From Iron to Copper: The Effect of Transition Metal Catalysts on the Hydrogen Storage Properties of Nanoconfined LiBH4 in a Graphene-Rich N-Doped Matrix
Abstract
1. Introduction
2. Results
2.1. Chemical and Morphological Characterizations of the Hydride-Free Matrixes
2.1.1. Textural Characterization of the Matrixes
- Non-decorated N-doped matrixes
- N-doped matrixes decorated with nanoparticles
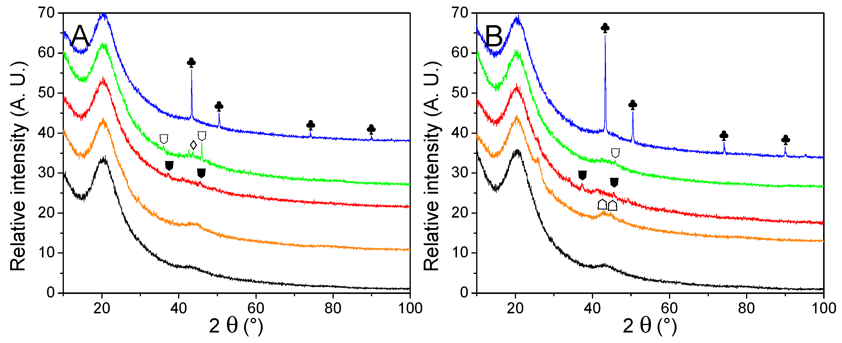
2.1.2. Characterization of Nanoparticle’s Size and Distribution
- SEM observations of N-doped matrixes decorated with nanoparticles
- Structural characterization of N-doped matrixes with and without nanoparticles
2.2. Chemical and Morphological Characterizations of the LiBH4-Impregnated Matrixes
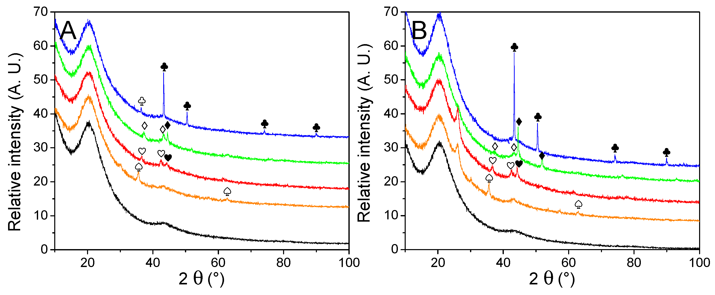
- SEM observations of just-impregnated N-doped matrixes decorated with nanoparticles
- Structural characterization of N-doped matrixes with and without nanoparticles
2.3. Evaluation of Hydrogen Release and Characterization of Material’s Evolution
2.3.1. Differential Scanning Calorimetry
2.3.2. Volumetric Study
- First hydrogen release
- Second hydrogen release
2.3.3. Structural Impact of Material Cycling
3. Discussion
- Here, the proportion of metal was limited to 5 wt. %, while in our previous work, the proportion of nanoparticles was set to 5% of the mesopore volume, reaching a 27 wt. %;
- The matrixes’ pore size was lowered, and the proportion of N-dopant was increased, which are conditions more favourable to hydrogen release;
- Oxides were observed in the present work.
4. Materials and Methods
4.1. Synthesis of Materials
4.1.1. Chemicals
4.1.2. Wet Synthesis
4.1.3. Solid-State Synthesis
4.1.4. Melt Impregnation
4.2. Material Characterization
5. Conclusions
Supplementary Materials
Author Contributions
Funding
Institutional Review Board Statement
Informed Consent Statement
Data Availability Statement
Acknowledgments
Conflicts of Interest
Sample Availability
References
- Abe, J.O.; Popoola, A.P.I.; Ajenifuja, E.; Popoola, O.M. Hydrogen energy, economy and storage: Review and recommendation. Int. J. Hydrog. Energy 2019, 44, 15072–15086. [Google Scholar] [CrossRef]
- Rusman, N.A.A.; Dahari, M. A review on the current progress of metal hydrides material for solid-state hydrogen storage applications. Int. J. Hydrog. Energy 2016, 41, 12108–12126. [Google Scholar] [CrossRef]
- Daulbayev, C.; Lesbayev, B.; Bakbolat, B.; Kaidar, B.; Sultanov, F.; Yeleuov, M.; Ustayeva, G.; Rakhymzhan, N. A mini-review on recent trends in prospective use of porous 1D nanomaterials for hydrogen storage. S. Afr. J. Chem. Eng. 2022, 39, 52–61. [Google Scholar] [CrossRef]
- Kumar, P.; Singh, S.; Hashmi, S.A.R.; Kim, K.-H. MXenes: Emerging 2D materials for hydrogen storage. Nano Energy 2021, 85, 105989. [Google Scholar] [CrossRef]
- Shet, S.P.; Shanmuga Priya, S.; Sudhakar, K.; Tahir, M. A review on current trends in potential use of metal-organic framework for hydrogen storage. Int. J. Hydrog. Energy 2021, 46, 11782–11803. [Google Scholar] [CrossRef]
- Puszkiel, J.; Gasnier, A.; Amica, G.; Gennari, F. Tuning LiBH4 for Hydrogen Storage: Destabilization, Additive, and Nanoconfinement Approaches. Molecules 2020, 25, 163. [Google Scholar] [CrossRef]
- Saldan, I. A prospect for LiBH4 as on-board hydrogen storage. Cent. Eur. J. Chem. 2011, 9, 761–775. [Google Scholar] [CrossRef]
- Mohtadi, R.; Orimo, S.-I. The Renaissance of Hydrides as Energy Materials. Nat. Rev. Mater. 2016, 2, 16091–16105. [Google Scholar] [CrossRef]
- Li, H.W.; Yan, Y.; Orimo, S.I.; Züttel, A.; Jensen, C.M. Recent progress in metal borohydrides for hydrogen storage. Energies 2011, 4, 185–214. [Google Scholar] [CrossRef]
- Rude, L.H.; Nielsen, T.K.; Ravnsbæk, D.B.; Bösenberg, U.; Ley, M.B.; Richter, B.; Arnbjerg, L.M.; Dornheim, M.; Filinchuk, Y.; Besenbacher, F.; et al. Tailoring properties of borohydrides for hydrogen storage: A review. Phys. Status. Solidi A 2011, 8, 1754–1773. [Google Scholar] [CrossRef]
- Gross, A.F.; Vajo, J.J.; Van Atta, S.L.; Olson, G.L. Enhanced Hydrogen Storage Kinetics of LiBH4 in Nanoporous Carbon Scaffolds. J. Phys. Chem. C 2008, 112, 5651–5657. [Google Scholar] [CrossRef]
- Ngene, P.; Verkuijlen, M.H.W.; Barre, C.; Kentgens, A.P.M.; de Jongh, P.E. Reversible Li-Insertion in Nanoscaffolds: A Promising Strategy to Alter the Hydrogen Sorption Properties of Li-Based Complex Hydrides. Nano Energy 2016, 22, 169–178. [Google Scholar] [CrossRef][Green Version]
- Shane, D.T.; Corey, R.L.; McIntosh, C.; Rayhel, L.H.; Bowman, R.C., Jr.; Vajo, J.J.; Gross, A.F.; Conradi, M.S. LiBH4 in carbon aerogel nanoscaffolds: An NMR study of atomic motions. J. Phys. Chem. C 2010, 114, 4008–4114. [Google Scholar] [CrossRef]
- Remhof, A.; Mauron, P.; Züttel, A.; Embs, J.P.; Łodziana, Z.; Ramirez-Cuesta, A.J.; Ngene, P.; de Jongh, P. Hydrogen dynamics in nanoconfined lithium borohydride. J. Phys. Chem. C 2013, 117, 3789–3798. [Google Scholar] [CrossRef]
- Liu, X.; Majzoub, E.H.; Stavila, V.; Bhakta, R.K.; Allendorf, M.D.; Shane, D.T.; Conradi, M.S.; Verdal, N.; Udovic, T.J.; Hwang, S.-J. Probing the unusual anion mobility of LiBH4 confined in highly ordered nanoporous carbon frameworks via solid state NMR and quasielastic neutron scattering. J. Mater. Chem. A 2013, 1, 9935–9941. [Google Scholar] [CrossRef]
- Lefevr, J.; Cervini, L.; Griffin, J.M.; Blanchard, D. Lithium Conductivity and Ions Dynamics in LiBH4/SiO2 Solid Electrolytes Studied by Solid-State NMR and Quasi-Elastic Neutron Scattering and Applied in Lithium-Sulfur Batteries. J. Phys. Chem. C 2018, 122, 15264–15275. [Google Scholar] [CrossRef]
- Blanchard, D.; Nale, A.; Sveinbjörnsson, D.; Eggenhuisen, T.M.; Verkuijlen, M.H.W.; Suwarno; Vegge, T.; Kentgens, A.P.M.; de Jongh, P.E. Nanoconfined LiBH4 as a Fast Lithium-Ion Conductor. Adv. Funct. Mater. 2015, 25, 184–192. [Google Scholar] [CrossRef]
- Verdal, N.; Udovic, T.J.; Rush, J.J.; Liu, X.; Majzoub, E.H.; Vajo, J.J.; Gross, A.F. Dynamical Perturbations of Tetrahydroborate Anions in LiBH4 due to Nanoconfinement in Controlled-Pore Carbon Scaffolds. J. Phys. Chem. C 2013, 117, 17983–17995. [Google Scholar] [CrossRef]
- Liu, X.; Peaslee, D.; Jost, C.Z.; Majzoub, E.H. Controlling the Decomposition Pathway of LiBH4 via Confinement in Highly Ordered Nanoporous Carbon. J. Phys. Chem. C 2010, 114, 14036–14041. [Google Scholar] [CrossRef]
- Liu, X.; Peaslee, D.; Jost, C.Z.; Baumann, T.F.; Majzoub, E.H. Systematic Pore-Size Effects of Nanoconfinement of LiBH4: Elimination of Diborane Release and Tunable Behavior for Hydrogen Storage Applications. Chem. Mater. 2011, 23, 1331–1336. [Google Scholar] [CrossRef]
- Lambregts, S.F.H.; van Eck, E.R.H.; Suwarno; Ngene, P.; de Jongh, P.E.; Kentgens, A.P.M. Phase Behavior and Ion Dynamics of Nanoconfined LiBH4 in Silica. J. Phys. Chem. C 2019, 123, 25559–25569. [Google Scholar] [CrossRef]
- Lee, H.-S.; Hwang, S.-J.; To, M.; Lee, Y.-S.; Cho, Y.W. Discovery of Fluidic LiBH4 on Scaffold Surfaces and Its Application for Fast Co-confinement of LiBH4−Ca(BH4)2 into Mesopores. J. Phys. Chem. C 2015, 119, 9025–9035. [Google Scholar] [CrossRef]
- Suwarno, S.; Ngene, P.; Nale, A.; Eggenhuisen, T.M.; Oschatz, M.; Embs, J.P.; Remhof, A.; De Jongh, P.E. Confinement Effects for Lithium Borohydride: Comparing Silica and Carbon Scaffolds. J. Phys. Chem. C 2017, 121, 4197–4205. [Google Scholar] [CrossRef] [PubMed]
- Rueda, M.; Sanz, L.M.; Martín, A. Innovative methods to enhance the properties of solid hydrogen storage materials based on hydrides through nanoconfinement: A review. J. Supercritic. Fluids 2018, 141, 198–217. [Google Scholar] [CrossRef]
- Le, T.T.; Pistidda, C.; Nguyen, V.H.; Singh, P.; Raizada, P.; Klassen, T.; Dornheim, M. Nanoconfinement effects on hydrogen storage properties of MgH2 and LiBH4. Int. J. Hydrog. Energy 2021, 46, 23723–23736. [Google Scholar] [CrossRef]
- House, S.D.; Liu, X.; Rockett, A.A.; Majzoub, E.H.; Robertson, I.M. Characterization of the Dehydrogenation Process of LiBH4 Confined in Nanoporous Carbon. J. Phys. Chem. C 2014, 118, 8843–8851. [Google Scholar] [CrossRef]
- Mason, T.; Majzoub, E.H. Effects of a Carbon Surface Environment on the Decomposition Properties of Nanoparticle LiBH4: A First-Principles Study. J. Phys. Chem. C 2014, 118, 8852–8858. [Google Scholar] [CrossRef]
- Gasnier, A.; Gennari, F.C. Graphene Entanglement in a Mesoporous Resorcinol-Formaldehyde Matrix Applied to the Nanoconfinement of LiBH4 for Hydrogen Storage. RSC Adv. 2017, 7, 27905–27912. [Google Scholar] [CrossRef]
- Gasnier, A.; Luguet, M.; Pereira, A.G.; Troiani, H.; Zampieri, G.; Gennari, F.C. Entanglement of N-doped Graphene in Resorcinol-Formaldehyde: Effect over Nanoconfined LiBH4 for Hydrogen Storage. Carbon 2019, 147, 284–294. [Google Scholar] [CrossRef]
- Gasnier, A.; Amica, G.; Juan, J.; Troiani, H.; Gennari, F.C. N-Doped Graphene-Rich Aerogels Decorated with Nickel and Cobalt Nanoparticles: Effect on Hydrogen Storage Properties of Nanoconfined LiBH4. J. Phys. Chem. C 2020, 124, 115–125. [Google Scholar] [CrossRef]
- Martínez, A.A.; Gasnier, A.; Gennari, F.C. Pore Filling of a Carbon Matrix by Melt-Impregnated LiBH4. J. Phys. Chem. C 2022, 126, 68–78. [Google Scholar] [CrossRef]
- Verón, M.G.; Troiani, H.; Gennari, F.C. Synergetic effect of Co and carbon nanotubes on MgH2 sorption properties. Carbon 2011, 49, 2413–2423. [Google Scholar] [CrossRef]
- Parambhath, V.B.; Nagar, R.; Ramaprabhu, S. Effect of Nitrogen Doping on Hydrogen Storage Capacity of Palladium Decorated Graphene. Langmuir 2012, 28, 7826–7833. [Google Scholar] [CrossRef] [PubMed]
- Ngene, P.; Van Zwienen, R.; De Jongh, P.E. Reversibility of the hydrogen desorption from LiBH4: A synergetic effect of nanoconfinement and Ni addition. Chem. Commun. 2010, 46, 8201–8203. [Google Scholar] [CrossRef] [PubMed]
- Xian, K.; Nie, B.; Li, Z.; Gao, M.; Li, Z.; Shang, C.; Liu, Y.; Guo, Z.; Pan, H. TiO2 decorated porous carbonaceous network structures offer confinement, catalysis and thermal conductivity for effective hydrogen storage of LiBH4. Chem. Eng. J. 2021, 407, 127156. [Google Scholar] [CrossRef]
- Wang, S.; Gao, M.; Xian, K.; Li, Z.; Shen, Y.; Yao, Z.; Liu, Y.; Pan, H. LiBH4 Nanoconfined in Porous Hollow Carbon Nanospheres with High Loading, Low Dehydrogenation Temperature, Superior Kinetics, and Favorable Reversibility. ACS Appl. Energy Mater. 2020, 3, 3928–3938. [Google Scholar] [CrossRef]
- Chen, X.; Li, Z.; Zhang, Y.; Liu, D.; Wang, C.; Li, Y.; Si, T.; Zhang, Q. Enhanced Low-Temperature Hydrogen Storage in Nanoporous Ni-Based Alloy Supported LiBH4. Front. Chem. 2020, 8, 283. [Google Scholar] [CrossRef]
- SI, A.; Kyzas, G.Z.; Pal, K.; de Souza, F.G. Graphene functionalized hybrid nanomaterials for industrial-scale applications: A systematic review. J. Mol. Struct. 2021, 1239, 130518. [Google Scholar] [CrossRef]
- Wang, S.; Gao, M.; Yao, Z.; Liu, Y.; Wu, M.; Li, Z.; Liu, Y.; Sun, W.; Pan, H. A nanoconfined-LiBH4 system using a unique multifunctional porous scaffold of carbon wrapped ultrafine Fe3O4 skeleton for reversible hydrogen storage with high capacity. Chem. Eng. J. 2022, 428, 131056. [Google Scholar] [CrossRef]
- Zhang, X.; Zhang, L.; Zhang, W.; Ren, Z.; Huang, Z.; Hu, J.; Gao, M.; Pan, H.; Liu, Y. Nano-Synergy Enables Highly Reversible Storage of 9.2 wt% Hydrogen at Mild Conditions with Lithium Borohydride. Nano Energy 2021, 83, 105839. [Google Scholar] [CrossRef]
- Huang, Z.; Wang, Y.; Wang, D.; Yang, F.; Wu, Z.; Zhang, Z. Influence of transition metals Fe, Co, Ni, Cu and Ti on the dehydrogenation characteristics of LiBH4: A first-principles investigation. Comput. Theor. Chem. 2018, 1133, 33–39. [Google Scholar] [CrossRef]
- Lodziana, Z.; Blonski, P. Structure of nanoconfined LiBH4 from first principles 11B NMR chemical shifts calculations. Int. J. Hydrog. Energy 2014, 39, 9842–9847. [Google Scholar] [CrossRef]
- Carr, C.L.; Majzoub, E.H. Surface-Functionalized Nanoporous Carbons for Kinetically Stabilized Complex Hydrides through Lewis Acid−Lewis Base Chemistry. J. Phys. Chem. C 2016, 120, 11426–11432. [Google Scholar] [CrossRef]
- Au, M.; Jurgensen, A. Modified Lithium Borohydrides for Reversible Hydrogen Storage. J. Phys. Chem. B 2006, 110, 7062–7067. [Google Scholar] [CrossRef]
- Zang, L.; Zhang, Q.; Li, L.; Huang, Y.; Chang, X.; Jiao, L.; Yuan, H.; Wang, Y. Improved Dehydrogenation Properties of LiBH4 Using Catalytic Nickel- and Cobalt-based Mesoporous Oxide Nanorods. Chem. Asian J. 2018, 13, 99–105. [Google Scholar] [CrossRef]
- Cai, W.; Wang, H.; Liu, J.; Jiao, L.; Wang, Y.; Ouyang, L.; Sun, T.; Sun, D.; Wang, H.; Yao, X.; et al. Towards easy reversible dehydrogenation of LiBH4 by catalyzing hierarchic nanostructured CoB. Nano Energy 2014, 10, 235–244. [Google Scholar] [CrossRef]
- Li, W.; Liu, Y.; Guo, F.; Du, Y.; Chen, Y. Self-assembly sandwich-like Fe, Co, or Ni nanoparticles/reduced graphene oxide composites with excellent microwave absorption performance. Appl. Surf. Sci. 2021, 562, 150212. [Google Scholar] [CrossRef]
- Espinoza-Rivas, A.M.; Pérez-Guzmán, M.A.; Ortega-Amaya, R.; Santoyo-Salazar, J.; Gutiérrez-Lazos, C.D.; Ortega-López, M. Synthesis and Magnetic Characterization of Graphite-Coated Iron Nanoparticles. J. Nanotechnol. 2016, 2016, 6571643. [Google Scholar] [CrossRef]
- Li, Z.; Wei, L.; Jiang, W.-J.; Hu, Z.; Luo, H.; Zhao, W.; Xu, T.; Wu, W.; Wu, M.; Hu, J.-S. Chemical state of surrounding iron species affects the activity of Fe-Nx for electrocatalytic oxygen reduction. Appl. Catal. B 2019, 251, 240–246. [Google Scholar] [CrossRef]
- Wang, J.; Zhang, H.; Wang, C.; Zhang, Y.; Wang, J.; Zhao, H.; Cheng, M.; Li, A.; Wang, J. Co-synthesis of atomic Fe and few-layer graphene towards superior ORR electrocatalyst. Energy Storage Mater. 2018, 12, 1–7. [Google Scholar] [CrossRef]
- Gross, A.F.; Ahn, C.C.; Van Atta, S.L.; Liu, P.; Vajo, J.J. Fabrication and hydrogen sorption behaviour of nanoparticulate MgH2 incorporated in a porous carbon host. Nanotechnology 2009, 20, 204005. [Google Scholar] [CrossRef] [PubMed]
- Marcano, D.C.; Kosynkin, D.V.; Berlin, J.M.; Sinitskii, A.; Sun, Z.; Slesarev, A.; Alemany, L.B.; Lu, W.; Tour, J.M. Improved Synthesis of Graphene Oxide. ACS Nano 2010, 4, 4806–4814. [Google Scholar] [CrossRef] [PubMed]
- Liu, Y.; Wang, X.; Wan, W.; Li, L.; Dong, Y.; Zhao, Z.; Qiu, J. Multifunctional Nitrogen-Doped Graphene Nanoribbon Aerogels for Superior Lithium Storage and Cell Culture. Nanoscale 2016, 8, 2159–2167. [Google Scholar] [CrossRef] [PubMed]
- Peng, S.; Jiang, H.; Zhang, Y.; Yang, L.; Wang, S.; Deng, W.; Tan, Y. Facile Synthesis of Cobalt and Nitrogen co-Doped Graphene Networks from Polyaniline for Oxygen Reduction Reaction in Acidic Solutions. J. Mater. Chem. A 2016, 4, 3678–3682. [Google Scholar] [CrossRef]
- Deng, W.; Yuan, X.; Tan, Y.; Ma, M.; Xie, Q. Three-Dimensional Graphene-Like Carbon Frameworks as a New Electrode Material for Electrochemical Determination of Small Biomolecules. Biosens. Bioelectron. 2016, 85, 618–624. [Google Scholar] [CrossRef]
- Magee, R.W. Evaluation of the External Surface Area of Carbon Black by Nitrogen Adsorption. Rubber Chem. Technol. 1995, 68, 590–600. [Google Scholar] [CrossRef]








| Matrix Type | Metallic NP | SBET a (m2/g) | Sext b (m2/g) | Smicro c (m2/g) | Vtot d (cm3/g) | Vmeso e (cm3/g) | Vmicro c (cm3/g) | Dmax e (nm) |
|---|---|---|---|---|---|---|---|---|
| GN | None | 720 | 330 | 390 | 0.68 | 0.48 | 0.16 | 6.1 |
| Fe | 670 | 300 | 360 | 0.63 | 0.46 | 0.15 | 6.0 | |
| Co | 610 | 280 | 330 | 0.60 | 0.45 | 0.14 | 6.1 | |
| Ni | 660 | 300 | 370 | 0.63 | 0.45 | 0.15 | 6.1 | |
| Cu | 690 | 300 | 390 | 0.65 | 0.42 | 0.16 | 6.1 | |
| NP * | 660 ± 30 | 290 ± 10 | 360 ± 20 | 0.63 ± 0.02 | 0.45 ± 0.02 | 0.15 ± 0.01 | 6.1 | |
| G2N | None | 580 | 190 | 390 | 0.35 | 0.17 | 0.16 | 3.8 |
| Fe | 360 | 210 | 150 | 0.31 | 0.23 | 0.06 | 3.8 | |
| Co | 360 | 180 | 180 | 0.31 | 0.22 | 0.08 | 3.8 | |
| Ni | 520 | 180 | 340 | 0.32 | 0.17 | 0.14 | 3.8 | |
| Cu | 500 | 170 | 330 | 0.31 | 0.16 | 0.13 | 3.8 | |
| NP * | 430 ± 90 | 180 ± 20 | 250 ± 90 | 0.31 ± 0.01 | 0.20 ± 0.03 | 0.10 ± 0.04 | 3.8 |
| Matrix Type | Metallic NP | Average Size a (nm) | Dc b (nm) | Peak Position (°) c | Attributed Species |
|---|---|---|---|---|---|
| GN | Fe | 17 ± 9 | 19 | 35.6; 62.6 | Fe2O3/Fe3O4 |
| Co | 21 ± 9 | 13 11 | 44.2 36.5; 42.5 | Co CoO | |
| Ni | 20 ± 7 | 33 11 | 44.5 37.1; 43.3 | Ni NiO | |
| Cu | 160 ± 60 | 103 50 | 43.3; 50.4; 74.1 36.4 | Cu CuO | |
| G2N | Fe | 20 ± 10 | 23 | 35.4; 62.5 | Fe2O3/Fe3O4 |
| Co | 30 ± 20 | 29 11 | 44.2 36.5; 42.5 | Co CoO | |
| Ni | 21 ± 7 | 37 8 | 44.5; 51.9 43.3 | Ni NiO | |
| Cu | 170 ± 50 | 105 | 43.3; 50.4; 74.1 | Cu |
| Matrix Type | Metallic NP | Average Size a (nm) | Dc b (nm) | Peak Position (°) c | Attributed Species |
|---|---|---|---|---|---|
| GN50 | Fe | 18 ± 6 | - | - | - |
| Co | 17 ± 7 | - | - | - | |
| Ni | 24 ± 9 | - | - | - | |
| Cu | 160 ± 90 | 98 | 43.3; 50.4 | Cu | |
| G2N50 | Fe | 20 ± 20 | 10 | 42.5; 45.0 | Fe2B |
| Co | 30 ± 10 | 33 | 44.4 | Co | |
| Ni | 22 ± 6 | 37 | 44.5 | Ni | |
| Cu | 170 ± 80 | 89 | 43.3; 50.4; 74.1 | Cu |
| Matrix Type | Metallic NP | Tt a | Tf b | Td c |
|---|---|---|---|---|
| GN50 | None | 104 | 239 | 335 |
| Fe | 103 (116) | 238 | 334 | |
| Co | 104 (116) | 242 | 335 | |
| Ni | 103 (116) | 240 | 332 | |
| Cu | 103 (117) | 240 | 335 | |
| G2N50 | None | 98 (115) | 219 | 333 |
| Fe | 103 | - | 335 | |
| Co | 105 | 252 | 339 | |
| Ni | 99 | - | 309 | |
| Cu | 99 | - | 320 |
| Matrix type | Metallic NP | T1% a | Wt.325 % b | Wt.rev % c |
|---|---|---|---|---|
| GN50 | None | 255 | 8.0 | 5.6 |
| Fe | 258 | 8.3 | 5.3 | |
| Co | 274 | 6.8 | 5.5 | |
| Ni | 271 | 6.9 | 5.8 | |
| Cu | 268 | 7.3 | 5.1 | |
| G2N50 | None | 229 | 9.3 | 5.4 |
| Fe | 272 | 6.8 | 4.6 | |
| Co | 268 | 7.0 | 4.6 | |
| Ni | 263 | 7.6 | 5.5 | |
| Cu | 260 | 7.4 | 4.4 |
| Matrix Type | Metallic NP | Dc a (nm) | Peak Position (°) b | Attributed Species |
|---|---|---|---|---|
| cGN50 | Fe | |||
| Co | 4 | 37.3; 45.6 | CoB | |
| Ni | 46 21 | 36.1; 42.7; 46.0 43.5 | Ni2B NiO | |
| Cu | 112 | 43.3; 50.4; 74.1 | Cu | |
| cG2N50 | Fe | 14 | 42.5; 45.0 | Fe2B |
| Co | 21 | 37.3; 45.6; 41.1; 49.2 | CoB | |
| Ni | 16 | 46.0 | Ni2B | |
| Cu | 98 | 43.3; 50.4; 74.1; 89.9 | Cu |
Publisher’s Note: MDPI stays neutral with regard to jurisdictional claims in published maps and institutional affiliations. |
© 2022 by the authors. Licensee MDPI, Basel, Switzerland. This article is an open access article distributed under the terms and conditions of the Creative Commons Attribution (CC BY) license (https://creativecommons.org/licenses/by/4.0/).
Share and Cite
Martínez, A.A.; Gasnier, A.; Gennari, F.C. From Iron to Copper: The Effect of Transition Metal Catalysts on the Hydrogen Storage Properties of Nanoconfined LiBH4 in a Graphene-Rich N-Doped Matrix. Molecules 2022, 27, 2921. https://doi.org/10.3390/molecules27092921
Martínez AA, Gasnier A, Gennari FC. From Iron to Copper: The Effect of Transition Metal Catalysts on the Hydrogen Storage Properties of Nanoconfined LiBH4 in a Graphene-Rich N-Doped Matrix. Molecules. 2022; 27(9):2921. https://doi.org/10.3390/molecules27092921
Chicago/Turabian StyleMartínez, Alejandra A., Aurelien Gasnier, and Fabiana C. Gennari. 2022. "From Iron to Copper: The Effect of Transition Metal Catalysts on the Hydrogen Storage Properties of Nanoconfined LiBH4 in a Graphene-Rich N-Doped Matrix" Molecules 27, no. 9: 2921. https://doi.org/10.3390/molecules27092921
APA StyleMartínez, A. A., Gasnier, A., & Gennari, F. C. (2022). From Iron to Copper: The Effect of Transition Metal Catalysts on the Hydrogen Storage Properties of Nanoconfined LiBH4 in a Graphene-Rich N-Doped Matrix. Molecules, 27(9), 2921. https://doi.org/10.3390/molecules27092921

