Effects of Wood Flour (WF) Pretreatment and the Addition of a Toughening Agent on the Properties of FDM 3D-Printed WF/Poly(lactic acid) Biocomposites
Abstract
:1. Introduction
2. Results and Discussion
2.1. Fourier Transform Infrared Spectroscopy
2.2. Melt Index and Relative Die Swell Ratio
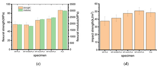
2.3. Mechanical Property
2.4. Thermal Stability
2.5. Dynamic Mechanical Properties
2.6. Water Absorption
3. Experimental
3.1. Materials and Reagents
3.2. Pretreatment of WF
3.3. Production of FDM Filaments
3.4. Specimens Manufacturing
3.5. Mesurement and Characterization
3.5.1. Fourier Transform Infrared Analysis (FTIR) of Wood Flour
3.5.2. Melt Index (MI)
3.5.3. Relative Die Swell Ratio
3.5.4. Determination of Mechanical Properties
3.5.5. Thermogravimetric Analysis (TGA)
3.5.6. Dynamic Mechanical Thermal Analysis (DMTA)
3.5.7. Water Absorption
4. Conclusions
Author Contributions
Funding
Institutional Review Board Statement
Informed Consent Statement
Data Availability Statement
Conflicts of Interest
Sample Availability
References
- Shahar, F.S.; Hameed Sultan, M.T.; Safri, S.N.A.; Jawaid, M.; Abu Talib, A.R.; Basri, A.A.; Shah, A.U. Physical, thermal and tensile behaviour of 3D printed kenaf/PLA to suggest its usability for ankle–foot orthosis—A preliminary study. Rapid Prototyp. J. 2022. ahead-of-print. [Google Scholar] [CrossRef]
- Khorasani, M.; Ghasemi, A.; Rolfe, B.; Gibson, I. Additive manufacturing a powerful tool for the aerospace industry. Rapid Prototyp. J. 2021, 28, 87–100. [Google Scholar] [CrossRef]
- Nadir, A.; Mirko, K.; Jin, H.K.; Manja, K.K. Effect of printing layer thickness on water absorption and mechanical properties of 3D-printed wood/PLA composite. Int. J. Adv. Manuf. Technol. 2019, 102, 2195–2200. [Google Scholar]
- Bi, H.; Ren, Z.; Guo, R.; Xu, M.; Song, Y. Fabrication of flflexible wood flour/ thermoplastic polyurethane elastomer composites using fused deposition molding. Ind. Crop Prod. 2018, 122, 76–84. [Google Scholar] [CrossRef]
- Matsuzaki, R.; Ueda, M.; Namiki, M.; Jeong, T.; Asahara, H.; Horiguchi, K.; Nakamura, T.; Todoroki, A.; Hirano, Y. Three-dimensional printing of continuous-fiber composites by in-nozzle impregnation. Sci. Rep. 2016, 6, 23058. [Google Scholar] [CrossRef]
- Tian, X.; Liu, T.; Yang, C.; Wang, Q.; Li, D. Interface and performance of 3D printed continuous carbon fiber reinforced PLA composites. Compos. Part A 2016, 88, 198–205. [Google Scholar] [CrossRef]
- Lu, W.; William, M.G.; Douglas, J.G. Improving the impact strength of poly(lactic acid) (PLA) in fused layer modeling (FLM). Polymer 2017, 114, 242–248. [Google Scholar]
- Herzog, T.; Schnell, G.; Tille, C.; Seitz, H. Investigation of suitable material and adhesion promoter combinations for fused filament fabrication on flexible silicone build plates. Rapid Prototyp. J. 2022. ahead-of-print. [Google Scholar] [CrossRef]
- Mohammed, A.O.; Mostafa, R.A.A. Investigation of ABS-rice straw composite feedstock filament for FDM. Rapid Prototyp. J. 2018, 24, 1067–1075. [Google Scholar]
- Rashed, K.; Kafi, A.; Simons, R.; Bateman, S. Fused filament fabrication of nylon 6/66 copolymer: Parametric study comparing full factorial and Taguchi design of experiments. Rapid Prototyp. J. 2022. ahead-of-print. [Google Scholar] [CrossRef]
- Singamneni, S.; Smith, D.; LeGuen, M.; Truong, D. Extrusion 3D printing of polybutyrate-adipate-terephthalate-polymer composites in the pellet form. Polymers 2018, 10, 922. [Google Scholar] [CrossRef] [PubMed] [Green Version]
- Zhang, P.; Arceneaux, D.J.; Khattab, A. Mechanical properties of 3D printed polycaprolactone honeycomb structure. J. Appl. Polym. Sci. 2018, 135, 46018. [Google Scholar] [CrossRef]
- Ou-Yang, Q.; Guo, B.; Xu, J. Preparation and characterization of poly(butylene succinate)/ polylactide blends for fused deposition modeling 3D printing. ACS Omega 2018, 3, 14309–14317. [Google Scholar] [CrossRef] [PubMed]
- Le Duigou, A.; Castro, M.; Bevan, R.; Martin, N. 3D printing of wood fibre biocomposites: From mechanical to actuation functionality. Mater. Des. 2016, 96, 106–114. [Google Scholar] [CrossRef]
- Liu, H.; He, H.; Peng, X.; Huang, B.; Li, J. Three-dimensional printing of poly(lactic acid) bio-based composites with sugarcane bagasse fiber:Effect of printing orientation on tensile performance. Polym. Adv. Technol. 2019, 30, 910–922. [Google Scholar] [CrossRef]
- Long, H.; Wu, Z.; Dong, Q.; Shen, Y.; Zhou, W.; Luo, Y.; Zhang, C.; Dong, X. Mechanical and thermal properties of bamboo fiber reinforced polypropylene/polylactic acid composites for 3D printing. Polym. Eng. Sci. 2019, 59, E248–E260. [Google Scholar] [CrossRef]
- Guo, R.; Ren, Z.; Bi, H.; Song, Y.; Xu, M. Effect of toughening agents on the properties of poplar wood flour/poly (lactic acid) composites fabricated with Fused Deposition Modeling. Eur. Polym. J. 2018, 107, 34–45. [Google Scholar] [CrossRef]
- Xie, G.; Zhang, Y.; Lin, W. Platicizer combinations and performance of wood flour-poly(Lactic acid) 3D printing filaments. Bioresource 2017, 12, 6736–6748. [Google Scholar] [CrossRef] [Green Version]
- Nasır, N. Effect of butyric anhydride modification on properties of wood-polylatictic acid 3D printed composites. Bioresources 2022, 17, 132–143. [Google Scholar]
- Zhang, Q.; Cai, H.; Zhang, A.; Lin, X.; Yi, W.; Zhang, J. Effects of lubricant and toughening agent on the fluidity and toughness of poplar powder-reinforced polylactic acid 3D printing materials. Polymers 2018, 10, 932. [Google Scholar] [CrossRef] [Green Version]
- Kumar, A.; Tumu, V.R. Physicochemical properties of the electron beam irradiated bamboo powder and its biocomposites with PLA. Compos. Part B Eng. 2019, 175, 107098. [Google Scholar] [CrossRef]
- Zhou, X.X.; Yu, Y.; Lin, Q.J.; Chen, L.H. Effects of maleic anhydride-grafted polypropylene (MAPP) on the physico-mechanical properties and rheological behavior of bamboo powder-polypropylene foamed composites. Bioresources 2013, 8, 6263–6279. [Google Scholar] [CrossRef]
- Prakash, K.; Chantara, T.; Sivakumar, M. Enhancements in crystallinity, thermal stability, tensile modulus and strength of sisal fifibres and their PP composites induced by the synergistic effects of alkali and high intensity ultrasound (HIU) treatments. Ultrason. Sonochem. 2017, 34, 729–742. [Google Scholar]
- Liang, J. Melt die-swell behavior of polyoxymethylene blended with ethylene-viny acetate copolymer and high-density polyethylene. Polym. Test. 2018, 68, 213–218. [Google Scholar] [CrossRef]
- Petchwattana, N.; Channuan, W.; Naknaen, P.; Narupai, B. 3D printing filaments prepared from modified poly(lactic acid)/teak wood flour composites:An investigation on the particle size effects and silane coupling agent compatibilisation. J. Phys. Sci. 2019, 30, 169–188. [Google Scholar] [CrossRef]
- Yang, Z.; Feng, X.; Xu, M.; Rodrigue, D. Printability and properties of 3D-printed poplar fiber/polylactic acid biocomposite. Bioresources 2021, 16, 2774–2788. [Google Scholar] [CrossRef]
- Dhaka, H.N.; Zhang, Z.Y.; Richardson, M.O.W. Effect of water absorption on the mechanical properties of hemp fibre reinforced unsaturated polyester composites. Compos. Sci. Technol. 2007, 67, 1674–1683. [Google Scholar] [CrossRef]
- Yu, D.; Arvinder, G.; Hitoshi, T.; Hazim, J.H.; Antonio, N.N.; Kin-Tak, L. Polylactic acid (PLA) biocomposites reinforced with coir fibres: Evaluation of mechanical performance and multifunctional properties. Compos. Part A 2014, 63, 76–84. [Google Scholar]
- Zhang, Z.-G.; Song, R.-H.; Hu, G.-L.; Sun, Y.-Y. Thermal stability and degradation of poly (lactic acid)/Hexamoll® DINCH/montmorillonite composites. Bioresources 2014, 9, 4821–4833. [Google Scholar] [CrossRef] [Green Version]
- Chen, Y.; Guo, X.; Peng, Y.; Cao, J. Water absorption and mold susceptibility of wood flour/polypropylene composites modified with silane-wax emulsions. Polym. Compos. 2017, 40, 141–148. [Google Scholar] [CrossRef] [Green Version]
- Sreekumar, P.A.; Thomas, S.P.; Saiter, J.; Joseph, K.; Unnikrishnan, G.; Thomas, S. Effect of fiber surface modification on the mechanical and water absorption characteristics of sisal/polyester composites fabricated by resin transfer molding. Compos. Part A 2009, 40, 1777–1784. [Google Scholar] [CrossRef]
- Yashas Gowda, T.G.; Sanjay, M.R.; Subrahmanya Bhat, K.; Madhu, P.; Senthamaraikannan, P.; Yogesha, B. Polymer matrix-natural fiber composites: An Overview. Cogent Eng. 2018, 5, 1446667. [Google Scholar] [CrossRef]
- Gholampour, A.; Ozbakkaloglu, T. A Review of natural fiber composites: Properties, modification and processing techniques, characterization, applications. J. Mater. Sci. 2020, 55, 829–892. [Google Scholar] [CrossRef]
- Mohebby, B.; Hadjihassani, R. Moisture repellent effect of acetylation on poplar fibers. J. Agric. Sci. Technol. 2008, 10, 157–163. [Google Scholar]
- Caroline, A.M.; Maurice, N.C. Microcrystalline cellulose reinforced polylactic acid biocomposite filaments for 3D printing. Polym. Compos. 2018, 39, 1311–1320. [Google Scholar]







| Specimen | Ti/°C | TP/°C | Weight Residue at 600 °C/% |
|---|---|---|---|
| WF/PLA | 307.8 | 356.1 | 0.46 |
| WF-KH550/PLA | 314.2 | 355.6 | 0.54 |
| WF-Ac2O/PLA | 321.8 | 360.0 | 0.55 |
| WF-ACR/PLA | 319.4 | 357.8 | 0.58 |
| PLA | 334.5 | 375.8 | 0.19 |
| Specimen | WF/PLA | WF-KH550/PLA | WF-Ac2O/PLA | WF-ACR/PLA |
|---|---|---|---|---|
| Tg | 68.20 | 69.22 | 70.70 | 68.95 |
| Parameter | Temperature of Zone I/°C | Temperature of Zone II/°C | Temperature of Zone III/°C | Temperature of Zone IV/°C | Rotating Speed /(r/min) |
|---|---|---|---|---|---|
| value | 160 | 170 | 165 | 155 | 75 |
| Parameter | Layer Thickness /mm | Temperature of Nozzle /°C | Temperature of Bed /°C | Printing Speed/ mm/s | Printing Angle /° |
|---|---|---|---|---|---|
| value | 0.2 | 220 | 55 | 40 | 0 |
Publisher’s Note: MDPI stays neutral with regard to jurisdictional claims in published maps and institutional affiliations. |
© 2022 by the authors. Licensee MDPI, Basel, Switzerland. This article is an open access article distributed under the terms and conditions of the Creative Commons Attribution (CC BY) license (https://creativecommons.org/licenses/by/4.0/).
Share and Cite
Yu, W.; Li, M.; Lei, W.; Pu, Y.; Sun, K.; Ma, Y. Effects of Wood Flour (WF) Pretreatment and the Addition of a Toughening Agent on the Properties of FDM 3D-Printed WF/Poly(lactic acid) Biocomposites. Molecules 2022, 27, 2985. https://doi.org/10.3390/molecules27092985
Yu W, Li M, Lei W, Pu Y, Sun K, Ma Y. Effects of Wood Flour (WF) Pretreatment and the Addition of a Toughening Agent on the Properties of FDM 3D-Printed WF/Poly(lactic acid) Biocomposites. Molecules. 2022; 27(9):2985. https://doi.org/10.3390/molecules27092985
Chicago/Turabian StyleYu, Wangwang, Mengqian Li, Wen Lei, Yongzhe Pu, Kangjun Sun, and Yilong Ma. 2022. "Effects of Wood Flour (WF) Pretreatment and the Addition of a Toughening Agent on the Properties of FDM 3D-Printed WF/Poly(lactic acid) Biocomposites" Molecules 27, no. 9: 2985. https://doi.org/10.3390/molecules27092985
APA StyleYu, W., Li, M., Lei, W., Pu, Y., Sun, K., & Ma, Y. (2022). Effects of Wood Flour (WF) Pretreatment and the Addition of a Toughening Agent on the Properties of FDM 3D-Printed WF/Poly(lactic acid) Biocomposites. Molecules, 27(9), 2985. https://doi.org/10.3390/molecules27092985

