Novel Small Molecule Inhibitors Targeting the IL-6/STAT3 Pathway or IL-1β
Abstract
:1. Introduction
2. Results
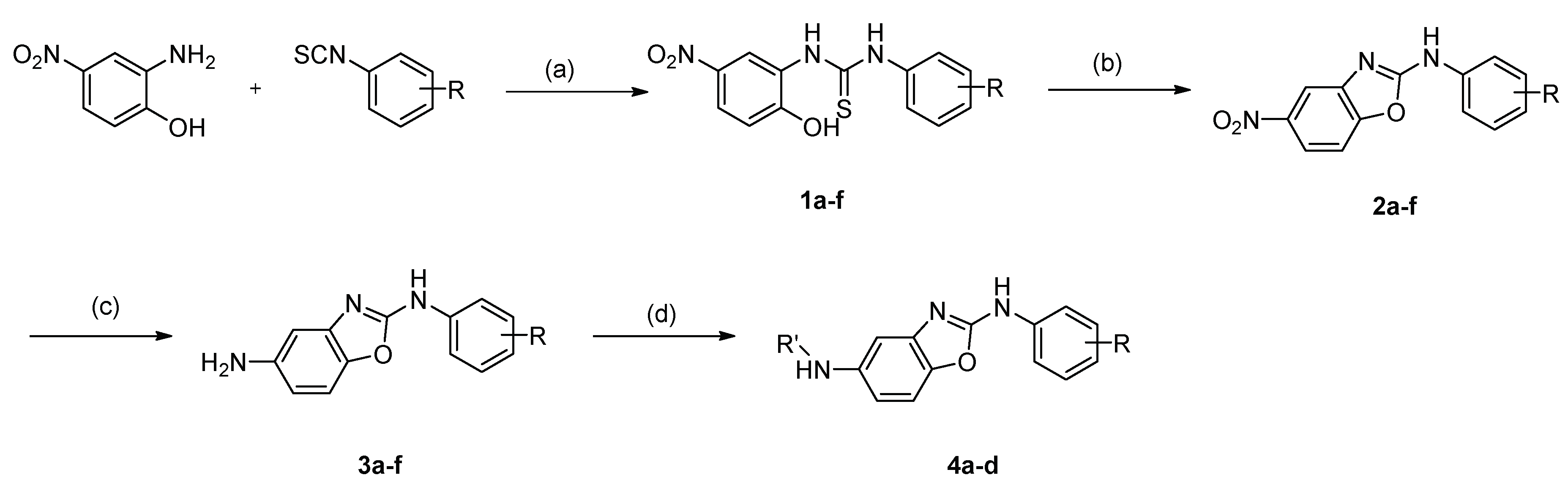
2.1. Synthesis of 2,5-Diaminobenzoxazole Derivatives
2.2. Inhibition of IL-6/STAT3 Signaling and Production of IL-1β by Benzoxazole Derivatives
2.3. Anti-Inflammatory Activity of Compounds 3a and 3e in an Animal Model
3. Discussion
4. Conclusions
5. Materials and Methods
5.1. Materials and Methods
5.2. Synthesis of 1-(Substituted phenyl)-3-(2-hydroxy-5-nitrophenyl)thioureas (1a–f)
- 1-(2-Hydroxy-5-nitrophenyl)-3-(4-methoxyphenyl)thiourea (1a)
- 1-(4-Ethoxyphenyl)-3-(2-hydroxy-5-nitrophenyl)thiourea (1b)
- 1-(2-Hydroxy-5-nitrophenyl)-3-(p-tolyl)thiourea (1c)
- 1-(2-Hydroxy-5-nitrophenyl)-3-(4-isopropylphenyl)thiourea (1d)
- 1-(4-Butylphenyl)-3-(2-hydroxy-5-nitrophenyl)thiourea (1e)
- 1-(3-Bromophenyl)-3-(2-hydroxy-5-nitrophenyl)thiourea (1f)
5.3. Synthesis of 5-Nitro-N-substitutedphenylbenzo[d]oxazol-2-amines (2a–f)
- N-(4-Methoxyphenyl)-5-nitrobenzo[d]oxazol-2-amine (2a)
- N-(4-Ethoxyphenyl)-5-nitrobenzo[d]oxazol-2-amine (2b)
- 5-Nitro-N-(p-tolyl)benzo[d]oxazol-2-amine (2c)
- N-(4-Isopropylphenyl)-5-nitrobenzo[d]oxazol-2-amine (2d)
- N-(4-Butylphenyl)-5-nitrobenzo[d]oxazol-2-amine (2e)
- N-(4-Bromophenyl)-5-nitrobenzo[d]oxazol-2-amine (2f)
5.4. Synthesis of N2-(Substituted phenyl)benzo[d]oxazole-2,5-diamine Derivatives (3a–f)
- N2-(4-Methoxyphenyl)benzo[d]oxazole-2,5-diamine (3a)
- N2-(4-Ethoxyphenyl)benzo[d]oxazole-2,5-diamine (3b)
- N2-(p-Tolyl)benzo[d]oxazole-2,5-diamine (3c)
- N2-(4-Isopropylphenyl)benzo[d]oxazole-2,5-diamine (3d)
- N2-(4-Butylphenyl)benzo[d]oxazole-2,5-diamine (3e)
- N2-(3-Bromophenyl)benzo[d]oxazole-2,5-diamine (3f)
5.5. Synthesis of N2-(4-Ethylphenyl)-N5-methylbenzo[d]oxazole-2,5-diamine (4a)
- N2-(4-Ethylphenyl)-N5-methylbenzo[d]oxazole-2,5-diamine (4a)
5.6. Synthesis of N-(2-((4-Ethylphenyl)amino)benzo[d]oxazole-5-Yl)acetamide (4b)
- N-(2-((4-Ethylphenyl)amino)benzo[d]oxazole-5-yl)acetamide (4b)
5.7. Synthesis of N-(2-((4-Ethylphenyl)amino)benzo[d]oxazole-5-Yl)isobutyramide (4c)
- N-(2-((4-Ethylphenyl)amino)benzo[d]oxazole-5-yl)isobutyramide (4c)
5.8. Synthesis of N-(2-((4-Ethylphenyl)amino)benzo[d]oxazole-5-Yl)-2-methoxyacetamide (4d)
- N-(2-((4-Ethylphenyl)amino)benzo[d]oxazole-5-yl)-2-methoxyacetamide (4d)
5.9. Biological Evaluation
5.9.1. IL-6 Reporter Gene Assay
5.9.2. Measurement of IL-1β Production in RAW 264.7 Macrophage
5.9.3. RNA Isolation
5.9.4. Reverse Transcription-Polymerase Chain Reaction (RT-PCR) and Quantitative Real Time PCR (qPCR)
5.9.5. Measured Footpad Thickness, Body Weight, and Size of Lymph Node
6. Statistical Analysis
Author Contributions
Funding
Institutional Review Board Statement
Informed Consent Statement
Data Availability Statement
Conflicts of Interest
Sample Availability
References
- Yao, X.; Huang, J.; Zhong, H.; Shen, N.; Faggioni, R.; Fung, M.; Yao, Y. Targeting Interleukin-6 in Inflammatory Autoimmune Diseases and Cancers. Pharmacol. Ther. 2014, 141, 125–139. [Google Scholar] [CrossRef] [PubMed]
- Lindmark, E.; Diderholm, E.; Wallentin, L.; Siegbahn, A. Relationship between Interleukin 6 and Mortality in Patients with Unstable Coronary Artery Disease: Effects of an Early Invasive Or Noninvasive Strategy. JAMA 2001, 286, 2107–2113. [Google Scholar] [CrossRef] [PubMed] [Green Version]
- Ishihara, K.; Hirano, T. IL-6 in Autoimmune Disease and Chronic Inflammatory Proliferative Disease. Cytokine Growth Factor Rev. 2002, 13, 357–368. [Google Scholar] [CrossRef]
- Scheller, J.; Chalaris, A.; Schmidt-Arras, D.; Rose-John, S. The Pro-and Anti-Inflammatory Properties of the Cytokine Interleukin-6. Biochim. Biophys. Acta (BBA)-Mol. Cell Res. 2011, 1813, 878–888. [Google Scholar] [CrossRef] [Green Version]
- Kaplanski, G.; Marin, V.; Montero-Julian, F.; Mantovani, A.; Farnarier, C. IL-6: A Regulator of the Transition from Neutrophil to Monocyte Recruitment during Inflammation. Trends Immunol. 2003, 24, 25–29. [Google Scholar] [CrossRef]
- Hunter, C.A.; Jones, S.A. IL-6 as a Keystone Cytokine in Health and Disease. Nat. Immunol. 2015, 16, 448. [Google Scholar] [CrossRef]
- Park, J.Y.; Pillinger, M.H. Interleukin-6 in the Pathogenesis of Rheumatoid Arthritis. Bull. NYU Hosp. Jt. Dis. 2007, 65, S4–S10. [Google Scholar]
- Malemud, C.J. The Role of the JAK/STAT Signal Pathway in Rheumatoid Arthritis. Ther. Adv. Musculoskelet. Dis. 2018, 10, 117–129. [Google Scholar] [CrossRef]
- Srirangan, S.; Choy, E.H. The Role of Interleukin 6 in the Pathophysiology of Rheumatoid Arthritis. Ther. Adv. Musculoskelet. Dis. 2010, 2, 247–256. [Google Scholar] [CrossRef] [Green Version]
- Yoshizaki, K.; Matsuda, T.; Nishimoto, N.; Kuritani, T.; Taeho, L.; Aozasa, K.; Nakahata, T.; Kawai, H.; Tagoh, H.; Komori, T. Pathogenic Significance of Interleukin-6 (IL-6/BSF-2) in Castleman’s Disease. Blood 1989, 74, 1360–1367. [Google Scholar] [CrossRef] [Green Version]
- Chung, S.; Kwon, Y.; Park, M.; Park, Y.; Lee, S. The Correlation between Increased Serum Concentrations of Interleukin-6 Family Cytokines and Disease Activity in Rheumatoid Arthritis Patients. Yonsei Med. J. 2011, 52, 113–120. [Google Scholar] [CrossRef] [PubMed]
- Nakahara, H.; Song, J.; Sugimoto, M.; Hagihara, K.; Kishimoto, T.; Yoshizaki, K.; Nishimoto, N. Anti–interleukin-6 Receptor Antibody Therapy Reduces Vascular Endothelial Growth Factor Production in Rheumatoid Arthritis. Arthritis Rheum. Off. J. Am. Coll. Rheumatol. 2003, 48, 1521–1529. [Google Scholar] [CrossRef] [PubMed]
- Choy, E. Understanding the Dynamics: Pathways Involved in the Pathogenesis of Rheumatoid Arthritis. Rheumatology 2012, 51, v3–v11. [Google Scholar] [CrossRef] [PubMed] [Green Version]
- Takeuchi, O.; Akira, S. Pattern Recognition Receptors and Inflammation. Cell 2010, 140, 805–820. [Google Scholar] [CrossRef] [PubMed] [Green Version]
- Ogura, H.; Murakami, M.; Okuyama, Y.; Tsuruoka, M.; Kitabayashi, C.; Kanamoto, M.; Nishihara, M.; Iwakura, Y.; Hirano, T. Interleukin-17 Promotes Autoimmunity by Triggering a Positive-Feedback Loop Via Interleukin-6 Induction. Immunity 2008, 29, 628–636. [Google Scholar] [CrossRef] [PubMed] [Green Version]
- Caiello, I.; Minnone, G.; Holzinger, D.; Vogl, T.; Prencipe, G.; Manzo, A.; De Benedetti, F.; Strippoli, R. IL-6 Amplifies TLR Mediated Cytokine and Chemokine Production: Implications for the Pathogenesis of Rheumatic Inflammatory Diseases. PLoS ONE 2014, 9, e107886. [Google Scholar] [CrossRef]
- Samson, M.; Audia, S.; Janikashvili, N.; Ciudad, M.; Trad, M.; Fraszczak, J.; Ornetti, P.; Maillefert, J.; Miossec, P.; Bonnotte, B. Brief Report: Inhibition of Interleukin-6 Function Corrects Th17/Treg Cell Imbalance in Patients with Rheumatoid Arthritis. Arthritis Rheum. 2012, 64, 2499–2503. [Google Scholar] [CrossRef] [Green Version]
- Kim, D.; Won, H.Y.; Hwang, E.S.; Kim, Y.K.; Choo, H.P. Synthesis of Benzoxazole Derivatives as Interleukin-6 Antagonists. Bioorg. Med. Chem. 2017, 25, 3127–3134. [Google Scholar] [CrossRef]
- Ibrahim, T.; Cunha, J.M.; Madi, K.; da Fonseca, L.M.; Costa, S.S.; Goncalves Koatz, V.L. Immunomodulatory and Anti-Inflammatory Effects of Kalanchoe Brasiliensis. Int. Immunopharmacol. 2002, 2, 875–883. [Google Scholar] [CrossRef]
- Asquith, D.L.; Miller, A.M.; McInnes, I.B.; Liew, F.Y. Animal Models of Rheumatoid Arthritis. Eur. J. Immunol. 2009, 39, 2040–2044. [Google Scholar] [CrossRef]
- Yoshida, Y.; Tanaka, T. Interleukin 6 and Rheumatoid Arthritis. Biomed. Res. Int. 2014, 2014, 698313. [Google Scholar] [CrossRef] [PubMed] [Green Version]
- Yamasaki, K.; Taga, T.; Hirata, Y.; Yawata, H.; Kawanishi, Y.; Seed, B.; Taniguchi, T.; Hirano, T.; Kishimoto, T. Cloning and Expression of the Human Interleukin-6 (BSF-2/IFN Beta 2) Receptor. Science 1988, 241, 825–828. [Google Scholar] [CrossRef] [PubMed]
- Kishimoto, T.; Akira, S.; Taga, T. Interleukin-6 and its Receptor: A Paradigm for Cytokines. Science 1992, 258, 593–597. [Google Scholar] [CrossRef] [PubMed]
- Malemud, C.J.; Pearlman, E. Targeting JAK/STAT Signaling Pathway in Inflammatory Diseases. Curr. Signal Transduct. Ther. 2009, 4, 201–221. [Google Scholar] [CrossRef]
- Seavey, M.M.; Dobrzanski, P. The Many Faces of Janus Kinase. Biochem. Pharmacol. 2012, 83, 1136–1145. [Google Scholar] [CrossRef]
- Malemud, C.J.; Blumenthal, D.E. Protein Kinase Small Molecule Inhibitors for Rheumatoid Arthritis: Medicinal Chemistry/Clinical Perspectives. World J. Orthop. 2014, 5, 496–503. [Google Scholar] [CrossRef]
- Flanagan, M.E.; Blumenkopf, T.A.; Brissette, W.H.; Brown, M.F.; Casavant, J.M.; Shang-Poa, C.; Doty, J.L.; Elliott, E.A.; Fisher, M.B.; Hines, M. Discovery of CP-690,550: A Potent and Selective Janus Kinase (JAK) Inhibitor for the Treatment of Autoimmune Diseases and Organ Transplant Rejection. J. Med. Chem. 2010, 53, 8468–8484. [Google Scholar] [CrossRef]
- Vijayakrishnan, L.; Venkataramanan, R.; Gulati, P. Treating Inflammation with the Janus Kinase Inhibitor CP-690,550. Trends Pharmacol. Sci. 2011, 32, 25–34. [Google Scholar] [CrossRef]
- Wong, X.K.; Yeong, K.Y. A Patent Review on the Current Developments of Benzoxazoles in Drug Discovery. ChemMedChem 2021, 16, 3237–3262. [Google Scholar] [CrossRef]
- Rai Gajbhiye, K.; Kumar Soni, D.; Soni, V. Emerging Therapeutic Strategies for Rheumatoid Arthritis. Curr. Drug Ther. 2012, 7, 198–206. [Google Scholar] [CrossRef]
- Furst, D.E.; Keystone, E.C.; So, A.K.; Braun, J.; Breedveld, F.C.; Burmester, G.R.; De Benedetti, F.; Dorner, T.; Emery, P.; Fleischmann, R.; et al. Updated Consensus Statement on Biological Agents for the Treatment of Rheumatic Diseases, 2012. Ann. Rheum. Dis. 2013, 72 (Suppl. 2), ii2–ii34. [Google Scholar] [CrossRef] [PubMed]
- Abbate, A.; Van Tassell, B.W.; Biondi-Zoccai, G.G. Blocking Interleukin-1 as a Novel Therapeutic Strategy for Secondary Prevention of Cardiovascular Events. BioDrugs 2012, 26, 217–233. [Google Scholar] [CrossRef] [PubMed]
- Dubois, E.A.; Rissmann, R.; Cohen, A.F. Rilonacept and Canakinumab. Br. J. Clin. Pharmacol. 2011, 71, 639–641. [Google Scholar] [CrossRef] [Green Version]
- Jun, H.; Lee, S.; Lee, H.; Choi, B. Integrin α5β1 Activates the NLRP3 Inflammasome by Direct Interaction with a Bacterial Surface Protein. Immunity 2012, 36, 755–768. [Google Scholar] [CrossRef] [PubMed] [Green Version]




![]() | ||||||
|---|---|---|---|---|---|---|
| Compound | R1 | R2 | R3 | R4 | IL-6/STAT3 Inhibition (%) (10 μg/mL) | IL-1β Production Inhibition (%) (10 μg/mL) |
| NO LPS | 100.0 ± 0.5 | 100.0 ± 4.1 | ||||
| LPS | 0.0 ± 4.9 | 0.0 ± 7.4 | ||||
| 3a | H | OCH3 | H | H | 29.3 ± 4.7 ** | 92.1 ± 4.5 ** |
| 3b | H | OCH2CH3 | H | H | 59.1 ± 6.5 ** | 76.5 ± 2.2 ** |
| 3c | H | CH3 | H | H | 17.0 ± 19.7 * | 13.7 ± 1.4 * |
| 3d | H | CH(CH3)2 | H | H | 65.9 ± 7.2 ** | 75.3 ± 4.7 ** |
| 3e | H | (CH2)3CH3 | H | H | 71.5 ± 8.2 ** | 74.4 ± 8.1 ** |
| 3f | Br | H | H | H | 58.0 ± 5.1 ** | 79.8 ± 1.4 ** |
| 4a | H | CH2CH3 | H | CH3 | 35.9 ± 7.2 ** | 88.2 ± 6.7 ** |
| 4b | H | CH2CH3 | H | COCH3 | 34.4 ± 8.7 ** | 54.5 ± 4.8 ** |
| 4c | H | CH2CH3 | H | COCH(CH3)2 | 13.0 ± 0.4 * | 88.1 ± 2.2 ** |
| 4d | H | CH2CH3 | H | COCH2OCH3 | 9.6 ± 2.6 * | 26.6 ± 1.0 ** |
| Madindoline | 52.0 ± 4.6 ** | |||||
| Raw 264.7 | IL-6 mRNA Inhibition (%) | IL-1β mRNA Inhibition (%) | ||
|---|---|---|---|---|
| Compound | 1 μg/mL | 10 μg/mL | 1 μg/mL | 10 μg/mL |
| LPS | 0.0 ± 0.91 | 0.0 ± 0.02 | ||
| 3a | 33.64 ± 1.05 ** | 44.12 ± 0.25 ** | 89.01 ± 1.19 ** | 95.08 ± 0.88 ** |
| 3e | 65.03 ± 0.52 ** | 76.10 ± 1.11 ** | 75.55 ± 2.01 ** | 78.75 ± 0.98 ** |
| 3a + 3e | 40.55 ± 0.71 ** | 45.21 ± 1.03 ** | 82.55 ± 0.77 ** | 83.66 ± 0.90 ** |
| Genes | Forward Primer | Reverse Primer |
|---|---|---|
| GAPDH | AGAACATCATCCCTGCATCC | GGTCCTCAGTGTAGCCCAAG |
| IL-1β | TCGTGCTGTCGGACCCATAT | GTCGTTGCTTGGTTCTCCTTGT |
| IL-6 | ACAACCACGGCCTTCCCTACTT | CACGATTTCCCAGAGAACATGTG |
Publisher’s Note: MDPI stays neutral with regard to jurisdictional claims in published maps and institutional affiliations. |
© 2022 by the authors. Licensee MDPI, Basel, Switzerland. This article is an open access article distributed under the terms and conditions of the Creative Commons Attribution (CC BY) license (https://creativecommons.org/licenses/by/4.0/).
Share and Cite
Yoo, J.; Kim, D.; Park, J.; Kim, Y.-K.; Park Choo, H.-Y.; Woo, H.A. Novel Small Molecule Inhibitors Targeting the IL-6/STAT3 Pathway or IL-1β. Molecules 2022, 27, 2696. https://doi.org/10.3390/molecules27092696
Yoo J, Kim D, Park J, Kim Y-K, Park Choo H-Y, Woo HA. Novel Small Molecule Inhibitors Targeting the IL-6/STAT3 Pathway or IL-1β. Molecules. 2022; 27(9):2696. https://doi.org/10.3390/molecules27092696
Chicago/Turabian StyleYoo, Jihye, Darong Kim, Jiyoung Park, Young-Kook Kim, Hea-Young Park Choo, and Hyun Ae Woo. 2022. "Novel Small Molecule Inhibitors Targeting the IL-6/STAT3 Pathway or IL-1β" Molecules 27, no. 9: 2696. https://doi.org/10.3390/molecules27092696
APA StyleYoo, J., Kim, D., Park, J., Kim, Y.-K., Park Choo, H.-Y., & Woo, H. A. (2022). Novel Small Molecule Inhibitors Targeting the IL-6/STAT3 Pathway or IL-1β. Molecules, 27(9), 2696. https://doi.org/10.3390/molecules27092696


