Hydrophobically Associating Polymers Dissolved in Seawater for Enhanced Oil Recovery of Bohai Offshore Oilfields
Abstract
:1. Introduction
2. Results and Discussion
2.1. Optimization of Polymerization
2.2. Solid Content of Polymer
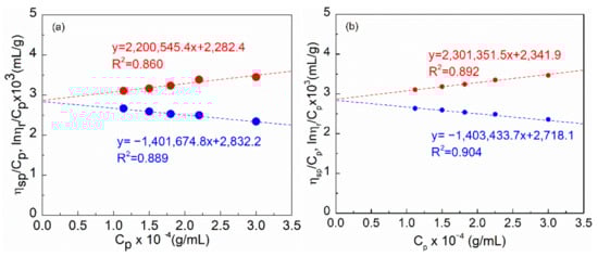
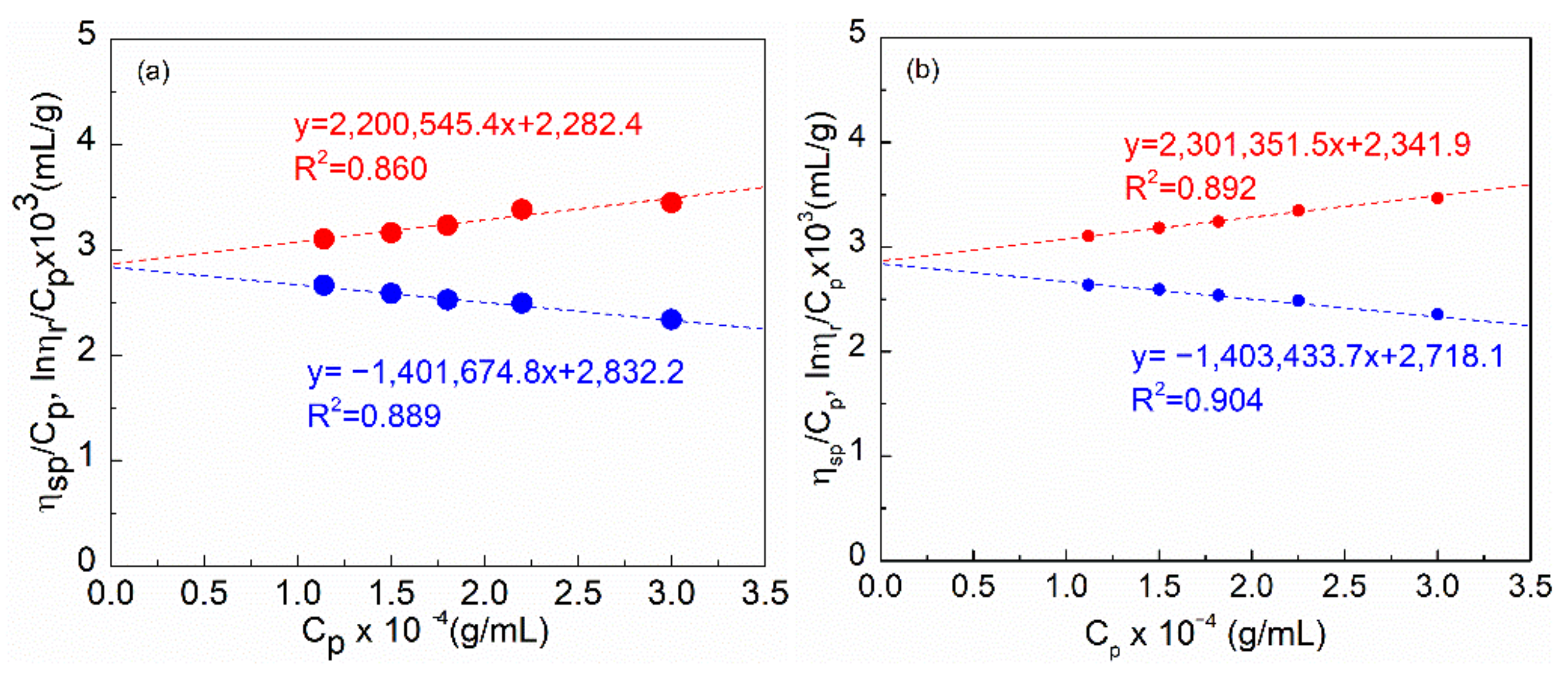
2.3. Molecular Weight of Polymer
2.4. Solubility of Polymer
2.5. Thickening Ability of Polymer Solution
2.6. Shear Tolerance of Polymer Solutions
2.7. Salt Tolerance of Polymer Solutions
2.8. Long-Term Thermal Stability of Polymer Solutions
2.9. Core Displacement Experiment
3. Experimental Procedures
3.1. Materials
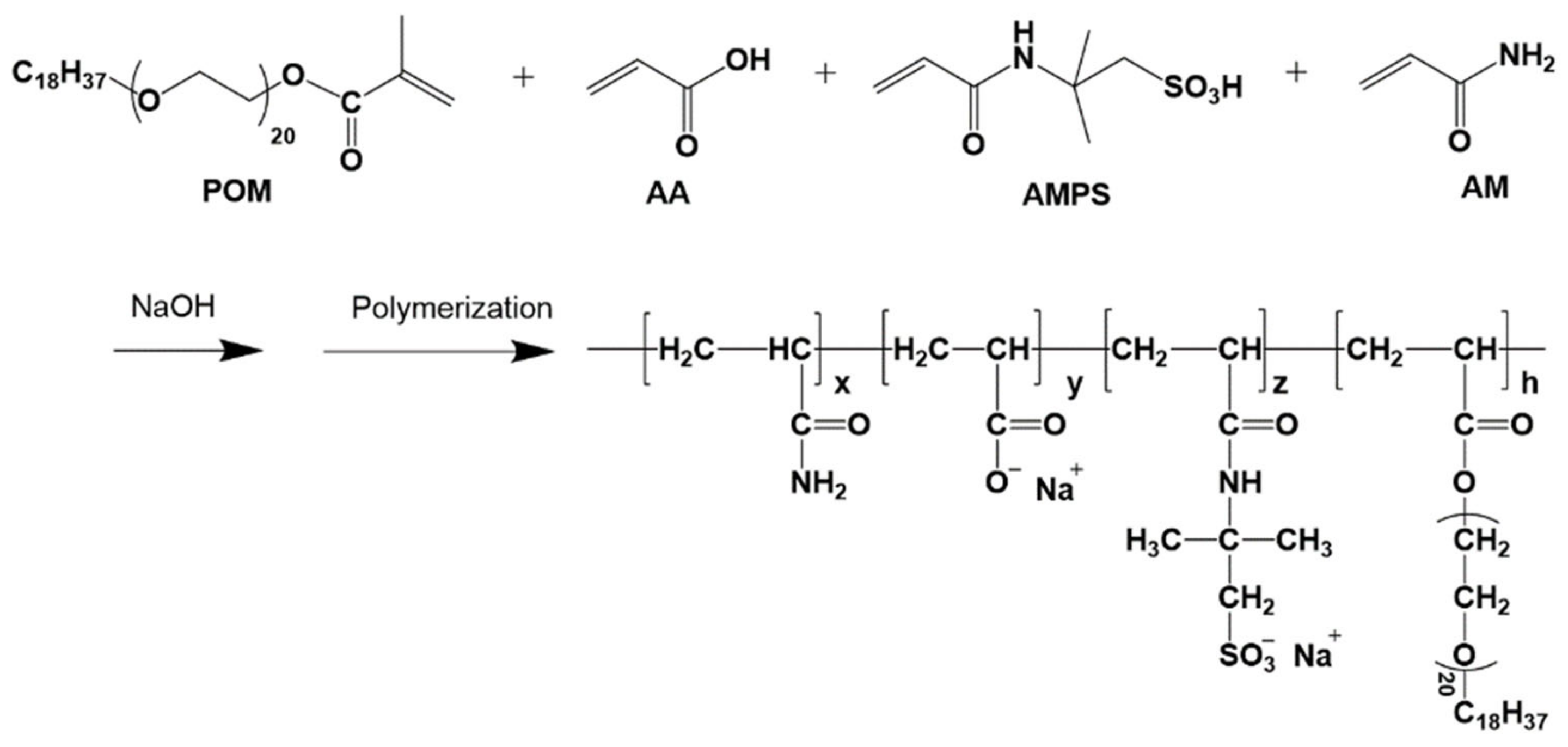
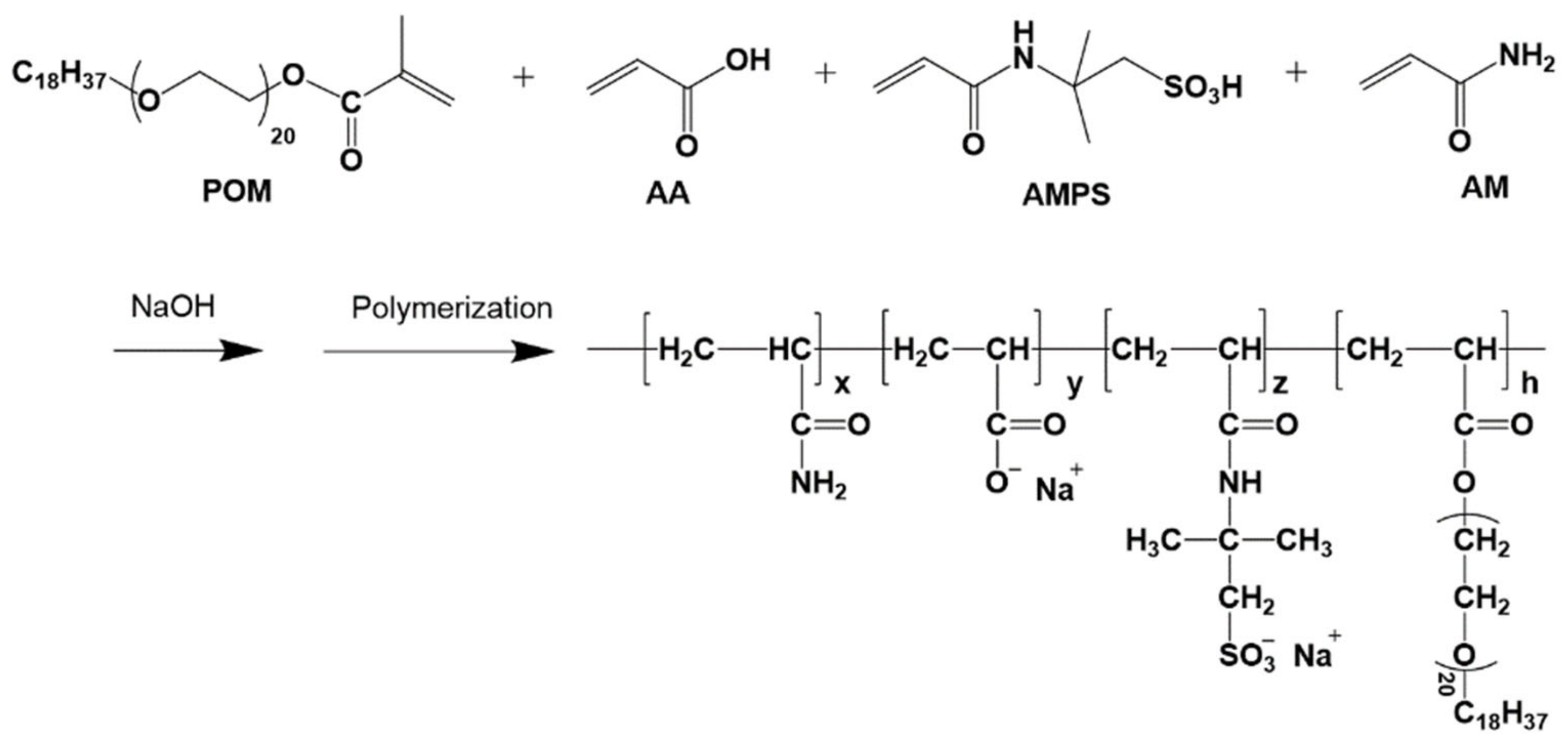
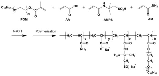
3.2. Polymerization
3.3. Molecular Structure Characterization
3.4. Measurement of Viscosity
3.5. Dissolution Time
3.6. Measurement of Molecular Weight
3.7. Long-Term Thermal Stability
3.8. Core Flooding Test
4. Conclusions
Supplementary Materials
Author Contributions
Funding
Institutional Review Board Statement
Informed Consent Statement
Data Availability Statement
Conflicts of Interest
References
- Thomas, S. Enhanced oil recovery-an overview. Oil Gas Sci. Technol. 2008, 63, 9–19. [Google Scholar] [CrossRef] [Green Version]
- Gbadamosi, A.O.; Junin, R.; Manan, M.A.; Agi, A.; Yusuff, A.S. An overview of chemical enhanced oil recovery: Recent advances and prospects. Int. Nano Lett. 2019, 9, 171–202. [Google Scholar] [CrossRef] [Green Version]
- Chen, S.Y.; Zhang, Q.; Mclellan, B.; Zhang, T.T. Review on the petroleum market in China: History, challenges and prospects. Pet. Sci. 2020, 17, 1779–1794. [Google Scholar] [CrossRef]
- Zhang, G.C.; Jin, L.; Lan, L.; Zhao, Z. Analysis of the orderly distribution of oil and gas fields in China based on the theory of co-control of source and heat. Nat. Gas Ind. B. 2015, 2, 49–76. [Google Scholar] [CrossRef] [Green Version]
- Chen, B.; Zhao, L.; Wang, C.S.; Chen, S.J.; Wu, X.Y.; Li, Q.; Zuo, Q.Q. The analysis of formation of polymer-containing oily sludge produced during the wastewater treatment in offshore oilfield. Energy Sci. Eng. 2018, 6, 675–682. [Google Scholar] [CrossRef]
- Liu, J.X.; Guo, Y.J.; Hu, J.; Zhang, J.; Lv, X.; Zhang, X.M.; Xue, X.S.; Luo, P.Y. Displacement characters of combination flooding systems consisting of Gemini-nonionic mixed surfactant and hydrophobically associating polyacrylamide for Bohai Offshore Oilfield. Energy Fuels 2012, 26, 2858–2864. [Google Scholar]
- Sheng, J.J.; Leonhardt, B.; Azri, N. Status of polymer-flooding technology. J. Can. Pet. Technol. 2015, 54, 116–126. [Google Scholar] [CrossRef]
- Seright, R.S.; Fan, T.G.; Wavrik, K.; Balaban, R.D. New insights into polymer rheology in porous media. SPE J. 2011, 16, 35–42. [Google Scholar] [CrossRef]
- Needham, R.B.; Doe, P.H. Polymer flooding review. J. Petrol. Technol. 1987, 39, 1503–1507. [Google Scholar] [CrossRef]
- Chang, H.L. Polymer flooding technology-yesterday, today, and tomorrow. J. Petrol. Technol. 1978, 30, 1113–1128. [Google Scholar] [CrossRef]
- Kamal, M.S.; Sultan, A.S.; Al-Mubaiyedh, U.A.; Hussein, I.A. Review on polymer flooding: Rheology, adsorption, stability, and field applications of various polymer systems. Polym. Rev. 2015, 55, 491–530. [Google Scholar] [CrossRef]
- Peng, S.F.; Wu, C. Light scattering study of the formation and structure of partially hydrolyzed poly(acrylamide)/calcium(II) complexes. Macromolecules 1999, 32, 585–589. [Google Scholar] [CrossRef] [Green Version]
- Yang, M.H. Rheological behavior of polyacrylamide solution. J. Polym. Eng. 1999, 19, 371–381. [Google Scholar] [CrossRef]
- Muller, G. Thermal-stability of high-molecular-weight polyacrylamide aqueous-solutions. Polym. Bull. 1981, 5, 31–37. [Google Scholar] [CrossRef]
- Sonker, E.; Tiwari, R.; Adhikary, P.; Kumar, K.; Krishnamoorthi, S. Preparation of ultra-high-molecular-weight polyacrylamide by vertical solution polymerization technique. Polym. Eng. Sci. 2019, 59, 1175–1181. [Google Scholar] [CrossRef]
- Chremos, A.; Douglas, J.F. Influence of branching on the configurational and dynamical properties of entangled polymer melts. Polymers 2019, 11, 1045. [Google Scholar] [CrossRef] [Green Version]
- Iliopoulos, I.; Wang, T.K.; Audebert, R. Viscometric evidence of interactions between hydrophobically modified poly(sodium acrylate) and sodium dodecyl-sulfate. Langmuir 1991, 7, 617–619. [Google Scholar] [CrossRef]
- Tam, K.C.; Farmer, M.L.; Jenkins, R.D.; Bassett, D.R. Rheological properties of hydrophobically modified alkali-soluble polymers—Effects of ethylene-oxide chain length. J. Polym. Sci. Part B Polym. Phys. 1998, 36, 2275–2290. [Google Scholar] [CrossRef]
- Kujawa, P.; Audibert-Hayet, A.; Selb, J.; Candau, F. Effect of ionic strength on the rheological properties of multisticker associative polyelectrolytes. Macromolecules 2006, 39, 384–392. [Google Scholar] [CrossRef]
- Uranta, K.G.; Gomari, S.R.; Russell, P.; Hamad, F. Application of polymer integration technique for enhancing polyacrylamide (HPAM) performance in high temperature and high salinity reservoirs. Heliyon 2019, 5, e02113. [Google Scholar] [CrossRef]
- Mejia, A.; Rodriguez, L.; Schmitt, C.; Andreu, N.; Favéro, C.; Braun, O.; Dupuis, G.; Deniau, E.; Reynaud, S.; Grassl, B. Synthesis and viscosimetric behavior of poly(acrylamide-co-2-acrylamido-2-methylpropanesulfonate) obtained by conventional and adiabatic gel process via RAFT/MADIX polymerization. ACS Omega 2019, 4, 11119–11125. [Google Scholar] [CrossRef] [PubMed] [Green Version]
- Rashidi, M.; Blokhus, A.M.; Skauge, A. Viscosity study of salt tolerant polymers. J. Appl. Polym. Sci. 2010, 117, 1551–1557. [Google Scholar] [CrossRef] [Green Version]
- Han, M.; Xiang, W.; Zhang, J.; Jiang, W.; Sun, F. Application of EOR Technology by Means of Polymer Flooding in Bohai Oilfields. In Proceedings of the International Oil & Gas Conference and Exhibition in China, Beijing, China, 5–7 December 2006. [Google Scholar]
- Li, S.; Braun, O.; Lauber, L.; Leblanc, T.; Su, X.; Feng, Y. Enhancing oil recovery from high–temperature and high–salinity reservoirs with smart thermoviscosifying polymers: A laboratory study. Fuel 2021, 288, 119777. [Google Scholar] [CrossRef]
- IUPAC. Compendium of Chemical Terminology, 2nd ed.; (the “Gold Book”); Blackwell Scientific Publications: Oxford, UK, 1997; ISBN 0-9678550-9-8. [Google Scholar] [CrossRef]
- Zhang, H.; Feng, Y. Dependence of intrinsic viscosity and molecular size on molecular weight of partially hydrolyzed polyacrylamide. J. Appl. Polym. Sci. 2021, 138, e50850. [Google Scholar] [CrossRef]
- Du, D.J.; Pu, W.F.; Tang, Z.; Liu, R.; Han, S.H.; Zhang, W.H.; Zhao, B.; Wei, J. Solution properties and displacement characteristics of core-shell hyperbranched associative polyacrylamide for enhanced oil recovery. Energy Fuels 2018, 32, 8154–8166. [Google Scholar] [CrossRef]
- Ballard, M.J.; Buscall, R.; Waite, F.A. The theory of shear-thickening polymer solutions. Polymer 1988, 29, 1287–1293. [Google Scholar] [CrossRef]
- Jiang, F.; Pu, W.; Li, Y.; Du, D. A double-tailed acrylamide hydrophobically associating polymer: Synthesis, characterization, and solution properties. J. Appl. Polym. Sci. 2015, 132, 42569. [Google Scholar] [CrossRef]
- Wei, J.; Jia, W.; Zuo, L.; Chen, H.; Feng, Y. Turbulent drag reduction with an ultra-high-molecular-weight water-soluble polymer in slick-water hydrofracking. Molecules 2022, 27, 351. [Google Scholar] [CrossRef]
- Zhang, Y.; Yin, H.; Feng, Y. Oppositely charged polyelectrolyte complexes for high-salinity hydrofracking fluid. Ind. Eng. Chem. Res. 2019, 58, 18488–18497. [Google Scholar] [CrossRef]
- Fan, Y.W.; Liu, K.X.; Zhang, L.L.; Zhao, H.; Sun, B.C.; Chu, G.W.; Chen, J.F. Rapid and continuous polymer dissolution by rotating packed bed for enhanced oil recovery. Chem. Eng. Process. Process Intensif. 2020, 153, 107952. [Google Scholar] [CrossRef]
- Seright, R.S.; Campbell, A.R.; Mozley, P.S.; Han, P.H. Stability of partially hydrolyzed polyacrylamides at elevated temperatures in the absence of divalent cations. In Proceedings of the SPE 121460, SPE International Symposium on Oilfield Chemistry, The Woodlands, TX, USA, 20–22 April 2009. [Google Scholar]
- Chauveteau, G.; Kohler, N. Influence of microgels in polysaccharide solutions on their flow behavior through porous media. In Proceedings of the SPE 9295, SPE Annual Technical Conference and Exhibition, Dallas, TX, USA, 21–24 September 1980. [Google Scholar]










| Cation | Anion | ||||||
|---|---|---|---|---|---|---|---|
| Na+ (mg/L) | Ca2+ (mg/L) | Mg2+ (mg/L) | CO32− (mg/L) | HCO3− (mg/L) | SO42− (mg/L) | Cl− (mg/L) | Salinity (mg/L) |
| 10,328.53 | 368.98 | 1187.65 | 12.96 | 145.98 | 2239.01 | 18,327.98 | 32,611.09 |
| Sample | Solid Content | Molecular Weight | Dissolution Time a | Solution Viscosity a |
|---|---|---|---|---|
| HAP | 92% | 2.1 × 107 | 32 min | 55.8 mPa⋅s |
| HPAM | 91% | 2.2 × 107 | 14 min | 26.3 mPa⋅s |
Publisher’s Note: MDPI stays neutral with regard to jurisdictional claims in published maps and institutional affiliations. |
© 2022 by the authors. Licensee MDPI, Basel, Switzerland. This article is an open access article distributed under the terms and conditions of the Creative Commons Attribution (CC BY) license (https://creativecommons.org/licenses/by/4.0/).
Share and Cite
Yi, F.; Huang, B.; Wang, C.; Tang, X.; Wang, X.; Liu, Q.; Su, Y.; Chen, S.; Wu, X.; Chen, B.; et al. Hydrophobically Associating Polymers Dissolved in Seawater for Enhanced Oil Recovery of Bohai Offshore Oilfields. Molecules 2022, 27, 2744. https://doi.org/10.3390/molecules27092744
Yi F, Huang B, Wang C, Tang X, Wang X, Liu Q, Su Y, Chen S, Wu X, Chen B, et al. Hydrophobically Associating Polymers Dissolved in Seawater for Enhanced Oil Recovery of Bohai Offshore Oilfields. Molecules. 2022; 27(9):2744. https://doi.org/10.3390/molecules27092744
Chicago/Turabian StyleYi, Fei, Bo Huang, Chengsheng Wang, Xiaoxu Tang, Xiujun Wang, Quangang Liu, Yanhui Su, Shijia Chen, Xiaoyan Wu, Bin Chen, and et al. 2022. "Hydrophobically Associating Polymers Dissolved in Seawater for Enhanced Oil Recovery of Bohai Offshore Oilfields" Molecules 27, no. 9: 2744. https://doi.org/10.3390/molecules27092744
APA StyleYi, F., Huang, B., Wang, C., Tang, X., Wang, X., Liu, Q., Su, Y., Chen, S., Wu, X., Chen, B., Zhang, J., Wu, D., Yu, S., Feng, Y., & Su, X. (2022). Hydrophobically Associating Polymers Dissolved in Seawater for Enhanced Oil Recovery of Bohai Offshore Oilfields. Molecules, 27(9), 2744. https://doi.org/10.3390/molecules27092744

