Dicarboxylic Acid Monoesters in β- and δ-Lactam Synthesis
Abstract
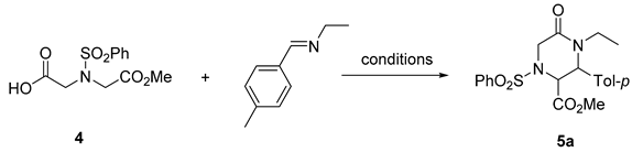
:1. Introduction
2. Results and Discussion
3. Conclusions
4. Materials and Methods
4.1. General Procedure for Preparation of Beta Lactams 6a–p, 12a–m, 16 and Their Analytical Data
4.1.1. Methyl N-((3RS,4RS)-1-Ethyl-2-oxo-4-(p-tolyl)azetidin-3-yl)-N-(phenylsulfonyl)glycinate (6a)
4.1.2. Methyl N-((3RS,4SR)-2-Oxo-4-(thiophen-2-yl)-1-(p-tolyl)azetidin-3-yl)-N-(phenylsulfonyl)glycinate (6b)
4.1.3. Methyl N-((2RS,3RS)-1-(Adamantan-1-yl)-2-(4-methoxyphenyl)-4-oxoazetidin-3-yl)-N-(phenylsulfonyl)glycinate (6c)
4.1.4. Methyl N-((2RS,3RS)-2-(4-Fluorophenyl)-1-(4-methoxybenzyl)-4-oxoazetidin-3-yl)-N-(phenylsulfonyl)glycinate (6d)
4.1.5. Methyl N-((2RS,3RS)-1-Butyl-2-(4-nitrophenyl)-4-oxoazetidin-3-yl)-N-(phenylsulfonyl)glycinate (6e)
4.1.6. Methyl N-((3RS,4RS)-1-Methyl-2-oxo-4-(3-(trifluoromethyl)phenyl)azetidin-3-yl)-N-(phenylsulfonyl)glycinate (6f)
4.1.7. Methyl N-((2RS,3RS)-1-(4-(Adamantan-1-yl)phenyl)-2-(4-methoxyphenyl)-4-oxoazetidin-3-yl)-N-(phenylsulfonyl)glycinate (6g)
4.1.8. Methyl N-((2RS,3RS)-2-(3,4-Dimethoxyphenyl)-4-oxo-1-(4-(trifluoromethyl)phenyl)azetidin-3-yl)-N-(phenylsulfonyl)glycinate (6h)
4.1.9. Methyl (E)-N-(4-Oxo-1,2-diphenyl-2-styrylazetidin-3-yl)-N-(phenylsulfonyl)glycinate (6i)
4.1.10. Methyl (E)-N-(2-(4-Chlorostyryl)-1-(4-methoxyphenyl)-4-oxo-2-phenylazetidin-3-yl)-N-(phenylsulfonyl)glycinate (6j)
4.1.11. Methyl N-((2RS,3RS)-1-(((E)-4-Methoxybenzylidene)amino)-2-(4-methoxyphenyl)-4-oxoazetidin-3-yl)-N-(phenylsulfonyl)glycinate (6k)
4.1.12. Methyl (E)-N-(1-((4-Methylbenzylidene)amino)-2-oxo-4-(p-tolyl)azetidin-3-yl)-N-(phenylsulfonyl)glycinate (6l)
4.1.13. Methyl N-((3RS,4SR)-2-Oxo-4-(thiophen-2-yl)-1-(((E)-thiophen-2-ylmethylene)amino) azetidin-3-yl)-N-(phenylsulfonyl)glycinate (6m)
4.1.14. Methyl N-((3RS,4RS)-2-Oxo-1-(prop-2-yn-1-yl)-4-(p-tolyl)azetidin-3-yl)-N-(phenylsulfonyl)glycinate (6n)
4.1.15. Methyl N-((2RS,3RS)-1-(2-Azidoethyl)-2-(4-methoxyphenyl)-4-oxoazetidin-3-yl)-N-(phenylsulfonyl)glycinate (6o)
4.1.16. Methyl N-((2RS,3RS)-1-Butyl-2-(4-methoxyphenyl)-4-oxoazetidin-3-yl)-N-(phenylsulfonyl)glycinate (6p)
4.1.17. N-(Cyanomethyl)-N-((3RS,4RS)-1-ethyl-2-oxo-4-(p-tolyl)azetidin-3-yl)benzenesulfonamide (12a)
4.1.18. N-Benzyl-N-((2RS,3RS)-1-butyl-2-(4-methoxyphenyl)-4-oxoazetidin-3-yl)-4-fluorobenzenesulfonamide (12b)
4.1.19. Methyl N-((2RS,3RS)-1-Butyl-2-(4-methoxyphenyl)-4-oxoazetidin-3-yl)-N-((2-nitrophenyl)sulfonyl)glycinate (12c)
4.1.20. Methyl N-((2RS,3RS)-1-Butyl-2-(4-methoxyphenyl)-4-oxoazetidin-3-yl)-N-(methylsulfonyl)glycinate (12d)
4.1.21. Methyl 2-(((3RS,4RS)-1-Ethyl-2-oxo-4-(p-tolyl)azetidin-3-yl)thio)acetate (12e)
4.1.22. 2-(((3RS,4RS)-1-Ethyl-2-oxo-4-(p-tolyl)azetidin-3-yl)thio)acetonitrile (12f)
4.1.23. 2-(((2RS,3RS)-1-Butyl-2-(4-methoxyphenyl)-4-oxoazetidin-3-yl)thio)-N-(4-fluorophenyl)acetamide (12g)
4.1.24. Methyl 2-(2-((2RS,3SR)-1-Butyl-2-(4-methoxyphenyl)-4-oxoazetidin-3-yl)-1,3-dithian-2-yl)acetate (12m)
4.1.25. 2,2,2-Trifluoroethyl N-((3RS,4RS)-1-butyl-2-oxo-4-(p-tolyl)azetidin-3-yl)-N-(phenylsulfonyl)glycinate (16)
4.2. N-((2RS,3RS)-1-Butyl-2-(4-methoxyphenyl)-4-oxoazetidin-3-yl)-N-(phenylsulfonyl)glycine (18)
4.3. (2RS,3SR)-4-Butyl-3-(4-methoxyphenyl)-5-oxo-1-(phenylsulfonyl)piperazine-2-carboxylic Acid (19)
Supplementary Materials
Author Contributions
Funding
Institutional Review Board Statement
Informed Consent Statement
Data Availability Statement
Acknowledgments
Conflicts of Interest
References
- Llarrull, L.; Testero, S.A.; Fisher, J.F.; Mobashery, S. The future of the β-lactams. Curr. Opin. Microbiol. 2010, 13, 551–557. [Google Scholar] [CrossRef] [PubMed]
- Caruano, J.; Muccioli, G.G.; Robiette, R. Biologically active γ-lactams: Synthesis and natural sources. Org. Biomol. Chem. 2016, 14, 10134–10156. [Google Scholar] [CrossRef] [PubMed]
- Lepikhina, A.; Bakulina, O.; Dar’in, D.; Krasavin, M. The first solvent-free synthesis of privileged γ- and δ-lactams via the Castagnoli–Cushman reaction. RSC Adv. 2016, 6, 83808–83813. [Google Scholar] [CrossRef] [Green Version]
- Bakulina, O.; Chizhova, M.; Dar’in, D.; Krasavin, M. A General Way to Construct Arene-Fused Seven-Membered Nitrogen Heterocycles. Eur. J. Org. Chem. 2018, 2018, 362–371. [Google Scholar] [CrossRef]
- Sapegin, A.; Osipyan, A.; Krasavin, M. Structurally diverse arene-fused ten-membered lactams accessed via hydrolytic imidazoline ring expansion. Org. Biomol. Chem. 2017, 15, 2906–2909. [Google Scholar] [CrossRef] [Green Version]
- Saldivar-Gonzalez, F.I.; Lenci, E.; Trabocchi, A.; Medina-Franco, J.L. Exploring the chemical space and the bioactivity profile of lactams: A chemoinformatic study. RSC Adv. 2019, 9, 27105–27116. [Google Scholar] [CrossRef] [Green Version]
- Imming, P.; Klar, B.; Dix, D.J. Hydrolytic Stability versus Ring Size in Lactams: Implications for the Development of Lactam Antibiotics and Other Serine Protease Inhibitors. Med. Chem. 2000, 43, 4328–4331. [Google Scholar] [CrossRef]
- Wang, D.Y.; Abboud, M.I.; Markoulides, M.S.; Brem, J.; Schofield, C.J. The road to avibactam: The first clinically useful non-β-lactam working somewhat like a β-lactam. Future Med. Chem. 2016, 8, 1063–1084. [Google Scholar] [CrossRef] [Green Version]
- Constantino, L.; Barlocco, D. Privileged Structures as Leads in Medicinal Chemistry. Curr. Med. Chem. 2006, 13, 65–85. [Google Scholar] [CrossRef]
- Krawczyk, H.; Albrecht, Ł.; Wojciechowski, J.; Wolf, W.M.; Krajewska, U.; Różalski, M. Synthesis and antiinflammatory activities of 3-(3,5-di-tert-butyl-4-hydroxybenzylidene)pyrrolidin-2-ones. Tetrahedron 2008, 64, 6307–6314. [Google Scholar] [CrossRef]
- Zhang, Y.L.; Marepalli, H.R.; Lu, H.-F.; Becker, J.M.; Naider, F. Synthesis, Biological Activity, and Conformational Analysis of Peptidomimetic Analogues of the Saccharomyces cerevisiae α-Factor Tridecapeptide. Biochemistry 1998, 37, 12465–12476. [Google Scholar] [CrossRef] [PubMed]
- Snider, B.B.; Gu, Y. Total Synthesis of (−)- and (+)-Dysibetaine. Org. Lett. 2001, 3, 1761–1763. [Google Scholar] [CrossRef] [PubMed]
- Xi, N.; Arvedson, S.; Eisenberg, S.; Han, N.; Handley, M.; Huang, L.; Huang, Q.; Kiselyov, A.; Liu, Q.; Lu, Y.; et al. N-Aryl-gamma-lactams as integrin alphavbeta3 antagonists. Bioorg. Med. Chem. Lett. 2004, 14, 2905–2909. [Google Scholar] [CrossRef] [PubMed]
- Elford, T.G.; Hall, D.G. Imine allylation using 2-alkoxycarbonyl allylboronates as an expedient three-component reaction to polysubstituted α-exo-methylene-γ-lactams. Tetrahedron Lett. 2008, 49, 6995–6998. [Google Scholar] [CrossRef]
- Satoh, N.; Yokoshima, S.; Fukuyama, T. Total Synthesis of (−)-Salinosporamide A. Org. Lett. 2011, 13, 3028–3031. [Google Scholar] [CrossRef] [PubMed]
- Bogliotti, N.; Dalko, P.I.; Cossy, J. A Radical Approach for the Construction of the Tricyclic Core of Stemoamide. Synlett 2005, 2005, 349–351. [Google Scholar] [CrossRef]
- Howard, S.Y.; Di Maso, M.J.; Shimabukuro, K.; Burlow, N.P.; Tan, D.Q.; Fettinger, J.C.; Malig, T.C.; Hein, J.E.; Shaw, J.T.J. Mechanistic Investigation of Castagnoli–Cushman Multicomponent Reactions Leading to a Three-Component Synthesis of Dihydroisoquinolones. Org. Chem. 2021, 86, 11599–11607. [Google Scholar] [CrossRef]
- Lepikhina, A.; Dar’in, D.; Bakulina, O.; Chupakhin, E.; Krasavin, M. Skeletal Diversity in Combinatorial Fashion: A New Format for the Castagnoli–Cushman Reaction. ACS Comb. Sci. 2017, 19, 702–707. [Google Scholar] [CrossRef]
- Dar’in, D.; Bakulina, O.; Nikolskaya, S.; Gluzdikov, I.; Krasavin, M. The rare cis-configured trisubstituted lactam products obtained by the Castagnoli–Cushman reaction in N,N-dimethylformamide. RSC Adv. 2016, 6, 49411–49415. [Google Scholar] [CrossRef] [Green Version]
- Guranova, N.; Bakulina, O.; Dar’in, D.; Kantin, G.; Krasavin, M. Homophthalic Esters: A New Type of Reagents for the Castagnoli-Cushman Reaction. Eur. J. Org. Chem. 2022, 2022, e202101281. [Google Scholar] [CrossRef]
- Zarei, M. A straightforward approach to 2-azetidinones from imines and carboxylic acids using dimethyl sulfoxide and acetic anhydride. Tetrahedron Lett. 2014, 55, 5354–5357. [Google Scholar] [CrossRef]
- Zarei, M.J. β-Lactam Preparation via Staudinger Reaction with Activated Dimethylsulfoxide. Heterocycl. Chem. 2016, 54, 1161–1166. [Google Scholar] [CrossRef]
- Page, M.G.P.; Dantier, C.; Desarbe, E. In Vitro Properties of BAL30072, a Novel Siderophore Sulfactam with Activity against Multiresistant Gram-Negative Bacilli. Antimicrob. Agents Chemother. 2010, 54, 2291–2302. [Google Scholar] [CrossRef] [Green Version]
- Pandey, A.K.; Kirberger, S.E.; Johnson, J.A.; Kimbrough, J.R.; Partridge, D.K.D.; Pomerantz, W.C.K. Efficient Synthesis of 1,4-Thiazepanones and 1,4-Thiazepanes as 3D Fragments for Screening Libraries. Org. Lett. 2020, 22, 3946–3950. [Google Scholar] [CrossRef] [PubMed]
- Duggan, P.J.; Humphrey, D.G.; McCarl, V. Boron compounds. 40. O-Ethylboranediyl derivatives of dulcitol. Aust. J. Chem. 2004, 57, 741–745. [Google Scholar] [CrossRef]
- Caldwell, N.; Jamieson, C.; Simpson, I.; Watson, A.J.B. Catalytic amidation of unactivated ester derivatives mediated by trifluoroethanol. Chem. Commun. 2015, 51, 9495–9498. [Google Scholar] [CrossRef] [PubMed] [Green Version]
- Queyroy, S.; Vanthuyne, N.; Gastaldi, S.; Bertrand, M.P.; Gil, G. Enzymic resolution of racemic amines: Crucial role of the solvent. Adv. Synth. Catal. 2012, 354, 1759–1764. [Google Scholar] [CrossRef]
- Koldobskii, A.B.; Shilova, O.S.; Artyushin, O.I.; Kagramanov, N.D.; Moiseev, S.V.J. Polyfluorinated esters of 4-chloro-2-oxobut-3-ynoic acid. Cycloaddition reactons of hexafluoroisopropyl 4-chloro-2-oxobut-3-ynoate, an incredibly electrophilic alkyne. Fluorine Chem. 2020, 231, 109463. [Google Scholar] [CrossRef]
- Dar’in, D.; Bakulina, O.; Chizhova, M.; Krasavin, M. New Heterocyclic Product Space for the Castagnoli–Cushman Three-Component Reaction. Org. Lett. 2015, 17, 3930–3933. [Google Scholar] [CrossRef]
- Murali Dhar, T.G.; Shen, Z.; Gu, H.H.; Chen, P.; Norris, D.; Watterson, S.H.; Ballentine, S.K.; Fleener, C.A.; Rouleau, K.A.; Barrish, J.C.; et al. 3-Cyanoindole-based inhibitors of inosine monophosphate dehydrogenase: Synthesis and initial structure–Activity relationships. Bioorg. Med. Chem. Lett. 2003, 13, 3557–3560. [Google Scholar] [CrossRef]
- Dorn, C.P. Morpholine and Thiomorpholine Tachykinin Receptor Antagonists. US Patent US-6048859-A, 11 April 2000. [Google Scholar]
- Cherney, R.J.; Duan, J.J.; Voss, M.E.; Chen, L.; Wang, L.; Meyer, D.T.; Wasserman, Z.R.; Hardman, K.D.; Liu, R.Q.; Covington, M.B.; et al. Design, synthesis, and evaluation of benzothiadiazepine hydroxamates as selective tumor necrosis factor-alpha converting enzyme inhibitors. J. Med. Chem. 2003, 46, 1811–1823. [Google Scholar] [CrossRef] [PubMed]
- Usmanova, L.; Bakulina, O.; Dar’in, D.; Krasavin, M. Spontaneous formation of tricyclic lactones following the Castagnoli–Cushman reaction. Chem. Heterocycl. Compd. 2017, 53, 474–479. [Google Scholar] [CrossRef]
- DeMarinis, R.M.; Boehm, J.C.; Dunn, G.L.; Hoover, J.R.; Uri, J.V.; Guarini, J.R.; Phillips, L.; Actor, P.; Weisbach, J.A. Semisynthetic cephalosporins. Synthesis and structure-activity relationships of analogues with 7-acyl groups derived from 2-(cyanomethylthio)acetic acid or 2-[(2,2,2-trifluoroethyl)thio]acetic acid and their sulfoxides and sulfones. J. Med. Chem. 1977, 20, 30–35. [Google Scholar] [CrossRef] [PubMed]
- Dolomanov, O.V.; Bourhis, L.J.; Gildea, R.J.; Howard, J.A.K.; Puschmann, H. OLEX2: A complete structure solution, refinement and analysis program. J. Appl. Crystallogr. 2009, 42, 339–341. [Google Scholar] [CrossRef]
- Linden, A. Chemistry and structure in Acta Crystallographica Section C. Acta Crystallogr. C Struct. Chem. 2015, 71 Pt 1, 1–2. [Google Scholar] [CrossRef] [Green Version]










| ||||
|---|---|---|---|---|
| Entry | Reagent | T (°C) | Solvent | Yield (% a,b) |
| 1 | CDI | 130 | PhCl (chlorobenzene) | 0 |
| 2 | (COCl)2 | 130/25 | PhCl | 0 |
| 3 | (CF3CO)2O | 130 | PhCl | 0 |
| 4 | Ac2O | 80 | PhCl | 0 |
| 5 | 110 | PhCl | 36 | |
| 6 | 130 | PhCl | 66, 64 c | |
| 7 | 150 | PhCl | 26 | |
| 8 | 130 | 1,4-dioxane | 66 | |
| 9 | 130 | o-xylene | 51 | |
| 10 | 130 | PhCl | 23 d | |
Publisher’s Note: MDPI stays neutral with regard to jurisdictional claims in published maps and institutional affiliations. |
© 2022 by the authors. Licensee MDPI, Basel, Switzerland. This article is an open access article distributed under the terms and conditions of the Creative Commons Attribution (CC BY) license (https://creativecommons.org/licenses/by/4.0/).
Share and Cite
Ananeva, A.; Bakulina, O.; Dar’in, D.; Kantin, G.; Krasavin, M. Dicarboxylic Acid Monoesters in β- and δ-Lactam Synthesis. Molecules 2022, 27, 2469. https://doi.org/10.3390/molecules27082469
Ananeva A, Bakulina O, Dar’in D, Kantin G, Krasavin M. Dicarboxylic Acid Monoesters in β- and δ-Lactam Synthesis. Molecules. 2022; 27(8):2469. https://doi.org/10.3390/molecules27082469
Chicago/Turabian StyleAnaneva, Anna, Olga Bakulina, Dmitry Dar’in, Grigory Kantin, and Mikhail Krasavin. 2022. "Dicarboxylic Acid Monoesters in β- and δ-Lactam Synthesis" Molecules 27, no. 8: 2469. https://doi.org/10.3390/molecules27082469
APA StyleAnaneva, A., Bakulina, O., Dar’in, D., Kantin, G., & Krasavin, M. (2022). Dicarboxylic Acid Monoesters in β- and δ-Lactam Synthesis. Molecules, 27(8), 2469. https://doi.org/10.3390/molecules27082469


