In Silico and Experimental Investigation of the Biological Potential of Some Recently Developed Carprofen Derivatives
Abstract
:1. Introduction
2. Results
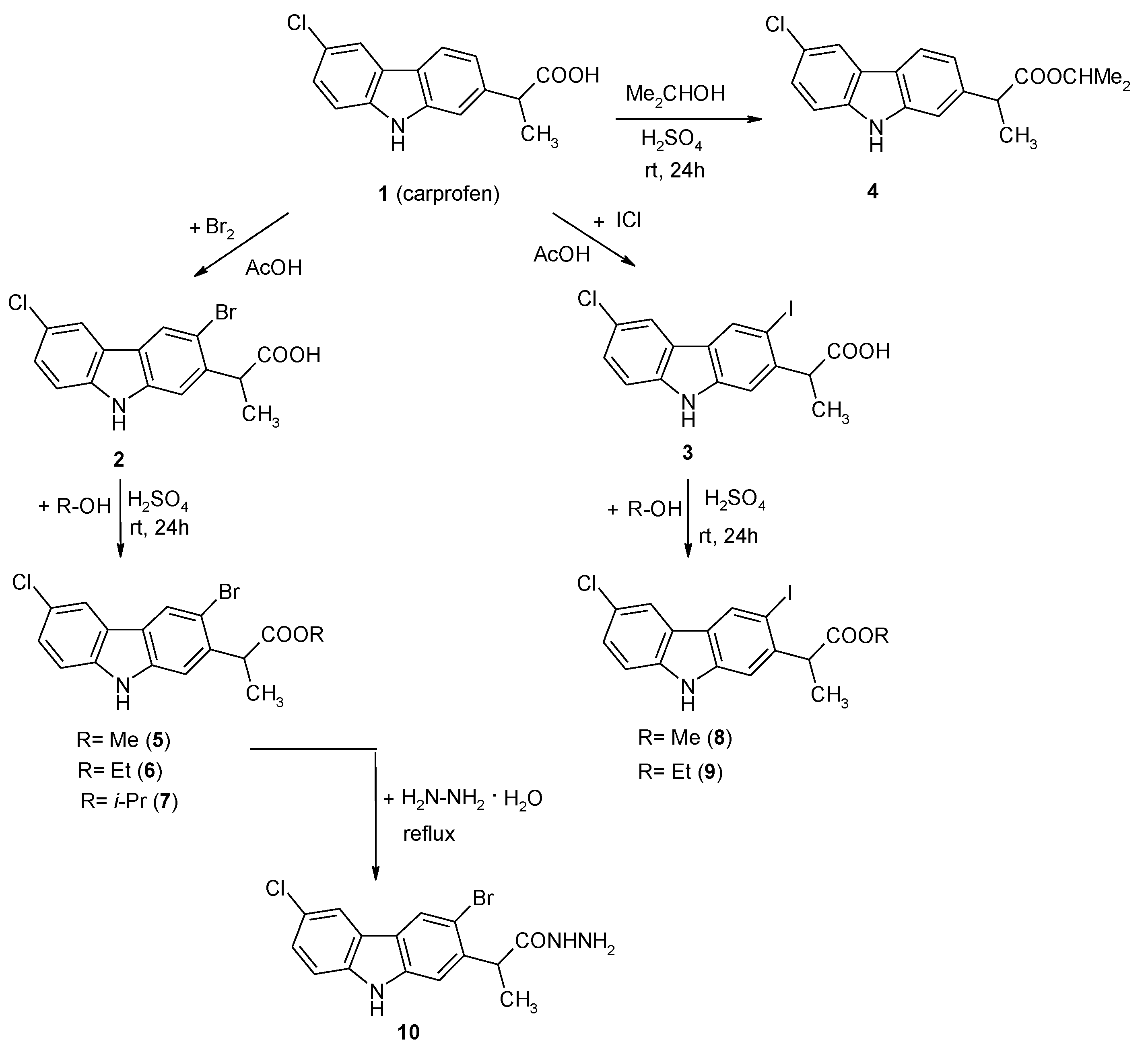
2.1. Chemistry
2.2. Single-Crystal X-ray Analyses of 2 and 3
2.3. Single-Crystal X-ray Analyses of 5 and 8
2.4. Antimicrobial Activity
2.5. Cytotoxic Activity
2.6. Compounds 2–10 and Carprofen Computational Pharmacokinetic and Pharmacogenomic Profile
2.7. Compounds 2–10 Pharmacodynamic Profile
3. Discussion
4. Materials and Methods
4.1. Single-Crystal X-ray Diffraction Analyses
4.2. Antimicrobial Activity Assay
4.3. Cytotoxicity Assay
4.4. Computational Assay
4.4.1. Molecule Preparation
4.4.2. Computational Pharmacokinetics and Pharmacogenomics Profiles
4.4.3. Computational Pharmacodynamic Profiles
5. Conclusions
Supplementary Materials
Author Contributions
Funding
Institutional Review Board Statement
Informed Consent Statement
Data Availability Statement
Acknowledgments
Conflicts of Interest
Sample Availability
References
- Pircalabioru, G.G.; Chifiriuc, M.C. Nanoparticulate drug-delivery systems for fighting microbial biofilms–from bench to bedside. Future Microbiol. 2020, 15, 679–698. [Google Scholar] [CrossRef] [PubMed]
- Costerton, J.W.; Stewart, P.S.; Greenberg, E.P. Bacterial Biofilms: A Common Cause of Persistent Infections. Science 1999, 248, 1318–1322. [Google Scholar] [CrossRef] [PubMed] [Green Version]
- Vlad, I.M.; Nuta, D.C.; Chirita, C.; Caproiu, M.T.; Draghici, C.; Dumitrascu, F.; Bleotu, C.; Avram, S.; Udrea, A.M.; Missir, A.V.; et al. In silico and in vitro experimental studies of new dibenz[b,e]oxepin-11(6H)one O-(arylcarbamoyl)-oximes designed as potential antimicrobial agents. Molecules 2020, 25, 321. [Google Scholar] [CrossRef] [PubMed] [Green Version]
- Plumb, D.C. Plumb’s Veterinary Drug Handbook, 7th ed.; PharmaVet Inc.: Stockholm, WI, USA, 2011; pp. 566–574. [Google Scholar]
- Khwaja, F.S.; Quann, E.J.; Pattabiraman, N.; Wynne, S.; Djakiew, D. Carprofen induction of p75NTR-dependent apoptosis via the p38 mitogen-activated protein kinase pathway in prostate cancer cells. Mol. Cancer Ther. 2008, 7, 3539–3545. [Google Scholar] [CrossRef] [PubMed] [Green Version]
- Mellini, P.; Carafa, V.; Di Rienzo, B.; Rotili, D.; De Vita, D.; Cirilli, R.; Gallinella, B.; Provvisiero, D.P.; Di Maro, S.; Novellino, E.; et al. Carprofen analogues as sirtuin inhibitors: Enzyme and cellular studies. Chem. Med. Chem. 2012, 7, 1905–1908. [Google Scholar] [CrossRef] [PubMed]
- Poradowski, D.; Obmińska-Mrukowicz, B. Effect of selected nonsteroidal anti-inflammatory drugs on the viability of canine osteosarcoma cells of the D-17 line: In vitro studies. J. Vet. Res. 2019, 63, 399–403. [Google Scholar] [CrossRef] [Green Version]
- Favia, A.; Habrant, D.; Scarpelli, R.; Migliore, M.; Albani, C.; Bertozzi, S.M.; Dionisi, M.; Tarozzo, G.; Piomelli, D.; Cavalli, A.; et al. Identification and characterization of carprofen as a multitarget fatty acid amide hydrolase/cyclooxygenase inhibitor. J. Med. Chem. 2012, 55, 8807–8826. [Google Scholar] [CrossRef] [Green Version]
- Deplano, A.; Karlsson, J.; Fowler, C.J.; Onnis, V. The fatty acid amide hydrolase and cyclooxygenase-inhibitory properties of novel amide derivatives of carprofen. Bioorg. Chem. 2020, 101, 104034. [Google Scholar] [CrossRef]
- Zall, R.; Perez Revuelta, B.I.; Haass, C.; Steiner, H.; Schmidt, B.; Baumann, K. Scaffold of the cyclooxygenase-2 (COX-2) inhibitor carprofen provides Alzheimer γ-secretase modulators. J. Med. Chem. 2006, 49, 7588–7591. [Google Scholar]
- Zall, A.; Kieser, D.; Höttecke, N.; Naumann, E.C.; Thomaszewski, B.; Schneider, K.; Steinbacher, D.T.; Schubenel, R.; Masur, S.; Baumann, K.; et al. NSAID-derived γ-secretase modulation requires an acidic moiety on the carbazole scaffold. Bioorg. Med. Chem. 2011, 19, 4903–4909. [Google Scholar] [CrossRef]
- Altieri, A.S.; Kelman, Z. DNA sliding clamps as therapeutic targets. Front. Mol. Biosci. 2018, 5, 87. [Google Scholar] [CrossRef] [PubMed]
- Yin, Z.; Wang, Y.; Whittell, L.R.; Jergic, S.; Liu, M.; Harry, E.; Dixon, N.E.; Kelso, M.J.; Beck, J.L.; Oakley, A.J. DNA replication is the target for the antibacterial effects of nonsteroidal anti-inflammatory drugs. Chem. Biol. 2014, 21, 481–487. [Google Scholar] [CrossRef] [PubMed] [Green Version]
- Pattanashetty, S.H.; Hosamani, K.M.; Shettar, A.K.; Mohammed Shafeeulla, R. Design, synthesis and computational studies of novel carbazole N-phenylacetamide hybrids as potent antibacterial, anti-inflammatory, and antioxidant agents. J. Heterocycl. Chem. 2018, 55, 1765–1774. [Google Scholar] [CrossRef]
- Maitra, A.; Evangelopoulos, D.; Chrzastek, A.; Martin, L.T.; Hanrath, A.; Chapman, E.; Hailes, H.C.; Lipman, M.; McHugh, T.D.; Waddell, S.J.; et al. Carprofen elicits pleiotropic mechanisms of bactericidal action with the potential to reverse antimicrobial drug resistance in tuberculosis. J. Antimicrob. Chemother. 2020, 75, 3194–3201. [Google Scholar] [CrossRef] [PubMed]
- Pattanashetty, S.H.; Hosamani, K.M.; Satapute, P.; Joshi, S.D.; Obelannavar, K. Discovery of new drugs and computational studies of coumarin- carprofen scaffolds as a novel class of anti-tubercular, anti-inflammatory and anti-bacterial agents. Eur. J. Pharm. Med. Res. 2017, 4, 486–498. [Google Scholar]
- Brochmann, R.P.; Helmfrid, A.; Jana, B.; Magnowska, Z.; Guardabassi, L. Antimicrobial synergy between carprofen and doxycycline against methicillin-resistant Staphylococcus pseudintermedius ST71. BMC Vet. Res. 2016, 12, 126. [Google Scholar] [CrossRef] [Green Version]
- Leme, R.C.P.; Bandeira da Silva, R. Antimicrobial activity of non-steroidal anti-inflammatory drugs on biofilm: Current evidence and potential for drug repurposing. Front. Microbiol. 2021, 12. [Google Scholar] [CrossRef]
- Gimeno, A.; Mestres-Truyol, J.; Ojeda-Montes, M.J.; Macip, G.; Saldivar-Espinoza, B.; Cereto-Massagué, A.; Pujadas, G.; Garcia-Vallvé, S. Prediction of novel inhibitors of the main protease (M-pro) of SARS-CoV-2 through consensus docking and drug reposition. Int. J. Mol. Sci. 2020, 21, 3793. [Google Scholar] [CrossRef]
- Bordei Telehoiu, A.T.; Nuță, D.C.; Căproiu, M.T.; Dumitrascu, F.; Zarafu, I.; Ioniță, P.; Bădiceanu, C.D.; Avram, S.; Chifiriuc, M.C.; Bleotu, C.; et al. Novel antimicrobial agents based on 6-chloro-9H-carbazol derivatives and 1,3,4-oxadiazole scaffolds. Molecules 2020, 25, 266. [Google Scholar] [CrossRef] [Green Version]
- Avram, S.; Udrea, A.M.; Nuta, D.C.; Limban, C.; Balea, A.C.; Caproiu, M.T.; Dumitrascu, F.; Buiu, C.; Bordei, A.T. Synthesis and bioinformatic characterization of new Schiff bases with possible applicability in brain disorders. Molecules 2021, 26, 4160. [Google Scholar] [CrossRef]
- Bordei (Telehoiu), A.T.; Costea, T.; Limban, C.; Nuță, D.C.; Gîrd, C.E.; Zarafu, I.; Balaci, T.D.; Karampelas, O.; Ancuceanu, R.V. New insights on some 6-chloro-9H-carbazol derivatives concerning their in vitro antioxidant capacity and in vivo cytotoxicity. Farmacia 2021, 69, 475–480. [Google Scholar] [CrossRef]
- Guma (Tanasiev), N.; Bordei (Telehoiu), A.T.; Limban, C.; Sogor, C.; Manoliu, L.; Avram, S. Bioinformatics and cheminformatics study of carbazole derivatives–P3C7, P3C7-A20 P3C7-S243, and de novo 2,5-disubstituted 1,3,4-oxadiazole derivatives. Farmacia 2020, 68, 665–671. [Google Scholar] [CrossRef]
- Bordei (Telehoiu), A.T.; Nuță, D.C.; Muşat, G.; Missir, A.V.; Căproiu, T.; Dumitraşcu, F.; Zarafu, I.; Ionită, P.; Bădiceanu, C.D.; Limban, C.; et al. Microwave assisted synthesis and spectroscopic characterization of some novel Schiff bases of carprofen hydrazide. Farmacia 2019, 67, 955–962. [Google Scholar] [CrossRef]
- Zarafu, I.; Turcu, I.; Culita, D.; Petrescu, S.; Popa, M.; Chifiriuc, M.C.; Limban, C.; Bordei (Telehoiu), A.T.; Ioniță, P. Antimicrobial features of organic functionalized graphene-oxide with selected amines. Materials 2018, 11, 1704. [Google Scholar] [CrossRef] [PubMed] [Green Version]
- Popa, M.M.; Man, I.C.; Draghici, C.; Shova, S.; Caira, M.R.; Dumitrascu, F.; Dumitrescu, D. Halogen bonding in 5-iodo-1-arylpyrazoles investigated in the solid state and predicted by solution 13C-NMR spectroscopy. CrystEngComm 2019, 21, 7085–7093. [Google Scholar] [CrossRef]
- Dumitrescu, D.; Shova, S.; Man, I.C.; Caira, M.R.; Popa, M.M.; Dumitrascu, F. 5-Iodo-1-arylpyrazoles as potential benchmarks for investigating the tuning of the halogen bonding. Crystals 2020, 10, 1149. [Google Scholar] [CrossRef]
- Popa, M.M.; Shova, S.; Hrubaru, M.; Barbu, L.; Draghici, C.; Dumitrascu, F.; Dumitrescu, D.E. Introducing chirality in halogenated 3-arylsydnones and corresponding 1-arylpyrazoles obtained by 1,3-dipolar cycloaddition. RSC Adv. 2020, 10, 15656–15664. [Google Scholar] [CrossRef] [Green Version]
- Tornio, A.; Backman, J.T. Advances in pharmacology, Chapter One- Cytochrome P450 in pharmacogenetics: An Update. Adv. Pharmacol. 2018, 83, 3–32. [Google Scholar]
- Pisano, M.B.; Kumar, A.; Medda, R.; Gatto, G.; Pal, R.; Fais, A.; Era, B.; Cosentino, S.; Uriarte, E.; Santana, L.; et al. Antibacterial activity and molecular docking studies of a selected series of hydroxy-3-arylcoumarins. Molecules 2019, 24, 2815. [Google Scholar] [CrossRef] [Green Version]
- Nistorescu, S.; Gradisteanu Pircalabioru, G.; Udrea, A.-M.; Simon, A.; Pascu, M.L.; Chifiriuc, M.-C. Laser-irradiated chlorpromazine as a potent anti-biofilm agent for coating of biomedical devices. Coatings 2020, 10, 1230. [Google Scholar] [CrossRef]
- Yoshida, H.; Kawai, F.; Obayashi, E.; Akashi, S.; Roper, D.I.; Tame, J.R.H.; Park, S.-Y. Crystal structures of penicillin-binding protein 3 (PBP3) from methicillin-resistant Staphylococcus aureus in the apo and cefotaxime-bound forms. J. Mol. Biol. 2012, 423, 351–364. [Google Scholar] [CrossRef] [PubMed]
- Dassault Systèmes BIOVIA. Discovery Studio; 19.1.0.18287; Dassault Systèmes: San Diego, CA, USA, 2019. [Google Scholar]
- Ingelman-Sundberg, M.; Sim, S.C.; Gomez, A.; Rodriguez-Antona, C. Influence of cytochrome P450 polymorphisms on drug therapies: Pharmacogenetic, pharmacoepigenetic and clinical aspects. Pharmacol. Ther. 2007, 116, 496–526. [Google Scholar] [CrossRef] [PubMed]
- Nakajima, M.; Yokoi, T. Chapter 19—Microrna: Regulation of P450 and Pharmacogenetics. In Handbook of Pharmacogenomics and Stratified Medicine; Fundam Pharm; Academic Press: Cambridge, MA, USA, 2014; pp. 385–401. [Google Scholar]
- Tozar, T.; Santos Costa, S.; Udrea, A.M.; Nastasa, V.; Couto, I.; Viveiros, M.; Pascu, M.L.; Romanitan, M.O. Anti-staphylococcal activity and mode of action of thioridazine photoproducts. Sci. Rep. 2020, 10, 18043. [Google Scholar] [CrossRef] [PubMed]
- Balotescu, M.C.; Limban, C.; Missir, A.V.; Chirita, I.C.; Nitulescu, G.M. The synthesis and biological activities of some new 2-(4-methoxy- phenoxymethyl)benzoic acid thioureides. Rev. Chim. 2007, 58, 1064–1068. [Google Scholar]
- Chifiriuc, M.C.; Grumezescu, A.M.; Andronescu, E.; Ficai, A.; Cotar, A.I.; Grumezescu, V.; Bezirtzoglou, E.; Lazar, V.; Radulescu, R. Water dispersible magnetite nanoparticles influence the efficacy of antibiotics against planktonic and biofilm embedded Enterococcus faecalis cells. Anaerobe 2013, 22, 14–19. [Google Scholar] [CrossRef]
- Dennington, R.; Keith, T.; Millam, J. Gauss View; Version 5; Semichem Inc.: Shawnee Mission, KS, USA, 2009. [Google Scholar]
- Castro, A.L.G.; Cruz, J.N.; Sodré, D.F.; Correa-Barbosa, J.; Azonsivo, R.; de Oliveira, M.S.; de Sousa Siqueira, J.E.; da Rocha Galucio, N.C.; de Oliveira Bahia, M.; Burbano, R.M.R.; et al. Evaluation of the Genotoxicity and Mutagenicity of Isoeleutherin and Eleutherin Isolated from Eleutherine Plicata Herb. Using Bioassays and in Silico Approaches. Arab. J. Chem. 2021, 14, 103084. [Google Scholar] [CrossRef]
- Udrea, A.M.; Puia, A.; Shaposhnikov, S.; Avram, S. Computational approaches of new perspectives in the treatment of depression during pregnancy. Farmacia 2018, 3, 680–687. [Google Scholar] [CrossRef]
- Avram, S.; Mernea, M.; Bagci, E.; Hritcu, L.; Borcan, L.C.; Mihailescu, D.F. Advanced structure-activity relationships applied to Mentha spicata L. subsp. Spicata essential oil compounds as AChE and NMDA ligands, in comparison with donepezil, galantamine and memantine–new approach in brain disorders pharmacology. CNS Neurol. Disord. Drug Targets 2017, 16, 800–811. [Google Scholar] [CrossRef]
- Udrea, A.-M.; Avram, S.; Nistorescu, S.; Pascu, M.-L.; Romanitan, M.O. Laser irradiated phenothiazines: New potential treatment for COVID-19 explored by molecular docking. J. Photochem. Photobiol. B Biol. 2020, 211, 111997. [Google Scholar] [CrossRef]
- Pires, D.E.; Blundell, T.L.; Ascher, D.B. pkCSM: Predicting small-molecule pharmacokinetic and toxicity properties using graph-based signatures. J. Med. Chem. 2015, 58, 4066–4072. [Google Scholar] [CrossRef]
- Fujita, J.; Maeda, Y.; Nagao, C.; Tsuchiya, Y.; Miyazaki, Y.; Hirose, M.; Mizohata, E.; Matsumoto, Y.; Inoue, T.; Mizuguchi, K.; et al. Crystal structure of FtsA from Staphylococcus aureus. FEBS Lett. 2014, 588, 1879–1885. [Google Scholar] [CrossRef] [PubMed] [Green Version]
- Qiu, X.; Janson, C.A.; Smith, W.W.; Green, S.M.; McDevitt, P.; Johanson, K.; Carter, P.; Hibbs, M.; Lewis, C.; Chalker, A.; et al. Crystal structure of Staphylococcus aureus tyrosyl-tRNA synthetase in complex with a class of potent and specific inhibitors. Protein Sci. 2001, 10, 2008–2016. [Google Scholar] [CrossRef] [PubMed] [Green Version]
- Udrea, A.-M.; Dinache, A.; Pagès, J.-M.; Pirvulescu, R.A. Quinazoline derivatives designed as efflux eump inhibitors: Molecular modeling and spectroscopic studies. Molecules 2021, 26, 2374. [Google Scholar] [CrossRef] [PubMed]
















| Tested Strains/Tested Compound | Staphylococcus aureus ATCC 25923 | Enterococcus faecalis ATCC 29212 | Escherichia coli ATCC 25922 | Pseudomonas aeruginosa ATCC 27853 |
|---|---|---|---|---|
| 2 | 26 mm | 28 mm | 8 mm | +/− |
| 3 | 22 mm | 33 mm | 8 mm | +/− |
| 4 | - | - | - | - |
| 5 | - | - | - | - |
| 6 | - | - | - | - |
| 7 | - | - | - | - |
| 8 | - | - | - | - |
| 9 | - | - | - | - |
| 10 | 18 mm | 18 mm | - | - |
| DMSO | - | - | - | - |
| Microbial Strain/Tested Compound | 2 | 3 | 4 | 5 | 6 | 7 | 8 | 9 | 10 |
|---|---|---|---|---|---|---|---|---|---|
| Staphylococcus aureus | 0.078 | 0.078 | 0.312 | 2.5 | 1.25 | 1.25 | 0.625 | 2.5 | 0.078 |
| Enterococcus faecalis | 0.156 | 0.078 | 10 | 10 | 5 | 10 | 0.625 | 5 | 5 |
| Escherichia coli | 0.625 | 0.078 | 1.25 | 2.5 | 1.25 | 1.25 | 1.25 | 1.25 | 1.25 |
| Pseudomonas aeruginosa | 0.625 | 0.625 | 1.25 | 2.5 | 1.25 | 1.25 | 1.25 | 1.25 | 1.25 |
| Microbial Strains/Tested Compound | 2 | 3 | 4 | 5 | 6 | 7 | 8 | 9 | 10 |
|---|---|---|---|---|---|---|---|---|---|
| Staphylococcus aureus | 0.078 | 2.5 | 1.25 | 2.5 | 2.5 | 1.25 | 0.312 | 0.312 | 0.078 |
| Enterococcus faecalis | 0.078 | 0.078 | 10 | 10 | 5 | 10 | 0.625 | 5 | 5 |
| Escherichia coli | 0.625 | 0.312 | 1.25 | 2.5 | 0.625 | 1.25 | 10 | 1.25 | 2.5 |
| Pseudomonas aeruginosa | 1.25 | 1.25 | 1.25 | 2.5 | 1.25 | 1.25 | 2.5 | 1.25 | 2.5 |
| Tested Compound/Active Concentrations | 2 | 3 | 4 | 5 | 6 | 7 | 8 | 9 | 10 | Growth Control |
|---|---|---|---|---|---|---|---|---|---|---|
| 0.1 mg/mL | 37.61 | 16.31 | 25.06 | 14.76 | 25.88 | 18.27 | 13.57 | 71.46 | 12.55 | 100.00 |
| 0.05 mg/mL | 100 | 39.90 | 45.38 | 41.29 | 50.41 | 48.94 | 37.61 | 100 | 78.33 | 100.00 |
| 0.025 mg/mL | 100 | 57.69 | 86.84 | 55.56 | 71.06 | 92.03 | 54.42 | 100 | 87.53 | 100.00 |
| 0.0125 mg/mL | 100 | 95.59 | 99.39 | 86.92 | 91.70 | 100 | 83.03 | 100 | 94.97 | 100.00 |
| Compound | Intestinal Absorption % | BBB Permeability (log BB) | CNS Permeability (log PS) | AMES Toxicity | hERG I Inhibitor | hERG II Inhibitor | Hepatotoxicity | Max Tolerated Dose (log mg/kg/day) |
|---|---|---|---|---|---|---|---|---|
| carprofen | 97.868 | 0.026 | −1.955 | No | No | No | No | 0.992 |
| 2 | 96.824 | 0.051 | −1.825 | No | No | No | No | 0.935 |
| 3 | 97.459 | 0.046 | −1.858 | No | No | No | No | 0.927 |
| 4 | 93.882 | 0.229 | −1.281 | No | No | Yes | Yes | −0.096 |
| 5 | 90.056 | 0.376 | −1.319 | Yes | No | Yes | No | 0.379 |
| 6 | 89.636 | 0.361 | −1.357 | Yes | No | Yes | No | 0.427 |
| 7 | 91.496 | 0.259 | −0.943 | Yes | No | Yes | Yes | 0.382 |
| 8 | 90.691 | 0.371 | −1.319 | Yes | No | Yes | No | 0.362 |
| 9 | 90.272 | 0.356 | −1.357 | Yes | No | Yes | No | 0.411 |
| 10 | 87.815 | −0.827 | −1.962 | Yes | No | Yes | No | 0.816 |
| Compound | CYP2D6 Substrate | CYP3A4 Substrate | CYP1A2 Inhibitor | CYP2C19 Inhibitor | CYP2C9 Inhibitor | CYP2D6 Inhibitor | CYP3A4 Inhibitor |
|---|---|---|---|---|---|---|---|
| carprofen | No | No | Yes | No | No | No | No |
| 2 | No | No | Yes | No | No | No | No |
| 3 | No | No | Yes | No | No | No | No |
| 4 | No | Yes | Yes | Yes | No | Yes | Yes |
| 5 | No | Yes | Yes | Yes | No | Yes | Yes |
| 6 | No | Yes | Yes | Yes | No | Yes | Yes |
| 7 | No | Yes | Yes | Yes | Yes | No | Yes |
| 8 | No | Yes | Yes | Yes | No | Yes | Yes |
| 9 | No | Yes | Yes | Yes | No | Yes | Yes |
| 10 | No | Yes | Yes | Yes | Yes | Yes | No |
| Compound | Estimated Free Energy of Binding kcal/mol | Ki nM (Nanomolar) | ||||
|---|---|---|---|---|---|---|
| PBP3 | FtsA | TyrRS | PBP3 | FtsA | TyrRS | |
| 2 | −8.21 | −8.32 | −7.70 | 962 | 802 | 2280 |
| 3 | −8.41 | −7.93 | −7.95 | 685 | 1550 | 1500 |
| 4 | −10.07 | −8.58 | −9.59 | 41 | 512 | 92 |
| 5 | −7.98 | −9.02 | −7.79 | 1410 | 243 | 1940 |
| 6 | −7.98 | −9.31 | −7.98 | 1420 | 149 | 1410 |
| 7 | −10.50 | −8.95 | −10.14 | 20 | 274 | 36 |
| 8 | −8.20 | −8.76 | −8.18 | 967 | 379 | 1010 |
| 9 | −8.26 | −8.88 | −8.40 | 875 | 308 | 697 |
| 10 | −11.28 | −10.62 | 10.90 | 5 | 16 | 10 |
| Protein | FtsA | PBP3 | TyrRX |
|---|---|---|---|
| Grid Points (x, y, z) | 80, 80, 80 | 64, 68, 56 | 70, 70, 70 |
| Coordinates of Central Grid Point of Maps | 4.460, 34.680, −15.300 | 18.557, −48.939, 22.913 | −7.950, 10.585, 85.422 |
Publisher’s Note: MDPI stays neutral with regard to jurisdictional claims in published maps and institutional affiliations. |
© 2022 by the authors. Licensee MDPI, Basel, Switzerland. This article is an open access article distributed under the terms and conditions of the Creative Commons Attribution (CC BY) license (https://creativecommons.org/licenses/by/4.0/).
Share and Cite
Dumitrascu, F.; Udrea, A.-M.; Caira, M.R.; Nuta, D.C.; Limban, C.; Chifiriuc, M.C.; Popa, M.; Bleotu, C.; Hanganu, A.; Dumitrescu, D.; et al. In Silico and Experimental Investigation of the Biological Potential of Some Recently Developed Carprofen Derivatives. Molecules 2022, 27, 2722. https://doi.org/10.3390/molecules27092722
Dumitrascu F, Udrea A-M, Caira MR, Nuta DC, Limban C, Chifiriuc MC, Popa M, Bleotu C, Hanganu A, Dumitrescu D, et al. In Silico and Experimental Investigation of the Biological Potential of Some Recently Developed Carprofen Derivatives. Molecules. 2022; 27(9):2722. https://doi.org/10.3390/molecules27092722
Chicago/Turabian StyleDumitrascu, Florea, Ana-Maria Udrea, Mino R. Caira, Diana Camelia Nuta, Carmen Limban, Mariana Carmen Chifiriuc, Marcela Popa, Coralia Bleotu, Anamaria Hanganu, Denisa Dumitrescu, and et al. 2022. "In Silico and Experimental Investigation of the Biological Potential of Some Recently Developed Carprofen Derivatives" Molecules 27, no. 9: 2722. https://doi.org/10.3390/molecules27092722
APA StyleDumitrascu, F., Udrea, A.-M., Caira, M. R., Nuta, D. C., Limban, C., Chifiriuc, M. C., Popa, M., Bleotu, C., Hanganu, A., Dumitrescu, D., & Avram, S. (2022). In Silico and Experimental Investigation of the Biological Potential of Some Recently Developed Carprofen Derivatives. Molecules, 27(9), 2722. https://doi.org/10.3390/molecules27092722

