Abstract
Compound specific isotope analysis (CSIA) and enantiomer specific isotope analysis (ESIA) are powerful tools for assessing the fate of hexachlorocyclohexanes (HCHs) in the environment. However, there is no systematic study on the CSIA and ESIA analysis test methods of the carbon isotopes of HCHs in water and soil environments, in particular the isotope fractionation in the pre-concentration process. We endeavored to test the compatibility of CSIA and ESIA with the liquid–liquid extraction method of HCHs in water. The results showed that there were negligible changes in the δ13C of HCHs after extraction, indicating that liquid–liquid extraction can be used as a pre-concentration method for the determination of δ13C of HCHs in water. The optimized method was validated and then applied to differentiate three HCHs from different manufacturers, to identify in situ degradation of HCHs of groundwater from a contaminated site and to resolve the carbon isotope fractionation occurring in the α-HCH oxidation by CaO2/Fe(II) Fenton system. The results showed that the same reagents from different manufacturers have different carbon isotope compositions, and different isomers from the same manufacturer also have different isotope compositions, showing useful evidence in identifying the source of HCHs. The more enriched δ13C in the down-gradient wells indicated that HCHs have undergone biodegradation or/and chemical reactions in the groundwater system of the site. Carbon isotopic enrichment factors (εC) of −1.90 ± 0.10‰ were obtained in the oxidation process. Hence, the method validated in this study has great potential as a method for identifying the degradation of HCHs in a water environment.
1. Introduction
Hexachlorocyclohexanes (HCHs) have been widely used as pesticides to control agricultural pests since the middle of the 20th century. HCHs have gradually become global pollutants and now pose environmental risks at various levels. In addition to their persistent and toxic bioaccumulation, HCHs pose a high risk to both ecosystems and human health [1]. HCHs (α-, γ-, and β-HCH) were listed in the Stockholm Convention on Persistent Organic Pollutants in 2009 [2]. China is one of the largest producers and users of HCHs in the world and is also most seriously affected by HCHs pollution. Although HCHs were banned from production and utilization in China since 1983, due to their environmental persistence, they can still be detected in the atmosphere, surface water, groundwater and soil [3,4,5,6,7]. Therefore, there is an urgent need to study the fate and environmental behavior of HCHs in these environments. In order to evaluate the enrichment and transformation of these organic pollutants in the water environment, traditional methods were undertaken by analyzing the concentration changes in target substances or identifying their intermediate products. It is difficult to establish an accurate mass balance relationship in the reduction process, because the physical processes, e.g., volatilization, adsorption and migration, can also lead to changes in the concentration of pollutants. Sometimes it is very difficult to detect the intermediate products. In addition, the environmental system is very complex, and the same substance may be from different sources. These problems complicate the assessment of organic pollutant reduction and challenge traditional methods. Compound specific isotope analysis (CSIA) allows an accurate separation of analyses from complex mixtures and the determination of stable isotope ratios at natural abundances. This breakthrough was accomplished by direct coupling of gas chromatography (GC) and isotope ratio mass spectrometers (IRMS) [8]. The CSIA testing was not disturbed by other reactants, products and elements, and has been widely applied in sources identification, biotransformation pathways and degradation mechanisms of organic pollutants [9,10]. Enantiomer specific isotope analysis (ESIA) based upon the CSIA evidence, improves the accuracy in evaluating the sources and conversion processes of the target pollutants in the environment [11]. However, the determination of the stable isotope ratios of the low-concentration organic compounds in environmental matrices has always been one of the main challenges of CSIA applications [1]. The utilization of CSIA for organic matter in low concentrations in groundwater and other matrices has also remained one of the main limiting factors for applications in contaminated sites. How to find effective and feasible sample pre-concentration methods within the sensitivity range of existing instruments has been a key issue for CSIA and ESIA applications using GC-IRMS.
In this study, the liquid–liquid extraction method was selected, which is an effective approach for simple experimental procedures, has good flexibility and is free of cross contamination. Until now, some studies have used CSIA and ESIA to study the degradation mechanism, source identification, and field analyses of HCHs (Table 1) [12,13,14,15,16,17,18,19,20,21,22,23,24,25,26]. Ivdra et al. [1] developed an extraction procedure and a clean-up method for measuring carbon isotope ratios for HCHs, DDT, and chlorinated metabolites in soil samples. However, there was no systematic research on the CISA and ESIA of carbon isotope of HCHs and no reliable pre-concentration process for determining the isotope fractionation in water, especially in groundwater. Therefore, in this study, the EA-IRMS and GC-IRMS methods were used to determine the δ13C value of pure products of HCHs (α-, β-, γ-, and δ-HCH), in order to evaluate the accuracy of the GC-IRMS method. The δ13C values of the HCHs and α-HCH enantiomers were determined by GC-IRMS to assess the detection limits of CSIA and ESIA testing. The liquid–liquid extraction was successfully utilized as a pre-concentration method for groundwater analysis to evaluate the carbon isotope fractionation and enantiomers of HCHs during extraction. Finally, this method was applied to differentiate three HCHs from different manufacturers, identify the in situ degradation of HCHs of groundwater from the contaminated site, and resolve the carbon isotope fractionation occurring during α-HCH oxidation by the CaO2/Fe(II) Fenton system.
Table 1.
Recent applications of CSIA and ESIA in the HCHs studies.
2. Results and Discussion
2.1. Calibration of Isotope Ratios of HCHs Reference Samples
EA-IRMS is a method for obtaining a representative average isotopic signature for a whole sample [27]. Isotopic fractionation is less likely to occur during EA-IRMS than that during GC-IRMS, because fractionation can occur during sample volatilization and burning, as well as during the chromatographic process in GC-IRMS [28]. Thus, it is important to use GC-IRMS to calculate the isotopic ratio of a pure individual standard and compare the result to the given EA-IRMS value [29]. So, the δ13C values of pure HCHs were initially measured by EA-IRMS.
The measured δ13C values of the reference materials USGS62 and USGS40 were −14.76 ± 0.1‰ and −25.58 ± 0.05‰, respectively. The standard deviation was within the instrumental uncertainty (±0.5‰), indicating that the measured results were reliable. The linear regression between the measured values and the true values was performed and shown in Figure 1. The slope of the regression was 1.072, very close to 1, indicating that the instrument was in good working order and had high accuracy. The δ13C values of the pure HCHs determined under this system were shown in Table 2. The δ13C values of HCHs directly measured by EA-IRMS were used as the measured value y, and the two-point correction was substituted into the regression equation to obtain the corrected δ13C values. The δ13C values of α-, β-, γ-, and δ-HCH were −25.58 ± 0.02‰, −25.69 ± 0.05‰, −27.68 ± 0.03‰, and −26.74 ± 0.03‰, respectively (Table 2). The standard deviations were between 0.02–0.05‰ (<±0.5‰), indicating the results were reliable and accurate. These δ13C values of the pure HCHs were used to evaluate the accuracy of the GC-IRMS system.
Figure 1.
The fitting curve between measured and true values of the isotopic reference materials.
Table 2.
Comparison between EA-IRMS and GC-IRMS for HCHs, α-HCH enantiomers, respectively and the MDLs of HCHs, after liquid–liquid extraction.
2.2. Resolution of the HCHs and Determination of Their Carbon Isotope Ratios
The δ13C values and signal intensity obtained by CSIA and ESIA for different concentrations of α-, β-, γ-, δ-, (+)α- and (−)α-HCH were shown in Figure 2, according to the method described by Jochmann et al. [30]. The m/z = 44 ion signal intensity of the HCHs increased with the concentration and showed good linearity in calibration coefficients (R2 > 0.99). As the concentration decreased, the m/z = 44 gradually became positive, and the method detection limits (MDLs) were obtained. The MDLs of α-, β-, γ-, δ-, (+)α- and (−)α-HCH were 181 ± 2, 265 ± 3, 177 ± 2, 176 ± 1, 469 ± 8 and 338 ± 23 mV, respectively (Table 2). This meant that the accuracy of the isotope analysis can be guaranteed in a range better than the MDLs. Therefore, it is necessary to ensure that the signal intensity is higher than its MDLs in order to maintain a good accuracy of measurement of the δ13C values.
Figure 2.
The method detection limits and linearity range of HCHs. (a) α-HCH (b) β-HCH, (c) γ-HCH, (d) δ-HCH. (e) (+)α-HCH (f) (−)α-HCH. The diamonds represent the δ13C values in per mil and the squares show the amplitude of mass 44 in mV. The dashed lines represent the intervals of δ13C measured by EA-IRMS ± 0.5‰. Each point was measured three times, and the error bars represent the standard deviation.
The δ13C values of HCHs measured by EA-IRMS and GC-IRMS were shown in Table 2. The averaged δ13C values of the α-, β-, γ-, and δ-HCH references measured by the GC-IRMS system were −26.23 ± 0.25‰, −25.90 ± 0.31‰, −27.93 ± 0.31‰, −26.84 ± 0.2‰, respectively. Comparably those measured by the EA-IRMS system were −25.58 ± 0.02‰, −25.69 ± 0.05‰, −27.68 ± 0.03‰, −26.74 ± 0.03‰, respectively, demonstrating relatively good agreement between these two systems. There are slight differences between the two systems, the reasons for which could be, firstly, that the pure HCHs contain little impurities that possess different carbon isotope compositions with HCHs; secondly, different test systems had different analysis paths and different sample processing; finally, some manual operational factors in the sample preparation process might cause some minor analysis errors. Overall, the results of the two systems agreed well, verifying the accuracy of the HCHs carbon isotope ratios measured by GC-IRMS.
For the evaluation of the potential isotope effects induced by the extraction method, the δ13C values from the GC-IRMS analysis were considered as references. The measurement results after extraction were shown in Table 2. The obtained δ13C values shifts ranged from 0‰ to 0.21‰, showing no significant difference compared to that before extraction. The results showed that shifts in the δ13C values before and after the HCHs extraction from groundwater were in good agreement and a minor difference might be from measurement uncertainties.
2.3. Applications
2.3.1. Source Identification
First, 100 mg/L HCHs standard solutions were measured from three different manufacturers from Germany and China. The results showed that the same reagents from different manufacturers have different carbon isotope compositions, and different isomers from the same manufacturer also have different isotope compositions (Table 3), which were different from the results of Chartrand et al. [17]. These differences were affected by the raw materials and/or synthesis process [10,31], which provided data support for the source identification of HCHs in contaminated sites.
Table 3.
The δ13C values of HCHs from different manufacturers.
2.3.2. Identification Degradation of HCHs in Groundwater from Contaminated Site
The δ13C values of HCHs of contaminated groundwater samples were analyzed according to the method described above. The results (Table 4) showed that the distant pollution source (D2) was more enriched in δ13C (α-, β-, γ-, and δ-HCH) than the nearby pollution source (D1), indicating that HCHs undergo biodegradation or/and chemical reactions during groundwater migration. Moreover, there was more enrichment in δ13C of (−)α-HCH than that of (+)α-HCH, indicating the occurrence of biodegradation.
Table 4.
The δ13C of HCHs of groundwater from contaminated site.
2.3.3. The α-HCH Oxidation by the CaO2/Fe(II) Fenton System
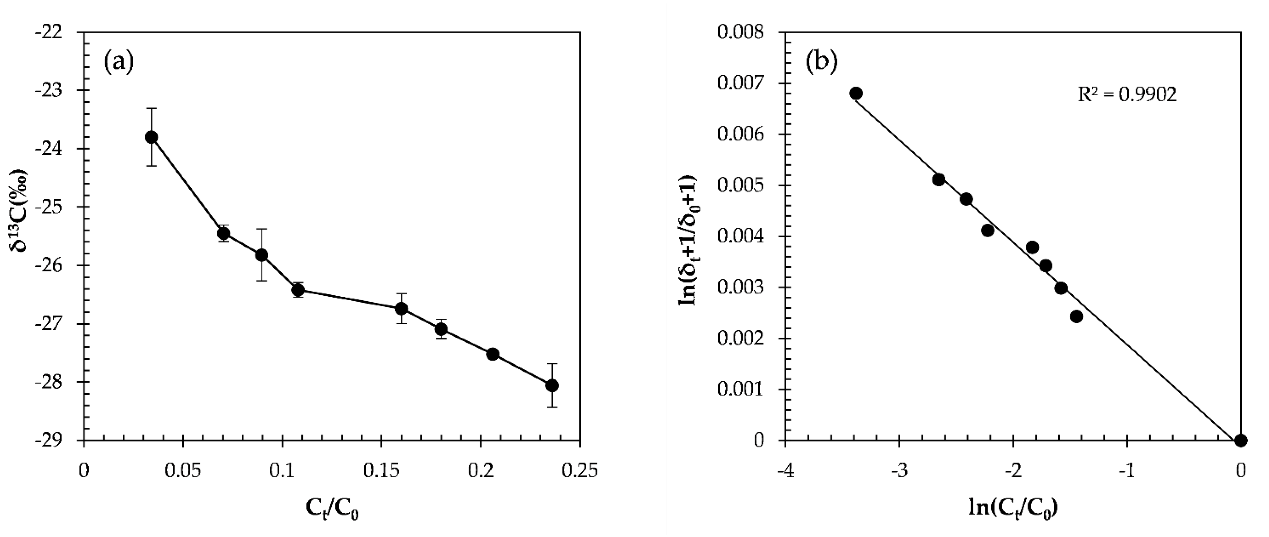
Oxidation by the CaO2/Fe(II) Fenton system led to 96.6% degradation of α-HCH within 4 h (Figure 3a). The carbon isotope ratio of α-HCH was enriched in 13C from −30.42 ± 0.1‰ to −23.95 ± 0.1‰ (Figure 3b) and gave εC of −1.9 ± 0.1‰. The εC was similar to that of the indirect photolysis (UV/H2O2, ≥280 nm, εC = −1.9 ± 0.2‰) [15]. Therefore, this may indicate the same mechanism for both systems, demonstrated a dichloroelimination involving two-electron transfers to α-HCH with the cleavage of two C–Cl bonds being expected as the initial step of the reaction. Electrons provided by CaO2 may attack HCHs by two-electron transfers eliminating two chlorine atoms from the rings and forming a double bond [15].
Figure 3.
The α-HCH transformation by CaO2: (a) remaining fraction and carbon isotope ratios for oxidation by CaO2; (b) double logarithmic plot according to the Rayleigh equation.
3. Materials and Methods
3.1. Chemicals and Reagents
α-HCH (purity > 98.1%), β-HCH (purity > 98.6%), γ-HCH (purity > 98.8%), and δ-HCH (purity > 99.2%) were purchased from Dr. Ehrenstorfer (Augsburg, Germany). USGS40 and USGS42 were purchased from US Geological Survey (Reston, VA, USA). Analytical grade HCH mixes (α:β:γ:δ = 1:1:1:1) (98.1% purity) were obtained from TMRM (Shanghai, China) and Agro-Environmental Protection Institute, Ministry of Agriculture (Tianjin, China). Hexane and methanol (purity > 99.5%) were obtained from Fisher Scientific (Waltham, MA, USA). Anhydrous sodium sulfate (Na2SO4, purity ≥ 99.5%), sodium chloride (NaCl, purity > 99.0%), and ferrous sulfate heptahydrate (FeSO4∙7H2O, purity > 99.0%) were purchased from Tianjin Damao Chemical Reagent Factory (Tianjin, China). Calcium peroxide (CaO2, 70.0%) was obtained from Shandong Xiya Chemical Co., Ltd. (Shandong, China). Helium, carbon dioxide, oxygen (purity ≥ 99.999%), and dry compressed air were also prepared. Milli-Q water (resistivity of 18.2 MΩ·cm) was obtained using a Millipore ultra-pure water system.
3.2. EA-IRMS Measurement for Determination of Reference Values
EA-IRMS analysis of the pure HCHs standard was performed on a MAT 253 IRMS coupled to a ConFlo IV interface linked to a Flash 2000 EA operated in continuous-flow mode (Thermo Fisher Scientific, Waltham, MA, USA). A sample of 0.14–0.17 mg of pure HCHs standard was wrapped in a tin cup, and four duplicates were analyzed. The oxidation reactor was set to 960 °C and the GC column temperature was set to 50 °C. A two-point calibration was employed vs. the Vienna Pee Dee Belemnite (VPDB) scale, by means of USGS40 (−26.389‰) and USGS62 (−14.79‰) from the US Geological Survey, as described elsewhere [32,33]. The stable carbon isotope ratio 13C/12C is expressed as δ13C in ‰ and the carbon isotope value is expressed according to Equation (1):
where Rsample and Rstandard were the ratios of 13C/12C for the sample and standard, respectively. All δ13C values were relative to the VPDB standard (δ13CVPDB) [32].
δ13C = Rsample/Rstandard − 1,
3.3. GC-IRMS Conditions for Carbon Isotope Analysis
The CSIA of the HCHs standard was performed on a MAT 253 IRMS coupled to a GC Trace GC 1310 via a GC Isolink II combustion reactor interface (Thermo Fisher Scientific, Bremen, Germany) operating in continuous-flow mode. The samples were oxidized by passage through a combustion oven containing NiO/CuO operated at 1000 °C. The carrier gas was helium, and the flow rate was 2 mL/min. The injection was in spitless mode, and a ZB-1 GC capillary column (60 m × 0.32 mm × 1 μm, Phenomenex, Aschaffenburg, Germany) was used. The initial temperature was 40 °C and was held for 5 min. The temperature was then increased to 100 °C at a rate of 10 °C/min and was held for 5 min, then increased to 180 °C at a rate of 10 °C/min, then increased to 230 °C at a rate of 3 °C/min, then increased to 260 °C at a rate of 10 °C/min and was held for 10 min. The inlet temperature was 280 °C. The injection volume was 1 μL.
The ESIA of the HCHs standard was performed as the same system with the CSIA but equipped with a γ-DEX™ 120 chiral column (30 m × 0.25 mm × 0.25 μm, Supelco, Bellefonte, PA, USA). The initial temperature was 120 °C and was held for 10 min. Then, the temperature increased to 168 °C at a rate of 1 °C/min, then increased to 220 °C at a rate of 20 °C/min and was held for 3 min. The inlet temperature was 250 °C and the helium was used as carrier gas at the rate of 1.5 mL/min. The injection volume was 1 μL.
Three replicates were measured per sample in order to assess the reproducibility. At the beginning of each analysis, CO2 reference gas was introduced into the IRMS setup in five pulses for CSIA and three pulses for ESIA in order to calculate carbon isotope data.
3.4. GC-ECD for the HCHs Testing
Concentration testing of the HCHs was performed on a Trace GC 1310 Gas Chromatograph (Thermo Fisher Scientific, Waltham, MA, USA), equipped with DB-1701 column (30 m × 0.25 mm × 0.25 μm, Agilent Technologies, Santa Clara, CA, USA) with the following temperature program: the initial temperature was 40 °C and was held for 5 min, then increased to 100 °C at a rate of 10 °C/min and was held for 5 min, then increased to 180 °C at a rate of 10 °C/min, then increased to 230 °C at a rate of 3 °C/min, then increased to 260 °C at a rate of 10 °C/min and was held for 10 min. The inlet temperature was 280 °C. The injection volume was 1 μL.
3.5. Experimental Method
3.5.1. Standard Solution
A total of 5.0 mg of crystalline α-HCH, β-HCH, γ-HCH, and δ-HCH were weighed into silver capsules and loaded into the EA-IRMS system. They were dissolved in n-hexane and diluted to a 10 mL volumetric flask to prepare a 500 mg/L standard solution and were stored in the dark. The standard solutions were diluted with n-hexane into 400, 300, 200, 100, 75, 50, 40, 30, 25, 20, 18, 15 mg/L of HCHs solutions for isotopic analysis.
3.5.2. Sample Pre-Concentration
The water samples were transferred into a 1 L separatory funnel and extracted three times with 30 mL of dichloromethane (shaking 15 min, rotation speed 240 r/min). The three extracts were mixed with anhydrous Na2SO4 and were dried in a 250 mL pear-shaped flask and evaporated with a rotary evaporator under reduced pressure. When the remaining solvent volume was about 2 mL, it evaporated to near dryness with mild nitrogen at room temperature and was diluted to 1 mL with n-hexane for analysis. Sulfuric acid was also required for purification when analyzing the actual groundwater samples.
3.6. Instrumental Method Detection Limits
The instrumental MDLs in this study were determined according to the Jochmann dynamic average method [30]. The mean δ13C values of the 400, 300, 200 mg/L of the HCHs were determined. An interval of ±0.5% has been set around the calculated mean value. This interval incorporates the total analytical error, including the internal reproducibility on triplicate measurements as well as the accuracy of the measurement based on international standards. As a moving average, the δ13C value of the next lower concentration level was added into the calculation of the mean value in the next round. For triplicate measurements, the last concentration whose δ13C value was within this interval and for which the standard deviation was less than ±0.5% is defined as the MDLs.
3.7. Groundwater Samples
Groundwater samples were collected from a former pesticide plant using a bladder pump (Geocontrol PRO, Geotech, Denver, CO, USA) at low flow (10 mL/min). Each well was purged prior to sampling until dissolved oxygen (DO), pH, electrical conductivity (EC) and oxidation reduction potential (ORP) were stabilized. Two 1 L groundwater were collected in glass bottles and capped with a Teflon septum without headspace, in order to avoid evaporation. All samples were stored at 4 °C until extraction.
3.8. Oxidation Experiment
Oxidation experiments were conducted in a batch mode by using a series of 250 mL glass reactors at 25 ± 2 °C. The equilibrated α-HCH solutions were added into the reactor and then diluted to 0.5 mg/L, and then sealed the reactor and mixed the solution with an 800 rpm stirring speed overnight. The experiments showed that there were limited effects in the concentration caused by the volatilization and absorption of α-HCH. The initial solution pH was adjusted to 2 using H2SO4 solution, and the reaction started after adding the predetermined dose of Fe(II) reagent and CaO2. At the desired time, 20 mL samples were transferred to a bottle and immediately mixed with 1 mL methanol to quench the reaction and were analyzed by GC and GC-IRMS after pre-concentration. Each sample was analyzed in triplicate and the average values were displayed.
4. Conclusions
The testing accuracy of the δ13C values for HCHs measured by GC-IRMS was verified by comparison with those obtained by using EA-IRMS, and a minor difference between two systems verified the accuracy of the HCHs carbon isotope ratio measured by GC-IRMS in our study. We demonstrated that liquid–liquid extraction did not result in isotopic fractionation of HCHs solutions from water samples, supporting that the method can provide accurate δ13C values of HCHs from pre-concentration aqueous samples. A difference in δ13C between α-, β-, γ-and δ-HCH of different manufacturers was observed, suggesting that CSIA is capable of distinguishing between different HCHs sources. CSIA and ESIA of the real-world groundwater samples from a contaminated site provided evidence that biodegradation and/or chemical reaction of HCHs occurred at the site. Oxidation by the CaO2/Fe(II) Fenton system of α-HCH gave εC of −1.9 ± 0.1‰, indicating that the dichloroelimination involving two-electron transfers to α-HCH with the cleavage of two C-Cl bonds was expected as an initial step of the reaction mechanism. This proposed method thus enables applications of CSIA to contaminated sites for tracking HCHs sources, transformation processes and potential degradation pathways. This method can also provide useful evidence in identifying the chemical and/or biochemical reactive mechanism of HCHs.
Author Contributions
Conceptualization, C.G. and Y.Y.; methodology, C.G. and Y.W.; validation, Y.W., Y.X. (Yu Xia) and H.L.; formal analysis, W.C. and Y.X. (Yi Xie); investigation, C.G. and Y.W.; resources, Y.Y.; writing—original draft preparation, C.G. and Y.Y.; writing—review and editing, C.G. and Y.Y.; visualization, C.G.; funding acquisition, Y.Y. All authors have read and agreed to the published version of the manuscript.
Funding
This research was funded by the National Major R&D Program (no. 2019YFC1804801), the National Natural Science Foundation of China (NSFC project no. 42172284), and the Major R&D Project of Liaoning Province (no. 2020JH2/10300083).
Institutional Review Board Statement
Not applicable.
Informed Consent Statement
Not applicable.
Data Availability Statement
Not applicable.
Conflicts of Interest
The authors declare no conflict of interest.
Sample Availability
Samples of the compounds are not available from the authors.
References
- Ivdra, N.; Herrero-Martín, S.; Fischer, A. Validation of user- and environmentally friendly extraction and clean-up methods for compound-specific stable carbon isotope analysis of organochlorine pesticides and their metabolites in soils. J. Chromatogr. A 2014, 1355, 36–45. [Google Scholar] [CrossRef] [PubMed]
- Vijgen, J.; Abhilash, P.C.; Li, Y.F.; Lal, R.; Forter, M.; Torres, J.; Singh, N.; Yunus, M.; Tian, C.; Schäffer, A. Hexachlorocyclohexane (HCH) as new Stockholm Convention POPs--a global perspective on the management of Lindane and its waste isomers. Environ. Sci. Pollut. Res. Int. 2011, 18, 152–162. [Google Scholar] [CrossRef] [PubMed]
- Xu, Y.; Niu, L.; Qiu, J.; Zhou, Y.; Lu, H.; Liu, W. Stereoselective accumulations of hexachlorocyclohexanes (HCHs) are correlated with Sphingomonas spp. in agricultural soils across China. Environ. Pollut. 2018, 240, 27–33. [Google Scholar] [CrossRef] [PubMed]
- Yu, S.Y.; Liu, W.J.; Xu, Y.S.; Zhao, Y.Z.; Cai, C.Y.; Liu, Y.; Wang, X.; Xiong, G.N.; Tao, S.; Liu, W.X. Organochlorine pesticides in ambient air from the littoral cities of northern China: Spatial distribution, seasonal variation, source apportionment and cancer risk assessment. Sci. Total Environ. 2019, 652, 163–176. [Google Scholar] [CrossRef]
- Pan, H.; Lei, H.; He, X.; Xi, B.; Xu, Q. Spatial distribution of organochlorine and organophosphorus pesticides in soil-groundwater systems and their associated risks in the middle reaches of the Yangtze River Basin. Environ. Geochem. Health 2019, 41, 1833–1845. [Google Scholar] [CrossRef]
- Liu, B.; Li, Y.; Ma, J.; Huang, L.; Chen, L. Detection of semi-volatile organic compounds (SVOCs) in surface water, soil, and groundwater in a chemical industrial park in Eastern China. Water Sci. Technol. 2016, 73, 1175–1189. [Google Scholar] [CrossRef]
- Wu, C.; Luo, Y.; Gui, T.; Huang, Y. Concentrations and potential health hazards of organochlorine pesticides in shallow groundwater of Taihu Lake region, China. Sci. Total Environ. 2014, 470–471, 1047–1055. [Google Scholar] [CrossRef]
- Elsner, M.; Jochmann, M.A.; Hofstetter, T.B.; Hunkeler, D.; Bernstein, A.; Schmidt, T.C.; Schimmelmann, A. Current challenges in compound-specific stable isotope analysis of environmental organic contaminants. Anal. Bioanal. Chem. 2012, 403, 2471–2491. [Google Scholar] [CrossRef]
- Fischer, A.; Manefield, M.; Bombach, P. Application of stable isotope tools for evaluating natural and stimulated biodegradation of organic pollutants in field studies. Curr. Opin. Biotechnol. 2016, 41, 99–107. [Google Scholar] [CrossRef]
- Nijenhuis, I.; Renpenning, J.; Kümmel, S.; Richnow, H.H.; Gehre, M. Recent advances in multi-element compound-specific stable isotope analysis of organohalides: Achievements, challenges and prospects for assessing environmental sources and transformation. Trends Environ. Anal. Chem. 2016, 11, 1–8. [Google Scholar] [CrossRef]
- Badea, S.-L.; Danet, A.-F. Enantioselective stable isotope analysis (ESIA)—A new concept to evaluate the environmental fate of chiral organic contaminants. Sci. Total Environ. 2015, 514, 459–466. [Google Scholar] [CrossRef] [PubMed]
- Badea, S.-L.; Vogt, C.; Weber, S.; Danet, A.-F.; Richnow, H.-H. Stable Isotope Fractionation of γ-Hexachlorocyclohexane (Lindane) during Reductive Dechlorination by Two Strains of Sulfate-Reducing Bacteria. Environ. Sci. Technol. 2009, 43, 3155–3161. [Google Scholar] [CrossRef] [PubMed]
- Badea, S.-L.; Vogt, C.; Gehre, M.; Fischer, A.; Danet, A.-F.; Richnow, H.-H. Development of an enantiomer-specific stable carbon isotope analysis (ESIA) method for assessing the fate of α-hexachlorocyclo-hexane in the environment. Rapid Commun. Mass Spectrom. 2011, 25, 1363–1372. [Google Scholar] [CrossRef] [PubMed]
- Bashir, S.; Fischer, A.; Nijenhuis, I.; Richnow, H.-H. Enantioselective Carbon Stable Isotope Fractionation of Hexachlorocyclohexane during Aerobic Biodegradation by Sphingobium spp. Environ. Sci. Technol. 2013, 47, 11432–11439. [Google Scholar] [CrossRef]
- Zhang, N.; Bashir, S.; Qin, J.; Schindelka, J.; Fischer, A.; Nijenhuis, I.; Herrmann, H.; Wick, L.Y.; Richnow, H.H. Compound specific stable isotope analysis (CSIA) to characterize transformation mechanisms of α-hexachlorocyclohexane. J. Hazard. Mater. 2014, 280, 750–757. [Google Scholar] [CrossRef]
- Bashir, S.; Hitzfeld, K.L.; Gehre, M.; Richnow, H.H.; Fischer, A. Evaluating degradation of hexachlorcyclohexane (HCH) isomers within a contaminated aquifer using compound-specific stable carbon isotope analysis (CSIA). Water Res. 2015, 71, 187–196. [Google Scholar] [CrossRef]
- Chartrand, M.; Passeport, E.; Rose, C.; Lacrampe-Couloume, G.; Bidleman, T.F.; Jantunen, L.M.; Sherwood Lollar, B. Compound specific isotope analysis of hexachlorocyclohexane isomers: A method for source fingerprinting and field investigation of in situ biodegradation. Rapid Commun. Mass Spectrom. 2015, 29, 505–514. [Google Scholar] [CrossRef]
- Liu, Y.; Bashir, S.; Stollberg, R.; Trabitzsch, R.; Weiß, H.; Paschke, H.; Nijenhuis, I.; Richnow, H.-H. Compound Specific and Enantioselective Stable Isotope Analysis as Tools to Monitor Transformation of Hexachlorocyclohexane (HCH) in a Complex Aquifer System. Environ. Sci. Technol. 2017, 51, 8909–8916. [Google Scholar] [CrossRef]
- Ivdra, N.; Fischer, A.; Herrero-Martin, S.; Giunta, T.; Bonifacie, M.; Richnow, H.-H. Carbon, Hydrogen and Chlorine Stable Isotope Fingerprinting for Forensic Investigations of Hexachlorocyclohexanes. Environ. Sci. Technol. 2017, 51, 446–454. [Google Scholar] [CrossRef]
- Liu, Y.; Wu, L.; Kohli, P.; Kumar, R.; Stryhanyuk, H.; Nijenhuis, I.; Lal, R.; Richnow, H.-H. Enantiomer and Carbon Isotope Fractionation of α-Hexachlorocyclohexane by Sphingobium indicum Strain B90A and the Corresponding Enzymes. Environ. Sci. Technol. 2019, 53, 8715–8724. [Google Scholar] [CrossRef]
- Schilling, I.E.; Bopp, C.E.; Lal, R.; Kohler, H.-P.E.; Hofstetter, T.B. Assessing Aerobic Biotransformation of Hexachlorocyclohexane Isomers by Compound-Specific Isotope Analysis. Environ. Sci. Technol. 2019, 53, 7419–7431. [Google Scholar] [CrossRef] [PubMed]
- Schilling, I.E.; Hess, R.; Bolotin, J.; Lal, R.; Hofstetter, T.B.; Kohler, H.-P.E. Kinetic Isotope Effects of the Enzymatic Transformation of γ-Hexachlorocyclohexane by the Lindane Dehydrochlorinase Variants LinA1 and LinA2. Environ. Sci. Technol. 2019, 53, 2353–2363. [Google Scholar] [CrossRef] [PubMed] [Green Version]
- Liu, Y.; Kümmel, S.; Yao, J.; Nijenhuis, I.; Richnow, H.-H. Dual C–Cl isotope analysis for characterizing the anaerobic transformation of α, β, γ, and δ-hexachlorocyclohexane in contaminated aquifers. Water Res. 2020, 184, 116128. [Google Scholar] [CrossRef] [PubMed]
- Liu, Y.; Liu, J.; Renpenning, J.; Nijenhuis, I.; Richnow, H.-H. Dual C–Cl Isotope Analysis for Characterizing the Reductive Dechlorination of α- and γ-Hexachlorocyclohexane by Two Dehalococcoides mccartyi Strains and an Enrichment Culture. Environ. Sci. Technol. 2020, 54, 7250–7260. [Google Scholar] [CrossRef] [PubMed]
- Zhang, J.; Liu, S.; Gui, J.; Li, X.; Qi, G. Compound-Specific Chlorine Isotope Analysis of Organochlorine Pesticides by Gas Chromatography-Negative Chemical Ionization Mass Spectrometry. J. Anal. Methods Chem. 2021, 2021, 8874679. [Google Scholar] [CrossRef]
- Badea, S.-L.; Stegarus, D.-I.; Niculescu, V.-C.; Enache, S.; Soare, A.; Ionete, R.-E.; Gori, D.; Höhener, P. Dehalogenation of α-hexachlorocyclohexane by iron sulfide nanoparticles: Study of reaction mechanism with stable carbon isotopes and pH variations. Sci. Total Environ. 2021, 801, 149672. [Google Scholar] [CrossRef]
- Ai, G.; Sun, T.; Dong, X. Gas chromatography/isotope ratio mass spectrometry: Analysis of methanol, ethanol and acetic acid by direct injection of aqueous alcoholic and acetic acid samples. Rapid Commun. Mass Spectrom. 2014, 28, 1674–1682. [Google Scholar] [CrossRef]
- Cheng, G.; Gao, S.; Gao, Y.; Yu, Z.; Peng, P.a. Compound-specific stable carbon isotope analysis of hexabromocyclododecane diastereoisomers using gas chromatography/isotope ratio mass spectrometry. Rapid Commun. Mass Spectrom. 2019, 33, 1318–1323. [Google Scholar] [CrossRef]
- Neves, L.A.; Rodrigues, J.M.; Daroda, R.J.; Silva, P.R.M.; Ferreira, A.A.; Aranda, D.A.G.; Eberlin, M.N.; Fasciotti, M. The influence of different referencing methods on the accuracy of δ13C value measurement of ethanol fuel by gas chromatography/combustion/isotope ratio mass spectrometry. Rapid Commun. Mass Spectrom. 2015, 29, 1938–1946. [Google Scholar] [CrossRef]
- Jochmann, M.A.; Blessing, M.; Haderlein, S.B.; Schmidt, T.C. A new approach to determine method detection limits for compound-specific isotope analysis of volatile organic compounds. Rapid Commun. Mass Spectrom. 2006, 20, 3639–3648. [Google Scholar] [CrossRef]
- Liu, X.; Wu, L.; Kümmel, S.; Richnow, H.H. Stable isotope fractionation associated with the synthesis of hexachlorocyclohexane isomers for characterizing sources. Chemosphere 2022, 296, 133938. [Google Scholar] [CrossRef] [PubMed]
- Coplen, T.B. Guidelines and recommended terms for expression of stable-isotope-ratio and gas-ratio measurement results. Rapid Commun. Mass Spectrom. 2011, 25, 2538–2560. [Google Scholar] [CrossRef] [PubMed]
- Coplen, T.B.; Brand, W.A.; Gehre, M.; Gröning, M.; Meijer, H.A.J.; Toman, B.; Verkouteren, R.M. After two decades a second anchor for the VPDB δ13C scale. Rapid Commun. Mass Spectrom. 2006, 20, 3165–3166. [Google Scholar] [CrossRef] [PubMed] [Green Version]
Publisher’s Note: MDPI stays neutral with regard to jurisdictional claims in published maps and institutional affiliations. |
© 2022 by the authors. Licensee MDPI, Basel, Switzerland. This article is an open access article distributed under the terms and conditions of the Creative Commons Attribution (CC BY) license (https://creativecommons.org/licenses/by/4.0/).


