Anticancer Profile of Rhodanines: Structure–Activity Relationship (SAR) and Molecular Targets—A Review
Abstract
1. Introduction
2. Rhodanines with Anticancer Properties
2.1. 3-Substituted Rhodanine Derivatives
2.2. 5-Substituted Rhodanine Derivatives
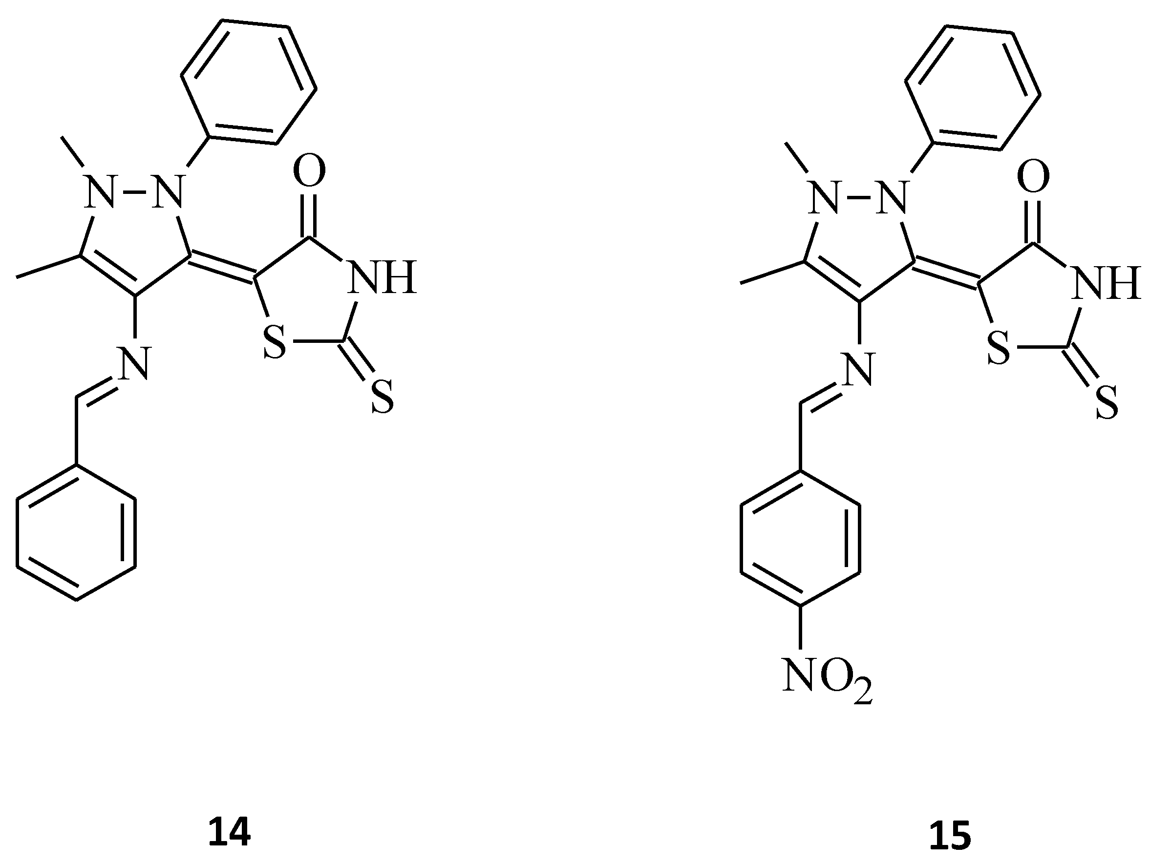
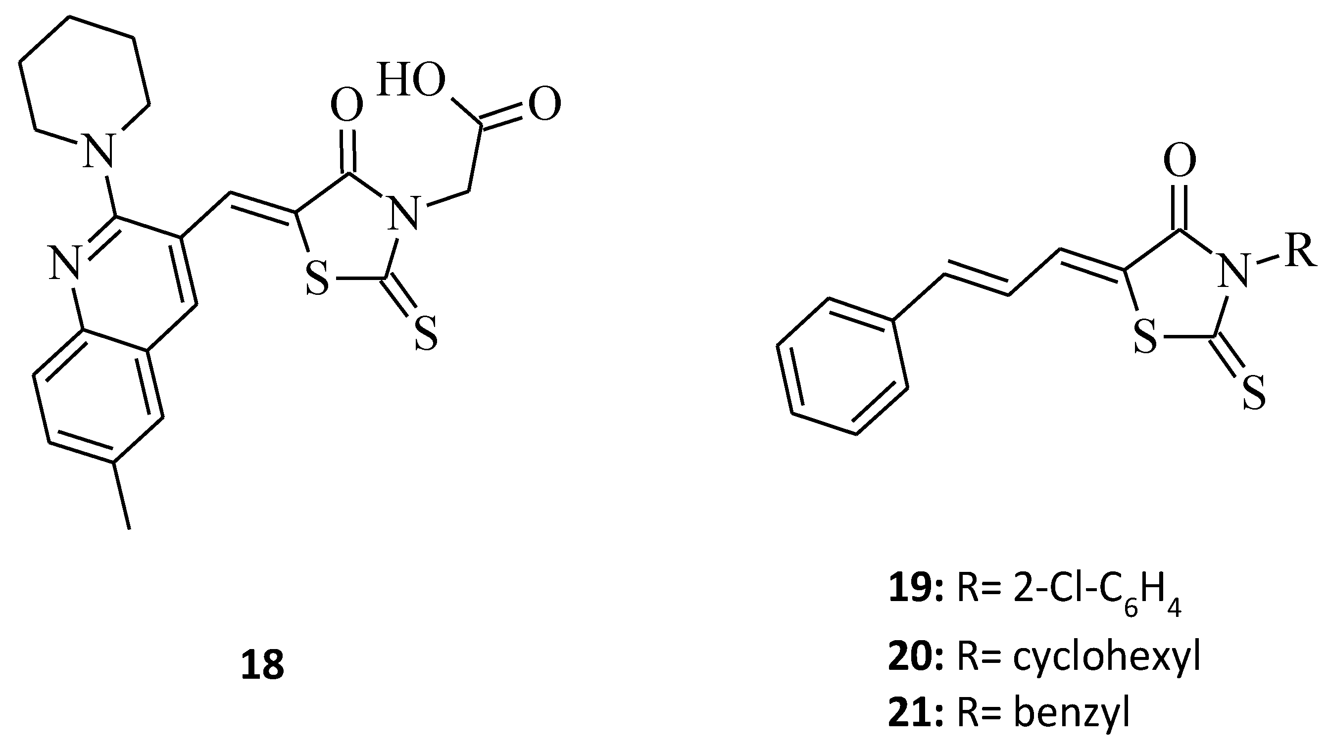
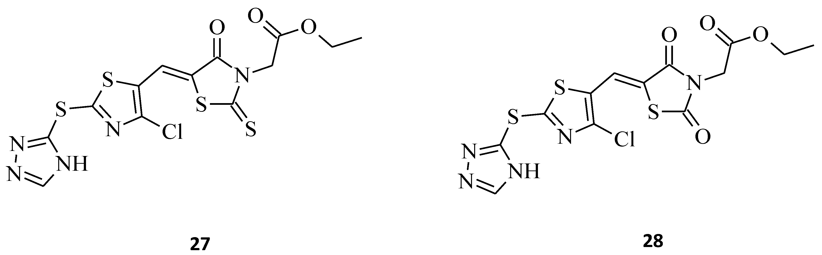
2.3. 3,5-Disubstituted Rhodanine Derivatives
3. Targets
4. Conclusions
Supplementary Materials
Author Contributions
Funding
Conflicts of Interest
Abbreviations
References
- WHO. The Top 10 Causes of Death. Available online: https://www.who.int/news-room/fact-sheets/detail/the-top-10-causes-of-death (accessed on 9 December 2020).
- U.S. FDA. Novel Drugs Approvals 2021. Available online: https://www.fda.gov/drugs/new-drugs-fda-cders-new-molecular-entities-and-new-therapeutic-biological-products/novel-drug-approvals-2021 (accessed on 2 January 2022).
- Hoeder, S.; Clarke, P.A.; Workman, P. Discovery of small molecule cancer drugs: Successes, challenges and opportunities. Mol. Oncol. 2012, 6, 155–176. [Google Scholar] [CrossRef] [PubMed]
- Bedard, P.L.; Hyman, D.M.; Davids, M.S.; Sin, L.L. Small molecules, big impact: 20 years of targeted therapying oncology. Lancet 2020, 395, 1078–1088. [Google Scholar] [CrossRef]
- Kerru, N.; Maddila, S.N.; Maddila, S.; Sobhanapuram, S.; Jonnalagadda, S.B. Synthesis and antimicrobial activity of novel thienopyrimidine linked rhodanine derivatives. Can. J. Chem. 2019, 97, 94–99. [Google Scholar] [CrossRef]
- Tintori, C.; Iovenitti, G.; Ceresola, E.R.; Ferrarese, R.; Zamperini, C.; Brai, A.; Poli, G.; Dreassi, E.; Cagno, V.; Lembo, D.; et al. Rhodanine derivatives as potent anti-HIV and anti-HSV microbicides. PLoS ONE 2018, 13, e0198478. [Google Scholar]
- Subhedar, D.D.; Shaikh, M.H.; Nawale, L.; Yeware, A.; Sarkar, D.; Khan, F.A.K.; Sangshetti, J.N.; Shingate, B.B. Novel tetrazoloquinoline-rhodanine conjugates: Highly efficient synthesis and biological evaluation. Bioorg. Med. Chem. Lett. 2016, 26, 2278–2283. [Google Scholar] [CrossRef]
- El-Miligy, M.M.M.; Hazzaa, A.A.; El-Messmary, H.; Nassra, R.A.; El-Hawash, S.A.M. New hybrid molecules combining benzothiophene or benzofuran with rhodanine as dual COX-1/2 and 5-LOX inhibitors: Synthesis, biological evaluation and docking study. Bioorg. Chem. 2017, 72, 102–115. [Google Scholar] [CrossRef]
- Murugana, R.; Anbazhagan, S.; Narayanan, S.S. Synthesis and in vivo antidiabetic activity of novel dispiropyrrolidines through [3 + 2] cycloaddition reactions with a thiazolidinedione and rhodanine derivatives. Eur. J. Med. Chem. 2009, 44, 3272–3279. [Google Scholar] [CrossRef]
- Shepeta, Y.; Lozynskyi, A.; Tomkiv, Z.; Grellier, P.; Lesyk, R. Synthesis and evaluation of the biological activity of rhodanine-pyrazoline hybrid molecules with 2-(2,6-dichlorophenylamino)-phenylacetamide fragment. Biopolym. Cell 2020, 36, 133–145. [Google Scholar] [CrossRef]
- Alegaon, S.G.; Alagawadi, K.R.; Vinod, D.; Unger, B.; Khatib, N.A. Synthesis, pharmacophore modeling, and cytotoxic activity of 2-thioxothiazolidin-4-one derivatives. Med. Chem. Res. 2014, 23, 5160–5173. [Google Scholar] [CrossRef]
- Li, W.; Zhai, X.; Zhong, Z.; Li, G.; Pu, Y.; Gong, P. Design, synthesis and evaluation of novel rhodanine-containing sorafenib analogs as potential antitumor agents. Arch. Pharm. 2011, 344, 349–357. [Google Scholar] [CrossRef]
- Coulibaly, W.K.; Paquin, L.; Bénie, A.; Békro, Y.-A.; Le Guével, R.; Ravache, M.; Corlu, A.; Bazureau, J.P. Prospective study directed to the synthesis of unsymmetrical linked bis-5-arylidene rhodanine derivatives via “one-pot two steps” reactions under microwave irradiation with their antitumor activity. Med. Chem. Res. 2015, 24, 1653–1661. [Google Scholar] [CrossRef]
- Li, H.; Yang, J.; Ma, S.; Qiao, C. Structure-based design of rhodaninebased acylsulfonamide derivatives as antagonists of the anti-apoptotic Bcl-2 protein. Bioorg. Med. Chem. 2012, 20, 4194–4200. [Google Scholar] [CrossRef] [PubMed]
- Bernardo, P.; Sivaraman, T.; Wan, K.; Xu, J.; Krishnamoorthy, J.; Song, C.; Tian, L.; Chin, J.; Lim, D.; Mok, H.; et al. Structural insights into the design of small molecule inhibitors that selectively antagonize Mcl-1. J. Med. Chem. 2010, 53, 2314–2318. [Google Scholar] [CrossRef] [PubMed]
- Chandrappa, S.; Kavitha, C.; Shahabuddin, M.; Vinaya, K.; Kumar, C.; Ranganatha, S.; Raghavan, S.; Rangappa, K. Synthesis of 2-(5-((5-(4-chlorophenyl)furan-2-yl)methylene)-4-oxo-2-thioxothiaz-olidin-3-yl)acetic acid derivatives and evaluation of their cytotoxicity and induction of apoptosis in human leukemia cells. Bioorg. Med. Chem. 2009, 17, 2576–2584. [Google Scholar] [CrossRef] [PubMed]
- Ravi, S.; Chiruvella, K.; Rajesh, K.; Prabhu, V.; Raghavan, S. 5-Isopro-pylidene-3-ethyl rhodanine induce growth inhibition followed by apoptosis in leukemia cells. Eur. J. Med. Chem. 2010, 45, 2748–2752. [Google Scholar] [CrossRef]
- Ahn, J.; Kim, S.; Park, W.; Cho, S.; Ha, J.; Kim, S.; Kang, S.; Jeong, D.; Jung, S.; Lee, S.; et al. Synthesis and biological evaluation of rhodanine derivatives as PRL-3 inhibitors. Bioorg. Med. Chem. Lett. 2006, 16, 2996–2999. [Google Scholar] [CrossRef]
- Moorthy, B.T.; Ravi, S.; Srivastava, M.; Chiruvella, K.K.; Hemlal, H.; Joy, O.; Raghavan, S.C. Novel rhodamine derivatives induce growth inhibition followed by apoptosis. Bioorg. Med. Chem. Lett. 2010, 20, 6297–6301. [Google Scholar] [CrossRef]
- Tomašić, T.; Mašić, L.P. Rhodanine as a scaffold in drug discovery: A critical review of its biological activities and mechanisms of target modulation. Expert Opin. Drug Discov. 2012, 7, 549–560. [Google Scholar] [CrossRef]
- Kaminskyy, D.; Kryshchyshyn, A.; Lesyk, R. Recent developments with rhodanine as a scaffold for drug discovery. Expert Opin. Drug Discov. 2017, 12, 1233–1252. [Google Scholar] [CrossRef]
- Liu, J.; Wu, Y.; Piao, H.; Zhao, X.; Zhang, W.; Wang, Y.; Liu, M. A comprehensive review on the biological and pharmacological activities of rhodanine based compounds for research and development of drugs. Mini Rev. Med. Chem. 2018, 18, 948–961. [Google Scholar] [CrossRef]
- Mousavi, S.M.; Zarei, M.; Hashemi, S.A.; Babapoor, A.; Amani, A.M. A conceptual review of rhodanine: Current applications of antiviral drugs, anticancer and antimicrobial activities. Artif. Cells Nanomed. Biotechnol. 2019, 47, 1132–1148. [Google Scholar] [CrossRef] [PubMed]
- Yin, L.J.; Bin Ahmad Kamal, A.K.D.; Fung, G.T.; Liang, C.T.; Avupati, V.R. Review of anticancer potentials and structure-activity relationships (SAR) of rhodanine derivatives. Biomed. Pharmacother. 2022, 145, 112406. [Google Scholar] [CrossRef] [PubMed]
- Nguyen, C.T.; Nguyen, Q.T.; Dao, P.H.; Nguyen, T.L.; Nguyen, P.T.; Nguyen, H.H. Synthesis and cytotoxic activity against K562 and MCF7 cell lines of some N-(5-arylidene-4-oxo-2-thioxothiazolidin-3-yl)-2-((4-oxo-3-phenyl-3,4-dihydroquinazoline-2-yl)thio)acetamide compounds. J. Chem. 2019, 2019, 1492316. [Google Scholar] [CrossRef]
- Ali Muhammad, S.; Ravi, S.; Thangamani, A. Synthesis and evaluation of some novel N-substituted rhodanines for their anticancer activity. Med. Chem. Res. 2016, 25, 994–1004. [Google Scholar] [CrossRef]
- Kaveri, S.; Ravi, S. Synthesis, antibacterial activity against MRSA, and in vitro cytotoxic activity against HeLa cell lines of novel 3-α-carboxy ethyl-5-benzylidene rhodanine derivatives. Res. Chem. Intermed. 2015, 41, 1011–1021. [Google Scholar]
- Dago, C.D.; N’Ta Ambeu, C.; Coulibaly, W.K.; Békro, Y.-A.; Mamyrbekova-Bekro, J.A.; Le Guevel, R.; Corlu, A.; Bazureau, J.-P. Investigation on the synthesis of new 3-[4-(arylalkoxy)phenylethyl]-2-thioxo-1,3-thiazolidin-4-ones and their biological evaluation against cancer cells. Chem. Heterocycl. Compd. 2017, 53, 341–349. [Google Scholar] [CrossRef]
- Kaminskyy, D.; Bednarczyk-Cwynar, B.; Vasylenko, O.; Kazakova, O.; Zimenkovsky, B.; Zaprutko, L.; Lesyk, R. Synthesis of new potential anticancer agents based on 4-thiazolidinone and oleanane scaffolds. Med. Chem. Res. 2012, 21, 3568–3580. [Google Scholar] [CrossRef]
- Ramesh, V.; Rao, B.A.; Sharma, P.; Swarna, B.; Thummuri, D.; Srinivas, K.; Naidu, V.G.M.; Rao, V.J. Synthesis and biological evaluation of new rhodanine analogues bearing 2-chloroquinoline and benzo[h]quinoline scaffolds as anticancer agents. Eur. J. Med. Chem. 2014, 83, 569–580. [Google Scholar] [CrossRef]
- El-Sayed, S.; Metwally, K.; El-Shanawani, A.A.; Abdel-Aziz, L.; Pratsinis, H.; Kletsas, D. Synthesis and anticancer activity of novel quinazolinone-based rhodanines. Chem. Cent. J. 2017, 11, 102. [Google Scholar] [CrossRef]
- Insuasty, A.; Ramírez, J.; Raimondi, M.; Echeverry, C.; Quiroga, J.; Abonia, R.; Nogueras, M.; Cobo, J.; Rodríguez, M.V.; Zacchino, S.A.; et al. Synthesis, antifungal and antitumor activity of novel (Z)-5-hetarylmethylidene-1,3-thiazol-4-ones and (Z)-5-ethylidene-1,3-thiazol-4-ones. Molecules 2013, 18, 5482–5497. [Google Scholar] [CrossRef]
- Strittmatter, T.; Bareth, B.; Immel, T.A.; Huhn, T.; Mayer, T.U.; Marx, A. Small molecule inhibitors of human DNA polymerase λ. ACS Chem. Biol. 2011, 6, 314–319. [Google Scholar] [CrossRef] [PubMed]
- El-Mawgoud, H.K.A. Synthesis, in vitro cytotoxicity and antimicrobial evaluations of some novel thiazole based heterocycles. Chem. Pharm. Bull. 2019, 67, 1314–1323. [Google Scholar] [CrossRef] [PubMed]
- Li, P.; Zhang, W.; Jiang, H.; Li, Y.; Dong, C.; Chen, H.; Zhang, K.; Du, Z. Design, synthesis and biological evaluation of benzimidazole-rhodanine conjugates as potent topoisomerase II inhibitors. Med.Chem.Comm. 2018, 9, 1194–1205. [Google Scholar] [CrossRef] [PubMed]
- Mandal, S.P.; Mithuna; Garg, A.; Sahetya, S.S.; Nagendra, S.R.; Sripad, S.H.; Manjunath, M.M.; Sitaram; Soni, M.; Nasir Baig, R.; et al. Novel rhodanines with anticancer activity: Design, synthesis and CoMSIA study. RSC Adv. 2016, 6, 58641–58653. [Google Scholar] [CrossRef]
- Prashantha Kumar, B.R.; Basu, P.; Adhikary, L.; Nanjan, M.J. Efficient conversion of N-terminal of L-tyrosine, DL-phenylalanine, and glycine to substituted 2-thioxo-thiazolidine-4-ones: A stereospecific synthesis. Synth. Commun. 2012, 42, 3089–3096. [Google Scholar] [CrossRef]
- Özen, C.; Ceylan-Ünlüsoy, M.; Aliary, N.; Öztürk, M.; Bozdağ-Dündar, O. Thiazolidinedione or rhodanine: A study on synthesis and anticancer activity comparison of novel thiazole derivatives. J. Pharm. Pharm. Sci. 2018, 20, 415–427. [Google Scholar] [CrossRef] [PubMed]
- Demir, S.; Özen, C.; Ceylan-Ünlüsoy, M.; Öztürk, M.; Bozdağ-Dündar, O. Novel furochromone derivatives: Synthesis and anticancer activity studies. J. Heterocycl. Chem. 2019, 56, 1341–1351. [Google Scholar] [CrossRef]
- Dago, C.D.; Ambeu, C.N.; Coulibaly, W.-K.; Békro, Y.-A.; Mamyrbékova, J.; Defontaine, A.; Baratte, B.; Bach, S.; Ruchaud, S.; Guével, R.L.; et al. Synthetic development of new 3-(4-arylmethylamino)butyl-5-arylidene-rhodanines under microwave irradiation and their effects on tumor cell lines and against protein kinases. Molecules 2015, 20, 12412–12435. [Google Scholar] [CrossRef]
- Kryshchyshyn, A.; Kaminskyy, D.; Roman, O.; Kralovics, R.; Karpenko, A.; Lesyk, R. Synthesis and anti-leukemic activity of pyrrolidinedione-thiazolidinone hybrids. Ukr. Biochem. J. 2020, 92, 108–119. [Google Scholar] [CrossRef]
- Stawoska, I.; Tejchman, W.; Mazuryk, O.; Lyčka, A.; Nowak-Sliwinska, P.; Żesławska, E.; Nitek, W.; Kania, A. Spectral characteristic and preliminary anticancer activity in vitro of selected rhodanine-3-carboxylic acids derivatives. J. Heterocycl. Chem. 2017, 54, 2889–2897. [Google Scholar] [CrossRef]
- Muhammad, S.A.; Ravi, S.; Thangamani, A.; Chandrasekaran, B.; Ramesh, M. Synthesis, antiproliferative activity and docking study of novel rhodanine derivatives as Bcr-Abl T1351 inhibitors. Res. Chem. Intermed. 2017, 43, 5871–5887. [Google Scholar] [CrossRef]
- Buzun, K.; Kryshchyshyn-Dylevych, A.; Senkiv, J.; Roman, O.; Gzella, A.; Bielawski, K.; Bielawska, A.; Lesyk, R. Synthesis and anticancer activity evaluation of 5-[2-chloro-3-(4-nitrophenyl)-2-propenylidene]-4-thiazolidinones. Molecules 2021, 26, 3057. [Google Scholar] [CrossRef] [PubMed]
- Antypenko, L.; Gladysheva, S. Development, and validation of UV-spectrophotometric determination of ciminalum in drug. Recipe 2017, 20, 153–160. [Google Scholar]
- Zhou, X.; Liu, J.; Meng, J.; Fu, Y.; Wu, Z.; Ouyang, G.; Wang, Z. Discovery of facile amides-functionalized rhodanine-3-acetic acid derivatives as potential anticancer agents by disrupting microtubule dynamics. J. Enzyme Inhib. Med. Chem. 2021, 36, 1996–2009. [Google Scholar] [CrossRef]
- Fedorov, O.; Müller, S.; Knapp, S. The (un)targeted cancer kinome. Nat. Chem. Biol. 2010, 6, 166–169. [Google Scholar] [CrossRef]
- Wei, M.; Korotkov, K.V.; Blackburn, J.S. Targeting phosphatases of regenerating liver (PRLs) in cancer. Pharmacol. Ther. 2018, 190, 128–138. [Google Scholar] [CrossRef]
- Jeong, D.G.; Kim, S.J.; Kim, J.H.; Son, J.H.; Park, M.R.; Lim, S.M.; Yoon, T.S.; Ryu, S.E. Trimeric structure of PRL-1 phosphatase reveals an active enzyme conformation and regulation mechanisms. J. Mol. Biol. 2005, 345, 401–413. [Google Scholar] [CrossRef]
- Min, G.; Lee, S.-K.; Kim, H.-N.; Han, Y.-M.; Lee, R.-H.; Jeong, D.G.; Han, D.C.; Kwon, B.-M. Rhodanine-based PRL-3 inhibitors blocked the migration and invasion of metastatic cancer cells. Bioorg. Med. Chem. Lett. 2013, 23, 3769–3774. [Google Scholar] [CrossRef]
- Lin, L.; Lu, L.; Yuan, C.; Wang, A.; Zhu, M.; Fu, X.; Xing, S. The dual inhibition against the activity and expression of tyrosine phosphatase PRL-3 from a rhodanine derivative. Bioorg. Med. Chem. Lett. 2021, 41, 127981. [Google Scholar] [CrossRef]
- Alfarouk, K.O.; Ahmed, S.B.M.; Elliott, R.L.; Benoit, A.; Alqahtani, S.S.; Ibrahim, M.E.; Bashir, A.H.H.; Alhoufie, S.T.S.; Elhassan, G.O.; Wales, C.C.; et al. The pentose phosphate pathway dynamics in cancer and its dependency on intracellular pH. Metabolites 2020, 10, 285. [Google Scholar] [CrossRef]
- Rigantin, C.; Gazzano, E.; Polimeni, M.; Aldieri, E.; Ghigo, D. The pentose phosphate pathway: An antioxidant defense and a crossroad in tumor cell fate. Free Radic. Biol. Med. 2012, 53, 421–436. [Google Scholar] [CrossRef] [PubMed]
- Sarfraz, I.; Rasul, A.; Hussain, G.; Shad, A.M.; Zahoor, A.F.; Asrar, M.; Selamoglu, Z.; Ji, X.Y.; Sevki, A.; Sarker, A.D. 6-Phosphogluconate dehydrogenase fuels multiple aspects of cancer cells: From cancer initiation to metastasis and chemoresistance. BioFactors 2020, 46, 550–562. [Google Scholar] [CrossRef] [PubMed]
- Poliakov, E.; Managadze, D.; Rogozin, I.D. Generalized portrait of cancer metabolic pathways inferred from a list of genes overexpressed in cancer. Genet. Res. Int. 2014, 2014, 646193. [Google Scholar] [CrossRef] [PubMed]
- Karaman, M.; Temel, Y.; Bayindir, S. Inhibition effect of rhodanines containing benzene moieties on pentose phosphate pathway enzymes and molecular docking. J. Mol. Struct. 2020, 1220, 128700. [Google Scholar] [CrossRef]
- Kotaka, M.; Gover, S.; Vandeputte-Rutten, L.; Au, S.W.N.; Lamb, V.M.S.; Adam, M.J. Structural studies of glucose-6-phosphate and NADP+ binding to human glucose-6-phosphate. Acta Crystallogr. 2005, 61, 495–504. [Google Scholar] [CrossRef]
- Şahin, A.; Şentürk, M.; Salmas, R.E.; Durdagi, S.; Ayan, A.; Karagölge, A.; Mestanoğlu, M. Investigation of inhibition of human glucose 6-phosphate dehydrogenase by some 99mTc chelators by in silico and in vitro methods. J. Enzyme Inhib. Med. Chem. 2016, 31, 141–147. [Google Scholar] [CrossRef][Green Version]
- Zhao, Z.B.; Liu, Y.; Yao, Y. Computational determination of binding structures and free energies of glucose 6-phosphate dehydrogenase with novel steroid inhibitors. J. Mol. Graph. Model. 2014, 51, 168–172. [Google Scholar] [CrossRef]
- Song, H.; Lee, Y.S.; Roh, E.J.; Seo, J.H.; Oh, K.S.; Lee, B.H.; Han, H.; Shin, K.J. Discovery of potent and selective rhodanine type IKKβ inhibitors by hit-to-lead strategy. Bioorg. Med. Chem. Lett. 2012, 22, 5668–5674. [Google Scholar] [CrossRef]
- Cory, S.; Adams, J.M. The Bcl2 family: Regulators of the cellular life-or-death switch. Nat. Rev. Cancer 2002, 2, 647–656. [Google Scholar] [CrossRef]
- Korsmeyer, S.J. BCL-2 gene family and the regulation of programmed cell death. Cancer Res. 1999, 59, 1693–1700. [Google Scholar] [CrossRef]
- Jaberipour, M.; Habibagahi, M.; Hosseini, A.; Abbasi, M.; Sobhani-Lari, A.; Talei, A.; Ghaderi, A. Detection of B cell lymphoma 2, tumor protein 53, and FAS gene transcripts in blood cells of patients with breast cancer. Indian J. Cancer 2010, 47, 412–417. [Google Scholar] [PubMed]
- Rosser, C.J.; Reyes, A.O.; Vakar-Lopez, F.; Levy, L.B.; Kuban, D.A.; Hoover, D.C.; Lee, A.K.; Pisters, L.L. Bcl-2 is significantly overexpressed in localized radio-recurrent prostate carcinoma, compared with localized radio-naive prostate carcinoma. Int. J. Radiat. Oncol. Biol. Phys. 2003, 56, 1–6. [Google Scholar] [CrossRef]
- Kirkin, V.; Joos, S.; Zornig, M. The role of Bcl-2 family members in tumorigenesis. Biochim. Biophys. Acta 2004, 1644, 229–249. [Google Scholar] [CrossRef] [PubMed]
- Degterev, A.; Lugovskoy, A.; Cardone, M.; Mulley, B.; Wagner, G.; Mitchison, T.; Yuan, J. Identification of small-molecule inhibitors of the interaction between the BH3 domain and Bcl-xL. Nat. Cell Biol. 2001, 3, 173–182. [Google Scholar] [CrossRef] [PubMed]
- Wang, L.; Sloper, D.T.; Addo, S.N.; Tian, D.; Slaton, J.W.; Xing, C. WL-276, an antagonist against Bcl-2 proteins, overcomes drug resistance and suppresses prostate tumor growth. Cancer Res. 2008, 68, 4377–4383. [Google Scholar] [CrossRef] [PubMed]
- Fu, H.; Hou, X.; Wang, L.; Dun, Y.; Yang, X.; Fang, H. Design, synthesis and biological evaluation of 3-aryl-rhodanine benzoic acids as anti-apoptotic protein Bcl-2 inhibitors. Bioorg. Med. Chem. Lett. 2015, 25, 5265–5269. [Google Scholar] [CrossRef] [PubMed]
- Zhai, D.; Jin, C.; Satterthwait, A.C.; Reed, J.C. Comparison of chemical inhibitors of antiapoptotic Bcl-2-family proteins. Cell Death Differ. 2006, 13, 1419–1421. [Google Scholar] [CrossRef] [PubMed]
- Xing, C.; Wang, L.; Tang, X.; Sham, Y.Y. Development of selective inhibitors for anti-apoptotic Bcl-2 proteins from BHI-1. Bioorg. Med. Chem. 2007, 15, 2167–2176. [Google Scholar] [CrossRef][Green Version]
- Wang, L.; Kong, F.; Kokoski, C.L.; Andrews, D.W.; Xing, C. Development of dimeric modulators for anti-apoptotic Bcl-2 proteins. Bioorg. Med. Chem. Lett. 2008, 18, 236–240. [Google Scholar] [CrossRef]
- Bernardo, P.H.; Sivaraman, T.; Wan, K.-F.; Xu, J.; Krishnamoorthy, J.; Song, C.M.; Tian, L.; Chin, J.S.F.; Lim, D.S.W.; Mok, H.Y.K.; et al. Synthesis of a rhodanine-based compound library targeting Bcl-XL and Mcl-1. Pure Appl. Chem. 2011, 83, 723–731. [Google Scholar] [CrossRef][Green Version]
- Saurabh, K.; Scherzer, M.T.; Shah, P.P.; Mims, A.S.; Lockwood, W.W.; Kraft, A.S.; Beverly, L.J. The PIM family of oncoproteins: Small kinases with huge implications in myeloid leukemogenesis and as therapeutic targets. Oncotarget 2014, 5, 8503–8514. [Google Scholar] [CrossRef] [PubMed]
- Amaravadi, R.; Thompson, C.B. The survival kinases Akt and Pim as potential pharmacological targets. J. Clin. Investig. 2005, 115, 2618–2624. [Google Scholar] [CrossRef] [PubMed]
- Xie, Y.; Burcu, M.; Linn, D.E.; Qiu, Y.; Baer, M.R. Pim-1 kinase protects P-glycoprotein from degradation and enables its glycosylation and cell surface expression. Mol. Pharmacol. 2010, 78, 310–318. [Google Scholar] [CrossRef] [PubMed]
- Sawaguchi, Y.; Yamazaki, R.; Nishiyama, Y.; Sasai, T.; Mae, M.; Abe, A.; Yaegashi, T.; Nishiyama, H.; Matsuzaki, T. Rational design of a potent Pan-Pim kinases inhibitor with a rhodanine-benzoimidazole structure. Anticancer Res. 2017, 37, 4051–4057. [Google Scholar]
- Bailly, C. Contemporary challenges in the design of topoisomerase II inhibitors for cancer chemotherapy. Chem. Rev. 2012, 112, 3611–3640. [Google Scholar] [CrossRef]
- Pommier, Y.; Sun, Y.; Huang, S.N.; Nitiss, J.L. Roles of eukaryotic topoisomerases in transcription, replication, and genomic stability. Nat. Rev. Mol. Cell Biol. 2016, 17, 703–721. [Google Scholar] [CrossRef]
- Nitiss, J.L. Targeting DNA topoisomerase II in cancer chemotherapy. Nat. Rev. Cancer 2009, 9, 338–350. [Google Scholar] [CrossRef]
- Christodoulou, M.S.; Zarate, M.; Ricci, F.; Damia, G.; Pieraccini, S.; Dapiaggi, F.; Sironi, M.; Lo Presti, L.; García-Argaez, A.N.; Dalla Via, L.; et al. 4-(1,2-Diarylbut-1-en-1-yl)isobutyranilide derivatives as inhibitors of topoisomerase II. Eur. J. Med. Chem. 2016, 118, 79–89. [Google Scholar] [CrossRef]
- Yao, B.L.; Mai, Y.W.; Chen, S.B.; Hua, H.T.; Yao, P.F.; Ou, T.M.; Tan, J.H.; Wang, H.G.; Li, D.; Huang, S.L.; et al. Design, synthesis and biological evaluation of novel 7-alkylamino substituted benzo[a]phenazin derivatives as dual topoisomerase I/II inhibitors. Eur. J. Med. Chem. 2015, 92, 540–553. [Google Scholar] [CrossRef]
- Ortega, J.A.; Riccardi, L.; Minniti, E.; Borgogno, M.; Arencibia, J.M.; Greco, M.L.; Minarini, A.; Sissi, C.; Vivo, M.D. Pharmacophore hybridization to discover novel topoisomerase II poisons with promising antiproliferative activity. J. Med. Chem. 2018, 61, 1375–1379. [Google Scholar] [CrossRef]
- Baviskar, A.T.; Amrutkar, S.M.; Trivedi, N.; Chaudhary, V.; Nayak, A.; Guchhait, S.K.; Banerjee, U.C.; Bharatam, P.V.; Kundu, C.N. Switch in site of inhibition: A strategy for structure-based discovery of human topoisomerase IIα catalytic inhibitors. ACS Med. Chem. Lett. 2015, 6, 481–485. [Google Scholar] [CrossRef] [PubMed]
- Priyadarshani, G.; Nayak, A.; Amrutkar, S.M.; Das, S.; Guchhait, S.K.; Kundu, C.N.; Banerjee, U.C. Scaffold-hopping of aurones: 2-Arylideneimidazo[1,2-a]pyridinones as topoisomerase IIα-inhibiting anticancer agents. ACS Med. Chem. Lett. 2016, 7, 1056–1061. [Google Scholar] [CrossRef] [PubMed]
- Li, P.H.; Zeng, P.; Chen, S.B.; Yao, P.F.; Mai, Y.W.; Tang, J.H.; Ou, T.M.; Huang, S.L.; Li, D.; Gu, L.Q.; et al. Synthesis and mechanism studies of 1,3-benzoazolyl substituted pyrrolo[2,3-b]pyrazine derivatives as nonintercalative topoisomerase II catalytic inhibitors. J. Med. Chem. 2016, 59, 238–252. [Google Scholar] [CrossRef] [PubMed]
- Garcia-Diaz, M.; Bebenek, K.; Sabariegos, R.; Dominguez, O.; Rodriguez, J.; Kirchhoff, T.; Garcia-Palomero, E.; Picher, A.J.; Juarez, R.; Ruiz, J.F.; et al. DNA polymerase λ, a novel DNA repair enzyme in human cells. J. Biol. Chem. 2002, 277, 13184–13191. [Google Scholar] [CrossRef] [PubMed]
- Ramadan, K.; Shevelev, I.V.; Maga, G.; Hübscher, U. DNA polymerase λ from calf thymus preferentially replicates damaged DNA. J. Biol. Chem. 2002, 277, 18454–18458. [Google Scholar] [CrossRef]
- Albertella, M.R.; Lau, A.; O’Connor, M.J. The overexpression of specialized DNA polymerases in cancer. DNA Repair 2005, 4, 583–593. [Google Scholar] [CrossRef]
- Garcia-Diaz, M.; Dominguez, O.; Lopez-Fernandez, L.A.; de Lera, L.T.; Saniger, M.L.; Ruiz, J.F.; Parraga, M.; Garcia-Ortiz, M.J.; Kirchhoff, T.; del Mazo, J.; et al. DNA polymerase λ (Pol λ), a novel eukaryotic DNA polymerase with a potential role in meiosis. J. Mol. Biol. 2000, 301, 851–867. [Google Scholar] [CrossRef]
- Maga, G.; Hübscher, U. Repair and translesion DNA polymerases as anticancer drug targets. Anti-Cancer Agents Med. Chem. 2008, 8, 431–447. [Google Scholar] [CrossRef]
- Tomasic, T.; Masic, L.P. Rhodanine as a privileged scaffold in drug discovery. Curr. Med. Chem. 2009, 16, 1596–1629. [Google Scholar] [CrossRef]
- Zeiger, E.; Anderson, B.; Haworth, S.; Lawlor, T.; Mortelmans, K.; Speck, W. Salmonella mutagenicity tests: III. Results from the testing of 255 chemicals. Environ. Mutagen. 1987, 9 (Suppl. S9), 1–109. [Google Scholar] [CrossRef]
- Hotta, N.; Akanuma, Y.; Kawamori, R.; Matsuoka, K.; Oka, Y.; Shichiri, M.; Toyota, T.; Nakashima, M.; Yoshimura, I.; Sakamoto, N.; et al. Long-term clinical effects of epalrestat, an aldose reductase inhibitor, on diabetic peripheral neuropathy: The 3-year, multicenter, comparative Aldose Reductase Inhibitor-Diabetes Complications Trial. Diabetes Care 2006, 29, 1538–1544. [Google Scholar] [CrossRef] [PubMed]
- Hübscher, U.; Spadari, S.; Villani, G.; Maga, G. DNA Polymerases: Discovery, Characterization and Functions in Cellular DNA Transactions; World Scientific: Singapore, 2020. [Google Scholar]
- Gu, F.; You, C.; Liu, J.; Chen, A.; Yu, Y.; Wang, X.; Wan, D.; Gu, J.; Yuan, H.; Li, Y.; et al. Cloning, expression and characterization of human tissue-specific DNA polymerase λ2. Sci. China Ser. C Life Sci. 2007, 50, 457–465. [Google Scholar] [CrossRef] [PubMed]
- Kimura, R.; Kamino, K.; Yamamoto, M.; Nuripa, A.; Kida, T.; Kazui, H.; Hashimoto, R.; Tanaka, T.; Kudo, T.; Yamagata, H.; et al. The DYRK1A gene, encoded in chromosome 21 Down syndrome critical region, bridges between beta-amyloid production and tau phosphorylation in Alzheimer disease. Hum. Mol. Genet. 2007, 16, 15–23. [Google Scholar] [CrossRef]
- Smith, B.; Medda, F.; Gokhale, V.; Dunckley, T.; Hulme, C. Recent advances in the design, synthesis, and biological evaluation of selective DYRK1A inhibitors: A new avenue for a disease modifying treatment of Alzheimer’s? ACS Chem. Neurosci. 2012, 3, 857–872. [Google Scholar] [CrossRef]
- Ling, Y.; Wang, Z.-Q.; Xiao, Y.-A.; Zhu, C.; Shen, L.; Wang, X.-M.; Hui, Y.; Wang, X.-Y. Benzylidene 2-aminoimidazolones derivatives: Synthesis and in vitro evaluation of anti-tumor carcinoma activity. Chem. Pharm. Bull. 2013, 61, 1081–1084. [Google Scholar] [CrossRef] [PubMed]
- Ionescu, A.; Dufrasne, F.; Gelbcke, M.; Jabin, I.; Kiss, R.; Lamoral-Theys, D. DYRK1A kinase inhibitors with emphasis on cancer. Mini Rev. Med. Chem. 2012, 12, 1315–1329. [Google Scholar] [PubMed]
- Xiao, Y.-A.; Wang, Z.-Q.; Wang, X.-M.; Hui, Y.; Ling, Y.; Wang, X.-Y.; He, L.-Q. Synthesis and in vitro biological evaluation of novel 2-aminoimidazolinone derivatives as anti-tumor agents. Chin. Chem. Lett. 2013, 24, 727–730. [Google Scholar] [CrossRef]
- Bourahla, K.; Guihéneuf, S.; Limanton, E.; Paquin, L.; Le Guével, R.; Charlier, T.; Rahmouni, M.; Durieu, E.; Lozach, O.; Carreaux, F.; et al. Design and microwave synthesis of new (5Z) 5-arylidene-2-thioxo-1,3-thiazolinidin-4-one and (5Z) 2-amino-5-arylidene-1,3-thiazol-4(5H)-one as new inhibitors of protein kinase DYRK1A. Pharmaceuticals 2021, 14, 1086. [Google Scholar] [CrossRef]
- Available online: https://www.tocris.com/pharmacology/casein-kinase-1gclid=EAIaIQobChMImLaehJ2y8AIV2NnVCh2H0wfVEAAYASAAEgL-CPD_BwE (accessed on 1 March 2022).





































Publisher’s Note: MDPI stays neutral with regard to jurisdictional claims in published maps and institutional affiliations. |
© 2022 by the authors. Licensee MDPI, Basel, Switzerland. This article is an open access article distributed under the terms and conditions of the Creative Commons Attribution (CC BY) license (https://creativecommons.org/licenses/by/4.0/).
Share and Cite
Szczepański, J.; Tuszewska, H.; Trotsko, N. Anticancer Profile of Rhodanines: Structure–Activity Relationship (SAR) and Molecular Targets—A Review. Molecules 2022, 27, 3750. https://doi.org/10.3390/molecules27123750
Szczepański J, Tuszewska H, Trotsko N. Anticancer Profile of Rhodanines: Structure–Activity Relationship (SAR) and Molecular Targets—A Review. Molecules. 2022; 27(12):3750. https://doi.org/10.3390/molecules27123750
Chicago/Turabian StyleSzczepański, Jacek, Helena Tuszewska, and Nazar Trotsko. 2022. "Anticancer Profile of Rhodanines: Structure–Activity Relationship (SAR) and Molecular Targets—A Review" Molecules 27, no. 12: 3750. https://doi.org/10.3390/molecules27123750
APA StyleSzczepański, J., Tuszewska, H., & Trotsko, N. (2022). Anticancer Profile of Rhodanines: Structure–Activity Relationship (SAR) and Molecular Targets—A Review. Molecules, 27(12), 3750. https://doi.org/10.3390/molecules27123750

