Investigating Rubidium Density and Temperature Distributions in a High-Throughput 129Xe-Rb Spin-Exchange Optical Pumping Polarizer
Abstract
1. Introduction
2. Materials and Methods
2.1. SEOP Theory
2.1.1. Xe Polarization Build Up
2.1.2. Laser Heating
2.2. SEOP Cell Rb Source Distributions and Rb Presaturation
2.3. Absorption Spectroscopy
2.4. Acquisition Procedure
2.5. Xe Polarimetry and Laser Absorption
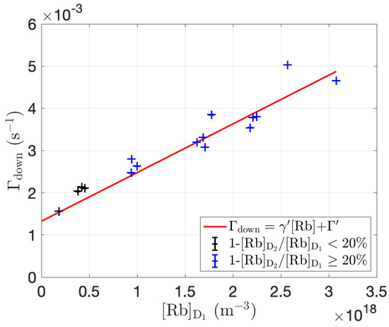
2.6. Spin-Exchange Cross Section
3. Results and Discussion
3.1. Closed Cell Rb Density for Different Oven Temperatures
3.2. Absorption Spectroscopy during Continuous-Flow SEOP
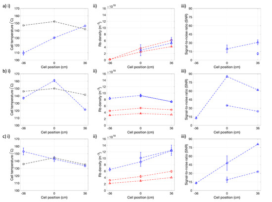
3.3. and Measurements
4. Future Work
5. Conclusions
Author Contributions
Funding
Institutional Review Board Statement
Informed Consent Statement
Data Availability Statement
Acknowledgments
Conflicts of Interest
Appendix A. Accuracy of Absorption Spectroscopy Fitting


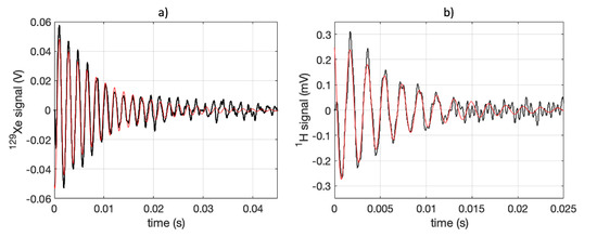
Appendix B. 129 Xe Polarimetry
Appendix B.1. 129 Xe Polarimetry on 1.5T MRI Scanner Limitations
Appendix B.2. Coil, Stand and Sampling Container

Appendix B.3. NMR Spectrometer
Appendix B.4. Flip Angle Calibration


Appendix B.5. Xe Polarization Calculation

Appendix B.6. Confirmation with 1.5T MRI Scanner

References
- Myc, L.; Qing, K.; He, M.; Tustison, N.; Lin, Z.; Manichaikul, A.W.; Patrie, J.; Cassani, J.; Nunoo-Asare, R.N.; Huang, Y.; et al. Characterisation of gas exchange in COPD with dissolved-phase hyperpolarised xenon-129 MRI. Thorax 2021, 76, 178–181. [Google Scholar] [CrossRef] [PubMed]
- Qing, K.; Mugler III, J.P.; Altes, T.A.; Jiang, Y.; Mata, J.F.; Miller, G.W.; Ruset, I.C.; Hersman, F.W.; Ruppert, K. Assessment of lung function in asthma and COPD using hyperpolarized 129Xe chemical shift saturation recovery spectroscopy and dissolved-phase MRI. NMR Biomed. 2014, 27, 1490–1501. [Google Scholar] [CrossRef] [PubMed]
- Smith, L.J.; Horsley, A.; Bray, J.; Hughes, P.J.C.; Biancardi, A.; Norquay, G.; Wildman, M.; West, N.; Marshall, H.; Wild, J.M. The assessment of short- and long-term changes in lung function in cystic fibrosis using 129Xe MRI. Eur. Respir. J. 2020, 56, 2000441. [Google Scholar] [CrossRef]
- Haidong, L.; Xiuchao, Z.; Yujin, W.; Xin, L.; Shizhen, C.; He, D.; Lei, S.; Junshuai, X.; Dazhong, T.; Jianping, Z.; et al. Damaged lung gas exchange function of discharged COVID-19 patients detected by hyperpolarized 129Xe MRI. Sci. Adv. 2022, 7, eabc8180. [Google Scholar] [CrossRef]
- Grist, J.T.; Chen, M.; Collier, G.J.; Raman, B.; Abueid, G.; McIntyre, A.; Matthews, V.; Fraser, E.; Ho, L.P.; Wild, J.M.; et al. Hyperpolarized 129Xe MRI Abnormalities in Dyspneic Patients 3 Months after COVID-19 Pneumonia: Preliminary Results. Radiology 2021, 301, E353–E360. [Google Scholar] [CrossRef]
- Rao, M.; Stewart, N.; Griffiths, P.; Norquay, G.; Wild, J. Imaging Human Brain Perfusion with Inhaled Hyperpolarized 129 Xe MR Imaging. Radiology 2018, 286, 659–665. [Google Scholar] [CrossRef] [PubMed]
- Chacon-Caldera, J.; Maunder, A.; Rao, M.; Norquay, G.; Rodgers, O.I.; Clemence, M.; Puddu, C.; Schad, L.R.; Wild, J.M. Dissolved hyperpolarized xenon-129 MRI in human kidneys. Magn. Reson. Med. 2020, 83, 262–270. [Google Scholar] [CrossRef]
- Doganay, O.; Chen, M.; Matin, T.; Rigolli, M.; Phillips, J.A.; McIntyre, A.; Gleeson, F.V. Magnetic resonance imaging of the time course of hyperpolarized 129Xe gas exchange in the human lungs and heart. Eur. Radiol. 2019, 29, 2283–2292. [Google Scholar] [CrossRef]
- Walker, T.G.; Happer, W. Spin-exchange optical pumping of noble-gas nuclei. Rev. Mod. Phys. 1997, 69, 629–642. [Google Scholar] [CrossRef]
- Rosen, M.S.; Chupp, T.E.; Coulter, K.P.; Welsh, R.C.; Swanson, S.D. Polarized 129Xe optical pumping/spin exchange and delivery system for magnetic resonance spectroscopy and imaging studies. Rev. Sci. Instruments 1999, 70, 1546–1552. [Google Scholar] [CrossRef]
- Nikolaou, P.; Coffey, A.M.; Walkup, L.L.; Gust, B.M.; Whiting, N.; Newton, H.; Barcus, S.; Muradyan, I.; Dabaghyan, M.; Moroz, G.D.; et al. Near-unity nuclear polarization with an open-source 129Xe hyperpolarizer for NMR and MRI. Proc. Natl. Acad. Sci. USA 2013, 110, 14150–14155. [Google Scholar] [CrossRef] [PubMed]
- Driehuys, B.; Cates, G.D.; Miron, E.; Sauer, K.; Walter, D.K.; Happer, W. High-volume production of laser-polarized 129Xe. Appl. Phys. Lett. 1996, 69, 1668–1670. [Google Scholar] [CrossRef]
- Ruset, I.C.; Ketel, S.; Hersman, F.W. Optical Pumping System Design for Large Production of Hyperpolarized 129Xe. Phys. Rev. Lett. 2006, 96, 53002. [Google Scholar] [CrossRef] [PubMed]
- Schrank, G.; Ma, Z.; Schoeck, A.; Saam, B. Characterization of a low-pressure high-capacity 129Xe flow-through polarizer. Phys. Rev. A 2009, 80, 63424. [Google Scholar] [CrossRef]
- Norquay, G.; Collier, G.J.; Rao, M.; Stewart, N.J.; Wild, J.M. 129Xe-Rb Spin-Exchange Optical Pumping with High Photon Efficiency. Phys. Rev. Lett. 2018, 121, 153201. [Google Scholar] [CrossRef]
- Happer, W.; Miron, E.; Schaefer, S.; Schreiber, D.; van Wijngaarden, W.A.; Zeng, X. Polarization of the nuclear spins of noble-gas atoms by spin exchange with optically pumped alkali-metal atoms. Phys. Rev. A 1984, 29, 3092–3110. [Google Scholar] [CrossRef]
- Fink, A.; Brunner, E. Optimization of continuous flow pump cells used for the production of hyperpolarized 129Xe: A theoretical study. Appl. Phys. B 2007, 89, 65–71. [Google Scholar] [CrossRef]
- Norquay, G.; Parnell, S.R.; Xu, X.; Parra-Robles, J.; Wild, J.M. Optimized production of hyperpolarized 129Xe at 2 bars for in vivo lung magnetic resonance imaging. J. Appl. Phys. 2013, 113, 44908. [Google Scholar] [CrossRef]
- Freeman, M.S.S.; Emami, K.; Driehuys, B. Characterizing and modeling the efficiency limits in large-scale production of hyperpolarized 129Xe. Phys. Rev. A 2014, 90, 23406. [Google Scholar] [CrossRef]
- Kelley, M.; Branca, R.T. Theoretical models of spin-exchange optical pumping: Revisited and reconciled. J. Appl. Phys. 2021, 129, 154901. [Google Scholar] [CrossRef]
- Walker, T.G.; Larsen, M.S. Chapter Eight—Spin-Exchange-Pumped NMR Gyros. In Advances In Atomic, Molecular, and Optical Physics; Academic Press: Cambridge, MA, USA, 2016; Volume 65, pp. 373–401. [Google Scholar] [CrossRef]
- Killian, T.J. Thermionic Phenomena Caused by Vapors of Rubidium and Potassium. Phys. Rev. 1926, 27, 578–587. [Google Scholar] [CrossRef]
- Plummer, J.W.; Emami, K.; Dummer, A.; Woods, J.C.; Walkup, L.L.; Cleveland, Z.I. A semi-empirical model to optimize continuous-flow hyperpolarized 129Xe production under practical cryogenic-accumulation conditions. J. Magn. Reson. 2020, 320, 106845. [Google Scholar] [CrossRef] [PubMed]
- Zeng, X.; Miron, E.; Van Wijngaarden, W.A.; Schreiber, D.; Happer, W. Wall relaxation of spin polarized 129Xe nuclei. Phys. Lett. A 1983, 96, 191–194. [Google Scholar] [CrossRef]
- Witte, C.; Kunth, M.; Rossella, F.; Schröder, L. Observing and preventing rubidium runaway in a direct-infusion xenon-spin hyperpolarizer optimized for high-resolution hyper-CEST (chemical exchange saturation transfer using hyperpolarized nuclei) NMR. J. Chem. Phys. 2014, 140, 84203. [Google Scholar] [CrossRef] [PubMed]
- Kelley, M.; Burant, A.; Branca, R.T. Resolving the discrepancy between theoretical and experimental polarization of hyperpolarized 129Xe using numerical simulations and in situ optical spectroscopy. J. Appl. Phys. 2020, 128, 144901. [Google Scholar] [CrossRef]
- Vliegen, E.; Kadlecek, S.; Anderson, L.W.; Walker, T.G.; Erickson, C.J.; Happer, W. Faraday rotation density measurements of optically thick alkali metal vapors. In Nuclear Instruments and Methods in Physics Research Section A: Accelerators, Spectrometers, Detectors and Associated Equipment; Elsevier: Amsterdam, The Netherlands, 2001; Volume 460, pp. 444–450. [Google Scholar] [CrossRef]
- Chann, B.; Babcock, E.; Anderson, L.W.; Walker, T.G. Measurements of 3He spin-exchange rates. Phys. Rev. A 2002, 66, 32703. [Google Scholar] [CrossRef]
- Antonacci, M.; Burant, A.; Wagner, W.; Branca, R. Depolarization of nuclear spin polarized 129Xe gas by dark rubidium during spin-exchange optical pumping. J. Magn. Reson. 2017, 279, 60–67. [Google Scholar] [CrossRef]
- Appelt, S.; Baranga, A.B.A.; Erickson, C.J.; Romalis, M.V.; Young, A.R.; Happer, W. Theory of spin-exchange optical pumping of 3He and 129Xe. Phys. Rev. A 1998, 58, 1412–1439. [Google Scholar] [CrossRef]
- Appelt, S.; Ben-Amar Baranga, A.; Young, A.R.; Happer, W. Light narrowing of rubidium magnetic-resonance lines in high-pressure optical-pumping cells. Phys. Rev. A 1999, 59, 2078–2084. [Google Scholar] [CrossRef]
- Appelt, S.; Ünlü, T.; Zilles, K.; Shah, N.J.; Baer-Lang, S.; Halling, H. Experimental studies of rubidium absolute polarization at high temperatures. Appl. Phys. Lett. 1999, 75, 427–429. [Google Scholar] [CrossRef]
- Walker, T.G. Estimates of spin-exchange parameters for alkali-metal–noble-gas pairs. Phys. Rev. A 1989, 40, 4959–4964. [Google Scholar] [CrossRef] [PubMed]
- Cates, G.D.; Fitzgerald, R.J.; Barton, A.S.; Bogorad, P.; Gatzke, M.; Newbury, N.R.; Saam, B. Rb–129Xe spin-exchange rates due to binary and three-body collisions at high Xe pressures. Phys. Rev. A 1992, 45, 4631–4639. [Google Scholar] [CrossRef] [PubMed]
- Zeng, X.; Wu, Z.; Call, T.; Miron, E.; Schreiber, D.; Happer, W. Experimental determination of the rate constants for spin exchange between optically pumped K, Rb, and Cs atoms and 129Xe nuclei in alkali-metal–noble-gas van der Waals molecules. Phys. Rev. A 1985, 31, 260–278. [Google Scholar] [CrossRef] [PubMed]
- Bouchiat, M.A.; Brossel, J.; Pottier, L.C. Evidence for Rb-Rare-Gas Molecules from the Relaxation of Polarized Rb Atoms in a Rare Gas. Experimental Results. J. Chem. Phys. 1972, 56, 3703–3714. [Google Scholar] [CrossRef]
- Ramsey, N.; Miron, E.; Zeng, X.; Happe, W. Formation and breakup rates of RbXe van der Waals molecules in He and N2 gas. Chem. Phys. Lett. 1983, 102, 340–343. [Google Scholar] [CrossRef]
- Chen, L.; Ren, Y. Rapid 129Xe–Rb spin-exchange rate measurement by using an atomic magnetometer. Appl. Opt. 2020, 59, 3967–3970. [Google Scholar] [CrossRef]
- Song, B.; Wang, Y.; Zhao, N. Spin-polarization dependence of the Rb-Xe spin-exchange optical pumping process. Phys. Rev. A 2021, 104, 23105. [Google Scholar] [CrossRef]
- Bouchiat, C.C.; Bouchiat, M.A.; Pottier, L.C.L. Evidence for Rb-Rare-Gas Molecules from the Relaxation of Polarized Rb Atoms in a Rare Gas. Theory. Phys. Rev. 1969, 181, 144–165. [Google Scholar] [CrossRef]
- Shao, W.; Wang, G.; Hughes, E.W. Measurement of spin-exchange rate constants between Xe129 and alkali metals. Phys. Rev. A At. Mol. Opt. Phys. 2005, 72, 22713. [Google Scholar] [CrossRef]
- Nelson, I.A.; Walker, T.G. Rb-Xe spin relaxation in dilute Xe mixtures. Phys. Rev. A 2001, 65, 12712. [Google Scholar] [CrossRef]
- Wu, Z.; Walker, T.G.; Happer, W. Spin-Rotation Interaction of Noble-Gas Alkali-Metal Atom Pairs. Phys. Rev. Lett. 1985, 54, 1921–1924. [Google Scholar] [CrossRef] [PubMed]
- Bhaskar, N.D.; Happer, W.; McClelland, T. Efficiency of Spin Exchange between Rubidium Spins and 129Xe Nuclei in a Gas. Phys. Rev. Lett. 1982, 49, 25–28. [Google Scholar] [CrossRef]
- Fink, A.; Baumer, D.; Brunner, E. Production of hyperpolarized xenon in a static pump cell: Numerical simulations and experiments. Phys. Rev. A 2005, 72, 53411. [Google Scholar] [CrossRef]
- Ball, J.; Wild, J.M.; Norquay, G. Modelling realistic Rb density and temperature distributions in a high throughput xenon-129 polariser. In Proceedings of the ISMRM 2021—Annual Meeting of the International Society for Magnetic Resonance in Medicine, Online, 15–20 May 2021. [Google Scholar]
- Romalis, M.V.; Miron, E.; Cates, G.D. Pressure broadening of Rb D1 and D2 lines by 3He, 4He, N2, and Xe: Line cores and near wings. Phys. Rev. A At. Mol. Opt. Phys. 1997, 56, 4569–4578. [Google Scholar] [CrossRef]
- Couture, A.H.; Clegg, T.B.; Driehuys, B. Pressure shifts and broadening of the Cs D1 and D2 lines by He, N2, and Xe at densities used for optical pumping and spin exchange polarization. J. Appl. Phys. 2008, 104, 94912. [Google Scholar] [CrossRef]
- Stancik, A.L.; Brauns, E.B. A simple asymmetric lineshape for fitting infrared absorption spectra. Vib. Spectrosc. 2008, 47, 66–69. [Google Scholar] [CrossRef]
- Steck, D. Rubidium 85 D Line Data, Oregon Center for Optics and Department of Physics, University of Oregon. Revision 2.2.3. 2021. Available online: https://steck.us/alkalidata/ (accessed on 9 July 2021).
- Steck, D. Rubidium 87 D Line Data, Oregon Center for Optics and Department of Physics, University of Oregon. Revision 1.6. 2003. Available online: https://steck.us/alkalidata/ (accessed on 14 October 2003).
- Glaser, C.; Karlewski, F.; Kluge, J.; Grimmel, J.; Kaiser, M.; Günther, A.; Hattermann, H.; Krutzik, M.; Fortágh, J. Absolute frequency measurement of rubidium 5S-6P transitions. Phys. Rev. A 2020, 102, 12804. [Google Scholar] [CrossRef]
- Migdalek, J.; Kim, Y.K. Core polarization and oscillator strength ratio anomaly in potassium, rubidium and caesium. J. Phys. B At. Mol. Opt. Phys. 1998, 31, 1947–1960. [Google Scholar] [CrossRef]
- Saha, I.; Nikolaou, P.; Whiting, N.; Goodson, B.M. Characterization of violet emission from Rb optical pumping cells used in laser-polarized xenon NMR experiments. Chem. Phys. Lett. 2006, 428, 268–276. [Google Scholar] [CrossRef]
- Shang, H.; Zhou, B.; Quan, W.; Chi, H.; Fang, J.; Zou, S. Measurement of rubidium vapor number density based on Faraday modulator. J. Phys. D. Appl. Phys. 2022, 55, 335106. [Google Scholar] [CrossRef]
- Fu, Y.Y.; Yuan, J. Intrinsic transverse relaxation mechanisms of polarized alkali atoms enclosed in radio-frequency magnetometer cell*. Chin. Phys. B 2019, 28, 98504. [Google Scholar] [CrossRef]
- Babcock, E.; Chann, B.; Walker, T.G.; Chen, W.C.; Gentile, T.R. Limits to the Polarization for Spin-Exchange Optical Pumping of 3He. Phys. Rev. Lett. 2006, 96, 83003. [Google Scholar] [CrossRef] [PubMed]
- Shah, N.; Ünlü, T.; Wegener, H.P.; Halling, H.; Zilles, K.; Appelt, S. Measurement of rubidium and xenon absolute polarization at high temperatures as a means of improved production of hyperpolarized 129Xe. NMR Biomed. 2000, 13, 214–219. [Google Scholar] [CrossRef] [PubMed]
- Birchall, J.R.; Nikolaou, P.; Coffey, A.M.; Kidd, B.E.; Murphy, M.; Molway, M.; Bales, L.B.; Goodson, B.M.; Irwin, R.K.; Barlow, M.J.; et al. Batch-Mode Clinical-Scale Optical Hyperpolarization of Xenon-129 Using an Aluminum Jacket with Rapid Temperature Ramping. Anal. Chem. 2020, 92, 4309–4316. [Google Scholar] [CrossRef] [PubMed]
- Parnell, S.R.; Woolley, E.B.; Boag, S.; Frost, C.D. Digital pulsed NMR spectrometer for nuclear spin-polarized 3He and other hyperpolarized gases. Meas. Sci. Technol. 2008, 19, 45601. [Google Scholar] [CrossRef]







| Parameter | Description | Equation/Value | Reference |
|---|---|---|---|
| Xe characteristic gas density | [34,35,36] | ||
| N characteristic gas density | [35], with T dependence from [34] | ||
| He characteristic gas density | [37], with T dependence from [34] | ||
| Relative abundance of Rb | 0.7215 | - | |
| Relative abundance of Rb | 0.2785 | - | |
| Binary Xe-Rb spin-exchange cross section | ms (specific values: ms) | [38], [39], [35,40], [41] respectively | |
| k | Molecular chemical equilibrium constant | 244 | [33] |
| Spin-rotation frequency of the Rb electron spin vector S about the rotational angular momentum vector N of the RbXe molecule | (specific values: (109, 121, 130, ) MHz) | [42], [33,43], [43], [36] respectively | |
| x | The Breit-Rabi field parameter | 3.2, 4.1 | [35], [44] respectively |
| Saturation Rb vapor density | m | [22] |
| Parameter | Description | Value | Reference |
|---|---|---|---|
| Absorption oscillator strength for (D) | 0.3422 | [50,51] | |
| Absorption oscillator strength for (D) | 0.6957 | [50,51] | |
| Absorption oscillator strength for | [53] | ||
| Absorption oscillator strength for | [53] | ||
| Internal cell radius | This work | ||
| Probe light beam radius | This work | ||
| l | Path length, defined by Equation (20) | 74 | This work |
| Rb Distribution | (%) | Power Absorbed (W) |
|---|---|---|
| 1 g Rb main body | ||
| 5 g Rb main body | ||
| 2 g Rb presaturator | ||
| 2 g Rb presaturator 1 |
Disclaimer/Publisher’s Note: The statements, opinions and data contained in all publications are solely those of the individual author(s) and contributor(s) and not of MDPI and/or the editor(s). MDPI and/or the editor(s) disclaim responsibility for any injury to people or property resulting from any ideas, methods, instructions or products referred to in the content. |
© 2022 by the authors. Licensee MDPI, Basel, Switzerland. This article is an open access article distributed under the terms and conditions of the Creative Commons Attribution (CC BY) license (https://creativecommons.org/licenses/by/4.0/).
Share and Cite
Ball, J.E.; Wild, J.M.; Norquay, G. Investigating Rubidium Density and Temperature Distributions in a High-Throughput 129Xe-Rb Spin-Exchange Optical Pumping Polarizer. Molecules 2023, 28, 11. https://doi.org/10.3390/molecules28010011
Ball JE, Wild JM, Norquay G. Investigating Rubidium Density and Temperature Distributions in a High-Throughput 129Xe-Rb Spin-Exchange Optical Pumping Polarizer. Molecules. 2023; 28(1):11. https://doi.org/10.3390/molecules28010011
Chicago/Turabian StyleBall, James E., Jim M. Wild, and Graham Norquay. 2023. "Investigating Rubidium Density and Temperature Distributions in a High-Throughput 129Xe-Rb Spin-Exchange Optical Pumping Polarizer" Molecules 28, no. 1: 11. https://doi.org/10.3390/molecules28010011
APA StyleBall, J. E., Wild, J. M., & Norquay, G. (2023). Investigating Rubidium Density and Temperature Distributions in a High-Throughput 129Xe-Rb Spin-Exchange Optical Pumping Polarizer. Molecules, 28(1), 11. https://doi.org/10.3390/molecules28010011

