Next Article in Journal
An Insight into All Tested Small Molecules against Fusarium oxysporum f. sp. Albedinis: A Comparative Review
Next Article in Special Issue
Anticancer Profile of Rhodanines: Structure–Activity Relationship (SAR) and Molecular Targets—A Review
Previous Article in Journal
The Inhibition of Gastric Cancer Cells’ Progression by 23,24-Dihydrocucurbitacin E through Disruption of the Ras/Raf/ERK/MMP9 Signaling Pathway
Previous Article in Special Issue
FDA-Approved Small Molecule Compounds as Drugs for Solid Cancers from Early 2011 to the End of 2021
 
 
Font Type:
Arial Georgia Verdana
Font Size:
Aa Aa Aa
Line Spacing:
Column Width:
Background:
Article

Synthesis of Four Enantiomers of (1-Amino-3-Hydroxypropane-1,3-Diyl)Diphosphonic Acid as Diphosphonate Analogues of 4-Hydroxyglutamic Acid

Bioorganic Chemistry Laboratory, Faculty of Pharmacy, Medical University of Lodz, Muszynskiego 1, 90-151 Lodz, Poland
*
Author to whom correspondence should be addressed.
Molecules 2022, 27(9), 2699; https://doi.org/10.3390/molecules27092699
Submission received: 5 April 2022 / Revised: 20 April 2022 / Accepted: 21 April 2022 / Published: 22 April 2022
(This article belongs to the Special Issue Design, Synthesis, and Analysis of Potential Drugs, 2nd Edition)

Abstract

:
All the enantiomers of (1-amino-3-hydroxypropane-1,3-diyl)diphosphonic acid, newly design phosphonate analogues of 4-hydroxyglutamic acids, were obtained. The synthetic strategy involved Abramov reactions of diethyl (R)- and (S)-1-(N-Boc-amino)-3-oxopropylphosphonates with diethyl phosphite, separation of diastereoisomeric [1-(N-Boc-amino)-3-hydroxypropane-1,3-diyl]diphosphonates as O-protected esters, followed by their hydrolysis to the enantiomeric phosphonic acids. The absolute configuration of the enantiomeric phosphonates was established by comparing the 31P NMR chemical shifts of respective (S)-O-methylmandelic acid esters obtained from respective pairs of syn- and anti-[1-(N-Boc-amino)-3-hydroxypropane-1,3-diyl]diphosphonates according to the Spilling rule.

Graphical Abstract

1. Introduction

As analogues of naturally occurring α-amino acids, α-aminophosphonic acids are pharmacologically significant as they can mimic transition states of several biological processes such as peptide hydrolysis. Owing to the tetrahedral structure of the phosphonic residue, they can act as enzyme inhibitors or antibiotics [1,2,3,4]. Moreover, their activity often depends on the absolute configuration at Cα in α-aminophosphonic acids. Over decades, a vast number of phosphonate analogues of α-amino acids have been synthesized with the intention to study their biological properties (Figure 1). Among them, analogues of glutamic acid 1, a major excitatory neurotransmitter in the central nervous system, deserve great consideration. For example, 2-amino-4-phosphonobutanic acid (L-AP4) 2 has been obtained as an analogue of glutamic acid and appeared to be a selective agonist for group III glutamate metabotropic receptors (mGluR) [5,6,7,8,9], whereas its α-methylated analogue (MAP4) 3 acts as a competitive antagonist of mGluR [10,11].
In continuation of our research program directed at the syntheses of enantiomerically pure functionalized aminophosphonates, we focus attention on hydroxyglutamic acids, which are widely available in nature, including plants, however this structure is also found as a part of more complex molecules with important biological properties. As expected, the presence of an additional hydroxy group in the glutamic acid framework may have a positive impact on the activity of its analogues. Thus, (2S,4S)-4-hydroxyglutamic acid 4 exhibited potency at mGlu1aR and mGlu8aR similar to that of L-glutamic acid [12], and its isomer (2S,4R)-4 demonstrated a significant preference for the NMDA (N-methyl-D-aspartic acid) receptor [13].
Inspired by these observations we considered the synthesis of all four enantiomerically pure diphosphonic acids 5 (Figure 2).
Our synthetic strategy relied on the formation of the C–P bond by the addition of diethyl phosphite to (R)- and (S)-(1-amino-2-oxoethyl)phosphonates 7, available from the enantiomerically pure N-(1-phenylethyl)-C-(diethoxyphosphoryl)nitrone (S)-10 already described by our research group (Scheme 1) [14].

2. Results and Discussion

The enantiomerically pure aldehydes (R)-7 and (S)-7 were synthesized starting from the nitrone (S)-10 following the reaction sequence depicted in Scheme 2, and their configurational stability was proven [14,15]. Cycloaddition of the nitrone (S)-10 to allyl alcohol in the presence of MgBr2 led to the formation of an inseparable 1:1 mixture of isoxazolidines (3R,5R,1′S)-9 and (3S,5S,1′S)-9. They were successfully separated as O-acetyl derivatives from which the starting compounds (3R,5R,1′S)-9 and (3S,5S,1′S)-9 were recovered after ammonolysis. Subsequent catalytic hydrogenation in the presence of Boc2O produced the N-Boc-aminodiols (1R,3R)-8 and (1S,3S)-8, respectively, which upon treatment with sodium metaperiodate, gave the aldehydes (R)-7 and (S)-7.
The aldehyde (R)-7 was subjected to the Abramov reaction with diethyl phosphite in the presence of catalytic amounts of triethylamine to afford a 1:1 mixture of diastereoisomeric diphosphonates (1R,3S)-6 and (1R,3R)-6 (Scheme 3). Attempts to separate the diastereoisomeric mixture of diphosphonates by column (silica gel) and high performance liquid chromatography (HPLC) appeared fruitless as the fractions collected were only enriched for the respective isomers (up to 90%). The ratio of diastereoisomers was established on the basis of 31P NMR spectra of the crude product. Since two phosphonyl groups are installed in the structure of compound 6, two signals were identified for each of the respective diastereoisomeric diphosphonates (1R,3S)-631P = 25.26 and 23.58 ppm) and (1R,3R)-631P = 24.60 and 24.01 ppm).
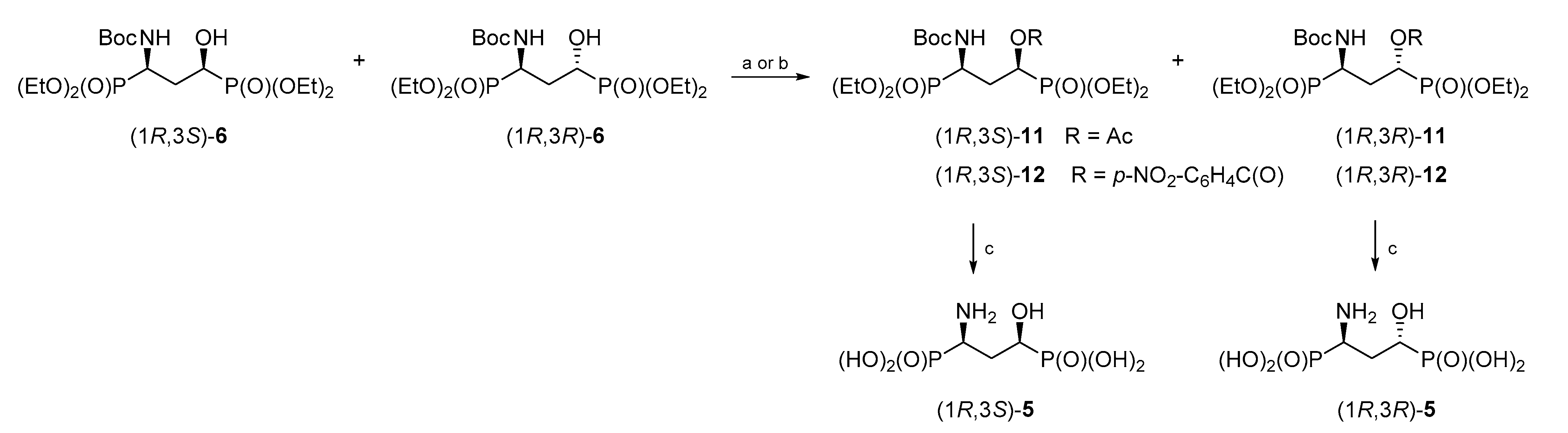
Separation of the diastereoisomeric mixture of 3-hydroxydiphosphonates 6 was achieved by their transformation into O-protected derivatives (Scheme 4). Thus, a 1:1 mixture of compounds (1R,3S)-6 and (1R,3R)-6 was esterified with acetic anhydride in the presence of triethylamine and catalytic amounts of DMAP (4-dimethylaminopyridine) to form the O-acetyl derivatives (1R,3S)-11 and (1R,3R)-11, which were then successfully separated by HPLC into a faster eluting diastereoisomer (1R,3S)-11 (22%) and a late-eluting one (1R,3R)-11 (40%). Alternatively, a 1:1 mixture of diphosphonates (1R,3S)-6 and (1R,3R)-6 was benzoylated with p-nitrobenzoyl chloride to produce the derivatives (1R,3S)-12 and (1R,3R)-12, and their separation by HPLC allowed isolation of pure isomer (1R,3S)-12 (21%) followed by (1R,3R)-12 (31%). Finally, the O-protected derivatives 11 and 12 were efficiently hydrolysed to produce the phosphonic acids (1R,3S)-5 and (1R,3R)-5.
To complete the full set of stereoisomeric phosphonic acids 5, the aldehyde (S)-7 was used to synthesize diphosphonates (1S,3R)-6 and (1S,3S)-6, which were subsequently O-protected as the respective esters 11 or 12, and then transformed into the final acids (1S,3R)-5 and (1S,3S)-5 by application of an analogous reaction sequence (Scheme 5).
Since enantiomerically pure aldehydes were used for the synthesis of the respective diphosphonates, i.e., (R)-7 to obtain (1R,3S)-6 and (1R,3R)-6, and (S)-7 to obtain (1S,3R)-6 and (1S,3S)-6, the absolute configuration at C1 in the isomeric compounds 6 can be arbitrarily assigned. In order to unambiguously determine the absolute configuration at C3, it was therefore necessary to establish the relative configuration between C1 and C3 for the diastereoisomeric pairs of the respective diphosphonates, namely, (1R,3S)-6 and (1R,3R)-6, and (1S,3R)-6 and (1S,3S)-6.
In assigning the relative configurations of the diastereoisomeric diphosphonates (1R,3S)-6 and (1R,3R)-6, and (1S,3R)-6 and (1S,3S)-6, we took advantage of the known stereochemical outcome of the cycloaddition of N-benzyl-C-(diethoxyphosphoryl)nitrone 13 with vinylphosphonate leading to the formation of a 76:12:12 mixture of the respective racemic isoxazolidines, trans-1431P = 21.32 and 20.77 ppm), cis-1431P = 20.81 and 19.49 ppm), and trans-1531P = 27.42 and 21.15 ppm, both as doublets with J value 32.4 Hz), with trans-14 predominating (Scheme 6) [16,17]. From this mixture, the major diastereoisomeric (isoxazolidine-3,5-diyl)-3,5-disphosphonate trans-14 [(3R/S,5R/S)-14] and its 3,4-disubstituted regioisomer trans-15 [(3R/S,5S/R)-15] were isolated on a silica gel column followed by HPLC with 17% and 3.5% yields, respectively. Compound trans-14 was then efficiently transformed into anti-6 via hydrogenolysis in the presence of Boc2O. The transformation of compound trans-14 into 6 proceeded without changes in configuration of the stereogenic centres, thus the relative configuration between substituents at C1 and C3 in racemic diphosphonate anti-6 [(1R/S,3R/S)-6] could be established unequivocally (Scheme 6), and therefore, the same applied to the anti-configured enantiomeric pair of diphosphonates (1R,3R)-6 and (1S,3S)-6 (Scheme 3 and Scheme 5). The addition of diethyl phosphite to aldehyde (R)-7 or (S)-7, results in the formation of the corresponding syn-adduct 6 in addition to the isomeric anti-6 product (stereochemical outcome of Abramov reaction). Consequently, the absolute configuration of the other pair of enantiomeric diphosphonates obtained from (R)-7 and (S)-7 were assigned as (1R,3S)-6 and (1S,3R)-6, respectively (Scheme 3 and Scheme 5).
To gather additional evidence of the absolute configurations at C3 in the respective 3-hydroxydiphosphonates 6, the racemic compound anti-6 [(1R/S,3R/S)-6] available from isoxazolidine trans-14 [(3R/S,5R/S)-14] was transformed into a diastereoisomeric mixture of O-methylmandelate derivatives (1R,3R,1′S)-1631P = 24.34 and 18.42 ppm) and (1S,3S,1′S)-1631P = 23.98 and 19.32 ppm) via esterification with (S)-O-methylmandelic acid [18] in the presence of DCC (N,N′-dicyclohexylcarbodiimide) [19] (Scheme 7). Although separation of the diastereoisomeric O-methylmandelates was tedious with HPLC, mainly due to problems with removal of dicyclohexylurea (DCU), sufficient amounts of the diastereoisomers were obtained to collect their 1H and 31P NMR spectra (see Supplementary Materials), i.e., (1R,3R,1′S)-16 eluted faster than (1R,3S,1′S)-16 (Scheme 4). Moreover, the O-methylmandelates 16 appeared unstable, even at −4 °C.
To synthesize all diastereoisomeric (S)-O-methylmandelic acid esters of the 3-hydroxydiphosphonates 6, analogous reactions were performed on the respective mixtures of diastereoisomeric phosphonates 6 obtained directly from enantiomerically pure aldehydes (Scheme 3 and Scheme 5). Thus, a mixture of the 3-hydroxydiphosphonates (1R,3S)-6 and (1R,3R)-6 obtained from aldehyde (R)-7 was converted into (S)-O-methylmandelates (1R,3S,1′S)-16 and (1R,3R,1′S)-16, whereas esters (1S,3R,1′S)-16 and (1S,3S,1′S)-16 were synthesized from the 3-hydroxydiphosphonates (1S,3R)-6 and (1S,3S)-6 produced from aldehyde (S)-7 (Figure 3).
Based on extensive configurational studies of the α-hydroxyphosphonates, Spilling and co-workers concluded that 31P NMR chemical shifts for the (R)-O-methylmandelic acid esters of (S)-α-hydroxyphosphonates appear in a higher field compared to the signals for the (R)-O-methylmandelates of enantiomeric (R)-alcohols [20]. Accordingly, (S)-O-methylmandelates of (R)-α-hydroxyphosphonates are expected to absorb in a higher field than (S)-O-methylmandelates of (S)-α-hydroxyphosphonates. Indeed, this general rule worked well for our 3-hydroxydiphosphonates 6 (Figure 3). Thus, the 31P nucleus at C3 in (S)-O-methylmandalate (1R,3R,1′S)-16 resonates in a higher field (δ31P = 18.42 ppm) compared to the diastereoisomeric ester (1S,3S,1′S)-1631P = 19.34 ppm) obtained from the enantiomeric α-hydroxydiphosphonate (1S,3S)-6. Similarly, a lower value for the 31P NMR chemical shift of the phosphorus atom at C3 in (S)-O-methylmandelate (1S,3R,1′S)-1631P = 18.42 ppm) was observed in comparison to the respective signal for (1R,3S,1′S)-1631P = 19.14 ppm). Thereby, comparison of the 31P NMR chemical shifts for the respective pairs of (S)-O-methylmandelic acid esters of enantiomeric hydroxydiphosphonates, i.e., (1R,3R,1′S)-16 and (1S,3S,1′S)-16, and (1S,3R,1′S)-16 and (1R,3S,1′S)-16, provided unambiguous evidence for the already established absolute configurations of the isomeric 1-amino-3-hydroxydiphosphonates (1R,3R)-6, (1S,3S)-6, (1S,3R)-6, and (1R,3S)-6, respectively.

3. Materials and Methods

3.1. General Information

NMR spectra were measured in chloroform-d (CDCl3), benzene-d6 (C6D6), or deuterium oxide (D2O) on a Bruker Avance III (600 MHz). Solvent signals or TMS were used as internal references for 1H and 13C chemical shifts (ppm). 31P signals were referenced through the solvent lock (2H) signal according to the IUPAC recommended secondary referencing method and the manufacturer’s protocols (an analogous protocol was used for 13C NMR spectra recorded in D2O). Coupling constants J are given in Hz. The NMR experiments were conducted at 300K with the following parameters: 1H NMR spectra were acquired at 600.26 MHz using 30°-pulses (zg30), a spectral width of 12,335.5 Hz, acquisition time 2.6564 s, collecting an average of 16 scans, a relaxation delay of 1.0 sec, a pulse width 9.4 µs; 13C NMR were acquired at 150.95 MHz with 30°-pulses (zgpg30), a spectral width of 36,057.7 Hz, acquisition time 0.9088 s, collecting an average of 8192 scans, a relaxation delay of 2.0 s, a pulse width 10.5 µs; 31P NMR were acquired at 242.98 MHz with 30°-pulses (zgpg30), a spectral width of 96,153.8 Hz, acquisition time 0.3408 s, collecting an average of 128 scans, a relaxation delay of 2.0 s, a pulse width 13.7 µs. IR spectroscopic data were measured on an Bruker Alpha-T FT-IR spectrometer. Melting points were determined with a Boetius apparatus and are uncorrected. Elemental analyses were performed by the Microanalytical Laboratory of the Faculty of Pharmacy (Medical University of Lodz) with a Perkin Elmer PE 2400 CHNS analyzer, and their results were found to be in good agreement (±0.3%) with the calculated values. Polarimetric measurements were conducted with an Optical Activity PolAAr 3001 apparatus. HPLC separations were performed using a Waters HPLC system consisting of binary HPLC pump (Waters 2545), a diode array detector (Waters 2998) and an auto sampler (Waters 2767), and an XBridge C18 column OBD, 19 × 100 mm with a particle size of 5μm. The following adsorbents were used: column chromatography, Merck silica gel 60 (70–230 mesh); analytical TLC, Merck TLC plastic sheets silica gel 60 F254. TLC plates were developed in chloroform–methanol and chloroform–isopropanol solvent systems. Visualization of spots was achieved with iodine vapours. All solvents were purified by methods described in the literature.

3.2. General Procedure for the Synthesis of (1R,3S)-6 and (1R,3R)-6 or (1S,3R)-6 and (1S,3S)-6

Crude aldehyde (R)-7 or (S)-7 (1.0 mmol) and diethyl phosphite (5.0 mmol) containing triethylamine (0.1 mmol) were left at room temperature for 48 h. The crude product was purified on a silica gel column with chloroform-methanol (100:1 v/v) to give an inseparable mixture of diphosphonates (1R,3S)-6 and (1R,3R)-6 or (1S,3R)-6 and (1S,3S)-6.
Tetraethyl (1R,3S)- and (1R,3R)-[1-(N-Boc-amino)-3-hydroxypropane-1,3-diyl]diphosphonate [(1R,3S)-6 and (1R,3R)-6]. From aldehyde (R)-7 (0.292 g, 0.897 mmol), an inseparable mixture of diphosphonates (1R,3R)-6 and (1R,3S)-6 (0.296 g, 76%) was obtained. 31P NMR (243 MHz, CDCl3): δ = 25.26 [(1R,3S)-6], 24.60 [d, J = 8.0 Hz, (1R,3R)-6], 24.03 [d, J = 8.0 Hz, (1R,3R)-6], 23.58 [(1R,3S)-6]. Anal. Calcd. for C16H35NO9P2×0.25 H2O: C, 42.53; H, 7.92; N, 3.10. Found: C, 42.33; H, 7.91; N, 3.02.
Tetraethyl (1S,3R)- and (1S,3S)-[1-(N-Boc-amino)-3-hydroxypropane-1,3-diyl]diphosphonate [(1S,3R)-6 and (1S,3S)-6]. From aldehyde (S)-7 (0.308 g, 0.950 mmol), an inseparable mixture of diphosphonates (1S,3S)-6 and (1S,3R)-6 (0.298 g, 72%) was obtained. 31P NMR (243 MHz, CDCl3): δ = 25.26 [(1R,3S)-6], 24.60 [d, J = 8.0 Hz, (1R,3R)-6], 24.03 [d, J = 8.0 Hz, (1R,3R)-6], 23.58 [(1R,3S)-6]. Anal. Calcd. for C16H35NO9P2·0.25 H2O: C, 42.53; H, 7.92; N, 3.10. Found: C, 42.38; H, 8.11; N, 3.18.

3.3. General Procedure for the Synthesis of Tetraethyl [1-(N-Boc-amino)-3-Acetoxypropane-1,3-Diyl]Diphosphonate 11

A 1:1 mixture of diphosphonates (1R,3R)-6 and (1R,3S)-6 or (1S,3S)-6 and (1S,3R)-6, acetic anhydride (1.5 mmol), triethylamine (2.0 mmol), and catalytic amounts of DMAP (1 crystal) in methylene chloride (1 mL) were stirred at room temperature for 4 h. The reaction mixture was washed with water (3 × 5 mL), dried over MgSO4, concentrated in vacuo and chromatographed on a silica gel column with chloroform-isopropanol (100:1 v/v). Diastereoisomers were separated by HPLC with a mobile phase of water-acetonitrile (70:30, v/v) at a flow rate of 17 mL/min to yield (1R,3R)-11 and (1R,3S)-11 or (1S,3S)-11 and (1S,3R)-11.

3.3.1. Synthesis of (1R,3S)-11 and (1R,3R)-11

From a 1:1 mixture of 3-hydroxydiphosphonates (1R,3S)-6 and (1R,3R)-6 (0.149 g, 0.345 mmol), compound (1R,3S)-11 (0.037 g, 22%) was obtained followed by (1R,3R)-11 (0.067 g, 40%).
Tetraethyl (1R,3S)-[1-(N-Boc-amino)-3-acetoxypropane-1,3-diyl]diphosphonate [(1R,3S)-11]. Colourless oil; tR = 10.69 min. [ α ] D 20 = +3.27 (c 1.04, CHCl3). IR (film): ν = 3483, 3249, 2982, 2934, 2872, 1752, 1708, 1532, 1296, 1222, 1024, 969 cm−1. 1H NMR (600 MHz, CDCl3): δ = 5.38 (ddd, 1H, J = 4.7 Hz, J = 8.9 Hz, J = 13.7 Hz, HC3), 4.92 (d, 1H 3J = 10.3 Hz, NH), 4.22–4.05 (m, 9H, 4 × CH2OP and HC1), 2.47–2.39 (m, 1H, HaCHb), 2.10 (s, 3H, CH3), 2.09–1.99 (m, 1H, HaC2), 1.41 (s, 9H, 3 × CH3), 1.34–1.26 (m, 4 × CH3CH2OP). 13C NMR (151 MHz, CDCl3): δ = 169.85 (d, 3JCOCP = 5.1 Hz), 154.97 (d, 3JCNCP = 5.4 Hz), 80.33, 65.60 (dd, 1JCP = 168.7 Hz, 3JCCCP = 12.2 Hz), 63.20 (d, 2JCOP = 7.1 Hz), 63.15 (2JCOP = 7.0 Hz), 63.11 (2JCOP = 6.4 Hz), 62.72 (2JCOP = 6.7 Hz), 53.56, 44.88 (dd, 1JCP = 158.0 Hz, 3JCCCP = 12.4 Hz), 30.49 (dd, 2JCCP = 4.8 Hz, 2JCCP = 2.0 Hz), 28.39 (3 × CH3), 21.01, 16.59 (d, 3JCCOP = 4.0 Hz), 16.56 (d, 3JCCOP = 3.8 Hz), 16.38 (d, 3JCCOP = 6.0 Hz), 16.46 (d, 3JCCOP = 6.6 Hz). 31P NMR (243 MHz, CDCl3): δ = 23.55 (d, 4JPCCCP = 4.2 Hz), 19.83 (d, 4JPCCCP = 4.2 Hz). Anal. Calcd. for C18H37NO10P2: C, 44.18; H, 7.62; N, 2.86. Found: C, 44.01; H, 7.82; N, 2.90.
Tetraethyl (1R,3R)-[1-(N-Boc-amino)-3-acetoxypropane-1,3-diyl]diphosphonate [(1R,3R)-11]. White amorphous solid; tR = 12.67 min. [ α ] D 20 = −21.80 (c 1.22, CHCl3). Mp = 84–88 °C. IR (KBr): ν = 3480, 3262, 2983, 2935, 1710, 1674, 1251, 1225, 1024, 978 cm−1. 1H NMR (600 MHz, CDCl3): δ = 5.39 (ddd, 1H, J = 2.0 Hz, J = 8.5 Hz, J = 11.5 Hz, HC3), 4.67 (d, 1H 3J = 10.8 Hz, NH), 4.39–3.96 (m, 9H, 4 × CH2OP, HC1), 2.58–2.32 (m, 1H, HaC2), 2.14 (s, 3H, CH3), 2.14–2.07 (m, 1H, HbC2), 1.44 (s, 9H, 3 × CH3), 1.36–1.31 (m, 4 × CH3CH2OP).13C NMR (151 MHz, CDCl3): δ = 169.52 (d, 3JCOCP = 2.2 Hz), 155.07 (d, 3JCNCP = 3.9 Hz), 80.47, 63.13 (d, 2JCOP = 6.1 Hz), 62.97 (d, 2JCOP = 7.2 Hz), 62.89 (d, 2JCOP = 7.1 Hz), 62.78 (d, 2JCOP = 6.5 Hz), 62.66 (dd, 1JCP = 167.3 Hz, 3JCCCP = 13.6 Hz), 42.53 (dd, 1JCP = 158.8 Hz, 3JCCCP = 14.3 Hz), 28.95 (dd, 2JCCP = 3.9 Hz, 2JCCP = 7.5 Hz), 28.30 (3 × CH3), 20.74, 16.55 (d, 3JCCOP = 5.7 Hz, 2 × CH3), 16.46 (d, 3JCCOP = 5.9 Hz), 16.45 (d, 3JCCOP = 5.6 Hz). 31P NMR (243 MHz, CDCl3): δ = 24.41 (d, 4JPCCCP = 7.9 Hz), 20.53 (d, 4JPCCCP = 7.9 Hz). Anal. Calcd. for C18H37NO10P2: C, 44.18; H, 7.62; N, 2.86. Found: C, 44.12; H, 7.95; N, 2.91.

3.3.2. Synthesis of (1S,3R)-11 and (1S,3S)-11

From a 1:1 mixture of 3-hydroxydiphosphonates (1S,3R)-6 and (1S,3S)-6 (0.098 g, 0.227 mmol), compound (1S,3R)-11 (0.022 g, 20%) was obtained followed by (1R,3R)-11 (0.036 g, 32%).
Tetraethyl (1S,3R)-[1-(N-Boc-amino)-3-acetoxypropane-1,3-diyl]diphosphonate [(1S,3R)-11] [enantiomer of (1R,3S)-11]. Colourless oil; tR = 10.69 min.   [ α ] D 20 = −3.45 (c 1.10, CHCl3). Anal. Calcd. for C18H37NO10P2 × 0.25 H2O: C, 44.18; H, 7.62; N, 2.86. Found: C, 44.00; H, 7.88; N, 2.96.
Tetraethyl (1S,3S)-[1-(N-Boc-amino)-3-acetoxypropane-1,3-diyl]diphosphonate [(1S,3S)-11] [enantiomer of (1R,3R)-11]. White amorphous solid; tR = 12.67 min. [ α ] D 20 = +20.30 (c 1.01, CHCl3). Anal. Calcd. for C18H37NO10P2: C, 44.18; H, 7.62; N, 2.86. Found: C, 44.11; H, 7.85; N, 2.97.

3.4. General Procedure for the Synthesis of Tetraethyl [1-(N-Boc-amino)-3-(4-Nitrobenzoyloxy)Propane-1,3-Diyl]Diphosphonate 12

A 1:1 mixture of diphosphonates (1R,3R)-6 and (1R,3S)-6 or (1S,3S)-6 and (1S,3R)-6, 4-nitrobenzoyl chloride (1.5 mmol), and triethylamine (2.0 mmol) containing DMAP (1 crystal) in methylene chloride (1 mL) was stirred at room temperature for 4 h. The reaction mixture was washed with water (3 × 5 mL), dried over Na2SO4, concentrated in vacuo and chromatographed on a silica gel column with dichloromethane-isopropanol (100:1 v/v). Diastereoisomers were separated by HPLC with a mobile phase of water-acetonitrile (64:38, v/v) at a flow rate of 17 mL/min to yield (1R,3R)-12 and (1R,3S)-12 or (1S,3S)-12 and (1S,3R)-12.

3.4.1. Synthesis of (1R,3S)-12 and (1R,3R)-12

From a 1:1 mixture of 3-hydroxydiphosphonates (1R,3R)-6 and (1R,3S)-6 (0.099 g, 0.229 mmol), compound (1R,3S)-12 (0.029 g, 21%) was obtained followed by (1R,3R)-12 (0.043 g, 31%).
Tetraethyl (1R,3S)-[1-(N-Boc-amino)-3-(4-nitrobenzoyloxy)propane-1,3-diyl]diphosphonate [(1R,3S)-12]. Yellowish oil; tR = 14.89 min.   [ α ] D 20 = −4.60 (c 2.65, CHCl3). IR (film): ν = 3290, 3050, 2982, 2932, 1739, 1704, 1530, 1394, 1367, 1243, 1053, 1024, 716 cm−1. 1H NMR (600 MHz, CDCl3): δ = 8.33 (d, 2H, 3J = 8.8 Hz), 8.28 (d, 2H, 3J = 8.6 Hz), 5.72 (ddd, 1H, J = 4.4 Hz, J = 9.0 Hz, 2JPC1H = 9.1 Hz, HC3), 4.98 (d, 1H. 3J = 10.2 Hz, NH), 4.32–4.26 (m, 1H, HC1), 4.25–4.09 (m, 8H, 4 × CH2OP), 2.66–2.58 (m, 1H, HaC2), 2.35–2.26 (m, 1H, HbC2), 1.36 (s, 9H, 3 × CH3), 1.35–1.32 (m, 12H, 4 × CH3CH2OP). 13C NMR (151 MHz, CDCl3): δ = 163.66 (d, 3JCOCP = 4.3 Hz), 155.01 (d, 3JCNCP = 5.5 Hz), 150.90, 135.04, 131.21, 123.76, 80.40, 67.33 (dd, 1JCP = 11.7 Hz, 3JCCCP = 168.2 Hz), 63.36 (d, 2JCOP = 6.5 Hz), 63.31 (d, 2JCOP = 6.1 Hz), 63.25 (d, 2JCOP = 7.1 Hz), 62.83 (d, 2JCOP = 6.8 Hz), 44.99 (dd, 1JCP = 157.7 Hz, 3J CCCP = 12.4 Hz), 30.74 (d, 2JCCP = 3.0 Hz), 28.28 (3 × CH3), 16.63 (d, 3JCCOP = 5.5 Hz), 16.54 (d, 3JCCOP = 5.7 Hz), 16.46 (d, 3JCCOP = 5.7 Hz). 31P NMR (243 MHz, CDCl3): δ = 23.33 (d, 4JPCCCP = 4.1 Hz) and 18.97 (d, 4JPCCCP = 4.1 Hz). Anal. Calcd. for C23H38N2O12P2: C, 46.32; H, 6.42; N, 4.70. Found: C, 46.13; H, 6.32, N, 4.71.
Tetraethyl (1R,3R)-[1-(N-Boc-amino)-3-(4-nitrobenzoyloxy)propane-1,3-diyl]diphosphonate [(1R,3R)-12]. White amorphous solid; tR = 18.14 min. [ α ] D 20 = −41.34 (c 0.82, CHCl3). Mp = 125–126 °C. IR (KBr): ν = 3288, 3049, 2982, 2930, 1740, 1704, 1530, 1368, 1243, 1053, 1024, 716 cm−1. 1H NMR (600 MHz, CDCl3): δ = 8.32 (d, 2H, 3J = 8.8 Hz), 8.22 (d, 2H, 3J = 8.8 Hz), 5.69 (ddd, 1H, J = 1.84 Hz, J = 8.3 Hz, J = 12.5 Hz, HC3), 4.74 (d, 1H, J = 10.5 Hz, NH), 4.25–4.09 (m, 9H, 4 × CH2OP and HC1), 2.67–2.61 (m, 1H, HaC2), 2.27–2.21 (m, 1H, HbC2), 1.40 (s, 9H, 3 × CH3), 1.35–1.30 (m, 4 × CH3CH2OP). 13C NMR (151 MHz, CDCl3): δ = 163.34 (d, 3JCOCP = 2.5 Hz), 155.00 (d, 3JCNCP = 4.3 Hz), 150.80, 135.16, 131.00, 123.76, 80.57, 64.38 (dd, 1JCP = 167.7 Hz, 3JCCCP = 13.5 Hz), 63.39 (d, 2JCOP = 6.3 Hz), 63.17 (d, 2JCOP = 7.2 Hz), 62.98 (d, 2JCOP = 6.6 Hz), 62.94 (d, 2JCOP = 6.1 Hz), 42.73 (dd, 1JCP = 158.5 Hz, 3JCCCP = 14.3 Hz), 29.32 (2JCCP = 3.4 Hz, 2JCCP = 7.3 Hz), 28.30 (3 × CH3), 16.62 (d, 3JCCOP = 5.6 Hz), 16.56 (d, 3JCCOP = 5.8 Hz), 16.50 (d, 3JCCOP = 5.8 Hz), 16.46 (d, 3JCCOP = 5.9 Hz). 31P NMR (243 MHz, CDCl3): δ = 24.10 (d, JPCCCP = 7.5 Hz) and 19.69 (d, JPCCCP = 7.5 Hz). Anal. Calcd. for C23H38N2O12P2: C, 46.31; H, 6.42; N, 4.70. Found: C, 46.29; H, 6.43, N, 4.59.

3.4.2. Synthesis of (1S,3R)-12 and (1S,3S)-12

From a 1:1 mixture of 3-hydroxydiphosphonates (1S,3S)-6 and (1S,3R)-6 (0.094 g, 0.218 mmol), compound (1S,3R)-12 (0.022 g, 17%) was obtained followed by (1S,3S)-12 (0.018g, 14%).
Tetraethyl (1S,3R)-[1-(N-Boc-amino)-3-(4-nitrobenzoyloxy)propane-1,3-diyl]diphosphonate [(1S,3R)-12] [enantiomer of (1R,3S)-12]. Colourless oil; tR = 14.89 min. [ α ] D 20 = +2.78 (c 2.16, CHCl3). Anal. Calcd. for C23H38N2O12P2: C, 46.31; H, 6.42; N, 4.70. Found: C, 46.18; H, 6.49; N, 4.73.
Tetraethyl (1S,3S)-[1-(N-Boc-amino)-3-(4-nitrobenzoyloxy)propane-1,3-diyl]diphosphonate [(1S,3S)-12] [enantiomer of (1R,3R)-12]. White amorphous solid; tR = 18.14 min. Mp = 116–118 °C. [ α ] D 20 = +40.60 (c 0.83, CHCl3). Anal. Calcd. for C23H38N2O12P2: C, 46.31; H, 6.42; N, 4.70. Found: C, 46.60; H, 6.64; N, 4,71.

3.5. General Procedure for the Hydrolysis of 11 or 12

A solution of the respective enantiomers of compound 11 or 12 (1.0 mmol) in 5M HCl (15 mL) was refluxed for 6 h. The solvent was removed under reduced pressure, and the residue was suspended in mixture of methanol-water (15 mL) and neutralized with propylene oxide and concentrated in vacuo. The reside was dissolved in 10 mL deionised water. Compounds (1S,3S)-5 and (1R,3R)-5 were precipitated by adding isopropanol; compounds (1S,3R)-5 and (1S,3R)-5 were precipitated by adding methanol.
(1R,3S)-(1-amino-3-hydroxypropane-1,3-diyl)diphosphonic acid [(1R,3S)-5]. From compound (1R,3S)-11 (0.051 g, 0.104 mmol), diphosphonic acid (1S,3R)-5 (0.019 g, 0.081 mmol, 53%) was obtained. White amorphous solid. Mp > 290 °C. [ α ] D 20 = +6.55 (c 0.61, 5% NH3). IR (KBr): ν = 3390, 3241, 2960, 2932, 1651, 1519, 1454, 1167, 1081, 919, 809, 723 cm−1. 1H NMR (600 MHz, D2O): δ = 3.94 (ddd, 1H, J = 3.4 Hz, J = 7.3 Hz, J = 10.6 Hz, CHP), 3.41(ddd, 1H, J = 4.4 Hz, J = 9.6 Hz, J = 13.7 Hz, CHP), 2.28–2.22 (m, 1H), 1.96–1.87 (m, 1H). 13C NMR (151 MHz, D2O): δ = 67.91 (dd, 1JPC = 156.1 Hz, 3JPCCC = 10.2 Hz), 48.35 (dd, 1JPC = 141.4 Hz, 3JPCCC = 13.4 Hz), 30.02. 31P NMR (243 MHz, D2O): δ = 17.88 and 12.41. C3H11NO11P2·0.25 H2O: C, 15.04; H, 4.84; N, 5.85. Found: C, 15.07; H, 4.88; N, 5.89.
(1R,3R)-(1-amino-3-hydroxypropane-1,3-diyl)diphosphonic acid [(1R,3R)-5]. From compound (1R,3R)-11 (0.043 g, 0.088 mmol), diphosphonic acid (1R,3R)-5 (0.017 g, 84%) was obtained. White amorphous solid. Mp > 290 °C. IR (KBr): ν= 3406, 3252, 2960, 2926, 2855, 1636, 1532, 1438, 1165, 1062, 912, 717 cm−1. [ α ] D 20 = −9.71 (c 0.68, 5% NH3). 1H NMR (600 MHz, D2O): δ = 3.81 (ddd, 1H, J = 3.9 Hz, J = 9.2 Hz, J = 13.1 Hz, CHP), 3.43 (ddd, 1H, J = 3.2 Hz, J = 10.3 Hz, J = 13.6 Hz, CHP), 2.18–2.10 (m, 1H), 2.08–2.00 (m, 1H). 13C NMR (151 MHz, D2O): δ = 65.45 (dd, 1JPC = 157.0 Hz, 3JPCCC = 11.3 Hz), 46.55 (dd, 1JPC = 137.3 Hz, 3JPCCC = 12.2 Hz), 30.02. 31P NMR (243 MHz, D2O): δ = 18.97 and 12.89. Anal. Calcd. for C3H11NO11P2·0.25 H2O: C, 15.04; H, 4.84; N, 5.85. Found: C, 15.12; H, 4.87; N, 5.84.
(1S,3R)-(1-amino-3-hydroxypropane-1,3-diyl)diphosphonic acid [(1S,3R)-5] [enantiomer of (1R,3S)-5]. From compound (1S,3R)-11 (0.054 g, 0.11 mmol), diphosphonic acid (1R,3R)-5 (0.022 g, 86%) was obtained as a white amorphous solid. Mp > 290 °C. [ α ] D 20 = −4.64 (c 0.56, 5% NH3). Anal. Calcd. for C3H11NO11P2·0.25 H2O: C, 15.04; H, 4.84; N, 5.85. Found: C, 15.19; H, 4.89; N, 5.87.
(1S,3S)-(1-amino-3-hydroxypropane-1,3-diyl)diphosphonic acid [(1S,3S)-5] [enantiomer of (1R,3R)-5]. From compound (1S,3S)-11 (0.052 g, 0.106 mmol), diphosphonic acid (1S,3S)-5 (0.017 g, 69%) was obtained as a white amorphous solid. Mp > 290 °C. [ α ] D 20 = +8.62 (c 0.83, 5% NH3). Anal. Calcd. for C3H11NO11P2·0.25 H2O: C, 15.04; H, 4.84; N, 5.85. Found: C, 15.21; H, 4.85; N, 5.86.

3.6. Cycloaddition of Nitrone 13 to Vinylphosphonate

Nitrone 13 (0.710 g, 2.617 mmol) and vinylphosphonate (0.389 mL, 2.617 mmol) were stirred in toluene (3.0 mL) at 60 °C for 48 h. All volatiles were removed in vacuo and the crude products were subjected to purification on a silica gel column with chloroform-isopropanol (100:1, v/v then 50:1 v/v) to yield (3R/S,5R/S)-14 [anti-14] (0.331 g, 17%). The residue was separated by HPLC with a mobile phase of water-isopropanol (80:20, v/v) at a flow rate of 17 mL/min to yield (3R/S,4S/R)-15 [anti-15] (0.040 g, 3.5%).
Tetraethyl (3R/S,5R/S)-(2-benzylisoxazolidine-3,5-diyl)diphosphonate [(3R/S,5R/S)-14]. Colourless oil. IR (film): ν = 3477, 2984, 2931, 2911, 1650, 1246, 1048, 1025, 970 cm−1. 1H NMR (CDCl3, 600 MHz): δ = 7.41 (d, J = 7.3 Hz, 2H), 7.32 (t, J = 7.4 Hz, 2H), 7.28 (d, J = 7.8 Hz, 1H), 4.36 (d, 1H, JAB = 13.8 Hz, HaCHbPh), 4.29 (dt, 1H, J = 8.3 Hz, J = 2.1 Hz, HC5), 4.25–4.08 (m, 4 × CH2OP and HaCHbPh), 3.46 (ddd, 1H, J = 4.9 Hz, J = 6.4 Hz, J = 8.3 Hz, HC3), 2.91–2.80 (m, 2H, HaC4 and HbC4), 1.38–1.31 (m, 9H, 3 × CH3CH2OP), 1.29 (t, 3H, J = 7.1 Hz, CH3CH2OP). 13C NMR (CDCl3, 151 MHz): δ = 137.00, 129.49, 128.31, 127.51, 72.56 (dd, 1JPC = 167.7 Hz, 3JPCCC = 6.1 Hz, C5), 63.42 (d, 2JCOP = 6.5 Hz), 63.28 (d, 2JCOP = 6.5 Hz), 63.05 (d, J = 8.0 Hz), 62.92 (d, 2JCOP = 6.9 Hz), 62.60 (d, 2JCOP = 6.9 Hz), 61.23 (dd, 1JPC = 170.8 Hz, 3JPCCC = 5.8 Hz, C3), 33.45, 16.62 (d, 3JCCOP = 6.5 Hz), 16.53 (d, 3JCCOP = 6.3 Hz). 31P NMR (243 MHz, CDCl3): δ = 21.32 and 20.77. Anal. Calcd. for C18H31NO7P2·0.25 H2O: C, 49.15; H, 7.22; N, 3.19. Found: C, 49.06; H, 7.07; N, 3.27.
Tetraethyl (3R/S,4S/R)-(2-benzylisoxazolidine-3,4-diyl)diphosphonate [(3R/S,4S/R)-15]. Colourless oil; tR = 14.13 min. 1H NMR (600 MHz, CDCl3): δ = 7.43 (d, J = 6.9 Hz, 1H), 7.33 (t, J = 7.4 Hz, 1H), 7.28 (d, J = 7.4 Hz, 1H), 4.28 (ddd, 3J = 15.1 Hz, 3J = 8.9 Hz, 3J = 7.0 Hz, 1H, HaC5), 4.23 (d, JAB = 12.9 Hz, 1H), 4.21–4.14 (m, 8H, 4 × CH2OP), 4.08 (d, JAB = 12.9 Hz, 1H), 4.08–4.03 (m, 1H, HbC5), 3.59 (ddd, 2J = 21.0 Hz, 3J = 7.2 Hz, 3J = 5.5 Hz, 1H, HC3), 3.26–3.11 (m, 1H, HC4), 1.36 (t, 3J = 7.1 Hz, 6H, 2 × CH3CH2OP), 1.30 (t, 3J = 7.1 Hz, 3H, CH3CH2OP), 1.27 (t, 3J = 7.1 Hz, 3H, CH3CH2OP). 13C NMR (151 MHz, CDCl3): δ = 136.54, 129.46, 128.35, 127.60, 66.57, 63.24 (d, 2JCOP = 7.0 Hz), 63.15 (d, 2JCOP = 6.6 Hz), 62.72 (d, 2JCOP = 6.6 Hz), 62.45 (d, 2JCOP = 6.6 Hz), 61.37 (d, J = 177.1 Hz), 41.95 (d, J = 147.1 Hz), 16.64 (d, 3JCCOP = 3.6 Hz), 16.57 (d, 3JCCOP = 5.2 Hz). 31P NMR (243 MHz, CDCl3): δ = 27.42 (d, JPCCP = 32.4 Hz), 21.15 (d, JPCCP = 32.4 Hz). Anal. Calcd. C18H31NO7P2: C, 49.66 H, 7.18; N, 3.22. Found: C, 49.55 H, 7.02; N, 3.12.

3.7. Synthesis of (1R/S,3R/S)-6 [Anti-6] from (3R/S,5R/S)-6 [Anti-14]

A solution of isoxazolidine (3R/S,5R/S)-14 [anti-14] (0.046 g, 0.020 mmol) and Boc2O (0.023 g, 0.020 mmol) was kept under atmospheric pressure of hydrogen over 20% PdOH-C (5 mg) at room temperature for 2 days. The suspension was filtered through a layer of celite. The solution was concentrated, and the residue was chromatographed on a silica gel column with chloroform–isopropanol (100:1, v/v) to yield (1R/S,3R/S)-6 [anti-6] (0.032 g, 74%) as a colourless oil.
(1R/S,3R/S)-[1-(N-Boc-amino)-3-hydroxypropane-1,3-diyl]diphosphonate [(1R/S,3R/S)-6]. Colourless oil. IR (film): ν = 3417, 3281, 2982, 2931, 1698, 1393, 1368. 1232, 1166, 1046, 1026 cm−1. 1H NMR (CDCl3, 600 MHz): δ = 5.00 (dd, 1H, J = 10.8 Hz, J = 4.6 Hz, NH), 4.30–4.15 (m, 9H, 4 × CH2OP), 4.10 (d, 1H, J = 21.7 Hz, OH), 3.98 (dd, 1H, J = 11.7 Hz, J = 11.3 Hz, HCO), 2.23–2.15 (m, 1H, HaC2), 2.01–1.98 (m, 1H, HbC2), 1.47 (s, 9H, 3 × CH3), 1.38–1.34 (m, 12H, 4 × CH3CH2OP). 13C NMR (151 MHz, CDCl3): δ = 156.79 (d, 3JCNCP = 9.0 Hz), 81.04, 63.80 (dd, 1JPC = 170.6 Hz, 3JPCCC = 13.2 Hz), 63.02 (d, 2JCOP = 7.0 Hz), 62.79 (d, 2JCOP = 2.2 Hz), 62.73 (d, 2JCOP = 6.8 Hz), 43.66 (dd, 1JPC = 158.0 Hz, 3JPCCC = 16.1 Hz), 32.72 (dd, 2JPCC = 4.1 Hz, 2JPCC = 4.0 Hz), 28.20, 16.50 (d,3JCCOP = 2.9 Hz), 16.46 (d, 3JCCOP = 2.9 Hz), 16.41 (d, 3JCCOP = 5.7 Hz), 16.34 (d, 3JCCOP = 5.7 Hz).31P NMR (CDCl3, 243 MHz): δ = 24.59 (d, 4JPCCCP = 8.0 Hz), 24.93 (d, 4JPCCCP = 8.0 Hz). 1H NMR (600 MHz, C6D6): δ = 5.86 (d, 3J = 10.0 Hz, 1H, NH), 5.36 (s, 1H, OH), 4.75 (ddt, J = 17.8 Hz, 3J = 10.0 Hz, J = 3.2 Hz, 1H, CHN), 4.41 (t, J = 10.1 Hz, 1H, CHO), 4.19–4.04 (m, 4H, 2 × CH2OP), 4.02–3.87 (m, 4H, 2 × CH2OP), 2.64–2.53 (m, 1H, HαCHβ), 2.42–2.33 (m, 1H, HβCHα), 1.37 (s, 9H, 3 × CH3), 1.11 (t, 3J = 7.1Hz, 3H, CH3CH2OP), 1.10 (t, 3J = 7.1 Hz, 3H, CH3CH2OP), 1.04 (t, 3J = 7.1 Hz, 3H, CH3CH2OP), 1.03 (t, 3J = 7.1 Hz, 3H, CH3CH2OP). 13C NMR (151 MHz, C6D6): δ = 169.04, 156.28 (d, 3JCNCP= 5.8 Hz), 79.37, 64.45 (dd, 1JPC = 155.1 Hz, 3JPCCC =13.9 Hz), 62.44 (d, 2JCOP = 6.8 Hz), 62.25 (d, 2JCOP = 6.5 Hz), 62.15 (d, 2JCOP = 6.3 Hz), 44.26 (dd, 1JPC = 156.1, 3JPCCC = 15.7 Hz), 32.48, 27.96, 16.22 (d, 3JCCOP = 5.3 Hz), 16.08 (d, 3JCCOP = 5.2 Hz), 15.99 (d, 3JCCOP = 5.7 Hz). 31P NMR (243 MHz, C6D6): δ = 25.33 (d, JPCCCP = 7.1 Hz), 24.56 (d, JPCCCP = 7.1 Hz). Anal. Calcd. for C16H35NO9P2 × 0.25 H2O: C, 42.53; H, 7.92; N, 3.10. Found: C, 42.38; H, 8.11; N, 3.09.

3.8. General Procedure for Esterification of 3-Hydroxydiphosphonates 6 with (S)-O-Methylmandelic Acid

To a solution of diphosphonate (1R/S,3R/S)-6 or an appropriate mixture of diphosphonates (1R,3S)-6 and (1R,3R)-6 or (1S,3R)-6 and (1S,3S)-6 (1.00 mmol) in methylene chloride (3.5 mL), (S)-2-methoxy-2-phenylacetic acid (1.75 mmol), DCC (1.75 mmol) and DMAP (0.10 mmol) were added. This mixture was stirred at room temperature for 24 h. The reaction mixture was filtered off and concentrated in vacuo and chromatographed on a silica gel column with chloroform-isopropanol (100:1 v/v).

3.8.1. Esterification of (1R/S,3R/S)-6 with (S)-O-Methylmandelic Acid

From 3-hydroxydiphosphonate (1R/S,3R/S)-6 (0.134 g, 0.585 mmol), (S)-O-methylmandelate (1R,3R,1′S)-16 (0.026 g, 14%) was obtained followed by diastereoisomer (1S,3S,1′S)-16 (0.018 g, 10%) after separation by HPLC with a mobile phase of water-acetonitrile (63:37, v/v) and a flow rate of 17 mL/min.
Mandelate (1R,3R,1′S)-16: white amorphous solid; tR = 15.77 min. 1H NMR (600 MHz, C6D6): δ = 7.52 (d, 2H, 3J = 7.3 Hz), 7.08 (t, 2H, 3J = 7.6 Hz), 7.00 (t, 1H, 3J = 7.6 Hz), 6.05 (d, 3J = 10.0 Hz, HNBoc), 5.84 (ddd, 1H, 3J = 1.4 Hz, 3J = 1.4 Hz, 3J = 7.7 Hz, 3J = 9.7 Hz, HC3), 4.88 (s, 1H, HCOCH3), 4.58 (dddd, 1H, 3J = 3.2 Hz, 3J = 10.0 Hz, 3J = 7.7 Hz, 3J = 9.7 Hz, HC1), 4.09–3.97 (m, 4H, 2 × CH2OP), 3.95–3.84 (m, 2H, CH2OP), 3.69–3.57 (m, 2H, CH2OP), 3.54 (s, 3H, OCH3), 2.79–2.72 (m, 1H, HaC2). 2.67–2.61 (m, 1H, HbC2), 1.46 (s, 9H, 3 × CH3), 1.11 (t, 3H, 3J = 7.1 Hz, CH3CH2OP), 1.07 (t, 3H, 3J = 7.1 Hz, CH3CH2OP), 0.93 (t, 3H, 3J = 7.1 Hz, CH3CH2OP), 0.89 (t, 3H, 3J = 7.1 Hz, CH3CH2OP). 31P NMR (243 MHz, C6D6): δ = 24.72 (d, 4JPCCCP = 7.9 Hz), 19.18 (d, 4JPCCCP = 7.9 Hz). 31P NMR (243 MHz, CDCl3): δ = 24.34 (d, J = 7.9 Hz), 18.42 (d, J = 7.9 Hz).
Mandelate (1S,3S,1′S)-16: white amorphous solid; tR = 17.86 min. 1H NMR (C6D6, 600 MHz): δ = 7.62 (d, 2H, 3J = 7.4 Hz), 7.17–7.15 (m, 2H), 7.05 (t, 1H, 3J = 7.4 Hz), 5.87–5.83 (m, 1H, HC3), 5.26 (d, 3J = 10.4 Hz, HNBoc), 4.90 (s, 1H, HCOCH3), 4.44–4.37 (m, 1H, HC1), 3.99–3.80 (m, 8H, 4 × CH2OP), 3.39 (s, 3H, OCH3), 2.84–2.77 (m, 1H, HaC2), 2.57–2.50 (m, 1H, HbC2), 1.43 (s, 9H, 3 × CH3), 1.03 (t, 6H, J = 7.0 Hz, 2 × CH3CH2OP), 0.97 (t, 3H, J = 7.0 Hz, CH3CH2OP), 0.91 (t, 3H, J = 7.0 Hz, CH3CH2OP). 31P NMR (C6D6, 243 MHz): δ = 24.31 (d, 4JPCCCP = 7.5 Hz), 19.72 (d, 4JPCCCP = 7.5 Hz). 31P NMR (CDCl3, 243 MHz): δ = 23.98 (d, 4JPCCCP = 7.6 Hz), 19.34 (d, 4JPCCCP = 7.6 Hz).

3.8.2. Esterification of (1R,3R)-6 and (1R,3S)-6 with (S)-O-Methylmandelic Acid

From a 1:1 mixture of 3-hydroxydiphosphonates (1R,3R)-6 and (1R,3S)-6 (0.262 g, 0.585 mmol), (S)-O-methylmandelate (1R,3R,1′S)-16 (0.010 g, 3%) was obtained followed by diastereoisomer (1R,3S,1′S)-16 (0.010 g, 8%) after separation by HPLC with a mobile phase of water-acetonitrile (61.5:38.5, v/v) and a flow rate of 17 mL/min.
Mandelate (1R,3R,1′S)-16: white amorphous solid; tR = 12.56 min. 31P NMR (243 MHz, CDCl3): δ = 24.34 (d, J = 7.9 Hz), 18.42 (d, J = 7.9 Hz).
Mandelate (1R,3S,1′S)-16: colorless oil; tR = 14.12 min. 1H NMR (600 MHz, C6D6): δ = 7.63 (d, J = 7.5 Hz, 1H), 7.05 (t, J = 7.4 Hz, 1H), 5.96 (q, J = 7.8 Hz, 1H, HC3), 5.32 (d, J = 8.6 Hz, 1H, NH), 4.83 (s, 1H, HCOCH3), 4.53 (dq, J = 16.6, 7.5 Hz, 1H), 3.28 (s, 1H, OCH3), 2.85–2.74 (m, 1H, HaC2), 2.30–2.17 (m, 1H, HbC2), 1.41 (s, 9H, 3 × CH3), 1.10–0.96 (m, 12H, 4 × CH3CH2OP). 31P NMR (243 MHz, C6D6): δ = 23.77, 19.72. 31P NMR (243 MHz, CDCl3): δ = 23.38, 19.14.

3.8.3. Esterification of (1S,3S)-6 and (1S,3R)-6 with (S)-O-Methylmandelic Acid

From a mixture of 3-hydroxydiphosphonates (1S,3S)-6 and (1S,3R)-6 (0.088 g, 0.200 mmol), (S)-O-methylmandelate (1S,3R,1′S)-16 (0.036 g, 36%) was obtained followed by diastereoisomer (1S,3S,1′S)-16 (0.031 g, 31%) after separation by HPLC with a mobile phase of water-acetonitrile (60:40, v/v) at a flow rate of 17 mL/min.
Mandelate (1S,3R,1′S)-16: colourless oil; tR = 9.06 min. 1H NMR (600 MHz, C6D6): δ = 7.57 (d, J = 7.4 Hz, 2H), 7.11 (t, J = 7.4 Hz, 1H), 7.02 (t, J = 7.4 Hz, 1H), 5.97 (q, J = 8.0 Hz, 1H, HC3), 5.52 (d, J = 5.7 Hz, NH), 4.91 (s, 1H, HCOCH3), 4.68–4.55 (m, 1H), 4.08–3.90 (m, 4H), 3.92–3.84 (m, 2H), 3.78 (qd, J = 7.4 Hz, J = 3.4 Hz, 1H), 3.72–3.61 (m, 1H), 3.38 (s, 3H, OCH3), 2.91–2.79 (m, 1H, HaC2), 2.40–2.25 (m, 1H, HbC2), 1.41 (s, 9H, 3 × CH3), 1.07 (t, J = 7.0 Hz, 3H, CH3CH2OP), 1.04 (t, J = 7.0 Hz, 3H, CH3CH2OP) 0.93 (t, J = 7.0 Hz, 6H, 2 × CH3CH2OP). 31P NMR (243 MHz, C6D6): δ = 24.00, 19.22. 31P NMR (243 MHz, CDCl3): δ = 23.61, 18.42.
Mandelate (1S,3S,1′S)-16: white amorphous solid; tR = 10.82 min. 31P NMR (CDCl3, 243 MHz): δ = 23.98 (d, 4JPCCCP = 7.6 Hz), 19.34 (d, 4JPCCCP = 7.6 Hz).

4. Conclusions

The nucleophilic addition reactions of aldehydes (R)-7 and (S)-7 with diethyl phosphite provided inseparable mixtures of diastereoisomeric diphosphonates (1R,3S)-6 and (1R,3R)-6, and (1S,3R)-6 and (1S,3S)-6, respectively. Diastereoisomeric 3-hydroxydiphosphonates 6 were then efficiently separated as O-acetates or O-p-nitrobenzoates and then hydrolysed to the designed phosphonic acids (1R,3S)-5, (1R,3R)-5, (1S,3R)-5, and (1S,3S)-5 as diphosphonate analogues of 4-hydroxyglutamic acids.

Supplementary Materials

The following are available online at https://www.mdpi.com/article/10.3390/molecules27092699/s1, Figure S1: 31P NMR Spectrum for (1R,3S)-6 and (1R,3R)-6 in CDCl3, Figure S2: 1H NMR Spectrum for (1R,3S)-11 in CDCl3, Figure S3: 13C NMR Spectrum for (1R,3S)-11 in CDCl3, Figure S4: 31P NMR Spectrum for (1R,3S)-11 in CDCl3, Figure S5: 1H NMR Spectrum for (1R,3R)-11 in CDCl3, Figure S6: 13C NMR Spectrum for (1R,3R)-11 in CDCl3, Figure S7: 31P NMR Spectrum for (1R,3R)-11 in CDCl3, Figure S8: 1H NMR Spectrum for (1R,3S)-12 in CDCl3, Figure S9: 13C NMR Spectrum for (1R,3S)-12 in CDCl3, Figure S10: 31P NMR Spectrum for (1R,3S)-12 in CDCl3, Figure S11: 1H NMR Spectrum for (1R,3R)-12 in CDCl3, Figure S12: 13C NMR Spectrum for (1R,3R)-12 in CDCl3, Figure S13: 31P NMR Spectrum for (1R,3R)-12 in CDCl3, Figure S14: 1H NMR Spectrum for (1R,3R)-4 in D2O, Figure S15: 13C NMR Spectrum for (1R,3R)-4 in D2O, Figure S16: 31P NMR Spectrum for (1R,3R)-4 in D2O, Figure S17: 1H NMR Spectrum for (1R,3S)-4 in D2O, Figure S18: 13C NMR Spectrum for (1R,3S)-4 in D2O, Figure S19: 31P NMR Spectrum for (1R,3S)-4 in D2O, Figure S20: 1H NMR Spectrum for trans-14 in CDCl3, Figure S21: 13C NMR Spectrum for trans-14 in CDCl3, Figure S22: 31P NMR Spectrum for trans-14 in CDCl3, Figure S23: 1H NMR Spectrum for trans-15 in CDCl3, Figure S24: 13C NMR Spectrum for trans-15 in CDCl3, Figure S25: 31P NMR Spectrum for trans-15 in CDCl3, Figure S26: 1H NMR Spectrum for (1R/S,3R/S)-6 [anti-6] in CDCl3, Figure S27: 13C NMR Spectrum for (1R/S,3R/S)-6 [anti-6] in CDCl3, Figure S28: 31P NMR Spectrum for (1R/S,3R/S)-6 [anti-6] in CDCl3, Figure S29: 1H NMR Spectrum for (1R/S,3R/S)-6 [anti-6] in C6D6, Figure S30: 13C NMR Spectrum for (1R/S,3R/S)-6 [anti-6] in C6D6, Figure S31: 31P NMR Spectrum for (1R/S,3R/S)-6 [anti-6] in C6D6, Figure S32: 1H NMR Spectrum for (1R,3R,1’S)-16 in C6D6, Figure S33: 31P NMR Spectrum for (1R,3R,1’S)-16 in C6D6, Figure S34: 31P NMR Spectrum for (1R,3R,1’S)-16 in CDCl3, Figure S35: 1H NMR Spectrum for (1S,3S,1’S)-16 in C6D6, Figure S36: 31P NMR Spectrum for (1S,3S,1’S)-16 in C6D6, Figure S37: 31P NMR Spectrum for (1S,3S,1’S)-16 in CDCl3, Figure S38: 1H NMR Spectrum for (1R,3S,1’S)-16 in C6D6, Figure S39: 31P NMR Spectrum for (1R,3S,1’S)-16 in C6D6, Figure S40: 31P NMR Spectrum for (1R,3S,1’S)-16 in CDCl3, Figure S41: 1H NMR Spectrum for (1S,3R,1’S)-16 in C6D6, Figure S42: 31P NMR Spectrum for (1S,3R,1’S)-16 in C6D6, Figure S43: 31P NMR Spectrum for (1S,3R,1’S)-16 in CDCl3, Figure S44: Separation of (1R,3S)-11 and (1R,3R)-11 by preparative HPLC, Figure S45: Separation of (1S,3R)-11 and (1S,3S)-11 by preparative HPLC, Figure S46: Separation of (1R,3S)-12 and (1R,3R)-12 by preparative HPLC, Figure S47: Separation of (1S,3R)-12 and (1S,3S)-12 by preparative HPLC, Figure S48: Separation of trans-14 and trans-15 by preparative HPLC, Figure S49: Separation of (1R,3R,1’S)-16 and (1S,3S,1’S)-16 by preparative HPLC, Figure S50: Separation of (1R,3R,1’S)-16 and (1R,3S,1’S)-16 by preparative HPLC, Figure S51: Separation of (1S,3R,1’S)-16 and (1S,3S,1’S)-16 by preparative HPLC.

Author Contributions

Conceptualization, I.E.G. and D.G.P.; methodology, L.L., I.E.G. and D.G.P.; synthesis, L.L. and I.E.G.; investigation, L.L., I.E.G. and D.G.P.; resources and project administration, L.L., I.E.G. and D.G.P.; writing—original draft preparation, I.E.G. and D.G.P.; writing—review and editing, L.L., I.E.G. and D.G.P.; supervision, D.G.P.; funding acquisition, D.G.P. All authors have read and agreed to the published version of the manuscript.

Funding

This work was funded by the Medical University of Lodz (internal fund 503/3-014-01/503-31-001).

Institutional Review Board Statement

Not applicable.

Informed Consent Statement

Not applicable.

Data Availability Statement

Data is contained within the article.

Conflicts of Interest

The authors declare no conflict of interest.

Sample Availability

Samples are not available.

Abbreviations

DCCN,N′-dicyclohexylcarbodiimide
DCUdicyclohexylurea
DMAP4-dimethylaminopyridine
HPLChigh performance liquid chromatography
L-AP4L-(+)-2-amino-4-phosphonobutyric acid
MgBr2-etheratemagnesium bromide ethyl etherate
mGluRglutamate metabotropic receptors
mGlu1aRmetabotropic glutamate 1a receptor
mGlu8aRmetabotropic glutamate 8a receptor
MAP4(S)-2-Amino-2-methyl-4-phosphonobutyric acid
NMDAN-methyl-D-aspartic acid
rtroom temperature

References

  1. Konzuch, S.; Umeda, T.; Held, J.; Hahn, S.; Brucher, K.; Lienau, C.; Behrendt, C.T.; Grawert, T.; Bacher, A.; Illarionov, B.; et al. Binding Modes of Reverse Fosmidomycin Analogs toward the Antimalarial Target IspC. J. Med. Chem. 2014, 57, 8827–8838. [Google Scholar] [CrossRef] [PubMed]
  2. Teuscher, F.; Lowther, J.; Skinner-Adams, T.S.; Spielmann, T.; Dixon, M.W.A.; Stack, C.M.; Donnelly, S.; Mucha, A.; Kafarski, P.; Vassiliou, S.; et al. The m18 aspartyl aminopeptidase of the human malaria parasite Plasmodium falciparum. J. Biol. Chem. 2007, 282, 30817–30826. [Google Scholar] [CrossRef] [PubMed] [Green Version]
  3. Kafarski, P.; Lejczak, B. Biological Activity of aminophosphonic acids. Phosphorus Sulfur. 1991, 63, 193–215. [Google Scholar] [CrossRef]
  4. Orsini, F.; Sello, G.; Sisti, M. Aminophosphonic Acids and Derivatives. Synthesis and Biological Applications. Curr. Med. Chem. 2010, 17, 264–289. [Google Scholar] [CrossRef] [PubMed]
  5. Filosa, R.; Marinozzi, M.; Costantino, G.; Hermit, M.B.; Thomsen, C.; Pellicciari, R. Synthesis and biological evaluation of (2S)-and (2R)-2-(3′-phosphonobicyclo [1.1.1]pentyl)glycines as novel group III selective metabotropic glutamate receptor ligands. Bioorg. Med. Chem. 2006, 14, 3811–3817. [Google Scholar] [CrossRef] [PubMed]
  6. Thomsen, C. The L-AP4 receptor. Gen. Pharmac. 1997, 29, 151–158. [Google Scholar] [CrossRef]
  7. Swanson, C.J.; Bures, M.; Johnson, M.P.; Linden, A.M.; Monn, J.A.; Schoepp, D.D. Metabotropic glutamate receptors as novel targets for anxiety and stress disorders. Nat. Rev. Drug Discov. 2005, 4, 131–134. [Google Scholar] [CrossRef]
  8. De Blasi, A.; Conn, P.J.; Pin, J.P.; Nicoletti, F. Molecular determinants of metabotropic glutamate receptor signaling. Trends Pharmacol. Sci. 2001, 22, 114–120. [Google Scholar] [CrossRef]
  9. Conn, P.J.; Pin, J.P. Pharmacology and functions of metabotropic glutamate receptors. Ann. Rev. Pharmacol. Toxicol. 1997, 37, 205–237. [Google Scholar] [CrossRef] [PubMed] [Green Version]
  10. Niswender, C.M.; Johnson, K.A.; Luo, Q.W.; Ayala, J.E.; Kim, C.; Conn, P.J.; Weaver, C.D. A novel assay of G(i/o)-Linked G protein-coupled receptor coupling to potassium channels provides new insights into the pharmacology of the group III metabotropic glutamate receptors. Mol. Pharmacol. 2008, 73, 1213–1224. [Google Scholar] [CrossRef] [Green Version]
  11. Ghauri, M.; Chapman, A.G.; Meldrum, B.S. Convulsant and anticonvulsant actions of agonists and antagonists of group III mGluRs. Neuroreport 1996, 7, 1469–1474. [Google Scholar] [CrossRef] [PubMed]
  12. Bessis, A.S.; Bolte, J.; Pin, J.P.; Acher, F. New probes of the agonist binding site of metabotropic glutamate receptors. Bioorg. Med. Chem. Lett. 2001, 11, 1569–1572. [Google Scholar] [CrossRef]
  13. Bunch, L.; Pickering, D.S.; Gefflaut, T.; Vinatier, V.; Helaine, V.; Amir, A.; Nielsen, B.; Jensen, A.A. 4,4-Dimethyl- and Diastereomeric 4-Hydroxy-4-methyl-(2S)-Glutamate Analogues Display Distinct Pharmacological Profiles at Ionotropic Glutamate Receptors and Excitatory Amino Acid Transporters. ChemMedChem 2009, 4, 1925–1929. [Google Scholar] [CrossRef] [PubMed]
  14. Piotrowska, D.G.; Glowacka, W.E. Enantioselective synthesis of phosphonate analogues of (R)- and (S)-homoserine. Tetrahedron Asymmetry 2007, 18, 2787–2790. [Google Scholar] [CrossRef]
  15. Piotrowska, D.G.; Glowacka, I.E. Enantiomerically pure phosphonate analogues of cis- and trans-4-hydroxyprolines. Tetrahedron Asymmetry 2007, 18, 1351–1363. [Google Scholar] [CrossRef]
  16. Piotrowska, D.G. N-Substituted C-diethoxyphosphorylated nitrones as useful synthons for the synthesis of α-aminophosphonates. Tetrahedron Lett. 2006, 47, 5363–5366. [Google Scholar] [CrossRef]
  17. Piotrowska, D.G. Stereochemistry of substituted isoxazolidines derived from N-methyl C-diethoxyphosphorylated nitrone. Tetrahedron 2006, 62, 12306–12317. [Google Scholar] [CrossRef]
  18. Bonner, W.A. The Stereochemical Configurations of the 1-C-Phenyl-D-pentitols. J. Am. Chem. Soc. 1951, 73, 3126–3132. [Google Scholar] [CrossRef]
  19. Hassner, A.; Alexanian, V. Direct room temperature esterifications of carboxylic acids. Tetrahedron Lett. 1978, 4475–4478. [Google Scholar] [CrossRef]
  20. Kozlowski, J.K.; Rath, N.P.; Spilling, C.D. Determination of the enantiomeric purity and absolute configuration of α-hydroxy phosphonates. Tetrahedron 1995, 51, 6385–6396. [Google Scholar] [CrossRef]
Figure 1. L-Glutamic acid 1 and its active analogues.
Figure 1. L-Glutamic acid 1 and its active analogues.
Molecules 27 02699 g001
Figure 2. Four enantiomers of (1-amino-3-hydroxypropane-1,3-diyl)diphosphonic acid 5.
Figure 2. Four enantiomers of (1-amino-3-hydroxypropane-1,3-diyl)diphosphonic acid 5.
Molecules 27 02699 g002
Scheme 1. Retrosynthesis of [1-(N-Boc-amino)-3-hydroxypropane-1,3-diyl]diphosphonate 6.
Scheme 1. Retrosynthesis of [1-(N-Boc-amino)-3-hydroxypropane-1,3-diyl]diphosphonate 6.
Molecules 27 02699 sch001
Scheme 2. Synthesis of the aldehydes (R)- and (S)-7. Reagents and conditions: (a) allyl alcohol, MgBr2-etherate, 24 h, rt; (b) Ac2O, NEt3, DMAP, rt, 24 h, chromatographic separation; (c) NH4OH, EtOH, rt, 4h; (d) Boc2O, H2, 20% Pd(OH)2/C, EtOH, rt, 24 h; (e) NaIO4, CH2Cl2–H2O, rt, 2 h [14,15].
Scheme 2. Synthesis of the aldehydes (R)- and (S)-7. Reagents and conditions: (a) allyl alcohol, MgBr2-etherate, 24 h, rt; (b) Ac2O, NEt3, DMAP, rt, 24 h, chromatographic separation; (c) NH4OH, EtOH, rt, 4h; (d) Boc2O, H2, 20% Pd(OH)2/C, EtOH, rt, 24 h; (e) NaIO4, CH2Cl2–H2O, rt, 2 h [14,15].
Molecules 27 02699 sch002
Scheme 3. Synthesis of the diphosphonates (1R,3S)-6 and (1R,3R)-6. Reagents and conditions: (a) HP(O)(OEt)2, NEt3, rt, 48 h.
Scheme 3. Synthesis of the diphosphonates (1R,3S)-6 and (1R,3R)-6. Reagents and conditions: (a) HP(O)(OEt)2, NEt3, rt, 48 h.
Molecules 27 02699 sch003
Scheme 4. Reagents and conditions: (a) Ac2O, Et3N, DMAP, 2 h, rt; (b) p-NO2-C6H4C(O)Cl, Et3N, DMAP, CH2Cl2, 4 h, rt; (c) 5M HCl, 6 h, reflux, propylene oxide [81% from (1R,3S)-11 and 84% from (1R,3R)-11; 53% from (1R,3S)-12 and 60% from (1R,3R)-12].
Scheme 4. Reagents and conditions: (a) Ac2O, Et3N, DMAP, 2 h, rt; (b) p-NO2-C6H4C(O)Cl, Et3N, DMAP, CH2Cl2, 4 h, rt; (c) 5M HCl, 6 h, reflux, propylene oxide [81% from (1R,3S)-11 and 84% from (1R,3R)-11; 53% from (1R,3S)-12 and 60% from (1R,3R)-12].
Molecules 27 02699 sch004
Scheme 5. Synthesis of the diphosphonates (1S,3R)-6 and (1S,3S)-6. Reagents and conditions: (a) HP(O)(OEt)2, Et3N, rt, 48 h; (b) Ac2O, Et3N, DMAP, 2 h, rt [20% for (1S,3R)-12 and 32% for (1S,3S)-12]; (c) p-NO2-C6H4C(O)Cl, Et3N, DMAP, CH2Cl2, 4 h, rt [17% for (1S,3R)-13 and 14% for (1S,3S)-13; (d) 5M HCl, 6 h, reflux, propylene oxide [86% for (1S,3R)-5 and 69% for (1S,3S)-5].
Scheme 5. Synthesis of the diphosphonates (1S,3R)-6 and (1S,3S)-6. Reagents and conditions: (a) HP(O)(OEt)2, Et3N, rt, 48 h; (b) Ac2O, Et3N, DMAP, 2 h, rt [20% for (1S,3R)-12 and 32% for (1S,3S)-12]; (c) p-NO2-C6H4C(O)Cl, Et3N, DMAP, CH2Cl2, 4 h, rt [17% for (1S,3R)-13 and 14% for (1S,3S)-13; (d) 5M HCl, 6 h, reflux, propylene oxide [86% for (1S,3R)-5 and 69% for (1S,3S)-5].
Molecules 27 02699 sch005
Scheme 6. Cycloaddition of nitrone 13 to vinylphosphonate and transformation of cycloadduct trans-14 into anti-5. Reagents and conditions: (a) vinylphosphonate, 60 °C, 48 h; (b) H2, 20% Pd(OH)2/C, 48 h, rt.
Scheme 6. Cycloaddition of nitrone 13 to vinylphosphonate and transformation of cycloadduct trans-14 into anti-5. Reagents and conditions: (a) vinylphosphonate, 60 °C, 48 h; (b) H2, 20% Pd(OH)2/C, 48 h, rt.
Molecules 27 02699 sch006
Scheme 7. Synthesis of (S)-O-methylmandelate derivatives (1R,3R,1′S)-16 and (1S,3S,1′S)-16. Reactions and conditions: (a) (S)-PhCH(OCH3)COOH, DCC, DMAP, CH2Cl2, rt, 24 h [14% for (1R,3R,1′S)-16 and 10% for (1S,3S,1′S)-16].
Scheme 7. Synthesis of (S)-O-methylmandelate derivatives (1R,3R,1′S)-16 and (1S,3S,1′S)-16. Reactions and conditions: (a) (S)-PhCH(OCH3)COOH, DCC, DMAP, CH2Cl2, rt, 24 h [14% for (1R,3R,1′S)-16 and 10% for (1S,3S,1′S)-16].
Molecules 27 02699 sch007
Figure 3. Structures of diastereoisomeric (S)-O-methylmandelates 16.
Figure 3. Structures of diastereoisomeric (S)-O-methylmandelates 16.
Molecules 27 02699 g003
Publisher’s Note: MDPI stays neutral with regard to jurisdictional claims in published maps and institutional affiliations.

Share and Cite

MDPI and ACS Style

Lebelt, L.; Głowacka, I.E.; Piotrowska, D.G. Synthesis of Four Enantiomers of (1-Amino-3-Hydroxypropane-1,3-Diyl)Diphosphonic Acid as Diphosphonate Analogues of 4-Hydroxyglutamic Acid. Molecules 2022, 27, 2699. https://doi.org/10.3390/molecules27092699

AMA Style

Lebelt L, Głowacka IE, Piotrowska DG. Synthesis of Four Enantiomers of (1-Amino-3-Hydroxypropane-1,3-Diyl)Diphosphonic Acid as Diphosphonate Analogues of 4-Hydroxyglutamic Acid. Molecules. 2022; 27(9):2699. https://doi.org/10.3390/molecules27092699

Chicago/Turabian Style

Lebelt, Liwia, Iwona E. Głowacka, and Dorota G. Piotrowska. 2022. "Synthesis of Four Enantiomers of (1-Amino-3-Hydroxypropane-1,3-Diyl)Diphosphonic Acid as Diphosphonate Analogues of 4-Hydroxyglutamic Acid" Molecules 27, no. 9: 2699. https://doi.org/10.3390/molecules27092699

APA Style

Lebelt, L., Głowacka, I. E., & Piotrowska, D. G. (2022). Synthesis of Four Enantiomers of (1-Amino-3-Hydroxypropane-1,3-Diyl)Diphosphonic Acid as Diphosphonate Analogues of 4-Hydroxyglutamic Acid. Molecules, 27(9), 2699. https://doi.org/10.3390/molecules27092699

Article Metrics

Back to TopTop