Clarifying the Use of Benzylidene Protecting Group for D-(+)-Ribono-1,4-Lactone, an Essential Building Block in the Synthesis of C-Nucleosides
Abstract
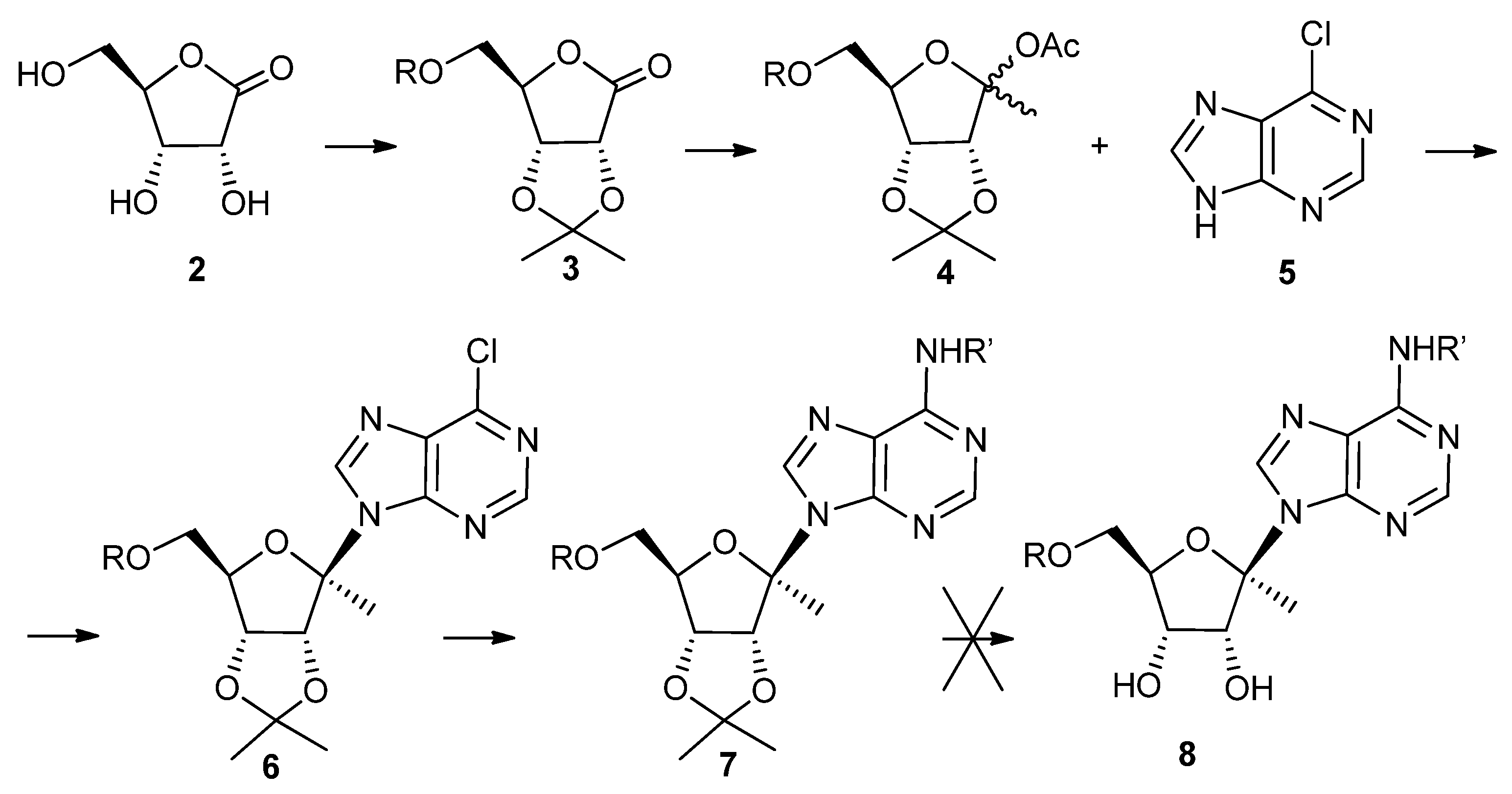
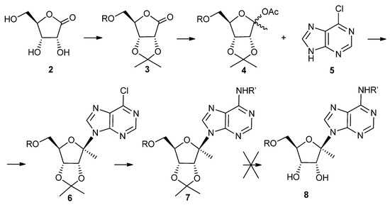
:1. Introduction
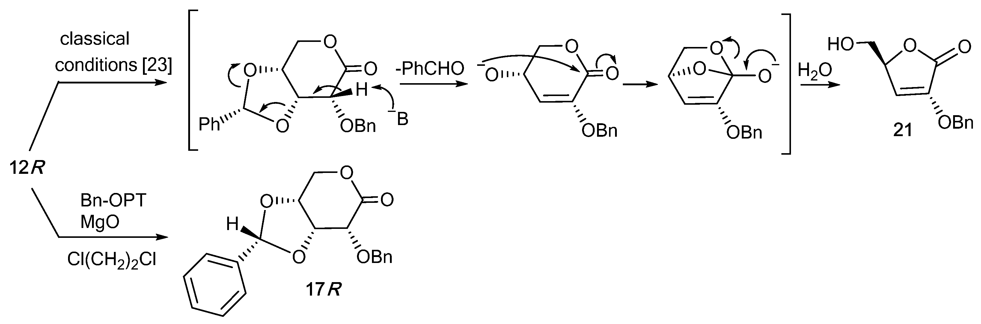
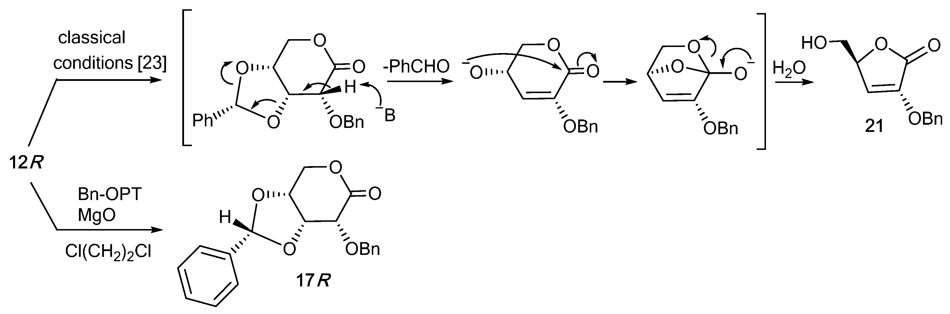
2. Results and Discussion
2.1. Syntheses and NMR Studies
2.2. Computational Studies
3. Material and Methods
3.1. Chemistry
3.2. NMR Analysis
3.3. Computational Procedures
3.4. 3,4-O-(R)-Benzylidene-D-Ribono-1,5 Lactone (12R)
3.5. 2,3-O-(R)-Benzylidene-D-Ribono-1,4-Lactone (11R) and 2,3-O-(S)-Benzylidene-D-Ribono-1,4-Lactone (11S)
3.6. General Procedure for the Acetylation
3.7. General Procedure for the Silylation
3.8. General Procedure for the Benzylation
3.9. 2-O-Benzyl-3,4-O-(R)-Benzylidene-D-Ribono-1,5-Lactone (17R)
4. Conclusions
Supplementary Materials
Author Contributions
Funding
Institutional Review Board Statement
Informed Consent Statement
Data Availability Statement
Acknowledgments
Conflicts of Interest
Sample Availability
References
- Lin, X.; Liang, C.; Zou, L.; Yin, Y.; Wang, J.; Chen, D.; Lan, W. Advance of structural modification of nucleosides scaffold. Eur. J. Med. Chem. 2021, 214, 113233. [Google Scholar] [CrossRef] [PubMed]
- Zhu, Y.; Li, J.; Pang, Z. Recent insights for the emerging COVID-19: Drug discovery, therapeutic options and vaccine development. Asian J. Pharm. Sci. 2021, 16, 4–23. [Google Scholar] [CrossRef]
- Debing, Y.; Emerson, S.U.; Wang, Y.; Pan, Q.; Balzarini, J.; Dallmeier, K.; Neyts, J. Ribavirin inhibits in vitro hepatitis E virus replication through depletion of cellular GTP pools and is moderately synergistic with alpha interferon. Antimicrob. Agents Chemother. 2014, 58, 267–273. [Google Scholar] [CrossRef] [Green Version]
- Lo, M.K.; Feldmann, F.; Gary, J.M.; Jordan, R.; Bannister, R.; Cronin, J.; Patel, N.R.; Klena, J.D.; Nichol, S.T.; Cihlar, T.; et al. Remdesivir (GS-5734) protects African green monkeys from Nipah virus challenge. Sci. Transl. Med. 2019, 11, 494. [Google Scholar] [CrossRef]
- Tchesnokov, E.P.; Feng, J.Y.; Porter, D.P.; Götte, M. Mechanism of Inhibition of Ebola Virus RNA-Dependent RNA Polymerase by Remdesivir. Viruses 2019, 11, 326. [Google Scholar] [CrossRef] [Green Version]
- Sheahan, T.P.; Sims, A.C.; Leist, S.R.; Schäfer, A.; Won, J.; Brown, A.J.; Montgomery, S.A.; Hogg, A.; Babusis, D.; Clarke, M.O.; et al. Comparative therapeutic efficacy of remdesivir and combination lopinavir, ritonavir, and interferon beta against MERS-CoV. Nat. Commun. 2020, 11, 222. [Google Scholar] [CrossRef] [Green Version]
- Wang, M.; Cao, R.; Zhang, L.; Yang, X.; Liu, J.; Xu, M.; Shi, Z.; Hu, Z.; Zhong, W.; Xiao, G. Remdesivir and chloroquine effectively inhibit the recently emerged novel coronavirus (2019-nCoV) in vitro. Cell Res. 2020, 30, 269–271. [Google Scholar] [CrossRef]
- Warren, T.K.; Jordan, R.; Lo, M.K.; Ray, A.S.; Mackman, R.L.; Soloveva, V.; Siegel, D.; Perron, M.; Bannister, R.; Hui, H.C.; et al. Therapeutic efficacy of the small molecule GS-5734 against Ebola virus in rhesus monkeys. Nature 2016, 531, 381–385. [Google Scholar] [CrossRef]
- Stambaský, J.; Hocek, M.; Kocovský, P. C-nucleosides: Synthetic strategies and biological applications. Chem. Rev. 2009, 109, 6729–6764. [Google Scholar] [CrossRef]
- Siegel, D.; Hui, H.C.; Doerffler, E.; Clarke, M.O.; Chun, K.; Zhang, L.; Neville, S.; Carra, E.; Lew, W.; Ross, B.; et al. Discovery and Synthesis of a Phosphoramidate Prodrug of a Pyrrolo2,1-ftriazin-4-amino Adenine C-Nucleoside (GS-5734) for the Treatment of Ebola and Emerging Viruses. J. Med. Chem. 2017, 60, 1648–1661. [Google Scholar] [CrossRef] [Green Version]
- Cho, A.; Saunders, O.L.; Butler, T.; Zhang, L.; Xu, J.; Vela, J.E.; Feng, J.Y.; Ray, A.S.; Kim, C.U. Synthesis and antiviral activity of a series of 1’-substituted 4-aza-7,9-dideazaadenosine C-nucleosides. Bioorg. Med. Chem. Lett. 2012, 22, 2705–2707. [Google Scholar] [CrossRef] [PubMed]
- Metobo, S.E.; Xu, J.; Saunders, O.L.; Butler, T.; Aktoudianakis, E.; Cho, A.; Kim, C.U. Practical synthesis of 1′-substituted Tubercidin C-nucleoside analogs. Tetrahedron Lett. 2012, 53, 484–486. [Google Scholar] [CrossRef]
- Hamon, N.; Uttaro, J.-P.; Mathé, C.; Périgaud, C. Synthesis of the natural enantiomer of neplanocin B. Bioorg. Chem. 2010, 38, 275–278. [Google Scholar] [CrossRef] [PubMed]
- Karlubíková, O.; Palík, M.; Lásiková, A.; Gracza, T. An Efficient Total Synthesis of (+)-Varitriol from d-Ribonolactone. Synthesis 2010, 2010, 3449–3452. [Google Scholar] [CrossRef]
- Kubelka, T.; Slavětínská, L.; Hocek, M. Synthesis of Substituted Benzyl Homo-C-Ribonucleosides and -Nucleotides as Carba Analogues of Phosphoribosylanthranilate. Eur. J. Org. Chem. 2012, 2012, 4969–4981. [Google Scholar] [CrossRef]
- Stefko, M.; Slavetínská, L.; Klepetárová, B.; Hocek, M. A general and efficient synthesis of pyridin-2-yl C-ribonucleosides bearing diverse alkyl, aryl, amino, and carbamoyl groups in position 6. J. Org. Chem. 2010, 75, 442–449. [Google Scholar] [CrossRef]
- Ciuffreda, P.; Buzzi, B.; Alessandrini, L.; Santaniello, E. Activity of Adenosine Deaminase (ADA) and Adenylate Deaminase (AMPDA) Towards 6-Chloropurine Nucleosides Modified in the Ribose Moiety. Eur. J. Org. Chem. 2004, 2004, 4405–4409. [Google Scholar] [CrossRef]
- Ciuffreda, P.; Alessandrini, L.; Santaniello, E. 2′,3′-isopropylidene group, a molecular scaffold to study the activity of adenosine and adenylate deaminase on adenosine analogues modified in the ribose moiety. Nucleosides Nucleotides Nucleic Acids 2007, 26, 1311–1313. [Google Scholar] [CrossRef] [PubMed]
- Wuts, P.G.M.; Greene, T.W. Chapter 2: Protection on 1,2 and 1,3 diols. In Greene’s Protective Groups in Organic Synthesis, 4th ed.; Wiley: Hoboken, NJ, USA, 2006; ISBN 978-0-470-05348-5. [Google Scholar]
- Cappellacci, L.; Barboni, G.; Palmieri, M.; Pasqualini, M.; Grifantini, M.; Costa, B.; Martini, C.; Franchetti, P. Ribose-modified nucleosides as ligands for adenosine receptors: Synthesis, conformational analysis, and biological evaluation of 1’-C-methyl adenosine analogues. J. Med. Chem. 2002, 45, 1196–1202. [Google Scholar] [CrossRef] [PubMed]
- Cappellacci, L.; Franchetti, P.; Vita, P.; Petrelli, R.; Lavecchia, A.; Jayaram, H.N.; Saiko, P.; Graser, G.; Szekeres, T.; Grifantini, M. Ribose-modified purine nucleosides as ribonucleotide reductase inhibitors. Synthesis, antitumor activity, and molecular modeling of N6-substituted 3’-C-methyladenosine derivatives. J. Med. Chem. 2008, 51, 4260–4269. [Google Scholar] [CrossRef]
- Franchetti, P.; Cappellacci, L.; Pasqualini, M.; Petrelli, R.; Vita, P.; Jayaram, H.N.; Horvath, Z.; Szekeres, T.; Grifantini, M. Antitumor activity of C-methyl-beta-D-ribofuranosyladenine nucleoside ribonucleotide reductase inhibitors. J. Med. Chem. 2005, 48, 4983–4989. [Google Scholar] [CrossRef]
- Franchetti, P.; Cappellacci, L.; Vita, P.; Petrelli, R.; Lavecchia, A.; Kachler, S.; Klotz, K.-N.; Marabese, I.; Luongo, L.; Maione, S.; et al. N6-Cycloalkyl- and N6-bicycloalkyl-C5’(C2’)-modified adenosine derivatives as high-affinity and selective agonists at the human A1 adenosine receptor with antinociceptive effects in mice. J. Med. Chem. 2009, 52, 2393–2406. [Google Scholar] [CrossRef] [PubMed]
- Clode, D.M. Carbohydrate cyclic acetal formation and migration. Chem. Rev. 1979, 79, 491–513. [Google Scholar] [CrossRef]
- Vidal, S. Protecting Groups: Strategies and Applications in Carbohydrate Chemistry; Wiley: Weinheim, Germany, 2019; ISBN 978-3-527-34010-1. [Google Scholar]
- Brady, R.F. Cyclic Acetals of Ketoses. In Advances in Carbohydrate Chemistry and Biochemistry; Elsevier: Amsterdam, The Netherlands, 1971; pp. 197–278. ISBN 9780120072262. [Google Scholar]
- Pétursson, S. Protecting Groups in Carbohydrate Chemistry. J. Chem. Educ. 1997, 74, 1297. [Google Scholar] [CrossRef]
- Rauter, A.P.; Ramôa-Ribeiro, F.; Fernandes, A.C.; Figueiredo, J. A new method of acetonation with the zeolite HY as catalyst. Synthesis of O-Isopropylidene sugar derivatives. Tetrahedron 1995, 51, 6529–6540. [Google Scholar] [CrossRef]
- Han, S.-Y.; Joullié, M.M.; Fokin, V.V.; Petasis, N.A. Spectroscopic, crystallographic and computational studies of the formation and isomerization of cyclic acetals and ketals of pentonolactones. Tetrahedron Asymmetry 1994, 5, 2535–2562. [Google Scholar] [CrossRef]
- Han, S.-Y.; Joullié, M.M.; Petasis, N.A.; Bigorra, J.; Corbera, J.; Font, J.; Ortuño, R.M. Investigations of the formation of cyclic acetal and ketal derivatives of D-ribono-1,4-lactone and 2-deoxy-D-ribono-1,4-lactone. Tetrahedron 1993, 49, 349–362. [Google Scholar] [CrossRef]
- Clode, D.M. The acid-catalyzed rearrangement of methyl 3,4- O -benzylidene-β- D -ribopyranoside. Can. J. Chem. 1977, 55, 4071–4077. [Google Scholar] [CrossRef]
- Zinner, H.; Voigt, H.; Voigt, J. Benzyliden-verbindungen der pentonsäuren und pentonsäure-lactone. Carbohydr. Res. 1968, 7, 38–55. [Google Scholar] [CrossRef]
- Baggett, N.; Buchanan, J.G.; Fatah, M.Y.; Lachut, C.H.; McCullough, K.J.; Webber, J.M. Benzylidene acetals of the D-ribonolactones: A structural reassessment. J. Chem. Soc. Chem. Commun. 1985, 84, 1826–1827. [Google Scholar] [CrossRef]
- Bigorra, J.; Font, J.; de Echagüen, C.O.; Ortuño, R.M. Synthetic approaches to either homochiral or achiral derivatives of 3-hydroxy-2(5H)-furanone (isotetronic acid). Tetrahedron 1993, 49, 6717–6728. [Google Scholar] [CrossRef]
- Poon, K.W.; House, S.E.; Dudley, G.B. A Bench-Stable Organic Salt for the Benzylation of Alcohols. Synlett 2005, 20, 3142–3144. [Google Scholar] [CrossRef]
- Poon, K.W.C.; Dudley, G.B. Mix-and-heat benzylation of alcohols using a bench-stable pyridinium salt. J. Org. Chem. 2006, 71, 3923–3927. [Google Scholar] [CrossRef]
- Casati, S.; Manzocchi, A.; Ottria, R.; Ciuffreda, P. 1H, 13C and 15N NMR assignments for N6-isopentenyladenosine/inosine analogues. Magn. Reson. Chem. 2010, 48, 745–748. [Google Scholar] [CrossRef] [PubMed]
- Vago, R.; Bettiga, A.; Salonia, A.; Ciuffreda, P.; Ottria, R. Development of new inhibitors for N-acylethanolamine-hydrolyzing acid amidase as promising tool against bladder cancer. Bioorg. Med. Chem. 2017, 25, 1242–1249. [Google Scholar] [CrossRef]
- Lauria, S.; Perrotta, C.; Casati, S.; Di Renzo, I.; Ottria, R.; Eberini, I.; Palazzolo, L.; Parravicini, C.; Ciuffreda, P. Design, synthesis, molecular modelling and in vitro cytotoxicity analysis of novel carbamate derivatives as inhibitors of Monoacylglycerol lipase. Bioorg. Med. Chem. 2018, 26, 2561–2572. [Google Scholar] [CrossRef]
- Kiss, R.; Fizil, Á.; Szántay, C. What NMR can do in the biopharmaceutical industry. J. Pharm. Biomed. Anal. 2018, 147, 367–377. [Google Scholar] [CrossRef] [Green Version]
- Ottria, R.; Casati, S.; Ciuffreda, P. (1)H, (13)C and (15)N NMR assignments for N- and O-acylethanolamines, important family of naturally occurring bioactive lipid mediators. Magn. Reson. Chem. 2012, 50, 823–828. [Google Scholar] [CrossRef] [PubMed]
- Haasnoot, C.; de Leeuw, F.; Altona, C. The relationship between proton-proton NMR coupling constants and substituent electronegativities—I. Tetrahedron 1980, 36, 2783–2792. [Google Scholar] [CrossRef]
- Baird, P.D.; Dho, J.C.; Fleet, G.W.J.; Peach, J.M.; Prout, K.; Smith, P.W. Synthesis of (2R,3S,4R)-3,4-dihydroxyproline from D-ribonolactone; an approach to the synthesis of polyfunctionalised D-amino acids from sugar lactones. X-Ray molecular structures of 2-azido-3,4-O-(R)-benzylidene-2-deoxy-D-ribono-1,5-lactone, 2-azido-2-deoxy-D-ribono-1,4-lactone, and (2R,3S,3R)-3,4-dihydroxyproline. J. Chem. Soc. Perkin Trans. 1 1987, 1785. [Google Scholar] [CrossRef]
- Grindley, T.; Gulasekharam, V. Benzylidene acetal structural elucidation by N.M.R. Spectroscopy: Application of carbon-13. N.M.R.-Spectral parameters. Carbohydr. Res. 1979, 74, 7–30. [Google Scholar] [CrossRef]
- Cremer, D.; Pople, J.A. General definition of ring puckering coordinates. J. Am. Chem. Soc. 1975, 97, 1354–1358. [Google Scholar] [CrossRef]
- Cremer, D. On the correct usage of the Cremer–Pople puckering parameters as quantitative descriptors of ring shapes—A reply to recent criticism by Petit, Dillen and Geise. Acta Cryst. B Struct. Sci. 1984, 40, 498–500. [Google Scholar] [CrossRef]
- Casati, S.; Manzocchi, A.; Ottria, R.; Ciuffreda, P. 1H, 13C and 15N NMR spectral assignments of adenosine derivatives with different amino substituents at C6-position. Magn. Reson. Chem. 2011, 49, 279–283. [Google Scholar] [CrossRef] [PubMed]
- Casati, S.; Ottria, R.; Ciuffreda, P. 17alpha- and 17beta-boldenone 17-glucuronides: Synthesis and complete characterization by 1H and 13C NMR. Steroids 2009, 74, 250–255. [Google Scholar] [CrossRef]
- Ciuffreda, P.; Casati, S.; Manzocchi, A. Complete 1H and 13C NMR spectral assignment of 17-hydroxy epimeric sterols with planar A or A and B rings. Magn. Reson. Chem. 2004, 42, 360–363. [Google Scholar] [CrossRef]
- Ciuffreda, P.; Casati, S.; de Mieri, M.; Ferraboschi, P. Corticosteroids 21-glucuronides: Synthesis and complete characterization by (1)H and (13)C NMR. Steroids 2009, 74, 870–875. [Google Scholar] [CrossRef] [PubMed]
- Marenich, A.V.; Olson, R.M.; Kelly, C.P.; Cramer, C.J.; Truhlar, D.G. Self-Consistent Reaction Field Model for Aqueous and Nonaqueous Solutions Based on Accurate Polarized Partial Charges. J. Chem. Theory Comput. 2007, 3, 2011–2033. [Google Scholar] [CrossRef]
- Lefeber, D.J.; Steunenberg, P.; Vliegenthart, J.F.; Kamerling, J.P. Synthesis of differentially protected ribitol derivatives from 3,4-O-benzylidene-d-ribono-1,5-lactone. Tetrahedron Asymmetry 2005, 16, 507–511. [Google Scholar] [CrossRef]
- Weidmann, H.; Timpe, W.; Wolf, N. Reaktionen von kohlenhydratderivaten mit komplexen metallhydriden. Carbohydr. Res. 1972, 25, 67–70. [Google Scholar] [CrossRef]






| Proton |
11R CDCl3 |
11S CDCl3 |
12R DMSO |
15R CDCl3 |
16R CDCl3 |
17R CDCl3 |
18R CDCl3 |
18S CDCl3 |
19R CDCl3 |
19S CDCl3 |
20R CDCl3 |
20S CDCl3 |
|---|---|---|---|---|---|---|---|---|---|---|---|---|
| 2 | 4.99 | 5.09 | 4.64 | 5.55 | 4.50 | 4.11 | 4.94 | 5.04 | 4.87–4.90 b | 5.0 | 4.95 | 5.08 |
| 3 | 4.94 | 4.87 | 4.70 | 4.87 | 4.73 | 4.78 | 4.88 | 4.79 | 4.87–4.90 b | 4.81 | 4.88 | 4.80 |
| 4 | 4.79 | 4.82 | 4.62 | 4.73 | 4.60 | 4.56 | 4.92 | 4.95 | 4.76 | 4.80 | 4.81 | 4.84 |
| 5a | 3.89 | 3.89 | 4.33 | 4.40 | 4.23 | 4.15 | 4.31 | 4.30 | 3.88 | 3.88 | 3.72–3.81 a | 3.73–3.78 a |
| 5b | 4.05 | 4.04 | 4.43 | 4.62 | 4.48 | 4.49 | 4.44 | 4.43 | 3.95 | 3.94 | ||
| O2CHPh | 6.00 | 6.00 | 5.74 | 5.83 | 5.79 | 5.76 | 6.03 | 6.02 | 5.99 | 5.98 | 5.98 | 6.03 |
| aromatics | 7.42–7.50 b | 7.41–7.49 b | 7.39–7.44 b | 7.39–7.49 b | 7.39–7.48 b | 7.29–7.50 b | 7.42–7.49 b | 7.42–7.48 b | 7.42–7.50 b | 7.40–7.43 b | 7.28–7.48 b | 7.36–7.48 b |
| OCH2Ph | 4.74 5.10 | 4.52 4.62 | 4.51 4.62 | |||||||||
| OCOCH3 | 2.28 | 2.13 | 2.11 | |||||||||
| CH3Si | 0.17 | 0.12 | 0.10 | |||||||||
| CH3Si | 0.25 | 0.11 | 0.11 | |||||||||
| (CH3)3Si | 0.98 | 0.91 | 0.91 |
| Carbon | 11R CD3OD | 11S CDCl3 | 12R DMSO | 15R CDCl3 | 16R CDCl3 | 17R CDCl3 | 18R CDCl3 | 18S CDCl3 | 19R CDCl3 | 19S CDCl3 | 20R CDCl3 | 20S CDCl3 |
|---|---|---|---|---|---|---|---|---|---|---|---|---|
| 1 | 176.1 | 173.9 | 171.9 | 165.5 a | 169.4 | 168.4 | 169.8 a | 169.7 a | 172.9 | 173.0 | 173.3 | 174.6 |
| 2 | 77.3 | 76.4 | 73.1 | 68.4 | 70.0 | 72.9 | 75.5 | 75.3 | 75.9 | 76.4 | 75.9 | 73.4 |
| 3 | 81.7 | 77.7 | 76.1 | 74.5 | 77.8 | 75.9 | 79.5 | 78.8 | 81.6 | 77.8 | 80.2 | 78.8 |
| 4 | 84.2 | 84.5 | 68.0 | 73.4 | 73.5 | 73.4 | 79.0 | 79.3 | 80.1 | 84.1 | 80.5 | 82.8 |
| 5 | 62.4 | 62.3 | 67.0 | 67.5 | 67.3 | 67.2 | 63.6 | 63.5 | 63.0 | 63.2 | 69.1 | 68.9 |
| O2CHPh | 107.7 | 104.9 | 104.0 | 105.0 | 104.7 | 104.8 | 107.3 | 107.2 | 106.6 | 104.6 | 106.9 | 104.7 |
| aromatics | 128.1 129.4 131.1 137.5 | 126.6 128.7 130.0 135.8 | 126.9 128.1 129.9 134.7 | 127.3 128.6 130.4 134.5 | 126.6 128.5 130.2 135.4 | 136.7 134.8 130.2 128.7 128.5 128.3 128.3 127.4 | 126.9 128.7 130.4 135.0 | 126.8 128.6 130.2 134.9 | 126.8 128.5 130.0 135.3 | 126.6 128.5 129.8 135.7 | 127.0 127.9 128.3 128.7 128.8 130.2 135.4 137.0 | 127.3 127.9 128.1 128.4 128.8 130.1 135.0 136.8 |
| OCOCH3 | 20.5 | 20.8 | 20.6 | |||||||||
| OCOCH3 | 169.9 a | 172.3 a | 172.2 a | |||||||||
| OCH2Ph | 72.8 | 74.1 | 72.6 | |||||||||
| CH3Si | −4.2 −5.2 | −5.6 −5.8 | −5.6 −5.8 | |||||||||
| (CH3)3CSi | 25.9 | 24.9 | 25.8 | |||||||||
| C-Si | 18.6 | 18.2 | 18.2 |
| Coupled Protons | 11R CDCl3 | 11S CDCl3 | 12R DMSO | 15R CDCl3 | 16R CDCl3 | 17R CDCl3 | 18R CDCl3 | 18S CDCl3 | 19R CDCl3 | 19S CDCl3 | 20R CDCl3 | 20S CDCl3 |
|---|---|---|---|---|---|---|---|---|---|---|---|---|
| exp (calc) b | exp (calc) b | exp (calc) b | exp | exp | exp | exp | exp | exp | exp | exp | exp | |
| 2, 3 | 6.0 a (6.96) b | 5.7 (7.47) | 3.3 (2.09) | 3.2 | 3.2 | 3.2 | 5.9 | 5.8 | n.d. | 5.6 | 5.7 | 5.6 |
| 3, 4 | <1 (1.04) | <1 (1.10) | 8.2 (7.54) | 8.1 | 8.4 | 8.1 | <1 | <1 | <1 | <1 | <1 | <1 |
| 4, 5a | 2.1 (3.63) | 2.3 (4.95) | <1 (2.75) | <1 | <1 | 1.7 | 2.4 | 2.7 | 1.4 | 1.9 | 1.9 | 1.4 |
| 4, 5b | 1.3 (1.01) | 1.8 (3.85) | <1 (1.49) | <1 | <1 | <1 | 2.3 | 2.7 | 2.0 | 2.1 | 2.1 | 1.9 |
| 5a, 5b | 12.2 | 12.2 | 13.2 | 13.4 | 12.8 | 13.3 | 12.4 | 12.4 | 11.5 | 11.2 | n.d. | n.d. |
| OCH2Ph | 12.4 | 11.8 | 11.8 |
| 11R | 11S | 12R | ||||
|---|---|---|---|---|---|---|
| Proton Pair | n.O.e. | H-H (Å) a | n.O.e. | H-H (Å) a | n.O.e. | H-H (Å) a |
| Hacetal-H2 | + | 3.46 | − | 3.98 | + | 4.82 |
| Hacetal-H3 | + | 2.90 | − | 3.81 | + | 2.78 |
| Hacetal-H4 | − | 4.49 | − | 4.28 | − | 3.14 |
| Hacetal-H2′ | − | 3.68 | − | 3.27 | − | 3.78 |
| Hacetal-H6′ | + | 2.47 | + | 3.04 | + | 2.35 |
| H3-H4 | − | 2.80 | − | 2.81 | + | 2.39 |
Publisher’s Note: MDPI stays neutral with regard to jurisdictional claims in published maps and institutional affiliations. |
© 2021 by the authors. Licensee MDPI, Basel, Switzerland. This article is an open access article distributed under the terms and conditions of the Creative Commons Attribution (CC BY) license (https://creativecommons.org/licenses/by/4.0/).
Share and Cite
Casati, S.; Rota, P.; Allevi, P.; Mingione, A.; Ottria, R.; Ciuffreda, P. Clarifying the Use of Benzylidene Protecting Group for D-(+)-Ribono-1,4-Lactone, an Essential Building Block in the Synthesis of C-Nucleosides. Molecules 2021, 26, 6447. https://doi.org/10.3390/molecules26216447
Casati S, Rota P, Allevi P, Mingione A, Ottria R, Ciuffreda P. Clarifying the Use of Benzylidene Protecting Group for D-(+)-Ribono-1,4-Lactone, an Essential Building Block in the Synthesis of C-Nucleosides. Molecules. 2021; 26(21):6447. https://doi.org/10.3390/molecules26216447
Chicago/Turabian StyleCasati, Silvana, Paola Rota, Pietro Allevi, Alessandra Mingione, Roberta Ottria, and Pierangela Ciuffreda. 2021. "Clarifying the Use of Benzylidene Protecting Group for D-(+)-Ribono-1,4-Lactone, an Essential Building Block in the Synthesis of C-Nucleosides" Molecules 26, no. 21: 6447. https://doi.org/10.3390/molecules26216447
APA StyleCasati, S., Rota, P., Allevi, P., Mingione, A., Ottria, R., & Ciuffreda, P. (2021). Clarifying the Use of Benzylidene Protecting Group for D-(+)-Ribono-1,4-Lactone, an Essential Building Block in the Synthesis of C-Nucleosides. Molecules, 26(21), 6447. https://doi.org/10.3390/molecules26216447

