Investigation of Fenebrutinib Metabolism and Bioactivation Using MS3 Methodology in Ion Trap LC/MS
Abstract
1. Introduction
2. Results and Discussion
2.1. Results of In Silico FBB Metabolism and Toxicity Prediction
2.2. Fragment Ions Study of FBB
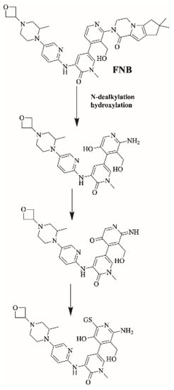
2.3. Identification of FBB Related Metabolites
Identification of M1
2.4. Identification of Iminium Reactive Intermediates Using Potassium Cyanide as Trapping Agent
2.4.1. Identification of M11/KCN Cyanide Adduct
2.4.2. Proposed Bioactivation Mechanism of FBB to Iminium Reactive Intermediates
2.5. Identification of 6-Iminopyridin-3(6H)-One Reactive Intermediates Using Glutathione (GSH) as Trapping Agent
2.5.1. Identification of M15/GSH GSH Adduct
2.5.2. Proposed Bioactivation Mechanism of FBB to 6-Iminopyridin-3(6H)-One Reactive Intermediates
2.6. Identification of Aldehyde Reactive Intermediates Using Methoxylamine as Trapping Agent
2.6.1. Identification of M20/CH3ONH2 Methoxylamine Adduct
2.6.2. Proposed Bioactivation Mechanism of FBB to Aldehyde Reactive Intermediates
3. Chemicals and Methods
3.1. Chemicals and Animals
3.2. Chromatographic Conditions
3.3. In Silico Prediction of FBB Metabolites and Structural Alerts Using WhichP450™ Metabolism Module and DEREK NEXUS Module of StarDrop Software
3.4. RLM Incubations
3.5. Characterization of FBB Reactive Intermediates
4. Conclusions
Supplementary Materials
Author Contributions
Funding
Institutional Review Board Statement
Informed Consent Statement
Data Availability Statement
Acknowledgments
Conflicts of Interest
Abbreviations
References
- Crawford, J.J.; Zhang, H. Discovery and Development of Non-Covalent, Reversible Bruton’s Tyrosine Kinase Inhibitor Fenebrutinib (GDC-0853). In Complete Accounts of Integrated Drug Discovery and Development: Recent Examples from the Pharmaceutical Industry Volume 2; ACS Publications: Washington, DC, USA, 2019; pp. 239–266. [Google Scholar]
- Edwards, J.C.; Cambridge, G. B-cell targeting in rheumatoid arthritis and other autoimmune diseases. Nat. Rev. Immunol. 2006, 6, 394–403. [Google Scholar] [CrossRef] [PubMed]
- Garg, N.; Padron, E.J.; Rammohan, K.W.; Goodman, C.F. Bruton’s Tyrosine Kinase Inhibitors: The Next Frontier of B-Cell-Targeted Therapies for Cancer, Autoimmune Disorders, and Multiple Sclerosis. J. Clin. Med. 2022, 11, 6139. [Google Scholar] [CrossRef] [PubMed]
- Weber, M.; Harp, C.; Bremer, M.; Goodyear, A.; Crawford, J.; Johnson, A.; Bar-Or, A. Fenebrutinib Demonstrates the Highest Potency of Bruton Tyrosine Kinase Inhibitors (BTKis) in Phase 3 Clinical Development for Multiple Sclerosis (MS)(4437). Neurology 2021, 96, 4473. [Google Scholar]
- Geladaris, A.; Torke, S.; Weber, M.S. Bruton’s Tyrosine Kinase Inhibitors in Multiple Sclerosis: Pioneering the Path Towards Treatment of Progression? CNS Drugs 2022, 36, 1019–1030. [Google Scholar] [CrossRef] [PubMed]
- Oh, J.; Cohen, S.; Isenberg, D.; Maurer, M.; Galanter, J.; Chu, T.; Teterina, A.; Goodyear, A.; Mandel, C.; Lee, C. The Safety of Fenebrutinib in a Large Population of Patients with Diverse Autoimmune Indications Supports Investigation in Multiple Sclerosis (MS)(4564). Neurology 2021, 96, 4564. [Google Scholar]
- Park, B.K.; Kitteringham, N.R.; Maggs, J.L.; Pirmohamed, M.; Williams, D.P. The role of metabolic activation in drug-induced hepatotoxicity. Annu. Rev. Pharmacol. Toxicol. 2005, 45, 177–202. [Google Scholar] [CrossRef]
- Ma, S.; Zhu, M. Recent advances in applications of liquid chromatography–tandem mass spectrometry to the analysis of reactive drug metabolites. Chem.-Biol. Interact. 2009, 179, 25–37. [Google Scholar] [CrossRef]
- Leung, L.; Kalgutkar, A.S.; Obach, R.S. Metabolic activation in drug-induced liver injury. Drug Metab. Rev. 2012, 44, 18–33. [Google Scholar] [CrossRef]
- Liu, X.; Jia, L. The conduct of drug metabolism studies considered good practice (I): Analytical systems and in vivo studies. Curr. Drug Metab. 2007, 8, 815–821. [Google Scholar] [CrossRef]
- Kostiainen, R.; Kotiaho, T.; Kuuranne, T.; Auriola, S. Liquid chromatography/atmospheric pressure ionization–mass spectrometry in drug metabolism studies. J. Mass Spectrom. 2003, 38, 357–372. [Google Scholar] [CrossRef]
- Beccaria, M.; Cabooter, D. Current developments in LC-MS for pharmaceutical analysis. Analyst 2020, 145, 1129–1157. [Google Scholar] [CrossRef]
- Prakash, C.; Shaffer, C.L.; Nedderman, A. Analytical strategies for identifying drug metabolites. Mass Spectrom. Rev. 2007, 26, 340–369. [Google Scholar] [CrossRef] [PubMed]
- Gómez-Lechón, M.J.; Tolosa, L.; Donato, M.T. Metabolic activation and drug-induced liver injury: In vitro approaches for the safety risk assessment of new drugs. J. Appl. Toxicol. 2016, 36, 752–768. [Google Scholar] [CrossRef]
- Prakash, C.; Sharma, R.; Gleave, M.; Nedderman, A. In vitro screening techniques for reactive metabolites for minimizing bioactivation potential in drug discovery. Curr. Drug Metab. 2008, 9, 952–964. [Google Scholar] [CrossRef]
- Stepan, A.F.; Walker, D.P.; Bauman, J.; Price, D.A.; Baillie, T.A.; Kalgutkar, A.S.; Aleo, M.D. Structural alert/reactive metabolite concept as applied in medicinal chemistry to mitigate the risk of idiosyncratic drug toxicity: A perspective based on the critical examination of trends in the top 200 drugs marketed in the United States. Chem. Res. Toxicol. 2011, 24, 1345–1410. [Google Scholar] [CrossRef] [PubMed]
- Attwa, M.W.; Kadi, A.A.; Abdelhameed, A.S.; Alhazmi, H.A. Metabolic stability assessment of new parp inhibitor talazoparib using validated lc–ms/ms methodology: In silico metabolic vulnerability and toxicity studies. Drug Des. Dev. Ther. 2020, 14, 783–793. [Google Scholar] [CrossRef] [PubMed]
- Ma, S.; Subramanian, R. Detecting and characterizing reactive metabolites by liquid chromatography/tandem mass spectrometry. J. Mass Spectrom. 2006, 41, 1121–1139. [Google Scholar] [CrossRef]
- Tolonen, A.; Turpeinen, M.; Pelkonen, O. Liquid chromatography-mass spectrometry in in vitro drug metabolite screening. Drug Discov. Today 2009, 14, 120–133. [Google Scholar] [CrossRef]
- Attwa, M.W.; Kadi, A.A.; Abdelhameed, A.S. Characterization of reactive intermediates formation in dacomitinib metabolism and bioactivation pathways elucidation by LC-MS/MS: In vitro phase I metabolic investigation. RSC Adv. 2018, 8, 38733–38744. [Google Scholar] [CrossRef]
- Attwa, M.W.; AlRabiah, H.; Mostafa, G.A.E.; Bakheit, A.H.; Kadi, A.A. Assessment of In Silico and In Vitro Selpercatinib Metabolic Stability in Human Liver Microsomes Using a Validated LC-MS/MS Method. Molecules 2023, 28, 2618. [Google Scholar] [CrossRef]
- Li, F.; Lu, J.; Ma, X. Profiling the reactive metabolites of xenobiotics using metabolomic technologies. Chem. Res. Toxicol. 2011, 24, 744–751. [Google Scholar] [CrossRef] [PubMed]
- Argoti, D.; Liang, L.; Conteh, A.; Chen, L.; Bershas, D.; Yu, C.-P.; Vouros, P.; Yang, E. Cyanide trapping of iminium ion reactive intermediates followed by detection and structure identification using liquid chromatography–tandem mass spectrometry (LC-MS/MS). Chem. Res. Toxicol. 2005, 18, 1537–1544. [Google Scholar] [CrossRef] [PubMed]
- Attwa, M.W.; AlRabiah, H.; Kadi, A.A. Development and Validation of a Rapid LC-MS/MS Method for Quantifying Alvocidib: In Silico and In Vitro Metabolic Stability Estimation in Human Liver Microsomes. Molecules 2023, 28, 2368. [Google Scholar] [CrossRef] [PubMed]
- Abdelhameed, A.S.; Attwa, M.W.; Kadi, A.A. Identification of Iminium Intermediates Generation in the Metabolism of Tepotinib Using LC-MS/MS: In Silico and Practical Approaches to Bioactivation Pathway Elucidation. Molecules 2020, 25, 5004. [Google Scholar] [CrossRef] [PubMed]
- Marchant, C.A.; Briggs, K.A.; Long, A. In silico tools for sharing data and knowledge on toxicity and metabolism: Derek for windows, meteor, and vitic. Toxicol. Mech. Methods 2008, 18, 177–187. [Google Scholar] [CrossRef] [PubMed]
- Shin, Y.G.; Le, H.; Khojasteh, C.; ECA Hop, C. Comparison of metabolic soft spot predictions of CYP3A4, CYP2C9 and CYP2D6 substrates using MetaSite and StarDrop. Comb. Chem. High Throughput Screen. 2011, 14, 811–823. [Google Scholar] [CrossRef]
- Lavoie, D.S.-G.; Pailleux, F.; Vachon, P.; Beaudry, F. Characterization of xylazine metabolism in rat liver microsomes using liquid chromatography–hybrid triple quadrupole–linear ion trap–mass spectrometry. Biomed. Chromatogr. 2013, 27, 882–888. [Google Scholar] [CrossRef]
- Tan, L.; Kirchmair, J. Software for metabolism prediction. Drug Metab. Predict. 2014, 27–52. [Google Scholar] [CrossRef]
- Yin, W.; Alwabli, R.I.; Attwa, M.W.; Rahman, A.F.M.M.; Kadi, A.A. Simvastatin: In Vitro Metabolic Profiling of a Potent Competitive HMG-CoA Reductase Inhibitor. Separations 2022, 9, 400. [Google Scholar] [CrossRef]
- Chavan, B.B.; Tiwari, S.; Shankar, G.; Nimbalkar, R.D.; Garg, P.; Srinivas, R.; Talluri, M.K. In vitro and in vivo metabolic investigation of the Palbociclib by UHPLC-Q-TOF/MS/MS and in silico toxicity studies of its metabolites. J. Pharm. Biomed. Anal. 2018, 157, 59–74. [Google Scholar] [CrossRef]
- Attwa, M.W.; Kadi, A.A.; Abdelhameed, A.S. Reactive intermediates and bioactivation pathways characterization of avitinib by LC–MS/MS: In vitro metabolic investigation. J. Pharm. Biomed. Anal. 2019, 164, 659–667. [Google Scholar] [CrossRef] [PubMed]
- Lenz, E.M.; Martin, S.; Schmidt, R.; Morin, P.-E.; Smith, R.; Weston, D.J.; Bayrakdarian, M. Reactive metabolite trapping screens and potential pitfalls: Bioactivation of a homomorpholine and formation of an unstable thiazolidine adduct. Chem. Res. Toxicol. 2014, 27, 968–980. [Google Scholar] [CrossRef] [PubMed]
- Van Dijk, W.; Roholl, P.; Reijngoud, D.; Tager, J. A simple procedure for the isolation of lysosomes from normal rat liver. FEBS Lett. 1976, 62, 177–181. [Google Scholar] [CrossRef] [PubMed]
- Waterborg, J.H.; Matthews, H.R. The Lowry method for protein quantitation. Basic Protein Pept. Protoc. 1994, 32, 1–4. [Google Scholar] [CrossRef]
- Kadi, A.A.; Darwish, H.W.; Abuelizz, H.A.; Alsubi, T.A.; Attwa, M.W. Identification of reactive intermediate formation and bioactivation pathways in Abemaciclib metabolism by LC–MS/MS: In vitro metabolic investigation. R. Soc. Open Sci. 2019, 6, 181714. [Google Scholar] [CrossRef]
- Roupe, K.; Teng, X.W.; Fu, X.; Meadows, G.G.; Davies, N.M. Determination of piceatannol in rat serum and liver microsomes: Pharmacokinetics and phase I and II biotransformation. Biomed. Chromatogr. 2004, 18, 486–491. [Google Scholar] [CrossRef]
















| Mobile phase. | Binary system of 0.1% Formic acid in H2O (A) and ACN (B) | ESI source | Positive ESI | |
| High purity N2 gas Drying gas at 10 L/min with pressure (60 psi) | ||||
| 0.4 mL/min. | ||||
| Elution time: 45 min. | ||||
| Agilent Zorbax eclipse plus C18 Column | Length | 150 mm | ESI temperature: 350 °C | |
| ID | 4.6 mm | Capillary voltage: 4000 V | ||
| Particle size | 3.5 μm | Modes | Mass scan, MS2 and MS3 | |
| Temperature | 22 ± 1 °C | Collision gas | High purity N2 | |
| Gradient elution system | Time in min. | % ACN | Analytes | FBB and its metabolites |
| 0 | 5 | Mass parameters | Fragmentor voltage (FV): 145 V Amplitude: 1.25 V | |
| 20 | 60 | |||
| 25 | 65 | |||
| 30 | 65 | |||
| 45 | 5 | |||
Disclaimer/Publisher’s Note: The statements, opinions and data contained in all publications are solely those of the individual author(s) and contributor(s) and not of MDPI and/or the editor(s). MDPI and/or the editor(s) disclaim responsibility for any injury to people or property resulting from any ideas, methods, instructions or products referred to in the content. |
© 2023 by the authors. Licensee MDPI, Basel, Switzerland. This article is an open access article distributed under the terms and conditions of the Creative Commons Attribution (CC BY) license (https://creativecommons.org/licenses/by/4.0/).
Share and Cite
Alsibaee, A.M.; Aljohar, H.I.; Attwa, M.W.; Abdelhameed, A.S.; Kadi, A.A. Investigation of Fenebrutinib Metabolism and Bioactivation Using MS3 Methodology in Ion Trap LC/MS. Molecules 2023, 28, 4225. https://doi.org/10.3390/molecules28104225
Alsibaee AM, Aljohar HI, Attwa MW, Abdelhameed AS, Kadi AA. Investigation of Fenebrutinib Metabolism and Bioactivation Using MS3 Methodology in Ion Trap LC/MS. Molecules. 2023; 28(10):4225. https://doi.org/10.3390/molecules28104225
Chicago/Turabian StyleAlsibaee, Aishah M., Haya I. Aljohar, Mohamed W. Attwa, Ali S. Abdelhameed, and Adnan A. Kadi. 2023. "Investigation of Fenebrutinib Metabolism and Bioactivation Using MS3 Methodology in Ion Trap LC/MS" Molecules 28, no. 10: 4225. https://doi.org/10.3390/molecules28104225
APA StyleAlsibaee, A. M., Aljohar, H. I., Attwa, M. W., Abdelhameed, A. S., & Kadi, A. A. (2023). Investigation of Fenebrutinib Metabolism and Bioactivation Using MS3 Methodology in Ion Trap LC/MS. Molecules, 28(10), 4225. https://doi.org/10.3390/molecules28104225

