Synthesis and Pesticidal Activity of New Niacinamide Derivatives Containing a Flexible, Chiral Chain
Abstract
1. Introduction
2. Results and Discussion
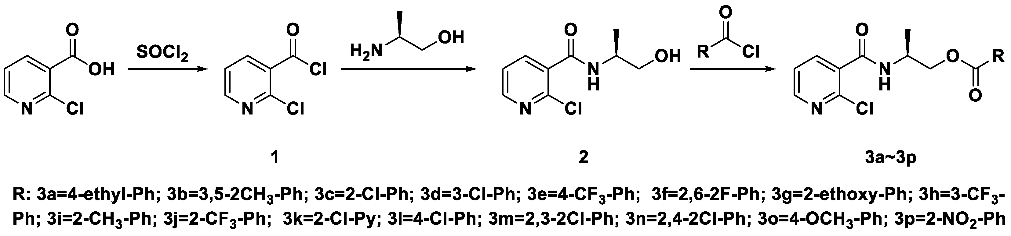
2.1. Synthesis and Spectra Analysis
2.2. Fungicidal Activity
2.3. Phytotoxicity
2.4. Molecular Docking Studies
3. Materials and Methods
3.1. Instruments
3.2. Synthesis
3.2.1. Synthesis of Intermediate 2
3.2.2. Synthesis of Target Compounds 3
3.3. Fungicide Bioassays
3.4. Herbicide Bioassays
3.5. Molecular Docking
4. Conclusions
Supplementary Materials
Author Contributions
Funding
Institutional Review Board Statement
Informed Consent Statement
Data Availability Statement
Conflicts of Interest
Sample Availability
References
- Wang, D.L.; Li, M.; Yuan, C.X.; Fang, Y.L.; Zhang, Z.J. Guaiacol as a natural melanin biosynthesis inhibitor to control northern corn leaf blight. Pest Manag. Sci. 2022, 78, 4557–4568. [Google Scholar] [CrossRef]
- Cardenas, D.M.; Bajsa-Hirschel, J.; Cantrell, C.L.; Rial, C.; Varela, R.M.; Molinillo, J.M.G.; Macias, F.A. Evaluation of the phytotoxic and antifungal activity of C-17-sesquiterpenoids as potential biopesticides. Pest Manag. Sci. 2022, 78, 4240–4251. [Google Scholar] [CrossRef]
- Barilli, E.; Agudo, F.J.; Masi, M.; Nocera, P.; Evidente, A.; Rubiales, D. Anthraquinones and their analogues as potential biocontrol agents of rust and powdery mildew diseases of field crops. Pest Manag. Sci. 2022, 78, 3489–3497. [Google Scholar] [CrossRef]
- Che, Z.P.; Guo, X.L.; Li, Y.H.; Zhang, S.; Zhu, L.N.; He, J.X.; Sun, D.; Guo, Y.H.; Liu, Y.B.; Wei, R.X.; et al. Synthesis of paeonol ester derivatives and their insecticidal, nematicidal, and anti-oomycete activities. Pest Manag. Sci. 2022, 78, 3442–3455. [Google Scholar] [CrossRef]
- Wang, F.; Liu, H.W.; Zhang, L.; Liu, S.T.; Zhang, J.R.; Zhou, X.; Wang, P.Y.; Yang, S. Discovery of novel rost-4-ene derivatives as potential plant activators for preventing phytopathogenic bacterial infection: Design, synthesis and biological studies. Pest Manag. Sci. 2022, 78, 3404–3415. [Google Scholar] [CrossRef]
- Velasco-Azorsa, R.; Zeferino-Diaz, R.; Alvarado-Rodriguez, J.G.; Lopez-Ruiz, H.; Rojas-Lima, S.; Flores-Castro, K.; Prado-Vera, I.C.; Alatorre-Rosas, R.; Tut-Pech, F.; Carrillo-Benitez, M.G.; et al. Nematicidal activity of furanoeremophilenes against Meloidogyne incognita and Nacobbus aberrans. Pest Manag. Sci. 2022, 78, 2571–2580. [Google Scholar] [CrossRef]
- Sparks, T.C.; Duke, S.O. Structural simplification of natural products as a lead generation approach in crop protection compound discovery. J. Agric. Food Chem. 2021, 69, 8324–8346. [Google Scholar] [CrossRef]
- Posselt, W.; Reimann, L. Chemische untersuchungen des tabaks und darstellung eines eigenthümlich wirksamen prinzips dieser pflanze. Geigers Mag. Pharmac. 1828, 6, 138–161. [Google Scholar]
- Casanova, H.; Ortiz, C.; Pelaez, C.; Vallejo, A.; Moreno, M.E.; Acevedo, M. Insecticide formulations based on nicotine oleate stabilized by sodium caseinate. J. Agric. Food Chem. 2002, 50, 6389–6394. [Google Scholar] [CrossRef]
- Celie, P.H.N.; van Rossum-Fikkert, S.E.; van Dijk, W.J.; Brejc, K.; Smit, A.B.; Sixma, T.K. Nicotine and carbamylcholine binding to nicotinic acetylcholine receptors as studied in AChBP crystal structures. Neuron 2004, 41, 907–914. [Google Scholar] [CrossRef]
- Carneiro, C.; Nardone, B.; Kiguradze, T.; Posligua, A.; West, D.P.; Rani, M. Frequency of nonmelanoma skin cancer recurrence in cancer patients receiving niacinamide or niacin: A retrospective case-control study. J. Am. Acad. Dermatol. 2016, 74, AB198. [Google Scholar]
- Ma, S.J.; Ma, T.; Ren, M.R.; Li, H.; Ma, Z.Q. Insecticidal action of the botanical insecticide wilforine on Mythimna separata (Walker) related with the changes of ryanodine receptor expression. Ecotoxicol. Environ. Saf. 2021, 213, 112025. [Google Scholar] [CrossRef] [PubMed]
- Zakharychev, V.V.; Kuzenkov, A.V.; Martsynkevich, A.M. Good pyridine hunting: A biomimic compound, a modifier and a unique pharmacophore in agrochemicals. Chem. Heterocycl. Compod. 2020, 56, 1491–1516. [Google Scholar] [CrossRef]
- Tsukamoto, M.; Nakamura, T.; Kimura, H.; Nakayama, H. Synthesis and application of trifluoromethylpyridines as a key structural motif in active agrochemical and pharmaceutical ingredients. J. Pestic. Sci. 2021, 46, 125–142. [Google Scholar] [CrossRef] [PubMed]
- Burriss, A.; Edmunds, A.J.F.; Emery, D.; Hall, R.G.; Jacob, O.; Schaetzer, J. The importance of trifluoromethyl pyridines in crop protection. Pest Manag. Sci. 2018, 74, 1228–1238. [Google Scholar] [CrossRef] [PubMed]
- Eicken, K.; Goetz, N.; Harreus, A.; Ammermann, E.; Lorenz, G.; Rang, H. Anilide Derivatives and Their Use to Combat Botrytis. EP Patent 0,545,099, 7 November 1992. [Google Scholar]
- Maienfisch, P. Selective feeding blockers: Pymetrozine, flonicamid, and pyrifluquinazon. In Modern Crop Protection Compounds; Jeschke, P., Witschel, M., Krämer, W., Schirmer, U., Eds.; Wiley-VCH: Weinheim, Germany, 2019; Volume 3, pp. 1501–1526. [Google Scholar] [CrossRef]
- McGregor, S.D. Herbicidal Use of Aminohalopyridyloxy Acids and Derivatives Thereof. U.S. Patent 4,110,104, 23 December 1976. [Google Scholar]
- Wen, F.; Zhang, H.; Yu, Z.Y.; Jin, H.; Yang, Q.A.; Hou, T.P. Design, synthesis and antifungal/insecticidal evaluation of novel nicotinamide derivatives. Pestic. Biochem. Physiol. 2010, 98, 248–253. [Google Scholar] [CrossRef]
- Shi, Y.H.; Zhang, S.; Wan, F.X.; Sun, C.X.; Jiang, L. Synthesis, fungicidal activity and molecular docking study of novel N-[2-((substitutedphenyl)amino)pyridin-3-yl]-pyrimidine-4-carboxamides. Chin. J. Org. Chem. 2020, 40, 1948–1954. [Google Scholar] [CrossRef]
- Zhang, P.P.; Wang, Q.; Min, L.J.; Wu, H.K.; Weng, J.Q.; Tan, C.X.; Zhang, Y.G.; Liu, X.H. Synthesis, crystal structure, fungicidal activity and molecular docking of nicotinic acyl urea derivatives. J. Mol. Struct. 2020, 1205, 127485. [Google Scholar] [CrossRef]
- Kumagai, H.; Nishida, H.; Imamura, N.; Tomoda, H.; Omura, S. The structures of atpenins A4, A5 and B, new antifungal antibiotics produced by Penicillium sp. J. Antibiot. 1990, 43, 1553–1558. [Google Scholar] [CrossRef]
- Liu, X.H.; Wen, Y.H.; Cheng, L.; Xu, T.M.; Wu, N.J. Design, synthesis, pesticidal activities of pyrimidin-4-amine derivatives bearing a 5-(trifluoromethyl)-1,2,4-oxadiazole moiety. J. Agric. Food Chem. 2021, 69, 6968–6980. [Google Scholar] [CrossRef]
- Yu, C.S.; Wang, Q.; Bajsa-Hirschel, J.; Cantrell, C.; Duke, S.O.; Liu, X.H. Synthesis, crystal structure, herbicidal activity and SAR study of novel N-(arylmethoxy)-2-chloronicotinamides derived from nicotinic acid. J. Agric. Food Chem. 2021, 69, 6423–6430. [Google Scholar] [CrossRef] [PubMed]
- Fu, Q.; Cai, P.P.; Cheng, L.; Zhong, L.K.; Tan, C.X.; Shen, Z.H.; Han, L.; Xu, T.M.; Liu, X.H. Synthesis and herbicidal activity of novel pyrazole aromatic ketone analogs as HPPD inhibitor. Pest Manag. Sci. 2020, 76, 868–879. [Google Scholar] [CrossRef] [PubMed]
- Wen, Y.H.; Cheng, L.; Xu, T.M.; Liu, X.H.; Wu, N.J. Synthesis, insecticidal activities and DFT study of pyrimidin-4-amine derivatives containing the 1,2,4-oxadiazole motif. Front. Chem. Sci. Eng. 2022, 16, 1090–1100. [Google Scholar] [CrossRef]
- Min, L.J.; Wang, H.; Bajsa-Hirschel, J.; Yu, C.S.; Wang, B.; Yao, M.M.; Han, L.; Cantrell, C.L.; Duke, S.O.; Sun, N.B.; et al. Novel dioxolane ring compounds for the management of phytopathogen diseases as ergosterol biosynthesis inhibitors: Synthesis, biological activities and molecular docking. J. Agric. Food Chem. 2022, 70, 4303–4315. [Google Scholar] [CrossRef]
- Liu, X.H.; Yu, W.; Min, L.J.; Wedge, D.E.; Tan, C.X.; Weng, J.Q.; Wu, H.K.; Cantrell, C.L.; Bajsa-Hischel, J.; Hua, X.W.; et al. Synthesis and pesticidal activities of new quinoxalines. J. Agric. Food Chem. 2020, 68, 7324–7332. [Google Scholar] [CrossRef]
- Dayan, F.E.; Romagni, J.G.; Duke, S.O. Investigating the mode of action of natural phytotoxins. J. Chem. Ecol. 2000, 26, 2079–2094. [Google Scholar] [CrossRef]
- Min, L.J.; Shen, Z.H.; Bajsa-Hirschel, J.; Cantrell, C.L.; Han, L.; Hua, X.W.; Liu, X.H.; Duke, S.O. Synthesis, crystal structure, herbicidal activity and mode of action of new cyclopropane-1,1-dicarboxylic acid analogues. Pestic. Biochem. Physiol. 2022, 188, 105228. [Google Scholar] [CrossRef]
- Bin, W.; Chen, W.T.; Min, L.J.; Han, L.; Sun, N.B.; Liu, X.H. Synthesis, structure, and antifungal activities of 3-(difluoromethyl)-pyrazole-4-carboxylic oxime ester derivatives. Heteroat. Chem. 2022, 2022, 6078017. [Google Scholar] [CrossRef]
- Rarey, M.; Kramer, B.; Lengauer, T.; Klebe, G. A fast flexible docking method using an incremental construction algorithm. J. Mol. Biol. 1996, 261, 470–489. [Google Scholar] [CrossRef]
- Huang, L.S.; Sun, G.; Cobessi, D.; Wang, A.C.; Shen, J.T.; Tung, E.Y.; Anderson, V.E.; Berry, E.A. 3-Nitropropionic acid is a suicide inhibitor of mitochondrial respiration that, upon oxidation by complex II, forms a covalent adduct with a catalytic base arginine in the active site of the enzyme. J. Biol. Chem. 2006, 281, 5965–5972. [Google Scholar] [CrossRef]
- Ji, J.; Lao, K.; Hu, J.; Pang, T.; Jiang, Z.; Yuan, H.; Miao, J.; Chen, X.; Ning, S.; Xiang, H.; et al. Discovery of novel aromatase inhibitors using a homogeneous time-resolved fluorescence assay. Acta Pharmacol. Sin. 2014, 35, 1082–1092. [Google Scholar] [CrossRef] [PubMed]





| No. | FO | CA | BB | AS | GZ | SS | BC | RS | PI | PC |
|---|---|---|---|---|---|---|---|---|---|---|
| 3a | 16.0 | 43.8 | 50.0 | 23.5 | 31.3 | 60.7 | 38.5 | 46.5 | 18.8 | 3.1 |
| 3b | 24.0 | 40.6 | 46.2 | 47.1 | 50.0 | 63.9 | 46.2 | 17.4 | 25.0 | 9.4 |
| 3c | 20.0 | 50.0 | 53.8 | 41.2 | 21.9 | 65.6 | 46.2 | 11.6 | 18.8 | 3.1 |
| 3d | 16.0 | 18.8 | 50.0 | 41.2 | 25.0 | 57.4 | 30.8 | 17.4 | 18.8 | 18.8 |
| 3e | 28.0 | 50.0 | 59.6 | 52.9 | 40.6 | 54.1 | 53.8 | 34.9 | 25.0 | 18.8 |
| 3f | 16.0 | 31.3 | 38.5 | 41.2 | 31.3 | 41.0 | 30.8 | 20.9 | 18.8 | 12.5 |
| 3g | 24.0 | 65.6 | 65.4 | 41.2 | 71.9 | 24.6 | 57.7 | 34.9 | 12.5 | 3.1 |
| 3h | 24.0 | 56.3 | 78.8 | 47.1 | 65.6 | 47.5 | 57.7 | 11.6 | 18.8 | 9.4 |
| 3i | 16.0 | 53.1 | 92.3 | 52.9 | 40.6 | 57.4 | 57.7 | 17.4 | 25.0 | 3.1 |
| 3j | 36.0 | 50.0 | 69.2 | 64.7 | 78.1 | 73.8 | 46.2 | 23.3 | 31.3 | 18.8 |
| 3k | 16.0 | 65.6 | 71.2 | 41.2 | 75.0 | 16.4 | 30.8 | 23.3 | 12.5 | 12.5 |
| 3l | 32.0 | 65.6 | 73.1 | 52.9 | 62.5 | 82.0 | 53.8 | 34.9 | 25.0 | 25.0 |
| 3m | 32.0 | 68.8 | 82.7 | 58.8 | 71.9 | 82.0 | 65.4 | 29.1 | 25.0 | 34.4 |
| 3n | 24.0 | 65.6 | 65.4 | 47.1 | 68.8 | 70.5 | 38.5 | 20.9 | 31.3 | 9.4 |
| 3o | 24.0 | 25.0 | 82.7 | 41.2 | 40.6 | 32.8 | 30.8 | 23.3 | 12.5 | 12.5 |
| 3p | 36.0 | 25.0 | 82.7 | 64.7 | 68.8 | 47.5 | 30.8 | 46.5 | 43.8 | 18.8 |
| FP | 29.4 | 100 | 63.6 | 88.9 | 28.6 | 96.4 | 63.6 | 88.4 | 27.3 | 16.7 |
| CK | 0.0 | 0.0 | 0.0 | 0.0 | 0.0 | 0.0 | 0.0 | 0.0 | 0.0 | 0.0 |
| Fungi | Compounds | EC50 (μg mL−1) | Regression Equation | r |
|---|---|---|---|---|
| Botryosphaeria berengriana | 3i | 6.68 ± 0.72 | y = 1.6122x + 3.6696 | 0.9917 |
| 3m | 15.14 ± 1.21 | y = 1.8289x + 2.8416 | 0.9966 | |
| 3o | 11.98 ± 1.04 | y = 1.6303x + 3.2412 | 0.9916 | |
| 3p | 13.80 ± 1.25 | y = 1.5453x + 3.2381 | 0.9945 | |
| fluxapyroxad | 7.93 ± 1.05 | y = 1.1363x + 3.9777 | 0.9825 | |
| Sclerotinia sclerotiorum | 3l | 12.69 ± 1.15 | y = 1.5368x + 3.3041 | 0.9993 |
| 3m | 11.83 ± 1.03 | y = 1.6175x + 3.2642 | 0.9928 | |
| fluxapyroxad | 0.73 ± 0.11 | y = 1.1674x + 5.5176 | 0.9951 |
| No. | R | Lettuce | Bentgrass |
|---|---|---|---|
| 3a | 4-ethyl-C6H4 | 0 | 0 |
| 3b | 3,5-(CH3)2-C6H3 | 1 | 0 |
| 3c | 2-Cl-C6H4 | 1 | 2 |
| 3d | 3-Cl-C6H4 | 1 | 1 |
| 3e | 4-CF3-C6H4 | 1 | 1 |
| 3f | 2,6-F2-C6H3 | 1 | 0 |
| 3g | 2-ethoxy-C6H4 | 0 | 0 |
| 3h | 3-CF3-C6H4 | 1 | 1 |
| 3i | 2-CH3-C6H4 | 1 | 0 |
| 3j | 2-CF3-C6H4 | 1 | 0 |
| 3k | 2-Cl-C6H3N | 1 | 0 |
| 3l | 4-Cl-C6H4 | 1 | 3 |
| 3m | 2,3-Cl2-C6H3 | 2 | 2 |
| 3n | 2,4-Cl2-C6H3 | 0 | 2 |
| 3o | 4-OCH3-C6H4 | 1 | 0 |
| 3p | 2-NO2-C6H4 | 2 | 3 |
| Acetone | - | 0 | 0 |
| Aminotriazole | - | 4 | 5 |
| Compound | Docking Score Kcal/mol | Hydrogen Bond Interaction | Distance between Donor and Acceptor (Å) | Number of Hydrogen Bonds |
|---|---|---|---|---|
| 3i | 34.42 | Tyr58-O and Trp173-O | 2.1 and 1.9 | 2 |
| fluxapyroxad | 32.30 | Tyr58-NH and Trp173-NH | 2.7 and 3.0 | 2 |
Disclaimer/Publisher’s Note: The statements, opinions and data contained in all publications are solely those of the individual author(s) and contributor(s) and not of MDPI and/or the editor(s). MDPI and/or the editor(s) disclaim responsibility for any injury to people or property resulting from any ideas, methods, instructions or products referred to in the content. |
© 2022 by the authors. Licensee MDPI, Basel, Switzerland. This article is an open access article distributed under the terms and conditions of the Creative Commons Attribution (CC BY) license (https://creativecommons.org/licenses/by/4.0/).
Share and Cite
Wei, Z.-C.; Wang, Q.; Min, L.-J.; Bajsa-Hirschel, J.; Cantrell, C.L.; Han, L.; Tan, C.-X.; Weng, J.-Q.; Li, Y.-X.; Sun, N.-B.; et al. Synthesis and Pesticidal Activity of New Niacinamide Derivatives Containing a Flexible, Chiral Chain. Molecules 2023, 28, 47. https://doi.org/10.3390/molecules28010047
Wei Z-C, Wang Q, Min L-J, Bajsa-Hirschel J, Cantrell CL, Han L, Tan C-X, Weng J-Q, Li Y-X, Sun N-B, et al. Synthesis and Pesticidal Activity of New Niacinamide Derivatives Containing a Flexible, Chiral Chain. Molecules. 2023; 28(1):47. https://doi.org/10.3390/molecules28010047
Chicago/Turabian StyleWei, Zhe-Cheng, Qiao Wang, Li-Jing Min, Joanna Bajsa-Hirschel, Charles L. Cantrell, Liang Han, Cheng-Xia Tan, Jian-Quan Weng, Yu-Xin Li, Na-Bo Sun, and et al. 2023. "Synthesis and Pesticidal Activity of New Niacinamide Derivatives Containing a Flexible, Chiral Chain" Molecules 28, no. 1: 47. https://doi.org/10.3390/molecules28010047
APA StyleWei, Z.-C., Wang, Q., Min, L.-J., Bajsa-Hirschel, J., Cantrell, C. L., Han, L., Tan, C.-X., Weng, J.-Q., Li, Y.-X., Sun, N.-B., Duke, S. O., & Liu, X.-H. (2023). Synthesis and Pesticidal Activity of New Niacinamide Derivatives Containing a Flexible, Chiral Chain. Molecules, 28(1), 47. https://doi.org/10.3390/molecules28010047

