Direct Quantitation of Phytocannabinoids by One-Dimensional 1H qNMR and Two-Dimensional 1H-1H COSY qNMR in Complex Natural Mixtures
Abstract
1. Introduction
2. Results
2.1. 1H-NMR Peak Assignment
2.2. Cannabinoid Varins
2.3. 1H-1H COSY qNMR
2.3.1. The 1H-1H COSY qNMR Method
2.3.2. 1H-1H COSY NMR Spectrum Peak Correlations Assignment
2.4. Chemical Analysis
2.5. Comparison of the Two Methods
2.6. Method Validation
3. Discussion
4. Materials and Methods
4.1. Reagents and Cannabinoid Samples
4.2. 1H-NMR Quantitation
4.3. 1H-1H COSY qNMR Method
4.3.1. 1H-1H COSY qNMR Quantitation
4.3.2. Calibration Curves for 1H-1H COSY qNMR
4.4. Chemical Analysis
4.4.1. Plant Extraction and Chemical Analysis of Plant Material
4.4.2. Chemical Analysis of Cannabis Extracts
4.4.3. Chemical Analysis of Cannabinoid Oils
4.4.4. Chemical Analysis of Cosmetic Products with Cannabinoids
4.5. Method Validation
Supplementary Materials
Author Contributions
Funding
Institutional Review Board Statement
Data Availability Statement
Acknowledgments
Conflicts of Interest
References
- Solymosi, K.; Köfalvi, A. Cannabis: A Treasure Trove or Pandora’s Box? Mini-Rev. Med. Chem. 2017, 17, 1223–1291. [Google Scholar] [CrossRef]
- Citti, C.; Braghiroli, D.; Vandelli, M.A.; Cannazza, G. Pharmaceutical and Biomedical Analysis of Cannabinoids: A Critical Review. J. Pharm. Biomed. Anal. 2018, 147, 565–579. [Google Scholar] [CrossRef]
- Morales, P.; Hurst, D.P.; Reggio, P.H. Molecular Targets of the Phytocannabinoids: Unraveling the Complex Chemistry and Pharmacology of Cannabis Sativa. In Progress in the Chemistry of Organic Natural Products; Kinghorn, A.D., Falk, H., Gibbons, S., Kobayashi, J., Eds.; Springer International Publishing: Cham, Switzerland, 2017; ISBN 978-3-319-45539-6. [Google Scholar]
- Aizpurua-Olaizola, O.; Omar, J.; Navarro, P.; Olivares, M.; Etxebarria, N.; Usobiaga, A. Identification and Quantification of Cannabinoids in Cannabis Sativa L. Plants by High Performance Liquid Chromatography-Mass Spectrometry. Anal. Bioanal. Chem. 2014, 406, 7549–7560. [Google Scholar] [CrossRef]
- Brighenti, V.; Pellati, F.; Steinbach, M.; Maran, D.; Benvenuti, S. Development of a New Extraction Technique and HPLC Method for the Analysis of Non-Psychoactive Cannabinoids in Fibre-Type Cannabis Sativa L. (Hemp). J. Pharm. Biomed. Anal. 2017, 143, 228–236. [Google Scholar] [CrossRef]
- Calvi, L.; Pentimalli, D.; Panseri, S.; Giupponi, L.; Gelmini, F.; Beretta, G.; Vitali, D.; Bruno, M.; Zilio, E.; Pavlovic, R.; et al. Comprehensive Quality Evaluation of Medical Cannabis Sativa L. Inflorescence and Macerated Oils Based on HS-SPME Coupled to GC–MS and LC-HRMS (q-Exactive Orbitrap®) Approach. J. Pharm. Biomed. Anal. 2018, 150, 208–219. [Google Scholar] [CrossRef]
- Cardenia, V.; Toschi, T.G.; Scappini, S.; Rubino, R.C.; Rodriguez-Estrada, M.T. Development and Validation of a Fast Gas Chromatography/Mass Spectrometry Method for the Determination of Cannabinoids in Cannabis Sativa L. J. Food Drug Anal. 2018, 26, 1283–1292. [Google Scholar] [CrossRef]
- Ciolino, L.A.; Ranieri, T.L.; Taylor, A.M. Commercial Cannabis Consumer Products Part 2: HPLC-DAD Quantitative Analysis of Cannabis Cannabinoids. Forensic Sci. Int. 2018, 289, 438–447. [Google Scholar] [CrossRef]
- De Backer, B.; Debrus, B.; Lebrun, P.; Theunis, L.; Dubois, N.; Decock, L.; Verstraete, A.; Hubert, P.; Charlier, C. Innovative Development and Validation of an HPLC/DAD Method for the Qualitative and Quantitative Determination of Major Cannabinoids in Cannabis Plant Material. J. Chromatogr. B 2009, 877, 4115–4124. [Google Scholar] [CrossRef]
- Delgado-Povedano, M.M.; Sánchez-Carnerero Callado, C.; Priego-Capote, F.; Ferreiro-Vera, C. Untargeted Characterization of Extracts from Cannabis Sativa L. Cultivars by Gas and Liquid Chromatography Coupled to Mass Spectrometry in High Resolution Mode. Talanta 2020, 208, 120384. [Google Scholar] [CrossRef]
- Ferioli, V.; Rustichelli, C.; Pavesi, G.; Gamberini, G. Analytical Characterisation of Hashish Samples. Chromatographia 2000, 52, 39–44. [Google Scholar] [CrossRef]
- Galettis, P.; Williams, M.; Gordon, R.; Martin, J.H. A Simple Isocratic HPLC Method for the Quantitation of 17 Cannabinoids. Aust. J. Chem. 2021, 74, 453–462. [Google Scholar] [CrossRef]
- Giese, M.W.; Lewis, M.A.; Giese, L.; Smith, K.M. Method for the Analysis of Cannabinoids and Terpenes in Cannabis. J. AOAC Int. 2015, 98, 1503–1522. [Google Scholar] [CrossRef]
- Hazekamp, A.; Fischedick, J.T. Cannabis—From Cultivar to Chemovar. Drug Test. Anal. 2012, 4, 660–667. [Google Scholar] [CrossRef]
- Ilias, Y.; Rudaz, S.; Mathieu, P.; Christen, P.; Veuthey, J.-L. Extraction and Analysis of Different Cannabis Samples by Headspace Solid-Phase Microextraction Combined with Gas Chromatography-Mass Spectrometry. J. Sep. Sci. 2005, 28, 2293–2300. [Google Scholar] [CrossRef]
- Namdar, D.; Mazuz, M.; Ion, A.; Koltai, H. Variation in the Compositions of Cannabinoid and Terpenoids in Cannabis Sativa Derived from Inflorescence Position along the Stem and Extraction Methods. Ind. Crops Prod. 2018, 113, 376–382. [Google Scholar] [CrossRef]
- Pellegrini, M.; Marchei, E.; Pacifici, R.; Pichini, S. A Rapid and Simple Procedure for the Determination of Cannabinoids in Hemp Food Products by Gas Chromatography-Mass Spectrometry. J. Pharm. Biomed. Anal. 2005, 36, 939–946. [Google Scholar] [CrossRef]
- Ramirez, C.L.; Fanovich, M.A.; Churio, M.S. Chapter 4—Cannabinoids: Extraction Methods, Analysis, and Physicochemical Characterization. In Studies in Natural Products Chemistry; Atta-ur, R., Ed.; Elsevier: Amsterdam, The Netherlands, 2019; Volume 61, pp. 143–173. [Google Scholar]
- Slosse, A.; Van Durme, F.; Samyn, N.; Mangelings, D.; Vander Heyden, Y. Evaluation of Data Preprocessings for the Comparison of GC–MS Chemical Profiles of Seized Cannabis Samples. Forensic Sci. Int. 2020, 310, 110228. [Google Scholar] [CrossRef]
- Stefanidou, M.; Athanaselis, S.; Alevisopoulos, G.; Papoutsis, J.; Koutselinis, A. Δ9-Tetrahydrocannabinol Content in Cannabis Plants of Greek Origin. Chem. Pharm. Bull. 2000, 48, 743–745. [Google Scholar] [CrossRef][Green Version]
- Ternelli, M.; Brighenti, V.; Anceschi, L.; Poto, M.; Bertelli, D.; Licata, M.; Pellati, F. Innovative Methods for the Preparation of Medical Cannabis Oils with a High Content of Both Cannabinoids and Terpenes. J. Pharm. Biomed. Anal. 2020, 186, 113296. [Google Scholar] [CrossRef]
- Aizpurua-Olaizola, O.; Soydaner, U.; Öztürk, E.; Schibano, D.; Simsir, Y.; Navarro, P.; Etxebarria, N.; Usobiaga, A. Evolution of the Cannabinoid and Terpene Content during the Growth of Cannabis Sativa Plants from Different Chemotypes. J. Nat. Prod. 2016, 79, 324–331. [Google Scholar] [CrossRef]
- Lazarjani, M.P.; Torres, S.; Hooker, T.; Fowlie, C.; Young, O.; Seyfoddin, A. Methods for Quantification of Cannabinoids: A Narrative Review. J. Cannabis Res. 2020, 2, 35. [Google Scholar] [CrossRef]
- Micalizzi, G.; Vento, F.; Alibrando, F.; Donnarumma, D.; Dugo, P.; Mondello, L. Cannabis Sativa L.: A Comprehensive Review on the Analytical Methodologies for Cannabinoids and Terpenes Characterization. J. Chromatogr. A 2021, 1637, 461864. [Google Scholar] [CrossRef]
- Hazekamp, A.; Simons, R.; Peltenburg-Looman, A.; Sengers, M.; van Zweden, R.; Verpoorte, R. Preparative Isolation of Cannabinoids from Cannabis Sativa by Centrifugal Partition Chromatography. J. Liq. Chromatogr. Relat. Technol. 2004, 27, 2421–2439. [Google Scholar] [CrossRef]
- Barthlott, I.; Scharinger, A.; Golombek, P.; Kuballa, T.; Lachenmeier, D.W. A Quantitative 1H NMR Method for Screening Cannabinoids in CBD Oils. Toxics 2021, 9, 136. [Google Scholar] [CrossRef]
- Siciliano, C.; Bartella, L.; Mazzotti, F.; Aiello, D.; Napoli, A.; Luca, P.D.; Temperini, A. 1H NMR Quantification of Cannabidiol (CBD) in Industrial Products Derived from Cannabis Sativa L. (Hemp) Seeds. IOP Conf. Ser. Mater. Sci. Eng. 2019, 572, 012010. [Google Scholar] [CrossRef]
- Ioannidis, K.; Melliou, E.; Alizoti, P.; Magiatis, P. Identification of Black Pine (Pinus Nigra Arn.) Heartwood as a Rich Source of Bioactive Stilbenes by QNMR. J. Sci. Food Agric. 2017, 97, 1708–1716. [Google Scholar] [CrossRef]
- Karkoula, E.; Skantzari, A.; Melliou, E.; Magiatis, P. Direct Measurement of Oleocanthal and Oleacein Levels in Olive Oil by Quantitative 1H NMR. Establishment of a New Index for the Characterization of Extra Virgin Olive Oils. J. Agric. Food Chem. 2012, 60, 11696–11703. [Google Scholar] [CrossRef]
- Simmler, C.; Napolitano, J.G.; McAlpine, J.B.; Chen, S.-N.; Pauli, G.F. Universal Quantitative NMR Analysis of Complex Natural Samples. Curr. Opin. Biotechnol. 2014, 25, 51–59. [Google Scholar] [CrossRef]
- Singh, S.; Roy, R. The Application of Absolute Quantitative 1H NMR Spectroscopy in Drug Discovery and Development. Expert Opin. Drug Discov. 2016, 11, 695–706. [Google Scholar] [CrossRef]
- Tsirivakou, A.; Melliou, E.; Magiatis, P. A Method for the Rapid Measurement of Alkylresorcinols in Flour, Bread and Related Products Based on 1H QNMR. Foods 2020, 9, 1025. [Google Scholar] [CrossRef]
- Brighenti, V.; Marchetti, L.; Anceschi, L.; Protti, M.; Verri, P.; Pollastro, F.; Mercolini, L.; Bertelli, D.; Zanardi, C.; Pellati, F. Separation and Non-Separation Methods for the Analysis of Cannabinoids in Cannabis Sativa L. J. Pharm. Biomed. Anal. 2021, 206, 114346. [Google Scholar] [CrossRef]
- Hazekamp, A.; Choi, Y.H.; Verpoorte, R. Quantitative Analysis of Cannabinoids from Cannabis Sativa Using 1H-NMR. Chem. Pharm. Bull. 2004, 52, 718–721. [Google Scholar] [CrossRef]
- Ioannidis, K.; Dadiotis, E.; Mitsis, V.; Melliou, E.; Magiatis, P. Biotechnological Approaches on Two High CBD and CBG Cannabis Sativa L. (Cannabaceae) Varieties: In Vitro Regeneration and Phytochemical Consistency Evaluation of Micropropagated Plants Using Quantitative 1H-NMR. Molecules 2020, 25, 5928. [Google Scholar] [CrossRef]
- Marchetti, L.; Brighenti, V.; Rossi, M.C.; Sperlea, J.; Pellati, F.; Bertelli, D. Use of 13C-QNMR Spectroscopy for the Analysis of Non-Psychoactive Cannabinoids in Fibre-Type Cannabis Sativa L. (Hemp). Molecules 2019, 24, 1138. [Google Scholar] [CrossRef]
- Dufour, G.; Evrard, B.; de Tullio, P. 2D-Cosy NMR Spectroscopy as a Quantitative Tool in Biological Matrix: Application to Cyclodextrins. AAPS J. 2015, 17, 1501–1510. [Google Scholar] [CrossRef]
- Czégény, Z.; Nagy, G.; Babinszki, B.; Bajtel, Á.; Sebestyén, Z.; Kiss, T.; Csupor-Löffler, B.; Tóth, B.; Csupor, D. CBD, a Precursor of THC in e-Cigarettes. Sci. Rep. 2021, 11, 8951. [Google Scholar] [CrossRef]
- Morales, P.; Hurst, D.P.; Reggio, P.H. Molecular Targets of the Phytocannabinoids-A Complex Picture. Prog. Chem. Org. Nat. Prod. 2017, 103, 103–131. [Google Scholar] [CrossRef]
- Dayrit, F.M.; Dios, A.C.d. 1H and 13C NMR for the Profiling of Natural Product Extracts: Theory and Applications; IntechOpen: London, UK, 2017; ISBN 978-953-51-3628-6. [Google Scholar]
- Bharti, S.K.; Roy, R. Quantitative 1H NMR Spectroscopy. TrAC Trends Anal. Chem. 2012, 35, 5–26. [Google Scholar] [CrossRef]
- Wang, Z.-F.; You, Y.-L.; Li, F.-F.; Kong, W.-R.; Wang, S.-Q. Research Progress of NMR in Natural Product Quantification. Molecules 2021, 26, 6308. [Google Scholar] [CrossRef]
- Çiçek, S.S.; Esposito, T.; Girreser, U. Prediction of the Sweetening Effect of Siraitia Grosvenorii (Luo Han Guo) Fruits by Two-Dimensional Quantitative NMR. Food Chem. 2021, 335, 127622. [Google Scholar] [CrossRef]
- Le, P.M.; Milande, C.; Martineau, E.; Giraudeau, P.; Farjon, J. Quantification of Natural Products in Herbal Supplements: A Combined NMR Approach Applied on Goldenseal. J. Pharm. Biomed. Anal. 2019, 165, 155–161. [Google Scholar] [CrossRef]
- Jézéquel, T.; Deborde, C.; Maucourt, M.; Zhendre, V.; Moing, A.; Giraudeau, P. Absolute Quantification of Metabolites in Tomato Fruit Extracts by Fast 2D NMR. Metabolomics 2015, 11, 1231–1242. [Google Scholar] [CrossRef]
- UNODC. Recommended Methods for the Identification and Analysis of Cannabis and Cannabis Products. Available online: //www.unodc.org/unodc/en/scientists/recommended-methods-for-the-identification-and-analysis-of-cannabis-and-cannabis-products.html (accessed on 3 April 2020).





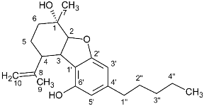
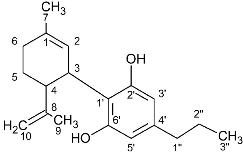
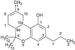
| Cannabinoid | Structure | Proton | δ (ppm) |
|---|---|---|---|
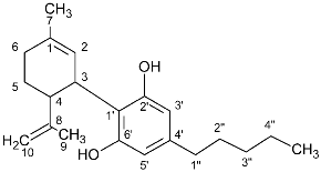
| CBD | ![]() | H-10 trans H-10 cis H-2 | 4.66 4.56 5.56 |
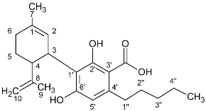
| CBDA | ![]() | H-5′ H-10 trans H-10 cis H-2 | 6.27 4.56 4.40 5.56 |
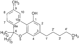
| CBG | ![]() | H-2/H-4 H-1′a/H-1′b | 6.26 3.41 |
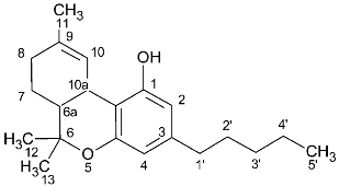
| CBGA | ![]() | H-4 H-1′a/H-1′b | 6.29 3.45 |
| CBC | ![]() | H-1′ H-2′ | 6.61 5.50 |
| CBCA | ![]() | H-1′ H-2′ | 6.73 5.48 |
| CBN | ![]() | H-4 H-10 | 6.44 8.18 |
| Δ8-THC | ![]() | H-2 H-4 H-8 H-10a | 6.11 6.27 5.43 3.19 |
| Δ9-THC | ![]() | H-2 H-4 H-10 H-10a | 6.14 6.28 6.32 3.21 |
| Δ9-THCA | ![]() | H-4 H-10 H-10a | 6.28 6.40 3.24 |
| CBE | ![]() | H-2 H-3′ H-5′ | 4.11 6.30 6.27 |
| Cannabinoid | Structure | Proton | δ (ppm) |
|---|---|---|---|
| CBDV | ![]() | H-10 trans H-10 cis | 4.61 4.52 |
| CBDVA | ![]() | H-10 trans H-10 cis | 4.50 4.38 |
| Δ9-THCVA | ![]() | H-4 H-10a | 6.20 3.21 |
| CBGV | ![]() | H-1′ H-2′ | 3.41 5.27 |
| Δ8-THCV | ![]() | H-2 H-8 | 6.11 5.45 |
| Cannabinoids | Correlations (H-H) | Chemical Shift (δ) | Equation | R2 |
|---|---|---|---|---|
| CBD | H-10 trans/H-9 | 4.66 ppm/1.66 ppm | CCB = 0.0849 × ICB + 0.0448 | 0.9993 |
| CBDA | H-10 trans/H-10 cis | 4.56 ppm/4.40 ppm | CCB = 0.1696 × ICB + 0.0163 | 0.9993 |
| CBG & CBGA | H-2′/H-1′ | 5.31 ppm/3.42 ppm | CCB = 0.0089 × ICB − 0.0798 | 0.9995 |
| CBN | H-10/H-8 | 8.18 ppm/7.07 ppm | CCB = 0.19 × ICB = 0.1554 | 0.9993 |
| THCA & THC | H-10a/H-6a | 3.25 ppm/1.68 ppm | CCB = 0.0089 × ICB + 0.0305 | 0.9998 |
| Tyrosol (IS) | H-3, H-2/H-5, H-6 | 7.11 ppm/6.80 ppm |
| Sample | CBD (I) | CBD % | CBDA (I) | CBDA % | CBD&CBDA % | CBG&CBGA (I) | CBG&CBGA % | |
|---|---|---|---|---|---|---|---|---|
| 1H-NMR | R1N135 | 0.33 | 0.28 | 4.91 | 4.75 | 5.03 | 0.77 | 0.75 |
| COSY NMR | R1N135 | 2.33 | 0.26 | 28.65 | 4.87 | 5.12 | 88.74 | 0.71 |
| % Relative difference | 7.69% | 2.52% | 5.63% | |||||
| 1H-NMR | R4N120 | 0.21 | 0.18 | 3.77 | 3.65 | 3.83 | 0.28 | 0.27 |
| COSY NMR | R4N120 | ND | ND | 21.62 | 3.68 | 3.68 | 31.04 | 0.26 |
| % Relative difference | 0.82% | 4.97% | 3.84% | |||||
| 1H-NMR | R3N110 | ND | ND | ND | ND | ND | 3.28 | 3.19 |
| COSY NMR | R3N110 | ND | ND | ND | ND | ND | 347.33 | 3.01 |
| % Relative differene | 5.98% | |||||||
Publisher’s Note: MDPI stays neutral with regard to jurisdictional claims in published maps and institutional affiliations. |
© 2022 by the authors. Licensee MDPI, Basel, Switzerland. This article is an open access article distributed under the terms and conditions of the Creative Commons Attribution (CC BY) license (https://creativecommons.org/licenses/by/4.0/).
Share and Cite
Dadiotis, E.; Mitsis, V.; Melliou, E.; Magiatis, P. Direct Quantitation of Phytocannabinoids by One-Dimensional 1H qNMR and Two-Dimensional 1H-1H COSY qNMR in Complex Natural Mixtures. Molecules 2022, 27, 2965. https://doi.org/10.3390/molecules27092965
Dadiotis E, Mitsis V, Melliou E, Magiatis P. Direct Quantitation of Phytocannabinoids by One-Dimensional 1H qNMR and Two-Dimensional 1H-1H COSY qNMR in Complex Natural Mixtures. Molecules. 2022; 27(9):2965. https://doi.org/10.3390/molecules27092965
Chicago/Turabian StyleDadiotis, Evangelos, Vangelis Mitsis, Eleni Melliou, and Prokopios Magiatis. 2022. "Direct Quantitation of Phytocannabinoids by One-Dimensional 1H qNMR and Two-Dimensional 1H-1H COSY qNMR in Complex Natural Mixtures" Molecules 27, no. 9: 2965. https://doi.org/10.3390/molecules27092965
APA StyleDadiotis, E., Mitsis, V., Melliou, E., & Magiatis, P. (2022). Direct Quantitation of Phytocannabinoids by One-Dimensional 1H qNMR and Two-Dimensional 1H-1H COSY qNMR in Complex Natural Mixtures. Molecules, 27(9), 2965. https://doi.org/10.3390/molecules27092965

















