. Bioactivity–guided isolation of anti–hepatitis B virus active sesquiterpenoids from the traditional Chinese medicine: Rhizomes of Cyperus rotundus. J. Ethnopharmacol. 2015, 171, 131–140. [Google Scholar] [CrossRef] [PubMed]
- Ungeheuer, F.; van Pinxteren, D.; Vogel, A.L. Identification and source attribution of organic compounds in ultrafine particles near Frankfurt International Airport. Atmos. Chem. Phys. 2021, 21, 3763–3775. [Google Scholar] [CrossRef]
- Ming, Q.L.; Han, T.; Li, W.C.; Zhang, Q.Y.; Zhang, H.; Zheng, C.J.; Huang, F.; Rahman, K.; Qin, L.P. Tanshinone IIA and tanshinone I production by Trichoderma atroviride D16, an endophytic fungus in Salvia miltiorrhiza. Phytomedicine 2012, 19, 330–333. [Google Scholar] [CrossRef]
- Tehrani, M.W.; Newmeyer, M.N.; Rule, A.M.; Prasse, C. Characterizing the Chemical Landscape in Commercial E–Cigarette Liquids and Aerosols by Liquid Chromatography–High–Resolution Mass Spectrometry. Chem. Res. Toxicol. 2021, 34, 2216–2226. [Google Scholar] [CrossRef]
- Cuyckens, F.; Claeys, M. Mass spectrometry in the structural analysis of flavonoids. J. Mass Spectrom. 2004, 39, 1–15. [Google Scholar] [CrossRef]
- Bai, Y.; Song, F.; Chen, M.; Xing, J.P.; Liu, Z.Q. Characterization of the rutin–metal complex by electrospray ionization tandem mass spectrometry. Anal. Sci. 2004, 20, 1147–1151. [Google Scholar] [CrossRef]
- Guo, X.F.; Yue, Y.D.; Tang, F.; Wang, J.; Yao, X.; Sun, J. A comparison of C–glycosidic flavonoid isomers by electrospray ionization quadrupole time–of–flight tandem mass spectrometry in negative and positive ion mode. Int. J. Mass Spectrom 2013, 333, 59–66. [Google Scholar] [CrossRef]
- Yuan, T.; Guo, X.F.; Shao, S.Y.; An, R.M.; Wang, J.; Sun, J. Characterization and identification of flavonoids from Bambusa chungii leaves extract by UPLC–ESI–Q–TOF–MS/MS. Acta. Chromatogr. 2021, 33, 281–294. [Google Scholar] [CrossRef]
- Jaiswal, R.; Müller, H.; Müller, A.; Müller, A.; Karar, M.G.E.; Kuhnert, N. Identification and characterization of chlorogenic acids, chlorogenic acid glycosides and flavonoids from Lonicera henryi L.(Caprifoliaceae) leaves by LC–MSn. Phytochemistry 2014, 108, 252–263. [Google Scholar] [CrossRef] [PubMed]
- Li, J.R.; Li, D.X.; Li, L.; Deng, W.L.; Ding, L.S.; Xu, H.X.; Zhou, Y. Simultaneous quantification of salvianolic acid B and tanshinone IIA of salvia tropolone tablets by UPLC–MRM–MS/MS for pharmacokinetic studies. Acta. Chromatogr. 2014, 26, 711–725. [Google Scholar] [CrossRef]
- Boonen, J.; Sharma, V.; Dixit, V.K.; Burvenich, C.; Spiegeleer, B.D. LC–MS N–alkylamid profiling of an ethanolic Anacyclus pyrethrum root extract. Planta. Med. 2012, 78, 1787–1795. [Google Scholar] [PubMed]
- Ginting, B.; Maulana, I.; Yahya, M.; Saidi, N.; Murniana, M.; Hasballah, K.; Maulidna, M.; Rawati, S. Antioxidant and antiproliferative activities of n-hexane extract and its fractions from Blumea balsamifera L. leaves. J. Adv. Pharm. Technol. Res. 2022, 13, 216. [Google Scholar]
- Jirakitticharoen, S.; Wisuitiprot, W.; Jitareerat, P.; Wongs-Aree, C. Phenolics, antioxidant and antibacterial activities of immature and mature Blumea balsamifera leaf extracts eluted with different solvents. J. Trop. Med. 2022, 2022, 7794227. [Google Scholar] [CrossRef]
- Wang, Y.H.; Zhang, Y.R. Variations in compositions and antioxidant activities of essential oils from leaves of Luodian Blumea balsamifera from different harvest times in China. PLoS ONE 2020, 15, e0234661. [Google Scholar] [CrossRef]
- Xu, Z.; Cai, Y.; Ma, Q.; Zhao, Z.; Yang, D.; Xu, X. Optimization of extraction of bioactive compounds from Baphicacanthus cusia leaves by hydrophobic deep eutectic solvents. Molecules 2021, 26, 1729. [Google Scholar] [CrossRef]
- Ozturk, B.; Parkinson, C.; Gonzalez–Miquel, M. Extraction of polyphenolic antioxidants from orange peel waste using deep eutectic solvents. Sep. Purif. Technol. 2018, 206, 1–13. [Google Scholar] [CrossRef]
- Li, Z.; Li, Q. Ultrasonic–Assisted Efficient Extraction of Coumarins from Peucedanum decursivum (Miq.) Maxim Using Deep Eutectic Solvents Combined with an Enzyme Pretreatment. Molecules 2022, 27, 5715. [Google Scholar] [CrossRef]
- Mathew, S.; Abraham, T.E. In vitro antioxidant activity and scavenging effects of Cinnamomum verum leaf extract assayed by different methodologies. Food Chem. Toxicol. 2006, 44, 198–206. [Google Scholar] [CrossRef]
- Li, X.C.; Lin, J.; Gao, Y.X.; Han, W.J.; Chen, D.F. Antioxidant activity and mechanism of Rhizoma Cimicifugae. Chem. Cent. J. 2012, 6, 1–10. [Google Scholar] [CrossRef] [PubMed]
- Prieto, P.; Pineda, M.; Aguilar, M. Spectrophotometric quantitation of antioxidant capacity through the formation of phosphomolybdenum complex: Specific application to determination of vitamin E. Anal. Biochem. 1999, 269, 337–341. [Google Scholar] [CrossRef] [PubMed]
- Tsai, S.Y.; Huang, S.J.; Mau, J.L. Antioxidant properties of hot water extracts from Agrocybe cylindracea. Food Chem. 2006, 98, 670–677. [Google Scholar] [CrossRef]
- Oyaizu, M. Studies on product of browning reaction prepared from glucose amine. Jpn. J. Nutr. 1986, 44, 307–315. [Google Scholar] [CrossRef]









| NO. | RT/min | Compound | Molecular Formula | Ion Mode | m/z | Error/ppm | Compound Types | References |
|---|---|---|---|---|---|---|---|---|
| 1 | 0.85 | α,α–trehalose | C12H22O11 | [M−H]− | 341.1085 | −0.25 | saccharide | [19] |
| 2 | 0.86 | D–(−)–fructose ∆ | C6H12O6 | [M−H]− | 179.0559 | −1.42 | saccharide | [20] |
| 3 | 2.12 | gentisic acid 5–O–β–glucoside | C13H16O9 | [M−H]− | 315.0719 | −0.91 | Phenolic glycosides | [21] |
| 4 | 5.89 | caffeic acid ∆ | C9H8O4 | [M−H]− | 179.0348 | −1.07 | organic acids | [22] |
| 5 | 7.27 | tuberonic acid glucoside ∆ | C18H28O9 | [M−H]− | 387.1658 | −0.73 | organic acids | [23] |
| 6 | 10.15 | hemiphloin ∆ | C21H22O10 | [M−H]− | 433.1154 | −0.64 | flavonoids | [24] |
| 7 | 10.33 | taxifolin | C15H12O7 | [M−H]− | 303.0509 | −0.49 | flavonoids | [17] |
| 8 | 10.37 | rutin * | C27H30O16 | [M−H]− | 609.1456 | −0.73 | flavonoids | [25] |
| 9 | 11.08 | quercetin–3β–D–glucoside | C21H20O12 | [M−H]− | 463.0876 | −0.97 | flavonoids | [26] |
| 10 | 11.08 | quercetin * | C15H10O7 | [M+H]+ | 303.0500 | 0.3 | flavonoids | [25] |
| 11 | 12.02 | quercetin–3–arabinoside ∆ | C20H18O11 | [M−H]− | 433.0772 | −0.67 | flavonoids | [27] |
| 12 | 12.05 | cynaroside ∆ | C21H20O11 | [M−H]− | 447.0928 | −0.8 | flavonoids | [28] |
| 13 | 12.66 | 1,3–dicaffeoylquinic acid * | C25H24O12 | [M−H]− | 515.1190 | −0.89 | organic acids | [29] |
| 14 | 12.66 | chlorogenic acid * | C16H18O9 | [M−H]− | 353.0878 | −0.36 | organic acids | [30] |
| 15 | 13.02 | isorhamnetin–3–O–glucoside ∆ | C22H22O12 | [M−H]− | 477.1034 | −0.82 | flavonoids | [31] |
| 16 | 13.42 | 4–oxo–5–phenylpentanoic acid ∆ | C11H12O3 | [M+H]+ | 193.0859 | 0.06 | organic acids | [32] |
| 17 | 16.238 | eriodictyol | C15H12O6 | [M−H]− | 287.0559 | −0.66 | flavonoids | [33] |
| 18 | 17.87 | padmatin | C16H14O7 | [M−H]− | 317.0666 | −0.22 | flavonoids | [34] |
| 19 | 17.97 | isorhamnetin * ∆ | C16H12O7 | [M−H]− | 315.0509 | −0.17 | flavonoids | [35] |
| 20 | 18.43 | naringenin ∆ | C15H12O5 | [M−H]− | 271.0611 | −0.26 | flavonoids | [36] |
| 21 | 19.13 | 7–O–methylaromadendrin ∆ | C16H14O6 | [M+H]+ | 303.0865 | 0.47 | flavonoids | [37] |
| 22 | 19.36 | aurantio–obtusin ∆ | C17H14O7 | [M+H]+ | 331.0815 | 0.16 | quinones | [38] |
| 23 | 19.36 | fraxetin | C10H8O5 | [M+H]+ | 209.0445 | 0.14 | coumarins | [39] |
| 24 | 19.76 | hematoxylin | C16H14O6 | [M−H]− | 301.0716 | −0.54 | phenols | [40] |
| 25 | 20.67 | sakuranetin ∆ | C16H14O5 | [M+H]+ | 287.0915 | 0.16 | flavonoids | [41] |
| 26 | 21.52 | aurantiamide acetate ∆ | C27H28N2O4 | [M+H]+ | 445.2121 | −0.05 | alkaloids | [42] |
| 27 | 23.03 | cryptotanshinone ∆ | C19H20O3 | [M+H]+ | 297.1485 | −0.03 | quinones | [43] |
| 28 | 23.17 | nootkatone ∆ | C15H22O | [M+H]+ | 219.1743 | −0.12 | sesquiterpenes | [44] |
| 29 | 23.29 | N–phenyl–1–naphthylamine ∆ | C16H13N | [M+H]+ | 220.1121 | 0.07 | alkaloids | [45] |
| 30 | 24.06 | tanshinone IIA | C19H18O3 | [M+H]+ | 295.2270 | −0.12 | quinones | [46] |
| 31 | 24.70 | citroflex A–4 ∆ | C20H34O8 | [M+Na]+ | 425.2145 | −0.13 | lipid | [47] |
| Samples | DPPH IC50 (μg/mL) | ABTS IC50 (μg/mL) |
|---|---|---|
| B. balsamifera | 105.1 ± 0.503 | 12.49 ± 0.341 |
| Ascorbic acid | 0.98 ± 0.073 | 1.774 ± 0.036 |
Disclaimer/Publisher’s Note: The statements, opinions and data contained in all publications are solely those of the individual author(s) and contributor(s) and not of MDPI and/or the editor(s). MDPI and/or the editor(s) disclaim responsibility for any injury to people or property resulting from any ideas, methods, instructions or products referred to in the content. |
© 2023 by the authors. Licensee MDPI, Basel, Switzerland. This article is an open access article distributed under the terms and conditions of the Creative Commons Attribution (CC BY) license (https://creativecommons.org/licenses/by/4.0/).
Share and Cite
Dai, L.; Cai, S.; Chu, D.; Pang, R.; Deng, J.; Zheng, X.; Dai, W. Identification of Chemical Constituents in Blumea balsamifera Using UPLC–Q–Orbitrap HRMS and Evaluation of Their Antioxidant Activities. Molecules 2023, 28, 4504. https://doi.org/10.3390/molecules28114504
Dai L, Cai S, Chu D, Pang R, Deng J, Zheng X, Dai W. Identification of Chemical Constituents in Blumea balsamifera Using UPLC–Q–Orbitrap HRMS and Evaluation of Their Antioxidant Activities. Molecules. 2023; 28(11):4504. https://doi.org/10.3390/molecules28114504
Chicago/Turabian StyleDai, Liping, Shengnan Cai, Dake Chu, Rui Pang, Jianhao Deng, Xilong Zheng, and Wei Dai. 2023. "Identification of Chemical Constituents in Blumea balsamifera Using UPLC–Q–Orbitrap HRMS and Evaluation of Their Antioxidant Activities" Molecules 28, no. 11: 4504. https://doi.org/10.3390/molecules28114504
APA StyleDai, L., Cai, S., Chu, D., Pang, R., Deng, J., Zheng, X., & Dai, W. (2023). Identification of Chemical Constituents in Blumea balsamifera Using UPLC–Q–Orbitrap HRMS and Evaluation of Their Antioxidant Activities. Molecules, 28(11), 4504. https://doi.org/10.3390/molecules28114504

