Luminescent Properties of Phosphonate Ester-Supported Neodymium(III) Nitrate and Chloride Complexes
Abstract
1. Introduction
2. Results
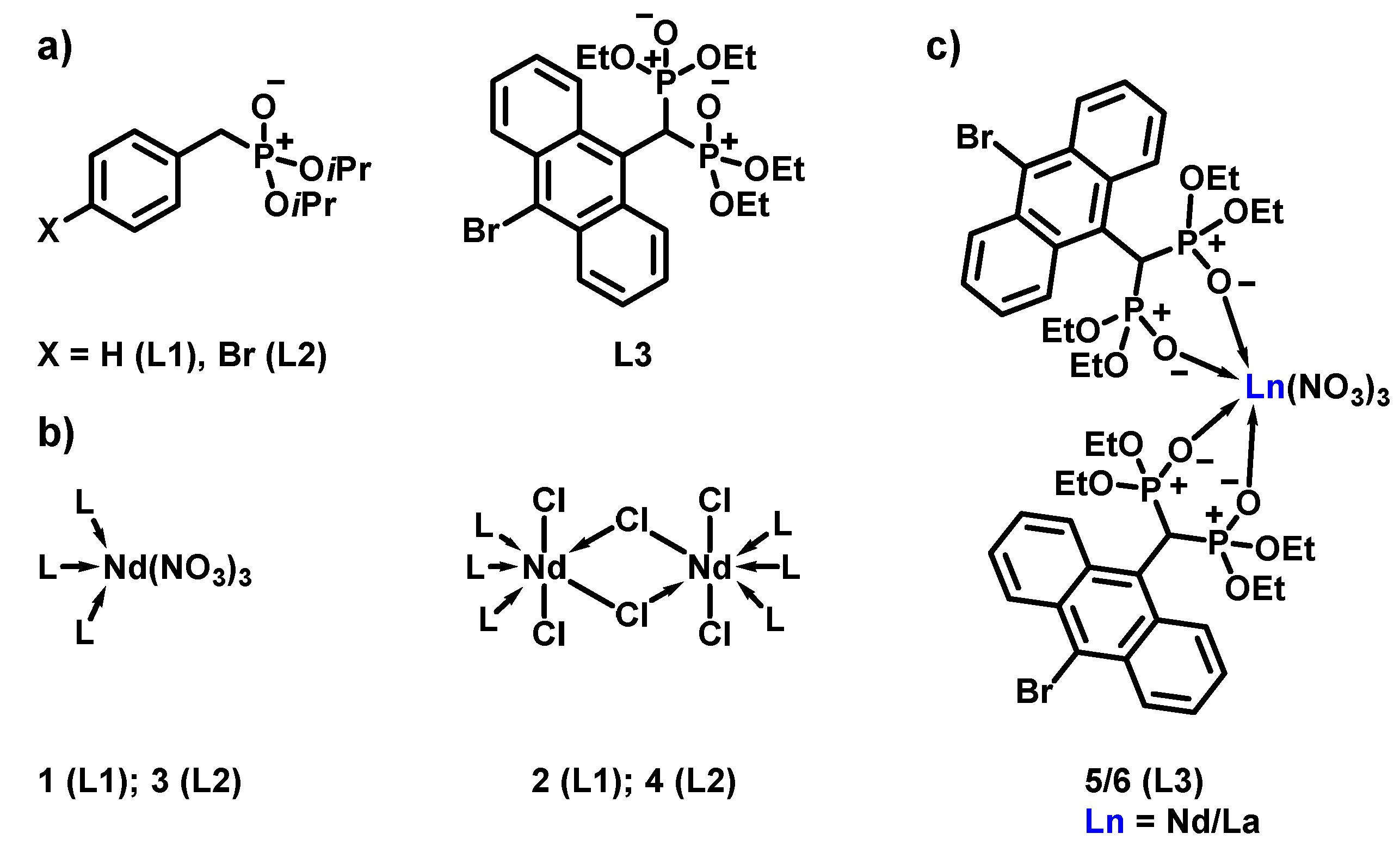
2.1. Mono-Phosphonate Ester-Based Nd3+ Complexes 1–4 and the Geminal Bisphosphonate Ester-Supported Complexes 5 (Nd3+) and 6 (La3+)
2.2. Photoluminescence Properties
2.2.1. Room Temperature Emission Properties of Nd3+ Complexes 1–5 from Amorphous Solids and Solutions
2.2.2. Liquid Helium Temperature Emission Properties of Nd3+ Complexes 1–5
3. Discussion
4. Materials and Methods
4.1. General Procedure for the Preparation of Geminal Bisphosphonate Ester-Supported Ln3+ (Ln = Nd3+ (5), La3+ (6)) Complexes
4.2. Crystallographic Details
4.3. Micro-Photoluminescence (µ-PL) Measurments
5. Conclusions
Supplementary Materials
Author Contributions
Funding
Institutional Review Board Statement
Informed Consent Statement
Data Availability Statement
Acknowledgments
Conflicts of Interest
Sample Availability
References
- Bünzli, J.-C.G.; Eliseeva, S.V. Basics of Lanthanide Photophysics. In Lanthanide Luminescence; Hänninen, P., Härmä, H., Eds.; Springer: Berlin/Heidelberg, Germany, 2011; pp. 1–45. ISBN 978-3-642-21022-8. [Google Scholar]
- Comby, S.; Imbert, D.; Chauvin, A.-S.; Bünzli, J.-C.G. Stable 8-Hydroxyquinolinate-Based Podates as Efficient Sensitizers of Lanthanide Near-Infrared Luminescence. Inorg. Chem. 2006, 45, 732–743. [Google Scholar] [CrossRef] [PubMed]
- Freidzon, A.Y.; Kurbatov, I.A.; Vovna, V.I. Ab Initio Calculation of Energy Levels of Trivalent Lanthanide Ions. Phys. Chem. Chem. Phys. 2018, 20, 14564–14577. [Google Scholar] [CrossRef] [PubMed]
- Martin, L.J.; Hähnke, M.J.; Nitz, M.; Wöhnert, J.; Silvaggi, N.R.; Allen, K.N.; Schwalbe, H.; Imperiali, B. Double-Lanthanide-Binding Tags: Design, Photophysical Properties, and NMR Applications. J. Am. Chem. Soc. 2007, 129, 7106–7113. [Google Scholar] [CrossRef]
- Ilichev, V.A.; Silantyeva, L.I.; Kukinov, A.A.; Bochkarev, M.N. Photophysical Properties of IR Luminescent Lanthanide Complexes with Polyfluorinated Ligands. INEOS OPEN 2019, 2, 78–83. [Google Scholar] [CrossRef]
- Hasegawa, Y.; Kitagawa, Y.; Nakanishi, T. Effective photosensitized, electrosensitized, and mechanosensitized luminescence of lanthanide complexes. NPG Asia Mater. 2018, 10, 52–70. [Google Scholar] [CrossRef]
- Leif, R.C.; Vallarino, L.M.; Becker, M.C.; Yang, S. Increasing the Luminescence of Lanthanide Complexes. Cytom. A 2006, 69, 767–778. [Google Scholar] [CrossRef]
- Manna, P.; Bhar, M.; Mukherjee, P. Lanthanide photoluminescence lifetimes reflect vibrational signature of local environment: Lengthening duration of emission in inorganic nanoparticles. J. Lumin. 2021, 235, 118052. [Google Scholar] [CrossRef]
- Jia, J.; Ren, P.; Hu, H.; Sayyadi, N.; Parvin, F.; Zheng, X.; Shi, B.; Piper, J.A.; Song, B.; Vickery, K.; et al. Lifetime Multiplexing with Lanthanide Complexes for Luminescence In Situ Hybridisation. Anal. Sens. 2022, 2, e202100057. [Google Scholar] [CrossRef]
- Wang, D.; Zhang, J.; Lin, Q.; Fu, L.; Zhang, H.; Yang, B. Lanthanide complex/polymer composite optical resin with intense narrow band emission, high transparency and good mechanical performance. J. Mater. Chem. 2003, 13, 2279–2284. [Google Scholar] [CrossRef]
- Kofod, N.; Arppe-Tabbara, R.; Sørensen, T.J. Electronic Energy Levels of Dysprosium(III) ions in Solution. Assigning the Emitting State and the Intraconfigurational 4f-4f Transitions in the Vis-NIR Region and Photophysical Characterization of Dy(III) in Water, Methanol, and Dimethyl Sulfoxide. J. Phys. Chem. A 2019, 123, 2734–2744. [Google Scholar] [CrossRef]
- Reisfeld, R. Optical Properties of Lanthanides in Condensed Phase, Theory and Applications. AIMS Mater. Sci. 2015, 2, 37–60. [Google Scholar] [CrossRef]
- Carlos, L.D.; Ferreira, R.A.S.; Bermudez, V.d.Z.; Ribeiro, S.J.L. Lanthanide-Containing Light-Emitting Organic-Inorganic Hybrids: A Bet on the Future. Adv. Mater. 2009, 21, 509–534. [Google Scholar] [CrossRef]
- Deng, D.; Yu, H.; Li, Y.; Hua, Y.; Jia, G.; Zhao, S.; Wang, H.; Huang, L.; Li, Y.; Li, C.; et al. Ca4(PO4)2O:Eu2+ red-emitting phosphor for solid-state lighting: Structure, luminescent properties and white light emitting diode application. J. Mater. Chem. C 2013, 1, 3194–3199. [Google Scholar] [CrossRef]
- Khreis, O.M.; Curry, R.J.; Somerton, M.; Gillin, W.P. Infrared organic light emitting diodes using neodymium tris-(8-hydroxyquinoline). J. Appl. Phys. 2000, 88, 777–780. [Google Scholar] [CrossRef]
- Gao, N.; Zhang, Y.; Huang, P.; Xiang, Z.; Wu, F.-Y.; Mao, L. Perturbing Tandem Energy Transfer in Luminescent Heterobinuclear Lanthanide Coordination Polymer Nanoparticles Enables Real-Time Monitoring of Release of the Anthrax Biomarker from Bacterial Spores. Anal. Chem. 2018, 90, 7004–7011. [Google Scholar] [CrossRef]
- Amoroso, A.J.; Pope, S.J.A. Using lanthanide ions in molecular bioimaging. Chem. Soc. Rev. 2015, 44, 4723–4742. [Google Scholar] [CrossRef]
- Dong, H.; Du, S.-R.; Zheng, X.-Y.; Lyu, G.-M.; Sun, L.-D.; Li, L.-D.; Zhang, P.-Z.; Zhang, C.; Yan, C.-H. Lanthanide Nanoparticles: From Design toward Bioimaging and Therapy. Chem. Rev. 2015, 115, 10725–10815. [Google Scholar] [CrossRef]
- Qiu, X.; Xu, J.; Cardoso Dos Santos, M.; Hildebrandt, N. Multiplexed Biosensing and Bioimaging Using Lanthanide-Based Time-Gated Förster Resonance Energy Transfer. Acc. Chem. Res. 2022, 55, 551–564. [Google Scholar] [CrossRef]
- Ning, Y.; Zhu, M.; Zhang, J.-L. Near-infrared (NIR) lanthanide molecular probes for bioimaging and biosensing. Coord. Chem. Rev. 2019, 399, 213028. [Google Scholar] [CrossRef]
- Bünzli, J.-C.G.; Eliseeva, S.V. Lanthanide NIR luminescence for telecommunications, bioanalyses and solar energy conversion. J. Rare Earths 2010, 28, 824–842. [Google Scholar] [CrossRef]
- Naftaly, M.; Jha, A. Nd3+-doped fluoroaluminate glasses for a 1.3 μm amplifier. J. Appl. Phys. 2000, 87, 2098–2104. [Google Scholar] [CrossRef]
- Chen, B.J.; Shen, L.F.; Pun, E.Y.B.; Lin, H. Nd3+-doped ion-exchanged aluminum germanate glass channel waveguide. Opt. Mater. Express 2015, 5, 113–123. [Google Scholar] [CrossRef]
- Brites, C.D.S.; Lima, P.P.; Silva, N.J.O.; Millán, A.; Amaral, V.S.; Palacio, F.; Carlos, L.D. Lanthanide-based luminescent molecular thermometers. New J. Chem. 2011, 35, 1177. [Google Scholar] [CrossRef]
- Kumar, K.; Chorazy, S.; Nakabayashi, K.; Sato, H.; Sieklucka, B.; Ohkoshi, S. TbCo and Tb 0.5 Dy 0.5 Co layered cyanido-bridged frameworks for construction of colorimetric and ratiometric luminescent thermometers. J. Mater. Chem. C 2018, 6, 8372–8384. [Google Scholar] [CrossRef]
- Zhou, X.; Wang, Y.; Wang, H.; Xiang, L.; Yan, Y.; Li, L.; Xiang, G.; Li, Y.; Jiang, S.; Tang, X.; et al. Nd3+ and Nd3+/Yb3+-incorporated complexes as optical thermometer working in the second biological window. Sens. Bio-Sens. Res. 2020, 29, 100345. [Google Scholar] [CrossRef]
- Brites, C.; Millán, A.; Carlos, L.D. Lanthanides in Luminescent Thermometry. In Including Actinides; Bünzli, J.-C., Pecharsky, V., Eds.; Elsevier: Amsterdam, The Netherlands, 2016; pp. 339–427. ISBN 9780444636997. [Google Scholar]
- Back, M.; Ueda, J.; Xu, J.; Murata, D.; Brik, M.G.; Tanabe, S. Ratiometric Luminescent Thermometers with a Customized Phase-Transition-Driven Fingerprint in Perovskite Oxides. ACS Appl. Mater. Interfaces 2019, 11, 38937–38945. [Google Scholar] [CrossRef]
- Ren, M.; Brites, C.D.S.; Bao, S.-S.; Ferreira, R.A.S.; Zheng, L.-M.; Carlos, L.D. A cryogenic luminescent ratiometric thermometer based on a lanthanide phosphonate dimer. J. Mater. Chem. C 2015, 3, 8480–8484. [Google Scholar] [CrossRef]
- Cui, Y.; Xu, H.; Yue, Y.; Guo, Z.; Yu, J.; Chen, Z.; Gao, J.; Yang, Y.; Qian, G.; Chen, B. A Luminescent Mixed-Lanthanide Metal-Organic Framework Thermometer. J. Am. Chem. Soc. 2012, 134, 3979–3982. [Google Scholar] [CrossRef]
- Xu, X.; Cheng, S.; Meng, J.; Li, D.; Zhou, D.; Zheng, L.; Xu, J.; Ryba-Romanowski, W.; Lisiecki, R. Spectral characterization and laser performance of a mixed crystal Nd:(LuxY1-x)3Al5O12. Opt. Express 2010, 18, 21370–21375. [Google Scholar] [CrossRef]
- Sorokin, E.; Ober, M.H.; Sorokina, I.; Wintner, E.; Schmidt, A.J. Femtosecond solid-state lasers using Nd3+-doped mixed scandium garnets. J. Opt. Soc. Am. B 1993, 10, 1436–1442. [Google Scholar] [CrossRef]
- Huang, Y.J.; Chen, Y.F. High-power diode-end-pumped laser with multi-segmented Nd-doped yttrium vanadate. Opt. Express 2013, 21, 16063–16068. [Google Scholar] [CrossRef]
- Fan, T.Y.; Byer, R.L. Diode laser-pumped solid-state lasers. IEEE J. Quantum Electron. 1988, 24, 895–912. [Google Scholar] [CrossRef]
- Zhi, Y.; Dong, C.; Zhang, J.; Jia, Z.; Zhang, B.; Zhang, Y.; Wang, S.; He, J.; Tao, X. Continuous-wave and passively Q-switched laser performance of LD-end-pumped 1062 nm Nd:GAGG laser. Opt. Express 2010, 18, 7584–7589. [Google Scholar] [CrossRef]
- Cheng, Y.; Xu, X.D.; Xin, Z.; Yang, X.B.; Xiao, X.D.; Li, D.Z.; Zhao, C.C.; Xu, J.; Zhou, S.M. Crystal growth, optical properties, and continuous-wave laser operation of Nd 3+-doped CaNb2O6 crystal. Laser Phys. Lett. 2009, 6, 740–745. [Google Scholar] [CrossRef]
- Apollonov, V.V.; Konstantinov, K.V.; Sirotkin, A.A. UV Diode-pumped solid state laser for medical applications. Proc. SPIE 1999, 3829, 135–140. [Google Scholar] [CrossRef]
- Šulc, J.; Jelínková, H. Solid-state lasers for medical applications. In Lasers for Medical Applications; Jelínková, H., Ed.; Woodhead Publishing: Sawston, UK, 2013; pp. 127–176. ISBN 9780857092373. [Google Scholar]
- Otani, T.; Herbst, L.; Heglin, M.; Govorkov, S.V.; Wiessner, A.O. Microdrilling and micromachining with diode-pumped solid-state lasers. Appl. Phys. A 2004, 79, 1335–1339. [Google Scholar] [CrossRef]
- Choi, H.; Li, X. UV laser machining of biomaterial composite. In International Congress on Applications of Lasers & Electro-Optics, Proceedings of the ICALEO® 2003: 22nd International Congress on Laser Materials Processing and Laser Microfabrication, Jacksonville, FL, USA, 13–16 October 2003; Laser Institute of America: Orlando, FL, USA, 2003. M310. ISBN 978-0-912035-75-8. [Google Scholar]
- Choi, H.; Yang, Y.; Li, X. Experimental study on integration of laser-based additive/subtractive processes for meso/micro solid freeform fabrication. Int. J. Adv. Manuf. Technol. 2005, 26, 335–341. [Google Scholar] [CrossRef]
- Koehne, I.; Lik, A.; Gerstel, M.; Bruhn, C.; Reithmaier, J.P.; Benyoucef, M.; Pietschnig, R. Functionalised phosphonate ester supported lanthanide (Ln = La, Nd, Dy, Er) complexes. Dalton Trans. 2020, 49, 16683–16692. [Google Scholar] [CrossRef]
- Koehne, I.; Pietschnig, R. Synthesis of Geminal Bis- and Tetrakisphosphonate Ester Derivatives and Their Coordination Behavior Towards Ca(II) Ions. Eur. J. Inorg. Chem. 2022, 2022, e202200194. [Google Scholar] [CrossRef]
- Koehne, I.; Gerstel, M.; Bruhn, C.; Reithmaier, J.P.; Benyoucef, M.; Pietschnig, R. Azido-Functionalized Aromatic Phosphonate Esters in RPOSS-Cage-Supported Lanthanide Ion (Ln = La, Nd, Dy, Er) Coordination. Inorg. Chem. 2021, 60, 5297–5309. [Google Scholar] [CrossRef]
- Krekić, K.; Käkel, E.; Klintuch, D.; Bloß, D.; Pietschnig, R. Coordination Polymers based on the Neutral Ditopic Ligand (C6H4PO(OCH3)2)2 Involving some f-Block Elements. Z. Anorg. Allg. Chem. 2018, 644, 149–154. [Google Scholar] [CrossRef] [PubMed]
- Krekić, K.; Klintuch, D.; Lescop, C.; Calvez, G.; Pietschnig, R. Structural and Luminescence Properties of Anthracene- and Biphenyl-Based Lanthanide Bisphosphonate Ester Coordination Polymers. Inorg. Chem. 2019, 58, 382–390. [Google Scholar] [CrossRef] [PubMed]
- Krekić, K.; Klintuch, D.; Pietschnig, R. Facile access to efficiently luminescent Ln3+ phosphonic ester coordination polymers (Ln = Eu, Tb, Dy). Chem. Commun. 2017, 53, 11076–11079. [Google Scholar] [CrossRef] [PubMed]
- Vinothkumar, G.; Rengaraj, S.; Arunkumar, P.; Cha, S.W.; Suresh Babu, K. Ionic Radii and Concentration Dependency of RE3+ (Eu3+, Nd3+, Pr3+, and La3+)-Doped Cerium Oxide Nanoparticles for Enhanced Multienzyme-Mimetic and Hydroxyl Radical Scavenging Activity. J. Phys. Chem. C 2019, 123, 541–553. [Google Scholar] [CrossRef]
- Rademaker, K.; Krupke, W.F.; Page, R.H.; Payne, S.A.; Petermann, K.; Huber, G.; Yelisseyev, A.P.; Isaenko, L.I.; Roy, U.N.; Burger, A.; et al. Optical properties of Nd3+- and Tb3+-doped KPb2Br5 and RbPb2Br5 with low nonradiative decay. J. Opt. Soc. Am. B 2004, 21, 2117–2129. [Google Scholar] [CrossRef]
- Hömmerich, U.; Brown, E.; Trivedi, S.B.; Zavada, J.M. Synthesis and 1.5μm emission properties of Nd3+ activated lead bromide and lead iodide crystals. Appl. Phys. Lett. 2006, 88, 251906. [Google Scholar] [CrossRef]
- Nostrand, M.C.; Page, R.H.; Payne, S.A.; Isaenko, L.I.; Yelisseyev, A.P. Optical properties of Dy3+- and Nd3+-doped KPb2Cl5. J. Opt. Soc. Am. B 2001, 18, 264. [Google Scholar] [CrossRef]
- Gatterer, K.; Fritzer, H.P. Symmetry-Modelling of Rare Earth Compounds with Kramers Ions: I. Neodymium (III) in Various Solids. Phys. Chem. Miner. 1988, 15, 484–492. [Google Scholar] [CrossRef]
- Scherer, P.; Fischer, S.F. Theoretical Molecular Biophysics; Springer: Berlin/Heidelberg, Germany, 2010; ISBN 978-3-540-85609-2. [Google Scholar]
- Lenz, C.; Talla, D.; Ruschel, K.; Škoda, R.; Götze, J.; Nasdala, L. Factors affecting the Nd3+ (REE3+) luminescence of minerals. Mineral. Petrol. 2013, 107, 415–428. [Google Scholar] [CrossRef]
- Marciniak, Ł.; Bednarkiewicz, A.; Hreniak, D.; Strek, W. The influence of Nd3+ concentration and alkali ions on the sensitivity of non-contact temperature measurements in ALaP4O12:Nd3+ (A = Li, K, Na, Rb) nanocrystalline luminescent thermometers. J. Mater. Chem. C 2016, 4, 11284–11290. [Google Scholar] [CrossRef]
- Huang, P.; Zheng, W.; Tu, D.; Shang, X.; Zhang, M.; Li, R.; Xu, J.; Liu, Y.; Chen, X. Unraveling the Electronic Structures of Neodymium in LiLuF4 Nanocrystals for Ratiometric Temperature Sensing. Adv. Sci. 2019, 6, 1802282. [Google Scholar] [CrossRef]
- Redasani, V.K.; Patel, P.R.; Marathe, D.Y.; Chaudhari, S.R.; Shirkhedkar, A.A.; Surana, S.J. A Review on Derivative UV-Spectrophotometry Abalysis of Drugs in Pharmaceutical Formulations and Biological Samples Review. J. Chil. Chem. Soc. 2018, 63, 4126–4134. [Google Scholar] [CrossRef]
- Mozo-Villarías, A. Second derivative fluorescence spectroscopy of tryptophan in proteins. J. Biochem. Biophys. Methods 2002, 50, 163–178. [Google Scholar] [CrossRef]
- Fulmer, G.R.; Miller, A.J.M.; Sherden, N.H.; Gottlieb, H.E.; Nudelman, A.; Stoltz, B.M.; Bercaw, J.E.; Goldberg, K.I. NMR Chemical Shifts of Trace Impurities: Common Laboratory Solvents, Organics, and Gases in Deuterated Solvents Relevant to the Organometallic Chemist. Organometallics 2010, 29, 2176–2179. [Google Scholar] [CrossRef]
- Sheldrick, G.M. SHELXT—Integrated space-group and crystal-structure determination. Acta Crystallogr. A Found. Adv. 2015, 71, 3–8. [Google Scholar] [CrossRef]
- Sheldrick, G.M. Crystal structure refinement with SHELXL. Acta Crystallogr. C Struct. Chem. 2015, 71, 3–8. [Google Scholar] [CrossRef]
- Hübschle, C.B.; Dittrich, B. MoleCoolQt—A molecule viewer for charge-density research. J. Appl. Crystallogr. 2011, 44, 238–240. [Google Scholar] [CrossRef]
- Dolomanov, O.V.; Bourhis, L.J.; Gildea, R.J.; Howard, J.A.K.; Puschmann, H. OLEX2: A complete structure solution, refinement and analysis program. J. Appl. Crystallogr. 2009, 42, 339–341. [Google Scholar] [CrossRef]
- Parsons, S.; Flack, H.D.; Wagner, T. Use of intensity quotients and differences in absolute structure refinement. Acta Crystallogr. B 2013, 69, 249–259. [Google Scholar] [CrossRef]











| Complex | [Nd(L1)3(NO3)3] (1) | [Nd(L1)3Cl3]2 (2) | [Nd(L2)3(NO3)3] (3) | [Nd(L2)3Cl3]2 (4) | [Nd(L3)2(NO3)3] (5) |
|---|---|---|---|---|---|
| Transition | λmax [nm] | ||||
| R2 → Z1 | 867.87 | 873.55 | 869.29 | 875.45 | 863.92 |
| R1 → Z1 | 871.26 | 879.41 | 872.29 | 878.38 | - |
| R2 → Z2 | 873.28 | - | 875.06 | - | 868.21 |
| R1 → Z2 | 876.54 | - | 878.06 | 881.49 | 871.95 |
| R2 → Z3 | 879.29 | - | 879.66 | 883.36 | 876.61 |
| R1 → Z3 | 882.74 | - | 882.73 | 886.56 | 880.89 |
| R2 → Z4 | 891.55 | - | 892.53 | 891.67 | 892.21 |
| R1 → Z4 | 895.34 | - | 895.60 | 894.46 | - |
| R2 → Z5 | 901.99 | 900.21 | 901.19 | 901.48 | 897.14 |
| R1 → Z5 | 905.56 | 906.46 | 904.19 | 904.68 | 901.97 |
Disclaimer/Publisher’s Note: The statements, opinions and data contained in all publications are solely those of the individual author(s) and contributor(s) and not of MDPI and/or the editor(s). MDPI and/or the editor(s) disclaim responsibility for any injury to people or property resulting from any ideas, methods, instructions or products referred to in the content. |
© 2022 by the authors. Licensee MDPI, Basel, Switzerland. This article is an open access article distributed under the terms and conditions of the Creative Commons Attribution (CC BY) license (https://creativecommons.org/licenses/by/4.0/).
Share and Cite
Gerstel, M.; Koehne, I.; Reithmaier, J.P.; Pietschnig, R.; Benyoucef, M. Luminescent Properties of Phosphonate Ester-Supported Neodymium(III) Nitrate and Chloride Complexes. Molecules 2023, 28, 48. https://doi.org/10.3390/molecules28010048
Gerstel M, Koehne I, Reithmaier JP, Pietschnig R, Benyoucef M. Luminescent Properties of Phosphonate Ester-Supported Neodymium(III) Nitrate and Chloride Complexes. Molecules. 2023; 28(1):48. https://doi.org/10.3390/molecules28010048
Chicago/Turabian StyleGerstel, Miriam, Ingo Koehne, Johann Peter Reithmaier, Rudolf Pietschnig, and Mohamed Benyoucef. 2023. "Luminescent Properties of Phosphonate Ester-Supported Neodymium(III) Nitrate and Chloride Complexes" Molecules 28, no. 1: 48. https://doi.org/10.3390/molecules28010048
APA StyleGerstel, M., Koehne, I., Reithmaier, J. P., Pietschnig, R., & Benyoucef, M. (2023). Luminescent Properties of Phosphonate Ester-Supported Neodymium(III) Nitrate and Chloride Complexes. Molecules, 28(1), 48. https://doi.org/10.3390/molecules28010048

